Next Article in Journal
Yield and Composition of the Essential Oil of the Opopanax Genus in Turkey
Next Article in Special Issue
The Synthesis and Biological Applications of the 1,2,3-Dithiazole Scaffold
Previous Article in Journal
Localized Therapeutic Approaches Based on Micro/Nanofibers for Cancer Treatment
Previous Article in Special Issue
Application of Olefin Metathesis in the Synthesis of Carbo- and Heteroaromatic Compounds—Recent Advances
 
 
Font Type:
Arial Georgia Verdana
Font Size:
Aa Aa Aa
Line Spacing:
Column Width:
Background:
Article

4,5-Dihydro-5-Oxo-Pyrazolo[1,5-a]Thieno[2,3-c]Pyrimidine: A Novel Scaffold Containing Thiophene Ring. Chemical Reactivity and In Silico Studies to Predict the Profile to GABAA Receptor Subtype

by
Letizia Crocetti
,
Gabriella Guerrini
*,
Fabrizio Melani
,
Claudia Vergelli
and
Maria Paola Giovannoni
Neurofarba, Pharmaceutical and Nutraceutical Section, University of Florence, 50019 Sesto Fiorentino, Italy
*
Author to whom correspondence should be addressed.
Molecules 2023, 28(7), 3054; https://doi.org/10.3390/molecules28073054
Submission received: 9 March 2023 / Revised: 27 March 2023 / Accepted: 28 March 2023 / Published: 29 March 2023
(This article belongs to the Special Issue Synthesis of Heteroaromatic Compounds)

Abstract

The isosteric replacement of the benzene with thiophene ring is a chemical modification widely applied in medicinal chemistry. Several drugs containing the thiophene ring are marketed for treating various pathologies (osteoporosis, peripheral artery disorder, psychosis, anxiety and convulsion). Taking into account this evidence and as a continuation of our study in the GABAA receptor modulators field, we designed and synthesized new compounds containing the thiophene ring with 4,5-dihydro-5-oxo-pyrazolo[1,5-a]thieno[2,3-c]pyrimidine and pyrazolo[1,5-a]thieno[2,3-c] pyrimidine scaffold. Moreover, these cores, never reported in the literature, are isosteres of pyrazolo[1,5-a]quinazolines (PQ), previously published by us as GABAAR subtype ligands. We introduced in the new scaffold those functions and groups (esters, ketones, alpha/beta-thiophene) that in our PQ derivatives were responsible for the activity, and at the same time, we have extensively investigated the reactivity of the new nucleus regarding the alkylation, reduction, halogenation and hydrolyses. On the six final designed compounds (12cf, 22a,b) molecular docking and dynamic simulation studies have been performed. The analysis of dynamic simulation, applying our reported model ‘Proximity Frequencies’, collocates with high probability 12c, 22b, in the agonist class towards α1β2γ2-GABAAR.

1. Introduction

Thiophene is known to be an isostere of the benzene ring, thus representing a good tool in the field of medicinal chemistry to develop new drugs. The concept of isosterism applied to the thiophene ring was established in 1932 by Erlenmeyer, which proposed the equivalence between -CH = CH- and -S- (in benzene and thiophene, respectively) in terms of size, mass and capacity to provide an aromatic lone pair. Over time, compounds containing thiophene have been extensively investigated in medicinal chemistry, since they show a variety of pharmacological activities, such as anti-inflammatory, antioxidant, antimicrobial, antitumor, and antidepressant action [1,2,3,4]. Moreover, several thiophene-heterocycles-fused compounds have been approved by FDA as therapeutic agents for the treatment of osteoporosis (Raloxifene), peripheral artery disorder (Ticlopidine), psychosis (Olanzapine), anxiety and convulsion (Etizolam); see Figure 1.
Starting from these evidences, we addressed our research towards the synthesis of heterocyclic compounds containing the thiophene ring. We applied this strategy to the synthesis of potential GABAAR subtypes ligands, which represent a field of research extensively investigated by us for many years, by obtaining some interesting derivatives with pyrazolobenzotriazine, pyrazolopyrimidine and pirazoloquinazoline scaffold [5,6,7,8]. This choice is also supported by the fact that in the literature are present some GABAAR ligands (Ro 19-4603, TB21007, Comp. 4, Comp. 16), in which the thiophene ring is fused or bonded to other cycles (Figure 2) [9,10,11]. In particular, we report here the synthesis of new compounds with 4,5-dihydro-5-oxo-pyrazolo[1,5-a]thieno[2,3-c]pyrimidine and pyrazolo[1,5-a]thieno[2,3-c]pyrimidine scaffold as result of the isosteric replacement of the benzene with thiophene ring in our pyrazolo[1,5-a]quinazolines previously published as GABAAR subtype ligands [8,12] (Figure 3). Moreover, these new compounds can be considered as analogues of the abovementioned GABAAR ligand Ro 19-4603, in which we formally operated a contraction of the central diazepine ring. As a first approach, in this new scaffold, we tried to introduce at position 3 those functions and groups (esters, ketons, alpha/beta-thiophene) responsible for activity in our pyrazolo[1,5-a]quinazolines and in compounds of the literature (i.e., Ro 19-4603 and Comp 16) (Figure 2).
The pyrazolo[1,5-a]thieno[2,3-c]pyrimidine core is not found in the literature (SciFinder, Reaxys), with the exception of the ethyl 4,5-dihydro-5-oxo-pyrazolo [1,5-a]thieno[2,3-c]pyrimidine-3-carboxylate (RN 942034-93-7), of which neither the synthesis nor the characterization is reported, however. In addition, this single compound is not mentioned in any published work. Thus, it was very intriguing to investigate the feasibility and the reactivity of this nucleus toward the most common reactions, such as alkylation, reduction, halogenation, and hydrolysis. Finally, molecular docking studies and evaluation of the ‘Proximity Frequencies’ (exploiting our reported model) [8,13] were performed on all the final compounds to predict their profile on the α1β2γ2-GABAAR subtype.

