Unraveling the Mechanism and Practical Implications of the Sol-Gel Synthesis of Spinel LiMn2O4 as a Cathode Material for Li-Ion Batteries: Critical Effects of Cation Distribution at the Matrix Level
Abstract
1. Introduction
2. Results
2.1. Structure and Morphology
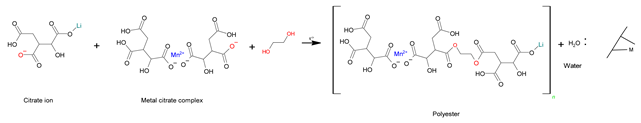
2.2. Mechanism of Sol-Gel Synthesis
2.3. X-ray Photoelectron Spectroscopy (XPS) Analysis
2.4. Electrochemical Characterization
3. Discussion
4. Materials and Methods
4.1. Materials
4.2. Synthesis of Spinel LMO Active Materials
4.3. Characterization of Materials
5. Conclusions
Author Contributions
Funding
Institutional Review Board Statement
Informed Consent Statement
Data Availability Statement
Conflicts of Interest
Sample Availability
Appendix A
| No. Precursors | Synthesis Conditions | Particles Characteristics | Electrochemical Properties | Ref | |||||||
|---|---|---|---|---|---|---|---|---|---|---|---|
| Gel Structure | Calcination Parameters | Morphology | Particle Size | C-Rate | Voltage Range | Initial Discharge Q | Capacity Retention | Testing Temperature | |||
| Temperature (°C) | Duration (h) | (nm) | (C) | (V) | (mAh g−1) | (mAhg−1/n−1) | (°C) | ||||
| LiAC MnAC | W | 800 | 10 | octahedral | 419 | 0.5 | 3.0–4.35 | 121.3 | 82/100 | RT | our |
| LiAC MnAC | ET | 800 | 10 | octahedral | 305 | 0.5 | 3.0–4.35 | 126.6 | 79/100 | RT | our |
| LiAC MnAC | EG | 800 | 10 | octahedral | 253 | 0.5 | 3.0–4.35 | 141.6 | 70/100 | RT | our |
| LiAC MnAC | W | 750 | 10 | agglomerate | 200–600 | 1 | 3.5–4.30 | 117.5 | 93.4/100 | 25 | [76] |
| LiAC MnAC | W | 750 | 12 | - | - | 0.1 | - | 57.57 | 30.92/60 | - | [77] |
| LiAC MnAC | W | 850 | 15 | spherical | 150 | 0.5 | 3.0–4.50 | 135.0 | 81.0/100 | 30 | [60] |
| LiAC MnAC | W | 750 | 12 | octahedral | 200 | 1 | 3.4–4.50 | 127.0 | 115/100 | RT | [78] |
| LiAC MnAC | W | 850 | 15 | - | - | 1 | 3.0–4.50 | 125.0 | 69.0/100 | RT | [79] |
| LiAC MnAC | W | 800 | 12 | cubic facets | 400 | 0.2 | 3.5–4.30 | 121 | 55.00/80 | RT | [80] |
| LiAC MnAC | W | 800 | 16 | - | - | 0.2 | 3.0–4.50 | 126.6 | 98.75/70 (1C) | RT | [81] |
| LiAC MnAC | W | 850 | 7 | polyhedral | 100–300 | 1 | 3.0–4.30 | 110 | 72.00/50 | RT | [82] |
| LiAC MnAC | W | 800 | 10 | grains | - | 1 | 0.3–1.05 | 103 | - | RT | [83] |
| LiAC MnAC | W | 799 | 10 | irregular | 100–500 | 1 | 3.0–4.50 | 83.7 | 75.0/100 | RT | [84] |
| LiAC MnAC | W | 800 | 12 | - | 300–400 | 0.5 | 3.0–4.50 | - | 85/35 | 25 | [10] |
| LiAC MnAC | W | 300–800 | - | - | <100 | - | - | - | - | - | [85] |
| LiAC MnAC | W | 600 | 5 | - | 500–1000 | 0.1 | 3.0–4.30 | 132 | 125/50 | RT | [86] |
| LiNO3 Mn(NO3)2 | W | 750 | 5 | grains | 50 | 0.2 | 4.30 | 120 | 87/300 (1C) | - | [56] |
| LiNO3 Mn(NO3)2 | W | 800 | 10 | - | - | - | 3.6–4.30 | 127.4 | 105.63/6 | RT | [13] |
| LiOH MnAC | W | 780 | 12 | - | - | 0.5 | 3.1–4.40 | - | 93.7/100 | RT | [87] |
| LiAC MnAC | ET | 300 | 24 | Some agglomerate | 30–50 | 1 | 3.0–4.30 | 111.4 | 88.1/100 | 25 | [88] |
| LiAC MnAC | EA | 850 | 14 | - | 520–1240 | 0.5 | 3.5–4.20 | 47.00 | 33.00/40 | 25 | [89] |
| LiOH MnAC | ET | 750 | 18 | Serious agglomerate | 200 | 0.5 | 3.2–4.35 | 134.0 | 108.5/30 | RT | [61] |
| LiAC MnAC | ET | 300 | 24 | - | 30–50 | 1 | 3.0–4.50 | 110 | 90.3/100 | RT | [90] |
| LiNO3 Mn(NO3)2 | ET | 700 | 12 | irregular | 100 | 0.5 | 3.3–4.50 | 114 | - | RT | [91] |
| LiAC MnAC | ET | 800 | 24 | - | - | - | 3.5–4.20 | 105 | 84/15 | RT | [11] |
| LiAC MnAC | EG | 450–700 | - | grains | 100–200 | - | - | - | - | - | [92] |
