Abstract
A one-stage method for the preparation of 1-[isocyanato(phenyl)methyl]adamantane containing a phenylmethylene fragment located between the adamantane fragment and the isocyanate group, and 1-[isocyanato(phenyl)methyl]-3,5-dimethyladamantane with additional methyl groups at the nodal positions of adamantane, with a yield of 95% and 89%, respectively, is described. The method includes the direct inclusion of an adamantane moiety through the reaction of phenylacetic acid ethyl ester with 1,3-dehydroadamantane or 3,5-dimethyl-1,3-dehydroadamantane followed by the hydrolysis of the obtained esters. The reaction of 1-[isocyanato(phenyl)methyl]adamantane with fluorine(chlorine)-containing anilines gave a series of 1,3-disubstituted ureas with 25–85% yield. 1-[Isocyanato(phenyl)methyl]-3,5-dimethyladamantane was involved in the reactions with fluorine(chlorine)-containing anilines and trans-4-amino-(cyclohexyloxy)benzoic acid to obtain another series of ureas with a yield of 29–74%. The resulting 1,3-disubstituted ureas are promising inhibitors of the human soluble epoxide hydrolase (hsEH).
1. Introduction
Lipophilic fragments of inhibitors of soluble epoxidhydrolase (sEH, E. C. 3.3.2.10), an enzyme located in the arachidonic cascade [1,2,3,4] and involved in the metabolism of epoxy fatty acids (arachidonic acid metabolites) to the corresponding vicinal diols by catalytic addition of water molecules, usually contain adamantane [2] or aromatic fragments [5] in their structure. Inhibition sEH allows for successfully fighting against kidney diseases [6], cardiovascular diseases, and diabetes [7]. However, there are no references in the literature on sEH inhibitors, the lipophilic part of which contains both adamantane and an aromatic moiety at the same time. Vazquez et al. considered the replacement of the adamantane fragment with compounds containing polycyclic hydrocarbons smaller or larger than adamantane. Inhibitory activity values (IC50) for these compounds were 0.4–21.7 nM, indicating that sEH is able to accommodate inhibitors of very different sizes. However, it has been noted that the human liver microsomal stability of diamantane-containing inhibitors is lower than that of their corresponding adamantane counterparts [8].
The presence of closely spaced, bulk fragments of adamantyl (3,5-dimethyladamantyl) and phenyl in the structure of 1,3-disubstituted urea molecules will allow us to clarify the limiting dimensions of structures that can be used as sEH inhibitors, since the catalytical center of the enzyme is a “tunnel” of limited dimensions, with the following geometrical parameters: d(O2–H2) = 0.89 (2) Å, d(H2···O1’) = 1.78(2) Å, d(O2···O1’) = 2.6631(11) Å, (O2-H2···O1’) = 171 (2)°, symmetry operation 1–x, 2–y, 1–z [8]. Due to various intermolecular interactions [9], including nonclassical hydrogen bonds, centrosymmetric dimers formed by the classical hydrogen bond O2–H2···O1’ form a three-dimensional crystal structure with a rather high packing density of 71.1% [10].
One of our studies was devoted to the synthesis of symmetric 1,3-disubstituted diureas containing both an adamantane fragment and an aromatic ring in the lipophilic part [10]. Compounds containing bulky lipophilic fragments can be used to study features of inhibition between soluble epoxide hydrolases of different species due to the differences in the protein structures [11]. However, compounds containing in the right part the halogen-containing (F, Cl) anilines have not been previously obtained.
Thus, the synthesis of new compounds containing (adamantane-1-yl)(phenyl)methyl or (3,5-dimethyladamantane-1-yl)(phenyl)methyl fragments, and the synthesis of 1,3-disubstituted ureas based on them, is of significant scientific and practical interest.
2. Results and Discussion
1,3-Dehydroadamantane 2a and 1,3-dehydro-5,7-dimethyladamantane 2b were obtained by the well-known method [12]. Then they were involved in the reaction with phenylacetic acid ethyl ester. The adamantylation reaction of phenylacetic acid ethyl ester proceeded into the α-position to the carbonyl group, with the obtaining of ethyl esters of (±)-(adamantane-1-yl)phenylacetic acid 3a and (±)-3,5-dimethyl-(adamantane-1-yl)- phenylacetic acid 3b acids, yielding 91% and 85%, respectively (Scheme 1) [13].
Scheme 1.
Preparation of (±)-(adamantan-1-yl)phenylacetic 3a and (±)-3,5-dimethyl-(adamantan-1-yl)phenylacetic 3b acid ethyl ester.
Obtained adamantyl containing derivatives of phenylacetic acid ethyl ester 3a and 3b were hydrolyzed in ethylene glycol in the presence of KOH at the temperature of 190 °C [10], to produce (±)-(adamantane-1-yl)phenylacetic acid 4a and (±)-3,5-dimethyl- (adamantane-1-yl)phenylacetic acid 4b, with yields of 67% and 73%, respectively.
Using a one-stage method which excludes the use of toxic and explosive reagents [10], acting on acids 4a and 4b with equimolar amounts of diphenylphosphoryl azide (DPPA) and triethylamine in toluene medium led to (±)-1-[isocyanato(phenyl)methyl]adamantane 5a and (±)-1-[isocyanato(phenyl)methyl] -3,5-dimethyladamantane 5b, with yields of 95% and 89%, respectively. (±)-1-[Adamantyl(phenyl)methyl]amine hydrochloride 6a was obtained under mild conditions in toluene at room temperature using concentrated hydrochloric acid [14] with 60% yield (Scheme 2).
Scheme 2.
Preparation of (±)-1-[isocyanato(phenyl)methyl]adamantane 5a and (±)-1-[isocyanato(phenyl)methyl]-3,5-dimethyladamantane 5b.
Based on the obtained (±)-1-[isocyanato(phenyl)methyl]-3,5-dimethyladamantane 5b, the respective urea compounds containing the (3,5-dimethyladamantane-1-yl)(phenyl)methyl fragment were synthesized by two methods (methods A and B).
For the synthesis of 1,3-disubstituted urea 8a–k from isocyanates 5a and 5b according to method A, we have chosen halogen-containing (F, Cl) anilines 7a–e, and trans-4-amino-(cyclohexyloxy)benzoic acid 7f, on the basis of which the most active inhibitors of soluble epoxide hydrolase (sEH) were previously obtained [15] (Scheme 3, Table 1).
Scheme 3.
Scheme for the preparation of 1,3-disubstituted ureas 8a–k.
Table 1.
Disubstituted ureas 8a–k and 10a–c and their well-known analogs.
1,3-disubstituted ureas 8a, 8b and 10a–c were synthesized by method B from (±)-1-[adamantyl(phenyl)methyl]amine hydrochloride 6a and aromatic isocyanates 9a–d, as well as cyclohexyl isocyanate 9e, as the closest analog trans-4-amino-(cyclohexyloxy)benzoic acid 7a devoid of an oxophenylcarboxylic fragment (Scheme 4).
Scheme 4.
Preparation of 1,3-disubstituted ureas 8a,b and 10a–c.
Synthesis of 1,3-disubstituted urea 8a–k and 10a–c was carried out in an anhydrous diethyl ether medium for 12 h at room temperature in the presence of an equimolar amount of triethylamine (Table 1). Diethyl ether and triethylamine were chosen as the solvent and the base, respectively, for this reaction for a number of reasons. Ureas are usually insoluble in ether while most of the amines and isocyanates as well as triethylamine are soluble. For the cases when the starting material is insoluble in ether, DMF is used. As for the water and alcohols, they cannot be used as solvents for this reaction because they will react with the isocyanates. Most of the other polar solvents such as ethyl acetate can dissolve the resulting ureas which makes isolation more difficult. Inorganic bases are also insoluble in most of the solvents suitable for this reaction.
In 1H NMR spectra of compounds 8a–e obtained from (±)-1-[isocyanato(phenyl)methyl]adamantane 5a, the chemical shift of protons 1NH is within the range of 6.64–6.92 ppm, and the proton signals 3NH bound to anilines shift to a weaker field of 8.40–8.71 ppm, which is probably due to the close location of the electron-withdrawing phenyl substituent to the NH-group. In 1H NMR spectra of compounds 8f–j obtained from (±)-1-[isocyanato(phenyl)methyl]-3,5-dimethyladamantane 5b, the signals of 1NH proton shift to a strong field of 4.05 ppm compared to compounds 8a–e, which is probably due to the presence of electron-donating methyl substituents in the nodal positions of adamantane. The proton signals 3NH bound to the phenyl substituent stay at the same range of 8.36–8.59 ppm, as for the compounds 8a–e. For the compound 10c obtained from (±)-1-[isocyanato(phenyl)methyl]adamantane 5a and cyclohexyl isocyanate 9e, in the absence of a phenyl substituent, the proton signal 3NH shifts to a strong field of 6.37 ppm. Similarly to compounds 8a–j, the signal of a proton 1NH shifts to a strong field of 5.73 ppm.