2. Results

2.1. Chemistry

The synthetic pathways for obtaining derivatives with pyrazolo[1,5-a]thieno[2,3-e]pyrimidine scaffold are depicted in Schemes 1–6. In this synthetic section, we report not only the procedures for obtaining the final designed products mentioned in Figure 3, but also some reactivity studies on this new scaffold which, furthermore, have produced interesting results. NMR spectra, elemental analysis and other structural information are reported in Supplementary Materials, Table S1.
The first step in building the pyrazolo[1,5-a]thieno[2,3-c]pyrimidine core is a diazotization reaction in the usual manner followed by reduction with SnCl2, on the commercial material methyl 3-aminothiophene-2-carboxylate 1, obtaining the corresponding 3-hydrazino hydrochloride derivative 2 [14]. This latter was then reacted with ethoxymethylenmalononitrile and ethyl 2-cyano-3-ethoxyacrylate, affording the pyrazolo[1,5-a]thieno[2,3-e]pyrimidin-5(4H)-ones 3-carbonitrile and 3-ethoxycarbonyl derivative 3 and 4, respectively; further hydrolysis of 3 with H2SO4 conc. gave the 3-carboxamide derivative 5. Compounds 68 were instead obtained by treatment of the same 3-hydrazino hydrochloride derivative 2 with 3-(dimethylamino)-2- (thien-2-carbonyl)acrylonitrile (compound 6), 3-oxo-2-(thien-3-yl)propionitrile (compound 7), and 3-oxo-2-(thien-2-yl)propionitrile (compound 8), respectively, following the procedure reported in our references [15,16] (Scheme 1).
All the 38 pyrazolo[1,5-a]thieno[2,3-e]pyrimidin-5(4H)-ones intermediates synthesized in Scheme 1 were then subjected to halogenation, reduction and alkylation reactions (Scheme 2) and the results differed depending on the function/group bound at position 3 (3, R3 = CN; 4, R3 = COOEt; 5, R3 = CONH2; 6, R3 = thien-2-yl carbonyl; 7, R3 = 3-thienyl; 8, R3 = 2-thienyl). Starting from the halogenation reaction, the treatment with POCl3/PCl5 only for compounds 5 and 6 gave the corresponding 5-chloro derivatives 9c and 9d, which were effortlessly isolated and purified. From compound 7, the intermediate 5-chloro derivative results as one spot in TLC but was not isolated (9e) and used as such for the subsequent reduction reaction. Differently, for compounds bearing a cyano group (3) or a thienyl ring at the 3-position (7 and 8), the 5-chloro derivatives were not obtained or were not easily isolable. In particular, from compounds 3 and 8 dark tares resulted in TLC many spots of complex purification. For the next step, involving the C-Cl bond cleavage and the resulting reduction to the 4,5-dihydro derivative 10c,d, we choose NaBH4 in the EtOH/CH2Cl2 mixture. The ethyl 5-chloropyrazolo[1,5-a]thieno [2,3-e]pyrimidine-3-carboxylate 9c and the 3-(thien-2-ylcarbonyl)-5-chloropyrazolo [1,5-a]thieno[2,3-e]pyrimidine 9d were rapidly transformed into the final compounds 10c,d, which were easily recovered and purified; the (hetero) aromatization was then realized by treating 10c and 10d in toluene with Pd/C at refluxing temperature, obtaining the final products 11c and 11d.
A particular reactivity was evidenced for not isolated intermediate 9e, the 3-(thien-3-yl)-5-chloropyrazolo[1,5-a]thieno[2,3-e]pyrimidine. In fact, when the reduction is performed with NaBH4, starting and final products mixture was anyway recovered, also largely changing the reaction conditions. On the other hand, performing a catalytic transfer hydrogenation (CTH) with HCOONH4 and Pd/C in EtOH [17], it was possible to highlight in TLC a spot that could be the 4,5-dihydro derivate, which rapidly and spontaneously converts into the 3-(thien-3-yl)pyrazolo[1,5-a]thieno[2,3-e]pyrimidine 11e. Moving to the alkylation reactions, which afforded the final desired compounds 12cf, the lactam derivatives (38) were all treated following the classical method (DMF/K2CO3/CH3I), but depending on the substituent at the 3-position, different reactivity was evidenced, specifically:
  • Compounds 3, 4 and 6 gave in good yield the 4-methyl derivatives 12a,c,d (4-methyl-5-oxo-4,5-dihydropyrazolo[1,5-a]thieno[2,3-e]pyrimidine-3-carbonitrile 12a, 3-ethyl carboxylate 12c and 3-(thien-2-ylcarbonyl) 12d).
  • The 3-carboxamide derivative 5 gave different reaction products depending on the reaction conditions, in particular on the temperature. In fact, at 80 °C (standard condition), only the O-methyl derivative 13b (5-methoxypyrazolo[1,5-a]thieno[2,3-e] pyrimidine-3-carboxamide) was obtained, while when maintaining the reaction at reflux temperature, the N-methyl isomer 12b was obtained as a single product. The 3-carboxyamide derivative 12b was also obtained by treatment of 4-methyl-5-oxo-4,5-dihydropyrazolo[1,5-a]thieno[2,3-e]pyrimidine-3-carbonitrile 12a with conc. H2SO4, and thus, confirming the N-alkylation.
  • Finally, the alkylation of 7 and 8 in the usual manner afforded a mixture of the N-methyl and O-methyl derivatives (12e and 13e; 12f and 13f), which were separated by flash chromatography. The assignment of the exact structure was carried out with the use of 1H-NMR technique, whose results are in agreement with our previous data [8]: when methyl is bound to N-4, the peak falls between 3.33 and 4.00 ppm, depending on the substituent at 3-position, while the O-methyl is unchanged for all compounds at 4.20 ppm.
Scheme 2. Reagent and conditions: (a) POCl3/PCl5 refluxing temperature; (b) NaBH4/EtOH/CH2Cl2, RT°, 40 min; (c) Toluene, Pd/C, refluxing temperature for 10c,d; (d) HCOONH4/EtOH, Pd/C, refluxing temperature for 9e; (e) DMF/K2CO3/CH3I, 80 °C for 12a,c,df and 13b,e,f; at reflux temperature for 12b; (f) H2SO4 conc.
Scheme 2. Reagent and conditions: (a) POCl3/PCl5 refluxing temperature; (b) NaBH4/EtOH/CH2Cl2, RT°, 40 min; (c) Toluene, Pd/C, refluxing temperature for 10c,d; (d) HCOONH4/EtOH, Pd/C, refluxing temperature for 9e; (e) DMF/K2CO3/CH3I, 80 °C for 12a,c,df and 13b,e,f; at reflux temperature for 12b; (f) H2SO4 conc.
Molecules 28 03054 sch002
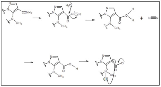
The regioselective O-alkylation observed for compound 5 could be due to a prevalence of the tautomeric form −N = C-OH with respect −NH-C = O; the predominance of the first one could indeed be associated with the amide function at position 3, since the CONH2 group could form H-bonds with N-4, thus favoring the tricyclic heteroaromatic structure (see Figure 4). On the other hand, the rising temperature (reflux) can promote a free rotation of the C3-CO bond of the amide group, no longer involved in an H-bond, and thus, allowing alkylation at N-4 (compound 12b).
Scheme 3 describes the different reactivity of the 3-ethyl carboxylate derivatives 4 and 12c towards the alkaline or acid hydrolysis. The starting ethyl 5-oxo-4,5-dihydropyrazolo[1,5-a]thieno[2,3-e]pyrimidine-3-carboxylate 4 behaves in the usual manner to alkaline or acid hydrolysis, giving the corresponding 3-carboxylic acid 14, which in turn undergoes decarboxylation in HCl 12M, at reflux temperature, yielding compound 15. Instead, starting from the ester 12c, also using different reaction conditions (NaOH 10% or LiOH in THF/water or AcOH/HCl or conc. HCl), it has never been possible to obtain the 3-carboxylic acid, but only the 3-decarboxylate derivative 16 is recovered.
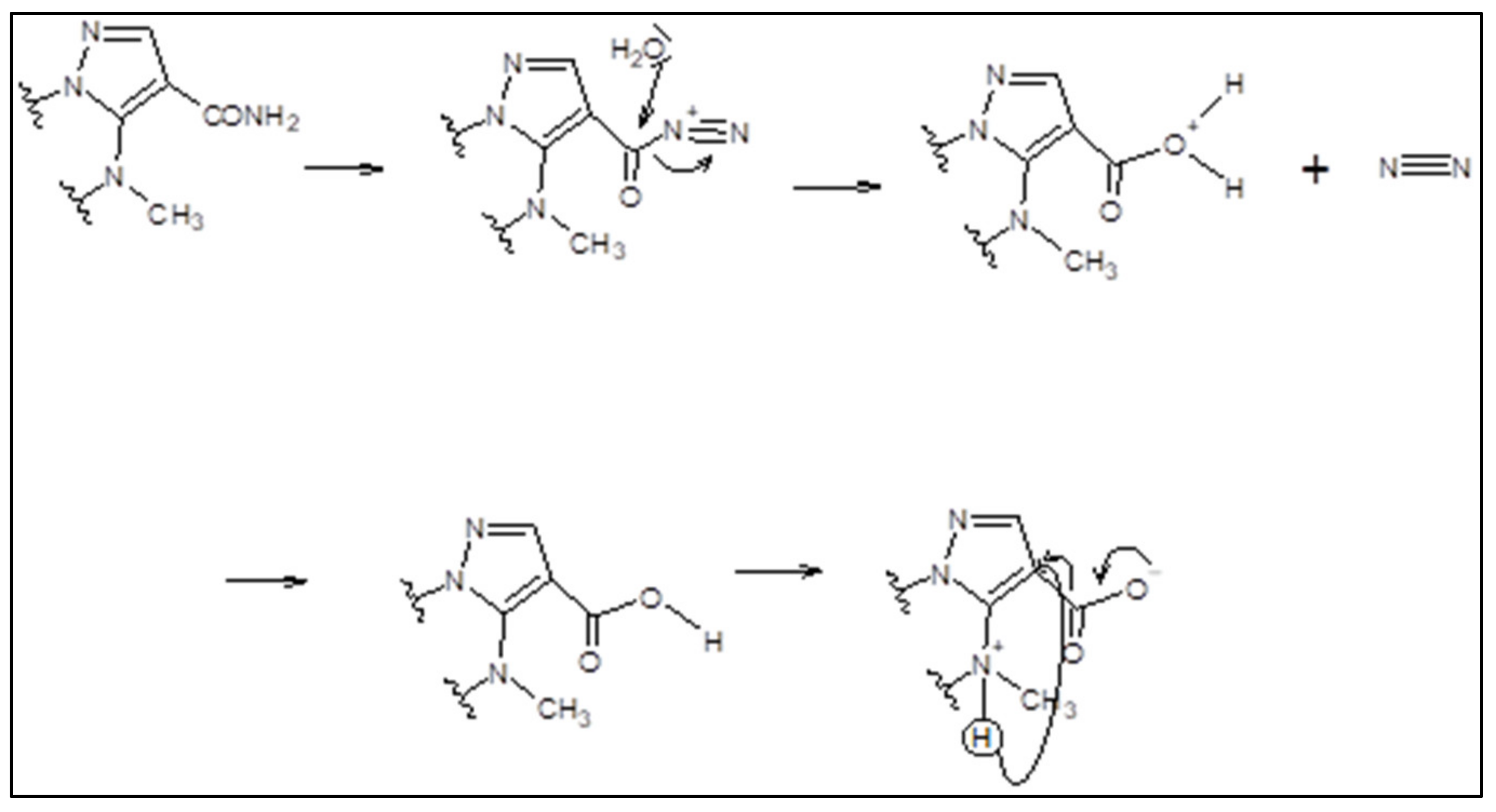
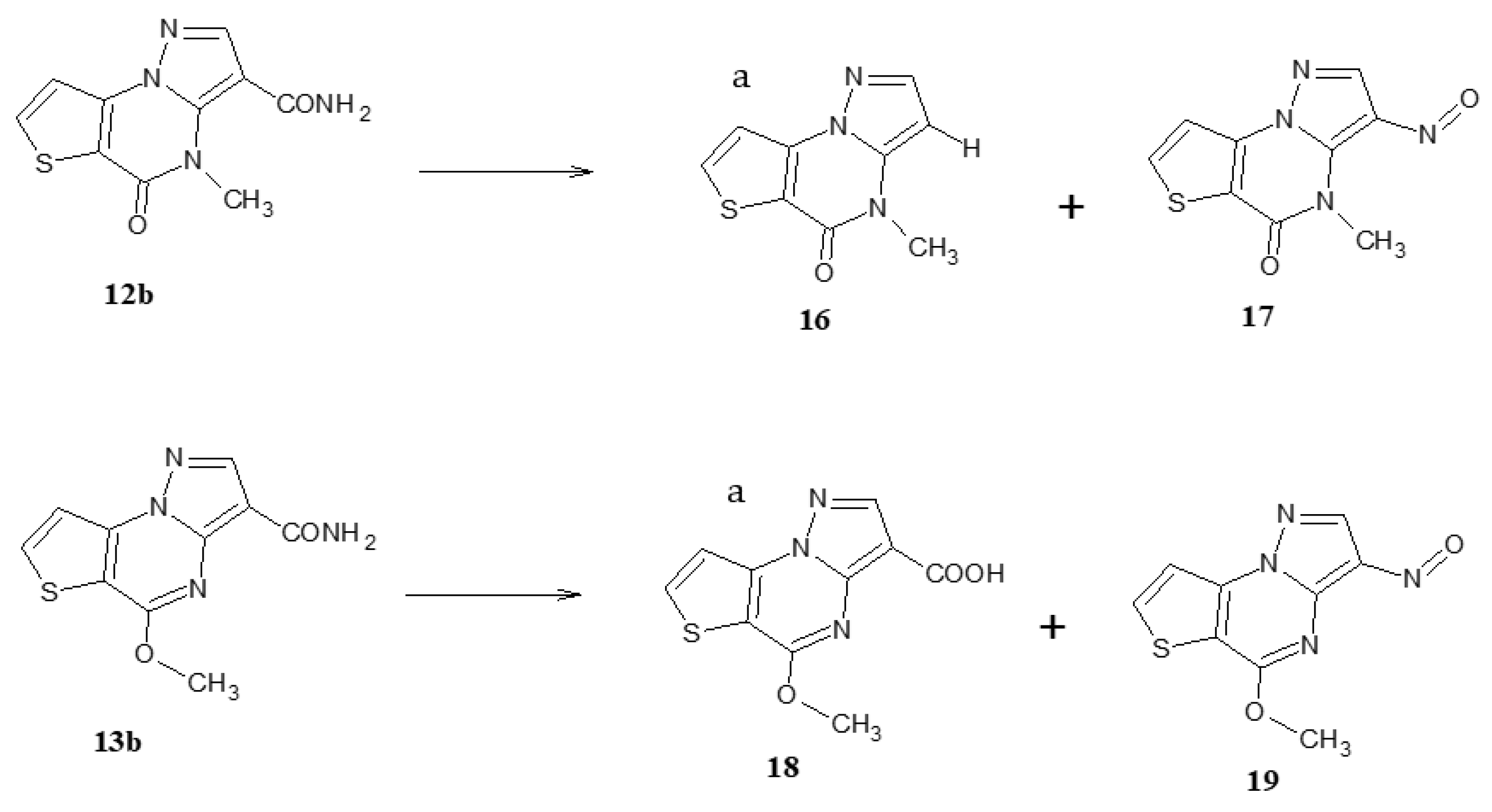
Thus, to get the 4-methyl-5-oxo-4,5-dihydropyrazolo[1,5-a]thieno[2,3-e] pyrimidine- -3-carboxylic acid, as a key intermediate for obtaining the final designed esters, we followed a reported procedure [18], which involves diazotization of the 3-carboxamide 12b (Scheme 4); the reaction did not afford the desired 3-carboxylic acid, but a mixture of two compounds, one identified as the 3-decarboxylate 16 and a possible mechanism of decarboxylation process is reported. The second compound, colored green, was assumed to be a 3-nitroso derivative 17; this hypothesis could be supported by the fact that, after decarboxylation, a high concentration of nitrosonium ion (NO+) in the chemical environment could be able to make an electrophilic attach at position 3 of the pyrazolothienoquinazoline scaffold. The 1H-NMR spectrum of the supposed compound 17, in addition to the absence of the proton at position 3, shows a shift of the methyl bound to N-4 (4.23 ppm) that is not consistent with the chemical shift values of the 4-methyl-5-oxo-4,5-dihydropyrazolo[1,5-a]thieno[2,3-e]pyrimidine derivatives, whose N-methyl group constantly falls in the 3.3–3.7 ppm range. Moreover, the chemical shift of the proton in position 2 is lower than in other products with different substituents (CN, COOEt, CONH2, COOH), suggesting a different electronic/steric environment resulting from the substituent in position 3. The mass analysis confirmed the structure of compound 17. The same reaction performed on the 5-methoxypyrazolo [1,5-a]thieno[2,3-e]pyrimidine-3-carboxyamide 13b also gave a mixture of two products, but in this case, the green 3-nitroso derivative 19 was obtained together with the desired 5-methoxypyrazolo[1,5-a]thieno[2,3-e]pyrimidine-3-carboxylic acid (18). The mass analysis again confirmed the structure. A possible mechanism of decarboxylation is reported in Figure 5.
In order to obtain the desired 4-methyl-5-oxo-4,5-dihydropyrazolo [1,5-a]thieno[2,3-e]pyrimidine-3-carboxylic acid 21, we explored a further synthetic strategy reported in Scheme 5. The 3-unsubstituted compound 16 was treated with HMTA obtaining the 4-methyl-5-oxo-4,5-dihydropyrazolo[1,5-a]thieno[2,3-e]pyrimidin- 3-carboxaldehyde derivative 20 and its further oxidation (KMnO4/water/acetone/sodium hydroxide) finally gave the desired 3-carboxylic acid 21. From acid 21, the final desired esters 22a,b were obtained by treatment with thionyl chloride and further addition of the suitable alcohol (t-BuOH and 2-thiophenemethanol respectively) in CH2Cl2.
The hydrolysis of the ester function to carboxylic acid also created problems on the ethyl pyrazolo[1,5-a]thieno[2,3-e]pyrimidine-3-carboxylate 11c (Scheme 6). In fact, the desired product 23 was recovered in a meagre yield together with a big amount of the 3-decarboxylate 24 only if the hydrolysis of 11c was performed in an alkaline medium; the reaction then evolved spontaneously towards the total formation of compound 24. On the contrary, in acid medium, compound 11c underwent a decarboxylation, directly giving the 3-unsubstituted derivative 24.
Therefore, we explored a different synthetic way, starting from the 5-oxo-4,5-dihydropyrazolo[1,5-a]thieno[2,3-e]pyrimidin-3-carboxylic acid 14, by using LiAlH4 as reducing agent for the lactam function. Thus, after quenching the reaction and performing the standard workup, the residue was refluxed in toluene and Pd/C. The presence in 1H-NMR spectrum of H5 at 9.06 ppm confirmed that the pyrazolothienopyrimidine core was indeed dehydrogenated but, at the same time, the carboxylic function was transformed in a methyl group, as evidenced by the peak at 2.33 ppm, compound 25, again preventing the desired 23.
Scheme 5. Reagent and conditions: (a) AcOH/HMTA, 80 °C; (b) aceton/water, KMnO4, NaOH 10%, 80 °C; (c) SOCl2, CH2Cl2, t-BuOH for 22a and 2-thiophenemethanol for 22b, 50 °C.
Scheme 5. Reagent and conditions: (a) AcOH/HMTA, 80 °C; (b) aceton/water, KMnO4, NaOH 10%, 80 °C; (c) SOCl2, CH2Cl2, t-BuOH for 22a and 2-thiophenemethanol for 22b, 50 °C.
Molecules 28 03054 sch005
Scheme 6. Reagent and conditions: (a) NaOH 10% solution, or LiOH; (b) HCl or AcOH; (c) LiAlH4, THF abs., then: toluene, Pd/C, refluxing temperature.
Scheme 6. Reagent and conditions: (a) NaOH 10% solution, or LiOH; (b) HCl or AcOH; (c) LiAlH4, THF abs., then: toluene, Pd/C, refluxing temperature.
Molecules 28 03054 sch006