| LiNO3 Mn(NO3)2 | EG | 800 | 22 | - | 10–100 | - | 3.0–4.20 | 130 | 98/50 | RT | [93] |
References
- Deng, D. Li-ion batteries: Basics, progress, and challenges. Energy Sci. Eng. 2015, 3, 385–418. [Google Scholar] [CrossRef]
- Nitta, N.; Wu, F.; Lee, J.T.; Yushin, G. Li-ion battery materials: Present and future. Mater. Today 2015, 18, 252–264. [Google Scholar] [CrossRef]
- Entwistle, T.; Sanchez-Perez, E.; Murray, G.J.; Anthonisamy, N.; Cussen, S.A. Co-precipitation synthesis of nickel-rich cathodes for Li-ion batteries. Energy Rep. 2022, 8, 67–73. [Google Scholar] [CrossRef]
- Han, Y.; Lei, Y.; Ni, J.; Zhang, Y.; Geng, Z.; Ming, P.; Zhang, C.; Tian, X.; Shi, J.L.; Guo, Y.G. Single-Crystalline Cathodes for Advanced Li-Ion Batteries: Progress and Challenges. Small 2022, 18, 2107048. [Google Scholar] [CrossRef] [PubMed]
- Jugović, D.; Uskoković, D. A review of recent developments in the synthesis procedures of lithium iron phosphate powders. J. Power Source 2009, 190, 538–544. [Google Scholar] [CrossRef]
- Priyono, S.; Hardiyani, S.; Syarif, N.; Subhan, A.; Suhandi, A. Electrochemical performanceof LiMn2O4 with varying thickness of cathode sheet. In Proceedings of the Journal of Physics: Conference Series, Ningbo, China, 1–3 July 2019; p. 012022. [Google Scholar]
- Yi, T.-F.; Zhu, Y.-R.; Zhu, X.-D.; Shu, J.; Yue, C.-B.; Zhou, A.-N. A review of recent developments in the surface modification of LiMn 2 O 4 as cathode material of power lithium-ion battery. Ionics 2009, 15, 779–784. [Google Scholar] [CrossRef]
- Tyagi, R.; Lanjan, A.; Srinivasan, S. Co-Doping Strategies to Improve the Electrochemical Properties of LixMn2O4 Cathodes for Li-Ion Batteries. ChemElectroChem 2022, 9, e202101626. [Google Scholar] [CrossRef]
- Deng, Y.; Zhou, Y.; Shi, Z.; Zhou, X.; Quan, X.; Chen, G. Porous LiMn2O4 microspheres as durable high power cathode materials for lithium ion batteries. J. Mater. Chem. A 2013, 1, 8170–8177. [Google Scholar] [CrossRef]
- Hashem, A.; Abdel-Ghany, A.; Abuzeid, H.; El-Tawil, R.; Indris, S.; Ehrenberg, H.; Mauger, A.; Julien, C. EDTA as chelating agent for sol-gel synthesis of spinel LiMn2O4 cathode material for lithium batteries. J. Alloys Compd. 2018, 737, 758–766. [Google Scholar] [CrossRef]
- Hon, Y.-M.; Fung, K.-Z.; Lin, S.-P.; Hon, M.-H. Electrochemical properties of LiMn2O4 nano-particles synthesized by citric acid gel process. J. Ceram. Soc. Jpn. 2001, 109, 986–991. [Google Scholar] [CrossRef]
- Yi, T.-F.; Hao, C.-L.; Yue, C.-B.; Zhu, R.-S.; Shu, J. A literature review and test: Structure and physicochemical properties of spinel LiMn2O4 synthesized by different temperatures for lithium ion battery. Synth. Met. 2009, 159, 1255–1260. [Google Scholar] [CrossRef]
- Zhang, P.; Fan, H.; Fu, Y.; Li, Z.; Dend, Y. Synthesis and electrochemical properties of sol-gel derived LiMn2O4 cathode for lithium-ion batteries. Rare Met. 2006, 25, 100–104. [Google Scholar] [CrossRef]
- Ando, K.; Matsuda, T.; Imamura, D. Degradation diagnosis of lithium-ion batteries with a LiNi0.5Co0.2Mn0.3O2 and LiMn2O4 blended cathode using dV/dQ curve analysis. J. Power Source 2018, 390, 278–285. [Google Scholar] [CrossRef]
- Chand, P.; Bansal, V.; Singh, V. Effect of pH values on structural, optical, electrical and electrochemical properties of spinel LiMn2O4 cathode materials. J. Sci. Adv. Mater. Devices 2019, 4, 245–251. [Google Scholar] [CrossRef]
