Abstract
The 1,2,3-dithiazole is an underappreciated scaffold in medicinal chemistry despite possessing a wide variety of nascent pharmacological activities. The scaffold has a potential wealth of opportunities within these activities and further afield. The 1,2,3-dithiazole scaffold has already been reported as an antifungal, herbicide, antibacterial, anticancer agent, antiviral, antifibrotic, and is a melanin and Arabidopsis gibberellin 2-oxidase inhibitor. These structure activity relationships are discussed in detail, along with insights and future directions. The review also highlights selected synthetic strategies developed towards the 1,2,3-dithiazole scaffold, how these are integrated to accessibility of chemical space, and to the prism of current and future biological activities.
1. Introduction
The 1,2,3-dithiazole core is a five membered heterocycle containing two sulfur atoms and one nitrogen atom. Despite the fact that the 1,2,3-dithiazole is not present in nature, similar to many other heterocycles, it does have a broad range of interesting biological activities. The 1,2,3-dithiazole moiety was first synthesized in 1957 by G. Schindler et al. [1]. This was followed two decades later by a report by J. E. Moore on behalf of Chevron Research Co. (San Ramon, CA, USA) where it showcased antifungal and herbicidal activity [2,3]. In 1985, Appel et al. reported the synthesis of 4,5-dichloro-1,2,3-dithiazolium chloride 1 (Appel’s salt), a precursor which allowed access to the 1,2,3-dithiazole core within a single step [4,5].
The synthesis of Appel salt 1 acted as a catalyst to the field and granted access to many 1,2,3-dithiazole derivatives, and to other heterocycles incorporating sulfur and nitrogen atoms [6,7,8,9,10,11]. The subsequent synthetic reports focused on transformations on the C5 position [6,7,8,9,10,11]. However, one of the key synthetic interests beyond expanding the scope of 5-substituted 1,2,3-dithiazoles was the limited reactivity of the C4 position. Several different approaches were used to address this C4 reactively issue, including intramolecular cyclization [6] using a multi-step oxime pathway [12,13], or more recently, direct reactions [14], all of which expanded the chemical space around the 1,2,3-dithiazole. Some of these approaches have been covered in past reviews around the chemistry of 1,2,3-dithiazoles [6,7,8,9,10,11] (Figure 1).
Figure 1.
Appel salt (1) and other general 1,2,3-dithazoles structures 2–6.
Despite the remaining synthetic challenges, the 1,2,3-dithiazole scaffold has already been reported as an antifungal [2], herbicide [2], antibacterial [15], anticancer agent [16], antiviral [17], antifibrotic [18], and as a melanin [19] and Arabidopsis gibberellin 2-oxidase [20] inhibitor. While there is a wide range of existing biology, there are a wealth of opportunities for expansion, including broader application toward cystine reactive sites [21,22,23,24,25]. In this review, we are primarily focused on the impact of: (1) The chemistry limiting the chemical space, and hence, limiting the biology; (2) The chemistry impacting the biology observed; and (3) How chemistry could be applied to new biology. The chemistry, biology, structure activity relationships, and future directions of research in 1,2,3-dithiazoles are all outlined below.
2. 1,2,3-Dithiazoles Synthesis Overview
2.1. Early Years before Appel Salt
Early work on the synthesis of 1,2,3-dithiazoles used cyanothioformamides as starting materials. Treatment of a variety of arylcyanothioformamides 7 with sulfur dichloride at 0–25 °C gave a number of N-aryl-5H-1,2,3-dithiazol-5-imines 4 (Scheme 1) [2]. The initial reaction yielded the corresponding hydrochloride salts, which could be converted to the free base by refluxing in a toluene solution.
Scheme 1.
Synthesis of N-aryl-5H-1,2,3-dithiazol-5-imines 4 from arylcyanothioformamides 7.
Interestingly, the N-aryl-5H-1,2,3-dithiazol-5-imines 4 can be degraded to the respective cyanothioformamides 7 by thiophilic ring cleavage after reaction with triphenylphosphine or sodium hydroxide [4,26], oxidative ring cleavage after reaction with m-CPBA [27], or by reductive ring cleavage after reaction with sodium cyanoborohydride [28] (Scheme 2).
Scheme 2.
Degradation of N-aryl-5H-1,2,3-dithiazol-5-imines 4 to cyanothioformamides 7.
2.2. Discovery of Appel Salt and Applications
A significant discovery in the chemistry of 1,2,3-dithiazoles was the synthesis of 4,5-dichloro-1,2,3-dithiazolium chloride 1 (Appel salt) by Appel et al. in 1985, which was readily prepared from chloroacetonitrile and disulfur dichloride [4,29] (Scheme 3). Appel salt 1 was subsequently used as an important reagent for the preparation of other 4-chloro-5H-1,2,3-dithiazoles with the most reactive site being the electrophilic C-5 position [4,9,27].
Scheme 3.
Synthesis of Appel salt and transformation to 4-chloro-5H-1,2,3-dithiazolylidenes 3.
Appel salt 1 can condense with active methylenes, such as acetonitrile derivatives [4,30,31], diketones, ketoesters, and others [32], to give 4-chloro-5H-1,2,3-dithiazolylidenes 3 (Scheme 3).
The condensation of Appel salt with hydrogen sulfide [4] afforded dithiazole-5-thione 6 in 69% yield (Scheme 4). The reaction with oxygen nucleophiles are also common with NaNO3 [4], sulfoxides [33], or formic acid [34] all acting as the source of oxygen to give 4-chloro-5H-1,2,3-dithiazol-5-one 5 in good yields (Scheme 4). Furthermore, the reaction with other carboxylic acids [35] at −78 °C and subsequent treatment with alcohols gave esters 8 in medium to good yields (Scheme 4).
Scheme 4.
Reactions of Appel salt 1 with oxygen and sulfur nucleophiles.
The condensation of Appel salt 1 with primary anilines is well studied [4,5,15,36] and typically occurs by treatment with 1 equiv. of the aniline in the presence of pyridine (2 equiv.) as the base to give, in most cases, good yields of N-aryl-5H-1,2,3-dithiazol-5-imines 4 (Scheme 5).
Scheme 5.
Synthesis of N-aryl-5H-1,2,3-dithiazol-5-imines 4 from Appel salt 1.
Some limitations of this chemistry appear when using heterocyclic arylamines, such as aminopyridines. A recent study by Koutentis et al. highlighted that the reactions of the three isomeric aminopyridines with Appel salt 1 gave very different yields based on the position of the amino group. The 2-, 3- and 4-aminopyridines gave 69%, 24%, and 1% yields of the desired 1,2,3-dithiazole, respectively [37] (Scheme 6). Koutentis et al. suggested the low yield of 4-aminopyridine is likely attributed to the reduced nucleophilicity of the primary amine due to a contribution of its zwitterionic resonance form. The low reactivity of the amine leads to complex reaction mixtures due to side reactions.
Scheme 6.
Reaction of Appel salt 1 with aminopyridines.
2.3. Reactivity of C-4 and the Displacement of the Chloride
The less reactive C4 chlorine of neutral 5H-1,2,3-dithiazoles cannot be directly substituted by nucleophiles. However, utilizing an ANRORC-(Addition of the Nucleophile, Ring Opening, and Ring Closure)-style mechanism, nucleophilic substitution can occur on the C4 chlorine of the 1,2,3-dithazole. An example of this is where the N-Aryl-5H-1,2,3-dithiazol-5-imines 4 react with an excess of dialkylamines to give 4-aminodithiazoles 9 in variable yields (Scheme 7). The reaction was found to proceed via an ANRORC-style mechanism [38,39] involving ring opening by nucleophilic attack on the S2 position to yield disulfides 10 and subsequent recyclization after amine addition on the cyano group [40]. In another report by Koutentis et al. [14], DABCO was reacted with neutral 5H-1,2,3-dithiazoles 4–6 to give N-(2-chloroethyl)piperazines 11 in good yields (Scheme 7). The chloroethyl group originating from chloride attack on the intermediate quaternary ammonium salt formed by the displacement of the C4 chloride by DABCO.
Scheme 7.
Displacement of the C4 chlorine of neutral 5H-1,2,3-dithiazoles.
2.4. Alternatives beyond Appel Salt Chemistry
A different way to access both monocyclic and ring fused 1,2,3-dithiazoles is by the reaction of oximes with disulfur dichloride. An example of the synthesis of a ring fused dithiazole is the reaction of benzoindenone oxime 12 to give dithiazole 13 in 81% yield [41,42] (Scheme 8). Acetophenone oximes 14 were reacted with disulfur dichloride to yield dithiazolium chlorides 2, which were subsequently converted to either imines 15, thiones 16, or ketone 17 [13] (Scheme 8). Insights in the mechanism of the oxime to dithiazole transformation were given by Hafner et al. [12], who isolated the dithiazole N-oxide, which is the intermediate in this reaction.
Scheme 8.
Synthesis of 1,2,3-dithiazoles from oximes.
2.5. Reactivity of 1,2,3-Dithiazoles
Neutral 1,2,3-dithiazoles can also be transformed to a plethora of other heterocycles, often substituted by a cyano group originating from the imidoyl chloride of the starting material using thermal or reactions with thiophiles. An interesting example of an ANRORC-style mechanism leading to a ring transformation was the reaction of (Z)-N-(4-chloro-5H-1,2,3-dithiazol-5-ylidene)-1H-pyrazol-5-amines 4d with diethylamine that results in disulfide intermediates 18. Subsequent treatment with concentrated sulfuric acid gave 1,2,4-dithiazines 19 in good yields [43] (Scheme 9).
Scheme 9.
Synthesis of 1,2,4-dithiazines 19.
In another example, the pyrazoleimino dithiazoles 20 were converted to 4-methoxy-pyrazolo[3,4-d]pyrimidines 21 in medium to good yields by treatment with sodium methoxide in methanol [16] (Scheme 10). The transformation occurs after addition of the methoxide on the nitrile followed by cyclisation onto the dithiazole C5 position that fragments losing S2 and chloride to give the final pyrimidine 21.
Scheme 10.
Synthesis of 4-methoxy-pyrazolo[3,4-d]pyrimidines 21.
A similar example of ring transformations is that of 2-aminobenzyl alcohol dithiazole-imines 4e to 1,3-benzoxazines 22 and 1,3-benzothiazines 23 [44]. Treatment of imines 4e with sodium hydride in THF gave mixtures of benzoxazines 22 and benzothiazines 23, with the former as the main products (Scheme 11). The formation of the former involves deprotonation of the alcohol and cyclisation of the alkoxide onto the dithiazole C5 position. Subsequent fragmentation with loss of S2 and chloride gave the final benzoxazine 22. Alternatively, treatment of imines 4e with Ph3P gave exclusively benzothiazines 23 in good yields (Scheme 11). Thiophilic attack on S1 ring opens the dithiazole ring and a second attack by Ph3P gives the intermediate alkene 24 that cyclizes to benzothiazine 23.
Scheme 11.
Synthesis of 1,3-benzoxazines 22 and 1,3-benzothiazines 23.
1,2,3-Dithiazole derivatives can also be converted to mercaptoacetonitriles by the removal of the S1 atom. One example of this are the 3-(1,2,3-dithiazolylidene)indololin-2-ones 25 reacting with sodium hydride (2 equiv.) to yield the mercaptoacetonitrile products 26 in medium to good yields [45] (Scheme 12).
Scheme 12.
Conversion of dithiazoles 25 to mercaptoacetonitriles 26.
