Synthesis, Properties, and Application of Small-Molecule Hole-Transporting Materials Based on Acetylene-Linked Thiophene Core
Abstract
1. Introduction
2. Results and Discussion
2.1. Syntheses
2.2. Thermal Stability
2.3. Optical Property
2.4. Energy Levels
2.5. DFT Simulation
2.6. Hole Mobility
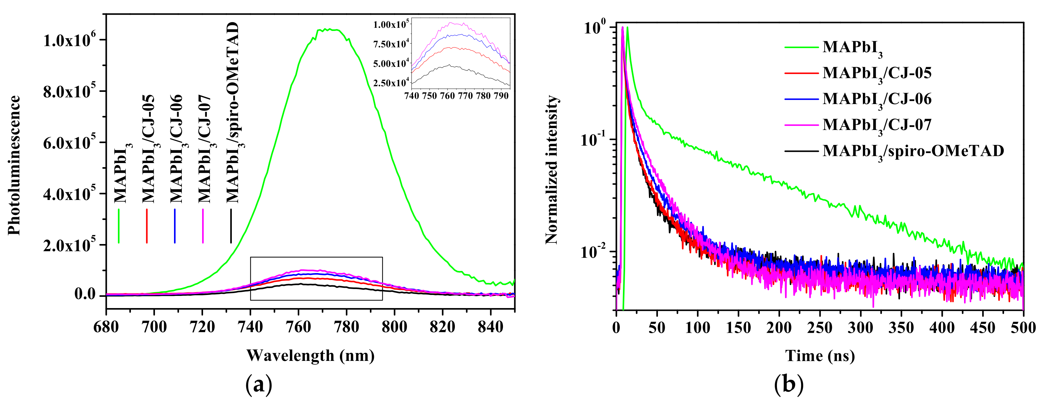
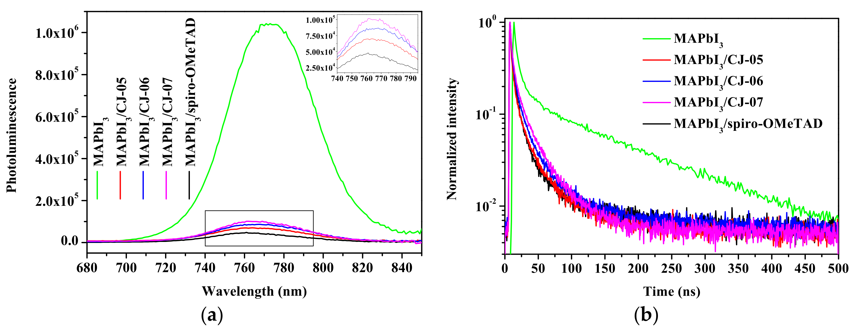
2.7. PL Spectra
2.8. Hydrophobicity
2.9. Film Morphology
2.10. Device Performance
3. Materials and Methods
4. Conclusions
Supplementary Materials
Author Contributions
Funding
Institutional Review Board Statement
Informed Consent Statement
Data Availability Statement
Conflicts of Interest
Sample Availability
References
- Kojima, A.; Teshima, K.; Shirai, Y.; Miyasaka, T. Organometal halide perovskites as visible-light sensitizers for photovoltaic cells. J. Am. Chem. Soc. 2009, 131, 6050–6051. [Google Scholar] [CrossRef] [PubMed]
- Best Research-Cell Efficiency Chart. Available online: https://www.nrel.gov/pv/cell-efficiency.html (accessed on 20 February 2023).