- Zhang, J.; Shen, J.; Wei, C.; Tao, H.; Yue, Y. Synthesis and enhanced electrochemical performance of the honeycomb TiO2/LiMn2O4 cathode materials. J. Solid State Electrochem. 2016, 20, 2063–2069. [Google Scholar] [CrossRef]
- Qiu, B.; Wang, J.; Xia, Y.; Wei, Z.; Han, S.; Liu, Z. Enhanced electrochemical performance with surface coating by reactive magnetron sputtering on lithium-rich layered oxide electrodes. ACS Appl. Mater. Interfaces 2014, 6, 9185–9193. [Google Scholar] [CrossRef]
- Zhao, H.; Nie, Y.; Li, Y.; Wu, T.; Zhao, E.; Song, J.; Komarneni, S. Low-cost and eco-friendly synthesis of octahedral LiMn2O4 cathode material with excellent electrochemical performance. Ceram. Int. 2019, 45, 17183–17191. [Google Scholar] [CrossRef]
- Guo, Y.G.; Hu, J.S.; Wan, L.J. Nanostructured materials for electrochemical energy conversion and storage devices. Adv. Mater. 2008, 20, 2878–2887. [Google Scholar] [CrossRef]
- Wang, Y.; Cao, G. Developments in nanostructured cathode materials for high-performance lithium-ion batteries. Adv. Mater. 2008, 20, 2251–2269. [Google Scholar] [CrossRef]
- Gonçalves, R.; Sharma, P.; Ram, P.; Ferdov, S.; Silva, M.M.; Costa, C.M.; Singhal, R.; Sharma, R.K.; Lanceros-Mendez, S. Improved electrochemical performance of LiMn1.5M0.5O4 (M=Ni, Co, Cu) based cathodes for lithium-ion batteries. J. Alloys Compd. 2021, 853, 157208. [Google Scholar] [CrossRef]
- Marincaş, A.-H.; Goga, F.; Dorneanu, S.-A.; Ilea, P. Review on synthesis methods to obtain LiMn2O4-based cathode materials for Li-ion batteries. J. Solid State Electrochem. 2020, 24, 473–497. [Google Scholar] [CrossRef]
- Hwang, B.; Santhanam, R.; Liu, D. Effect of various synthetic parameters on purity of LiMn2O4 spinel synthesized by a sol–gel method at low temperature. J. Power Source 2001, 101, 86–89. [Google Scholar] [CrossRef]
- Seyedahmadian, M.; Houshyarazar, S.; Amirshaghaghi, A. Synthesis and characterization of nanosized of spinel LiMn2O4 via sol-gel and freeze drying methods. Bull. Korean Chem. Soc. 2013, 34, 622–628. [Google Scholar] [CrossRef]
- Singh, G.; Sil, A.; Ghosh, S.; Panwar, A. Effect of citric acid content on synthesis of LiNi1/3Mn1/3Co1/3O2 and its electrochemical characteristics. Ceram. Int. 2010, 36, 1831–1836. [Google Scholar] [CrossRef]
- Gong, Z.; Yang, Y. Recent advances in the research of polyanion-type cathode materials for Li-ion batteries. Energy Environ. Sci. 2011, 4, 3223–3242. [Google Scholar] [CrossRef]
- Hwang, B.; Santhanam, R.; Liu, D.; Tsai, Y. Effect of Al-substitution on the stability of LiMn2O4 spinel, synthesized by citric acid sol–gel method. J. Power Source 2001, 102, 326–331. [Google Scholar] [CrossRef]
- Danks, A.E.; Hall, S.R.; Schnepp, Z. The evolution of ‘sol–gel’chemistry as a technique for materials synthesis. Mater. Horiz. 2016, 3, 91–112. [Google Scholar] [CrossRef]
- Kakihana, M. Invited review “sol-gel” preparation of high temperature superconducting oxides. J. Sol-Gel Sci. Technol. 1996, 6, 7–55. [Google Scholar] [CrossRef]
- Jarvis, K.A.; Deng, Z.; Allard, L.F.; Manthiram, A.; Ferreira, P.J. Understanding structural defects in lithium-rich layered oxide cathodes. J. Mater. Chem. 2012, 22, 11550–11555. [Google Scholar] [CrossRef]
- Vivekanandhan, S.; Venkateswarlu, M.; Satyanarayana, N. Novel urea assisted polymeric citrate route for the synthesis of nanocrystalline spinel LiMn2O4 powders. J. Alloys Compd. 2007, 441, 284–290. [Google Scholar] [CrossRef]
