Controllable Synthesis of N2-Intercalated WO3 Nanorod Photoanode Harvesting a Wide Range of Visible Light for Photoelectrochemical Water Oxidation
Abstract
1. Introduction
2. Results and Discussion
2.1. Characterization Structure of N2-Intercalated WO3 Samples
2.2. The Optical Properties of N2 Intercalated WO3
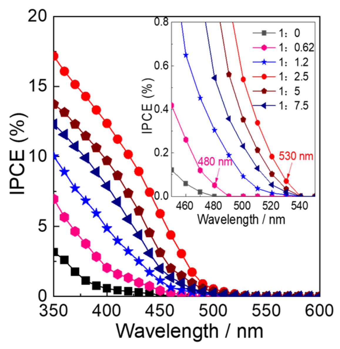
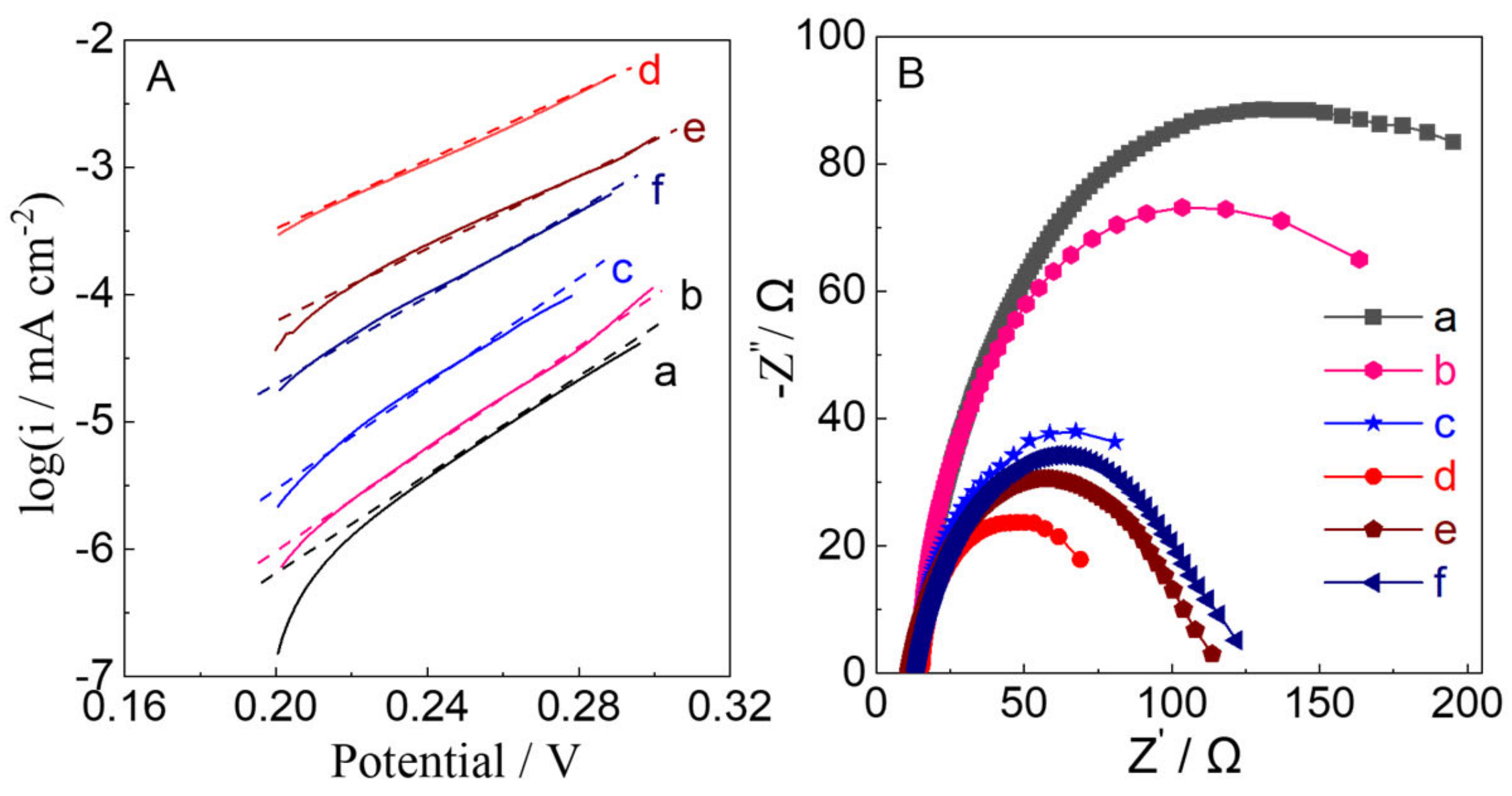
2.3. Photoelectrochemical Properties
3. Materials and Methods
3.1. Materials
3.2. Synthesis of N2-Intercalated WO3
3.3. Fabrication of Electrodes
3.4. Measurement
4. Conclusions
Author Contributions
Funding
Institutional Review Board Statement
Informed Consent Statement
Data Availability Statement
Conflicts of Interest
Sample Availability
References
- Wang, Y.; Tian, W.; Chen, C.; Xu, W.; Li, L. Tungsten Trioxide Nanostructures for Photoelectrochemical Water Splitting: Material Engineering and Charge Carrier Dynamic Manipulation. Adv. Func. Mater. 2019, 29, 1809036–1809060. [Google Scholar] [CrossRef]
- Cook, T.R.; Dogutan, D.K.; Reece, S.Y.; Surendranath, Y.; Nocera, D.G. Solar Energy Supply and Storage for the Legacy and Non legacy Worlds. Chem. Rev. 2010, 110, 6474–6502. [Google Scholar] [CrossRef] [PubMed]
- Dahl, S.; Chorkendorff, I. Towards practical implementation. Nat. Mater. 2012, 11, 100–101. [Google Scholar] [CrossRef] [PubMed]
- Chatterjee, P.; Chakraborty, A.K. Enhanced solar water oxidation by CoWO4-WO3 heterojunction photoanode. Sol. Energy 2022, 232, 312–319. [Google Scholar] [CrossRef]
- Fujishima, A.; Honda, K. Electrochemical Photolysis of Water at a Semiconductor Electrode. Nature 1972, 238, 37–38. [Google Scholar] [CrossRef] [PubMed]
- Yang, M.; Li, J.; Ke, G.; Liu, B.; Dong, F.; Yang, L.; He, H.; Zhou, Y. WO3 homojunction photoanode: Integrating the advantages of WO3 different facets for efficient water oxidation. J. Energy Chem. 2021, 56, 37–45. [Google Scholar] [CrossRef]
- Li, D.; Wu, F.; Gao, C.; Shen, H.; Han, F.; Han, F.; Chen, Z. Fabrication of an Efficient N, S Co-Doped WO3 Operated in Wide-Range of Visible-Light for Photoelectrochemical Water Oxidation. Nanomaterials 2022, 12, 2079–2091. [Google Scholar] [CrossRef]
- Chandra, D.; Saito, K.; Yui, T.; Yagi, M. Crystallization of Tungsten Trioxide Having Small Mesopores: Highly Efficient Photoanode for Visible-Light-Driven Water Oxidation. Angew.Chem. Int. Ed. 2013, 52, 12606–12609. [Google Scholar] [CrossRef]
- Kay, A.; Cesar, I.; Grätzel, M. New Benchmark for Water Photooxidation by Nanostructured α-Fe2O3 Films. J. Am. Chem. Soc. 2006, 128, 15714–15721. [Google Scholar] [CrossRef]
- Zhang, R.; Fang, Y.; Chen, T.; Qu, F.; Liu, Z.; Du, G.; Asiri, A.M.; Gao, T.; Sun, X. Enhanced Photoelectrochemical Water Oxidation Performance of Fe2O3 Nanorods Array by S Doping. ACS Sustain. Chem. Eng. 2017, 5, 7502–7506. [Google Scholar] [CrossRef]