- Li, N.; Niu, X.; Chen, Q.; Zhou, H. Towards commercialization: The operational stability of perovskite solar cells. Chem. Soc. Rev. 2020, 49, 8235–8286. [Google Scholar] [CrossRef] [PubMed]
- Li, D.; Liao, P.; Shai, X.; Huang, W.; Liu, S.; Li, H.; Shen, Y.; Wang, M. Recent progress on stability issues of organic-inorganic hybrid lead perovskite-based solar cells. RSC Adv. 2016, 6, 89356–89366. [Google Scholar] [CrossRef]
- Han, Y.; Meyer, S.; Dkhissi, Y.; Weber, K.; Pringle, J.M.; Bach, U.; Spiccia, L.; Cheng, Y.-B. Degradation observations of encapsulated planar CH3NH3PbI3 perovskite solar cells at high temperatures and humidity. J. Mater. Chem. A 2015, 3, 8139–8147. [Google Scholar] [CrossRef]
- Chen, J.; Park, N.-G. Materials and methods for interface engineering toward stable and efficient perovskite solar cells. ACS Energy Lett. 2020, 5, 2742–2786. [Google Scholar] [CrossRef]
- Yin, W.; Pan, L.; Yang, T.; Liang, Y. Recent advances in interface engineering for planar heterojunction perovskite solar cells. Molecules 2016, 21, 837. [Google Scholar] [CrossRef]
- Gao, W.-J.; Xia, J.; Xiao, J.; Yu, H.-J.; Wang, D.; Shinohara, A.; Jia, C.; Kuang, D.-B.; Shao, G. Cooperative effects of dopant-free hole-transporting materials and polycarbonate film for sustainable perovskite solar cells. Chem. Eng. J. 2022, 437, 135197. [Google Scholar] [CrossRef]
- Pham, H.D.; Li, X.; Li, W.; Manzhos, S.; Kyaw, A.K.K.; Sonar, P. Organic interfacial materials for perovskite-based optoelectronic devices. Energy Environ. Sci. 2019, 12, 1177–1209. [Google Scholar] [CrossRef]
- Yin, X.; Song, Z.; Li, Z.; Tang, W. Toward ideal hole transport materials: A review on recent progress in dopant-free hole transport materials for fabricating efficient and stable perovskite solar cells. Energy Environ. Sci. 2020, 13, 4057–4086. [Google Scholar] [CrossRef]
- Farokhi, A.; Shahroosvand, H.; Monache, G.D.; Pilkington, M.; Nazeeruddin, M.K. The evolution of triphenylamine hole transport materials for efficient perovskite solar cells. Chem. Soc. Rev. 2022, 51, 5974–6064. [Google Scholar] [CrossRef]
- Vailassery, J.; Sun, S.-S. Recent progress of helicene type hole-transporting materials for perovskite solar cells. Molecules 2023, 28, 510. [Google Scholar] [CrossRef] [PubMed]
- Jeong, M.; Choi, I.W.; Go, E.M.; Cho, Y.; Kim, M.; Lee, B.; Jeong, S.; Jo, Y.; Choi, H.W.; Lee, J.; et al. Stable perovskite solar cells with efficiency exceeding 24.8% and 0.3-V voltage loss. Science 2020, 369, 1615–1620. [Google Scholar] [CrossRef] [PubMed]
- Gao, W.-J.; Yu, H.-J.; Chen, J.; Xiao, J.; Fang, J.-K.; Jia, X.-R.; Peng, C.-F.; Shao, G.; Kuang, D.-B. Simple hole-transporting materials containing twin-carbazole moiety and unconjugated flexible linker for efficient and stable perovskite solar cells. Chem. Eng. J. 2021, 405, 126434. [Google Scholar] [CrossRef]