2.2. Molecular Dynamic Studies

On the six final designed compounds (12cf and 22a,b), a molecular docking study and an evaluation of the ‘Proximity Frequencies’ [8,13] were performed to predict their profile on the α1β2γ2-GABAAR subtype.
The value of Proximity Frequencies (PFs), used in a linear discriminant function (LDA), was able to correctly collocate 70.6% of agonists and 72.7% of antagonists by combining a double PF (αVal203-γThr142) with a triple PF (αHis102-αTyr160-γTyr58). The predictive capacity was evaluated on an appropriate training set of molecules with a cross-validation ‘leave one out’ (LOO) procedure. During a molecular dynamic simulation (60 ns), the agonist compounds were simultaneously close to the αVal203 and γThr142 amino acids, with a frequency of 37% compared to the frequency of 16% found by the antagonist compounds, while the antagonist compounds were simultaneously close to the αHis102, αTyr160, and γTyr58 amino acids, with a frequency of 35% against a frequency of 13% for agonist compounds. All the 3D structures of the molecules, as a training set and new final compounds, were designed [19] (DS ViewerPro 6.0 Accelrys Software Inc., San Diego, CA, USA) and placed in the binding site of the BDZs with the AUTODOCK 4.2 [20] docking program. The structure of the BDZ binding site was obtained from the recently solved GABAAR structure (PDB ID 6D6T) [21].
The docking program performed on the selected compounds (12cf and 22a,b) gave a number of clusters of conformation(s) for each compound (rmsd 2.0). The evaluation of trajectories in the dynamic simulation was performed on the conformations that covered at least 90% of poses; the dynamic simulations were performed on an isolated portion of the protein between the α and γ chains comprising all amino acids within a radius of 2 nm from the center of the benzodiazepine binding site. Applying the PF model to the new selected compounds, it emerges that all six ones are collocated in the agonist class, 12df with low probability, while 12c and 22b, the 3-ethyl and the 3-(2-thienylmethyl)carboxylate, respectively, with a percentage of prediction of 74% and 78%, are more probable. The 3-t-buthylcarboxylate 22a shows a percentage of prediction slightly lower (69%), but always in the agonist class; see Table 1.
Compounds 12c and 22b have in the position 3 an ester group which is able to engage a strong hydrogen bond interaction with γThr142 through the carbonyl moiety. Additionally, 22a has an ester group in the 3 position but the steric hindrance of the t-butyloxycarbonyl fragment makes less probable the hydrogen bond interaction of the carbonyl group with the γThr142 residue; see Figure 6, Figure 7 and Figure 8.
These results are in accordance with our previously reported data [6,12], which evidenced the importance of the carbonyl group of the ester moiety to engage a strong hydrogen bond interaction with receptor protein. Compounds missing the ester group (12df) show a weak interaction with γThr142 in agreement with the low prediction percentage.

