Novel Matrine Derivatives as Potential Larvicidal Agents against Aedes albopictus: Synthesis, Biological Evaluation, and Mechanistic Analysis
Abstract
1. Introduction
2. Results and Discussion
2.1. Chemistry
2.2. Biological Evaluation
2.2.1. Insecticidal Activities
2.2.2. Dose–Response Curves on Ae. albopictus Larvae
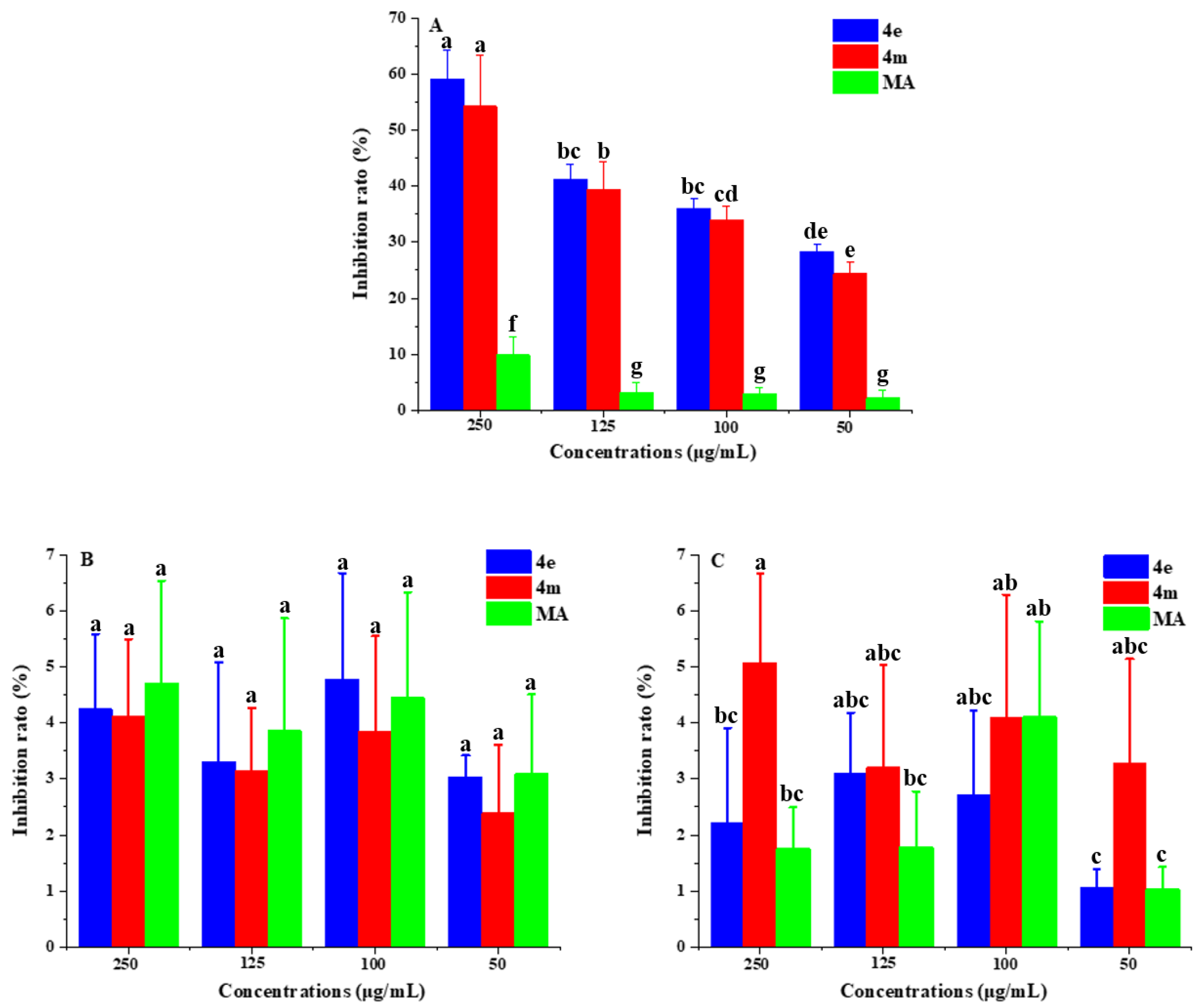
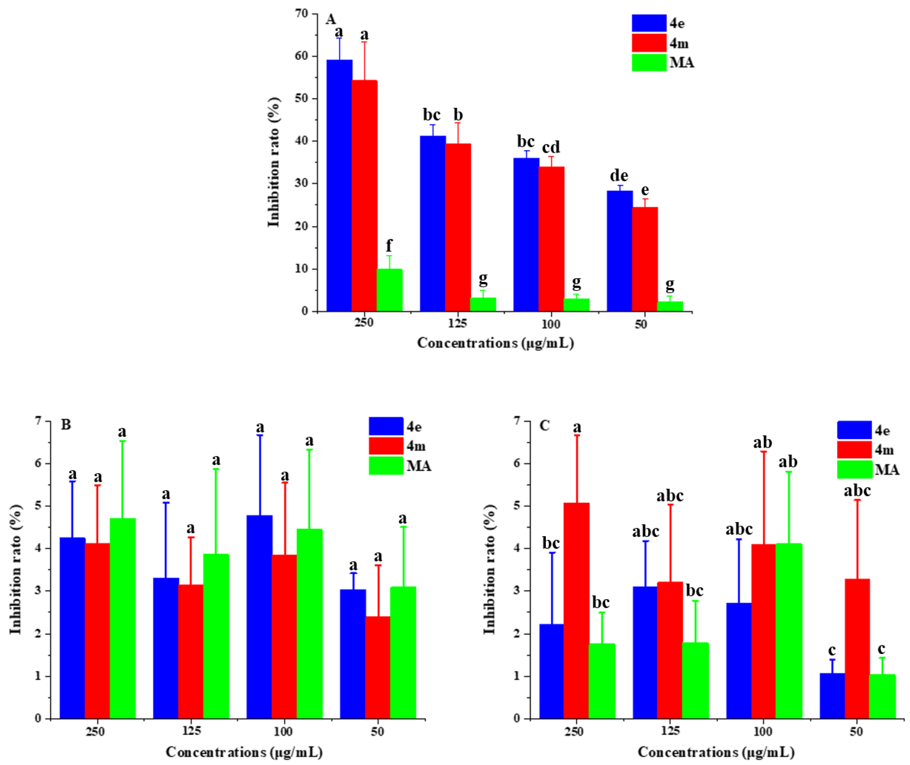
2.2.3. Effects of MA and Its Derivatives on the Partial Life Cycle of Ae. albopictus
Effects on the Emergence of Ae. albopictus Larvae
Effects on the Fecundity of Adult Female Ae. albopictus
2.3. Structure–Activity Relationships
2.4. Larvicidal Mechanism
3. Materials and Methods
3.1. Instruments and Materials
3.2. General Procedure for the Synthesis of MA Derivatives
3.2.1. General Procedure for the Synthesis of 2a and 2b
3.2.2. General Procedure for the Synthesis of 3a and 3b
3.2.3. General Procedure for the Synthesis of 4a–4p
3.2.4. General Procedure for the Synthesis of 2c and 2d
3.2.5. General Procedure for the Synthesis of 3c and 3d
3.2.6. General Procedure for the Synthesis of 5a–5p
3.2.7. General Procedure for the Synthesis of 6a–6p
3.3. Bioassay
3.3.1. Insecticidal Tests for Larvae of Ae. albopictus
3.3.2. Insecticidal Tests for Adult Ae. albopictus
3.3.3. Effects of Partial MA Derivatives on the Growth Cycle of Ae. albopictus
3.4. Mechanism for Killing Larvae by Test Enzymatic Activity
3.5. Statistical Analysis
4. Conclusions
Supplementary Materials
Author Contributions
Funding
Institutional Review Board Statement
Informed Consent Statement
Data Availability Statement
Conflicts of Interest
Sample Availability
References
- Li, Y.; Wang, G.; Liu, J.; Ouyang, L. Quinolizidine alkaloids derivatives from Sophora alopecuroides Linn: Bioactivities, structure-activity relationships and preliminary molecular mechanisms. Eur. J. Med. Chem. 2020, 188, 111972. [Google Scholar] [CrossRef] [PubMed]
- Li, J.J.; Zhang, X.; Shen, X.C.; Long, Q.D.; Xu, C.Y.; Tan, C.J.; Lin, Y. Phytochemistry and biological properties of isoprenoid flavonoids from Sophora flavescens Ait. Fitoterapia 2020, 143, 104556. [Google Scholar] [CrossRef] [PubMed]
- Gu, Y.; Lu, J.Y.; Sun, W.; Jin, R.M.; Ohira, T.; Zhang, Z.A.; Zhang, X.S. Oxymatrine and its metabolite matrine contribute to the hepatotoxicity induced by radix Sophorae tonkinensis in mice. Exp. Ther. Med. 2019, 17, 2519–2528. [Google Scholar] [CrossRef] [PubMed]
- Du, J.K.; Li, J.W.; Song, D.B.; Li, Q.; Li, L.; Li, B.H.; Li, L. Matrine exerts anti-breast cancer activity by mediating apoptosis and protective autophagy via the AKT/mTOR pathway in MCF-7 cells. Mol. Med. Rep. 2020, 22, 3659–3666. [Google Scholar] [CrossRef]