The calculated lipophilicity coefficient LogP for the series of ureas 8a–k is in the range of 5.96–6.93, which somewhat exceeds the allowable limits according to the Lipinski rule [17]. For a series of ureas 8f–j obtained from (±)-1-[isocyanato(phenyl)methyl]-3,5-dimethyladamantane 5b, the lipophilicity coefficient is 0.12 units higher than that of ureas 8a–e obtained from (±)-1-[isocyanato(phenyl)methyl]adamantane 5a (Table 1). Based on the literature data [11], such compounds will have a higher inhibitory activity, but have a lower solubility in water and are more susceptible to metabolism in vivo. Comparing urea 8k obtained from trans-4-amino-(cyclohexyloxy)benzoic acid with analogs, it can be seen that the lipophilicity coefficient also became 0.12 units higher than for its analog 11 not containing methylene substituents in the nodal positions of adamantane. Comparing urea 8k with previously obtained analogs 12, 13 containing a fragment of trans-4-amino-(cyclohexyloxy)benzoic acid, it can be seen that the introduction of substituents in the nodal positions or in the bridge separating the adamantane fragment and the ureide group leads to an increase in the lipophilicity coefficient by 1.70 units (Table 1).
The introduction of methyl substituents in the nodal positions of adamantane made it possible to reduce the melting temperatures of the ureas 8f–j (51–196 °C) obtained from (±)-1-[isocyanato(phenyl)methyl]-3,5-dimethyladamantane 5b by 37–198 °C, in comparison with the melting temperatures of similar urea products 8a–e (233–270 °C) derived from (±)-1-[isocyanato(phenyl)methyl]adamantane 5a. The general rule that lowering melting point increases solubility is based on the simplified solubility equation proposed by Wouters and Quéré [18]. Reduced melting point is also a positive factor for drug candidates as it simplifies preparation of drug dosage forms by hot-melt extrusion [19]. For urea 8k obtained from isocyanate 5b and trans-4-amino-(cyclohexyloxy)benzoic acid, the addition of methylene substituents to the nodal positions of adamantane leads to an increase in the melting temperature by 11 °C. Thus, the melting temperature of urea 8k is 174 °C, and for urea 11 obtained from isocyanate 5a, it is 163 °C. An increase in the melting temperatures by 58 °C is also observed in urea products obtained from 1-isocyanatomethyl-3,5-dimethyladamantane 12 and 1-isocyanatomethyladamantane 13 (Table 1). However, when comparing urea 8k obtained from isocyanate 5b with urea 12 obtained from 1-isocyanatomethyl-3,5-dimethyladamantane, the melting point decreases by 66 °C when introducing a phenyl substituent into the structure of isocyanate. A similar decline of melting temperatures by 19 °C is observed in urea 13 obtained from 1-[isocyanato(phenyl)methyl]adamantane 11 and 1-isocyanatomethyladamantane 8k (Table 1, Figure 1).
Figure 1.
Comparison of the melting temperatures of urea products based on 1-[isocyanato (phenyl)methyl] adamantane 5a and obtained on the basis of 1-[isocyanato (phenyl)methyl]-3,5-dimethyladamantane 5b.
3. Materials and Methods
3.1. Chemistry
Triethylamine (BioUltra ≥ 99.5%, CAS 121-44-8), 3-chloroaniline (99%, CAS 108-42-9), cyclohexyl isocyanate (98%, CAS 3173-53-3), phenyl isocyanate (98%, CAS 103-71-9) manufactured by Sigma-Aldrich (St. Louis, MO, USA) were used without purifying.
4-(Trifluoromethoxy) isocyanate (97%, CAS 35037-73-1), aniline (99+%, CAS 62-53-3), 2-fluoroaniline (99%, CAS 348-54-9), 3-fluoroaniline (98%, CAS 372-19-0), 4-fluoroaniline (99%, CAS 371-40-4) produced by the AlfaAesar (Ward Hill, MA, USA) were used without additional purification.
Diethyl ether was purified by well-known methods. trans-4-Amino-(cyclohexyloxy)benzoic acid 7a [2], 1,3-dehydroadamantane 2a [12], 1,3-dehydro-5,7-dimethyladamantane 2b [12], 2-(adamantane-1-yl)-2-phenylacetic acid ethyl ester 3a [15], 2-(adamantane-1-yl)-2-phenylacetic acid 4a, 1-(isocyanato(phenyl) methyl)adamantane 5a [10] were obtained by well-known methods.
3.2. Equipment
Purification of the obtained adamantyl-containing derivatives of phenylacetic acid ethyl ester 3a and 3b was performed on a Pure C-815 Flash Advanced chromatographic system (Buchi Labortechnik AG, Flawil, Switzerland).
Hydrolysis of the obtained adamantyl-containing derivatives of phenylacetic acid ethyl ester 3a and 3b was carried out on a Monowave 450 microwave laboratory reactor (Anton Paar GmbH, Graz, Austria).
The structure of the obtained compounds was confirmed by 1H, 13C, and 19F NMR spectroscopy, chromatography-mass spectrometry, and elemental analysis. Mass spectra were recorded on an Agilent GC 7820A/MSD 5975 chromatography-mass spectrometer (Agilent Technologies, Santa Clara, CA, USA) in fullscan (EI) mode. 1H NMR was performed on Bruker DPX 300 (Bruker Corporation, Billerica, MA, USA) in DMSO-d6 solvent; chemical shifts 1H are given relative to SiMe4. Elemental analysis was performed on a Perkin-Elmer Series II 2400 instrument (Perkin-Elmer, Waltham, MA, USA). Melting points were determined using an OptiMelt MPA100 instrument (Stanford Research Systems, Sunnyvale, CA, USA).
3.3. Synthesis
(±)-2-(3,5-Dimethyladamantane-1-yl)-2-phenylacetic acid ethyl ester (3b).
An amount of 2.5 g (0.015 mol) of 1,3-dehydro-5,7-dimethyladamantane 2b was added to 10 g (0.061 mol) of phenylacetic acid ethyl ester. The reaction mixture was exposed at the temperature of 55–60 °C for 4 h. The excess amount of phenylacetic acid ethyl ester was distilled, and the resulting product was recrystallized from diethyl ether. The yield is 4.3 g (85%), colorless viscous liquid. Mass spectrum, m/z (Irel. %): 326 (15% [M]+), 253 (56% [(CH3)2-Ad-CH-Ph]+), 163 (100% [(CH3)2-Ad]+) (Figures S1 and S2). Anal. Calc. for C18H22O2: C 80.94; H 9.26. Found: C 80.92; H 9.28. M = 326.22.
(±)-2-(3,5-Dimethyladamantane-1-yl)-2-phenylacetic acid (4b). An amount of 4.0 g (0.012 mol) of 2-(3,5-dimethyladamantane-1-yl)phenylacetic acid ethyl ester (3b) was added to 7.0 g (0.125 mol) KOH in 70 mL of ethylene glycol. The reaction mixture was exposed at 190 °C for 16 h. The cooled reaction mass was diluted with 100 mL of H2O and extracted with ethyl acetate. The aqueous layer was placed in a rotary evaporator to remove ethyl acetate residues and concentrated hydrochloric acid was added to it until pH = 3. The precipitated white residual matter was filtered and dried in vacuum. The yield is 3.6 g (73%), white powder, m.p. 251–252 °C. Mass spectrum, m/z (Irel. %): 298 (14% [M]+), 163 (2% [(CH3)2-Ad]+), 135 (100% [(Ph)-CH-COOH]+) (Figures S3 and S4). Calc. for C20H26O2: C 80.50; H 8.78. Found: C 80.48; H 8.80. M = 298.19.
