Abstract
Several nitrogen heterocyclic analogues have been applied to clinical practice, and about 75% of drugs approved by the FDA contain at least a heterocyclic moiety. Thus, nitrogen heterocycles are beneficial scaffolds that occupy a central position in the development of new drugs. The fact that certain nitrogen heterocyclic compounds significantly activate the NRF2/ARE signaling pathway and upregulate the expression of NRF2-dependent genes, especially HO-1 and NQO1, underscores the need to study the roles and pharmacological effects of N-based heterocyclic moieties in NRF2 activation. Furthermore, nitrogen heterocycles exhibit significant antioxidant and anti-inflammatory activities. NRF2-activating molecules have been of tremendous research interest in recent times due to their therapeutic roles in neuroinflammation and oxidative stress-mediated diseases. A comprehensive review of the NRF2-inducing activities of N-based heterocycles and their derivatives will broaden their therapeutic prospects in a wide range of diseases. Thus, the present review, as the first of its kind, provides an overview of the roles and effects of nitrogen heterocyclic moieties in the activation of the NRF2 signaling pathway underpinning their antioxidant and anti-inflammatory actions in several diseases, their pharmacological properties and structural–activity relationship are also discussed with the aim of making new discoveries that will stimulate innovative research in this area.
Keywords:
nitrogen heterocycles; NRF2; HO-1; NQO1; antioxidant; anti-inflammatory; neurodegenerative diseases 1. Introduction
Nitrogen-based heterocyclic compounds constitute an important class of heterocycles in drug discovery due to their vast medicinal applications. It is well established that nitrogen heterocyclic scaffolds are often present as common cores in a variety of pharmaceutical products. This implies that nitrogen heterocycles play essential roles in modern drug design and discovery. Currently, over 85% of all biologically active compounds are heterocycles or contain at least a heterocyclic moiety, and most frequently, nitrogen heterocycles function as the backbones of these complex structures [1]. The applications of nitrogen heterocycles in drug design and development have been reviewed by [2]. Many of them have been found to possess anticancer activities and good physicochemical properties [3]. Thus, the presence of an N-based heterocyclic moiety may improve the adsorption, distribution, metabolism and excretion (ADME) and toxicological properties of drug molecules.
Reactive oxygen species (ROS) and reactive nitrogen species (RNS) play essential physiological roles at moderate concentrations. However, when there is a disequilibrium between the rate of production of ROS and the rate at which antioxidant defenses neutralize them, oxidative stress occurs and results in oxidative damage and cell death [4,5]. Fortunately, some essential antioxidant molecules and detoxifying enzymes have been developed by cells as adequate defenses against oxidative stress. NRF2 protein is a notable antioxidant molecule that regulates cellular redox homeostasis; thus, its activation represents an effective antioxidant strategy against electrophilic and oxidative stress [6].
Consequently, NRF2-related pathways have become important therapeutic targets in drug discovery for inflammation and oxidative stress-mediated diseases [7,8]. The NRF2/KEAP1 signaling pathway modulates the antioxidant and cytoprotective responses of an organism to a great extent [6]. NRF2 is a transcription factor that is made up of about 605 amino acids and 7 functional domains known as Neh1-Neh7. The Neh1 domain is composed of a cap “n” collar basic region and the leucine zipper domain, which enables DNA binding and a nuclear localization signal that accounts for NRF2 nuclear translocation [9,10]. The Neh2 domain is responsible for NRF2 stability and its ubiquitination by KEAP1, while the Neh 3–5 domains facilitate NRF2 interaction with several coactivators [11,12,13,14]. The Neh6 domain binds to a β-transducin repeat-containing protein (β–TrCP), through which it enhances NRF2 ubiquitination, while the Neh7 domain enables NRF2 to bind to the retinoic X receptor and causes the inhibition of the NRF2–ARE pathway [15,16].
When the condition is physiologically normal, NRF2 is bound to KEAP1, its negative regulator in the cytosol. This promotes NRF2 ubiquitination by a cullin 3-based ubiquitin E3 ligase and NRF2 proteasomal degradation [17]. Under oxidative or electrophilic stress, KEAP1 cysteine residues are oxidized to cystine. This transformational process facilitates a conformational change in the protein that inhibits NRF2 ubiquitination and promotes the formation of the non-functional NRF2/KEAP1 complex, which does not allow for the release of NRF2. This enables the newly translated NRF2 to by-pass KEAP1 and undergo nuclear translocation; it binds to the antioxidant response element (ARE) sequence and facilitates the transcription of NRF2-dependent genes that codify the synthesis of antioxidant enzymes such as SOD, NQO1, HO-1, CAT, GCL, GPX and GR [18,19].