- Jiang, L.H.; Wu, L.C.; Yang, F.F.; Almosnid, N.; Liu, X.; Jiang, J.; Altman, E.; Wang, L.S.; Gao, Y. Synthesis, biological evaluation and mechanism studies of matrine derivatives as anticancer agents. Oncol. Lett. 2017, 14, 3057–3064. [Google Scholar] [CrossRef]
- Sun, P.P.; Sun, N.; Yin, W.; Sun, Y.G.; Fan, K.H.; Guo, J.H.; Khan, A.; He, Y.M.; Li, H.Q. Matrine inhibits IL-1β secretion in primary porcine alveolar macrophages through the MyD88/NF-κB pathway and NLRP3 inflammasome. Vet. Res. 2019, 50, 53. [Google Scholar] [CrossRef]
- Ma, H.Y.; Huang, Q.; Qu, W.S.; Li, L.Y.; Wang, M.; Li, S.; Chu, F.J. In vivo and in vitro anti-inflammatory effects of Sophora flavescens residues. J. Ethnopharmacol. 2018, 224, 497–503. [Google Scholar] [CrossRef]
- Jaktaji, R.P.; Mohammadi, P. Effect of total alkaloid extract of local Sophora alopecuroides on minimum inhibitory concentration and intracellular accumulation of ciprofloxacin, and acrA expression in highly resistant Escherichia coli clones. J. Glob. Antimicrob. Re. 2018, 12, 55–60. [Google Scholar] [CrossRef]
- Jaktaji, R.P.; Koochaki, S. In vitro activity of honey, total alkaloids of Sophora alopecuroides and matrine alone and in combination with antibiotics against multidrug-resistant Pseudomonas aeruginosa isolates. Lett. Appl. Microbiol. 2022, 75, 70–80. [Google Scholar] [CrossRef] [PubMed]
- Hao, X.P.; Yan, W.L.; Yang, J.Z.; Bai, Y.; Qian, H.C.; Lou, Y.T.; Ju, P.F.; Zhang, D.W. Matrine@chitosan-D-proline nanocapsules as antifouling agents with antibacterial properties and biofilm dispersibility in the marine environment. Front. Microbiol. 2022, 13, 950039. [Google Scholar] [CrossRef]
- Ni, W.J.; Wang, L.Z.; Song, H.J.; Liu, Y.X.; Wang, Q.M. Synthesis and evaluation of 11-butyl matrine derivatives as potential anti-virus agents. Molecules 2022, 27, 7563. [Google Scholar] [CrossRef]
- Zou, J.B.; Zhao, L.H.; Yi, P.; An, Q.; He, L.X.; Li, Y.N.; Lou, H.Y.; Yuan, C.M.; Gu, W.; Huang, L.J.; et al. Quinolizidine alkaloids with antiviral and insecticidal activities from the seeds of Sophora tonkinensis gagnep. J. Agric. Food Chem. 2020, 68, 15015–15026. [Google Scholar] [CrossRef] [PubMed]
- Cheng, X.A.; He, H.Q.; Wang, W.X.; Dong, F.Y.; Zhang, H.H.; Ye, J.M.; Tan, C.C.; Wu, Y.H.; Lv, X.J.; Jiang, X.H.; et al. Semi-synthesis and characterization of some new matrine derivatives as insecticidal agents. Pest Manag. Sci. 2020, 76, 2711–2719. [Google Scholar] [CrossRef] [PubMed]
- Huang, J.L.; Lv, M.; Xu, H. Semisynthesis of some matrine ether derivatives as insecticidal agents. RSC Adv. 2017, 7, 15997–16004. [Google Scholar] [CrossRef]