(±)-1-(Isocyanato(phenyl)methyl)-3,5-dimethyladamantane (5b). A mixture of 3.5 g (11.7 mmol) (3,5-dimethyladamantane-1-yl)phenylacetic acid 4b and 2.37 g (23.4 mmol) triethylamine in 40 mL of anhydrous toluene was treated dropwise with 3.22 g (11.7 mmol) diphenylphosphorylazide at room temperature for 30 min. Then the reaction mixture was heated to boil and exposed for 30 min until the nitrogen release was completely stopped. The toluene was evaporated, and the product was extracted from the reaction mass with anhydrous diethyl ether. The yield is 3.1 g (89%), colorless crystals, m.p. 110–111 °C. Mass spectrum, m/z (Irel. %): 295 (3% [M]+), 163 (100% [(CH3)2-Ad]+) (Figures S5 and S6). Calc. for C20H25NO: C 81.31; H 8.53; N 4.74. Found: 81.30; H 8.55.; N 4.71. M = 295.19.
(±)-1-[Adamantan-1-yl(phenyl)methyl]amine hydrochloride (6a).
To 1 g (3.75 mmol) of (±)-1-(isocyanato(phenyl)methyl)adamantane 5a in 20 mL of anhydrous toluene, 0.5 mL of concentrated hydrochloric acid (4.1 mmol of HCl) was added with stirring and the reaction mass was kept for 1 h. The resulting white precipitate was filtered off, washed with acetonitrile, and dried, then recrystallized from water. The yield is 1.03 g (99%), white powder m.p. 262–263 °C. Mass spectrum, m/z (I rel. %): 241 (1% [M]+), 135 (12% [Ad]+), 106 (100% [Ph-CH2-NH2]+) (Figures S7 and S8). 1H NMR (300 MHz, DMSO-d6, δ) ppm: 1.25–1.75 m (14H, (Ad-CH(Ph)-NH2), 1.91 s (3H, Ad), 7.12–7.35 m (5H, arom) (Figure S9). Calc. for C17H23N: C 84.59; H 9.60; N 5.80. Found: 84.55; H 9.64.; N 5.75. M = 241.38.
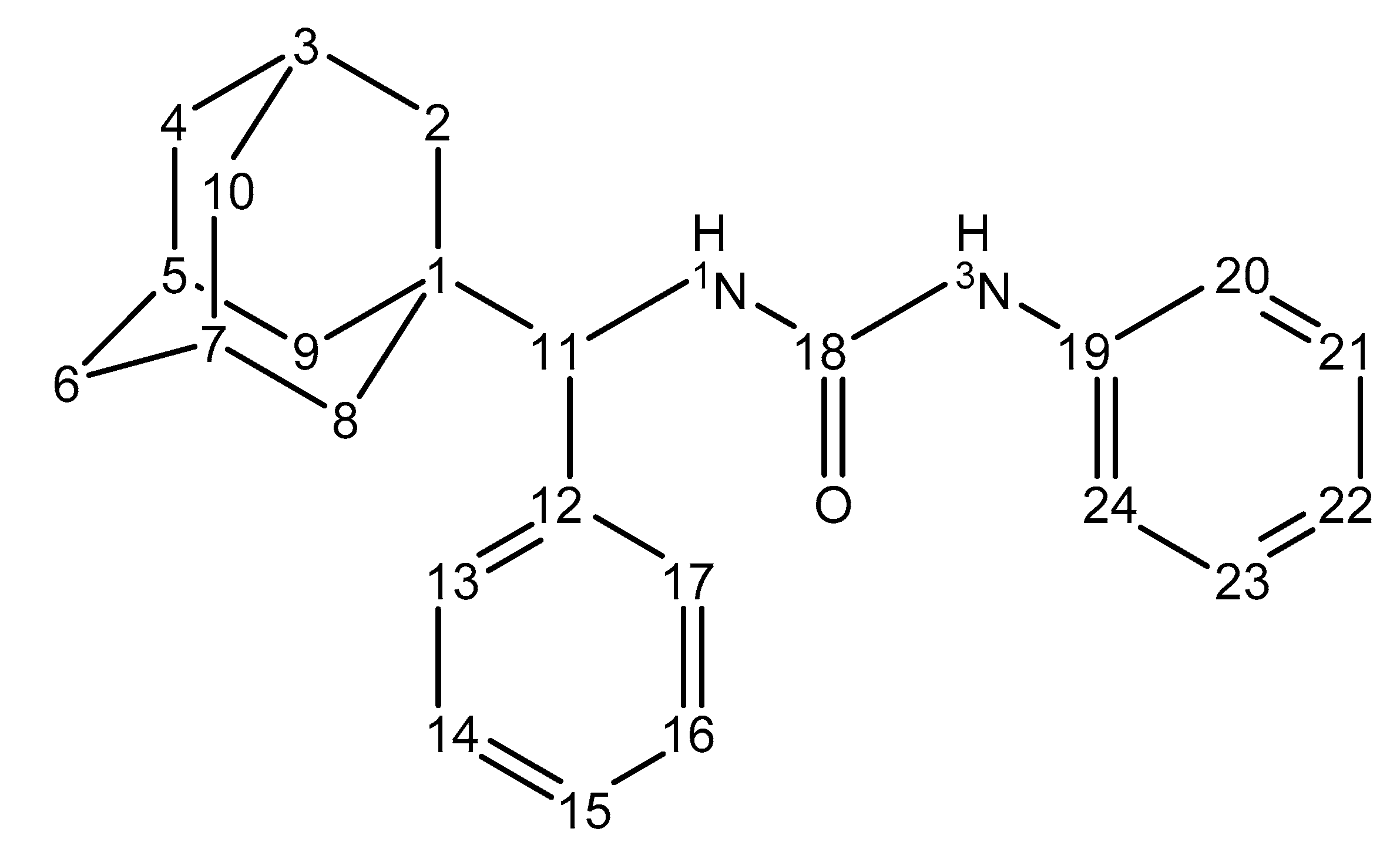
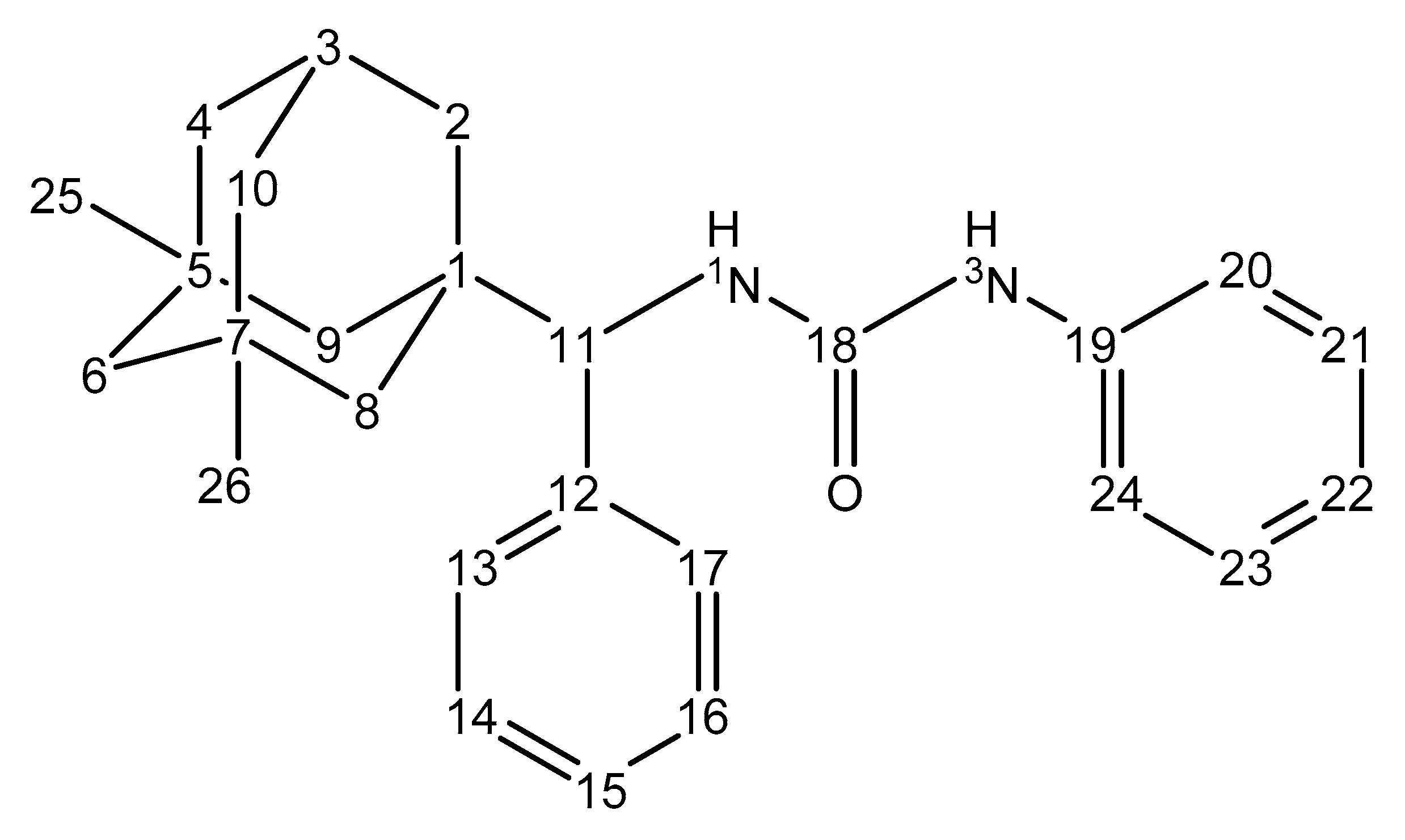
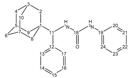
Procedure for synthesis series of 1,3-disubstituted ureas 8a–j and 10a–c. Atom labels for 13C NMR presented on Figure 2.