Comparatively, NRF2 and NF-κB (nuclear factor kappa-light-chain-enhancer of activated B cells) are both transcription factors that are crucial for the regulation of oxidative stress, inflammation, gene expression and other physiological processes. The cellular antioxidant defense and detoxification pathways are largely regulated by NRF2 [17,18,19]. NF-κB, on the other hand, is a transcription factor involved in immune and inflammatory responses, controlling genes related to cytokines, chemokines and adhesion molecules [20,21]. It is normally bound to its inhibitor IκB and moves to the nucleus, where it binds to κB sites in order to activate gene expression. While their functions are distinct, there is an interplay between these signaling pathways as their activities are usually inversely correlated. Research suggests that NRF2 can inhibit NF-κB activation by suppressing proinflammatory cytokines/chemokines production; while NF-κB can result in ROS generation, causing disruption of the KEAP1–NRF2 complex which can consequently lead to NRF2 activation [22,23,24]. However, the overall relationship between NRF2 and NF-κB is quite complex and context-dependent; hence, more studies are required to fully elucidate their functional effects in various physiological and pathological conditions.
The systematic evaluation of the functional effects of nitrogen heterocyclic molecules through in vivo and in vitro studies gives insight into their pharmacological profile. This information will determine their suitability as new drug candidates and identify their therapeutic indications. Furthermore, it could be an essential tool for the development of newer derivatives of nitrogen heterocycles with better NRF2-mediated antioxidant and anti-inflammatory activities. The pharmacological profile of NRF2-activating nitrogen heterocyclic compounds will be further discussed in Section 3. Similarly, structure–activity relationships (SAR) analysis is employed as an essential tool in primary screening to lead optimization of drug discovery. It helps to minimize the cost of designing new potentially bioactive molecules with minimal side effects. A good knowledge of the SAR of nitrogen heterocyclic molecules will enable researchers to explore their existing bioactive moieties and equip them with the information required for structural modification and optimization of antioxidant, anti-inflammatory and NRF2-inducing activities. The SAR will be further discussed in Section 4.
The present review discusses the potential roles of natural and synthetic nitrogen-based heterocycles in the activation of the NRF2 signaling pathway, their pharmacological properties and their structure–activity relationships. Their NRF2-mediated neuroprotective and therapeutic effects in inflammation and oxidative stress-mediated diseases such as Parkinson’s disease, Alzheimer’s disease, Huntington’s diseases, cancer, and many more, are explored.
2. Nitrogen Heterocycles as Modulators of the NRF2 Pathway
The tendency of the nitrogen atom to readily form hydrogen bonding and various weak interactions with biological targets has distinguished N-based heterocyclic scaffolds as building blocks for a couple of drug candidates and expanded their utility in several therapeutic applications. The nitrogen atom of nitrogen heterocycle has a lone pair of electrons, which act as a hydrogen bond acceptor, resulting in the formation of a hydrogen bond (hydrogen atom bonded to an electronegative atom) network which enhances the stability of the nitrogen heterocycle and its interactions with diverse biological molecules [25,26,27]. Thus, both saturated and unsaturated N-based heterocycles are bioactive molecules of utmost medicinal importance. A large body of evidence has shown that N-based heterocycles and their analogues possess an interesting neuroprotective profile and exhibit significant induction of the NRF2–ARE antioxidant responses. Here, we categorize the NRF2-inducing activity of N-based heterocycles based on the size of the heterocyclic ring. Three-membered and four-membered nitrogen heterocyclic rings such as aziridines and azetidines, respectively, and their derivatives have been found to exhibit anti-oxidative and neuroprotective effects [28,29,30]. However, these compounds are yet to be explored for NRF2-inducing activity.
2.1. Five-Membered Nitrogen Heterocycles and NRF2 Activation
Five-membered heterocyclic rings are commonly found in pharmaceuticals. It can be stipulated that their chemical structures permit variable interactions with essential biomolecules, hence their predominance in pharmaceuticals. Five membered nitrogen heterocycles such as pyrrole, imidazoles, pyrazoles and many more are components of the best-selling heterocyclic pharmaceuticals [31]. Currently, the pyrrole derivative, 3-carboxylic acid pyrroles have been patented as active NRF2 regulators (US2020/0031820A1). Moreover, pyrrole-2-carbaldehydes exert neuroprotective effects against oxygen-glucose deprivation/reperfusion injury by modulating NRF2 and Nuclear Factor kappa B (NF-ĸB) in PC12 cells [32].