- Li, Y.; Takata, T.; Cha, D.; Takanabe, K.; Minegishi, T.; Kubota, J.; Domen, K. Vertically aligned Ta3N5 nanorod arrays for solar-driven photoelectrochemical water splitting. Adv. Mater. 2013, 25, 125–131. [Google Scholar] [CrossRef] [PubMed]
- Abe, R.; Higashi, R.; Domen, R. Facile fabrication of an efficient oxynitride TaON photoanode for overall water splitting into H2 and O2 under visible light irradiation. J. Am. Chem. Soc. 2010, 132, 11828–11829. [Google Scholar] [CrossRef] [PubMed]
- Higashi, M.; Domen, K.; Abe, R. Fabrication of an Efficient BaTaO2N Photoanode Harvesting a Wide Range of Visible Light for Water Splitting. J. Am. Chem. Soc. 2013, 135, 10238–10241. [Google Scholar] [CrossRef]
- Hodes, G.; Cahen, D.; Manassen, J. Tungsten trioxide as a photoanode for a photoelectrochemical cell (PEC). Nature 1976, 260, 312–313. [Google Scholar] [CrossRef]
- Santato, C.; Ulmann, M.; Augustynski, J. Photoelectrochemical Properties of Nanostructured Tungsten Trioxide Films. J. Phys. Chem. B 2001, 105, 936–940. [Google Scholar] [CrossRef]
- Kim, J.K.; Shin, K.; Cho, S.M.; Lee, T.-W.; Park, J.H. Synthesis of transparent mesoporous tungsten trioxide films with enhanced photoelectrochemical response: Application to unassisted solar water splitting. Energy Environ. Sci. 2011, 4, 1465–1470. [Google Scholar] [CrossRef]
- Li, D.; Takeuchi, R.; Chandra, D.; Saito, K.; Yui, T.; Yagi, M. Visible light-driven water oxidation on an in situ N2-intercalated WO3 nanorod photoanode synthesized by a dual-functional structure-directing agent. ChemSusChem 2018, 11, 1151–1156. [Google Scholar] [CrossRef]
- Jadwiszczak, M.; Jakubow-Piotrowska, K.; Kedzierzawski, P.; Bienkowski, K.; Augustynski, J. Highly Efficient Sunlight-Driven Seawater Splitting in a Photoelectrochemical Cell with Chlorine Evolved at Nanostructured WO3 Photoanode and Hydrogen Stored as Hydride within Metallic Cathode. Adv. Energy Mater. 2020, 10, 1903213.1–1903213.8. [Google Scholar] [CrossRef]
- Zhu, T.; Chong, M.N.; Chan, E.S. Nanostructured Tungsten Trioxide Thin Films Synthesized for Photoelectrocatalytic Water Oxidation: A review. ChemSusChem 2014, 7, 2974–2997. [Google Scholar] [CrossRef]
- Seabold, J.A.; Choi, K.S. Effect of a Cobalt-Based Oxygen Evolution Catalyst on the Stability and the Selectivity of Photo-Oxidation Reactions of a WO3 Photoanode. Chem. Mater. 2011, 23, 1105–1112. [Google Scholar] [CrossRef]
- Zhang, Q.; Liu, R.; Liu, T. Role of oxygen vacancies on surface reaction of water oxidation in WO3 studied by density functional theory (DFT) and experiment. Mol. Catal. 2023, 539, 113005. [Google Scholar] [CrossRef]