3. Experimental Section

3.1. Chemistry

General procedure for the synthesis of compounds 3,4,6-8. To a solution of 2 (1 mmol, 0.170 g) in DMF abs. and sodium acetate (1.3 mmol) was added 2-ethoxymethylenmalononitrile or ethyl-2-cyano-3-ethoxyacrylate, 3-(dimethylamino)- 2-(thien-2-carbonyl)acrylonitrile [15] (1.12 mmol) to obtain 3, 4 and 6. The solvent was AcOH when 3-oxo-2-(thien-3-yl)propionitrile and 3-oxo-2-(thien-2-yl)propionitrile [16] were used to obtain 7 and 8. The reaction was refluxed for three hours, and after cooling, the addition of water and ice gave a precipitate that was filtered and purified by a suitable solvent
5-Oxo-4,5-dihydropyrazolo[1,5-a]thieno[2,3-e]pyrimidine-3-carbonitrile (3). From 2 and 2-ethoxymethylenmalononitrile. Recrystallized by i-propanol, yield 60%, cream crystals, mp > 300 °C. TLC: toluene/ethyl acetate/methanol 8:2:1.5 v/v/v (Rf: 0.4); 1H-NMR (400 MHz, DMSO-d6) δ 13.47 (bs, 1H, NH, exch.); 8.28 (m, 2H, H-2 and H-7); 7.67 (d, 1H, H-8, J = 5.2 Hz). 13C-NMR (100 MHz, DMSO-d6) δ 163.70, 156.56, 148.45, 144.35, 138.87, 135.86, 129.09, 117.24, 115.45. Anal. C9H4N4OS (C, H, N).
Ethyl 5-oxo-4,5-dihydropyrazolo[1,5-a]thieno[2,3-e]pyrimidine-3-carboxylate (4). From 2 and ethyl 2-cyano-3-ethoxyacrylate. Recrystallized by ethanol, yield 58%, cream crystals, mp 215–216 °C. TLC: toluene/ethyl acetate/methanol 8:2:1.5 v/v/v (Rf: 0.5); 1H-NMR (400 MHz, DMSO-d6) δ 11.74 (bs, 1H, NH, exch.); 8.35 (d, 1H, H-7, J = 5.2 Hz); 8.17 (s, 1H, H-2); 7.68 (d, 1H, H-8, J = 5.2 Hz); 4.29 (q, 2H, CH2, J = 7.2 Hz); 1.29 (t, 3H, CH3, J = 7.2 Hz). 1H-NMR (400 MHz, CDCl3) δ 9.63 (bs, 1H, NH, exch.); 8.08 (s, 1H, H-2); 7.93 (d, 1H, H-7, J = 5.2 Hz); 7.67 (d, 1H, H-8, J = 5.2 Hz); 4.39 (q, 2H, CH2, J = 6.8 Hz); 1.41 (t, 3H, CH3, J = 6.8 Hz). 13C-NMR (100 MHz, DMSO-d6) δ 165.29, 161.50, 156.56, 144.35, 143.95, 135.87, 133.26, 129.05, 117.25, 60.94, 14.15. Anal. C11H9N3O3S (C, H, N).
3-(Thiophene-2-carbonyl)pyrazolo[1,5-a]thieno[2,3-e]pyrimidin-5(4H)-one (6). From 2 and 3-(dimethylamino)-2-(thien-2-carbonyl)acrylonitrile [15]. Recrystallized by ethanol, yield 95%, cream crystals, mp > 300 °C. TLC: toluene/ethyl acetate/methanol 8:2:1.5 v/v/v (Rf: 0.7); 1H-NMR (400 MHz, DMSO-d6) δ 11.59 (bs, 1H, NH, exch.); 8.63 (s, 1H, H-2); 8.37 (d, 1H, H-7, J = 5.2 Hz); 8.17 (s, 1H, H-5′); 8.05 (d, 1H, H-3′, J = 4.4 Hz); 7.74 (d, 1H, H-8, J = 5.2 Hz); 7.29 (m, 1H, H-4′). 13C-NMR (100 MHz, DMSO-d6) δ 157.90, 142.76, 142.25, 138.37, 134.86, 133.09, 129.39, 117.34. Anal. C13H7N3O2S2 (C, H, N).
3-(Thiophene-3-yl)pyrazolo[1,5-a]thieno[2,3-e]pyrimidin-5(4H)-one (7). From 2 and 3-oxo-2-(thien-3-yl)propionitrile [16]. Recrystallized by ethanol, yield 94%, cream crystals, mp 274–276 °C. TLC: toluene/ethyl acetate/methanol 8:2:1.5 v/v/v (Rf: 0.7); 1H-NMR (400 MHz, DMSO-d6) δ 12.06 (bs, 1H, NH, exch.); 8.29 (d, 1H, H-7, J = 5.2 Hz); 8.18 (s, 1H, H-2); 7.86 (s, 1H, H-2′); 7.67 (d, 1H, H-8, J = 5.2 Hz); 7.06 (m, 1H, H-4′); 7.52 (m, 1H, H-5′). 13C-NMR (100 MHz, DMSO-d6) δ 165.10, 144.35, 141.71, 139.60, 129.95, 128.30, 127.90, 124.75, 117.20. Anal. C12H7N3OS2 (C, H, N).
3-(Thiophene-2-yl)pyrazolo[1,5-a]thieno[2,3-e]pyrimidin-5(4H)-one (8). From 2 and 3-oxo-2-(thien-2-yl)propionitrile [16]. Recrystallized by ethanol, yield 89%, green light crystals, mp 248–250 °C. TLC: toluene/ethyl acetate/methanol 8:2:1.5 v/v/v (Rf: 0.7); 1H-NMR (400 MHz, DMSO-d6) δ 12.18 (bs, 1H, NH, exch.); 8.30 (d, 1H, H-7, J = 5.2 Hz); 8.00 (s, 1H, H-2); 7.67 (d, 1H, H-8, J = 5.2 Hz); 7.46 (d, 1H, H-5′, J = 4.8 Hz); 7.40 (d, 1H, H-3′, J = 2.8 Hz); 7.11 (dd, 1H, H-4′, J1 = 4.8 Hz, J2 = 4.0 Hz). 13C-NMR (100 MHz, DMSO-d6) δ 157.90, 141.71, 137.66, 128.40, 124.61, 117.19Anal. C12H7N3OS2 (C, H, N).
5-Oxo-4,5-dihydropyrazolo[1,5-a]thieno[2,3-e]pyrimidine-3-carboxamide (5). Compound 3 (0.23 mmol, 0.05 g) was suspended in H2SO4 conc., 1 mL and heated at 80 °C under stirring. After the starting material disappeared in TLC (toluene/ethyl acetate/methanol 8:2:1.5 v/v/v, as eluent, Rf: 0.2), the reaction was stopped; the addition of ice/water gave a precipitate which was filtered and purified by recrystallization with ethanol. Yield 92%, white crystals, mp > 300 °C. TLC: 1H-NMR (400 MHz, DMSO-d6) δ 10.75 (bs, 1H, NH, exch.); 8.33 (d, 1H, H-7, J = 4.8 Hz); 8.28 (s, 1H, H-2); 7.83 (bs, 1H, CONH, exch.); 7.68 (d, 1H, H-8, J = 4.8 Hz); 7.32 (bs, 1H, CONH, exch.).13C-NMR (100 MHz, DMSO-d6) δ 165.22, 163.70, 156.56, 150.55, 144.35, 143.91, 135.85, 132.06, 129.00. Anal. C9H6N4O2S (C, H, N).
General procedure for the synthesis of compounds 9c,d. Compounds 4, 6 and 7 (0.6 mmol) were suspended in a mixture of POCl3 (5.5 mL) and PCl5 (0.91 mmol, 0.190 g) and refluxed for three hours. The evaporation to dryness to eliminate the excess of POCl3 gave a residue recuperated with ice/water filtered and purified with a suitable solvent, obtaining 9c,d, starting from 4 and 6, respectively. From compound 7, the 5-chloro intermediate 9e was not isolated but used as such, see below.
Ethyl 5-chloropyrazolo[1,5-a]thieno[2,3-e]pyrimidine-3-carboxylate (9c). From 5. Recrystallized by ethanol, yield 90%, cream crystals, mp > 300 °C. TLC: toluene/ethyl acetate/methanol 8:2:1.5 v/v/v (Rf: 0.7); 1H-NMR (400 MHz, DMSO-d6) δ 8.61 (m, 2H, H-2 and H-7); 8.02 (d, 1H, H-8, J = 5.2 Hz); 4.29 (q, 2H, CH2, J = 7.2 Hz); 1.30 (t, 3H, CH3, J = 7.2 Hz). 1H-NMR (400 MHz, CDCl3) δ 8.55 (s, 1H, H-2); 8.08 (d, 1H, H-7, J = 5.6 Hz); 7.95 (d, 1H, H-8, J = 5.6 Hz); 4.45 (q, 2H, CH2, J = 7.2 Hz); 1.44 (t, 3H, CH3, J = 7.2 Hz). 13C-NMR (100 MHz, DMSO-d6) δ 161.80, 155.06, 145.85, 145.55, 130.55, 125.66, 126.70, 118.30, 60.95, 14.13. Anal. C11H8N3O2SCl (C, H, N).
(5-Chloropyrazolo[1,5-a]thieno[2,3-e]pyrimidin-3-yl)(thiophen-2-yl)methanone (9d). From 6. Recrystallized by i-propanol, yield 95%, cream crystals, mp 186–188 °C. TLC: toluene/ethyl acetate/methanol 8:2:1.5 v/v/v (Rf: 0.5); 1H-NMR (400 MHz, DMSO-d6) δ 8.80 (s, 1H, H-2); 8.65 (d, 1H, H-7, J = 5.2 Hz); 8.14 (s, 1H, H-5′); 8.07 (m, 2H, H-8 and H-3′); 7.30 (m, 1H, H-4′). 13C-NMR (100 MHz, DMSO-d6) δ 173.70, 155.06, 145.88, 145.53, 144.35, 135.81, 133.72, 130.50, 127.06, 126.74, 125.66, 126.70, 118.30. Anal. C13H6N3OS2Cl (C, H, N).
General procedure for the synthesis of compounds 10c,d. Compounds 9c,d (0.4 mmol) was dissolved in a mixture of CH2Cl2/EtOH (7.5 mL/15 mL) and NaBH4 (3.6 mmol, 0.136 g) was added in small portions. The reaction was maintained at room temperature for 40 min, and then the evaporation to dryness of the solvent gave a residue which was recovered with water, filtered and purified with a suitable solvent, obtaining 10c,d, respectively.
Ethyl 4,5-dihydropyrazolo[1,5-a]thieno[2,3-e]pyrimidine-3-carboxylate (10c). From 9c. Recrystallized by water, yield 45%, cream crystals, mp 126–128 °C. TLC: toluene/ethyl acetate/methanol 8:2:1.5 v/v/v (Rf: 0.5); 1H-NMR (400 MHz, DMSO-d6) δ 7.57 (m, 2H, H-2 and H-7); 7.18 (d, 1H, H-8, J = 4.4 Hz); 7.05 (s, 1H, NH, exch.); 4.7 (s, 2H, NCH2); 4.17 (q, 2H, CH2, J = 7.2 Hz); 1.25 (t, 3H, CH3, J = 7.2 Hz). 1H-NMR (400 MHz, CDCl3) δ 8.55 (s, 1H, H-2); 8.08 (d, 1H, H-7, J = 5.6 Hz); 7.95 (d, 1H, H-8, J = 5.6 Hz); 4.70 (s, 2H, NCH2); 4.18 (q, 2H, CH2, J = 6.8 Hz); 1.25 (t, 3H, CH3, J = 6.8 Hz). 13C-NMR (100 MHz, DMSO-d6) δ 163.29, 140.97, 125.82, 116.47, 59.18, 41.96, 15.02. Anal. C11H11N3O2S (C, H, N).
4,5-Dihydropyrazolo[1,5-a]thieno[2,3-e]pyrimidin-3-yl(thiophen-2-yl)methanone (10d). From 9d. Recrystallized by ethanol, yield 40%, cream crystals, mp 186–188 °C. TLC: toluene/ethyl acetate/methanol 8:2:1.5 v/v/v (Rf: 0.3); 1H-NMR (400 MHz, DMSO-d6) δ 8.11 (s, 1H, H-2); 7.97 (s, 1H, H-5′); 7.91 (d, 1H, H-7, J = 4.8 Hz); 7.78 (s, 1H, NH, exch.); 7.61 (d, 1H, H-8 J = 4.8 Hz); 7.22 (m, 2H, H-3′ and H-4′); 4.79 (s, 2H, NCH2). 13C-NMR (100 MHz, DMSO-d6) δ 172.98, 158.01, 144.82, 144.35, 137.85, 135.71, 133.57, 129.06, 127.74, 123.66, 119.30, 51.55. Anal. C13H9N3OS2 (C, H, N).
General procedure for the synthesis of compounds 11c,d. Compounds 10c,d (0.4 mmol) was dissolved in toluene (15 mL), and Pd/C as catalyst was added. The reaction was refluxed for 3–5 h and filtered off the catalyst. The evaporation to dryness of the solution yielded a residue recovered with water, filtered and purified with a suitable solvent, obtaining 11c and 11d, respectively.
Ethyl pyrazolo[1,5-a]thieno[2,3-e]pyrimidine-3-carboxylate (11c). From 10c. Recrystallized by ethanol yield 50%, white crystals, mp 159–160 °C. TLC: toluene/ethyl acetate 8:2 v/v (Rf: 0.1); 1H-NMR (400 MHz, DMSO-d6) δ 9.42 (s, 1H, H-5); 8.60 (s, 1H, H-2); 8.57 (d, 1H, H-7, J = 5.2 Hz); 7.98 (d, 1H, H-8, J = 5.2 Hz); 4.31 (q, 2H, CH2, J = 6.8 Hz); 1.32 (t, 3H, CH3, J = 6.8 Hz). 13C-NMR (100 MHz, DMSO-d6) δ 162.34, 148.66, 145.99, 145.25, 141.82, 140.02, 123.02, 115.95, 103.38, 60.08, 14.92. Anal. C11H9N3O2S (C, H, N).
Pyrazolo[1,5-a]thieno[2,3-e]pyrimidin-3-yl(thiophen-2-yl)methanone (11d). From 10d. Recrystallized by i-propanol, yield 68%, white crystals, mp 73–75 °C. TLC: toluene/ethyl acetate/methanol 8:2:1.5 v/v/v (Rf: 0.2); 1H-NMR (400 MHz, DMSO-d6) δ 9.42 (s, 1H, H-5); 8.74 (s, 1H, H-2); 8.59 (d, 1H, H-7, J = 4.8 Hz); 8.23 (d, 1H, H-5′ J = 2.4 Hz); 8.03 (m, 2H, H-3′ and H-8); 7.28 (m, 1H, H-4′). 13C-NMR (100 MHz, DMSO-d6) δ 173.08, 149.01, 145.82, 144.85, 144.35, 135.81, 133.43, 130.57, 129.06, 126.74, 125.60, 119.10. Anal. C13H7N3OS2 (C, H, N).