- Chen, J.; Xia, J.; Gao, W.-J.; Yu, H.-J.; Zhong, J.-X.; Jia, C.; Qin, Y.-S.; She, Z.; Kuang, D.-B.; Shao, G. Tetraphenylbutadiene-based symmetric 3D hole-transporting materials for perovskite solar cells: A trial trade-off between charge mobility and film morphology. ACS Appl. Mater. Interfaces 2020, 12, 21088–21099. [Google Scholar] [CrossRef] [PubMed]
- Chen, J.; Xia, J.; Yu, H.-J.; Zhong, J.-X.; Wu, X.-K.; Qin, Y.-S.; Jia, C.; She, Z.; Kuang, D.-B.; Shao, G. Asymmetric 3D hole-transporting materials based on triphenylethylene for perovskite solar cells. Chem. Mater. 2019, 31, 5431–5441. [Google Scholar] [CrossRef]
- Jeon, N.J.; Lee, H.G.; Kim, Y.C.; Seo, J.; Noh, J.H.; Lee, J.; Seok, S.I. o-Methoxy substituents in spiro-OMeTAD for efficient inorganic-organic hybrid perovskite solar cells. J. Am. Chem. Soc. 2014, 136, 7837–7840. [Google Scholar] [CrossRef]
- Ren, G.; Han, W.; Deng, Y.; Wu, W.; Li, Z.; Guo, J.; Bao, H.; Liu, C.; Guo, W. Strategies of modifying spiro-OMeTAD materials for perovskite solar cells: A review. J. Mater. Chem. A 2021, 9, 4589–4625. [Google Scholar] [CrossRef]
- Lee, K.-M.; Abate, S.Y.; Yang, J.H.; Chiu, W.-H.; Ahn, S.; Li, S.-R.; Liau, K.-L.; Tao, Y.-T.; Lin, Y.-D. Facile synthesis of spiro-core-based hole-transporting material for high-performance and stable perovskite solar cells. Chem. Eng. J. 2023, 454, 139926. [Google Scholar] [CrossRef]
- Rakstys, K.; Paek, S.; Gao, P.; Gratia, P.; Marszalek, T.; Grancini, G.; Cho, K.T.; Genevicius, K.; Jankauskas, V.; Pisulab, W.; et al. Molecular engineering of face-on oriented dopant-free hole transporting material for perovskite solar cells with 19% PCE. J. Mater. Chem. A 2017, 5, 7811–7815. [Google Scholar] [CrossRef]
- Cui, B.-B.; Yang, N.; Shi, C.-B.; Yang, S.-S.; Shao, J.-Y.; Han, Y.; Zhang, L.-Z.; Zhang, Q.-S.; Zhong, Y.-W.; Chen, Q. Naphtho [1,2-b:4,3-b′]dithiophene-based hole transporting materials for high-performance perovskite solar cells: Molecular engineering and opto-electronic properties. J. Mater. Chem. A 2018, 6, 10057–10063. [Google Scholar] [CrossRef]
- Chen, H.-L.; Fu, W.-F.; Huang, C.-Y.; Zhang, Z.-Q.; Li, S.-X.; Ding, F.-Z.; Shi, M.-M.; Li, C.-Z.; Jen, A.K.-Y.; Chen, H.-Z. Molecular engineered hole-extraction materials to enable dopant-free, efficient p-i-n perovskite solar cells. Adv. Energy Mater. 2017, 7, 1700012. [Google Scholar] [CrossRef]
- Wu, J.; Liu, C.; Hu, M.; Deng, X.; Tan, W.; Tian, Y.; Xu, B. Polystyrene with a methoxytriphenylamineconjugated-thiophene moiety side-chain as a dopant-free hole-transporting material for perovskite solar cells. J. Mater. Chem. A 2018, 6, 13123–13132. [Google Scholar] [CrossRef]
- Wu, Y.; Wang, Z.; Liang, M.; Cheng, H.; Li, M.; Liu, L.; Wang, B.; Wu, J.; Ghimire, R.P.; Wang, X.; et al. Influence of nonfused cores on the photovoltaic performance of linear triphenylamine-based hole-transporting materials for perovskite solar cells. ACS Appl. Mater. Interfaces 2018, 10, 17883–17895. [Google Scholar] [CrossRef] [PubMed]