Figure 2.
Carbon atoms labeled for compounds 8a–e, 8g–j, 10b and 10c.
(±)-1-((Adamantyl)(phenyl)methyl)-3-phenyl urea (8a).
Method A. To 200 mg (0.75 mmol) 1-(isocyanato(phenyl)methyl)-3,5-dimethyl -adamantane (5a) in 5 mL of diethyl ether, 80 mg (0.79 mmol) of triethylamine and 70 mg (0.75 mmol) of aniline (7a) were added. The reaction mixture was exposed at room temperature for 12 h. After adding 5 mL of 1 N HCl, the mixture was stirred for 1 h. The precipitated white residual matter was filtered and washed with water. The product was purified by recrystallization from ethanol. Yield of 189 mg (70%), m.p. 253–254 °C.
Method B. To 200 mg (0.72 mmol) hydrochloride 1-[adamantyl(phenyl)methyl] -amine (6a) in 5 mL of diethyl ether, 160 mg (1.58 mmol) of triethylamine and 70 mg (0.75 mmol) of phenylisocyanate (9a) were added. The reaction mixture was exposed at room temperature for 12 h. After adding 5 mL of 1 N HCl, the mixture was stirred for 1 h. The precipitated white residual matter was filtered and washed with water. The product was purified by recrystallization from ethanol. The yield is 221 mg (85%), m.p. 253–254 °C.
1H NMR (300 MHz, DMSO-d6, δ) ppm: 1.26–1.70 m (12H, Ad), 1.91 s (3H, Ad), 4.36 d (1H, Ad-CH(Ph)-, J = 9.2 Hz), 6.76–6.92 m (2H, Ad-CH(Ph)-NH-C(O)-NH-Ph-4H), 7.08–7.21 m (4H, Ph-NH), 7.24–7.40 m (5H, Ph-CH), 8.40 s (1H, 3NH) (Figure S10). 13C NMR (75 MHz, DMSO-d6, δ) ppm: 28.20 (C3, C5, C7), 36.32 (C1), 36.94 (C4, C6, C10), 38.91 (C2, C8, C9), 62.75 (C11), 117.73 (C20, C24), 121.38 (C15), 126.94 (C22), 127.82 (C14, C16), 128.71 (C21, C23), 129.12 (C13, C17), 140.81 (C19), 140.92 (C12), 155.17 (C18) (Figure S11). Calc. for C24H28N2O: C 79.96; H 7.83; N 7.77. Found: C 79.97; H 7.85; N 7.79. M = 360.22.
(±)-1-((Adamantan-1-yl)(phenyl)methyl)-3-(2-fluorophenyl) urea (8b).
It was obtained similarly to the compound (8a), by method A, from 200 mg of the compound (5a) and 83 mg of 2-fluorophenine (7b). The yield is 71 mg (25%), m.p. 249–250 °C. It also was obtained by method B, from 200 mg of the compound (6a) and 98 mg of 2-fluorophenylisocyanate (9b). The yield is 218 mg (80%), m.p. 249–250 °C. 1H NMR (300 MHz, DMSO-d6, δ) ppm: 1.21–1.75 m (12H, Ad), 1.91 s (3H, Ad), 4.37 d (1H, Ad-CH(Ph), J = 8.9 Hz), 6.79–6.92 m (2H, NH-C(O)-NH-Ph-2F), 6.93–7.05 m (1H, NH-Ph-2F), 7.07–7.22 m (4H, Ad-CH(Ph)-NH-C(O)-NH-Ph-2F), 7.23–7.38 m (2H, Ph-CH), 8.01–8.20 m (1H, NH-Ph-2F), 8.40 s (1H, 3NH) (Figure S12). 13C NMR (75 MHz, DMSO-d6, δ) ppm: 28.17 (C3, C5, C7), 36.31 (C1), 36.90 (C4, C6, C10), 38.86 (C2, C8, C9), 62.96 (C11), 115.14 (d, J = 18.9 Hz) (C21), 119.96 (d, J = 2.0 Hz) (C23), 121.70 (d, J = 7.3 Hz) (C22), 124.81 (d, J = 3.4 Hz) (C24), 127.02 (C15), 127.87 (C14, C16), 128.69 (C13, C17), 128.893 (d, J = 10.1 Hz) (C19), 140.61 (C12), 151.77 (d, J = 239.9 Hz) (C20), 154.88 (C18) (Figure S13). 19F NMR (282 MHz, DMSO-d6, δ) ppm: -133.85 (1F) (Figure S14). Calc. for C24H27FN2O: C 76.16; H 7.19; N 7.40. Found: C 76.18; H 7.17; N 7.42. M = 378.21.
(±)-1-((Adamantan-1-yl)(phenyl)methyl)-3-(3-fluorophenyl) urea (8c).
It was obtained similarly to the compound (8a), by method A, from 200 mg of compound (5a) and 83 mg of 3-fluorophenine (7c). The yield is 83 mg (29%), m.p. 233–234 °C. 1H NMR (300 MHz, DMSO-d6, δ) ppm: 1.32–1.64 m (12H, Ad), 1.91 s (3H, Ad), 4.36 d (1H, Ad-CH(Ph), J = 9.3 Hz), 6.64 td (1H, 1NH, J = 8.4, 2.6 Hz), 6.93-7.00 m (2H, arom), 7.12–7.39 m (7H, Ad-CH(Ph)-NH-C(O)-NH-Ph-3F), 7.41 dt (1H, NH-Ph-3F, J = 12.3, 2.3 Hz), 8.71 s (1H, 3NH) (Figure S15). 13C NMR (75 MHz, DMSO-d6, δ) ppm: 28.19 (C3, C5, C7), 36.31 (C1), 36.92 (C4, C6, C10), 38.87 (C2, C8, C9), 62.81 (C11), 104.42 (d, J = 26.7 Hz) (C22), 107.62 (d, J = 21.3 Hz) (C20), 113.49 (C24), 126.99 (C15), 127.84 (C14, C16), 128.72 (C13, C17), 130.58 (d, J = 9.9 Hz) (C23), 140.63 (C12), 142.82 (d, J = 11.5 Hz) (C19), 154.99 (C18), 162.92 (d, J = 240.3 Hz) (C21) (Figure S16). 19F NMR (282 MHz, DMSO-d6, δ) ppm: -114.92 (1F) (Figure S17). Calc. for C24H27FN2O: C 76.16; H 7.19; N 7.40. Found: C 76.17; H 7.18; N 7.41. M = 378.21.
(±)-1-((Adamantan-1-yl)(phenyl)methyl)-3-(4-fluorophenyl) urea (8d).
It was obtained similarly to the compound (8a), by method A, from 200 mg of compound (5a) and 83 mg of 4-fluorophenine (7d). The yield is 153 mg (54%), m.p. 270–271 °C. 1H NMR (300 MHz, DMSO-d6, δ) ppm: 1.28–1.68 m (12H, Ad), 1.91 s (3H, Ad), 4.35 d (1H, Ad-CH(Ph), J = 9.2 Hz), 6.81 d (1H, 1NH, J = 9.4 Hz), 7.0 t (2H, NH-Ph-4F, J = 8.7 Hz), 7.10–7.44 m (7H, Ad-CH(Ph)-NH-C(O)-NH-Ph-F), 8.42 s (1H, 3NH) (Figure S18). 13C NMR (75 MHz, DMSO-d6, δ) ppm: 28.16 (C3, C5, C7), 36.29 (C1), 36.88 (C4, C6, C10), 38.87 (C2, C8, C9), 62.80 (C11), 115.59 (d, J = 22.1 Hz) (C22, C23), 119.39 (d, J = 7.6 Hz) (C20,C24), 127.01 (C15), 127.86 (C14, C16), 128.68 (C13, C17), 137.15 (d, J = 7.6 Hz) (C19), 140.67 (C12), 155.30 (C18), 157.29 (d, J = 237.0 Hz) (C22) (Figure S19). Calc. for C24H27FN2O: C 76.16; H 7.19; N 7.40. Found: C 76.16; H 7.20; N 7.42. M = 378.21.