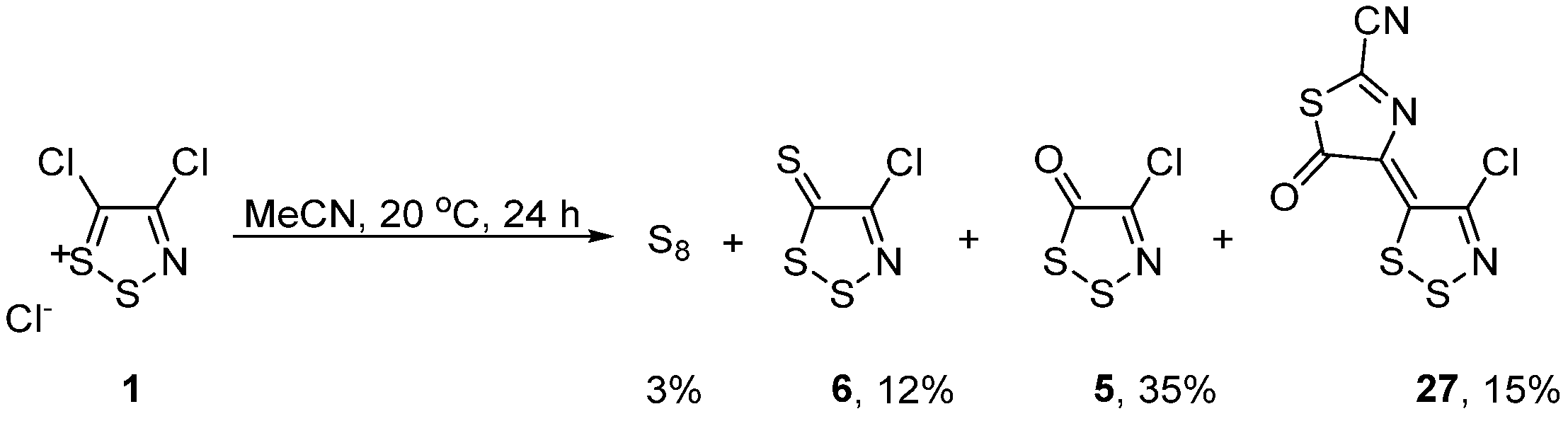
Perhaps the most unstable 1,2,3-dithiazole is Appel salt itself, which, while relatively stable at ca. 20 °C under a desiccant, in its absence, Appel salt has a tendency to react with moisture. One study by Koutentis et al. revealed that simple stirring in wet MeCN gave elemental sulfur, dithiazole-5-thione 6, dithiazol-5-one 5, and thiazol-5-one 27 [46] (Scheme 13), assisting other scientists working with Appel salt, to identify these products. Interestingly, other dithiazolium salts have also been prepared with increased stability and lower sensitivity to moisture. A series of perchlorate salts of 1,2,3-dithiazoles were prepared by the anion exchange with perchloric acid allowing for more detailed characterization and study of the 1,2,3-dithiazole [29].
Scheme 13.
Degradation of Appel salt 1 in wet MeCN.
In another study by Rakitin et al., 4-substituted 5H-1,2,3-dithiazoles 16 and 17 were converted to 1,2,5-thiadiazoles 28 and 29 by treatment with primary amines [47] (Scheme 14). Mechanistically, the reaction occurs by addition of the amine to the C5 position followed by ring opening of the C-S bond and subsequent ring closing by loss of hydrogen sulfide.
Scheme 14.
Transformation of dithiazoles 16–17 to thiadiazines 28–29.
To summarize, 1,2,3-dithiazoles can be converted to other heterocyclic or ring opened derivatives. The six most common mechanisms involved in the transformations of 1,2,3-dithiazoles to other systems are shown below (Scheme 15). These mechanisms begin via a nucleophile assisted ring opening of the dithiazole to disulfide intermediates that then can react either intermolecular or intramolecular with other nucleophiles via the six paths presented.
Scheme 15.
Overview of the mechanisms of the reactions of 1,2,3-dithiazoles.
3. 1,2,3-Dithiazoles in Medicinal Chemistry
3.1. Antimicrobial Activities of 1,2,3-Dithiazoles, including Antifungal, Herbicidal, and Antibacterial
The first report of biological activity using the 1,2,3-dithiazole scaffold was published in a patent filed by J. E. Moore in 1977 on behalf of Chevron Research Co. [2,3]. The patent disclosed a series of novel 1,2,3-dithiazoles afforded in a 2–3 step sequence from N-aryl cyanothioformamide and sulfur dichloride. The main application of these compounds was the controlling of various fungal infections, leaf blights, invasive plant species, and mites.
First, the tomato early blight organism, Alternaria solani conidia was tested against 6- to 7-week-old tomato plate seedlings. The tomato plants were sprayed with 250 ppm solutions of a 1,2,3-dithiazole library. This resulted in the identification of (Z)-4-((4-chloro-5H-1,2,3-dithiazol-5-ylidene)amino)benzonitrile (30) with a 90% reduction compared with non-treatment. The 2,4-dichloro analogue 31 had weaker activity, with a reduction of just over half of the infection (Figure 1). Next, the tomato late blight organism, Phytophthora infestans conidia was tested against seedlings of 5 to 6 weeks old using the same procedure. The 4-cyano analogue 30 was found to afford 97% protection, while the 2-(4-nitrophenoxy) analogue 32 showed an 80% reduction (Figure 2). Then, the celery late blight organism septoria api was tested using 11-week-old plants. The 4-cyano analogue 30 afforded less protection at just over 60%, while several other analogues showed improvements, including 2-fluoro 33 and 3-(4-trifluoro, 2-cyanopenoxy) 34 analogues, both reported with 80% protection (Figure 2).
Figure 2.
Antifungicidal activities of early 1,2,3-dithiazole derivatives at a concentration of 250 ppm.
A series of halogenated analogues 35–39 were then identified as active against the powdery mildew pathogen Erysiphe polygoni using bean seedlings with well-developed primary leaves. The (Z)-4-chloro-N-(4-chloro-2-methylphenyl)-5H-1,2,3-dithiazol-5-imine analogue (35) along with the corresponding 3-chloro 36 showed 100% protection at 250 ppm. The corresponding 5-chloro 37 and 4-bromo 38 both showed a small reduction in efficacy, 10% and 1%, respectively, while the 3,5-dichloro 39 was only net 76% effective (Figure 3).
Figure 3.
Antifungicidal activities of 1,2,3-dithiazoles against powdery mildew (250 ppm) and Botriytis cinerea (40 ppm).
Initial screening was also carried out against necrotrophic fungus Botrytis cinerea on the well-developed primary leaves of a 4–6-week-old horsebean plant at a lower concentration (40 ppm). Only 1,2,3-dithiazole 35 was demonstrated to be effective with 92% inhibition (Figure 3). However, after this initial result, screening was carried out on a broader panel of fungal (Figure 4) and herbicidal strains (Figure 5). The fungal panel included Botrytis cinerea, Rhizoctonia solani, Fusarium moniloforma, Phythium ultimum, and Aspergillus niger. The compounds 30, 33, and 39–48 were tested at 500 ppm and fungicidal activities were measured by the zone of inhibited mycelia growth (Figure 4). Interestingly, the unsubstituted phenyl analogue (Z)-4-chloro-N-phenyl-5H-1,2,3-dithiazol-5-imine (40) was active on Botrytis cinerea at 0.33 μg/cm2. The addition of a 4-position methyl in analogue 41 reduced the activity against Botrytis cinerea by over 2-fold, but increased the activity against Rhizoctonia solani and Fusarium moniloforma. The 2-position methyl analogue 42 showed a profile switch showing activity only against Aspergillus niger (0.98 μg/cm2). The 2,4,6-trimethyl analogue 43 also only retained activity against on strain Rhizoctonia solani (0.98 μg/cm2). The original 4-chloro, 2-methyl analogue 35 showed activity against Rhizoctonia solani (0.63 μg/cm2), but the dose dependent Botrytis cinerea data was not reported. The removal of the methyl group to afford the 4-chloro analogue 44 increased the activity against Rhizoctonia solani by 2-fold and showed commensurate activity against Phythium ultimum and 3-fold weaker activity against Aspergillus niger. The addition of a second chloro in the 3-position in analogue 45 was unfavored with only activity against Aspergillus niger retained. When the 4-chloro is removed to afford 46, the activity is switched again with potency only demonstrated for Rhizoctonia solani at the same level as 43. Addition of a second choro at the 5-position to afford 47 has same activity profile as 46. The 4-cyano analogue 30 showed good activity against Rhizoctonia solani (0.60 μg/cm2). The 2-fluoro analogue 33, while having a slightly weaker potency, did show activity against 4 out of 5 of the fungal panel, only excluding Botrytis cinerea. The final two analogues identified in this series, 3-(4-nitrophenoxy) 47 and 4-(4-nitrophenoxy) 48, both showed activity against only Rhizoctonia solani with analogue 48 having a 2-fold improvement over 47 at (0.45 μg/cm2).
Figure 4.
Antifungicidal activities of 1,2,3-dithiazoles, values are amounts required for mycelia inhibition, micrograms/cm2 for 99% control of fungal growth.
Figure 5.
Herbicidal activities of early 1,2,3-dithiazole derivatives tested at 33 ppm.
The 1,2,3-dithiazoles were then screened at 33 ppm on a herbal panel that included wild oats (Awena fatua), watergrass (Echinochloa crusgall), crabgrass (Digitaria sanguinalis), mustard (Brassica arversis), pigweed (Amaranthus retroflexus), and lambsquarter (Cheropodium album) (Figure 5). The first analogue (Z)-4-chloro-N-(p-tolyl)-5H-1,2,3-dithiazol-5-imine (41), showed good efficacy against Amaranthus retroflexus (90%) and total control of Brassica arvensis. Switching to the 4-fluoro analogue 49 increased coverage across all strains tested, including Avena fatua (40%), which was only weakly inhibited across the series and total control of Amaranthus retroflexus. The 4-chloro analogue 44 was 3-fold less effective against Digitaria sanguinalis and Avena fatua. The addition of a 2-position chloro 50 decreased strain coverage, but did mean total control of Brassica arvensis in addition to Amaranthus retroflexus, with additional high efficacy against Chenopodium Album (95%). The original 2-methyl 4-chloro analogue 35, while still showing efficacy across several strains, did not offer total or near total control for any of the strains tested. The 2-chloro analogue 50 showed total control for Chenopodium album and Brassica arvensis and near total for Amaranthus retroflexus (93%). However, 2-chloro 50 had a limited effect on Digitaria sanguinalis and Echinochloa crusgalli, with no impact on Avena fatua. The 3,5-dichloro analogue 39 demonstrated good efficacy against most strains, including total control of Amaranthus retroflexus, Chenopdium album, Brassica arvensis, and some activity against Avena fatua (35%). The 2-methyl, 5-chloro analogue 51 offered the highest efficacy across the series on Avena fatua (45%), total control of Amaranthus retroflexus and Brassica arvensis, with near total control of Chenopodium album (95%). The 3,4-dichloro analogue 45 had a potent but narrower band of activity with total control of Amaranthus retroflexus, Chenopdium album and Brassica arvensis, but weaker activity on the other three strains (30–55%). The 3-bromo analogue 38 has a similar profile to the 4-methyl 41, while the 2-naphthyl analogue 52 was the most potent in the screening for Echinochloa crusgalli (90%) and offered good control over Amaranthus retroflexus (85%) and total control over Brassica arvensis.
In order to test for other pests, pinto bean leaves were treated with two spotted mites (Tetramuchus urticae). The mites were then allowed to lay eggs on the leaves, and after 48 h, the leaves were treated with 40 ppm of the test compound (Figure 6). A series of halogenated phenyl-5H-1,2,3-dithiazol-5-imines were identified with activity against both Tetramuchus urticae and their eggs. The 3,5-dichloro analogue 39 showed a high degree of control with 90% of mites and 85% of eggs suppressed. This increased to almost total control with the 3,4-dichloro 45. Interestingly, the 2,4-dichloro analogue 31 demonstrated total mite control but had no effect on the eggs. The mono-substituted 2-chloro analogue had a similar profile with no effect on the mite eggs, but only 70% effective control of the mite. The 4-chloro, 2-methyl analogue 35 showed complete egg control and almost complete mite control (94%). The switch to the bromo 38 showed a similar profile, but with 70% mite control. The 2-methyl substituted match pair analogues 3-chloro 56 and 5-chloro 52 both demonstrated a high level of mite and egg control with the 3-position preferred.
