Quantitative Structure–Electrochemistry Relationship (QSER) Studies on Metal–Amino–Porphyrins for the Rational Design of CO2 Reduction Catalysts
Abstract
1. Introduction
2. Results and Discussion
2.1. Correlation between DFT Structural and Electronic Properties and Gibbs Free Energies
2.2. GA–MLR QSER-Model Relationship
2.3. Newly Designed Compounds and Predicted Activities
3. Data and Methodology
3.1. Data for the Training Set
3.2. Optimization Details and Properties
3.3. QSER Technique Used in This Work
3.4. Statistical Terms for QSER Analysis
4. Conclusions
Supplementary Materials
Author Contributions
Funding
Institutional Review Board Statement
Informed Consent Statement
Data Availability Statement
Acknowledgments
Conflicts of Interest
Sample Availability
References
- Wang, X.; Sang, X.; Dong, C.-L.; Yao, S.; Shuai, L.; Lu, J.; Yang, B.; Li, Z.; Lei, L.; Qiu, M.; et al. Proton Capture Strategy for Enhancing Electrochemical CO2 Reduction on Atomically Dispersed Metal–Nitrogen Active Sites**. Angew. Chem. Int. Ed. 2021, 60, 11959–11965. [Google Scholar] [CrossRef] [PubMed]
- Kamran, U.; Park, S.-J. Chemically Modified Carbonaceous Adsorbents for Enhanced CO2 Capture: A Review. J. Clean. Prod. 2021, 290, 125776. [Google Scholar] [CrossRef]
- Alalwan, H.A.; Alminshid, A.H. CO2 Capturing Methods: Chemical Looping Combustion (CLC) as a Promising Technique. Sci. Total Environ. 2021, 788, 147850. [Google Scholar] [CrossRef]
- Wang, J.; Lin, S.; Tian, N.; Ma, T.; Zhang, Y.; Huang, H. Nanostructured Metal Sulfides: Classification, Modification Strategy, and Solar-Driven CO2 Reduction Application. Adv. Funct. Mater. 2021, 31, 2008008. [Google Scholar] [CrossRef]
- Zou, Y.; Wang, S. An Investigation of Active Sites for Electrochemical CO2 Reduction Reactions: From In Situ Characterization to Rational Design. Adv. Sci. 2021, 8, 2003579. [Google Scholar] [CrossRef] [PubMed]
- Wu, Y.; Liang, Y.; Wang, H. Heterogeneous Molecular Catalysts of Metal Phthalocyanines for Electrochemical CO2 Reduction Reactions. Acc. Chem. Res. 2021, 54, 3149–3159. [Google Scholar] [CrossRef]
- Nam, D.-H.; Shekhah, O.; Lee, G.; Mallick, A.; Jiang, H.; Li, F.; Chen, B.; Wicks, J.; Eddaoudi, M.; Sargent, E.H. Intermediate Binding Control Using Metal–Organic Frameworks Enhances Electrochemical CO2 Reduction. J. Am. Chem. Soc. 2020, 142, 21513–21521. [Google Scholar] [CrossRef]