- Samuel, E.; Joshi, B.; Kim, M.W.; Swihart, M.T.; Yoon, S.S. Morphology engineering of photoelectrodes for efficient photoelectrochemical water splitting. Nano Energy 2020, 72, 104648. [Google Scholar] [CrossRef]
- Wang, N.; Wang, D.G.; Li, M.R.; Shi, J.Y.; Li, C. Photoelectrochemical water oxidation on photoanodes fabricated with hexagonal nanoflower and nanoblock WO3. Nanocsale 2014, 6, 2061–2066. [Google Scholar] [CrossRef] [PubMed]
- Li, Z.; Luo, W.; Zhang, M.; Feng, J.; Zou, Z. Photoelectrochemical cells for solar hydrogen production: Current state of promising photoelectrodes, methods to improve their properties, and outlook. Energy Environ. Sci. 2013, 6, 347–370. [Google Scholar] [CrossRef]
- Sun, Y.; Murphy, C.J.; Reyes-Gil, K.R.; Reyes-Garcia, E.A.; Thornton, J.M.; Morris, N.A.; Raftery, D. Photoelectrochemical and structural characterization of carbon-doped WO3 films prepared via spray pyrolysis. Int. J. Hydrog. Energ. 2009, 34, 8476–8484. [Google Scholar] [CrossRef]
- Li, W.; Li, J.; Wang, X.; Chen, Q. Preparation and water-splitting photocatalytic behavior of S-doped WO3. Appl. Surf. Sci. 2012, 263, 157–162. [Google Scholar] [CrossRef]
- Mi, Q.; Ping, Y.; Li, Y.; Cao, B.; Brunschwig, B.S.; Khalifah, P.G.; Galli, G.A.; Gray, H.B.; Lewis, N.S. Thermally Stable N2-Intercalated WO3 Photoanodes for Water Oxidation. J. Am. Chem. Soc. 2012, 134, 18318–18324. [Google Scholar] [CrossRef]
- Wang, Y.; Tian, W.; Chen, L.; Cao, F.; Guo, J.; Li, L. Three-Dimensional WO3 Nanoplate/Bi2S3 Nanorod Heterojunction as a Highly Efficient Photoanode for Improved Photoelectrochemical Water Splitting. ACS Appl. Mater. Interfaces 2017, 9, 40235–40243. [Google Scholar] [CrossRef] [PubMed]
- Hu, Z.; Xu, M.; Shen, Z.; Yu, J.C. A nanostructured chromium(iii) oxide/tungsten(vi) oxide p–n junction photoanode toward enhanced efficiency for water oxidation. J. Mater.Chem. A 2015, 3, 14046–14053. [Google Scholar] [CrossRef]
- Li, D.; Chandra, D.; Takeuchi, R.; Togashi, T.; Kurihara, M.; Saito, K.; Yui, T.; Yagi, M. Dual-Functional Surfactant-Templated Strategy for Synthesis of an In Situ N2-Intercalated Mesoporous WO3 Photoanode for Efficient Visible-Light-Driven Water Oxidation. Chem. Eur. J. 2017, 23, 6596–6604. [Google Scholar] [CrossRef]
- Jiao, Z.; Wang, J.; Ke, L.; Sun, X.W.; Demir, H.V. Morphology-Tailored Synthesis of Tungsten Trioxide (Hydrate) Thin Films and Their Photocatalytic Properties. ACS Appl. Mater. Interfaces 2011, 3, 229–236. [Google Scholar] [CrossRef] [PubMed]
- Yagi, M.; Maruyama, S.; Sone, K.; Nagai, K.; Norimatsu, T. Preparation and photoelectrocatalytic activity of a nano-structured WO3 platelet film. J. Solid State Chem. 2008, 181, 175–182. [Google Scholar] [CrossRef]