Figure 6.
Mite (Tetranychus urticae) control activities of early 1,2,3-dithiazole derivatives at 40 ppm.
Subsequent to the work reported by Chevron Research Co., in 1980, a brief patent was filed by Appel, R. et al. on behalf of Bayer AG on the use of 1,2,3-dithiazoles as antifungals specifically against Trichophyton Mentagrophytes [48]. This was followed up by another brief patent in 1984 by Mayer R. et al. on behalf of Dresden University of Technology (Technische Universität Dresden) on the use of N-arylcyanothioformamides derived from 1,2,3-dithiazoles as herbicides and crop protection agents [49].
The 1,2,3-dithazoles chemical space and synthesis progressed as outlined in Section 2.2 during the late 1980s and early 1990s. However, it was not until 1996 when Pons et al. disclosed a focused series of N-arylimino-1,2,3-dithiazoles and related N-arylcyanothioformamides before further biology was elucidated [15]. The unsubstituted aromatic compound 40 and the 2-methoxy analogue 54 were shown to have potent activity on several bacteria strains (Figure 7). Compound 40 had an MIC of 16 μg/mL on S. aureus, E. faecalis, and L. monocyotogenes, while 2-methoxy 54 had the same level of potency, but only on E. faecalis and L. monocyotogenes. Interestingly, all the N-arylcyanothioformamides analogues tested were ineffective, highlighting the need for the 1,2,3-dithiazole ring.
Figure 7.
Report on a small panel of 1,2,3-dithiazoles highlighted some nascent antibacterial activity on the dithiazole scaffold.
This work was extended in a subsequent report by Pons et al. [50], where a focused library of 1,2,3-dithiazoles and related analogues were screened on a series of fungal targets. The 1,2,3-dithiazoles were the only compounds that showed antifungal activity, with most potent analogues identified as unsubstituted aromatic 40, the 2-methoxy 54, and 4-methoxy analogue 55 (Figure 8). These three most potent analogues all had an MIC of 16 μg/mL on C. albicans, C. glabrata, C. tropicalis, L. orientalis, and an MIC of 8 μg/mL on C. neoformans.
Figure 8.
Report on a small panel of 1,2,3-dithiazoles highlighted some nascent antifungal activity on the dithiazole scaffold.
This was followed by a patent filed in 1997 by Joseph, R. W. et al. on behalf of Rohm & Haas Co. [51], a company specializing in the manufacture of coatings. The disclosed innovation involved the use of 1,2,3-dithiazoles to rapidly inhibit microbial and algae growth for industrial applications. These included paints, coatings, treatments, and textiles, among others. The effective amount applied was between 0.1 to 300 ppm, with three main exemplar 1,2,3-dithiazoles highlighted (Figure 9). This included 4-chloro-5H-1,2,3-dithiazol-5-one (5) with potent antibacterial properties against R. Rubra TSB (MIC = 7.5 ppm) and E. Coli M9G (MIC = 19 ppm), with potent algae inhibition of Chlorella, Scenedesmus, and Anabaena (all MIC = 3.9 ppm) and Phormidium (MIC = 7.8 ppm). In addition to 5, the 2-chloro analogue 52 was reported to have potent activity against R. Rubra TSB (MIC = 7.5 ppm) and good activity against E. Coli M9G (MIC = 32 ppm) and A. Niger TSB (MIC = 50 ppm). The 4-nitro analogue 56 also performed well with both E. Coli M9G and A. Niger TSB having an MIC or 50 ppm. The activity reported between 5 and 52 on E. Coli M9G is the first evidence of activity against a Gram-negative bacterium. The company also provided data with time of addition experiments showing that 5 and 10 ppm of 5 are effective at 1 h, whereas 10 ppm of methylene bisthiocyanate (MBT), a known commercial antimicrobial compound, is not effective until 24 h.
Figure 9.
Rohm & Haas Co. filed a patent for industrial applications around three 1,2,3-dithiazoles for antibacterial and antialgae properties.
Subsequently in 1998, more detailed screening and structure activity relationships (SAR) were published from Pons et al. related to the antimicrobial properties of the 1,2,3-dithiazole scaffold [52,53]. These two studies tested activity against bacteria: S. aureus, E. faecalis, S. pyogenes, and L. monocytogenes, and fungi: C. albicans, C. glabrata, C. tropicalis, and I. orientalis. This screening supported earlier work on the 1,2,3-dithiazole scaffold, and broadened the scope of this inhibition to several new fungal and bacteria strains (Figure 10). The compounds showed antibacterial activity against Gram-positive bacteria, but as previously described [15], there was no activity against Gram-negative bacteria.
Figure 10.
Results of a focused investigation of antibacterial and antifungal activities of selected 1,2,3-dithiazoles [52,53].
The unsubstituted analogue 40 was a direct repeat of all activities previously demonstrated with antibacterial S. aureus; E. faecalis; and L. monocyotogenes (all MIC = 16 μg/mL); and antifungal C. albicans, C. glabrata; C. tropicalis; and L. orientalis (all MIC = 16 μg/mL). All of the highlighted compounds (40, 54, 57–66) had C. albicans activity at MIC = 16 μg/mL. The 2-cyano analogue 57 had activity (MIC = 16 μg/mL) across all fungal strains tested but had limited antibacterial effects. Switching to the 2-methylester 58 narrowed the antifungal activity. However, the 2-methoxy 54 had good broad spectrum antimicrobial activity hitting 7 out of the 8 strains tested. The introduction of a second methoxy group in the 5-position to afford (Z)-4-chloro-N-(2,5-dimethoxyphenyl)-5H-1,2,3-dithiazol-5-imine (59) increased the potency (MIC = 4 μg/mL) on C. glabrata, while maintaining antifungal coverage. Moving the 2-position methoxy to the 4-position in analogue 60 maintained the antifungal coverage but lost the 4-fold boost seen against C. glabrata with 59. The (Z)-(4-chloro-2-((4-chloro-5H-1,2,3-dithiazol-5-ylidene)amino)phenyl)methanol (61) analogue showed potency against E. faecalis, C. glabrata, C. albicans, and L. orientalis (all MIC = 16 μg/mL); in addition to demonstrating a tolerability for more diverse substitution patterns.
A switch to fused heterocycles including quinolines and naphthalene was maintained rather than increased overall potency and coverage. The quinolin-6-yl substituted analogue 62 showed potency against C. glabrata and C. albicans (both MIC = 16 μg/mL), while the quinolin-5-yl 63 was only active against the C. albicans. The naphthalen-1-yl 65 and hydroxy substituted naphthalen-1-yl 66 had the same profile with coverage against all four bacteria tested (S. aureus, E. faecalis, S. pyogenes, and L. monocyotogenes all MIC = 16 μg/mL) and C. albicans. The hydroxy substitution of 65 to afford 66 did not provide any potency advantage, but did demonstrate there was an ability to alter physicochemical properties without affecting potency.
Access to a series of new substituted 5-phenylimino, 5-thieno, or 5-oxo-1,2,3-dithiazoles was reported in 2009 by Rakitin et al. [13] (synthesis discussed in Section 2.4). A series of sixteen compounds were screened against four fungi strains: C. albicans, C. glabrata, C. tropicalis, and I. orientalis; four Gram-negative bacteria strains: E. coli, P. aeruginosa, K. pneumoniae, and S. Typhimurium; and four Gram-positive bacteria strains: E. faecalis, S. aureus, B. cereus, and L. inocua. The result of this screening were some compounds with limited activity and 4-(pyridin-2-yl)-5H-1,2,3-dithiazole-5-thione (67), which was active against bacteria L. inocua (MIC = 16 μg/mL) and fungi C. galbrata (MIC = 8 μg/mL) (Figure 11). These results opened up additional chemical space to potentially further investigate the 1,2,3-dithiazole SAR.
Figure 11.
The 4-(pyridin-2-yl)-5H-1,2,3-dithiazole-5-thione (67) was the only compound with potent antimicrobial activity from the C4 substituted analogue library.
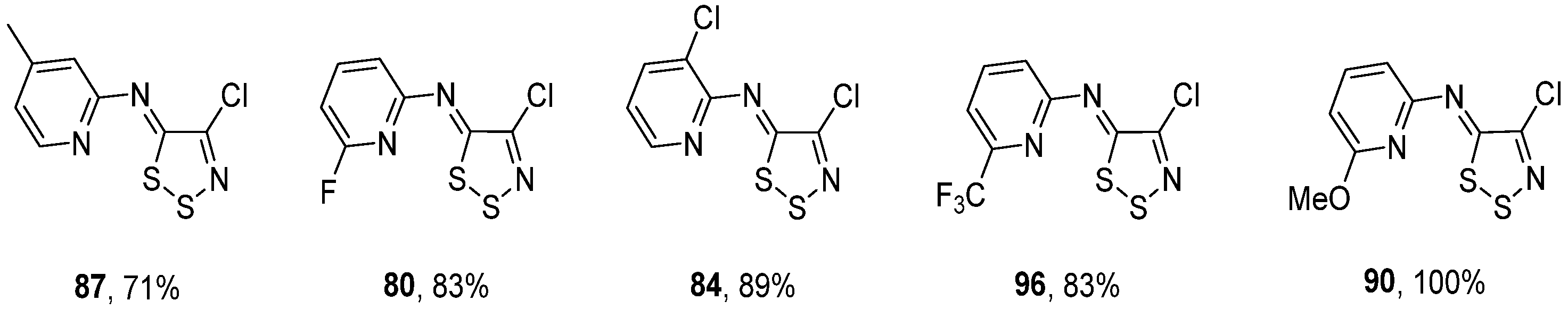
In 2012, a patent was filed by Benting et al. on behalf of Bayer Cropscience AG focusing on phytopathogenic antifungal crop protection aspects of heteroaromatic substituted 1,2,3-dithiazole analogues [54]. Heteroaromatic substitution patterns had until the point been largely neglected, due in part to electron deficient amines affording lower yields (as in the case of [37]). A library of heteroaromatic 1,2,3-dithiazole derivative were screened against a series of different fungi strains. These included tomato (Phytophtora), cucumber (Sphaerotheca), apples (Venturiatest), tomato (Alternia), beans (Botyrtis), wheat (Leptosphaeria nodorum), wheat (Septoria tritici), and rice (Pyricularia). Only compounds that showed inhibition above 70% at the respective concentration tested were reported. The results were broadly clustered into three groups, small 5-membered heterocyles, pyrimidine, and 3-pyridyl substituted heterocycles and 2-pyridyl substituted heterocycles. There was broad SAR tolerability for Phytophtora (Figure 12), Sphaerotheca (Figure 13), Venturiatest (Figure 14), Alternia (Figure 15), and Botyrtis (Figure 16). While with Leptosphaeria nodorum (Figure 17), Septoria tritici (Figure 18), and Pyricularia (Figure 19) the SAR narrowed considerably.
Figure 12.
Phytophtora (tomato) preventive; ≥70% efficacy at concentration of 1500 ppm.
Figure 13.
Sphaerotheca (cucumber) preventive; ≥70% efficacy at concentration of 1500 ppm.
Figure 14.
Venturiatest (apples) preventive; ≥70% efficacy at concentration of 250 ppm.
Figure 15.
Alternia (tomatoes) preventive ≥70% efficacy at concentration of 250 ppm.
Figure 16.
Botyrtis (beans) preventive ≥70% efficacy at concentration of 500 ppm.
Figure 17.
Leptosphaeria nodorum (wheat) preventive ≥70% efficacy at concentration of 1000 ppm.
Figure 18.
Septoria tritici (wheat) preventive ≥70% efficacy at concentration of 1000 ppm.