- Zhao, Y.; Zheng, L.; Jiang, D.; Xia, W.; Xu, X.; Yamauchi, Y.; Ge, J.; Tang, J. Nanoengineering Metal–Organic Framework-Based Materials for Use in Electrochemical CO2 Reduction Reactions. Small 2021, 17, 2006590. [Google Scholar] [CrossRef]
- Saha, P.; Amanullah, S.; Dey, A. Selectivity in Electrochemical CO2 Reduction. Acc. Chem. Res. 2022, 55, 134–144. [Google Scholar] [CrossRef]
- Takeda, H.; Cometto, C.; Ishitani, O.; Robert, M. Electrons, Photons, Protons and Earth-Abundant Metal Complexes for Molecular Catalysis of CO2 Reduction. ACS Catal. 2017, 7, 70–88. [Google Scholar] [CrossRef]
- Di Carlo, G.; Orbelli Biroli, A.; Pizzotti, M.; Tessore, F. Efficient Sunlight Harvesting by A4 β-Pyrrolic Substituted ZnII Porphyrins: A Mini-Review. Front. Chem. 2019, 7, 177. [Google Scholar] [CrossRef] [PubMed]
- Bonin, J.; Maurin, A.; Robert, M. Molecular Catalysis of the Electrochemical and Photochemical Reduction of CO2 with Fe and Co Metal Based Complexes. Recent Advances. Coord. Chem. Rev. 2017, 334, 184–198. [Google Scholar] [CrossRef]
- Varela, A.S.; Ju, W.; Bagger, A.; Franco, P.; Rossmeisl, J.; Strasser, P. Electrochemical Reduction of CO2 on Metal-Nitrogen-Doped Carbon Catalysts. ACS Catal. 2019, 9, 7270–7284. [Google Scholar] [CrossRef]
- Wang, Z.; Zhou, W.; Wang, X.; Zhang, X.; Chen, H.; Hu, H.; Liu, L.; Ye, J.; Wang, D. Enhanced Photocatalytic CO2 Reduction over TiO2 Using Metalloporphyrin as the Cocatalyst. Catalysts 2020, 10, 654. [Google Scholar] [CrossRef]
- Gotico, P.; Halime, Z.; Aukauloo, A. Recent Advances in Metalloporphyrin-Based Catalyst Design towards Carbon Dioxide Reduction: From Bio-Inspired Second Coordination Sphere Modifications to Hierarchical Architectures. Dalton Trans. 2020, 49, 2381–2396. [Google Scholar] [CrossRef] [PubMed]
- Yan, T.; Guo, J.-H.; Liu, Z.-Q.; Sun, W.-Y. Metalloporphyrin Encapsulation for Enhanced Conversion of CO2 to C2H4. ACS Appl. Mater. Interfaces 2021, 13, 25937–25945. [Google Scholar] [CrossRef]
- Zhu, M.; Cao, C.; Chen, J.; Sun, Y.; Ye, R.; Xu, J.; Han, Y.-F. Electronic Tuning of Cobalt Porphyrins Immobilized on Nitrogen-Doped Graphene for CO2 Reduction. ACS Appl. Energy Mater. 2019, 2, 2435–2440. [Google Scholar] [CrossRef]