3-(Thiophen-3-yl)pyrazolo[1,5-a]thieno[2,3-e]pyrimidine (11e). Compound 7, 3-(thiophene-3-yl)pyrazolo[1,5-a]thieno[2,3-e]pyrimidin-5(4H)-one (0.6 mmol), was suspended in a mixture of POCl3 (5.5 mL) and PCl5 (0.91 mmol, 0.190 g) and refluxed for three hours. The evaporation to dryness to eliminate the excess of POCl3 gave the corresponding 5-chloro derivative (9e), not isolated but used as such for the next reduction step through a CTH (catalytic transfer hydrogenation). Thus, this intermediate suspended in EtOH (20 mL) was added of ammonium formate (4.08 mmol, 0.275 g) and 10% Pd/C as catalyst. The reaction was maintained at reflux temperature for several hours, during which it was possible to evidence, by TLC, the formation of the 4,5-dihydro derivative in a mixture with the final 4,5-dehydro compound 11e. When the reaction finished, the catalyst was filtered off, the solution evaporated to dryness, and the residue recovered with water. Recrystallized by ethanol 80%, yield 90%, cream crystals, mp 157–160 °C. TLC: toluene/ethyl acetate 8:2 v/v (Rf: 0.5); 1H-NMR (400 MHz, DMSO-d6) δ 9.24 (s, 1H, H-5); 8.65 (s, 1H, H-2); 8.45 (d, 1H, H-7, J = 5.2 Hz); 8.05 (s, 1H, H-2′); 7.95 (d, 1H, H-8, J = 5.2 Hz); 7.86 (d, 1H, H-5′, J = 4.8 Hz); 7.65 (m, 1H, H-4′). 13C-NMR (100 MHz, DMSO-d6) δ 145.56, 141.21, 138.47, 126.77, 119.61, 115.88. Anal. C12H7N3S2 (C, H, N).
General procedure for the synthesis of compounds 12a,c–f and 13b,e,f. A solution of DMF abs. (5 mL), compounds 38 (0.40 mmol) and K2CO3 anhydrous (0.80 mmol) was maintained for 15 min at room temperature. After this time, methyl iodide (0.80 mmol) was added and enhanced temperature to 80 °C. After one hour and monitoring the reaction by TLC, adding water gave a precipitate, filtered and purified by a suitable solvent. In the case of compounds 3, 4 and 6, only 4-N-CH3 derivatives were formed (12a,c,d). From compound 4, only the 5-methoxyderivative 13b was recovered, while if the reaction is performed at reflux temperature, only the 4-methyl derivative 12b was obtained. From 7 and 8, a mixture of two products was recovered at the end of alkylation. The chromatographic separation permits isolating the 4-NCH3 (12e,f) and the 5-OCH3 derivatives (13e,f).
4-Methyl-5-oxo-4,5-dihydropyrazolo[1,5-a]thieno[2,3-e]pyrimidine-3-carbonitrile (12a). From 3. Recrystallized by ethanol, yield 89%, cream crystals, mp 224–226 °C. TLC: toluene/ethyl acetate/methanol 8:2:1 v/v/v (Rf: 0.6); 1H-NMR (400 MHz, DMSO-d6) δ 8.44 (s, 1H, H-2); 8.36 (d, 1H, H-7, J = 4.0 Hz); 7.71 29/03/2023 (d, 1H, H-8, J = 4.0 Hz); 3.73 (s, 3H, NCH3). 13C-NMR (100 MHz, DMSO-d6) δ 163.76, 156.51, 148.40, 144.37, 144.30, 135.86, 129.07, 115.41, 106.58, 36.50. Anal. C10H6N4OS (C, H, N).
4-Methyl-5-oxo-4,5-dihydropyrazolo[1,5-a]thieno[2,3-e]pyrimidine-3-carboxamide (12b). From 5 at reflux temperature. Recrystallized by ethanol, yield 93%, cream crystals, mp > 300 °C. TLC: dichlorometane/methanol 9:1 v/v (Rf: 0.3); 1H-NMR (400 MHz, DMSO-d6) δ 8.28 (d, 1H, H-7, J = 4.8 Hz); 8.11 (s, 1H, H-2); 7.86 (bs, 1H, CONH, exch.); 7.65 (d, 1H, H-8, J = 4.8 Hz); 7.32 (bs, 1H, CONH, exch.); 3.73 (s, 3H, NCH3). 13C-NMR (100 MHz, DMSO-d6) δ 165.30, 163.76, 156.51, 150.40, 145.67, 144.31, 135.86, 132.05, 129.08, 36.69. Anal. C10H8N4O2S (C, H, N). The treatment of compound 12a with sulfuric acid at 60 °C and the subsequent addition of ice/water gave the precipitate, 12b recovered by filtration.
Ethyl 4-methyl-5-oxo-4,5-dihydropyrazolo[1,5-a]thieno[2,3-e]pyrimidine-3-carboxylate (12c). From 4. Recrystallized by ethanol, yield 75%, cream crystals, mp 173–174 °C. TLC: toluene/ethyl acetate/methanol 8:2:1.5 v/v/v (Rf: 0.5); 1H-NMR (400 MHz, CDCl3) δ 8.19 (s, 1H, H-2); 7.86 (d, 1H, H-7, J = 5.2 Hz); 7.64 (d, 1H, H-8, J = 5.2 Hz); 4.34 (q, 2H, CH2, J = 7.2 Hz); 4.04 (s, 3H, NCH3); 1.40 (t, 3H, CH3, J = 7.2 Hz). 13C-NMR (100 MHz, DMSO-d6) δ 161.78, 156.10, 145.24, 142.00, 141.69, 138.12, 117.25, 116.95, 98.60, 60.77, 33.57, 14.59. Anal. C12H11N3O3S (C, H, N).
3-(Thiophene-2-carbonyl)-4-methylpyrazolo[1,5-a]thieno[2,3-e]pyrimidin-5(4H)-one (12d). From 6. Recrystallized by ethanol, yield 95%, cream crystals, mp 183–186 °C. TLC: toluene/ethyl acetate/methanol 8:2:1.5 v/v/v (Rf: 0.5); 1H-NMR (400 MHz, DMSO-d6) δ 8.37 (d, 1H, H-7, J = 5.2 Hz); 8.33 (s, 1H, H-2); 8.10 (d, 1H, H-5′ J = 4.8 Hz); 7.82 (d, 1H, H-3′, J = 3.6 Hz); 7.74 (d, 1H, H-8, J = 5.2 Hz); 7.30 (m, 1H, H-4′); 3.56 (s, 3H NCH3). 13C-NMR (100 MHz, DMSO-d6) δ 179.37, 156.18, 145.24, 144.91, 141.71, 138.40, 135.92, 135.62, 129.12, 117.39, 106.50, 33.07. Anal. C14H9N3O2S2 (C, H, N).
3-(Thiophene-3-yl)-4-methylpyrazolo[1,5-a]thieno[2,3-e]pyrimidin-5(4H)-one (12e). From 7, after chromatographic separation, second eluting band (toluene/ethyl acetate/methanol 8:2:1.5 v/v/v as eluent, Rf: 0.5), yield 35%, cream crystals, mp 109–111 °C. 1H-NMR (400 MHz, DMSO-d6) δ 8.29 (d, 1H, H-7, J = 4.8 Hz); 7.85 (s, 1H, H-2); 7.68 (d, 1H, H-8, J = 4.8 Hz); 7.63–7.59 (m, 2H, H-2′ and H-4′); 7.25 (m, 1H, H-5′); 3.40 (s, 3H, NCH3). 1H-NMR (400 MHz, CDCl3) δ 7.83 (d, 1H, H-7, J = 5.2 Hz); 7.71 (s, 1H, H-2); 7.65 (d, 1H, H-8, J = 5.2 Hz); 7.40 (m, 1H, H-2′); 7.26 (m, 1H, H-4′); 7.11 (d, 1H, H-5′, J = 4.4 Hz); 3.41 (s, 3H, NCH3). 13C-NMR (100 MHz, DMSO-d6) δ 157.94, 144.97, 140.00, 138.10, 137.90, 130.86, 125.99, 114.34, 114.23, 106.12, 20.54. Anal. C13H9N3OS2 (C, H, N).
3-(Thiophene-2-yl)-4-methylpyrazolo[1,5-a]thieno[2,3-e]pyrimidin-5(4H)-one (12f). From 8 after chromatographic separation, second eluting band (toluene/ethyl acetate/methanol 8:2:1.5 v/v/v as eluent, Rf: 0.5), yield 36%, yellow light crystals, mp 140–141 °C. 1H-NMR (400 MHz, DMSO-d6) δ 8.30 (d, 1H, H-7, J = 5.2 Hz); 7.90 (s, 1H, H-2); 7.68 (d, 1H, H-8, J = 5.2 Hz); 7.62 (d, 1H, H-5′, J = 5.2 Hz); 7.18 (m, 1H, H-3′); 7.13 (dd, 1H, H-4′, J1 = 4.8 Hz, J2 = 3.6 Hz); 3.31 (s, 3H, NCH3). 13C-NMR (100 MHz, DMSO-d6) δ 165.46, 154.88, 145.71, 137.76, 135.14, 131.79, 129.06, 117.48, 114.01, 56.89. Anal. C13H9N3OS2 (C, H, N).
5-Methoxypyrazolo[1,5-a]thieno[2,3-e]pyrimidine-3-carboxamide (13b). From 5 at room temperature. Recrystallized by ethanol, yield 75%, cream crystals, mp 269–270 °C. TLC: dichlorometane/methanol 8:2 v/v (Rf: 0.6); 1H-NMR (400 MHz, DMSO-d6) δ 8.42 (d, 1H, H-7, J = 4.8 Hz); 8.36 (s, 1H, H-2); 7.90 (d, 1H, H-8, J = 4.8 Hz); 7.49 (bs, 1H, CONH, exch.); 7.34 (bs, 1H, CONH, exch.); 4.22 (s, 3H, OCH3). 13C-NMR (100 MHz, DMSO-d6) δ 164.40, 162.26, 145.87, 145.50, 130.56, 125.68, 114.45, 107.32, 53.79. Anal. C10H8N4O2S (C, H, N).
5-Methoxy-3-(thiophene-3-yl)pyrazolo[1,5-a]thieno[2,3-e]pyrimidine (13e). From 7, after chromatographic separation, first eluting band (toluene/ethyl acetate/methanol 8:2:1.5 v/v/v as eluent, Rf: 0.8), yield 35%, cream crystals, mp 127–130 °C. 1H-NMR (400 MHz, DMSO-d6) δ 8.49 (s, 1H, H-2); 8.38 (d, 1H, H-7, J = 5.2 Hz); 7.98 (m, 1H, H-2′); 7.85 (d, 1H, H-8, J = 5.2 Hz); 7.81 (d, 1H, H-5′, J = 4.8 Hz); 7.62 (m, 1H, H-4′); 4.20 (s, 3H, OCH3). 13C-NMR (100 MHz, DMSO-d6) δ 162.20, 144.86, 139.60, 133.47, 128.37, 128.20, 126.71, 125.60, 124.75, 114.56, 107.90, 53.75. Anal. C13H9N3OS2 (C, H, N).
5-Methoxy-3-(thiophene-2-yl)pyrazolo[1,5-a]thieno[2,3-e]pyrimidine (13f). From 8 after chromatographic separation, first eluting band (toluene/ethyl acetate/methanol 8:2:1.5 v/v/v as eluent, Rf: 0.8), yield 24%, yellow light crystals, mp 118–120 °C. 1H-NMR (400 MHz, DMSO-d6) δ 8.43 (s, 1H, H-2); 8.39 (d, 1H, H-7, J = 5.2 Hz); 7.85 (d, 1H, H-8, J = 5.2 Hz); 7.57 (m, 1H, H-5′); 7.42 (d, 1H, H-3′, J = 4.8 Hz); 7.11 (m, 1H, H-4′); 4.20 (s, 3H, OCH3). 13C-NMR (100 MHz, DMSO-d6) δ 162.20, 144.86, 138.20, 133.65, 130.57, 128.67, 128.00, 126.74, 125.60, 114.56, 107.90, 53.50. Anal. C13H9N3OS2 (C, H, N).
5-Oxo-4,5-dihydropyrazolo[1,5-a]thieno[2,3-e]pyrimidine-3-carboxylic acid (14). To a suspension of 4 (0.40 mmol) in NaOH 10% solution (10 mL), was added 0.5 mL of methoxyethanol to favour the solubilization. The reaction was refluxed for 1.30 h, then ice/water and HCl 6N until pH 1. The precipitate formed was filtered, washed with water and purified by a suitable solvent. Recrystallized by ethanol, yield 78%, cream crystals, mp 282–284 °C. TLC: toluene/ethyl acetate/acetic acid 8:2:2 v/v/v (Rf: 0.5); 1H-NMR (400 MHz, DMSO-d6) δ 12.70 (bs, 1H, OH, exch.); 11.37 (bs, 1H, NH, exch.); 8.34 (d, 1H, H-7, J = 4.4 Hz); 8.13 (s, 1H, H-2); 7.68 (d, 1H, H-8, J = 4.4 Hz). 13C-NMR (100 MHz, DMSO-d6) δ 165.25, 164.96, 156.50, 144.35, 143.97, 135.87, 133.20, 129.04, 117.65. Anal. C9H5N3O3S (C, H, N).
5-Oxo-4,5-dihydropyrazolo[1,5-a]thieno[2,3-e]pyrimidine (15). The acid 14 (0.50 mmol) was suspended in 10 mL of HCl conc. and maintained at reflux temperature for 5 h. Adding ice/water gave a residue filtered and purified by recrystallization with ethanol. Recrystallized by ethanol, yield 65%, cream crystals, mp 290–291 °C. TLC: toluene/ethyl acetate/methanol 8:2:1.5 v/v/v (Rf: 0.7); 1H-NMR (400 MHz, DMSO-d6) δ 12.30 (bs, 1H, NH, exch.); 8.26 (s, 1H, H-7); 7.74 (s, 1H, H-2); 7.64 (s, 1H, H-8); 5.93 (s, 1H, H-3). 13C-NMR (100 MHz, DMSO-d6) δ 164.76, 156.26, 148.45, 144.37, 135.85, 133.21, 129.09, 114.15. Anal. C8H5N3OS (C, H, N).