Figure 19.
Pyricularia (rice) preventive ≥80% efficacy at concentration of 250 ppm.
The chemical space around Phytophtora inhibition included a broad array of 1,2,3-dithiazol-5-imines 4a and 68–90 (Figure 12). While most analogues reported were potent; only the 4-methyl 2-pyridyl 87 and 3-methoxy 2-pyridyl 90 achieved total control of the fungi. In the case of Sphaerotheca, many compounds demonstrated very high degrees of antifungal control, including 4a, 4b, 68–70, 73, 77, 79–81, 86–87, and 91–104 (Figure 13), while ten compounds showed complete control including the unsubstituted analogues 2-pyridyl 4a and 4-methyl 2-pyridyl 91.
The Venturiatest fungi appears to be easier to target as the reported dose is 6-fold less (250 ppm vs. 1500 ppm), and most reported compounds 4a, 68–69, 75–76, 79–81, 84, 86–87, 90–91, 95–97, and 105–111 having high potency with a mixture of substitution patterns offering total control (Figure 14). These included isoxazoles 68 and 105, 1,2,5-oxadiazole 91 and a series of seven substituted 2-pyridyl analogues including 4a, 80–81, 84, 96–97, and 101 (Figure 14). The Alternia fungi appears to be more difficult to effectively target as, while the compounds 4a, 68–69, 75–76, 79–81, 84, 87, 90–91, 95–97, 105, and 107–111 were similar to the inhibitors identified for Venturiatest, none reached total control of Alternia. The most potent compounds, pyrazole 69, unsubstituted 2-pyridyl 4a, and 3-fluoro 2-pyridyl 80 all had 96% control at 250 ppm (Figure 15). The Botyrtis fungi was also not completely controlled by the active compounds 4a, 68–69, 75–76, 81, 84, 91, 95–97, 105, 107, and 110, despite a high level of potency. The SAR around Botyrtis was considerably narrower with roughly half the number of earlier analogues reported (Figure 16), despite the higher 500ppm concentration tested. The pyrazole analogue 69 was able to potently inhibit Botyrtis infection to 99%, while several other analogues also had potent inhibition (>95%).
Only five 1,2,3-dithiazoles were reported to be active against Leptosphaeria nodorum (Figure 17) and the need for an increased concentration of test compound to 1000 ppm, potentially highlighting that Leptosphaeria nodorum is more difficult to target. The five compounds reported were all 2-pyridyl substituted 80, 84, 87, 90, and 96, but only (Z)-4-chloro-N-(6-methoxypyridin-2-yl)-5H-1,2,3-dithiazol-5-imine (90) had total control of the Leptosphaeria nodorum infection.
The fungi Septoria tritici had a similar profile to Leptosphaeria nodorum, with only five potent compounds reported: 84, 87, 98, 109, and 112 (Figure 18). The most potent four of the five compounds reported were 2-pyridyl substituted 84, 87, 98, and 112. The 4-methyl 2-pyridyl 87 and 3-methoxy 2-pyridyl 112 were the most potent, with 100% control of Septoria tritici infection.
Interestingly, the final set of results of inhibitors against Pyricularia revealed only two highly active compounds. These two compounds, (Z)-4-chloro-N-(6-methoxypyridin-2-yl)-5H-1,2,3-dithiazol-5-imine (90) and (Z)-4-chloro-N-(isoxazol-3-yl)-5H-1,2,3-dithiazol-5-imine (68), were both able to control 100% of the Pyricularia infection even at the lower concentration of 250 ppm. The lack of further SAR may (or may not) indicate that, while two highly active compounds are reported this infection was the most difficult to treat.
More recently, a 2020 study by our group reported a set of 1,2,3-dithiazoles and matched pair 1,2,3-thiaselenazoles as antimicrobials [55]. The rare 1,2,3-thiaselenazoles were synthesized by sulfur extrusion and selenium insertion into 1,2,3-dithiazoles [55,56]. This work was part of the Community for Antimicrobial Drug Discovery (CO-ADD) project to develop new lead compounds for priority targets with an unmet clinical need [57]. The compounds were screened against S. aureus, A. baumannii, C. albicans, and C. neoformans var. grubii. with a toxicity counter screen in HEK293 cells and an additional hemolysis assay (Hc10) (Figure 20). These strains are considered by the World Health Organization (WHO) to be the highest priority to develop novel antibiotics for control of these bacteria and fungi [58].
Figure 20.
Summary of the most active antifungal 1,2,3-dithiazoles and 1,2,3-thiaselenazoles from the 2020 study by our group [55].
The compounds 113–120 demonstrated potency against several of the strains tested, with the 1,2,3-thiaselenazoles tending to be more active (Figure 20). The 4,5,6-trichlorocyclopenta[d][1,2,3]thiaselenazole (113) demonstrated potent activity against Gram-positive bacteria S. aureus (MIC = ≤0.25 μg/mL), Gram-negative bacteria A. baumannii (MIC = ≤0.25 μg/mL) along with antifungal activity against C. albicans and C. neofromans (both MIC ≤0.25 μg/mL). The trichoro analogue 113 had some toxicity (CC50 = 0.52 μM), whereas both the 4-cyano 114/115 and 4-ethylester 116/117 1,2,3-dithiazole/1,2,3-thiaselenazole matched pair analogues showed limited to no toxicity (all CC50 = >32 μM, apart from 117 = CC50 = 7 μM). The 4-cyano analogues 114/115 were both active against C. albicans and C. neofromans (both MIC ≤0.25 μg/mL); however, the 1,2,3-thiaselenazole also had activity against S. aureus (MIC = ≤0.25 μg/mL). This activity trend was matched exactly by the 4-ethylester analogues 116/117. The 4,5,6-trichlorobenzo[6,7]cyclohepta [1,2-d][1,2,3]thiaselenazole (118) analogue matched the profile of 115 and 117 albeit with some toxicity (CC50 = 0.48 μM). Interestingly, the activity profiles of 8-chloroindeno[1,2-d][1,2,3]thiaselenazole (119) and benzo[b][1,2,3]thiaselenazolo[5,4-e][1,4]oxazine (120) were similar with antifungal activity against C. albicans and C. neofromans (all MIC = ≤0.25 μg/mL, apart from 120, C. neofromans = 2 μg/mL). Taken together these results demonstrate an ability for the 1,2,3-dithiazole/1,2,3-thiaselenazole to inhibit a broad range of challenging and clinically relevant bacteria and fungi [55,58].
3.2. Antiviral Activities of 1,2,3-Dithiazoles
The first antiviral activities on the 1,2,3-dithazole scaffold were reported in 2016 by Hilton et al. [17]. A series of 5-thieno-, 5-oxo-, and 5-imino-1,2,3-dithiazole derivatives were screened against Feline Immunodeficiency Virus (FIV) as a model for HIV infection. The rationale of using the 1,2,3-dithiazoles to target the nucleocapsid protein was that it could potentially act as a zinc ejector by utilizing the disulfide bridge [59,60,61,62]. The compounds were tested for antiviral effects in a feline lymphoid cell line (FL-4) and tested for toxicity using Crandell-Rees feline kidney (CrFK) cells (Figure 21). The four highlighted compounds, 121–124, were the most potent antivirals with the largest toxicity window (ratio of FL-4/CrFK). The 4-phenyl-5H-1,2,3-dithiazole-5-thione (121) had an excellent ratio of activity vs. toxicity (>4000) and potency of EC50 = 23 nM. The 4-(4-fluorophenyl)-5H-1,2,3-dithiazol-5-one (122) was equipotent to 121 with a small amount of toxicity at higher concentrations (CC50 = 64 μM). The 4-methoxy analogue 123 had a drop of almost 8-fold in potency, with the ethyl (Z)-5-(phenylimino)-5H-1,2,3-dithiazole-4-carboxylate (124) analogue had an almost 3-fold drop, both with a comparable toxicity profile.
Figure 21.
Summary of the initial report of antiviral activity of the 1,2,3-dithiazole scaffold.
The proposed mechanism of action was modelled on previously experimental reports (Figure 22) [59,60,61,62]. Zinc ejection from nucleocapsid protein starts with Zn2+ coordinated to cysteine thiol(ate)s reacting with the disulfide of the 1,2,3-dithiazole core to generate a transient intermediate disulfide. This complex then rearranges to form an intramolecular protein disulfide, which has a consequent reduction in zinc ion affinity. This results in the zinc being ejected from the protein in a similar mechanism as previously reported for the HIF1alpha/P300 interaction triple zinc finger [59]. To indirectly prove the mechanism in addition to computational modelling, a disrupted disulfide bridge of analogue 121, compound 125 was synthesized (Figure 23) [47], demonstrating that the disulfide was required for activity.
Figure 22.
Proposed redox mechanism for 1,2,3-dithiazoles mediated zinc ejection of the FIV nucleocapsid protein. (A) Summary of reaction; (B) Detailed reaction pathway analysis.
Figure 23.
Direct comparison of 121 against 125 with the disrupted 1,2,5-thiadiazole-3(2H)-thione ring system.
This idea was followed up in 2019 by our group [63], investigating the same inhibitors later reported as antimicrobials [55]. The key rationale behind this subsequent work was the further investigation of the disulfide bridge involvement on antiviral efficacy with a matched pair side by side comparison between the 1,2,3-dithiazoles and the 1,2,3-thiaselenazole scaffold. Where the weaker S-Se vs. S-S bond should assist in increasing the antiviral efficacy. This followed on from a previous report of a successful selenide isosteric replacement to several literature nucleocapsid protein inhibitors, including DIBA-4 to DISeBA-4 HIV inhibitors, resulting in good potency and only a very limited associated toxicity [64]. The antiviral efficacy of the 1,2,3-dithiazole scaffold was tested using FL-4 cells, but in this study an additional toxicity assay was preformed directly on the FL-4 cells (Figure 24). The 8-phenylindeno[1,2-d][1,2,3]dithiazole (126) was only weakly active, while the selenium analogue 127 demonstrated a 10-fold boost in potency to EC50 = 0.26 μM with only limited toxicity. The ethyl 5,6-dichlorocyclopenta[d][1,2,3]dithiazole-4-carboxylate (116) had a similar profile with an EC50 = 0.26 μM, while the selenium analogue 117 was almost 4-fold more potent. The difference between the benzo[b][1,2,3]dithiazolo[5,4-e][1,4]oxazine (128) and selenium analogue 120 was even more pronounced with an almost 17-fold increase in potency. These results highlight the advantages of including selenium in the 1,2,3-dithiazole scaffold.
Figure 24.
Summary active antiviral matched pair 1,2,3-dithiazoles and 1,2,3-thiaselenazoles.
More recently, a further extension of investigation of the 1,2,3-dithiazoles in 2022 by our group evaluated a further series of 1,2,3-dithiazoles against FIV as a model for HIV infection [36]. The rationale of this investigation was to find a tractable series of 1,2,3-dithiazoles with consistently high potency and lower toxicity to further advance the scaffold. The antiviral screening was performed using FL-4 cells, with a direct toxicity assay on FL-4 cells in addition to CrFK and feline embryo cell line (FEA) cells (Figure 25, Figure 26 and Figure 27).
Figure 25.
Initial hit compounds from the 1,2,3-dithiazole library.
Figure 26.
2-Pyridyl substituted 1,2,3-dithiazoles active against FIV.
Figure 27.
Most potent compound 133 active agiants FIV in the 2022 study by our group [36].
The initial hit compounds from the 1,2,3-dithiazole library yielded a series of 4-position substituted phenyl analogues 30 and 129–131 with a range of activities EC50 = 0.26–0.48 μM and limited toxicity (Figure 25). Another trend observed within the series was activity across a number of 2-pyridyl substituted analogues 4a, 90, 112 and 132, at a similar level to the earlier analogues but with a divergent SAR profile (Figure 26). The most promising compound identified in this work was the pyrazole (Z)-4-chloro-N-(3-methyl-1H-pyrazol-5-yl)-5H-1,2,3-dithiazol-5-imine (133) that showed good antiviral potency EC50 = 0.083 μM with very limited toxicity (Figure 27).