- Xu, H.; Xu, M.; Sun, Z.Q.; Li, S.C. Preparation of matrinic/oxymatrinic amide derivatives as insecticidal/acaricidal agents and study on the mechanisms of action against Tetranychus cinnabarinus. J. Agric. Food Chem. 2019, 67, 12182–12190. [Google Scholar] [CrossRef]
- Fang, X.D.; Ouyang, G.C.; Lu, H.L.; Guo, M.F.; Wu, W.N. Ecological control of citrus pests primarily using predatory mites and the bio-rational pesticide matrine. Int. J. Pest Manag. 2018, 64, 262–270. [Google Scholar] [CrossRef]
- Mao, L.X.; Henderson, G. Antifeedant activity and acute and residual toxicity of alkaloids from Sophora flavescens (Leguminosae) against formosan subterranean termites (Isoptera: Rhinotermitidae). J. Econ. Entomol. 2007, 100, 866–870. [Google Scholar] [CrossRef]
- De Andrade, D.J.; Ribeiro, E.B.; de Morais, M.R.; Zanardi, O.Z. Bioactivity of an oxymatrine-based commercial formulation against Brevipalpus yothersi Baker and its effects on predatory mites in citrus groves. Ecotox. Environ. Safe. 2019, 176, 339–345. [Google Scholar] [CrossRef] [PubMed]
- Wu, J.H.; Yang, B.; Zhang, X.C.; Guthbertson, A.G.S.; Ali, S. Synergistic interaction between the entomopathogenic fungus Akanthomyces attenuatus (Zare & Gams) and the botanical insecticide matrine against Megalurothrips usitatus (Bagrall). J. Fungi. 2021, 7, 536. [Google Scholar]
- Wu, J.H.; Yu, X.T.; Wang, X.S.; Tang, L.D.; Ali, S. Matrine enhances the pathogenicity of Beauveria brongniartii against Spodoptera litura (Lepidoptera: Noctuidae). Front. Microbiol. 2019, 10, 1812. [Google Scholar] [CrossRef]
- Fikrig, K.; Harrington, L.C. Understanding and interpreting mosquito blood feeding studies: The case of Aedes albopictus. Trends Parasitol. 2021, 37, 959–975. [Google Scholar] [CrossRef] [PubMed]
- Näslund, J.; Ahlm, C.; Islam, K.; Evander, M.; Bucht, G.; Lwande, O.W. Emerging mosquito-borne viruses linked to Aedes aegypti and Aedes albopictus: Global status and preventive strategies. Vector-Borne Zoonot. 2021, 21, 731–746. [Google Scholar] [CrossRef]
- Ahmed, A.; Abubakr, M.; Sami, H.; Isam, M.; Mohamed, N.S.; Zinsstag, J. The first molecular detection of Aedes albopictus in Sudan associates with increased outbreaks of Chikungunya and Dengue. Int. J. Mol. Sci. 2022, 23, 11802. [Google Scholar] [CrossRef] [PubMed]
- Murrieta, R.A.; Garcia-Luna, S.M.; Murrieta, D.J.; Halladay, G.; Young, M.C.; Fauver, J.R.; Gendernalik, A.; Weger-Lucarelli, J.; Rückert, C.; Ebel, G.D. Impact of extrinsic incubation temperature on natural selection during Zika virus infection of Aedes aegypti and Aedes albopictus. PLoS Pathog. 2021, 17, e1009433. [Google Scholar] [CrossRef] [PubMed]