- Sivakumar, R.; Raj, A.M.E.; Subramanian, B.; Jayachandran, M.; Trivedi, D.C.; Sanjeeviraja, C. Preparation and characterization of spray deposited n-type WO3 thin films for electrochromic devices. Mater. Res. Bull. 2004, 39, 1479–1489. [Google Scholar] [CrossRef]
- Li, W.; Jie, L.; Xuan, W.; Ma, J.; Chen, Q. Photoelectrochemical and physical properties of WO3 films obtained by the polymeric precursor method. Int. J. Hydrog. Energ. 2010, 35, 13137–13145. [Google Scholar] [CrossRef]
- Wang, G.; Ling, Y.; Wang, H.; Yang, X.; Wang, C.; Zhang, J.Z.; Li, Y. Hydrogen-treated WO3 nanoflakes show enhanced photostability. Energy Environ. Sci. 2012, 5, 6180–6187. [Google Scholar] [CrossRef]
- Amano, F.; Li, D.; Ohtani, B. Fabrication and photoelectrochemical property of tungsten(vi) oxide films with a flake-wall structure. Chem. Commun. 2010, 46, 2769–2771. [Google Scholar] [CrossRef]
- Liu, X.; Wang, F.; Wang, Q. Nanostructure-based WO3 photoanodes for photoelectrochemical water splitting. Phys. Chem. Chem. Phys. 2012, 14, 7894–7911. [Google Scholar] [CrossRef]
- Bi, Y.; Li, D.; Nie, H. Preparation and catalytic properties of tungsten oxides with different morphologies. Mater. Chem. Phys. 2010, 123, 225–230. [Google Scholar] [CrossRef]
- Zhang, J.; Tu, J.P.; Xia, X.H.; Wang, X.L.; Gu, C.D. Hydrothermally synthesized WO3 nanowire arrays with highly improved electrochromic performance. J. Mater. Chem. 2011, 21, 5492–5498. [Google Scholar] [CrossRef]
- Su, J.; Feng, X.; Sloppy, J.D.; Guo, L.; Grimes, C.A. Vertically Aligned WO3 Nanowire Arrays Grown Directly on Transparent Conducting Oxide Coated Glass: Synthesis and Photoelectrochemical Properties. Nano Lett. 2011, 11, 203–208. [Google Scholar] [CrossRef]
- Pihosh, Y.; Turkevych, I.; Mawatari, K.; Asai, T.; Hisatomi, T.; Uemura, J.; Tosa, M.; Shimamura, K.; Kubota, J.; Domen, K.; et al. Nanostructured WO3/BiVO4 Photoanodes for Efficient Photoelectrochemical Water Splitting. Small 2014, 10, 3692–3699. [Google Scholar] [CrossRef] [PubMed]
- Kalanur, S.S.; Hwang, Y.J.; Chae, S.Y.; Joo, O.S. Facile growth of aligned WO3 nanorods on FTO substrate for enhanced photoanodic water oxidation activity. J. Mater. Chem. A 2013, 1, 3479–3488. [Google Scholar] [CrossRef]
- Radecka, M.; Sobas, P.; Wierzbicka, M.; Rekas, M. Photoelectrochemical properties of undoped and Ti-doped WO3. Phys. B 2005, 364, 85–92. [Google Scholar] [CrossRef]
- Hameed, A.; Gondal, M.A.; Yamani, Z.H. Effect of transition metal doping on photocatalytic activity of WO3 for water splitting under laser illumination: Role of 3d-orbitals. Catal. Comm. 2004, 5, 715–719. [Google Scholar] [CrossRef]
- Bär, M.; Weinhardt, L.; Marsen, B.; Cole, B.; Gaillard, N.; Miller, E.; Heske, C. Mo incorporation in WO3 thin film photoanodes: Tailoring the electronic structure for photoelectrochemical hydrogen production. Appl. Phys. Lett. 2010, 96, 032107–032109. [Google Scholar] [CrossRef]