The proposed mechanism of action on the nucleocapsid protein of this 4-chloro-1,2,3-dithiazol-5-imine series is different to the C4 substituted version previously reported (Figure 22). The DFT calculations and previous ANRORC-style rearrangement reported on this scaffold suggest that there will be a ring opening and chloride elimination. An outline mechanism would be a Zn2+-coordinating cysteine thiol(ate) reacts with 2-S of the 1,2,3-dithiazole core mediated by water to generate a transient trisulfide. This is then followed by a rearrangement to a more thermodynamically stable cyano functionality, resulting in the loss of HCl and water from the system. The, disulfide then rearranges to form an intramolecular protein disulfide with consequent reduction in zinc ion affinity. The zinc ion is then ejected to form a stable complex, with or without adducts (Figure 28). In addition to the literature rearrangement examples [38,39,40], we also provided extensive computational modelling to support the mechanistic rationale provided.
Figure 28.
Proposed mechanism of action of the 4-choro-1,2,3-dithiazole series.
3.3. Anticancer Activities of 1,2,3-Dithiazoles
Initial reports of anticancer activity with the 1,2,3-dithiazole scaffold were reported in 2002 by Baraldi et al. [16]. A set of ten 1,2,3-dithiazoles were prepared and screened across multiple antimicrobial and anticancer therapeutic targets. Several of the compounds 134–136 showed low signal digit micromolar potency against the leukemia cell lines L1210 and K562 (Figure 29). While the overall SAR within the series was flat, this first phenotypic report showed tractable activity across both cell lines. The antibacterial screen showed limited activity, but the antifungal screening identified 135 and 136 as having some activity against Aspergillus niger at MIC50 = 10 μM. This further supports the overall tractability of this scaffold as an antifungal.
Figure 29.
Initial 1,2,3-dithiazoles reported with anticancer activity in 2002 by Baraldi et al. [16].
The earlier 2009 study reported in Section 3.1 by Rakitin et al. also screened the series of C-4 substituted dithiazoles against two breast cancer cell lines, MCF7 and MDA-MB-231 [13]. Limited activity was observed on the MDA-MB-231 cell line across the series. However, (Z)-4-(4-nitrophenyl)-N-phenyl-5H-1,2,3-dithiazol-5-imine (137) and the benzofuran-2-yl analogue 138 showed 50% growth inhibition after 72 h at approximately 10 μM (Figure 30). These results lay the groundwork to expand the chemical space to further investigate the anticancer 1,2,3-dithiazole SAR.
Figure 30.
Substituted C4 1,2,3-dithiazoles with activity against breast cancer.
Subsequent to these phenotypic reports of 1,2,3-dithiazoles as anticancer compounds in various cell lines, a just over forty compound 1,2,3-dithiazole library was screened by Indiveri et al. against a transporter target over-expressed in various cancers, the glutamine-amino acid transporter ASCT2 in 2012 [65]. Interactions with scaffold proteins and post-translational modifications regulate the stability, trafficking, and transport activity of ASCT2 [66]. The expression of ASCT2 has been shown to increase in cells with rapid proliferation, including stem cells and inflammation, this enables delivery of the increased glutamine requirements [67]. This same mechanism can be hijacked by cancer promoting pathways to fulfill glutamine demand and facilitate rapid growth by over-expression of ASCT2 [68]. In addition to being described as an anticancer target, ASCT2 also has the ability to traffic virions to infect human cells [69]. A series of 1,2,3-dithiazoles were synthesized and evaluated as transporter inhibitors. While many compounds were in-active at 30 μM, six compounds showed activity at IC50 = ~10 μM or below (Figure 31). These compounds potently inhibited the glutamine/glutamine transport catalyzed by ASCT2.
Figure 31.
Anticancer 1,2,3-dithiazoles ASCT2 transport inhibitors.
The inhibition was shown to be non-competitive. The inhibition was also reversed by addition of dithiothreitol (DTE), indicating the reaction with protein Cys formed adducts, indicating that the reaction was likely going via an ANRORC-style rearrangement. Modelling, including molecular and quantum mechanical studies (MM and QM, respectively) and Frontier Orbital Theory (FOT) on 1,2,3-dithiazole models showed pathway (ii) was more likely, which is also supported by previous reports on the 1,2,3-dithiazole (Figure 32) [38,39,40].
Figure 32.
Two mechanisms are proposed, with nucleophilic attack at S2 to likely be preferred.
The ASCT2 report was followed up by a screening of just over fifty 1,2,3-dithiazoles by Indiveri et al. against the LAT1 transporter in 2017 [70]. ASCT2 and LAT1 are both amino acid transporters that are overexpressed in cancer [71]. Subsequently, a number of inhibitors have been reported against both ASCT2 and LAT1, with one LAT1 inhibitor JPH203 used in a recent phase 1 clinical trial [72]. The results of the library screen were eight compounds with inhibition of >90% at 100 µM. The two most potent compounds were 144 and 145 with an IC50 = <1 µM (Figure 33).
Figure 33.
Anticancer 1,2,3-dithiazoles targeting transporter protein LAT1 (SLC7A5).
The inhibition kinetics, performed on the two best inhibitors (144 and 145), indicated a mixed type of inhibition with respect to the substrate. The inhibition of LAT1 was still present after removal of the compounds from the reaction mixture, indicating irreversible binding. However, this effect could be reversed by the addition of dithioerythritol, a S-S reducing agent, which supports the rationale of the formation of disulfide(s) bonds between the compounds and LAT1. Molecular modelling of 144 and 145 on a homology model of LAT1, highlighted the interaction with the substrate binding site and the formation of a covalent bond with the residue C407. This was further supported by a more detailed study reported in 2021 by Marino et al., which also highlighted the need for a molecule of water in the reactive pathway [73].
More recently, an extension of the phenotypic reports of 1,2,3-dithiazoles as anticancer agents was published in 2021 by our group [74]. A library of just under forty 1,2,3-dithiazole analogues were screened on a series of cancer cell lines including breast, bladder, prostate, pancreatic, chordoma and lung; with a skin fibroblast cell line as a non-specific toxicity control (Figure 34, Figure 35 and Figure 36).
Figure 34.
Initial screening highlighted results from the 2021 cancer panel by our group [74].
Figure 35.
5-membered heteroatomic analogues highlighted results from the 2021 cancer panel by our group [74].
Figure 36.
C4 substituted 1,2,3-dithazole analogues highlighted results from the 2021 cancer panel by our group [74].
Initial results were encouraging (Figure 34) with (Z)-4-(4-bromophenyl)-N-phenyl-5H-1,2,3-dithiazol-5-imine (130) and the corresponding 3-position bromo analogue 54 demonstrated potency against breast cancer cell line MCF7 (IC50 = 11 and 6.7 μM, respectfully). This was followed by the identification of (Z)-N-(4-((4-chloro-5H-1,2,3-dithiazol-5-ylidene)amino)phenyl)pyrimidine-2-sulfonamide (146) with good activity against breast cancer (MCF7—IC50 = 3.0 μM) and no observed toxicity (WS1—IC50 = >100 μM). Interestingly, the (Z)-N-(4-(benzyloxy)phenyl)-4-chloro-5H-1,2,3-dithiazol-5-imine (147) analogue showed a preference for bladder cancer inhibition (5637—IC50 = 13 μM) with no observed toxicity (WS1—IC50 = >100 μM).
This was followed by screening a small focused 5-membered heteroatomic compounds, which identified a trend of potency against prostate cancer (Figure 35). (Z)-4-chloro-N-(thiazol-2-yl)-5H-1,2,3-dithiazol-5-imine (75) and the two pyrazoles (148 and 149) all showed activity against prostate cancer (DU145—IC50 = 8–11 μM). The thiazole analogue 75 also showed activity against the chordoma cell line (U-CH1—IC50 = 10 μM), albeit with some limited toxicity (WS1—IC50 = 24 μM). The (Z)-4-chloro-N-(3-methyl-1-phenyl-1H-pyrazol-5-yl)-5H-1,2,3-dithiazol-5-imine (149) also showed low single digit micromolar activity against bladder cancer (5637—IC50 = 2.1 μM); unfortunately, this was coupled with some associated toxicity (WS1—IC50 = 15 μM).
Subsequent to this screening, a series of C-4 substituted analogues were evaluated resulting in a trend of activity against breast cancer (MCF7) (Figure 36) [14]. The most potent compounds 150–153 (IC50 = 2–10 μM) did not show any defining SAR characteristics. In addition to this activity, (Z)-5-bromo-2-((4-(4-(2-chloroethyl)piperazin-1-yl)-5H-1,2,3-dithiazol-5-ylidene)amino)benzonitrile (151) demonstrated good potency against bladder cancer (5637—IC50 = 8.0 μM), while 4-(4-(2-(methyl(phenyl)amino)ethyl)piperazin-1-yl)-5H-1,2,3-dithiazol-5-one (153) was potent against prostate cancer (DU145—IC50 = 4.4 μM), albeit with some observed toxicity (WS1—IC50 = 20 μM) in the case of 153. Interestingly, the 4-chloro-1,2,3-dithiazole of the earlier analogues was not required for activity suggesting there may be multiple mechanisms of action.
3.4. Other Biological Applications
3.4.1. Melanin Synthesis Inhibitors
In 2015, a phenotypic screen was carried out using Xenopus laevis embryos by Skourides et al. [19]. This led to the identification of a series of 1,2,3-dithiazoles, which caused loss of pigmentation in melanophores and the retinal pigment epithelium (RPE) of developing embryos (Figure 37). This effect was independent of the developmental stage of initial exposure and was reversible. While the target was not elucidated, SAR of the series indicated that the presence of the mesmerically electron-donating methoxy group was important for pigment loss. Compounds with inductive and/or mesmerically electron-withdrawing groups had no effect on pigment loss.
Figure 37.
1,2,3-dithiazoles demonstrating In vivo pigment loss in Xenopus laevis embryos.
The (Z)-4-chloro-N-(4-methoxyphenyl)-5H-1,2,3-dithiazol-5-imine (154) analogue demonstrated complete pigment loss at 10 μM and moderate at 5 μM. Extension of the methoxy to propyloxy 155 or butyloxy 156 reduced the potency, with the addition of a methyl group in the 2-position had the same effect. The formation of a 3,4-fused methyl catacol 157 increased potency, but did not match the activity of the 4-position methoxy 154. The extension to form that benzyloxy analogue 158 did boost the potency of 154, resulting in 158 having complete pigment loss at 5 μM.
Skourides et al. extensively investigated the structural features driving the phenotypic effects observed with 159. An analogue of 159 was synthesized in two steps via the oxime route (Scheme 8) [12,13], where the 4-chlorine substituent was replaced with a phenyl group to give compound 160 (Figure 38). A second analogue of 159 was furnished where the nitrogen of the 1,2,3-dithiazole was replaced with a chlorocarbon in one step from Boberg salt [75,76] to give compound 161 (Figure 38) [75,77].
Figure 38.
Direct comparison of 1,2,3-dithiazole 159 with disrupted analogues 160 and 161 in In vivo pigment loss in Xenopus laevis embryos.
The replacement of the 4-chlorine substituent yielded compound 160, which showed no phenotypic affect. This supports the idea of an ANRORC-style ring opening mechanism, as the chlorine is a good nucleofuge that facilities the ring opening mechanism [40]. The second analogue 161, showed some mild activity at 5 μM, while at 10 μM, mild toxicity and developmental defects were observed. This again pointed towards a ring opening ARONOC style mechanism, but more work needs to be done to establish the exact mechanism of action [19].