4-Methyl-5-oxo-4,5-dihydropyrazolo[1,5-a]thieno[2,3-e]pyrimidine (16). The ester 12c (0.50 mmol) was suspended in 10 mL of NaOH 10% solution and maintained at 80 °C until the starting material disappeared. The extraction with ethyl acetate and the next usual work up gave a residue which was filtered and purified by recrystallization with ethanol. Yield 71%, cream crystals, mp 157–159 °C. TLC: toluene/ethyl acetate/acetic acid 8:2:1 v/v/v (Rf: 0.8); 1H-NMR (400 MHz, DMSO-d6) δ 8.18 (d, 1H, H-7, J = 5.6 Hz); 7.83 (d, 1H, H-2 J = 2.0 Hz); 7.62 (d, 1H, H-8, J = 5.6 Hz); 6.22 (d, 1H, H-3 J = 2.0 Hz); 3.86 (s, 3H, N-CH3). 1H-NMR (400 MHz, CDCl3) δ 7.82 (d, 1H, H-7, J = 5.6 Hz); 7.87 (d, 1H, H-2 J = 2.0 Hz); 7.64 (d, 1H, H-8, J = 5.6 Hz); 5.96 (d, 1H, H-3 J = 2.0 Hz); 3.63 (s, 3H, N-CH3). 13C-NMR (100 MHz, DMSO-d6) δ 163.71, 156.56, 148.49, 144.30, 135.80, 133.27, 129.09, 114.20, 37.05. Anal. C9H7N3OS (C, H, N).
General procedure for the synthesis of compounds 17 and 19. A suspension of 12b or 13b (0.32 mmol) in H2SO4 conc. (8 mL) was stirred until a solution was obtained and then cooled at 0 °C; to this solution, sodium nitrite (0.22g, 3.2 mmol/5 mL of water) was slowly added and the green suspension was maintained for 3 h at 0 °C. The suspension was made alkaline and extracted with ethyl acetate. After the standard work-up, the evaporation of the organic layer gave a green residue that was purified and characterized.
4-Methyl-3-nitrosopyrazolo[1,5-a]thieno[2,3-e]pyrimidin-5(4H)-one (17). From 12b. Recrystallized by ethanol, yield 50%, green crystals, mp 240–242 °C. TLC: toluene/ethyl acetate/acetic acid 8:2:1 v/v/v (Rf: 0.9); 1H-NMR (400 MHz, DMSO-d6) δ 8.44 (d, 1H, H-7, J = 5.6 Hz); 7.74 (d, 1H, H-8, J = 5.6 Hz); 7.72 (s, 1H, H-2); 4.21 (s, 3H, NCH3). 13C-NMR (100 MHz, DMSO-d6) δ 163.70, 156.59, 148.49, 144.30, 134.99, 133.25, 129.01, 104.05, 36.99. ESI-HRMS (m/z) calculated for [M+H]+ ion species C9H6N4O2S = 235,0295; found: 235,0284. Anal. C9H6N4O2S (C, H, N).
5-Methoxy-3-nitrosopyrazolo[1,5-a]thieno[2,3-e]pyrimidine (19). From 13b. Recrystallized by ethanol, yield 48%, green crystals, mp 218–220 °C. TLC: toluene/ethyl acetate/acetic acid 8:2:1 v/v/v (Rf: 0.9); 1H-NMR (400 MHz, DMSO-d6) δ 8.86 (s, 1H, H-2); 8.54 (d, 1H, H-7, J = 5.6 Hz); 7.94 (d, 1H, H-8, J = 5.6 Hz); 4.23 (s, 3H, OCH3). 13C-NMR (100 MHz, DMSO-d6) δ 163.65, 156.60, 148.49, 144.30, 134.99, 133.20, 128.99, 104.10, 55.60. ESI-HRMS (m/z) calculated for [M+H]+ ion species C9H6N4O2S = 235,0294; found: 235,0284. Anal. C9H6N4O2S (C, H, N).
5-Methoxy-3-nitrosopyrazolo[1,5-a]thieno[2,3-e]pyrimidin-3-carboxylic acid (18). From 13b, after acidification of the alkaline solution. The carboxylic acid was recrystallized by ethanol, yield 30%, white crystals, mp 218–220 °C. TLC: toluene/ethyl acetate/acetic acid 8:2:1 v/v/v (Rf: 0.5); 1H-NMR (400 MHz, DMSO-d6) δ 12.24 (bs, 1H, OH, exch.); 8.44 (d, 1H, H-7, J = 4.8 Hz); 8.38 (s, 1H, H-2); 7.88 (d, 1H, H-8, J = 4.8 Hz); 4.17 (s, 3H, OCH3). 13C-NMR (100 MHz, DMSO-d6) δ 169.35, 162.20, 145.80, 145.59, 130.50, 126.70, 125.69, 114.50, 107.10, 53.70. Anal. C10H7N3O3S (C, H, N).
4-Methyl-5-oxo-4,5-dihydropyrazolo[1,5-a]thieno[2,3-e]pyrimidin-3-carbaldehyde (20). A suspension of 16 (150 mg, 0.73 mmol) in glacial acetic acid (6 mL) was added of hexamethylenetetramine (HTMA, 0.36 g) and maintained at reflux temperature for 10 h. After disappearing the starting material, evaluated by TLC (CHX/EtOAc 1:5, v/v as eluent, Rf: 0.8), the addition of ice gave a precipitate that was recovered by filtration. Yield 85%, white crystals, mp 222–224 °C. 1H-NMR (400 MHz, CDCl3) δ 10.02 (s, 1H, CHO); 8.27 (s, 1H, H-2); 7.91 (d, 1H, H-7, J = 5.2 Hz); 7.88 (d, 1H, H-8, J = 5.2 Hz); 4.03 (s, 3H, OCH3). 13C-NMR (100 MHz, DMSO-d6) δ 170.35, 163.20, 156.25, 145.80, 144.59, 135.84, 133.50, 129.50, 107.15, 37.50. Anal. C10H7N3O2S (C, H, N).
4-Methyl-5-oxo-4,5-dihydropyrazolo[1,5-a]thieno[2,3-e]pyrimidin-3-carboxylic acid (21). The aldehyde 20 (150 mg, 0.73 mmol) was suspended in acetone and water (5 mL/5 mL) and a solution of potassium permanganate (1.1 mmol) in water was added after the suspension was made alkaline with sodium hydroxide 10%. The reaction was heated for 8 h, and after cooling and elimination of the manganese dioxide by filtration, the alkaline aqueous phase was extracted to eliminate the starting material not reacting. The next acidification of the aqueous phase gave the corresponding carboxylic acid that was recovered by extraction. Yield 60%, white crystals, mp 220–223 °C. TLC: CHX/EtOAc 1:5, v/v (Rf: 0.2); 1H-NMR (400 MHz, DMSO-d6) δ 12.68 (bs, 1H, OH, exch.); 8.32 (d, 1H, H-7, J = 4.0 Hz); 8.21 (s, 1H, H-2); 7.67 (d, 1H, H-8, J = 4.0 Hz); 3.87 (s, 3H, NCH3). 13C-NMR (100 MHz, DMSO-d6) δ 169.10, 162.40, 145.85, 145.59, 130.50, 126.55, 125.80, 115.50, 107.10, 37.70. Anal. C10H7N3O3S (C, H, N).
General procedure for the synthesis of compounds 22a,b. The carboxylic acid 21 (0.5 mmol) was transformed into the corresponding 3-carbonyl chloride by reaction with excess SOCl2 in anhydrous conditions. After the standard work-up, the residue was suspended in dichloromethane (6 mL), and the suitable alcohol (excess 0.15 mL) was added; TLC monitored the reaction until the disappearance of the starting material. Then, the final solution was evaporated to dryness, and the residue recuperated with isopropyl ether and recrystallized.
tert-Butyl 4-methyl-5-oxo-4,5-dihydropyrazolo[1,5-a]thieno[2,3-e]pyrimidine-3-carboxylate (22a). From 21 and tert-butanol, white crystals recrystallized by 80% ethanol, yield 25%; mp > 300 °C. TLC: toluene/ethyl acetate/methanol 8:2:1.5 v/v/v (Rf: 0.5); 1H-NMR (400 MHz, CDCl3) δ 8.10 (s, 1H, H-2); 7.85 (d, 1H, H-7, J = 4.8 Hz); 7.63 (d, 1H, H-8, J = 4.8 Hz); 4.01 (s, 3H, NCH3); 1.50 (s, 9H, (CH3)3). 13C-NMR (100 MHz, DMSO-d6) δ 161.78, 156.10, 145.24, 142.00, 141.69, 138.12, 117.25, 116.95, 98.60, 33.57, 14.59. Anal. C14H15N3O3S (C, H, N).
Thiophen-2-yl-methyl 4-methyl-5-oxo-4,5-dihydropyrazolo[1,5-a]thieno[2,3-e]pyrimidine-3-carboxylate (22b). From 21 and 2-thiophenmethanol, white crystals recrystallized by 80% ethanol, yield 30%; mp 190–195 °C. TLC: toluene/ethyl acetate/methanol 8:2:1.5 v/v/v (Rf: 0.6); 1H-NMR (400 MHz, CDCl3) δ 8.19 (s, 1H, H-2); 7.85 (d, 1H, H-7, J = 5.2 Hz); 7.63 (d, 1H, H-8, J = 5.2 Hz); 7.35 (d, 1H, H-5 Thiophene, J = 5.2 Hz); 7.18 (s, 1H, H-3 Thiophene); 7.03 (d, 1H, H-4 Thiophene, J1 = 4.8 Hz); 5.47 (s, 2H, OCH2); 4.03 (s, 3H, NCH3). 13C-NMR (100 MHz, CDCl3) δ 145.60, 135.92, 128.25, 126.89, 117.02, 60.81, 33.87. Anal. C15H11N3O3S2 (C, H, N).
Pyrazolo[1,5-a]thieno[2,3-e]pyrimidine-3-carboxylic acid (23). Compound 11c (0.40 mmol) was treated with 10% NaOH solution and maintained at 80 °C until the starting material disappeared in TLC (toluene/ethyl acetate/acetic acid 8:2:2 v/v/v as eluent). However, the reaction gave many compounds, and the fast-eluted band’s fluorescent spot was recovered by purification with a chromatography column (toluene/ethyl acetate/acetic acid 8:2:2 v/v/v as eluent, Rf: 0.5). Yield 15%, white crystals, mp 246–247 °C. 1H-NMR (400 MHz, DMSO-d6) δ 12.05 (bs, 1H, OH, exch.); 9.34 (s, 1H, H-5); 8.55 (s, 1H, H-2); 8.50 (d, 1H, H-7, J = 5.2 Hz); 7.95 (d, 1H, H-8, J = 5.2 Hz). 13C-NMR (100 MHz, CDCl3) δ 145.60, 135.93, 128.25, 126.89, 117.02, 60.81, 33.87. Anal. C9H5N3O2S (C, H, N).
Pyrazolo[1,5-a]thieno[2,3-e]pyrimidine (24). Compound 11c (0.40 mmol) were treated with HCl/CH3COOH solution and maintained at 70 °C until the starting material disappeared in TLC (toluene/ethyl acetate/acetic acid 8:2:2 v/v/v as eluent, Rf: 0.6). The reaction from 11c, monitored by TLC evidenced the formation of 3-carboxylic acid (23) that quickly evolved in the decarboxylated compound 24. The final solution was extracted with ethyl acetate, and after the normal work-up, the residue was purified by recrystallization from ethanol. Yield 25%, white crystals, mp 246–247 °C. 1H-NMR (400 MHz, DMSO-d6) δ 9.14 (s, 1H, H-5); 8.43 (d, 1H, H-7, J = 4.8 Hz); 8.17 (s, 1H, H-2); 7.91 (d, 1H, H-8, J = 4.8 Hz); 6.83 (s, 1H, H-3). 13C-NMR (100 MHz, DMSO-d6) δ 149.90, 146.24, 144.70, 130.52, 126.70, 125.25, 119.15, 101.30. Anal. C8H5N3S (C, H, N).
3-Methylpyrazolo[1,5-a]thieno[2,3-e]pyrimidine (25). Compound 14 (0.34 mmol) was suspended in THF anhydrous (5 mL) and 1.50 mmol of LiAlH4 was added, using a 1M solution of LiAlH4 in THF. After 1 h, the starting material disappeared and adding ice/water quenched the reaction. The extraction with ethyl acetate gave the intermediate 4,5-dihydro derivative not isolated but identified since not fluorescent in TLC, which was treated with toluene and 10% Pd/C at reflux temperature until the dehydrogenation was complete. The final suspension was filtered, toluene was evaporated and the residue was recrystallized by ethanol; yield 35%, white crystals, mp 127–130 °C. TLC: toluene/ethyl acetate/methanol 8:2:1.5 v/v/v (Rf: 0.7); 1H-NMR (400 MHz, DMSO-d6) δ 9.06 (s, 1H, H-5); 8.39 (d, 1H, H-7, J = 5.2 Hz); 8.04 (s, 1H, H-2); 7.87 (d, 1H, H-8, J = 5.2 Hz); 2.33 (s, 1H, CH3). 13C-NMR (100 MHz, DMSO-d6) δ 149.90, 132.74, 132.90, 130.56, 126.70, 125.65, 119.10, 115.63, 14.30. Anal. C9H7N3S (C, H, N).