(±)-1-((Adamantan-1-yl)(phenyl)methyl)-3-(3-chlorophenyl) urea (8e).
It was obtained similarly to the compound (8a), by method A, from 200 mg of compound (5a) and 96 mg of 3-chloraniline (7e). The yield is 77 mg (26%), m.p. 244–245 °C. 1H NMR (300 MHz, DMSO-d6, δ) ppm: 1.40–1.66 m (12H, Ad), 1.91 s (3H, Ad), 4.35 d (1H, Ad-CH(Ph), J = 9.3 Hz), 6.83–6.99 m (2H, Ad-CH(Ph)-NH-C(O)-NH-Ph-3Cl), 7.10–7.34 m (7H, Ad-CH(Ph)-NH-C(O)-NH-Ph-3Cl), 7.64 t (1H, NH-Ph-3Cl, J = 2.1 Hz), 8.63 s (1H, 3NH) (Figure S20). 13C NMR (75 MHz, DMSO-d6, δ) ppm: 27.72 (C3, C5, C7), 35.72 (C4, C6, C10), 36.46 (C1), 38.41 (C2, C8, C9), 62.39 (C11), 115.71 (C24), 116.66 (C20), 120.55 (C15), 126.57 (C22), 127.41 (C14, C16), 128.25 (C13, C17), 130.26 (C23), 133.19 (C21), 140.13 (C19), 141.95 (C12), 154.48 (C18) (Figure S21). Calc. for C24H27ClN2O: C 72.99; H 6.89; N 7.09. Found: C 72.98; H 6.92; N 7.11. M = 394.18.
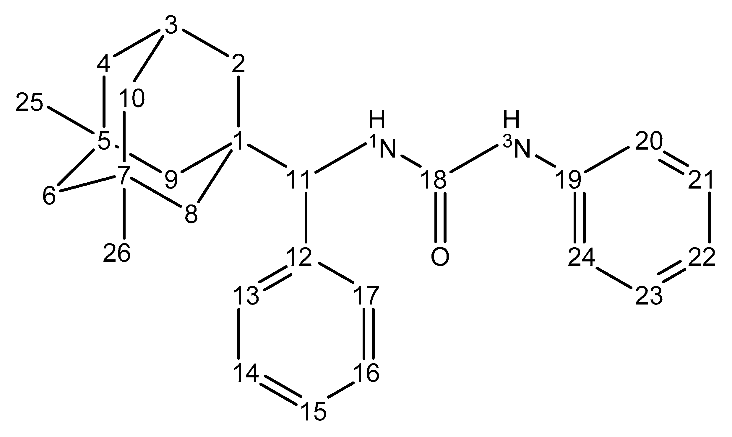
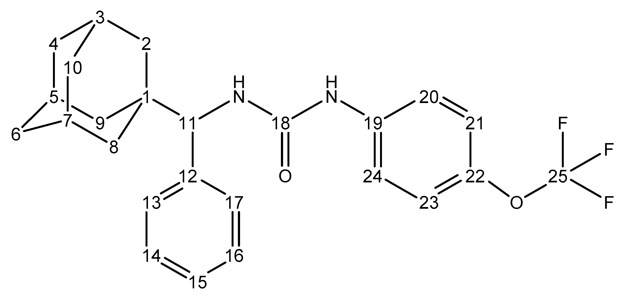
(±)-1-((3,5-Dimethyladamantane-1-yl)(phenyl)methyl)-3-phenyl urea (8f). Atom labels for 13C NMR presented on Figure 3.
Figure 3.
Carbon atoms labeled for compound 8f.
It was obtained similarly to the compound (8a), by method A, from 200 mg of compound (5b) and 63 mg of aniline (7a). The yield is 195 mg (74%), m.p. 69–70 °C. 1H NMR (300 MHz, DMSO-d6, δ) ppm: 0.74 d (6H, (CH3)2, J = 9.8 Hz), 1.00 dd (3H, Ad, J = 24.6, 12.8 Hz), 1.20 s (10H, Ad), 1.42 d (1H, Ad, J = 11.8 Hz), 1.98 d (1H, Ad, J = 12.6 Hz), 4.39 d (1H, Ad-CH(Ph), J = 9.3 Hz), 6.84 t (1H, 1NH, J = 7.6 Hz), 7.15 dd (3H, CH-Ph, J = 7.6, 4.4 Hz), 7.22 s (4H, arom), 7.15 dd (2H, NH-Ph, J = 11.2, 7.8 Hz), 8.36 s (1H, 3NH) (Figure S22). 13C NMR (75 MHz, DMSO-d6, δ) ppm: 29.16 (C1), 31.03 (C25, C26), 31.05 (C3), 31.09 (C5), 31.11 (C7), 38.14 (C2), 43.09 (C4, C10), 45.02 (C8), 45.22 (C9), 51.03 (C6), 62.23 (C11), 117.63 (C20, C24), 121.32 (C15), 126.90 (C22), 127.82 (C14, C16), 128.62 (C21, C23), 129.07 (C13, C17), 140.82 (C19), 140.89 (C12), 155.02 (C18) (Figure S23). Calc. for C26H32N2O: 80.37; H 8.30; N 7.21. Found: C 80.36; H 8.31; N 7.22. M = 388.56.
(±)-1-((3,5-Dimethyladamantane-1-yl)(phenyl)methyl)-3-(2-fluorophenyl) urea (8g).
It was obtained similarly to the compound (8a), by method A, from 200 mg of compound (5b) and 75 mg of 2-fluorophenine (7b). The yield is 80 mg (29%), m.p. 51–52 °C. 1H NMR (300 MHz, DMSO-d6, δ) ppm: 0.72 td (6H, (CH3)2, J = 8.9, 4.2 Hz), 0.89–1.32 m (13H, Ad), 4.26 td (1H, Ad-CH(Ph), J = 18.0, 9.8 Hz), 6.94–7.36 m (9H, arom), 8.39 s (1H, 3NH) (Figure S24). 13C NMR (75 MHz, DMSO-d6, δ) ppm: 29.22 (C1), 31.08 (C3), 31.13 (C25, C26), 31.15 (C5), 31.17 (C7), 38.41 (C2), 43.14 (C4, C10), 45.05 (C8), 45.22 (C9), 51.08 (C6), 63.14 (C11), 115.13 (d, J = 18.9 Hz) (C21), 119.96 (d, J = 2.0 Hz) (C23), 121.70 (d, J = 7.3 Hz) (C22), 124.81 (d, J = 3.4 Hz) (C24), 127.06 (C15), 127.80 (C14, C16), 127.81 (d, J = 10.1 Hz) (C19), 128.67 (C13, C17), 140.21 (C12), 151.77 (d, J = 239.9 Hz) (C20), 154.76 (C18) (Figure S25). Calc. for C26H31FN2O: C 76.81; H 7.69; N 6.89. Found: C 76.82; H 7.71; N 6.90. M = 406.24.
(±)-1-((3,5-Dimethyladamantane-1-yl)(phenyl)methyl)-3-(3-fluorophenyl) urea (8h).
It was obtained similarly to the compound (8a), by method A, from 200 mg of compound (5b) and 75 mg of 3-fluorophenine (7c). The yield is 85 mg (31%), m.p. 196–197 °C. 1H NMR (300 MHz, DMSO-d6, δ) ppm: 0.66–0.79 m (6H, (CH3)2), 0.84–1.32 m (13H, Ad), 4.21–4.44 m (1H, Ad-CH(Ph)), 6.93 t (1H, 1NH, J = 8.0 Hz), 6.97–7.34 m (7H, arom), 7.71 d (1H, Ph-F, J = 10.0 Hz), 8.59 s (1H, 3NH) (Figure S26). 13C NMR (75 MHz, DMSO-d6, δ) ppm: 29.22 (C1), 31.08 (C3), 31.12 (C25, C26), 31.15 (C5), 31.17 (C7), 38.40 (C2), 43.14 (C4, C10), 45.04 (C8), 45.25 (C9), 51.08 (C6), 63.13 (C11), 104.42 (d, J = 26.7 Hz) (C22), 107.62 (d, J = 21.3 Hz) (C20), 113.49 (C24), 127.04 (C15), 127.80 (C14, C16), 128.68 (C13, C17), 130.58 (d, J = 9.9 Hz) (C23), 140.76 (C12), 142.82 (d, J = 11.5 Hz) (C19), 154.88 (C18), 162.92 (d, J = 240.3 Hz) (C21) (Figure S27). Calc. for C26H31FN2O: C 76.81; H 7.69; N 6.89. Found: C 76.82; H 7.70; N 6.88. M = 406.24.