- Yang, B.; Luca, V. Enhanced long-wavelength transient photoresponsiveness of WO3 induced by tellurium doping. Chem. Commun. 2008, 32, 4454–4456. [Google Scholar] [CrossRef]
- Cole, B.; Marsen, B.; Miller, E.; Yan, Y.; To, B.; Jones, K.; Al-Jassim, M. Evaluation of Nitrogen Doping of Tungsten Oxide for Photoelectrochemical Water Splitting. J. Phys. Chem. C 2008, 112, 5213–5220. [Google Scholar] [CrossRef]
- Lin, W.; Zhang, B.; Liu, K.; Zhang, J.; Wang, J.; Ma, G. Facet Engineering on WO3 Mono-Particle-Layer Electrode for Photoelectrochemical Water Splitting. Chem. Eur. J. 2022, 28, e202201169–e202201177. [Google Scholar] [CrossRef]
- Tessier, F.; Le Gendre, L.; Cheviré, F.; Marchand, R.; Navrotsky, A. Thermochemistry of a New Class of Materials Containing Dinitrogen Pairs in an Oxide Matrix. Chem. Mater. 2005, 17, 3570–3574. [Google Scholar] [CrossRef]
- Ebbinghaus, S.G.; Abicht, H.P.; Dronskowski, R.; Müller, T.; Reller, A.; Weidenkaff, A. Perovskite-related oxynitrides – Recent developments in synthesis, characterisation and investigations of physical properties. Prog. Solid State Chem. 2009, 37, 173–205. [Google Scholar] [CrossRef]
- Rachel, A.; Ebbinghaus, S.G.; Güngerich, M.; Klar, P.J.; Reller, A. Tantalum and niobium perovskite oxynitrides: Synthesis and analysis of the thermal behaviour. Thermochim. Acta 2005, 438, 134–143. [Google Scholar] [CrossRef]
- Bendtsen, J.; Rasmussen, F. High-resolution incoherent Fourier transform Raman spectrum of the fundamental band of 14N2. J. Raman Spectrosc. 2000, 31, 433–438. [Google Scholar] [CrossRef]
- Liu, Y.; Li, Y.; Li, W.; Han, S.; Liu, C. Photoelectrochemical properties and photocatalytic activity of nitrogen-doped nanoporous WO3 photoelectrodes under visible light. App. Surf. Sci. 2012, 258, 5038–5045. [Google Scholar] [CrossRef]
- Ghicov, A.; Macak, J.M.; Tsuchiya, H.; Kunze, J.; Haeublein, V.; Frey, L.; Schmuki, P. Ion Implantation and Annealing for an Efficient N-Doping of TiO2 Nanotubes. Nano Lett. 2006, 6, 1080–1082. [Google Scholar] [CrossRef]
- Saha, N.C.; Tompkins, H.G. Titanium nitride oxidation chemistry: An x-ray photoelectron spectroscopy study. J. Appl. Phys. 1992, 72, 3072–3079. [Google Scholar] [CrossRef]
- Hernández, S.; Barbero, G.; Saracco, G.; Alexe-Ionescu, A.L. Considerations on Oxygen Bubble Formation and Evolution on BiVO4 Porous Anodes Used in Water Splitting Photoelectrochemical Cells. J. Phys. Chem. C 2015, 119, 9916–9925. [Google Scholar] [CrossRef]












| Samples | Molar Ratio of W:N a | Crystallite Diameter b (nm) | Surface Area c (m2 g−1) |
|---|---|---|---|
| WO3−0 | 1:0 | 17 | 9.6 |