3.4.2. Antifibrotic Collagen Specific Chaperone hsp47 Inhibitor
Other activities of 1,2,3-dithiazoles include hit compound methyl 6-chloro-3H-benzo[d][1,2,3]dithiazole-4-carboxylate 2-oxide (162), which was reported twice, once in 2005 [18] and the second in 2010 [19]. These reports were both high-throughput screens of the compound library, one from Maybridge Chemical Co., Cornwall, U.K. and the other unspecified.
In 2005, Ananthanarayanan et al. screened a Maybridge compound library against Heat shock protein 47 (Hsp47), which, at the time, had no known inhibitors. Hsp47 is a collagen-specific molecular chaperone whose activity has been implicated in the pathogenesis of fibrotic diseases. The regulation of both Hsp47 and collagen expression has been implicated in several different disease indications where changes in the collagen expression are found. These diseases include fibrotic diseases of the liver [78], kidney [79], lung [80], and skin [81], in addition to atherosclerosis [82] and cancer [83]. The screen resulted in a primary hit rate of 0.2%, with 4 out of 2080 compounds being shown to be inhibitors of Hsp47. Secondary screening confirmed 162 (Figure 39), as the most potent compound (IC50 = 3.1 μM).
Figure 39.
Hsp47 inhibitor methyl 6-chloro-3H-benzo[d][1,2,3]dithiazole-4-carboxylate 2-oxide (162).
3.4.3. Arabidopsis Gibberellin 2-Oxidase Inhibitors
In 2010, screening a commercial library of starting points against to Arabidopsis gibberellin 2-oxidases identified compound 162 (Figure 40) [20]. The screening aimed to identify an inhibitor that could both promote Arabidopsis seed germination and seedling growth. Compound 162 was able to do both, without having broad spectrum activity similar to Prohexadione (PHX), which is a broad-spectrum inhibitor of all three 2-oxoglutarate dependent dioxygenase’s (2ODD) that were involved in Gibberellin (GA) production (GA 2-oxidase (GA2oxs), GA 3-oxidase (GA3oxs), and GA20-oxidase (GA20oxs)) [84,85]. The 1,2,3-dithiazole 162 was shown to have inhibition GA2oxs with a high degree of specificity, but not on other 2ODDs. The selective inhibition of GA2oxs activity could potentially lead to the delay of GA catabolism in plants, and hence, extend the life of endogenous GA.
Figure 40.
GA2oxs inhibitor methyl 6-chloro-3H-benzo[d][1,2,3]dithiazole-4-carboxylate 2-oxide (162).
4. Summary and Overview
The initial observation of the 1,2,3-dithiazole salt 4,5-dichloro-1,2,3-dithiazolium chloride in 1957 [1], was followed by detailed characterization in 1985 [4], and came to be known as Appel salt (1) post-1990s [5]. Appel salt (1) allowed for one-step access to a range of different chemistries to furnish a wide scope of 5-substituted-1,2,3-dithiazole derivatives [4,5,9,15,27,30,31,32,33,34,35,36,37]. While several additional methods also exist to access C4 substituted derivatives, the main screening has been done on 4-chloro derivatives until more recently [6,12,13,14,40]. However, synthetic challenges remain, including expanding the chemical space including effective synthesis of N-alkyl-5H-1,2,3-dithiazol-5-imine analogues, and effective access to 4-pyridyl analogues in good yields [37].
The first screening was carried out by Chevron Research Co. in 1977 [2,3], this relatively detailed study has been the foundation of the phenotypic biology observed on this scaffold. It described detailed work on a series of herbicidal effects and anti-mite efficacy, in addition to antifungal activities. This work was followed up in the late 1990s and 2000s by a series of groups extending the understanding of the antifungal and antibacterial SAR scope of the 1,2,3-dithiazole scaffold [15,50,51,52,53]. Interestingly, a patent in 1997 by Rohm & Haas Co. [51] highlighted a potential coating application for the 1,2,3-dithiazole with the discovery of potent antialgae and Gram-negative bacteria inhibition. In 2012, a patent filed by Bayer Cropscience AG presented a much broader library of heteroaromatic derivatives [54], highlighting a wider range of antifungal activities, with high degrees of control of commercially important fungi for crop protection. More recently, the antifungal and antibacterial screening has focused on clinically relevant hospital derived infections with good efficacy [86], in part aided by a series of matched pair 1,2,3-thiaselenazoles [55].
More recently, several other phenotypic observations have been reported. These include antiviral efficacy against FIV as a model for HIV, where modelling and mechanistic rationale point to cystine containing nucleocapsid protein (NCp) as the target for the 1,2,3-dithiazole [17,36,63]. Anticancer effects against a broad range of cancer cell lines have also been reported with limited off-target toxicity [13,16,74]. These were also supported by modelling and mechanistic rationale highlighting ASCT2 [65] and LAT1 [70] as potential targets responsible. This rationale has been further supported by a series of mechanism of action experiments [65,70,73].
In addition to these reports, a series of other studies also highlighted other activities of the 1,2,3-dithiazole scaffold. These included an anti-melanin phenotype in Xenopus laevis embryos, where active potent (>5 μM) non-toxic compounds were identified in an in vivo model [19]. An ANRONC style mechanism of action was proposed supported by a series of chemical modifications to the scaffold [38,39,40]. Finally, two reports of high-throughput screens identified hit compounds against antifibrotic collagen specific chaperone hsp47 [18] and Arabidopsis Gibberellin 2-Oxidase [20].
The full potential of the 1,2,3-dithiazole scaffold has yet to be realized. Key areas of biological activities have been identified with preliminary work in the literature showing encouraging results. These included activities as antifungal [2], herbicidal [2], antibacterial [15], anticancer [16], antiviral [17], antifibrotic [18], and being a melanin [19] and Arabidopsis gibberellin 2-oxidases [20] inhibitors. These results provide a prospective to the versatility as to what is possible with this scaffold. In addition to these interesting reported biology applications, there are potentially significant untapped chemical biology opportunities towards targeting cystine reactive sites [21,22,23,24,25]; using the ANRORC-style 1,2,3-dithiazole chemistry as a latent functionality (Figure 41).
Figure 41.
The 1,2,3-dithiazole as a latent cystine reactive functionality.
5. Conclusions
Taken together, the chemistry and biology of the 1,2,3-dithiazoles chemotype has shown a lot of exciting potential. The ANRORC-style rearrangements potentially affording a new route for potential chemical tools and relative cystine within proteins pockets, while the sub-micro molar phenotypic potencies against a series of diverse targets demonstrate potential for further development. Many of these diseases and pathogens have limited treatment options and need new therapies with novel mechanisms of action. The identification of starting points and defined SAR provides the foundation to define a medicinal chemistry trajectory towards optimized inhibitors and potential new treatments for a broad range of diseases.
Author Contributions
Conceptualization, C.R.M.A. and A.S.K.; formal analysis, C.R.M.A. and A.S.K.; investigation, C.R.M.A., H.J.O. and A.S.K.; writing—original draft preparation, C.R.M.A. and A.S.K.; writing—review and editing, C.R.M.A. and A.S.K. All authors have read and agreed to the published version of the manuscript.
Funding
This research received no external funding.
Institutional Review Board Statement
Not applicable.
Informed Consent Statement
Not applicable.
Data Availability Statement
Not applicable.
Conflicts of Interest
The authors declare no conflict of interest.
Sample Availability
Not applicable.
References
- Wannagat, U.; Schindler, G. Reaktionen des Schwefeldichlorids mit Pyridin und verwandten Verbindungen. Angew. Chem. 1957, 69, 784-784. [Google Scholar] [CrossRef]
- Moore, J.E. (Chevron Research Co.) Certain 4-Halo-5-aryl-1,2,3-dithiazole Compounds and their Preparation. U.S. Patent Application No. US4059590, 22 November 1977. [Google Scholar]
- Moore, J.E. (Chevron Research Co.) Method for control of fungi using 4-halo-5-aryl-1,2,3,-dithiazoles. U.S. Patent Application No. US4119722 A, 10 October 1978. [Google Scholar]
- Appel, R.; Janssen, H.; Siray, M.; Knoch, F. Synthese und Reaktionen des 4,5-Dichlor-1,2,3-dithiazolium-chlorids. Chem. Ber. 1985, 118, 1632–1643. [Google Scholar] [CrossRef]
- Cuadro, A.M.; Alvarez-Buila, J. 4,5-Dichloro-1,2,3-dithiazolium chloride (Appel’s Salt): Reactions with N-nucleophiles. Tetrahedron 1994, 50, 10037–10046. [Google Scholar] [CrossRef]
- Rees, C.W. Polysulfur-nitrogen Heterocyclic Chemistry. J. Heterocycl. Chem. 1992, 29, 639–651. [Google Scholar] [CrossRef]
- Rakitin, O.A. 1,2-Oxa/thia-3-azoles. In Comprehensive Heterocyclic Chemistry III; Katritzky, A.R., Ramsden, C.A., Scriven, E.F.V., Taylor, R.J.K., Zhdankin, V.V., Eds.; Elsevier: Oxford, UK, 2008; Volume 6, Chapter 6.01; pp. 1–36. [Google Scholar]
- Navo, C.D.; Peccati, F.; Mazo, N.; Núñez-Franco, R.; Jiménez-Osés, G. 1,2-Oxa/thia-3-azoles. In Comprehensive Heterocyclic Chemistry IV; Black, D.S., Cossy, J., Stevens, C.V., Eds.; Elsevier: Oxford, UK, 2022; Volume 6, Chapter 6.01; pp. 1–55. [Google Scholar]
- Konstantinova, L.S.; Rakitin, O.A. Synthesis and properties of 1,2,3-dithiazoles. Russ. Chem. Rev. 2008, 77, 521–546. [Google Scholar] [CrossRef]
- Kim, K. Recent Advances in 1,2,3-Dithiazole Chemistry. Phosphorus Sulfur Silicon Relat. Elem. 1997, 120, 229–244. [Google Scholar] [CrossRef]
- Kim, K. Synthesis and Reactions of 1,2,3-Dithiazoles. Sulfur Rep. 1998, 21, 147–207. [Google Scholar] [CrossRef]