(±)-1-((3,5-Dimethyladamantane-1-yl)(phenyl)methyl)-3-(4-fluorophenyl) urea (8i).
It was obtained similarly to the compound (8a), by method A, from 200 mg of compound (5b) and 75 mg of 4-fluorine (7d). The yield is 168 mg (61%), m.p. 103–104 °C. 1H NMR (300 MHz, DMSO-d6, δ) ppm: 0.74 d (6H, (CH3)2, J = 9.1 Hz), 0.85–1.47 m (13H, Ad), 4.39 d (1H, Ad-CH(Ph), J = 9.4 Hz), 6.81 d (2H, Ph-F, J = 9.3 Hz), 7.00 t (1H, arom, J = 8.9 Hz), 7.14 d (2H, Ph-F, J = 7.6 Hz), 7.16–7.38 m (4H, arom), 8.39 s (1H, 3NH) (Figure S28). 13C NMR (75 MHz, DMSO-d6, δ) ppm: 29.23 (C1), 31.09 (C3), 31.12 (C25, C26), 31.16 (C5), 31.18 (C7), 38.20 (C2), 43.15 (C4, C10), 45.08 (C8), 45.27 (C9), 51.09 (C6), 62.32 (C11), 115.58 (d, J = 22.1 Hz) (C21, C23), 119.22 (d, J = 7.6 Hz) (C20, C24), 126.98 (C15), 127.90 (C14, C16), 128.68 (C13, C17), 137.25 (C19), 140.92 (C12), 155.14 (C18), 157.29 (d, J = 237.0 Hz) (C22) (Figure S29). Calc. for C26H31FN2O: C 76.81; H 7.69; N 6.89. Found: C 76.83; H 7.71; N 6.90. M = 406.24.
(±)-1-((3,5-Dimethyladamantane-1-yl)(phenyl)methyl)-3-(3-chlorophenyl) urea (8j).
It was obtained similarly to the compound (8a), by method A, from 200 mg of compound (5b) and 99 mg of 3-chloraniline (7e). The yield is 158 mg (53%), m.p. 111–112 °C. 1H NMR (300 MHz, DMSO-d6, δ) ppm: 0.73 t (6H, (CH3)2, J = 2.8 Hz), 0.76–1.46 m (13H, Ad), 4.38 d (1H, Ad-CH(Ph), J = 9.3 Hz), 6.83–6.97 m (1H, Ph-Cl), 6.99–7.35 m (7H, arom), 7.63 t (1H, Ph-Cl, J = 2.0 Hz), 8.58 s (1H, 3NH) (Figure S30). 13C NMR (75 MHz, DMSO-d6, δ) ppm: 29.18 (C1), 31.04 (C3), 31.08 (C25, C26), 31.11 (C5), 31.13 (C7), 38.14 (C2), 43.09 (C4, C10), 45.03 (C8), 45.23 (C9), 51.04 (C6), 62.41 (C11), 116.17 (C24), 117.11 (C20), 121.08 (C15), 127.07 (C22), 127.79 (C14, C16), 128.63 (C13, C17), 130.73 (C23), 133.62 (C21), 140.13 (C19), 142.26 (C12), 154.89 (C18) (Figure S31). Calc. for C26H31ClN2O: C 73.83; H 7.39; N 6.62. Found: C 73.85; H 7.41; N 6.63. M = 406.24.
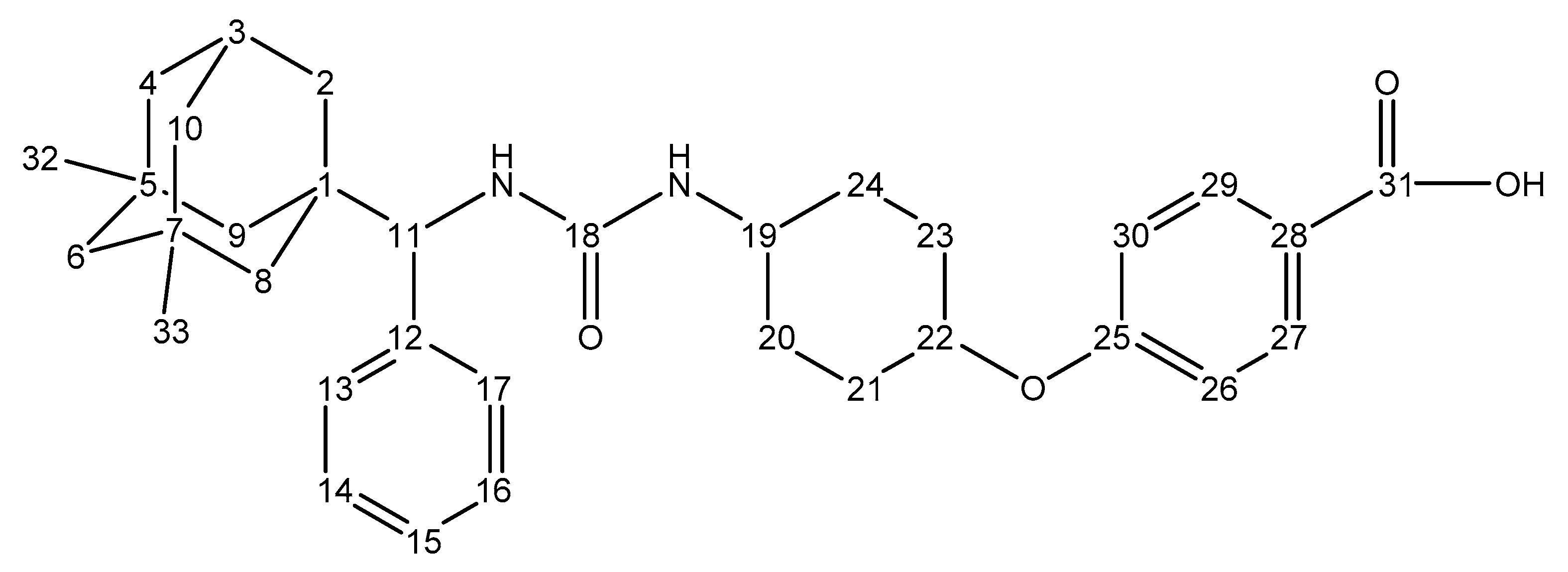
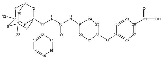
(±)-(4-((4-(3-((3,5-Dimethyladamantan-1-yl)(phenyl)methyl)ureido)cyclohexyl)oxy) benzoic acid (8k). Atom labels for 13C NMR presented on Figure 4.
Figure 4.
Carbon atoms labeled for compound 8k.
It was obtained similarly to the compound (8a), by method A, from 200 mg of compound (5b) and 160 mg of trans-4-(cyclohexyloxy)benzoic acid (7f). The yield is 184 mg (51%), m.p. 174–175 °C. 1H NMR (300 MHz, DMSO-d6, δ) ppm: 0.65–0.79 m (6H, (CH3)2), 0.87–1.03 m (2H, CH2 cyclohex), 0.98–1.24 m (13H, Ad), 1.25–1.53 m (2H, CH2 cyclohex), 4.05 s (1H, Ad-CH(Ph)), 4.15–4.43 m (1H, CH cyclohex), 6.98 m (2H, arom), 7.08–7.15 m (1H, arom), 7.16–7.35 m (4H, arom), 7.71 d (2H, arom, J = 10.0 Hz), 7.81–7.87 m (2H, NH-C(O)-NH), 8.00 br.s (1H, COOH) (Figure S32). 13C NMR (75 MHz, DMSO-d6, δ) ppm: 26.30 (C20), 29.23 (C1), 29.35 (C24), 31.05 (C3), 31.12 (C32, C33), 31.13 (C5), 31.17 (C7), 37.27 (C23), 38.14 (C21), 38.41 (C2), 43.14 (C4, C10), 45.03 (C8), 45.23 (C9), 51.08 (C6), 63.11 (C11), 64.63 (C19), 74.28 (C22), 115.60 (C26, C30), 120.32 (C28), 120.38 (C15), 127.80 (C14, C16), 128.68 (C13, C17), 131.84 (C27, C29), 140.21 (C12), 156.48 (C18), 161.35 (C25), 167.40 (C31) (Figure S33). Calc. for C33H42N2O4: C 74.69; H 7.98; N 5.28. Found, %: C 74.68; H 7.99; N 5.30. M = 530.71.