2.1.1. Pyrrolidine/Pyrroline Analogues
Pyrrolidine and pyrroline are saturated and unsaturated five-membered N-heterocycles, respectively, with one nitrogen heteroatom. Pyrrolidine is naturally found in alkaloids and is also an essential constituent of natural and synthetic drugs. Pyrrolidine is conventionally synthesized by the reaction of 4-chlorobutan-I-amine with a strong base [33]. Its derivatives are also synthesized by electroreductive cyclization using imine and terminal dihyloalkanes [34]. Recent synthetic methods for pyrrolidines have been reviewed by [35]. A pyrrolidine derivative known as pyrrolidine dithiocarbamate (1) (Table 1) has been reported as a potent inducer of the NRF2 signaling pathway [36]. It inhibits oxidative stress, decreases lipid peroxidation, and exerts neuroprotection via the activation of NRF2 signaling pathway in astrocytes. Delen and co-workers [37] reported that in addition to reducing the expressions of NF-ĸB and Prokineticin 2 (PK2) levels, pyrrolidine dithiocarbamate (I) exerts a protective effect against methotrexate-induced testicular damage via upregulating the expression level of NRF2. Contrarily, it has been reported that while pyrrolidine dithiocarbamate deactivates NF-ĸB and upregulates some antioxidant enzymes, its administration has no effect on NRF2/KEAP pathway in dextran sodium sulfate (DSS)-induced colitis [38]. This could be a result of the fact that pyrrolidine dithiocarbamate (1) lacks the ability to alter the NRF2-inducing effect of DSS, which is also a potent NRF2 inducer. It is important to mention that compound 1 also induces the expression of the glutamate cysteine ligase modulatory gene in HepG2 cells. Although the nuclear localization of NRF2 has been implicated in this process, the activation of the extracellular regulated kinase (ErK) is required for full NRF2 activation. Treatment of HepG2 cells with compound 1 results in the release of NRF2 from KEAP1 and influences the expression level of GCL [39]. In an attempt to demonstrate that NRF2 modulates neurogenesis and exerts a protective effect against Aβ toxicity, neural progenitor cells (NPCs) were treated with compound 1, and the growth of NPC neurospheres was observed and neuronal differentiation was increased by it via NRF2 activation [40]. Pyrroline derivative (2) (Table 1) exerts protection against oxidative stress and hyperphosphorylation in neurodegenerative diseases via the activation of the NRF2–ARE pathway and upregulation of the expression of protein levels of HO-1 and NQO1 [41].
2.1.2. Pyrazoles
Pyrazoles are unsaturated five-membered N-heterocyclic rings containing two nitrogen atoms at adjacent positions. Owing to their myriad of pharmacological activities, they are one of the most prominent classes of compounds among the azole group. Thus, they are components of well-established drugs such as celecoxib, lenazole, rimonabant, and many more [42,43,44]. Pyrazoles are commonly prepared by reacting α,β-unsaturated aldehydes with hydrazine followed by dehydrogenation [45]. They are also synthesized by electrophilic cyclizations of α,β-alkynic hydrazones by iodine [46]. The various methods involved in the synthesis of pyrazoles have been reviewed by [47]. Pyrazoles exhibit significant anti-inflammatory and antioxidant properties [48]. Several pyrazole analogues, such as arylcydohexyl pyrazoles (W02017060855A1), n-aryl pyrazoles (W02018109642) and biaryl pyrazoles (W02017060854) are already established NRF2 regulators. The antioxidant effect of pyrazoles has been linked to the activation of the NRF2/KEAP1 signaling pathway. Thus, pyrazole (3) (Table 1) induces oxidative damage in NRF2 knockout mice but not in wild-type mice due to compensative enhancement of NRF2-regulated antioxidant capacity. Even when ROS is induced by cytochrome P4502E1 (CYP2E1/2A5) in NRF2 wild-type mice, pyrazole helps to attenuate the oxidative stress via the upregulation of the expression levels of NRF2 and NRF2-regulated antioxidant enzymes including HO-1, GST and GCS, contrary to what is observed in NRF2 knockout mice [49]. In corroboration with the fact that pyrazole requires NRF2 for its anti-oxidative action, liver injury increased as marked by serum transaminases and histopathology when NRF2 knockout mice were treated with pyrazole (3), but not in the NRF2 wild-type mice [50]. Contrary to expectations, pyrazole treatment did not elevate CYP2E1 and CYP2A5 activities in the NRF2 knockout mice, but increased their activities in the NRF2 wild-type mice. This confirms the earlier report that pyrazole-induced hepatotoxicity in the NRF2 knockout mice is independent of CYPZE1/2A5 induction [49]. In summary, it could be right to conclude that pyrazole significantly activates NRF2 and upregulates the expression levels of its target antioxidant genes such as HO-1, GCS, GST, and many more via a mechanism that does not involve the induction of CYP2E1/2A5.