- Hafner, K.; Stowasser, B.; Sturm, V. Synthesis and properties of 4,6-Di-t-Butyl-Cyclopenta-1,2-Dithiole and its 3-aza-derivative. Tetrahedron Lett. 1985, 26, 189–192. [Google Scholar] [CrossRef]
- Konstantinova, L.S.; Bol’shakov, O.I.; Obruchnikova, N.V.; Laborie, H.; Tanga, A.; Sopéna, V.; Lanneluc, I.; Picot, L.; Sablé, S.; Thiéry, V.; et al. One-pot synthesis of 5-phenylimino, 5-thieno or 5-oxo-1,2,3-dithiazoles and evaluation of their antimicrobial and antitumor activity. Bioorg. Med. Chem. Lett. 2009, 19, 136–141. [Google Scholar] [CrossRef]
- Koyioni, M.; Manoli, M.; Koutentis, P.A. The Reaction of DABCO with 4-Chloro-5H-1,2,3-dithiazoles: Synthesis and Chemistry of 4-[N-(2-Chloroethyl)piperazin-1-yl]-5H-1,2,3-dithiazoles. J. Org. Chem. 2016, 81, 615–631. [Google Scholar] [CrossRef]
- Cottenceau, G.; Besson, T.; Gautier, V.; Rees, C.W.; Pons, A.-M. Antibacterial Evaluation of Novel N-Arylimino-1,2,3-dithiazoles and N-Arylcyanothioformamides. Bioorg. Med. Chem. Lett. 1996, 6, 529–532. [Google Scholar] [CrossRef]
- Baraldi, P.G.; Pavani, M.G.; Nuñez, M.C.; Brigidi, P.; Vitali, B.; Gambari, R.; Romagnoli, R. Antimicrobial and antitumor activity of N-heteroimmine-1,2,3-dithiazoles and their transformation in triazolo-, imidazo-, and pyrazolopirimidines. Bioorg. Med. Chem. 2002, 10, 449–456. [Google Scholar] [CrossRef] [PubMed]
- Asquith, C.R.M.; Konstantinova, L.S.; Meli, M.L.; Laitinen, T.; Poso, A.; Rakitin, O.A.; Hofmann-Lehmann, R.; Hilton, S.T. Evaluation of Substituted 1,2,3-Dithiazoles as Inhibitors of the Feline Immunodeficiency Virus (FIV) Nucleocapsid Protein via a Proposed Zinc Ejection Mechanism. ChemMedChem 2016, 11, 2119–2126. [Google Scholar] [CrossRef]
- Thomson, C.A.; Atkinson, H.M.; Ananthanarayanan, V.S. Identification of Small Molecule Chemical Inhibitors of the Collagen-Specific Chaperone Hsp47. J. Med. Chem. 2005, 48, 1680–1684. [Google Scholar] [CrossRef]
- Charalambous, A.; Koyioni, M.; Antoniades, I.; Pegeioti, D.; Eleftheriou, I.; Michaelidou, S.S.; Amelichev, S.A.; Konstantinova, L.S.; Rakitin, O.A.; Koutentis, P.A.; et al. 1,2,3-Dithiazoles—New reversible melanin synthesis inhibitors: A chemical genomics study. Med. Chem. Comm. 2015, 6, 935–946. [Google Scholar] [CrossRef]
- Otani, M.; Yoon, J.M.; Park, S.H.; Asami, T.; Nakajima, M. Screening and characterization of an inhibitory chemical specific to Arabidopsis gibberellin 2-oxidases. Bioorg. Med. Chem. Lett. 2010, 20, 4259–4262. [Google Scholar] [CrossRef]
- Maurais, A.J.; Weerapana, E. Reactive-cysteine profiling for drug discovery. Curr. Opin. Chem. Biol. 2019, 50, 29–36. [Google Scholar] [CrossRef] [PubMed]
- Bak, D.W.; Bechtel, T.J.; Falco, J.A.; Weerapana, E. Cysteine Reactivity Across the Sub-Cellular Universe. Curr. Opin. Chem. Biol. 2019, 48, 96–105. [Google Scholar] [CrossRef]
- Yang, F.; Chen, N.; Wang, F.; Jia, G.; Wang, C. Comparative reactivity profiling of cysteine-specific probes by chemoproteomics. Curr. Res. Chem. Biol. 2022, 2, 100024. [Google Scholar] [CrossRef]
- Hoch, D.G.; Abegg, D.; Adibekian, A. Cysteine-reactive probes and their use in chemical proteomics. Chem. Commun. 2018, 54, 4501–4512. [Google Scholar] [CrossRef]
- Chaikuad, A.; Koch, P.; Laufer, S.A.; Knapp, S. The Cysteinome of Protein Kinases as a Target in Drug Development. Angew. Chem. Int. Ed. 2018, 57, 4372–4385. [Google Scholar] [CrossRef]
- Besson, T.; Emayan, K.; Rees, C.W. 1,2,3-Dithiazoles and new routes to 3,l-benzoxazin-4-ones, 3,l -benzothiazin-4-ones and N-arylcyanothioformamides. J. Chem. Soc. Perkin Trans. 1995, 1, 2097–2102. [Google Scholar] [CrossRef]
- Besson, T.; Rees, C.W. Some chemistry of 4,5-dichloro-l,2,3-dithiazolium chloride and its derivatives. J. Chem. Soc. Perkin Trans. 1995, 1, 1659–1662. [Google Scholar] [CrossRef]
- Lee, H.; Kim, K. A new procedure to N-Arylcyanothioformamides from 5-arylimino-4-chloro-5H-1,2,3-dithiazoles. Bull. Korean Chem. Soc. 1992, 13, 107–108. [Google Scholar] [CrossRef]
- Koutentis, P.A. The Preparation and Characterization of 5-Substituted-4-chloro-1,2,3-dithiazolium Salts and their Conversion into 4-Substituted-3-chloro-1,2,5-thiadiazoles. Molecules 2005, 10, 346–359. [Google Scholar] [CrossRef]
- Clarke, D.; Emayan, K.; Rees, C.W. New synthesis of isothiazoles from primary enamines. J. Chem. Soc. Perkin Trans. I 1998, 1, 77–82. [Google Scholar] [CrossRef]
- Kalogirou, A.S.; Christoforou, I.C.; Ioannidou, H.A.; Manos, M.J.; Koutentis, P.A. Ring transformation of (4-chloro-5H-1,2,3-dithiazol-5-ylidene)acetonitriles to 3-haloisothiazole-5-carbonitriles. RSC Adv. 2014, 4, 7735–7748. [Google Scholar] [CrossRef]
- Moon-Kook, J.; Kim, K. Synthesis of new 5-alkylidene-4-chloro-5H-1,2,3-dithiazoles and their stereochemistry. Tetrahedron 1999, 55, 9651–9667. [Google Scholar] [CrossRef]
- Kalogirou, A.S.; Koutentis, P.A. The reaction of 4,5-dichloro-1,2,3-dithiazolium chloride with DMSO: An improved synthesis of 4-chloro-1,2,3-dithiazol-5H-one. Tetrahedron 2009, 65, 6855–6858. [Google Scholar] [CrossRef]
- Kalogirou, A.S.; Koutentis, P.A. A qualitative comparison of the reactivities of 3,4,4,5-tetrachloro-4H-1,2,6-thiadiazine and 4,5-dichloro-1,2,3-dithiazolium chloride. Molecules 2015, 20, 14576–14594. [Google Scholar] [CrossRef]
- Folmer, J.J.; Weinreb, S.M. Generation of esters from carboxylic acids using Appel’s salt (4,5-dichloro-1,2,3-dithiazolium chloride). Tetrahedron Lett. 1993, 34, 2737–2740. [Google Scholar] [CrossRef]
- Laitinen, T.; Meili, T.; Koyioni, M.; Koutentis, P.A.; Poso, A.; Hofmann-Lehmann, R.; Asquith, C.R.M. Synthesis and evaluation of 1,2,3-dithiazole inhibitors of the nucleocapsid protein of feline immunodeficiency virus (FIV) as a model for HIV infection. Bioorg. Med. Chem. 2022, 68, 116834. [Google Scholar] [CrossRef] [PubMed]
- Koutentis, P.A.; Koyioni, M.; Michaelidou, S.S. Synthesis of [(4-Chloro-5H-1,2,3-dithiazol-5-ylidene)amino]azines. Molecules 2011, 16, 8992–9002. [Google Scholar] [CrossRef] [PubMed]
- Van der Plas, H.C. Chapter II SN(ANRORC) Reactions in Azines, Containing an “Outside” Leaving Group. Adv. Heterocycl. Chem. 1999, 74, 9–86. [Google Scholar] [CrossRef]
- Van der Plas, H.C. Chapter III SN(ANRORC) Reactions in Azaheterocycles Containing an “Inside” Leaving Group. Adv. Heterocycl. Chem. 1999, 74, 87–151. [Google Scholar] [CrossRef]
- Lee, H.; Kim, K.; Whang, D.; Kim, K. Novel Synthesis of 5-(arylimino)-4-(dialkylamino)-5H-l,2,3-dithiazoles and the mechanism of their formation. J. Org. Chem. 1994, 59, 6179–6183. [Google Scholar] [CrossRef]
- Konstantinova, L.S.; Baranovsky, I.V.; Irtegova, I.G.; Bagryanskaya, I.Y.; Shundrin, L.A.; Zibarev, A.V.; Rakitin, O.A. Fused 1,2,3-dithiazoles: Convenient synthesis, structural characterization, and electrochemical properties. Molecules 2016, 21, 596. [Google Scholar] [CrossRef]
- Plater, M.J.; Rees, C.W.; Roe, D.G.; Torroba, T. Cyclopenta-1,2,3-dithiazoles and related compounds. J. Chem. Soc. Chem. Commun. 1993, 7, 293–294. [Google Scholar] [CrossRef]
- Koyioni, M.; Manoli, M.; Manos, M.J.; Koutentis, P.A. Reinvestigating the Reaction of 1H-Pyrazol-5-amines with 4,5-Dichloro-1,2,3-dithiazolium Chloride: A Route to Pyrazolo [3,4-c]isothiazoles and Pyrazolo[3,4-d]thiazoles. J. Org. Chem. 2014, 79, 4025–4037. [Google Scholar] [CrossRef]
- Besson, T.; Guillaumet, G.; Lamazzi, C.; Rees, C.W. Synthesis of 3,1-Benzoxazines, 3,1-Benzothiazines and 3,1-Benzoxazepines via N-Arylimino-1,2,3-dithiazoles. Synlett 1997, 6, 704–706. [Google Scholar] [CrossRef]
- Letribot, B.; Delatouche, R.; Rouillard, H.; Bonnet, A.; Chérouvrier, J.-R.; Domon, L.; Besson, T.; Thiéry, V. Synthesis of 2-Mercapto-(2-Oxoindolin-3-Ylidene)Acetonitriles from 3-(4-Chloro-5H-1,2,3-Dithiazol-5-Ylidene)Indolin-2-ones. Molecules 2018, 23, 1390. [Google Scholar] [CrossRef] [PubMed]
- Kalogirou, A.S.; Koutentis, P.A. The degradation of 4,5-dichloro-1,2,3-dithiazolium chloride in wet solvents. Tetrahedron 2009, 65, 6859–6862. [Google Scholar] [CrossRef]
- Konstantinova, L.S.; Bol’shakov, O.I.; Obruchnikova, N.V.; Golova, S.P.; Nelyubina, Y.V.; Lyssenko, K.A.; Rakitin, O.A. Reactions of 4-substituted 5H-1,2,3-dithiazoles with primary and secondary amines: Fast and convenient synthesis of 1,2,5-thiadiazoles, 2-iminothioacetamides and 2-oxoacetamides. Tetrahedron 2010, 66, 4330–4338. [Google Scholar] [CrossRef]
- Appel, R.; Janssen, H.; Haller, I.; Plempel, M. (Bayer AG) 1,2,3-Dithiazolderivate, Verfahren zu ihrer Herstellung Sowie ihre Verwendung als Arzneimittel. Ger. Patent Application No. DE2848221 A1, 7 November 1980. [Google Scholar]
- Mayer, R.; Fçrster, E.; Matauschek, B.D. Verfahren zur Herstellung von Aromatisch oder Heteroaromatisch Substituierten Cyanthioformamiden. Ger. Patent Application No. DD212387, 8 August 1984. [Google Scholar]
- Besson, T.; Rees, C.W.; Cottenceau, G.; Pons, A.-M. Antimicrobial evaluation of 3,1-benzoxazin-4-ones, 3,1-benzothiazin-4-ones, 4-alkoxyquinazolin-2-carbonitriles and N-arylimino-1,2,3-dithiazoles. Bioorg. Med. Chem. Lett. 1996, 6, 2343–2348. [Google Scholar] [CrossRef]
- Joseph, R.W.; Antes, D.L.; Osei-Gyimah, P. (Rohm & Haas Co.) Antimicrobial Compounds with Quick Speed of Kill. U.S. Patent Application No. US5688744 A, 18 November 1997. [Google Scholar]
- Thiéry, V.; Rees, C.W.; Besson, T.; Cottenceau, G.; Pons, A.-M. Antimicrobial activity of novel N-quinolinyl and N-naphthylimino-1,2,3-dithiazoles. Eur. J. Med. Chem. 1998, 33, 149–153. [Google Scholar] [CrossRef]
- Thiéry, V.; Bébéteau, V.; Guillard, J.; Lamazzi, C.; Besson, T.; Cottenceau, G.; Pons, A.M. Antimicrobial activity of novel N-arylimino-1,2,3-dithiazoles. Pharm. Pharmacol. Commun. 1998, 4, 39–42. Available online: https://onlinelibrary.wiley.com/doi/epdf/10.1111/j.2042-7158.1998.tb00315.x (accessed on 21 March 2023).