- Wu, J.; Liu, C.; Deng, X.; Zhang, L.; Hu, M.; Tang, J.; Tan, W.; Tian, Y.; Xu, B. Simple and low-cost thiophene and benzeneconjugated triaryamines as hole-transporting materials for perovskite solar cells. RSC Adv. 2017, 7, 45478–45483. [Google Scholar] [CrossRef]
- Liu, X.; Kong, F.; Guo, F.; Cheng, T.; Chen, W.; Yu, T.; Chen, J.; Tan, Z.; Dai, S. Influence of p-linker on triphenylamine-based hole transporting materials in perovskite solar cells. Dye. Pigment. 2017, 139, 129–135. [Google Scholar] [CrossRef]
- Liu, X.; Kong, F.; Ghadari, R.; Jin, S.; Chen, W.; Yu, T.; Hayat, T.; Alsaedi, A.; Guo, F.; Tan, Z.; et al. Thiophene-arylamine hole-transporting materials in perovskite solar cells: Substitution position effect. Energy Technol. 2017, 5, 1788–1794. [Google Scholar] [CrossRef]
- Zhou, Z.; Zhang, X.; Ghadari, R.; Liu, X.; Wang, W.; Ding, Y.; Cai, M.; Pan, J.H.; Dai, S. Heteroatom effect on linear-shaped dopant-free hole transporting materials for perovskite solar cells. Solar Energy 2021, 221, 323–331. [Google Scholar] [CrossRef]
- Wu, G.; Zhang, Y.; Kaneko, R.; Kojima, Y.; Sugawa, K.; Islam, A.; Otsuki, J.; Liu, S. Triphenylamine-based hole transporting materials with thiophene-derived bridges for perovskite solar cells. Synth. Met. 2020, 261, 116323. [Google Scholar] [CrossRef]
- Li, H.; Fu, K.; Hagfeldt, A.; Grätzel, M.; Mhaisalkar, S.G.; Grimsdale, A.C. A simple 3,4-ethylenedioxythiophene based hole-transporting material for perovskite solar cells. Angew. Chem. Int. Ed. 2014, 53, 4085–4088. [Google Scholar] [CrossRef]
- Chen, J.; Chen, B.-X.; Zhang, F.-S.; Yu, H.-J.; Ma, S.; Kuang, D.-B.; Shao, G.; Su, C.-Y. 3,4-Phenylenedioxythiophene (PheDOT) based hole-transporting materials for perovskite solar cells. Chem. Asian J. 2016, 11, 1043–1049. [Google Scholar] [CrossRef]
- Abate, A.; Planells, M.; Hollman, D.J.; Barthi, V.; Chand, S.; Snaith, H.J.; Robertson, N. Hole-transport materials with greatly-differing redox potentials give efficient TiO2-[CH3NH3][PbX3] perovskite solar cells. Phys. Chem. Chem. Phys. 2015, 17, 2335–2338. [Google Scholar] [CrossRef] [PubMed]
- Kazim, S.; Ramos, F.J.; Gao, P.; Nazeeruddin, M.K.; Grätzel, M.; Ahmad, S. A dopant free linear acene derivative as a hole transport material for perovskite pigmented solar cells. Energy Environ. Sci. 2015, 8, 1816–1823. [Google Scholar] [CrossRef]
- Chou, H.-H.; Chiang, Y.-H.; Li, M.-H.; Shen, P.-S.; Wei, H.-J.; Mai, C.-L.; Chen, P.; Yeh, C.-Y. Zinc porphyrin-ethynylaniline conjugates as novel hole-transporting materials for perovskite solar cells with power conversion efficiency of 16.6%. ACS Energy Lett. 2016, 1, 956–962. [Google Scholar] [CrossRef]
- Jesuraj, P.J.; Somasundaram, S.; Kamaraj, E.; Hafeez, H.; Lee, C.; Kim, D.; Won, S.H.; Shin, S.T.; Song, M.; Kim, C.-S.; et al. Intramolecular charge transfer-based spirobifluorene-coupled heteroaromatic moieties as efficient hole transport layer and host in phosphorescent organic light-emitting diodes. Org. Electron. 2020, 85, 105825. [Google Scholar] [CrossRef]