Furthermore, pyrazole derivative (4) (Table 1) induces the NRF2 signaling pathway and inhibits glycogen synthase kinase-3β (GSK3β) [51]. The ability of compound 4 to activate NRF2 is ascribed to the presence of 2,4-dihydropyrano [2,3-c]pyrazole core, which also acts as a GSK3β inhibitor. Interestingly, the introduction of a pyrazole moiety to the curcumin scaffold improves the NRF2 activity and antioxidant capacity of curcumin. Evidently, the curcumin pyrazole derivative (5) (Table 1) has been found to exhibit better neuroprotective effects than curcumin and edaravone due to the pyrazole moiety [52]. Compound 5 also attenuates sodium nitroprusside (SNP)-induced oxidative damage and apoptosis, inhibits SNP-induced morphological changes, and protects the mitochondrial membrane via NRF2 activation in PC12 cells. Summarily, compound 5 provides neuroprotection and enhances the antioxidant defense system through the nuclear translocation of NRF2.
2.1.3. Imidazolidine/Imidazole Analogues
Imidazolidine and imidazole are saturated and unsaturated five-membered N-heterocyclic rings, respectively. They contain two nitrogen atoms at the -1 and -3 positions. They are components of essential natural products, DNA based structures, and drugs. Imidazolidines are prepared by the condensation of aldehydes and 1,2-diamines, while imidazoles are produced by the condensation of glyoxal, ammonia and formaldehyde [53]. In addition, the cyclization of amido-nitriles is considered a notable synthetic procedure for disubstituted imidazoles [54]. Other imidazole derivatives are produced by facile synthetic methods which have been reviewed by [55]. Imidazolidines and imidazoles exhibit a broad spectrum of biological properties including anti-inflammatory and antioxidant activities [56,57]. Interestingly, some imidazole analogues have been found to be potent inducers of the NRF2/KEAP1 signaling pathway due to the fact that these analogues target several KEAP1 amino acid residues of NRF2 [58]. They exert NRF2-mediated antioxidant and anti-inflammatory effects in several diseases by undergoing the Michael addition reaction with the thiols of KEAP1 cysteine residues [58]. The authors of [59] reported that a compound containing imidazolide, a conjugate base of IH-imidazole–CCDO-imidazolide (6) (Table 1) is 100 times more potent than DMF, a known NRF2 activator, in the activation of the NRF2 signaling pathway. Compound 6 is a synthetic oleanane triterpenoid containing an imidazole ring. It inhibits the production of nitric oxide and attenuates ROS generation in RAW264.7 cells; it also induces about 52 NRF2-target genes, including NQO1, and HO-1 via NRF2 activation. The treatment with 6 attenuates the production of pro-inflammatory cytokine/chemokine, tubular injury and improves renal histology in mice via NRF2 activation and upregulation of antioxidant gene expression [60]. In a similar study, the compound 6 administration decreased oxidative/nitrosative stress, pro-inflammatory responses, and attenuated hepatic, pulmonary and renal damage in mice via NRF2 activation [61]. This type of NRF2 activation has also been linked to the amelioration of cardiac dysfunction and emphysema induced by cigarette smoke [62]. Furthermore, an imidazole analogue olmesartan (7) (Table 1) has been of therapeutic importance in hypertension. Although it contains another N-based heterocycle known as tetrazole, the imidazole ring is said to contribute majorly to the pharmacological properties of olmesartan (7), and its synthesis begins with an imidazole–dicarbonitrile scaffold [63]. Compound 7 exhibits significant antioxidant and anti-inflammatory activities. It inhibits oxidative stress in the daunorubicin (DNR)-induced nephrotoxicity in rats via the activation of the NRF2 signaling pathway and upregulation of the renal expression levels of GPX, Bcl–xL and PPAR-γ. By this activation process, it reduces oxidative stress and angiotensin II which are key to DNR-induced nephrotoxicity [64].