- Benting, J.; Dahmen, P.; Wachendorff-Neumann, U.; Hadano, H.; Vors, J.-P. (Bayer Cropscience AG) Int. 5-heteroarylimino-1,2,3-dithiazoles PCT Pub. No. WO2012045726 A2, 12 April 2012. [Google Scholar]
- Laitinen, T.; Baranovsky, I.V.; Konstantinova, L.S.; Poso, A.; Rakitin, O.A.; Asquith, C.R.M. Antimicrobial and antifungal activity of rare substituted 1,2,3-Thiaselenazoles and Corresponding Match Pair 1,2,3-Dithiazoles. Antibiotics 2020, 9, 369. [Google Scholar] [CrossRef]
- Konstantinova, L.S.; Baranovsky, I.V.; Pritchina, E.A.; Mikhailov, M.S.; Bagryanskaya, I.Y.; Semenov, N.A.; Irtegova, I.G.; Salnikov, G.E.; Lyssenko, K.A.; Gritsan, N.P.; et al. Fused 1,2,3-Thiaselenazoles Synthesized from 1,2,3-Dithiazoles through Selective Chalcogen Exchange. Chem. Eur. J. 2017, 23, 17037–17047. [Google Scholar] [CrossRef]
- Blaskovich, M.A.; Zuegg, J.; Elliott, A.G.; Cooper, M.A. Helping chemists discover new antibiotics. ACS Infect. Dis. 2015, 1, 285–287. [Google Scholar] [CrossRef]
- WHO. Global Priority List of Antibiotic-Resistant Bacteria to Guide Research, Discovery, and Development of New Antibiotics. 2017. Available online: http://www.who.int/mediacentre/news/releases/2017/bacteria-antibiotics-needed/en/ (accessed on 28 February 2023).
- Cook, K.M.; Hilton, S.T.; Mecinović, J.; Motherwell, W.B.; Figg, W.D.; Schofield, C.J. Epidithiodiketopiperazines block the interaction between hypoxia-inducible factor-1α (HIF-1α) and p300 by a zinc ejection mechanism. J. Biol. Chem. 2009, 284, 26831–26838. [Google Scholar] [CrossRef]
- Sekirnik, R.; Rose, N.R.; Thalhammer, A.; Seden, P.T.; Mecinović, J.; Schofield, C.J. Inhibition of the histone lysine demethylase JMJD2A by ejection of structural Zn(II). Chem. Commun. 2009, 42, 6376–6378. [Google Scholar] [CrossRef]
- Woodcock, J.C.; Henderson, W.; Miles, C.O. Metal complexes of the mycotoxins sporidesmin A and gliotoxin, investigated by electrospray ionisation mass spectrometry. J. Inorg. Biochem. 2001, 85, 187–199. [Google Scholar] [CrossRef]
- Woodcock, J.C.; Henderson, W.; Miles, C.O.; Nicholson, B.K. Metal complexes of sporidesmin D and dimethylgliotoxin, investigated by electrospray ionisation mass spectrometry. J. Inorg. Biochem. 2001, 84, 225–232. [Google Scholar] [CrossRef] [PubMed]
- Asquith, C.R.M.; Meili, T.; Laitinen, T.; Baranovsky, I.V.; Konstantinova, L.S.; Poso, A.; Rakitin, O.A.; Hofmann-Lehmann, R. Synthesis and comparison of substituted 1,2,3-dithiazole and 1,2,3-thiaselenazole as inhibitors of the feline immunodeficiency virus (FIV) nucleocapsid protein as a model for HIV infection. Bioorg. Med. Chem. Lett. 2019, 29, 1765–1768. [Google Scholar] [CrossRef]
- Sancineto, L.; Mariotti, A.; Bagnoli, L.; Marini, F.; Desantis, J.; Iraci, N.; Santi, C.; Pannecouque, C.; Tabarrini, O. Design and Synthesis of DiselenoBisBenzamides (DISeBAs) as Nucleocapsid Protein 7 (NCp7) Inhibitors with anti-HIV Activity. J. Med. Chem. 2015, 58, 9601–9614. [Google Scholar] [CrossRef] [PubMed]
- Oppedisano, F.; Catto, M.; Koutentis, P.A.; Nicolotti, O.; Pochini, L.; Koyioni, M.; Introcaso, A.; Michaelidou, S.S.; Carotti, A.; Indiveri, C. Inactivation of the Glutamine/Amino Acid Transporter ASCT2 by 1,2,3-dithiazoles: Proteoliposomes as a Tool to Gain Insights in the Molecular Mechanism of Action and of Antitumor Activity. Toxicol. Appl. Pharmacol. 2012, 265, 93–102. [Google Scholar] [CrossRef]
- Scalise, M.; Pochini, L.; Console, L.; Losso, M.A.; Indiveri, C. The Human SLC1A5 (ASCT2) Amino Acid Transporter: From Function to Structure and Role in Cell Biology. Front. Cell Dev. Biol. 2018, 6, 96. [Google Scholar] [CrossRef]
- Bröer, S. Amino Acid Transporters as Disease Modifiers and Drug Targets. SLAS Discov. 2018, 23, 303–320. [Google Scholar] [CrossRef] [PubMed]
- Liu, Y.; Zhao, T.; Li, Z.; Wang, L.; Yuan, S.; Sun, L. The role of ASCT2 in cancer: A review. Eur. J. Pharmacol. 2018, 837, 81–87. [Google Scholar] [CrossRef]
- Tailor, C.S.; Marin, M.; Nouri, A.; Kavanaugh, M.P.; Kabat, D. Truncated forms of the dual function human ASCT2 neutral amino acid transporter/retroviral receptor are translationally initiated at multiple alternative CUG and GUG codons. J. Biol. Chem. 2001, 276, 27221–27230. [Google Scholar] [CrossRef]
- Napolitano, L.; Scalise, M.; Koyioni, M.; Koutentis, P.; Catto, M.; Eberini, I.; Parravicini, C.; Palazzolo, L.; Pisani, L.; Galluccio, M.; et al. Potent Inhibitors of Human LAT1 (SLC7A5) Transporter Based on Dithiazole and Dithiazine Compounds for Development of Anticancer Drugs. Biochem. Pharmacol. 2017, 143, 39–52. [Google Scholar] [CrossRef]
- Lopes, C.; Pereira, C.; Medeiros, R. ASCT2 and LAT1 Contribution to the Hallmarks of Cancer: From a Molecular Perspective to Clinical Translation. Cancers 2021, 13, 203. [Google Scholar] [CrossRef]
- Okano, N.; Naruge, D.; Kawai, K.; Kobayashi, T.; Nagashima, F.; Endou, H.; Furuse, J. First-in-human phase I study of JPH203, an L-type amino acid transporter 1 inhibitor, in patients with advanced solid tumors. Investig. New Drugs 2020, 38, 1495–1506. [Google Scholar] [CrossRef] [PubMed]
- Prejanò, M.; Romeo, I.; La Serra, M.A.; Russo, N.; Marino, T. Computational Study Reveals the Role of Water Molecules in the Inhibition Mechanism of LAT1 by 1,2,3-Dithiazoles. J. Chem. Inf. Model. 2021, 61, 5883–5892. [Google Scholar] [CrossRef]
- Maffuid, K.A.; Koyioni, M.; Torrice, C.D.; Murphy, W.A.; Mewada, H.K.; Koutentis, P.A.; Crona, D.J.; Asquith, C.R.M. Design and evaluation of 1,2,3-dithiazoles and fused 1,2,4-dithiazines as anti-cancer agents. Bioorg. Med. Chem. Lett. 2021, 43, 128078. [Google Scholar] [CrossRef]
- Wentrup, G.-J.; Koepke, M.; Boberg, F. Über 1,2-Dithiacyclopentene; XXIX. 3-Thioxo-3H-1,2-Dithiole aus 3-Chloro-1,2-dithio-lium-chloriden. Synthesis 1975, 525–526. [Google Scholar] [CrossRef]
- Lowe, P.A. The Chemistry of the Sulphonium Group; Stirling, C.J.M., Ed.; Wiley: Chichester, UK, 1981; Volume 1, Chapter 11; pp. 267–312. [Google Scholar] [CrossRef]
- Ogurtsov, V.A.; Rakitin, O.A.; Rees, C.W.; Smolentsev, A.A.; Lyssenko, K.A. New routes to 1,2-dithiole-3-thiones and 3-imines. Mendeleev Commun. 2005, 15, 20–21. [Google Scholar] [CrossRef]
- Masuda, H.; Fukumoto, M.; Hirayoshi, K.; Nagata, K. Coexpression of the collagen-binding stress protein Hsp47 gene and the alpha 1(I) and alpha 1(III) collagen genes in carbon tetrachloride induced rat liver fibrosis. J. Clin. Investig. 1994, 94, 2481–2488. [Google Scholar] [CrossRef]
- Razzaque, M.S.; Taguchi, T. Collagen-binding heat shock protein (Hsp) 47 expression in anti-thymocyte serum (ATS)-induced glomerulonephritis. J. Pathol. 1997, 183, 24–29. [Google Scholar] [CrossRef]
- Razzaque, M.S.; Nazneen, A.; Taguchi, T. Immunolocalization of collagen and collagen-binding heat shock protein 47 in fibrotic lung diseases. Mod. Pathol. 1998, 11, 1183–1188. [Google Scholar]
- Razzaque, M.S.; Ahmed, A.R. Collagens, collagen-binding heat shock protein 47 and transforming growth factor-beta 1 are induced in cicatricial pemphigoid: Possible role(s) in dermal fibrosis. Cytokine 2002, 17, 311–316. [Google Scholar] [CrossRef]
- Rocnik, E.; Chow, L.H.; Pickering, J.G. Heat shock protein 47 is expressed in fibrous regions of human atheroma and is regulated by growth factors and oxidized low-density lipoprotein. Circulation 2000, 101, 1229–1233. [Google Scholar] [CrossRef] [PubMed]
- Nagata, K.; Yamada, K.M. Phosphorylation and transformation sensitivity of a major collagen-binding protein of fibroblasts. J. Biol. Chem. 1986, 261, 7531–7536. [Google Scholar] [CrossRef]
- Nakayama, I.; Miyazawa, T.; Kobayashi, M.; Kamiya, Y.; Abe, H.; Sakurai, A. Effects of a New Plant Growth Regulator Prohexadione Calcium (BX-112) on Shoot Elongation Caused by Exogenously Applied Gibberellins in Rice (Oryza sativa L.) Seedlings. Plant Cell Physiol. 1990, 31, 195–200. [Google Scholar] [CrossRef]
- Rademacher, W. GROWTH RETARDANTS: Effects on Gibberellin Biosynthesis and Other Metabolic Pathways. Annu. Rev. Plant Physiol. Plant Mol. Biol. 2000, 51, 501–531. [Google Scholar] [CrossRef]
- Mazum, T.K.; Bricker, B.A.; Flores-Rozas, H.; Ablordeppey, S.Y. The Mechanistic Targets of Antifungal Agents: An Overview. Mini. Rev. Med. Chem. 2016, 16, 555–578. [Google Scholar] [CrossRef] [PubMed]
Disclaimer/Publisher’s Note: The statements, opinions and data contained in all publications are solely those of the individual author(s) and contributor(s) and not of MDPI and/or the editor(s). MDPI and/or the editor(s) disclaim responsibility for any injury to people or property resulting from any ideas, methods, instructions or products referred to in the content. |
© 2023 by the authors. Licensee MDPI, Basel, Switzerland. This article is an open access article distributed under the terms and conditions of the Creative Commons Attribution (CC BY) license (https://creativecommons.org/licenses/by/4.0/).























