3.2. Molecular Docking and Molecular Dynamic Simulation

The structure of the binding site was obtained from the Human α1β2γ2-GABAA receptor subtype in complex with GABA and flumazenil, conformation B (PDB ID 6D6T) [21], considering all the amino acids within a distance of about 2 nm from the structure of the Flumazenil. The ligands were placed at the binding site through AUTODOCK 4.2 [20]. The molecular dynamics simulations of ligand binding-site complexes were performed on a minimum number of conformations (maximum 2) such as to cover at least 90% of the poses found by AUTODOCK. A 60 ns MD simulation were performed for all complexes using GROMACS v5.1 program, and it was conducted in vacuum [22]. The DS ViewerPro 6.0 program [19] was used to build the initial conformations of ligands. The partial atomic charge of the ligand structures was calculated with CHIMERA [23] using AM1-BCC method, and the topology was created with ACPYPE [24] based on the routine Antechamber [25]. The OPLS-AA/L all-atom force field [26] parameters were applied to all the structures. To remove bad contacts, the energy minimization was performed using the steepest descent algorithm until convergence is achieved or for 50,000 maximum steps. The next equilibration of the system was conducted in two phases:
(1)
Canonical NVT ensemble, a 100 ps position-restrained of molecules at 300 K was carried out using a temperature coupling thermostat (velocity rescaling with a stochastic term) to ensure the proper stabilization of the temperature [27].
(2)
Isothermal isobaric NPT ensemble, a 100 ps position-restrained of molecules at 300 K and 1 bar was carried out without using barostat pressure coupling to stabilize the system. These were then followed by a 60 ns MD run at 300 K with position restraints for all protein atoms. The Lincs algorithm [28] was used for bond constraints to maintain rigid bond lengths.
The initial velocity was randomly assigned taken from Maxwell–Boltzman distribution at 300 K and computed with a time step of 2 fs, and the coordinates were recorded every 0.6 ns for MD simulation of 60 ns. During the simulated trajectory, 100 conformations were collected. The ‘Proximity Frequencies’ (PFs) [1,2] with which the 100 conformations of each binding-site ligand complex intercepts two or more amino acid during the dynamic simulation have calculated. The ‘Proximity Frequency’ (PF) is the frequency with which the ligand was, during the molecular dynamic simulation, at a distance of less than 0.25 nm from an amino acid of the binding-site and also, simultaneously, from 2, 3 and 4 amino acids of the binding site.

4. Conclusions

The synthesis and the study on the reactivity of the new scaffold 5-oxo-4,5-dihydropyrazolo [1,5-a]thieno [2,3-e]pyrimidine was performed with the aim of isosteric replacement of the benzene ring in our 5-oxo-4,5-dihydro pyrazolo[1,5-a]quinazoline (PQ), already identified as α1β2γ2-GABAAR ligands.
The introduction in this new scaffold of those fragments responsible for the activity in our PQ [6,12] gave six final designed compounds (12cf and 22a,b), which were, in turn, studied in the ‘Proximity Frequency’ model [13] to predict their potential profile on the α1β2γ2-GABAAR.
The results indicate for all six products an agonist profile, highlighting the suitability of the nucleus and confirming the importance of the carbonyl group of the ester moiety to engage strong hydrogen bond interaction with the receptor protein. In particular, the esters derivatives (12c and 22b) are able, through the carbonyl group, to interact with the amino acid residue γThr142 with a strong hydrogen bond (2.07 Å). Additionally, 22a has an ester group in position 3, but the steric hindrance of the t-butyloxycarbonyl fragment makes the hydrogen bond interaction of the carbonyl group with the γThr142 residue less probable. Compounds missing the ester group (12df) show a weak interaction with γThr142 in agreement with the low prediction percentage.
In conclusion, the synthesis of the 5-oxo-4,5-dihydropyrazolo [1,5-a]thieno [2,3-e]pyrimidine scaffold allowed us to identify a new chemical class of compounds potentially active on GABAA receptor subtype, and the in silico results should be completed and confirmed with biological assays.

Supplementary Materials

The following supporting information can be downloaded at: https://www.mdpi.com/article/10.3390/molecules28073054/s1, Chemistry. Materials and methods; 1H-NMR spectra of all compounds; 13C-NMR spectra of some representative compounds (6, 8, 10c, 11c, 11e, 12c, 12d, 12e, 12f, 22a, 22b, 23); Elemental analysis (Table S1); General chemical structure with atoms numeration.

Author Contributions

Conceptualization, G.G. and M.P.G.; methodology, G.G.; software, G.G. and F.M.; validation, G.G. and F.M.; formal analysis, L.C.; investigation, L.C. and G.G.; resources, L.C.; data curation, L.C., G.G. and F.M.; writing—original draft preparation, G.G.; writing—review and editing, G.G., M.P.G., L.C. and C.V.; visualization, L.C.; supervision, G.G. and M.P.G.; project administration, M.P.G. All authors have read and agreed to the published version of the manuscript.

Funding

This research received no external funding.

Institutional Review Board Statement

Not applicable.

Informed Consent Statement

Not applicable.

Data Availability Statement

Not applicable.

Conflicts of Interest

The authors declare no conflict of interest.