2.1.4. Triazoles
Triazoles are unsaturated five-membered N-heterocyclic rings containing three nitrogen atoms. The large number of nitrogen atoms makes them chemically reactive and biologically important. They are commonly prepared via copper catalyzed cycloaddition reactions using calcium carbide as a source of acetylene [65]. Since the inception of click chemistry, Cu(1)-catalyzed azide-alkyne cycloaddition (CuAAC) has been used as a unique synthetic method for triazoles [66]. The synthesis of triazoles have been reviewed by [67]. Triazoles possess significant anti-inflammatory and antioxidant activities, and thus they have been extensively studied in neurodegenerative diseases [68,69]. The triazole derivatives (8 and 9) (Table 1) bearing 1,4-diaryl-1,2,3-triazole scaffolds significantly activate the NRF2 signaling pathway by inhibiting the KEAP1/NRF2 protein–protein interaction [70]. They also upregulate the expression levels of NRF2 dependent genes, including HO-1 and NQO1. 1,2,4-Triazole derivative (10) (Table 1) exerts a therapeutic effect in cerebral ischemic injury. It eliminates ROS, restores mitochondrial transmembrane potential, and attenuates neurological deficits in middle cerebral artery occlusion in acute ischemic stroke via NRF2 activation and induction of its antioxidant proteins such as HO-1, NQO1 and GCLC [71]. In a similar report, [72] reiterated that the neuroprotective effect of 1,2,4-triazole derivative (11) (Table 1) in cerebral ischemic injury is initiated by the antioxidant response element (ARE) and antioxidant genes HO-1 and NQO1 via the activation of the NRF2–ARE signaling pathway. Another 1,2,4-triazole analogue (12) (Table 1) with good bioavailability reportedly exhibited significant neuroprotective action against ischemic brain injury [73]. This implies that 1,2,4-triazoles could be an effective therapy in the treatment of ischemia related cases. Taken together, five-membered N-heterocyclic rings are endowed with diverse pharmacological properties, which accounts for the attention they have received in research lately. Particularly, their antioxidant and anti-inflammatory effects in biological systems exerted via the activation of the NRF2 signaling pathway are of notable medicinal interest.
2.2. Six-Membered N-Heterocyclic Rings and NRF2 Activation
Six-membered N-heterocycles are ubiquitous in natural products and bioactive molecules. Owing to their vast pharmacological properties, they are structural units of widely accepted pharmaceuticals, especially psychopharmaceuticals. Six-membered heterocycles containing one or two nitrogen atoms are components of drugs such as buspirone, hydroxyzine, trifluoperazine, amoxapine, trazodone, and many more [74,75]. Several compounds containing six-membered N-heterocycles activate the NRF2/KEAP1 signaling pathway [76].
2.2.1. Piperidines
Piperidine is a saturated six-membered N-heterocycle present in several natural alkaloids and pharmaceuticals. It is produced by the reaction of piperine with nitric acid and, industrially, by catalytic hydrogenation of pyridine. It can also be synthesized by the reaction of N-(tert-butylsulfinyl)-bromoimine with Grignard reagents [77]. Recent advances in the synthesis of piperidines have been reviewed by [78]. Piperidine exhibits antioxidant and anti-inflammatory activities and has been utilized as an essential scaffold in drug discovery [79]. A piperidine alkaloid (piperine) (13) (Table 1) protects neuronal cells against H2O2-induced ROS accumulation, apoptosis and oxidative damage via NRF2-dependent phase II antioxidant enzymes, especially HO-1 and NQO1 [76]. Compound 13 exerts a significant neuroprotective effect for tyrosine hydroxylase-immunopositive dopaminergic neurons and attenuates behavioral deficits in 1-methyl-4-phenyl-1,2,3,6-tetrahydropyridine (MPTP)-induced Parkinson’s disease through the activation of the NRF2/KEAP1 signaling pathway. The authors of [80] reported that the cinnamyl piperidine analogue (14) (Table 1) inhibits neddylation, migration and increases apoptosis of gastric cancer cells via a process partly mediated by the NRF2–KEAP1 signaling pathway.
2.2.2. Pyridine Analogues
Pyridine is an unsaturated six-membered N-heterocyclic ring with one nitrogen atom. It is commonly found in pharmaceuticals and vitamins. It can be produced industrially by the reaction of acrolein and acetaldehyde or through the biosynthesis of nicotinic acid [81,82]. In addition, Kröhnke pyridine synthesis has been a notable method which involves the reaction of α-pyridinium methyl ketone salts with α,β-unsaturated carbonyl compounds to produce pyridines [83]. Other methods of synthesizing pyridine have been reviewed by [84]. Pyridines possess antioxidant and anti-inflammatory properties [85,86]. Pyridine alkaloid (15) (Table 1) obtained from Fusarium lateritium enhances the expression of NRF2 and its target genes HO-1, and NQO1, thereby attenuating oxidative stress and apoptosis in glutamate-treated hippocampal HT22 cells [87]. This implies that the significant neuroprotective effects of pyridine can be attributed to its ability to activate the NRF2 signaling pathway. Pyridine derivative (16) (Table 1) also protects dopaminergic neurons from MPTP-induced oxidative stress; it suppresses the generation of proinflammatory enzymes and cytokines via the activation of NRF2 and upregulation of the mRNA levels of HO-1, SOD1, GCLM and GCLC, the NRF2-dependent antioxidant enzymes [88]. Through NRF2 activation, compound 16 restores the Parkinson’s disease-related motor dysfunctions in PD mice.