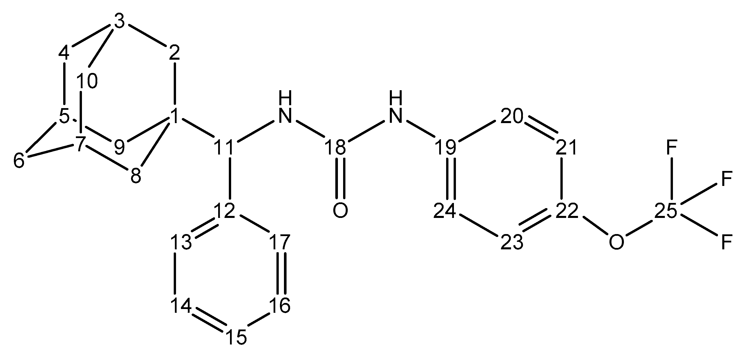
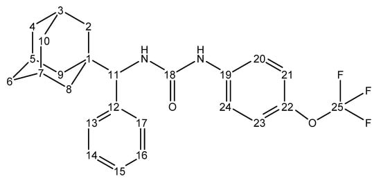
(±)-1-((Adamantan-1-yl)(phenyl)methyl)-3-(4-(trifluoromethoxy)phenyl) urea (10a). Atom labels for 13C NMR presented on Figure 5.
Figure 5.
Carbon atoms labeled for compound 10a.
It was obtained similarly to the compound (8a) according to method B from 200 mg of compound (5b) and 146 mg of 4-(trifluoromethoxy)phenylisocyanate (9c). The yield is 181 mg (76%), m.p. 268–269 °C. 1H NMR (300 MHz, DMSO-d6, δ) ppm: 1.11–1.77 m (12H, Ad), 1.91 s (3H, Ad), 4.36 d (1H, Ad-CH(Ph), J = 8.5 Hz), 6.87 m (1H, 1NH), 7.10–7.49 m (9H, Ad-CH(Ph)-NH-C(O)-NH-Ph), 8.59 s (1H, 3NH) (Figure S34). 13C NMR (75 MHz, DMSO-d6, δ) ppm: 28.19 (C3, C5, C7), 36.33 (C1), 36.92 (C4, C6, C10), 38.888 (C2, C8, C9), 62.82 (C11), 118.82 (C21, C23), 120.67 (d, J = 253.5 Hz) (C25), 122.04 (C22, C24), 126.99 (C15), 127.84 (C14, C16), 128.69 (C13, C17), 140.19 (C19), 140.64 (C12), 142.45 (C22), 155.03 (C18) (Figure S35). 19F NMR (282 MHz, DMSO-d6, δ) ppm: -59.80 (3F) (Figure S36). Calc. for C25H27F3N2O2: C 67.55; H 6.12; N 12.82. Found, %: C 67.57; H 6.14; N 12.83. M = 444.20.
(±)-1-((Adamantan-1-yl)(phenyl)methyl)-3-(2-chlorophenyl) urea (10b).
It was obtained similarly to the compound (8a) by method B from 200 mg of the compound (5b) and 92 mg of 3-chlorophenylisocyanate (9d). The yield is 176 mg (83%), m.p. 265–266°C. 1H NMR (300 MHz, DMSO-d6, δ) ppm: 1.55 s (12H, Ad), 1.94 s (3H, Ad), 4.41 s (1H, Ad-CH(Ph)), 7.23 s (9H, arom), 8.16 s (2H, NH-C(O)-NH) (Figure S37). 13C NMR (75 MHz, DMSO-d6, δ) ppm: 28.18 (C3, C5, C7), 36.34 (C1), 36.91 (C4, C6, C10), 38.95 (C2, C8, C9), 63.13 (C11), 120.91 (C15), 121.22 (C20), 122.72 (C23), 122.82 (C24), 127.08 (C21), 127.90 (C14, C16), 128.78 (C13, C17), 129.54 (C22), 137.21 (C19), 140.58 (C12), 154.89 (C18) (Figure S38). Calc. for C24H27ClN2O: C 72.99; H 6.89; N 8.98. Found, %: C 72.98; H 6.88; N 8.99. M = 394.18.
(±)-1-((Adamantan-1-yl)(phenyl)methyl)-3-(cyclohexyl) urea (10c).
It was obtained similarly to the compound (8a) by method B from 200 mg of compound (5b) and 90 mg of cyclohexylisocyanate (9e). The yield is 156 mg (79%), m.p. 263–264 °C. 1H NMR (300 MHz, DMSO-d6, δ) ppm: 1.55 s (23H, Ad, 4-CH2), 1.89 es (2H, CH2), 4.29 s (1H, Ad-CH(Ph)-NH), 5.73 s (1H, 1NH), 6.37 s (1H, NH-C6H11), 7.23 s (5H, arom) (Figure S39). 13C NMR (75 MHz, DMSO-d6, δ) ppm: 24.79 (C21,C23), 25.77 (C22), 28.21 (C3, C5, C7), 33.76 (C20,C24), 36.42 (C1), 37.00 (C4, C6, C10), 38.91 (C2, C8, C9), 48.05 (C19), 62.65 (C11), 126.69 (C15), 127.67 (C14, C16), 128.74 (C13, C17), 141.37 (C12), 157.48 (C18) (Figure S40). Calc. for C24H34N2O: C 78.64; H 9.35; N 7.64. Found: C 78.66; H 9.36; N 7.65. M = 366.27.
4. Conclusions
The one-stage insertion of an adamantane moiety through the reaction of 1,3-dehydroadamantane and its 3,5-dimethyl homolog allowed us to obtain isocyanates containing a phenylmethylene fragment located between the adamantane fragment and the isocyanate group with a yield of 95% and 89%, respectively. The reaction of synthesized isocyanates with fluorine(chlorine)-containing anilines and trans-4-amino-(cyclohexyloxy)benzoic acid gave a series of 1,3-disubstituted ureas with 29–74% yield. The reaction of 1-[isocyanato-(phenyl)methyl]adamantane with fluoro(chlorine)-containing anilines gave a series of 1,3-disubstituted ureas with 25–85% yield. Inhibitory activity against sEH and other biochemical data for the synthesized compounds will be published in a further manuscript as soon as it can be acquired.
Supplementary Materials
The following supporting information can be downloaded at: https://www.mdpi.com/article/10.3390/molecules28083577/s1, 1H NMR, 13C NMR, 19F NMR and Mass spectra. Figure S1. Chromatogram of compound 3b. Figure S2. Mass spectrum of compound 3b. Figure S3. Chromatogram of compound 4b. Figure S4. Mass spectrum of compound 4b. Figure S5. Chromatogram of compound 5b. Figure S6. Mass spectrum of compound 5b. Figure S7. Chromatogram of compound 6a. Figure S8. Mass spectrum of compound 6a. Figure S9. 1H NMR of compound 6a. Figure S10. 1H NMR of compound 8a. Figure S11. 13C NMR of compound 8a. Figure S12. 1H NMR of compound 8b. Figure S13. 13C NMR of compound 8b. Figure S14. 19F NMR of compound 8b. Figure S15. 1H NMR of compound 8c. Figure S16. 13C NMR of compound 8c. Figure S17. 19F NMR of compound 8c. Figure S18. 1H NMR of compound 8d. Figure S19. 13C NMR of compound 8d. Figure S20. 1H NMR of compound 8e. Figure S21. 13C NMR of compound 8e. Figure S22. 1H NMR of compound 8f. Figure S23. 13C NMR of compound 8f. Figure S24. 1H NMR of compound 8g. Figure S25. 13C NMR of compound 8g. Figure S26. 1H NMR of compound 8h. Figure S27. 13C NMR of compound 8h. Figure S28. 1H NMR of compound 8i. Figure S29. 13C NMR of compound 8i. Figure S30. 1H NMR of compound 8j. Figure S31. 13C NMR of compound 8j. Figure S32. 1H NMR of compound 8k. Figure S33. 13C NMR of compound 8k. Figure S34. 1H NMR of compound 10a. Figure S35. 13C NMR of compound 10a. Figure S36. 19F NMR of compound 10a. Figure S37. 1H NMR of compound 10b. Figure S38. 13C NMR of compound 10b. Figure S39. 1H NMR of compound 10c. Figure S40. 13C NMR of compound 10c.