- Amirova, A.; Rodchenko, S.; Kurlykin, M.; Tenkovtsev, A.; Krasnou, I.; Krumme, A.; Filippov, A. Synthesis and investigation of thermo-induced gelation of partially cross-linked poly-2-isopropyl-2-oxazoline in aqueous media. Polymers 2020, 12, 698. [Google Scholar] [CrossRef]
- Thami, T.; Bresson, B.; Fretigny, C. Tailoring of elastomeric grafted coating via sol–gel chemistry of crosslinked polymethylhydrosiloxane. J. Appl. Polym. Sci. 2007, 104, 1504–1516. [Google Scholar] [CrossRef]
- Lin, J.; Yu, M.; Lin, C.; Liu, X. Multiform oxide optical materials via the versatile pechini-type sol−gel process: Synthesis and characteristics. J. Phys. Chem. C 2007, 111, 5835–5845. [Google Scholar] [CrossRef]
- Asenath-Smith, E.; Li, H.; Keene, E.C.; Seh, Z.W.; Estroff, L.A. Crystal growth of calcium carbonate in hydrogels as a model of biomineralization. Adv. Funct. Mater. 2012, 22, 2891–2914. [Google Scholar] [CrossRef]
- Arof, A.; Kufian, M.; Aziz, N.; Mat Nor, N.; Arifin, K. Electrochemical properties of LiMn2O4 prepared with tartaric acid chelating agent. Ionics 2017, 23, 1663–1674. [Google Scholar] [CrossRef]
- Chen, Z.-L.; Gu, Y.-J.; Huo, Y.-L.; Ma, X.-Y.; Wu, F.-Z. Enhanced electrochemical performance of manganese-based metal organic frameworks-derived spinel LiMn2O4 cathode materials by improving the Mn3+ content and oxygen vacancies. J. Alloys Compd. 2022, 917, 165485. [Google Scholar] [CrossRef]
- Liu, J.; Li, G.; Bai, H.; Shao, M.; Su, C.; Guo, J.; Liu, X.; Bai, W. Enhanced cycle and rate performances of Li (Li0.05Al0.05Mn1.90) O4 cathode material prepared via a solution combustion method for lithium-ion batteries. Solid State Ion. 2017, 307, 79–89. [Google Scholar] [CrossRef]
- Wang, Y.; Chen, L.; Wang, Y.; Xia, Y. Cycling stability of spinel LiMn2O4 with different particle sizes in aqueous electrolyte. Electrochim. Acta 2015, 173, 178–183. [Google Scholar] [CrossRef]
- Xiao, Y.; Zhang, X.D.; Zhu, Y.F.; Wang, P.F.; Yin, Y.X.; Yang, X.; Shi, J.L.; Liu, J.; Li, H.; Guo, X.D. Suppressing manganese dissolution via exposing stable {111} facets for high-performance lithium-ion oxide cathode. Adv. Sci. 2019, 6, 1801908. [Google Scholar] [CrossRef]
- Liu, H.; Wang, J.; Zhang, X.; Zhou, D.; Qi, X.; Qiu, B.; Fang, J.; Kloepsch, R.; Schumacher, G.; Liu, Z. Morphological evolution of high-voltage spinel LiNi0. 5Mn1. 5O4 cathode materials for lithium-ion batteries: The critical effects of surface orientations and particle size. ACS Appl. Mater. Interfaces 2016, 8, 4661–4675. [Google Scholar] [CrossRef] [PubMed]
- Hou, Y.; Chang, K.; Tang, H.; Li, B.; Hou, Y.; Chang, Z. Drastic enhancement in the rate and cyclic behavior of LiMn2O4 electrodes at elevated temperatures by phosphorus doping. Electrochim. Acta 2019, 319, 587–595. [Google Scholar] [CrossRef]
- Xu, C.; Li, J.; Feng, X.; Zhao, J.; Tang, C.; Ji, B.; Hu, J.; Cao, C.; Zhu, Y.; Butt, F.K. The improved performance of spinel LiMn2O4 cathode with micro-nanostructured sphere-interconnected-tube morphology and surface orientation at extreme conditions for lithium-ion batteries. Electrochim. Acta 2020, 358, 136901. [Google Scholar] [CrossRef]
- Predoana, L.; Jitianu, A.; Preda, S.; Malic, B.; Zaharescu, M. Thermal behavior of Li–Co-citric acid water-based gels as precursors for LiCoO2 powders. J. Therm. Anal. Calorim. 2015, 119, 145–153. [Google Scholar] [CrossRef]
- Xu, D.; Lei, F.; Chen, H.; Yin, L.; Shi, Y.; Xie, J. One-step hydrothermal synthesis and optical properties of self-quenching-resistant carbon dots towards fluorescent ink and as nanosensors for Fe3+ detection. RSC Adv. 2019, 9, 8290–8299. [Google Scholar] [CrossRef] [PubMed]