- Sonea, A.; Branch, K.L.; Warren, J.J. The Pattern of Hydroxyphenyl-Substitution Influences CO2 Reduction More Strongly than the Number of Hydroxyphenyl Groups in Iron-Porphyrin Electrocatalysts. ACS Catal. 2023, 13, 3902–3912. [Google Scholar] [CrossRef]
- Cheng, M.-J.; Kwon, Y.; Head-Gordon, M.; Bell, A.T. Tailoring Metal-Porphyrin-Like Active Sites on Graphene to Improve the Efficiency and Selectivity of Electrochemical CO2 Reduction. J. Phys. Chem. C 2015, 119, 21345–21352. [Google Scholar] [CrossRef]
- Liu, D.-C.; Zhong, D.-C.; Lu, T.-B. Non-Noble Metal-Based Molecular Complexes for CO2 Reduction: From the Ligand Design Perspective. EnergyChem 2020, 2, 100034. [Google Scholar] [CrossRef]
- Amanullah, S.; Saha, P.; Dey, A. Activating the Fe(I) State of Iron Porphyrinoid with Second-Sphere Proton Transfer Residues for Selective Reduction of CO2 to HCOOH via Fe(III/II)–COOH Intermediate(s). J. Am. Chem. Soc. 2021, 143, 13579–13592. [Google Scholar] [CrossRef] [PubMed]
- Liu, J.-H.; Yang, L.-M.; Ganz, E. Electrocatalytic Reduction of CO2 by Two-Dimensional Transition Metal Porphyrin Sheets. J. Mater. Chem. A 2019, 7, 11944–11952. [Google Scholar] [CrossRef]
- Davethu, P.A.; de Visser, S.P. CO2 Reduction on an Iron-Porphyrin Center: A Computational Study. J. Phys. Chem. A 2019, 123, 6527–6535. [Google Scholar] [CrossRef]
- Abdinejad, M.; Seifitokaldani, A.; Dao, C.; Sargent, E.H.; Zhang, X.; Kraatz, H.B. Enhanced Electrochemical Reduction of CO2 Catalyzed by Cobalt and Iron Amino Porphyrin Complexes. ACS Appl. Energy Mater. 2019, 2, 1330–1335. [Google Scholar] [CrossRef]
- Wu, Y.; Jiang, J.; Weng, Z.; Wang, M.; Broere, D.L.J.; Zhong, Y.; Brudvig, G.W.; Feng, Z.; Wang, H. Electroreduction of CO2 Catalyzed by a Heterogenized Zn–Porphyrin Complex with a Redox-Innocent Metal Center. ACS Cent. Sci. 2017, 3, 847–852. [Google Scholar] [CrossRef] [PubMed]
- Zhi, X.; Vasileff, A.; Zheng, Y.; Jiao, Y.; Qiao, S.-Z. Role of Oxygen-Bound Reaction Intermediates in Selective Electrochemical CO2 Reduction. Energy Environ. Sci. 2021, 14, 3912–3930. [Google Scholar] [CrossRef]
- Zhu, G.; Li, Y.; Zhu, H.; Su, H.; Chan, S.H.; Sun, Q. Curvature-Dependent Selectivity of CO2 Electrocatalytic Reduction on Cobalt Porphyrin Nanotubes. ACS Catal. 2016, 6, 6294–6301. [Google Scholar] [CrossRef]