2.2.3. Pyrimidine and Pyrazine Analogues
Pyrimidine is an aromatic six-membered N-heterocyclic ring with two nitrogen atoms at 1- and 3-positions of the ring. It is present in natural molecules such as alloxan, thymine, nucleotide cytosine and thiamine, as well as synthetic compounds such as barbiturates. Pyrimidines are produced via biosynthesis in the cytoplasm and chemically by the reaction of aryl ketones and anilines [89]. The cyclization reaction of ketones with nitriles under base has been found to be an economical synthetic procedure for pyrimidines [90]. Synthetic methods for pyrimidines have been reviewed by [91]. Pyrimidines are good antioxidants and anti-inflammatory agents [92,93]. Pyrazolo[3,4-d] pyrimidine derivatives exert therapeutic effects in neurodegenerative diseases. According to [94], these pyrimidine analogues activate the NRF2 signaling pathway. A pyrimidine analogue 17 (Table 1) has been found to elevate the mRNA and protein levels of NRF2-target antioxidant enzymes such as HO-1, NQO1, GCLM and GCLC in BV-2 cells. Through NRF2 activation, it exerts anti-inflammatory, antioxidant and neuroprotective effects. In addition to the upregulation of HO-1 via the activation of NRF2/HO-1 signaling, compound 17 also activates AMPK/HO-1 signaling and through these processes, it effects neuroprotection of nigral neurons in Parkinson’s disease [94]. In a similar development, Lee and co-workers [95] further corroborated that pyrazolo[3,4-d]pyrimidine (18) (Table 1) protects nigral dopaminergic neurons and inhibits the dopamine deficiency-related motor deficits via NRF2 activation and upregulation of HO-1, NQO1, GCLM and GCLC. Another Pyrazolo[3,4-d]pyrimidine derivative (19) (Table 1) ameliorates hepatic ischemia reperfusion injury in mice by inhibiting p21-activated kinase 4 (PAK4) due to its ability to stabilize NRF2 and enhance antioxidant capacity in mice [96].
Pyrazine which belongs to the same diazine class as pyrimidine has two nitrogen atoms in the 1- and 4-positions of the ring. Tetramethyl pyrazine (20) (Table 1) exhibits a significant antioxidant and anti-apoptotic activity in MPTP-induced Parkinson’s disease in mice via the upregulation of the expression levels of NRF2, GCLC, Bax and Bcl-2 [97].
2.2.4. Triazines
Triazine is an unsaturated six-membered N-heterocyclic ring with three nitrogen atoms. They are commonly produced through Bamberger triazine synthesis which involves an aryl diazonium salt intermediate [98]. One-Pot synthesis through controlled cross-cyclotrimerization of nitriles is another efficient method for triazine preparation [99]. Other synthetic methods for the preparation of triazines have been reviewed by [100]. Triazines exhibit antioxidant and anti-inflammatory activities [101,102]. Triazines also exert neuroprotective effects in neurodegenerative diseases. Triazine analogues (21 and 22) (Table 1) maintain redox homeostasis, improve cell survival and enhance the overall antioxidant responses in organisms via the activation of NRF2 and upregulation of GPx1, GCS, SOD and CAT in neuronal cells [103]. Similarly, 1,2,4-triazine (23) (Table 1) inhibits H2O2-induced cell death, and exerts a neuroprotective effect in neuron-like PC12 cells via the activation of NRF2 and induction of GCS, HO-1 and GPX [104].
Table 1.
Five- and six-membered nitrogen heterocyclic compounds and NRF2-inducing activities.
Table 1.
Five- and six-membered nitrogen heterocyclic compounds and NRF2-inducing activities.