- Wu, H.; Lei, J.; Chen, Y.; Sun, Y.; Yuan, Q. The Mechanism of sol-gel synthesis of normal spinel LiMn2O4 with chelation of citric acid. J. Wuhan Univ. Technol. Mater. Sci. Ed. 2002, 17, 21. [Google Scholar]
- Agu, A.B.; Benablo, P.J.L.; Mesias, V.S.D.; Penaloza, J.P., Jr. Synthesis and characterization of a chitosan-based citric acid-crosslinked encapsulant system. J. Chil. Chem. Soc. 2019, 64, 4610–4612. [Google Scholar] [CrossRef]
- Matzapetakis, M.; Karligiano, N.; Bino, A.; Dakanali, M.; Raptopoulou, C.; Tangoulis, V.; Terzis, A.; Giapintzakis, J.; Salifoglou, A. Manganese citrate chemistry: Syntheses, spectroscopic studies, and structural characterizations of novel mononuclear, water-soluble manganese citrate complexes. Inorg. Chem. 2000, 39, 4044–4051. [Google Scholar] [CrossRef]
- Nefedova, K.; Zhuravlev, V.; Khaliullin, S.M.; Tyutyunnik, A.; Buldakova, L.Y. Study of the Composition of a Precipitate Formed from Solutions for the Synthesis of Cathodic Materials Containing Manganese and Citric Acid. Theor. Found. Chem. Eng. 2021, 55, 117–122. [Google Scholar] [CrossRef]
- Zheng, Q.; Shibazaki, K.; Ogawa, T.; Watanabe, M. Single-Step Recovery of Divalent Mn Component from LiMn2O4 Cathode Material at Hydrothermal Conditions as an Mn–Citrate Complex. ACS Sustain. Chem. Eng. 2021, 9, 10970–10976. [Google Scholar] [CrossRef]
- Kolah, A.K.; Asthana, N.S.; Vu, D.T.; Lira, C.T.; Miller, D.J. Reaction kinetics of the catalytic esterification of citric acid with ethanol. Ind. Eng. Chem. Res. 2007, 46, 3180–3187. [Google Scholar] [CrossRef]
- Kakihana, M.; Yoshimura, M. Synthesis and characteristics of complex multicomponent oxides prepared by polymer complex method. Bull. Chem. Soc. Jpn. 1999, 72, 1427–1443. [Google Scholar] [CrossRef]
- Llusco, A.; Grageda, M.; Ushak, S. Kinetic and thermodynamic studies on synthesis of Mg-doped LiMn2O4 nanoparticles. Nanomaterials 2020, 10, 1409. [Google Scholar] [CrossRef] [PubMed]
- Wei, Y.; Yan, L.; Wang, C.; Xu, X.; Wu, F.; Chen, G. Effects of Ni doping on [MnO6] octahedron in LiMn2O4. J. Phys. Chem. B 2004, 108, 18547–18551. [Google Scholar] [CrossRef]
- Guo, D.; Chang, Z.; Li, B.; Tang, H.; Yuan, X.-Z.; Wang, H. Synthesis of high-purity LiMn2O4 with enhanced electrical properties from electrolytic manganese dioxide treated by sulfuric acid-assisted hydrothermal method. J. Solid State Electrochem. 2013, 17, 2849–2856. [Google Scholar] [CrossRef]
- Chen, Y.-C.; Xie, K.; Pan, Y.; Zheng, C.-M.; Wang, H.-L. High power nano-LiMn2O4 cathode materials with high-rate pulse discharge capability for lithium-ion batteries. Chin. Phys. B 2011, 20, 028201. [Google Scholar] [CrossRef]
- Lu, J.; Zhou, C.; Liu, Z.; Lee, K.S.; Lu, L. LiMn2O4 cathode materials with large porous structure and radial interior channels for lithium ion batteries. Electrochim. Acta 2016, 212, 553–560. [Google Scholar] [CrossRef]
- Wu, H.; Tu, J.; Yuan, Y.; Li, Y.; Zhang, W.; Huang, H. Electrochemical performance of nanosized LiMn2O4 for lithium-ion batteries. Phys. B Condens. Matter 2005, 369, 221–226. [Google Scholar] [CrossRef]
- Xiao, L.; Guo, Y.; Qu, D.; Deng, B.; Liu, H.; Tang, D. Influence of particle sizes and morphologies on the electrochemical performances of spinel LiMn2O4 cathode materials. J. Power Source 2013, 225, 286–292. [Google Scholar] [CrossRef]
- Arumugam, D.; Kalaignan, G.P. Synthesis and electrochemical characterizations of nano-La2O3-coated nanostructure LiMn2O4 cathode materials for rechargeable lithium batteries. Mater. Res. Bull. 2010, 45, 1825–1831. [Google Scholar] [CrossRef]