- Wang, L.; Chen, W.; Zhang, D.; Du, Y.; Amal, R.; Qiao, S.; Wu, J.; Yin, Z. Surface Strategies for Catalytic CO2 Reduction: From Two-Dimensional Materials to Nanoclusters to Single Atoms. Chem. Soc. Rev. 2019, 48, 5310–5349. [Google Scholar] [CrossRef]
- Zhan, T.; Zou, Y.; Yang, Y.; Ma, X.; Zhang, Z.; Xiang, S. Two-Dimensional Metal-Organic Frameworks for Electrochemical CO2 Reduction Reaction. ChemCatChem 2022, 14, e202101453. [Google Scholar] [CrossRef]
- Shen, J.; Kolb, M.J.; Göttle, A.J.; Koper, M.T.M. DFT Study on the Mechanism of the Electrochemical Reduction of CO2 Catalyzed by Cobalt Porphyrins. J. Phys. Chem. C 2016, 120, 15714–15721. [Google Scholar] [CrossRef]
- Chen, A.; Zhang, X.; Chen, L.; Yao, S.; Zhou, Z. A Machine Learning Model on Simple Features for CO2 Reduction Electrocatalysts. J. Phys. Chem. C 2020, 124, 22471–22478. [Google Scholar] [CrossRef]
- Huang, Y.; Chen, Y.; Cheng, T.; Wang, L.-W.; Goddard, W.A. Identification of the Selective Sites for Electrochemical Reduction of CO to C2+ Products on Copper Nanoparticles by Combining Reactive Force Fields, Density Functional Theory, and Machine Learning. ACS Energy Lett. 2018, 3, 2983–2988. [Google Scholar] [CrossRef]
- Sun, Z.; Yin, H.; Liu, K.; Cheng, S.; Li, G.K.; Kawi, S.; Zhao, H.; Jia, G.; Yin, Z. Machine Learning Accelerated Calculation and Design of Electrocatalysts for CO2 Reduction. SmartMat 2022, 3, 68–83. [Google Scholar] [CrossRef]
- Wan, X.; Zhang, Z.; Niu, H.; Yin, Y.; Kuai, C.; Wang, J.; Shao, C.; Guo, Y. Machine-Learning-Accelerated Catalytic Activity Predictions of Transition Metal Phthalocyanine Dual-Metal-Site Catalysts for CO2 Reduction. J. Phys. Chem. Lett. 2021, 12, 6111–6118. [Google Scholar] [CrossRef]
- Ma, X.; Li, Z.; Achenie, L.E.K.; Xin, H. Machine-Learning-Augmented Chemisorption Model for CO2 Electroreduction Catalyst Screening. J. Phys. Chem. Lett. 2015, 6, 3528–3533. [Google Scholar] [CrossRef]
- Gu, G.H.; Choi, C.; Lee, Y.; Situmorang, A.B.; Noh, J.; Kim, Y.-H.; Jung, Y. Progress in Computational and Machine-Learning Methods for Heterogeneous Small-Molecule Activation. Adv. Mater. 2020, 32, 1907865. [Google Scholar] [CrossRef]