- Yao, Y.; Cheng, C.; Zhang, C.; Hu, H.; Wang, K.; Wolf, S.D. Organic hole-transport layers for efficient, stable, and scalable inverted perovskite solar cells. Adv. Mater. 2022, 34, 2203794. [Google Scholar] [CrossRef]
- Li, X.; Liu, X.; Wang, X.; Zhao, L.; Jiu, T.; Fang, J. Polyelectrolyte based hole-transporting materials for high performance solution processed planar perovskite solar cells. J. Mater. Chem. A 2015, 3, 15024–15029. [Google Scholar] [CrossRef]
- Xiao, J.; Yu, H.-J.; Wang, D.; Gao, W.-J.; Shinohara, A.; Xia, J.; Shao, G. An acetylene-linked 9,9′-bicarbazole-based hole-transporting material for efficient perovskite solar cells. Energy Fuels 2022, 36, 2086–2094. [Google Scholar] [CrossRef]
- Nöll, G.; Avola, M.; Lynch, M.; Daub, J. Comparison of alternant and nonalternant aromatic bridge systems with respect to their ET-properties. J. Phys. Chem. C 2007, 111, 3197–3204. [Google Scholar] [CrossRef]
- Rakstys, K.; Saliba, M.; Gao, P.; Gratia, P.; Kamarauskas, E.; Paek, S.; Jankauskas, V.; Nazeeruddin, M.K. Highly efficient perovskite solar cells employing an easily attainable bifluorenylidene-based hole-transporting material. Angew. Chem. Int. Ed. 2016, 55, 7464–7468. [Google Scholar] [CrossRef]
- Mai, R.-S.; Wu, X.-Y.; Jiang, Y.; Meng, Y.-Y.; Liu, B.-Q.; Hu, X.-W.; Roncali, J.; Zhou, G.-F.; Liu, J.-M.; Kempa, K.; et al. An efficient multi-functional material based on polyether-substituted indolocarbazole for perovskite solar cells and solution-processed non-doped OLEDs. J. Mater. Chem. A 2019, 7, 1539–1547. [Google Scholar] [CrossRef]
- Kwon, H.; Reddy, S.S.; Arivunithi, V.M.; Jin, H.; Park, H.-Y.; Cho, W.; Song, M.; Jin, S.-H. A linear D–π–A based hole transport material for high performance rigid and flexible planar organic–inorganic hybrid perovskite solar cells. J. Mater. Chem. C 2019, 7, 13440–13446. [Google Scholar] [CrossRef]
- Cho, A.-N.; Chakravarthi, N.; Kranthiraja, K.; Reddy, S.S.; Kim, H.-S.; Jin, S.-H.; Park, N.-G. Acridine-based novel hole transporting material for high efficiency perovskite solar cells. J. Mater. Chem. A 2017, 5, 7603–7611. [Google Scholar] [CrossRef]
- Zhang, M.-D.; Wang, G.; Zhao, D.-X.; Huang, C.-Y.; Cao, H.; Chen, M.-D. 3D hole-transporting materials based on coplanar quinolizino acridine for highly efficient perovskite solar cells. Chem. Sci. 2017, 8, 7807–7814. [Google Scholar] [CrossRef] [PubMed]
- Calil, L.; Kazim, S.; Grätzel, M.; Ahmad, S. Hole-transport materials for perovskite solar cells. Angew. Chem. Int. Ed. 2016, 55, 14522–14545. [Google Scholar] [CrossRef]
- Sallenave, X.; Shasti, M.; Anaraki, E.H.; Volyniuk, D.; Grazulevicius, J.V.; Zakeeruddin, S.M.; Mortezaali, A.; Grätzel, M.; Hagfeldt, A.; Sini, G. Interfacial and bulk properties of hole transporting materials in perovskite solar cells: Spiro-MeTAD versus spiro-OMeTAD. J. Mater. Chem. A 2020, 8, 8527–8539. [Google Scholar] [CrossRef]