- Zhao, H.; Liu, X.; Cheng, C.; Li, Q.; Zhang, Z.; Wu, Y.; Chen, B.; Xiong, W. Synthesis and electrochemical characterizations of spinel LiMn1.94MO4 (M = Mn0.06, Mg0.06, Si0.06, (Mg0.03Si0.03)) compounds as cathode materials for lithium-ion batteries. J. Power Source 2015, 282, 118–128. [Google Scholar] [CrossRef]
- Gyenes, B.; Stevens, D.; Chevrier, V.; Dahn, J. Understanding anomalous behavior in coulombic efficiency measurements on Li-ion batteries. J. Electrochem. Soc. 2014, 162, A278. [Google Scholar] [CrossRef]
- Nyamaa, O.; Bae, J.-H.; Seo, D.-H.; Jeong, H.-M.; Huh, S.-C.; Yang, J.-H.; Dolgor, E.; Noh, J.-P. Electrochemical performance of Si thin-film with buckypaper for flexible lithium-ion batteries. Diam. Relat. Mater. 2021, 115, 108351. [Google Scholar] [CrossRef]
- Callegari, D.; Coduri, M.; Fracchia, M.; Ghigna, P.; Braglia, L.; Tamburini, U.A.; Quartarone, E. Lithium intercalation mechanisms and critical role of multi-doping in LiFexMn2−x−y TiyO 4 as high-capacity cathode material for lithium-ion batteries. J. Mater. Chem. C 2022, 10, 8994–9008. [Google Scholar] [CrossRef]
- Nakajima, K.; Souza, F.L.; Freitas, A.L.; Thron, A.; Castro, R.H. Improving thermodynamic stability of nano-LiMn2O4 for Li-ion battery cathode. Chem. Mater. 2021, 33, 3915–3925. [Google Scholar] [CrossRef]
- Xiang, J.; Zhang, P.; Lv, S.; Ma, Y.; Zhao, Q.; Sui, Y.; Ye, Y.; Qin, C. Spinel LiMn2O4 nanoparticles fabricated by the flexible soft template/Pichini method as cathode materials for aqueous lithium-ion capacitors with high energy and power density. RSC Adv. 2021, 11, 14891–14898. [Google Scholar] [CrossRef]
- Aurbach, D.; Levi, M.; Gamulski, K.; Markovsky, B.; Salitra, G.; Levi, E.; Heider, U.; Heider, L.; Oesten, R. Capacity fading of LixMn2O4 spinel electrodes studied by XRD and electroanalytical techniques. J. Power Source 1999, 81, 472–479. [Google Scholar] [CrossRef]
- Yi, T.-F.; Hu, X.-G.; Dai, C.-S.; Gao, K. Effects of different particle sizes on electrochemical performance of spinel LiMn2O4 cathode materials. J. Mater. Sci. 2007, 42, 3825–3830. [Google Scholar] [CrossRef]
- Deng, C.; Zhang, S.; Yang, S.; Gao, Y.; Wu, B.; Ma, L.; Fu, B.; Wu, Q.; Liu, F. Effects of Ti and Mg codoping on the electrochemical performance of Li3V2(PO4)3 cathode material for lithium ion batteries. J. Phys. Chem. C 2011, 115, 15048–15056. [Google Scholar] [CrossRef]
- Liu, H.; Tian, R.; Jiang, Y.; Tan, X.; Chen, J.; Zhang, L.; Guo, Y.; Wang, H.; Sun, L.; Chu, W. On the drastically improved performance of Fe-doped LiMn2O4 nanoparticles prepared by a facile solution-gelation route. Electrochim. Acta 2015, 180, 138–146. [Google Scholar] [CrossRef]
- Sorour, M.H.; El-Rafei, A.; Hani, H.A. Synthesis and characterization of electrospun aluminum doped Li1.6Mn1.6O4 spinel. Ceram. Int. 2016, 42, 4911–4917. [Google Scholar] [CrossRef]
- Lu, J.; Zhan, C.; Wu, T.; Wen, J.; Lei, Y.; Kropf, A.J.; Wu, H.; Miller, D.J.; Elam, J.W.; Sun, Y.-K. Effectively suppressing dissolution of manganese from spinel lithium manganate via a nanoscale surface-doping approach. Nat. Commun. 2014, 5, 5693. [Google Scholar] [CrossRef] [PubMed]
- Marincaş, A.-H.; Ilea, P. Enhancing Lithium Manganese oxide electrochemical behavior by doping and surface modifications. Coatings 2021, 11, 456. [Google Scholar] [CrossRef]
- Rho, Y.H.; Dokko, K.; Kanamura, K. Li+ ion diffusion in LiMn2O4 thin film prepared by PVP sol–gel method. J. Power Source 2006, 157, 471–476. [Google Scholar] [CrossRef]