- Garcia-Rejon, J.E.; Navarro, J.C.; Cigarroa-Toledo, N.; Baak-Baak, C.M. An updated review of the invasive Aedes albopictus in the Americas; geographical distribution, host feeding patterns, arbovirus infection, and the potential for vertical transmission of Dengue virus. Insects 2021, 12, 967. [Google Scholar] [CrossRef] [PubMed]
- Kumar, M.; Singh, R.; Upadhyay, S.K.; Sharma, P.; Singh, M.; Singh, D.P.; Rani, K. A review on multifaceted approaches for effective control of mosquitoes: From conventional and biological to phytochemical methods. Int. J. Mosq. Res. 2022, 9, 22–26. [Google Scholar] [CrossRef]
- Yan, J.Y.; Gangoso, L.; Ruiz, S.; Sorigure, R.; Figuerola, J.; Puente, J.M. Understanding host utilization by mosquitoes: Determinants, challenges and future directions. Biol. Rev. 2021, 96, 1367–1385. [Google Scholar] [CrossRef]
- Feng, X.Y.; Feng, J.; Zhang, L.; Tu, H.; Xia, Z. Vector control in China, from malaria endemic to elimination and challenges ahead. Infect. Dis. Poverty 2022, 11, 54. [Google Scholar] [CrossRef]
- Rezende-Teixeira, P.; Dusi, R.G.; Jimenez, P.C.; Espindola, L.S.; Costa-Lotufo, L.V. What can we learn from commercial insecticides? Efficacy, toxicity, environmental impacts, and future developments. Environ. Pollut. 2022, 300, 118983. [Google Scholar] [CrossRef] [PubMed]
- Balaska, S.; Fotakis, E.A.; Chaskopoulou, A.; Vontas, J. Chemical control and insecticide resistance status of sand fly vectors worldwide. PLoS Neglect. Trop. Dis. 2021, 15, e0009586. [Google Scholar] [CrossRef] [PubMed]
- Watson, G.B.; Siebert, M.W.; Wang, N.X.; Loso, M.R.; Sparks, T.C. Sulfoxaflor–A sulfoximine insecticide: Review and analysis of mode of action, resistance and cross-resistance. Pestic. Biochem. Phys. 2021, 178, 104924. [Google Scholar] [CrossRef]
- Rani, L.; Thapa, K.; Kanojia, N.; Sharma, N.; Singh, S.; Grewal, A.S.; Srivastav, A.L.; Kaushal, J. An extensive review on the consequences of chemical pesticides on human health and environment. J. Clean. Prod. 2021, 283, 124657. [Google Scholar] [CrossRef]
- Souto, A.L.; Sylvestre, M.; Tölke, E.D.; Tavares, J.F.; Barbosa-Filho, J.M.; Cebrián-Torrejón, G. Plant-derived pesticides as an alternative to pest management and sustainable agricultural production: Prospects, applications and challenges. Molecules 2021, 26, 4835. [Google Scholar] [CrossRef]
- Senthil-Nathan, S. A review of resistance mechanisms of synthetic insecticides and botanicals, phytochemicals, and essential oils as alternative larvicidal agents against mosquitoes. Front. Physiol. 2020, 10, 1591. [Google Scholar] [CrossRef]
- Da Silva Sá, G.C.; Bezerra, P.V.V.; da Silva, M.F.A.; da Silva, L.B.; Barra, P.B.; de Fátima Freire de Melo Ximenes, M.; Uchôa, A.F. Arbovirus vectors insects: Are botanical insecticides an alternative for its management? J. Pest Sci. 2022, 96, 1–20. [Google Scholar] [CrossRef]