- Liu, L.-Y.; Wu, Y.-G.; Li, M.-Y.; Zong, X.-P.; Sun, Z.; Liang, M.; Xue, S. Thieno[3,2-b]indole-based hole transporting materials for perovskite solar cells with photovoltages exceeding 1.11 V. Chem. Commun. 2018, 54, 14025–14028. [Google Scholar] [CrossRef]
- Xu, Y.-C.; Bu, T.-L.; Li, M.-J.; Qin, T.-S.; Yin, C.-R.; Wang, N.-N.; Li, R.-Z.; Zhong, J.; Li, H.; Peng, Y.; et al. Non-conjugated polymer as an efficient dopant-free hole-transporting material for perovskite solar cells. ChemSusChem 2017, 10, 2578–2584. [Google Scholar] [CrossRef]
- Deng, Z.; He, M.; Zhang, Y.; Ullah, F.; Ding, K.; Liang, J.; Zhang, Z.; Xu, H.; Qiu, Y.; Xie, Z.; et al. Design of low crystallinity spiro-typed hole transporting material for planar perovskite solar cells to achieve 21.76% efficiency. Chem. Mater. 2021, 33, 285–297. [Google Scholar] [CrossRef]
- Wang, S.-S.; Wei, Q.; Wang, K.-Y.; Zhang, Z.-P.; Zhao, D.-D.; Liang, C.; Liu, T.-H.; Guo, J.; Su, C.-L.; Li, Y.; et al. Morphology control of doped spiro-MeOTAD films for air stable perovskite solar cells. Small 2020, 16, 1907513. [Google Scholar] [CrossRef]
- Agrawal, A.R.; Kumar, N.R.; Debnath, S.; Das, S.; Kumar, C.; Zade, S.S. Radical-cascade avenue for 3,4-fused-ring-substituted thiophenes. Org. Lett. 2018, 20, 4728–4731. [Google Scholar] [CrossRef]
- Ji, L.; Edkins, R.M.; Sewell, L.J.; Beeby, A.; Batsanov, A.S.; Fucke, K.; Drafz, M.; Howard, J.A.K.; Moutounet, O.; Ibersiene, F.; et al. Marder. Experimental and theoretical studies of quadrupolar oligothiophene-cored chromophores containing dimesitylboryl moieties as π-accepting end-groups: Syntheses, structures, fluorescence, and one- and two-photon absorption. Chem. Eur. J. 2014, 20, 13618–13635. [Google Scholar] [CrossRef] [PubMed]
- Darmanin, T.; Laugier, J.-P.; Orange, F.; Guittard, F. Influence of the monomer structure and electrochemical parameters on the formation of nanotubes with parahydrophobic properties (high water adhesion) by a templateless electropolymerization process. J. Colloid Interface Sci. 2016, 466, 413–424. [Google Scholar] [CrossRef]
- Rakstys, K.; Abate, A.; Dar, M.I.; Gao, P.; Jankauskas, V.; Jacopin, G.; Kamarauskas, E.; Kazim, S.; Ahmad, S.; Grätzel, M.; et al. Triazatruxene-based hole transporting materials for highly efficient perovskite solar cells. J. Am. Chem. Soc. 2015, 137, 16172–16178. [Google Scholar] [CrossRef] [PubMed]
- Song, J.-L.; Amaladass, P.; Wen, S.-H.; Pasunooti, K.K.; Li, A.; Yu, Y.-L.; Wang, X.; Deng, W.-Q.; Liu, X.-W. Aryl/hetero-arylethyne bridged dyes: The effect of planar π-bridge on the performance of dye-sensitized solar cells. New J. Chem. 2011, 35, 127–136. [Google Scholar] [CrossRef]
- Zhou, T.-L.; Anderson, R.T.; Li, H.-S.; Bell, J.; Yang, Y.-A.; Gorman, B.P.; Pylypenko, S.; Lusk, M.T.; Sellinger, A. Bandgap tuning of silicon quantum dots by surface functionalization with conjugated organic groups. Nano Lett. 2015, 15, 3657–3663. [Google Scholar] [CrossRef] [PubMed]