- Wyrzykowski, D.; Chmurzyński, L. Thermodynamics of citrate complexation with Mn2+, Co2+, Ni2+ and Zn2+ ions. J. Therm. Anal. Calorim. 2010, 102, 61–64. [Google Scholar] [CrossRef]
- Zeng, J.; Li, M.; Li, X.; Chen, C.; Xiong, D.; Dong, L.; Li, D.; Lushington, A.; Sun, X. A novel coating onto LiMn2O4 cathode with increased lithium ion battery performance. Appl. Surf. Sci. 2014, 317, 884–891. [Google Scholar] [CrossRef]
- Cui, Y.; Yuan, Z.; Bao, W.; Zhuang, Q.; Sun, Z. Investigation of lithium ion kinetics through LiMn2O4 electrode in aqueous Li2SO4 electrolyte. J. Appl. Electrochem. 2012, 42, 883–891. [Google Scholar] [CrossRef]
- Aziz, S.; Zhao, J.; Cain, C.; Wang, Y. Nanoarchitectured LiMn2O4/graphene/ZnO composites as electrodes for lithium ion batteries. J. Mater. Sci. Technol. 2014, 30, 427–433. [Google Scholar] [CrossRef]
- Arumugam, D.; Kalaignan, G.P. Electrochemical characterizations of surface modified LiMn2O4 cathode materials for high temperature lithium battery applications. Thin Solid Film. 2011, 520, 338–343. [Google Scholar] [CrossRef]
- Qing, C.; Bai, Y.; Yang, J.; Zhang, W. Enhanced cycling stability of LiMn2O4 cathode by amorphous FePO4 coating. Electrochim. Acta 2011, 56, 6612–6618. [Google Scholar] [CrossRef]
- Han, S.C.; Singh, S.P.; Hwang, Y.-H.; Bae, E.G.; Park, B.K.; Sohn, K.-S.; Pyo, M. Gadolinium-doped LiMn2O4 cathodes in Li ion batteries: Understanding the stabilized structure and enhanced electrochemical kinetics. J. Electrochem. Soc. 2012, 159, A1867. [Google Scholar] [CrossRef]
- Guler, M.; Akbulut, A.; Cetinkaya, T.; Uysal, M.; Akbulut, H. Improvement of electrochemical and structural properties of LiMn2O4 spinel based electrode materials for Li-ion batteries. Int. J. Hydrogen Energy 2014, 39, 21447–21460. [Google Scholar] [CrossRef]
- Wang, F.; Xiao, S.; Shi, Y.; Liu, L.; Zhu, Y.; Wu, Y.; Wang, J.; Holze, R. Spinel LiNixMn2−xO4 as cathode material for aqueous rechargeable lithium batteries. Electrochim. Acta 2013, 93, 301–306. [Google Scholar] [CrossRef]
- Ming, H.; Yan, Y.; Ming, J.; Adkins, J.; Li, X.; Zhou, Q.; Zheng, J. Gradient V2O5 surface-coated LiMn2O4 cathode towards enhanced performance in Li-ion battery applications. Electrochim. Acta 2014, 120, 390–397. [Google Scholar] [CrossRef]
- Hwang, B.; Santhanam, R.; Liu, D. Characterization of nanoparticles of LiMn2O4 synthesized by citric acid sol–gel method. J. Power Source 2001, 97, 443–446. [Google Scholar] [CrossRef]
- Li, X.; Shao, Z.; Liu, K.; Liu, G.; Xu, B. Synthesis and electrochemical characterizations of LiMn2O4 prepared by high temperature ball milling combustion method with citric acid as fuel. J. Electroanal. Chem. 2018, 818, 204–209. [Google Scholar] [CrossRef]
- Zhao, H.; Bai, X.; Wang, J.; Li, D.; Li, B.; Wang, Y.; Dong, L.; Liu, B.; Komarneni, S. Enhanced cycling stability through erbium doping of LiMn2O4 cathode material synthesized by sol-gel technique. Materials 2018, 11, 1558. [Google Scholar] [CrossRef] [PubMed]
- Karaal, Ş.; Köse, H.; Aydin, A.O.; Akbulut, H. The effect of LiBF4 concentration on the discharge and stability of LiMn2O4 half cell Li ion batteries. Mater. Sci. Semicond. Process. 2015, 38, 397–403. [Google Scholar] [CrossRef]
- Ram, P.; Gören, A.; Ferdov, S.; Silva, M.M.; Choudhary, G.; Singhal, R.; Costa, C.; Sharma, R.K.; Lanceros-Méndez, S. Synthesis and improved electrochemical performance of LiMn2–xGdxO4 based cathodes. Solid State Ion. 2017, 300, 18–25. [Google Scholar] [CrossRef]