- Li, X.; Tang, Z.W.; Wen, L.; Jiang, C.; Feng, Q.S. Matrine: A review of its pharmacology, pharmacokinetics, toxicity, clinical application and preparation researches. J. Ethnopharmacol. 2021, 269, 113682. [Google Scholar] [CrossRef] [PubMed]
- Lan, X.; Zhao, J.N.; Zhang, Y.; Chen, Y.; Liu, Y.; Xu, F.Q. Oxymatrine exerts organ-and tissue-protective effects by regulating inflammation, oxidative stress, apoptosis, and fibrosis: From bench to bedside. Pharmacol. Res. 2020, 151, 104541. [Google Scholar] [CrossRef] [PubMed]
- Huang, J.; Xu, H. Matrine: Bioactivities and structural modifications. Curr. Top. Med. Chem. 2016, 16, 3365–3378. [Google Scholar] [CrossRef] [PubMed]
- Gao, L.M.; Tang, S.; Wang, Y.X.; Gao, R.M.; Zhang, X.; Peng, Z.G.; Li, J.R.; Jiang, J.D.; Li, Y.H.; Song, D.Q. Synthesis and biological evaluation of N-substituted sophocarpinic acid derivatives as Coxsackie virus B3 inhibitors. ChemMedChem 2013, 8, 1545–1553. [Google Scholar] [CrossRef]
- Xu, J.W.; Sun, Z.Q.; Hao, M.; Lv, M.; Xu, H. Evaluation of biological activities, and exploration on mechanism of action of matrine-cholesterol derivatives. Bioorg. Chem. 2020, 94, 103439. [Google Scholar] [CrossRef]
- Cosner, C.C.; Markiewicz, J.T.; Bourbon, P.; Mariani, C.J.; Wiest, O.; Rujoi, M.; Rosenbaum, A.; Huang, A.; Maxfield, F.R.; Helquist, P. Investigation of N-Aryl-3-alkylidenepyrrolinones as potential niemann-pick type C disease therapeutics. J. Med. Chem. 2009, 52, 6494–6498. [Google Scholar] [CrossRef]
- Maity, A.; Roy, A.; Das, M.K.; De, S.; Naskar, M.; Bisai, A. Oxidative cyanation of 2-oxindoles: Formal total synthesis of (±)-gliocladin C. Org. Biomol. Chem. 2020, 18, 1679–1684. [Google Scholar] [CrossRef] [PubMed]
- Zhang, H.; Chen, L.; Sun, X.; Yang, Q.; Wan, L.; Guo, C. Matrine: A promising natural product with various pharmacological activities. Front. Pharmacol. 2020, 11, 588. [Google Scholar] [CrossRef]
- Shoukat, R.F.; Shakeel, M.; Rizvi, S.A.H.; Zafar, J.; Zhang, Y.; Freed, S.; Xu, X.; Jin, F. Larvicidal, ovicidal, synergistic, and repellent activities of Sophora alopecuroides and its dominant constituents against Aedes albopictus. Insects 2020, 11, 246. [Google Scholar] [CrossRef] [PubMed]
- Alvarez Costa, A.; Naspi, C.V.; Lucia, A.; Masuh, H.M. Repellent and larvicidal activity of the essential oil from Eucalyptus nitens against Aedes aegypti and Aedes albopictus (Diptera: Culicidae). J. Med. Entomol. 2017, 54, 670–676. [Google Scholar] [CrossRef] [PubMed]
- Rajmohan, D.; Logankumar, K. Studies on the insecticidal properties of Chromolaena odorata (Asteraceae) against the life cycle of the mosquito, Aedes aegypti (Diptera: Culicidae). J. Res. Biol. 2011, 4, 253–257. [Google Scholar]