| S/N | Molecule/Structure | Effective concentration(s) | NRF2 Target Genes | Disease of Interest | Study Model | Biological Activity of Interest | Reference(s) |
|---|---|---|---|---|---|---|---|
| 1 | Pyrrolidine core![]() Pyrrolidine-1-carbodithioic acid | 20 mg/kg | HO-1, NQO1, GCLM, GCLC | AD, Oxidative stress | Mice, Astrocytes | Antioxidant | [36] |
| 100 mg/kg | Infertility | Rats | Antioxidant, Anti-inflammatory | [37] | |||
| 50 mg/kg | GPx1, GPx4 | Inflammation bowel disease (IBD) | Mice | Antioxidant, Anti-inflammatory | [38] | ||
| 100 µM | NQO1, GCLM | Oxidative stress | HepG2 Cells | GCL induction, NRF2 localization | [39] | ||
| 1–10 µM | HO-1, NQO1, GCLM, GCLC | AD, Aβ toxicity | Mice | Antioxidant, neurogenesis | [40] | ||
| 2 | Pyrroline core![]() (Z)-Methyl-4-(3,4-dihydroxybenzylidene)-2-methyl-5-oxo-1-phenethyl-4,5-dihydro-1H-pyrrolin-3-carboxylate. | 1 µM | HO-1, NQO1 | Neurodegenerative diseases | SH-SY5Y Cells | Antioxidant | [41] |
| 3 | Pyrazole core![]() 1H-Pyrazole | 150 mg/kg | HO-1, GST | Liver injury, Oxidative stress | Mice | Antioxidant | [49] |
| 150 mg/kg | HO-1 | Oxidative stress | Mice | Antioxidant | [50] | ||
| 4 | ![]() 6-amino-3-methyl-4-(2-nitrophenyl) -2,4-dihydropyrano[2,3-c]pyrazole-5-carbonitrile | 0.3–30 µM | HO-1, NQO1 | AD, Oxidative stress | AREc32 Cells | Antioxidant, Anti-inflammatory | [51] |
| 5 | ![]() 4-(3,5-bis((E)-4-hydroxy-3-methoxystyryl)-1H-pyrazol-1-yl)benzonitrile | 1.25–5µM | GPx | Oxidative stress | PC12 Cells | Antioxidant | [52] |
| 6 | Imidazole core![]() (4aR,6aS,12aS,12bS,14bR)-8a-(1H-imidazole-1-carbonyl)-4,4,6a,11,11,14b-hexamethyl-3,13-dioxo-3,4,4a,5,6,6a,6b,7,8,8a,9,10,11,12,12a,12b,13,14,14a,14b-icosahydropicene-2-carbonitrile | 50–200 mg/kg | HO-1, NQO1 | Lung cancer | Mice, RAW 264.7 Cells | Antioxidant, Anti-inflammatory | [59] |
| 30 µmol/kg | HO-1, NQO1, GCLC | Acute Kidney Injury | Mice | Antioxidant, Anti-inflammatory | [60] | ||
| 2 mg/kg | HO-1, NQO1, GCLC | Intestinal ischemia/reperfusion | Mice | Antioxidant, Anti-inflammatory | [61] | ||
| 7 | ![]() 1-((2’-(2H-tetrazol-5-yl)-[1,1’-biphenyl]-4-yl)methyl)-4-hydroxy-2-propyl-1H-imidazole-5-carboxylic acid | 10 mg/kg | GPx | Chronic nephrotoxicity | Rats | Antioxidant, Anti-inflammatory | [64] |
| 8 | Triazole core![]() 4-(3-nitrophenyl)-1-(m-tolyl)-1H-1,2,3-triazole | 10 µM | HO-1, NQO1 | Oxidative stress | HEK293 Cells, FP and NQO1 Assay | Antioxidant | [70] |
| 9 | ![]() 1-(3-iodophenyl)-4-(3-nitrophenyl)-1H-1,2,3-triazole | 10 µM | HO-1, NQO1 | Oxidative stress | HEK293 Cells, FP and NQO1 Assay | Antioxidant | [70] |
| 10 | ![]() 2-(1-(3,5-dimethylphenyl)-5-(2-hydroxyphenyl)-1H-1,2,4-triazol-3-yl)-5-(trifluoromethyl)phenol | <400 mg/kg | HO-1, NQO1 | Ischemia stroke | Rats | Antioxidants | [72] |
| 11 | ![]() 2-(5-(2-hydroxyphenyl)-1-(2,2,2-trifluoroethyl)-1H-1,2,4-triazol-3-yl)-5-(trifluoromethyl)phenol | <1000 mg/kg | HO-1, NQO1 | Cerebral ischemic injury | Rats | Antioxidants | [71] |
| 12 | ![]() 4-(3-(2-hydroxy-4-methoxyphenyl)-5-(2-hydroxyphenyl)-1H-1,2,4-triazol-1-yl)benzenesulfonamide | 2.5–10 µM | GPx, SOD | Ischemic stroke | PC12 Cells | Antioxidant | [73] |
| 13 | Piperidine core![]() (2E,4E)-5-(2-methoxyphenyl)-1-(piperidin-1-yl)penta-2,4-dien-1-one | 100 mg/kg | HO-1, NQO1 | PD | PC12 Cells | Antioxiodant | [76] |
| 14 | ![]() N-(4-pentylphenyl)-1-(3-phenylpropyl)piperidine-4-carboxamide | E1/E2/E2 enzymes | Gastric cancer | MIGC803 Cells | Anticancer | [80] | |
| 15 | Pyridine core![]() (+)-4,6-Anhydrooxysporidinone | 2.5 and 5 µM | HO-1 | Oxidative stress, apoptosis | HT22 cells | Antioxidant | [87] |
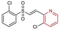