| WO3−0.62 | 1:0.040 | 22 | 12.1 |
| WO3−1.2 | 1:0.073 | 25 | 16.6 |
| WO3−2.5 | 1:0.098 | 31 | 21.2 |
| WO3−5 | 1:0.096 | 30 | 20.4 |
| WO3−7.5 | 1:0.093 | 27 | 17.3 |
| Samples | Absorption Energies | EFB | ND (1019 cm−3) | EIB | EVB |
|---|---|---|---|---|---|
| WO3−0 | 2.64, - | 0.38 | 3.68 | - | 3.02 |
| WO3−0.62 | 2.58, - | 0.36 | 3.78 | - | 2.94 |
| WO3−1.2 | 2.55, 2.17 | 0.34 | 3.82 | 2.51 | 2.89 |
| WO3−2.5 | 2.45, 1.92 | 0.23 | 4.15 | 2.15 | 2.68 |
| WO3−5 | 2.52, 2.01 | 0.30 | 4.01 | 2.31 | 2.82 |
| WO3−7.5 | 2.51, 2.08 | 0.32 | 3.91 | 2.41 | 2.83 |
| Samples | Charge /C | nO2 /μmol | F.E.O2 a (%) | nH2b /μmol | F.E.H2 c (%) |
|---|---|---|---|---|---|
| WO3−0 | 0.08 | 0.11 | 54 | 0.34 | 83 |
| WO3−0.62 | 0.32 | 0.75 | 91 | 1.56 | 95 |
| WO3−1.2 | 0.71 | 1.72 | 92 | 3.53 | 96 |
| WO3−2.5 | 2.05 | 5.19 | 97 | 10.6 | 100 |
| WO3−5 | 1.29 | 3.16 | 94 | 6.58 | 98 |
| WO3−7.5 | 1.18 | 2.83 | 92 | 5.98 | 98 |
Disclaimer/Publisher’s Note: The statements, opinions and data contained in all publications are solely those of the individual author(s) and contributor(s) and not of MDPI and/or the editor(s). MDPI and/or the editor(s) disclaim responsibility for any injury to people or property resulting from any ideas, methods, instructions or products referred to in the content. |
© 2023 by the authors. Licensee MDPI, Basel, Switzerland. This article is an open access article distributed under the terms and conditions of the Creative Commons Attribution (CC BY) license (https://creativecommons.org/licenses/by/4.0/).
Share and Cite
Li, D.; Lan, B.; Shen, H.; Gao, C.; Tian, S.; Han, F.; Chen, Z. Controllable Synthesis of N2-Intercalated WO3 Nanorod Photoanode Harvesting a Wide Range of Visible Light for Photoelectrochemical Water Oxidation. Molecules 2023, 28, 2987. https://doi.org/10.3390/molecules28072987
Li D, Lan B, Shen H, Gao C, Tian S, Han F, Chen Z. Controllable Synthesis of N2-Intercalated WO3 Nanorod Photoanode Harvesting a Wide Range of Visible Light for Photoelectrochemical Water Oxidation. Molecules. 2023; 28(7):2987. https://doi.org/10.3390/molecules28072987
Chicago/Turabian StyleLi, Dong, Boyang Lan, Hongfang Shen, Caiyun Gao, Siyu Tian, Fei Han, and Zhanlin Chen. 2023. "Controllable Synthesis of N2-Intercalated WO3 Nanorod Photoanode Harvesting a Wide Range of Visible Light for Photoelectrochemical Water Oxidation" Molecules 28, no. 7: 2987. https://doi.org/10.3390/molecules28072987
APA StyleLi, D., Lan, B., Shen, H., Gao, C., Tian, S., Han, F., & Chen, Z. (2023). Controllable Synthesis of N2-Intercalated WO3 Nanorod Photoanode Harvesting a Wide Range of Visible Light for Photoelectrochemical Water Oxidation. Molecules, 28(7), 2987. https://doi.org/10.3390/molecules28072987