- Al-Rashidi, H.S.; Mahyoub, J.A.; Alghamdi, K.M.; Al-Otaibi, W.M. Seagrasses extracts as potential mosquito larvicides in Saudi Arabia. S. J. Biol. Sci. 2022, 29, 103433. [Google Scholar] [CrossRef] [PubMed]
- Cozzer, G.D.; Rezende, R.S.; Lara, T.S.; Machado, G.H.; Magro, J.D.; Albeny-Simões, D. Predation risk effects on larval development and adult life of Aedes aegypti mosquito. Bull. Entomol. Res. 2023, 113, 29–36. [Google Scholar] [CrossRef] [PubMed]
- Wang, F.; Shen, Y.; Dixon, D.; Xue, R.D. Control of male Aedes albopictus Skuse (Diptera: Culicidae) using boric acid sugar bait and its impact on female fecundity and fertility. J. Vector Ecol. 2017, 42, 203–206. [Google Scholar] [CrossRef] [PubMed]
- Zhang, B.; Sun, Z.; Lv, M.; Xu, H. Semisynthesis of matrinic acid/alcohol/ester derivatives, their pesticidal activities, and investigation of mechanisms of action against Tetranychus cinnabarinus. J. Agric. Food Chem. 2018, 66, 12898–12910. [Google Scholar] [CrossRef] [PubMed]
- Li, Y.; Wu, W.; Jian, R.; Ren, X.; Chen, X.; Hong, W.D.; Wu, M.; Cai, J.; Lao, C.; Xu, X.; et al. Larvicidal, acetylcholinesterase inhibitory activities of four essential oils and their constituents against Aedes albopictus, and nanoemulsion preparation. J. Pest Sci. 2022, 63, 9977–9986. [Google Scholar] [CrossRef]
- Liu, N. Insecticide resistance in mosquitoes: Impact, mechanisms, and research directions. Annu. Rev. Entomol. 2015, 60, 537–559. [Google Scholar] [CrossRef]
- Sheng, Z.J.; Jian, R.C.; Xie, F.Y.; Chen, B.; Zhang, K.; Li, D.L.; Chen, W.H.; Huang, C.G.; Zhang, Y.; Hu, L.T.; et al. Screening of larvicidal activity of 53 essential oils and their synergistic effect for the improvement of deltamethrin efficacy against Aedes albopictus. Ind. Crop. Prod. 2020, 145, 112131. [Google Scholar] [CrossRef]
- Li, J.H.; Tang, X.W.; Chen, B.Z.; Zheng, W.D.; Yan, Z.P.; Zhang, Z.; Li, J.X.; Su, K.Z.; Ang, S.; Wu, R.H.; et al. Chemical compositions and anti-mosquito activity of essential oils from Pericarpium Citri Reticulataes of different aging years. Ind. Crop. Prod. 2022, 188, 115701. [Google Scholar] [CrossRef]
- World Health Organization. Guidelines for Laboratory and Field Testing of Mosquito Larvicides; WHO: Geneva, Switzerland, 2005; pp. 1–39. [Google Scholar]
- Benelli, G.; Pavela, R.; Giordani, C.; Casettari, L.; Curzi, G.; Cappellacci, L.; Petrelli, R.; Maggi, F. Acute and sub-lethal toxicity of eight essential oils of commercial interest against the filariasis mosquito Culex quinquefasciatus and the housefly Musca domestica. Ind. Crop. Prod. 2018, 112, 668–680. [Google Scholar] [CrossRef]