- Bouarra, N.; Nadji, N.; Kherouf, S.; Nouri, L.; Boudjemaa, A.; Bachari, K.; Messadi, D. QSER Modeling of Half-Wave Oxidation Potential of Indolizines by Theoretical Descriptors. J. Turk. Chem. Soc. Sect. Chem. 2022, 9, 709–720. [Google Scholar]
- Yousefinejad, S.; Honarasa, F. Solvent Property-Ion Conductivity Relationship for Lithium, Sodium and Potassium Ions in Non-Aqueous Solvents Using QSER. J. Mol. Liq. 2019, 277, 705–713. [Google Scholar] [CrossRef]
- Costentin, C.; Drouet, S.; Robert, M.; Savéant, J.-M. A Local Proton Source Enhances CO2 Electroreduction to CO by a Molecular Fe Catalyst. Science 2012, 338, 90–94. [Google Scholar] [CrossRef]
- Nichols, E.M.; Derrick, J.S.; Nistanaki, S.K.; Smith, P.T.; Chang, C.J. Positional Effects of Second-Sphere Amide Pendants on Electrochemical CO2 Reduction Catalyzed by Iron Porphyrins. Chem. Sci. 2018, 9, 2952–2960. [Google Scholar] [CrossRef]
- Chen, L.; Guo, Z.; Wei, X.-G.; Gallenkamp, C.; Bonin, J.; Anxolabéhère-Mallart, E.; Lau, K.-C.; Lau, T.-C.; Robert, M. Molecular Catalysis of the Electrochemical and Photochemical Reduction of CO2 with Earth-Abundant Metal Complexes. Selective Production of CO vs HCOOH by Switching of the Metal Center. J. Am. Chem. Soc. 2015, 137, 10918–10921. [Google Scholar] [CrossRef] [PubMed]
- Moreno-García, P.; Schlegel, N.; Zanetti, A.; Cedeño López, A.; de Gálvez-Vázquez, M.J.; Dutta, A.; Rahaman, M.; Broekmann, P. Selective Electrochemical Reduction of CO2 to CO on Zn-Based Foams Produced by Cu2+ and Template-Assisted Electrodeposition. ACS Appl. Mater. Interfaces 2018, 10, 31355–31365. [Google Scholar] [CrossRef] [PubMed]
- Frisch, M.; Trucks, G.W.; Schlegel, H.B.; Scuseria, M.A.; Robb, J.R.; Cheeseman, G. Gaussian 09; Revision D; Gaussian Inc.: Wallingford, CT, USA, 2009. [Google Scholar]
- Saxena, A.K.; Prathipati, P. Comparison of MLR, PLS and GA-MLR in QSAR Analysis*. SAR QSAR Environ. Res. 2003, 14, 433–445. [Google Scholar] [CrossRef] [PubMed]
- Karelson, M.; Lobanov, V.S.; Katritzky, A.R. Quantum-Chemical Descriptors in QSAR/QSPR Studies. Chem. Rev. 1996, 96, 1027–1044. [Google Scholar] [CrossRef]
- Materials Studio Modeling; Release 7.0; Accelrys Software Inc.: San Diego, CA, USA, 2013.
- Benigni, R.; Bossa, C. Predictivity of QSAR. J. Chem. Inf. Model. 2008, 48, 971–980. [Google Scholar] [CrossRef]