- Dombaycıoğlu, Ş.; Köse, H.; Aydın, A.O.; Akbulut, H. The effect of LiBF4 salt concentration in EC-DMC based electrolyte on the stability of nanostructured LiMn2O4 cathode. Int. J. Hydrogen Energy 2016, 41, 9893–9900. [Google Scholar] [CrossRef]
- Yang, Z.; Jiang, Y.; Xu, H.-H.; Huang, Y.-H. High-performance porous nanoscaled LiMn2O4 prepared by polymer-assisted sol–gel method. Electrochim. Acta 2013, 106, 63–68. [Google Scholar] [CrossRef]
- Michalska, M.; Lipińska, L.; Mirkowska, M.; Aksienionek, M.; Diduszko, R.; Wasiucionek, M. Nanocrystalline lithium–manganese oxide spinels for Li-ion batteries—Sol-gel synthesis and characterization of their structure and selected physical properties. Solid State Ion. 2011, 188, 160–164. [Google Scholar] [CrossRef]
- Du, K.; Zhang, H. Preparation and performance of spinel LiMn2O4 by a citrate route with combustion. J. Alloys Compd. 2003, 352, 250–254. [Google Scholar] [CrossRef]








| Powders | Particle Size, (D) (nm) | Lattice Constant, (a) (Å) | The Volume of the Unit Cell (V) (Å)3 | Peak Intensity Ratio (I111/I311) (I311/I400) | Peak Intensity Ratio (I400/I111) (I440/I111) | Strain, (e) (×10−6) |
|---|---|---|---|---|---|---|
| LMO-W | 351 | 8.23 | 557.5 | 1.88 1.09 | 0.50 0.25 | 3.57 |
| LMO-E | 312 | 8.22 | 555.5 | 1.81 1.02 | 0.52 0.27 | 2.89 |
| LMO-G | 219 | 8.21 | 553.3 | 1.81 1.05 | 0.53 0.26 | 2.62 |
Disclaimer/Publisher’s Note: The statements, opinions and data contained in all publications are solely those of the individual author(s) and contributor(s) and not of MDPI and/or the editor(s). MDPI and/or the editor(s) disclaim responsibility for any injury to people or property resulting from any ideas, methods, instructions or products referred to in the content. |
© 2023 by the authors. Licensee MDPI, Basel, Switzerland. This article is an open access article distributed under the terms and conditions of the Creative Commons Attribution (CC BY) license (https://creativecommons.org/licenses/by/4.0/).
Share and Cite
Nyamaa, O.; Kang, G.-H.; Huh, S.-C.; Yang, J.-H.; Nam, T.-H.; Noh, J.-P. Unraveling the Mechanism and Practical Implications of the Sol-Gel Synthesis of Spinel LiMn2O4 as a Cathode Material for Li-Ion Batteries: Critical Effects of Cation Distribution at the Matrix Level. Molecules 2023, 28, 3489. https://doi.org/10.3390/molecules28083489
Nyamaa O, Kang G-H, Huh S-C, Yang J-H, Nam T-H, Noh J-P. Unraveling the Mechanism and Practical Implications of the Sol-Gel Synthesis of Spinel LiMn2O4 as a Cathode Material for Li-Ion Batteries: Critical Effects of Cation Distribution at the Matrix Level. Molecules. 2023; 28(8):3489. https://doi.org/10.3390/molecules28083489
Chicago/Turabian StyleNyamaa, Oyunbayar, Gyeong-Ho Kang, Sun-Chul Huh, Jeong-Hyeon Yang, Tae-Hyun Nam, and Jung-Pil Noh. 2023. "Unraveling the Mechanism and Practical Implications of the Sol-Gel Synthesis of Spinel LiMn2O4 as a Cathode Material for Li-Ion Batteries: Critical Effects of Cation Distribution at the Matrix Level" Molecules 28, no. 8: 3489. https://doi.org/10.3390/molecules28083489
APA StyleNyamaa, O., Kang, G.-H., Huh, S.-C., Yang, J.-H., Nam, T.-H., & Noh, J.-P. (2023). Unraveling the Mechanism and Practical Implications of the Sol-Gel Synthesis of Spinel LiMn2O4 as a Cathode Material for Li-Ion Batteries: Critical Effects of Cation Distribution at the Matrix Level. Molecules, 28(8), 3489. https://doi.org/10.3390/molecules28083489