References

  1. Tolba, M.S.; Ahmed, M.; Kamal El-Dean, A.M.; Hassanien, R.; Farouk, M. Synthesis of New Fused Thienopyrimidines Derivatives as Anti-inflammatory Agents. J. Heterocycl. Chem. 2018, 55, 408–418. [Google Scholar] [CrossRef]
  2. Kotaiah, Y.; Harikrishna, N.; Nagaraju, K.; Venkata Rao, C. Synthesis and antioxidant activity of 1,3,4-oxadiazole tagged thieno [2,3-d]pyrimidine derivatives. Eur. J. Med. Chem. 2012, 58, 340–345. [Google Scholar] [CrossRef] [PubMed]
  3. Vikram, V.; Amperayani, K.R.; Umadevi, P. 3-(Methoxycarbonyl)thiophene Thiourea Derivatives as Potential Potent Bacterial Acetyl-CoA Carboxylase Inhibitors. Russ. J. Org. Chem. 2021, 57, 1336–1345. [Google Scholar] [CrossRef]
  4. Archna; Pathania, S.; Chawla, P.A. Thiophene-based derivatives as anticancer agents: An overview on decade’s work. Bioorg. Chem. 2020, 101, 104026. [Google Scholar] [CrossRef] [PubMed]
  5. Guerrini, G.; Ciciani, G.; Crocetti, L.; Daniele, S.; Ghelardini, C.; Giovannoni, M.P.; Mannelli, L.D.C.; Martini, C.; Vergelli, C. Synthesis and Pharmacological Evaluation of Novel GABAA Subtype Receptor Ligands with Potential Anxiolytic-like and Anti-hyperalgesic Effect. J. Heterocycl. Chem. 2017, 54, 2788–2799. [Google Scholar] [CrossRef]
  6. Guerrini, G.; Ciciani, G.; Crocetti, L.; Daniele, S.; Ghelardini, C.; Giovannoni, M.P.; Iacovone, A.; Di Cesare Mannelli, L.; Martini, C.; Vergelli, C. Identification of a New Pyrazolo[1,5-a ]quinazoline Ligand Highly Affine to γ-Aminobutyric Type A (GABAA) Receptor Subtype with Anxiolytic-Like and Antihyperalgesic Activity. J. Med. Chem. 2017, 60, 9691–9702. [Google Scholar] [CrossRef]
  7. Guerrini, G.; Ciciani, G.; Daniele, S.; Di Cesare Mannelli, L.; Ghelardini, C.; Martini, C.; Selleri, S. Synthesis and pharmacological evaluation of pyrazolo[1,5-a]pyrimidin-7(4H)-one derivatives as potential GABAA-R ligands. Bioorg. Med. Chem. 2017, 25, 1901–1906. [Google Scholar] [CrossRef]
  8. Crocetti, L.; Guerrini, G.; Melani, F.; Vergelli, C.; Mascia, M.P.; Giovannoni, M.P. GABAA Receptor Modulators with a Pyrazolo[1,5-a]quinazoline Core: Synthesis, Molecular Modelling Studies and Electrophysiological Assays. Int. J. Mol. Sci. 2022, 23, 13032. [Google Scholar] [CrossRef]
  9. Balakleevsky, A.; Colombo, G.; Fadda, F.; Gessa, G.L. Ro 19-4603, a benzodiazepine receptor inverse agonist, attenuates voluntary ethanol consumption in rats selectively bred for high ethanol preference. Alcohol Alcohol. 1990, 25, 449–452. [Google Scholar]
  10. Chambers, M.S.; Atack, J.R.; Broughton, H.B.; Collinson, N.; Cook, S.; Dawson, G.R.; Hobbs, S.C.; Marshall, G.; Maubach, K.A.; Pillai, G.V.; et al. Identification of a Novel, Selective GABAA α5 Receptor Inverse Agonist Which Enhances Cognition. J. Med. Chem. 2003, 46, 2227–2240. [Google Scholar] [CrossRef]
  11. Selleri, S.; Bruni, F.; Costagli, C.; Costanzo, A.; Guerrini, G.; Ciciani, G.; Costa, B.; Martini, C. Synthesis and BZR affinity of pyrazolo[1,5-a]pyrimidine derivatives. Part 1: Study of the structural features for BZR recognition. Bioorg. Med. Chem. 1999, 7, 2705–2711. [Google Scholar] [CrossRef] [PubMed]
  12. Guerrini, G.; Vergelli, C.; Cantini, N.; Giovannoni, M.P.; Daniele, S.; Mascia, M.P.; Martini, C.; Crocetti, L. Synthesis of new GABAA receptor modulator with pyrazolo[1,5-a]quinazoline (PQ) scaffold. Int. J. Mol. Sci. 2019, 20, 1438. [Google Scholar] [CrossRef] [PubMed]
  13. Crocetti, L.; Guerrini, G.; Cantini, N.; Vergelli, C.; Melani, F.; Mascia, M.P.; Giovannoni, M.P. ‘Proximity frequencies’ a new parameter to evaluate the profile of GABAAR modulators. Bioorg. Med. Chem. Lett. 2021, 34, 127755. [Google Scholar] [CrossRef] [PubMed]
  14. Huddleston, P.R.; Barker, J.M.; Adamczewska, Y. Preparation and reactions of some 3-hydrazino-2-methoxycarbonylthiophene. J. Chem. Res. 1980, 11, 238–239. [Google Scholar]
  15. Guerrini, G.; Ciciani, G.; Cambi, G.; Bruni, F.; Selleri, S.; Melani, F.; Montali, M.; Martini, C.; Ghelardini, C.; Norcini, M.; et al. Novel 3-aroylpyrazolo[5,1-c][1,2,4]benzotriazine 5-oxides 8-substituted, ligands at GABAA/benzodiazepine receptor complex: Synthesis, pharmacological and molecular modeling studies. Bioorg. Med. Chem. 2008, 16, 4471–4489. [Google Scholar] [CrossRef]
  16. Bruni, F.; Selleri, S.; Costanzo, A.; Guerrini, G.; Casilli, M.L.; Giusti, L. Reactivity of 7-(2-dimethylaminovinyl)pyrazolo[1,5-a]pyrimidines: Synthesis of pyrazolo[1,5-a]pyrido[3,4-e]pyrimidine derivatives as potential benzodiazepine receptor ligands. J. Heterocycl. Chem. 1995, 32, 291–298. [Google Scholar] [CrossRef]
  17. Anwer, M.K.; Sherman, D.B.; Roney, J.G.; Spatola, A.F. Applications of Ammonium Formate Catalytic Transfer Hydrogenation. 6. Analysis of Catalyst, Donor Quantity, and Solvent Effects upon the Efficacy of Dechlorination. J. Org. Chem. 1989, 54, 1284–1289. [Google Scholar] [CrossRef]
  18. Costanzo, A.; Guerrini, G.; Bruni, F.; Selleri, S. Reactivity of 1-(2-nitrophenyl)-5-aminopyrazoles under basic conditions and synthesis of new 3-, 7-, and 8-substituted pyrazolo[5,1-c][1,2,4]benzotriazine 5-oxides, as benzodiazepine receptor ligands. J. Heterocycl. Chem. 1994, 31, 1369–1376. [Google Scholar] [CrossRef]
  19. DS ViewerPro 6.0, Version 6.0; Accelrys Software Inc.: San Diego, CA, USA, 2023.
  20. Morris, G.M.; Ruth, H.; Lindstrom, W.; Sanner, M.F.; Belew, R.K.; Goodsell, D.S.; Olson, A.J. Software news and updates AutoDock4 and AutoDockTools4: Automated docking with selective receptor flexibility. J. Comput. Chem. 2009, 30, 2785–2791. [Google Scholar] [CrossRef]
  21. Zhu, S.; Noviello, C.M.; Teng, J.; Walsh, R.M.; Kim, J.J.; Hibbs, R.E. Structure of a human synaptic GABAA receptor. Nature 2018, 559, 67–88. [Google Scholar] [CrossRef]
  22. Pronk, S.; Páll, S.; Schulz, R.; Larsson, P.; Bjelkmar, P.; Apostolov, R.; Shirts, M.R.; Smith, J.C.; Kasson, P.M.; Van Der Spoel, D.; et al. GROMACS 4.5: A high-throughput and highly parallel open source molecular simulation toolkit. Bioinformatics 2013, 29, 845–854. [Google Scholar] [CrossRef] [PubMed]
  23. Pettersen, E.F.; Goddard, T.D.; Huang, C.C.; Couch, G.S.; Greenblatt, D.M.; Meng, E.C.; Ferrin, T.E. UCSF Chimera—A visualization system for exploratory research and analysis. J. Comput. Chem. 2004, 25, 1605–1612. [Google Scholar] [CrossRef] [PubMed]
  24. Sousa Da Silva, A.W.; Vranken, W.F. ACPYPE—AnteChamber PYthon Parser interfacE. BMC Res. Notes 2012, 5, 367. [Google Scholar] [CrossRef] [PubMed]
  25. Wang, J.; Wang, W.; Kollman, P.A.; Case, D.A. Automatic atom type and bond type perception in molecular mechanical calculations. J. Mol. Graph. Model. 2006, 25, 247–260. [Google Scholar] [CrossRef]
  26. Jorgensen, W.L.; Maxwell, D.S.; Tirado-Rives, J. Development and Testing of the OPLS All-Atom Force Field on Conformational Energetics and Properties of Organic Liquids. JACS 1996, 118, 11236–11255. [Google Scholar] [CrossRef]
  27. Bussi, G.; Donadio, D.; Parrinello, M. Canonical sampling through velocity rescaling. J. Chem. Physics. 2007, 126, 014101. [Google Scholar] [CrossRef]
  28. Hess, B.; Bekker, H.; Berendsen, H.J.C.; Fraaije, J.G.E.M. LINCS: A Linear Constraint Solver for molecular simulations. J. Comput. Chem. 1997, 18, 1463–1472. [Google Scholar] [CrossRef]
Figure 1. Thiophene-heterocycles-fused compounds known in literature.
Figure 1. Thiophene-heterocycles-fused compounds known in literature.
Molecules 28 03054 g001
Figure 2. GABAAR ligands with a thiophene ring reported in the literature (numbering is that of the original manuscript).
Figure 2. GABAAR ligands with a thiophene ring reported in the literature (numbering is that of the original manuscript).
Molecules 28 03054 g002
Figure 3. Aim of the work.
Figure 3. Aim of the work.
Molecules 28 03054 g003
Scheme 1. Reagent and conditions: (a) NaNO2/H2O, HCl, SnCl2, 0 °C; (b) ethoxymethylenmalononitrile for 3 and ethyl 2-cyanoethoxyacrylate for 5, DMF/AcONa, refluxing temperature; (c) H2SO4, 80 °C; (d) 3-(dimethylamino)-2-(thien-2-ylcarbonyl)acrylonitrile, DMF/AcONa, refluxing temperature; (e) 3-oxo-2-(thien-3-yl)propionitrile for 7 and 3-oxo-2-(thien-2-yl)propionitrile for 8, AcOH, refluxing temperature.
Scheme 1. Reagent and conditions: (a) NaNO2/H2O, HCl, SnCl2, 0 °C; (b) ethoxymethylenmalononitrile for 3 and ethyl 2-cyanoethoxyacrylate for 5, DMF/AcONa, refluxing temperature; (c) H2SO4, 80 °C; (d) 3-(dimethylamino)-2-(thien-2-ylcarbonyl)acrylonitrile, DMF/AcONa, refluxing temperature; (e) 3-oxo-2-(thien-3-yl)propionitrile for 7 and 3-oxo-2-(thien-2-yl)propionitrile for 8, AcOH, refluxing temperature.
Molecules 28 03054 sch001
Figure 4. A possible explanation for O-alkylation.
Figure 4. A possible explanation for O-alkylation.
Molecules 28 03054 g004
Scheme 3. Reagent and conditions: (a) for 4 NaOH 10% solution or HCl conc.; for 12c NaOH 10% solution or LiOH or HCl conc.; (b) HCl conc. reflux temperature.
Scheme 3. Reagent and conditions: (a) for 4 NaOH 10% solution or HCl conc.; for 12c NaOH 10% solution or LiOH or HCl conc.; (b) HCl conc. reflux temperature.
Molecules 28 03054 sch003
Scheme 4. Reagent and conditions: (a) H2SO4 conc., NaNO2/H2O, RT for 12 h.
Scheme 4. Reagent and conditions: (a) H2SO4 conc., NaNO2/H2O, RT for 12 h.
Molecules 28 03054 sch004
Figure 5. A possible mechanism of decarboxylation.
Figure 5. A possible mechanism of decarboxylation.
Molecules 28 03054 g005
Figure 6. Hydrogen bond interaction of compound 12c in the last frame of dynamic simulation.
Figure 6. Hydrogen bond interaction of compound 12c in the last frame of dynamic simulation.
Molecules 28 03054 g006
Figure 7. Hydrogen bond interaction of compound 22b in the last frame of dynamic simulation.
Figure 7. Hydrogen bond interaction of compound 22b in the last frame of dynamic simulation.
Molecules 28 03054 g007
Figure 8. Hydrogen bond interaction of compound 22a in the last frame of dynamic simulation.
Figure 8. Hydrogen bond interaction of compound 22a in the last frame of dynamic simulation.
Molecules 28 03054 g008
Table 1. Profile prediction obtained by PF model (LDA results).
Table 1. Profile prediction obtained by PF model (LDA results).
Prediction% Ago% Anta
12dago6634
12eago6436
12fago6436
12cAGO7822
22aAGO6931
22bAGO7426
Disclaimer/Publisher’s Note: The statements, opinions and data contained in all publications are solely those of the individual author(s) and contributor(s) and not of MDPI and/or the editor(s). MDPI and/or the editor(s) disclaim responsibility for any injury to people or property resulting from any ideas, methods, instructions or products referred to in the content.

Share and Cite

MDPI and ACS Style

Crocetti, L.; Guerrini, G.; Melani, F.; Vergelli, C.; Giovannoni, M.P. 4,5-Dihydro-5-Oxo-Pyrazolo[1,5-a]Thieno[2,3-c]Pyrimidine: A Novel Scaffold Containing Thiophene Ring. Chemical Reactivity and In Silico Studies to Predict the Profile to GABAA Receptor Subtype. Molecules 2023, 28, 3054. https://doi.org/10.3390/molecules28073054

AMA Style

Crocetti L, Guerrini G, Melani F, Vergelli C, Giovannoni MP. 4,5-Dihydro-5-Oxo-Pyrazolo[1,5-a]Thieno[2,3-c]Pyrimidine: A Novel Scaffold Containing Thiophene Ring. Chemical Reactivity and In Silico Studies to Predict the Profile to GABAA Receptor Subtype. Molecules. 2023; 28(7):3054. https://doi.org/10.3390/molecules28073054

Chicago/Turabian Style

Crocetti, Letizia, Gabriella Guerrini, Fabrizio Melani, Claudia Vergelli, and Maria Paola Giovannoni. 2023. "4,5-Dihydro-5-Oxo-Pyrazolo[1,5-a]Thieno[2,3-c]Pyrimidine: A Novel Scaffold Containing Thiophene Ring. Chemical Reactivity and In Silico Studies to Predict the Profile to GABAA Receptor Subtype" Molecules 28, no. 7: 3054. https://doi.org/10.3390/molecules28073054

APA Style

Crocetti, L., Guerrini, G., Melani, F., Vergelli, C., & Giovannoni, M. P. (2023). 4,5-Dihydro-5-Oxo-Pyrazolo[1,5-a]Thieno[2,3-c]Pyrimidine: A Novel Scaffold Containing Thiophene Ring. Chemical Reactivity and In Silico Studies to Predict the Profile to GABAA Receptor Subtype. Molecules, 28(7), 3054. https://doi.org/10.3390/molecules28073054

Article Metrics

Back to TopTop