| TM–PPs Properties | Sc | Ti | V | Cr | Mn | Fe | Co | Ni | Cu | Zn |
|---|---|---|---|---|---|---|---|---|---|---|
| X1 | 1.844 | 1.749 | 1.489 | 1.461 | 1.464 | 1.328 | 1.139 | 0.977 | 1.153 | 1.338 |
| X2 | −0.730 | −0.695 | −0.662 | −0.646 | −0.634 | −0.629 | −0.601 | −0.577 | −0.626 | −0.674 |
| X3 | 0.192 | 0.156 | 0.165 | 0.152 | 0.127 | 0.160 | 0.165 | 0.169 | 0.174 | 0.177 |
| X4 | −0.303 | −0.264 | −0.249 | −0.306 | −0.181 | −0.240 | −0.238 | −0.236 | −0.236 | −0.236 |
| X5 | 1.746 | 0.000 | 0.002 | 0.01 | 0.002 | 0.002 | 0.026 | 0.000 | 0.040 | 0.014 |
| X6 | 340.887 | 330.585 | 342.308 | 319.64 | 335.457 | 318.41 | 318.07 | 318.225 | 322.589 | 325.050 |
| X7 | 2.107 | 2.038 | 2.024 | 2.008 | 2.002 | 1.983 | 1.966 | 1.949 | 1.998 | 2.034 |
| X8 | 4.151 | 4.072 | 4.049 | 4.017 | 3.984 | 3.967 | 3.932 | 3.897 | 3.997 | 4.069 |
| Equation No. | Equation | F-Value | R2 | R2(CV) | RSS | RMSE |
|---|---|---|---|---|---|---|
| Equation (1A) | Y1= − 5.994 × X1 − 14.18 × X3+ 35.934 × X7 − 60.834 | 9.089 | 0.820 | 0.603 | 0.754 | 0.275 |
| Equation (1B) | Y1 = 383.311 × ramp (X3 − 0.183) + 29.037 × ramp (X7 − 1.953) + 33.1439 × ramp (2.069 − X7) − 3.440 | 34.273 | 0.945 | 0.832 | 0.231 | 0.152 |
| Equation (2A) | Y2= − 5.850 × X1 − 17.701 × X3 + 33.585 × X7 − 56.143 | 12.238 | 0.860 | 0.683 | 0.471 | 0.217 |
| Equation (2B) | Y2 = 11.025 × ramp (X1 − 1.011) + 367.618 × ramp (X3 − 0.184) + 11.838 × ramp (1.768 − X1) − 8.726 | 44.384 | 0.957 | 0.924 | 0.144 | 0.120 |
| Equation (3A) | Y3= − 4.122 × X1 + 11.431 × X7 − 17.236 | 9.280 | 0.726 | 0.574 | 1.692 | 0.404 |
| Equation (3B) | Y3 = 2354.560 × ramp (X3 − 0.177) − 2043.245 × ramp (X3 − 0.176) + 25.754 × ramp (2.033 − X7) − 1.010 | 42.490 | 0.955 | 0.907 | 0.278 | 0.167 |
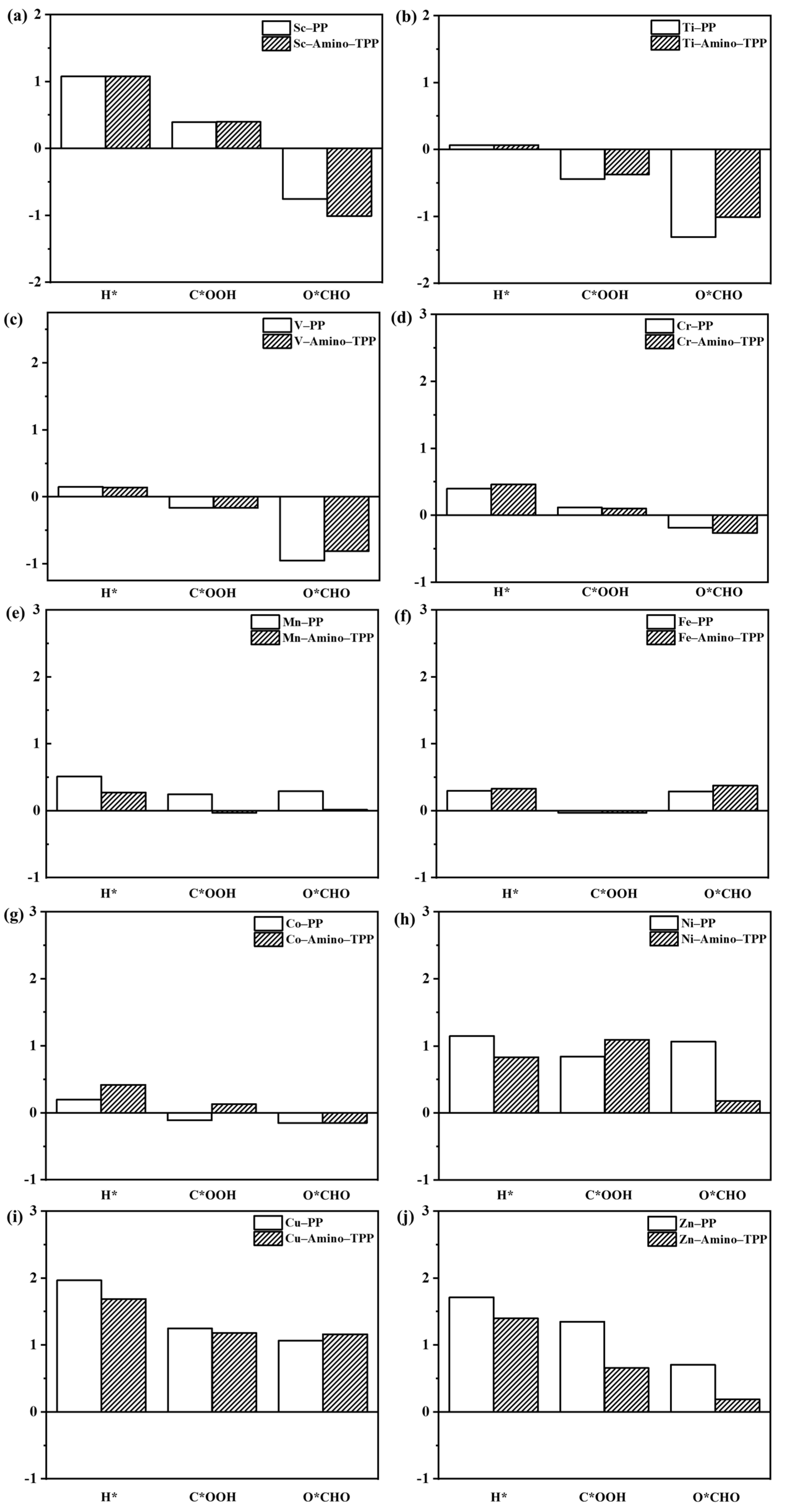
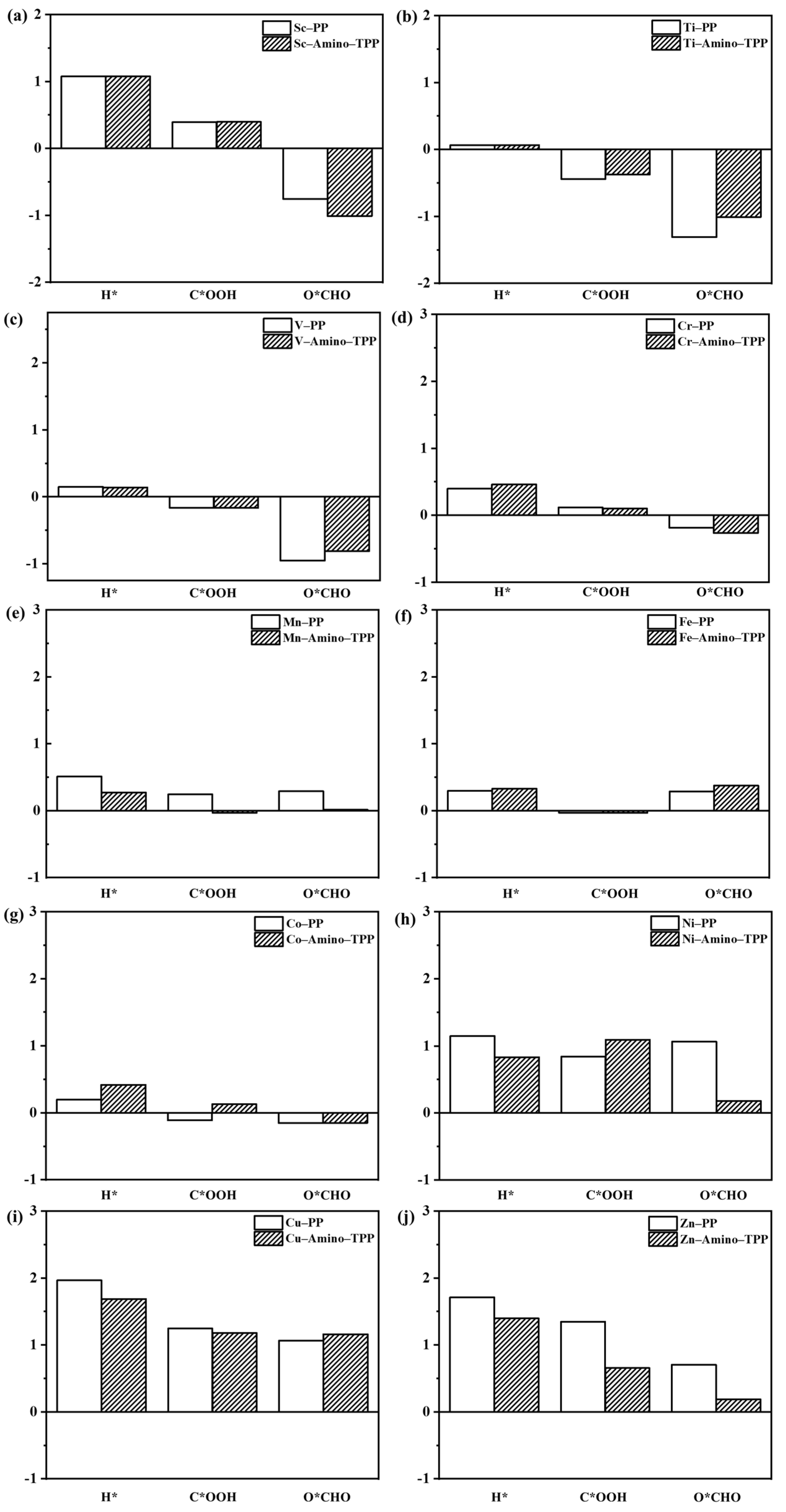
| TM–Amino–TPPs | G(H*)/eV | G(C*OOH)/eV | G(O*CHO)/eV |
|---|---|---|---|
| Sc | 1.075 | 0.395 | −1.01 |
| Ti | 0.066 | −0.373 | −1.01 |
| V | 0.14 | −0.166 | −0.812 |
| Cr | 0.459 | 0.1 | −0.264 |
| Mn | 0.271 | −0.031 | 0.012 |
| Fe | 0.328 | −0.032 | 0.373 |
| Co | 0.419 | 0.128 | −0.15 |
| Ni | 1.15 | 0.834 | 1.094 |
| Cu | 1.687 | 1.179 | 1.159 |
| Zn | 1.918 | 1.395 | 0.654 |
| TM–PPs | G(H*)/eV | G(C*OOH)/eV | G(O*CHO)/eV |