- Thanigaivel, A.; Chanthini, K.M.P.; Karthi, S.; Vasantha-Srinivasan, P.; Ponsankar, A.; Sivanesh, H.; Stanley-Raja, V.; Shyam-Sundar, N.; Narayanan, K.R.; Senthil-Nathan, S. Toxic effect of essential oil and its compounds isolated from Sphaeranthus amaranthoides Burm. f. against dengue mosquito vector Aedes aegypti Linn. Pestic. Biochem. Phys. 2019, 160, 163–170. [Google Scholar] [CrossRef]
- Osanloo, M.; Sedaghat, M.M.; Sanei-Dehkordi, A.; Amani, A. Plant-derived essential oils; their larvicidal properties and potential application for control of mosquito-borne diseases. Galen Med. J. 2019, 8, e1532. [Google Scholar] [CrossRef] [PubMed]
- Ellman, G.L.; Courtney, K.D.; Andres, V., Jr.; Featherstone, R.M. A new and rapid colorimetric determination of acetylcholinesterase activity. Biochem. Pharmacol. 1961, 7, 88–95. [Google Scholar] [CrossRef]
- Polson, K.A.; Rawlins, S.C.; Brogdon, W.G.; Chadee, D.D. Characterisation of DDT and pyrethroid resistance in Trinidad and Tobago populations of Aedes aegypti. Bull. Entomol. Res. 2011, 101, 435–441. [Google Scholar] [CrossRef]
- Azratul-Hizayu, T.; Chen, C.D.; Lau, K.W.; Azrizal-Wahid, N.; Tan, T.K.; Lim, Y.A.L.; Sofian-Azirun, M.; Low, V.L. Bioefficacy of mosquito mat vaporizers and associated metabolic detoxication mechanisms in Aedes aegypti (Linnaeus) in Selangor, Malaysia: A statewide assessment. Trop. Biomed. 2021, 38, 327–337. [Google Scholar]
- SPSS Inc. SPSS 14 for Windows Users Guide; SPSS Inc.: Chicago, IL, USA, 2004. [Google Scholar]






| Comp. | R1 | R2 | Mortality ± SD | Comp. | R1 | R2 | Mortality ± SD |
|---|---|---|---|---|---|---|---|
| MA | - | - | 23.33 ± 5.77% | 6a | Cl | ![]() | 13.33 ± 7.64% |
| 2a | Cl | ![]() | 3.33 ± 2.89% | 6b | Cl | ![]() | 41.67 ± 4.44% |
| 3a | Cl | ![]() | 10.00 ± 5.00% | 6c | Cl | ![]() | 45.00 ± 3.33% |
| 4b | Cl | ![]() | 53.33 ± 5.77% | 6e | Cl | ![]() | 86.67 ± 2.22% |
| 4e | Cl | ![]() | 100.00 ± 2.31% | 6f | Cl | ![]() | 38.33 ± 4.44% |
| 4f | Cl | ![]() | 68.33 ± 7.64% | 6g | Cl | ![]() | 8.33 ± 2.22% |
| 4j | Br | ![]() | 13.33 ± 2.89% | 6j | Br | ![]() | 26.67 ± 5.56% |
| 4m | Br | ![]() | 100.00 ± 1.56% | 6k | Br | ![]() | 88.33 ± 2.22% |
| 4n | Br | ![]() | 56.67 ± 4.44% | 6l | Br | ![]() | 18.33 ± 4.44% |
| 5c | Cl | ![]() | 3.33 ± 2.89% | 6m | Br | ![]() | 100.00 ± 1.12% |
| 5k | Br | ![]() | 6.67 ± 2.89% | 6n | Br | ![]() | 8.33 ± 2.22% |
| 5p | Br | ![]() | 46.67 ± 5.77% | 6o | Br | ![]() | 81.67 ± 5.56% |
| Deltamethrin | - | - | 100.00% | DMSO | - | - | 0.00% |
| Comp. | Toxicity Regression Equations | R2 | LC10 | LC20 | LC30 | LC40 | LC50 (95% CI) | LC90 |
|---|---|---|---|---|---|---|---|---|