- Yamaguchi, Y.; Ochi, T.; Matsubara, Y.; Yoshida, Z.-I. Highly emissive whole rainbow fluorophores consisting of 1,4-bis(2-phenylethynyl)benzene core skeleton: Design, synthesis, and light-emitting characteristics. J. Phys. Chem. A 2015, 119, 8630–8642. [Google Scholar] [CrossRef]





| HTM | λabs (nm) a | λem (nm) a | EHOMO (eV) b | ELUMO (eV) c | Egap (eV) d | μ (cm2 V−1 S−1) e | Td (°C) f | Tg (°C) |
|---|---|---|---|---|---|---|---|---|
| CJ-05 | 297, 403 (max) | 526 | −5.51 | −2.79 | 2.72 | 5.56 × 10−5 | 426.8 | 76.7 |
| CJ-06 | 298, 406 (max) | 514 | −5.50 | −2.78 | 2.72 | 1.52 × 10−5 | 365.0 | 93.5 |
| CJ-07 | 296, 407 (max) | 538 | −5.52 | −2.84 | 2.68 | 3.91 × 10−5 | 418.8 | 103.6 |
| spiro-OMeTAD | 306, 386 (max) | 424 | −5.22 g | −2.17 | 3.05 | 8.42 × 10−5 | 417.0 h | 126.0 h |
| HTM | JSC (mA cm−2) | VOC (V) | FF (%) | PCE (%) | Rs (Ω cm−2) |
|---|---|---|---|---|---|
| CJ-05 | 8.98 | 0.987 | 68.2 | 6.04 | 8.8 |
| CJ-06 | 11.05 | 0.907 | 67.6 | 6.77 | 4.7 |
| CJ-07 | 9.00 | 1.024 | 70.3 | 6.48 | 7.7 |
| spiro-OMeTAD | 22.45 | 1.049 | 74.3 | 17.50 | 3.3 |
Disclaimer/Publisher’s Note: The statements, opinions and data contained in all publications are solely those of the individual author(s) and contributor(s) and not of MDPI and/or the editor(s). MDPI and/or the editor(s) disclaim responsibility for any injury to people or property resulting from any ideas, methods, instructions or products referred to in the content. |
© 2023 by the authors. Licensee MDPI, Basel, Switzerland. This article is an open access article distributed under the terms and conditions of the Creative Commons Attribution (CC BY) license (https://creativecommons.org/licenses/by/4.0/).
Share and Cite
Yu, H.-J.; Xiao, J.; Chen, J.; Ren, X.; Qi, Y.-E.; Min, X.; Shao, G. Synthesis, Properties, and Application of Small-Molecule Hole-Transporting Materials Based on Acetylene-Linked Thiophene Core. Molecules 2023, 28, 3739. https://doi.org/10.3390/molecules28093739
Yu H-J, Xiao J, Chen J, Ren X, Qi Y-E, Min X, Shao G. Synthesis, Properties, and Application of Small-Molecule Hole-Transporting Materials Based on Acetylene-Linked Thiophene Core. Molecules. 2023; 28(9):3739. https://doi.org/10.3390/molecules28093739
Chicago/Turabian StyleYu, Hui-Juan, Jing Xiao, Jian Chen, Xuefeng Ren, Ya-E Qi, Xuemei Min, and Guang Shao. 2023. "Synthesis, Properties, and Application of Small-Molecule Hole-Transporting Materials Based on Acetylene-Linked Thiophene Core" Molecules 28, no. 9: 3739. https://doi.org/10.3390/molecules28093739
APA StyleYu, H.-J., Xiao, J., Chen, J., Ren, X., Qi, Y.-E., Min, X., & Shao, G. (2023). Synthesis, Properties, and Application of Small-Molecule Hole-Transporting Materials Based on Acetylene-Linked Thiophene Core. Molecules, 28(9), 3739. https://doi.org/10.3390/molecules28093739