Author Contributions
Conceptualization, V.B. and G.B.; investigation, V.D., D.D., Y.K., S.M. and V.M.; project administration, V.B.; resources, V.B.; writing—original draft preparation, V.D. and D.D.; writing—review and editing, V.B.; visualization, D.D. All authors have read and agreed to the published version of the manuscript.
Funding
This work was supported by the Russian Science Foundation (grant number 19-73-10002).
Institutional Review Board Statement
Not applicable.
Informed Consent Statement
Not applicable.
Data Availability Statement
Not applicable.
Conflicts of Interest
The authors declare no conflict of interest.
Sample Availability
Samples of the compounds 1–10 are available from the authors.
References
- Wanka, L.; Iqbal, K.; Schreiner, P.R. The lipophilic bullet hits the targets: Medicinal chemistry of adamantane derivatives. Chem. Rev. 2013, 113, 3516–3604. [Google Scholar] [CrossRef] [PubMed]
- Hwang, S.H.; Wecksler, A.T.; Zhang, G.; Morisseau, C.; Nguyen, L.V.; Fu, S.H.; Hammock, B.D. Synthesis and Biological Evaluation of Sorafenib- and Regorafenib-like sEH Inhibitors. Bioorg. Med. Chem. Lett. 2013, 23, 3732–3737. [Google Scholar] [CrossRef] [PubMed]
- Spector, A.A.; Fang, X.; Snyder, G.D.; Weintraub, N.L. Epoxyeicosatrienoic acids (EETs): Metabolism and biochemical function. Prog. Lipid Res. 2004, 43, 55–90. [Google Scholar] [CrossRef] [PubMed]
- Fleming, I.; Rueben, A.; Popp, R.; Fisslthaler, B.; Schrodt, S.; Sander, A.; Haendeler, J.; Falck, J.R.; Morisseau, C.; Hammock, B.D.; et al. Epoxyeicosatrienoic acids regulate Trp channel dependent Ca2+ signaling and hyperpolarization in endothelial cells. Arterioscler. ThrombVasc. Biol. 2007, 27, 2612–2618. [Google Scholar] [CrossRef] [PubMed]
- Shen, H.C. Soluble epoxide hydrolase inhibitors: A patent review. Expert Opin. Ther. Pat. 2010, 20, 941–956. [Google Scholar] [CrossRef] [PubMed]
- Manhiani, M.; Quigley, J.E.; Knight, S.F.; Tasoobshirazi, S.; Moore, T.; Brands, M.W.; Hammock, B.D.; Imig, J.D. Soluble epoxide hydrolase gene deletion attenuates renal injury and inflammation with DOCA-salt hypertension. Am. J. Physiol. Renal. Physiol. 2009, 3, F740–F748. [Google Scholar] [CrossRef] [PubMed]
- Luria, A.; Bettaieb, A.; Xi, Y.; Shieh, G.-J.; Liu, H.-C.; Inoue, H.; Tsai, H.-J.; Imig, J.D.; Haj, F.G.; Hammock, B.D. Soluble epoxide hydrolase deficiency alters pancreatic islet size and improves glucose homeostasis in a model of insulin resistance. Proc. Natl. Acad. Sci. USA 2011, 22, 9038–9043. [Google Scholar] [CrossRef] [PubMed]
- Codony, S.; Valverde, E.; Leiva, R.; Brea, J.; Isabel Loza, M.; Morisseau, C.; Hammock, B.D.; Vázquez, S. Exploring the size of the lipophilic unit of the soluble epoxide hydrolase inhibitors. Bioorg. Med. Chem. 2019, 27, 115078. [Google Scholar] [CrossRef] [PubMed]
- Shteingolts, S.A.; Stash, A.I.; Tsirelson, V.G.; Fayzullin, R.R. Metal-organic frameworks with exceptionally high methane uptake: Where and how is methane stored? Chem. Eur. J. 2021, 27, 7789–7809. [Google Scholar] [CrossRef]
- Burmistrov, V.V.; Mokhov, V.M.; Danilov, D.V.; Fayzullin, R.R.; Butov, G.M. Synthesis and Properties of N,N′-Disubstituted Ureas and Their Isosteric Analogs Containing Polycyclic Fragments: XIV. N-[(Adamantan-1-yl)(phenyl)methyl]-N′-substituted Ureas and Symmetrical Bis-ureas. Russ. J. Org. Chem. 2022, 58, 259–267. [Google Scholar] [CrossRef]
- Burmistrov, V.V.; Morisseau, C.; Harris, T.R.; Butov, G.M.; Hammock, B.D. Effects of adamantane alterations on soluble epoxide hydrolase inhibition potency, physical properties and metabolic stability. Bioorg. Chem. 2018, 76, 510–527. [Google Scholar] [CrossRef]
- Inomata, S.; Harada, Y.; Nakamura, Y.; Nakamura, T.; Ishizone, T. Synthesis of 1,3-Dehydroamantanes Possessing Alkyl, Phenyl, and Alkoxy Substituents by Intramolecular Wurtz-Type Coupling Reaction of 1,3-Dibromoadamantanes. Synthesis 2013, 45, 3332–3340. [Google Scholar] [CrossRef]
- Mokhov, V.M.; Burmistrov, V.V.; Butov, G.M. Chemical transformations of tetracyclo[3.3.1.1.3,7.0.1,3]decane (1,3-dehydroadamantane): I. Reaction of 1,3-dehydroadamantane with carboxylic acids esters. Russ. J. Org. Chem. 2016, 52, 1118–1120. [Google Scholar] [CrossRef]
- Burmistrov, V.V.; Pershin, V.V.; Butov, G.M. Synthesis and chemical properties of 1-isocyanato-3,5-dimethyladamantane. Izvestiya VSTU 2012, 5, 62–66. [Google Scholar]
- Burmistrov, V.; Morisseau, C.; Lee, K.S.S.; Shihadih, D.S.; Harris, T.R.; Butov, G.M.; Hammock, B.D. Symmetric adamantyl-diureas as soluble epoxide hydrolase inhibitors. Bioorg. Med. Chem. Lett. 2014, 24, 2193–2197. [Google Scholar] [CrossRef] [PubMed]
- Danilov, D.V.; D’yachenko, V.S.; Burmistrov, V.V.; Butov, G.M. Synthesis and Properties of 1,3-Disubstituted Ureas and Their Isosteric Analogs Containing Polycyclic Fragments: XVI. Synthesis and Properties of 1,1’-(Alkane-1,n-diyl)bis{3-[(3,5-dimethyladamantan-1-yl)methyl]ureas}. Russ. J. Org. Chem. 2022, 58, 1561–1568. [Google Scholar] [CrossRef]
- Lipinski, C.A.; Lombardo, F.; Dominy, B.W.; Feeney, P.J. Experimental and computational approaches to estimate solubility and permeability in drug discovery and development settings. Adv. Drug Del. Rev. 2001, 46, 3–26. [Google Scholar] [CrossRef] [PubMed]
- Wouters, J.; Quéré, L. Pharmaceutical Salts and Co-Crystals (RSC Drug Discovery); The Royal Society of Chemistry: London, UK, 2011. [Google Scholar] [CrossRef]
- Repka, M.A.; Majumdar, S.; Battu, S.K.; Srirangam, R.; Upadhye, S.B. Applications of hot-melt extrusion for drug delivery. Expert Opin. Drug Deliv. 2008, 5, 1357–1376. [Google Scholar] [CrossRef] [PubMed]
Disclaimer/Publisher’s Note: The statements, opinions and data contained in all publications are solely those of the individual author(s) and contributor(s) and not of MDPI and/or the editor(s). MDPI and/or the editor(s) disclaim responsibility for any injury to people or property resulting from any ideas, methods, instructions or products referred to in the content. |
© 2023 by the authors. Licensee MDPI, Basel, Switzerland. This article is an open access article distributed under the terms and conditions of the Creative Commons Attribution (CC BY) license (https://creativecommons.org/licenses/by/4.0/).

