|---|---|---|---|
| Sc | 1.076 | 0.390 | −0.756 |
| Ti | 0.066 | −0.441 | −1.311 |
| V | 0.148 | −0.165 | −0.954 |
| Cr | 0.397 | 0.116 | −0.184 |
| Mn | 0.509 | 0.242 | 0.288 |
| Fe | 0.296 | −0.031 | 0.287 |
| Co | 0.199 | −0.113 | −0.153 |
| Ni | 1.148 | 0.840 | 1.065 |
| Cu | 1.964 | 1.245 | 1.062 |
| Zn | 1.709 | 1.346 | 0.702 |
Disclaimer/Publisher’s Note: The statements, opinions and data contained in all publications are solely those of the individual author(s) and contributor(s) and not of MDPI and/or the editor(s). MDPI and/or the editor(s) disclaim responsibility for any injury to people or property resulting from any ideas, methods, instructions or products referred to in the content. |
© 2023 by the authors. Licensee MDPI, Basel, Switzerland. This article is an open access article distributed under the terms and conditions of the Creative Commons Attribution (CC BY) license (https://creativecommons.org/licenses/by/4.0/).
Share and Cite
Chen, F.; Wiriyarattanakul, A.; Xie, W.; Shi, L.; Rungrotmongkol, T.; Jia, R.; Maitarad, P. Quantitative Structure–Electrochemistry Relationship (QSER) Studies on Metal–Amino–Porphyrins for the Rational Design of CO2 Reduction Catalysts. Molecules 2023, 28, 3105. https://doi.org/10.3390/molecules28073105
Chen F, Wiriyarattanakul A, Xie W, Shi L, Rungrotmongkol T, Jia R, Maitarad P. Quantitative Structure–Electrochemistry Relationship (QSER) Studies on Metal–Amino–Porphyrins for the Rational Design of CO2 Reduction Catalysts. Molecules. 2023; 28(7):3105. https://doi.org/10.3390/molecules28073105
Chicago/Turabian StyleChen, Furong, Amphawan Wiriyarattanakul, Wanting Xie, Liyi Shi, Thanyada Rungrotmongkol, Rongrong Jia, and Phornphimon Maitarad. 2023. "Quantitative Structure–Electrochemistry Relationship (QSER) Studies on Metal–Amino–Porphyrins for the Rational Design of CO2 Reduction Catalysts" Molecules 28, no. 7: 3105. https://doi.org/10.3390/molecules28073105
APA StyleChen, F., Wiriyarattanakul, A., Xie, W., Shi, L., Rungrotmongkol, T., Jia, R., & Maitarad, P. (2023). Quantitative Structure–Electrochemistry Relationship (QSER) Studies on Metal–Amino–Porphyrins for the Rational Design of CO2 Reduction Catalysts. Molecules, 28(7), 3105. https://doi.org/10.3390/molecules28073105