| MA | 0.9937 | 402.22 | 476.60 | 538.62 | 597.97 | 659.34 (593.55–727.00) | 1080.84 | |
| 4b | 0.9994 | 432.25 | 436.87 | 484.39 | 533.90 | 563.90 (518.08–623.38) | 831.76 | |
| 4e | 0.9959 | 107.73 | 120.05 | 129.79 | 138.73 | 147.65 (143.42–152.02) | 202.36 | |
| 4m | 0.9848 | 91.46 | 105.87 | 117.66 | 128.76 | 140.08 (121.57–158.90) | 214.56 | |
| 6j | 0.9511 | 395.13 | 442.05 | 479.31 | 513.62 | 547.91 (510.22–583.86) | 759.77 | |
| 6e | 0.9902 | 243.05 | 296.67 | 343.71 | 389.10 | 436.73 (387.08–489.59) | 786.92 | |
| 6g | 0.9949 | 330.71 | 390.18 | 439.59 | 486.74 | 535.37 (505.43–563.10) | 866.67 | |
| 6m | 0.9622 | 107.40 | 133.12 | 158.06 | 181.52 | 205.79 (140.84–262.42) | 399.50 | |
| Deltamethrin | 0.9950 | 0.18 | 0.26 | 0.34 | 0.42 | 0.52 (0.43~0.63) | 1.46 |
Disclaimer/Publisher’s Note: The statements, opinions and data contained in all publications are solely those of the individual author(s) and contributor(s) and not of MDPI and/or the editor(s). MDPI and/or the editor(s) disclaim responsibility for any injury to people or property resulting from any ideas, methods, instructions or products referred to in the content. |
© 2023 by the authors. Licensee MDPI, Basel, Switzerland. This article is an open access article distributed under the terms and conditions of the Creative Commons Attribution (CC BY) license (https://creativecommons.org/licenses/by/4.0/).
Share and Cite
Ang, S.; Liang, J.; Zheng, W.; Zhang, Z.; Li, J.; Yan, Z.; Wong, W.-L.; Zhang, K.; Chen, M.; Wu, P. Novel Matrine Derivatives as Potential Larvicidal Agents against Aedes albopictus: Synthesis, Biological Evaluation, and Mechanistic Analysis. Molecules 2023, 28, 3035. https://doi.org/10.3390/molecules28073035
Ang S, Liang J, Zheng W, Zhang Z, Li J, Yan Z, Wong W-L, Zhang K, Chen M, Wu P. Novel Matrine Derivatives as Potential Larvicidal Agents against Aedes albopictus: Synthesis, Biological Evaluation, and Mechanistic Analysis. Molecules. 2023; 28(7):3035. https://doi.org/10.3390/molecules28073035
Chicago/Turabian StyleAng, Song, Jinfeng Liang, Wende Zheng, Zhen Zhang, Jinxuan Li, Zhenping Yan, Wing-Leung Wong, Kun Zhang, Min Chen, and Panpan Wu. 2023. "Novel Matrine Derivatives as Potential Larvicidal Agents against Aedes albopictus: Synthesis, Biological Evaluation, and Mechanistic Analysis" Molecules 28, no. 7: 3035. https://doi.org/10.3390/molecules28073035
APA StyleAng, S., Liang, J., Zheng, W., Zhang, Z., Li, J., Yan, Z., Wong, W.-L., Zhang, K., Chen, M., & Wu, P. (2023). Novel Matrine Derivatives as Potential Larvicidal Agents against Aedes albopictus: Synthesis, Biological Evaluation, and Mechanistic Analysis. Molecules, 28(7), 3035. https://doi.org/10.3390/molecules28073035
