| 16 | ![]() (E)-3-chloro-2-(2-((2-chlorophenyl)sulfonyl)vinyl)pyridine | 30 mg/kg | HO-1, GCLC, GCLM, SOD-1 | PD | Mice | Antioxidant, anti-inflammatory | [88] |
| 17 | Pyrimidine core![]() 1-(tert-butyl)-6-methoxy-N-(4-methoxybenzyl)-1H-pyrazolo[3,4-d]pyrimidin-4-amine | 30 mg/kg | HO-1, NQO1, GCLM, | PD | Mice | Antioxidant, anti-inflammatory | [94] |
| 18 | ![]() 1-benzyl-6-(methylthio)-N-(1-phenylethyl)-1H-pyrazolo[3,4-d]pyrimidin-4-amine | 2000 mg/kg | HO-1, NQO1, GCLM, GCLC | PD | Mice | Antioxidant, anti-inflammatory | [95] |
| 19 | ![]() 1-((3-(4-amino-3-methyl-1H-pyrazolo[3,4-d]pyrimidin-1-yl)phenyl)ethynyl)cyclohexanol | 20 µM | HO-1, NQO1 | Ischemia reperfusion injury | Mice | Antioxidant, anti-inflammatory | [96] |
| 20 | Pyrazine core![]() tetramethyl pyrazine | 20 mg/kg | GCLC | PD | Mice | Antioxidant | [97] |
| 21 | Triazine core![]() 3-(methylthio)-5,6-diphenyl-1,2,4-triazine | 10 µM | HO-1, GPx1 | AD | PC12 Cells | Antioxidant | [103] |
| 22 | ![]() 5,6-bis(4-chlorophenyl)-3-(methylthio)-1,2,4-triazine | 10 µM | HO-1, GPx1 | AD | PC12 Cells | Antioxidant | [103] |
| 23 | ![]() 5,6-bis(4-methoxyphenyl)-3-(methylthio)-1,2,4-triazine | 5–20 µ | HO-1, GPx1 | AD | PC12 Cells | Antioxidant, anti-inflammatory | [104] |
2.3. Fused/Condensed Nitrogen Heterocyclic Compounds
Fused nitrogen heterocycles contain at least one nitrogen heterocyclic ring fused with either a heterocyclic or carbocyclic ring. They have been extensively studied [105,106,107,108]. They are found in a wide range of bioactive natural products and synthetic compounds. Thus, almost a third of the best-selling therapeutics contain at least one fused heterocyclic compound, and the majority are nitrogen-based [1]. Apart from natural occurrence, several fused N-heterocycles are obtained via facile and effective synthetic processes [109]. Most of them exhibit antioxidant and anti-inflammatory activities [110].
2.3.1. Indoles
Indole is an aromatic fused N-heterocyclic containing a benzene and pyrrole ring. They can be produced by certain bacteria or chemically by the catalytic reaction of aniline with ethylene glycol [111]. They can also be synthesized by acid–metal cyclization of aldehydes [112]. The synthesis of indoles has been reviewed by [113]. Indole-3-carbinol (I3C) (24) (Table 2), abundantly found in crucifers, regulates the NRF2 signaling pathway and exerts chemopreventive effects. The compound 24 induces ARE-luciferase activity and NRF2-mediated genes, and suppresses the incidence of palpable tumors and genitourinary weight [114]. It inhibits prostate cancer in transgenic adenocarcinomas of mouse prostate (TRAMP) mice via NRF2 activation. Although compound 24 is effective in activating the NRF2 signaling pathway, available data indicate that its dimerization to 3,3-iindolylmethane (25) (Table 2) results in improved NRF2-inducing activity. In a comparative study of their potential NRF2-inducing activity in murine fibroblasts (NIH3T3), compound 25 was found to induce the transactivation of NRF2 and upregulation of NQO1, γGCS and HO-1 in contrast to its precursor (24) [115]. In another development, the compound 25 suppresses DNMT expression, reverses the CpG methylation status of NRF2, upregulates the expression of NQO1 in vitro, and reduces tumorigenesis and metastasis in TRAMP mice via the activation of the NRF2 pathway which accounts for its chemopreventive actions in prostate cancer [116]. Prenylated indole alkaloid (26) (Table 2) also exerts neuroprotection against oxidative stress in SH-SY5Y cells via the nuclear translocation of NRF2 and the induction of NQO1 and HO-1. It activates NRF2 signaling by binding non-covalently with KEAP1, resulting in the reduction of ROS accumulation and the enhancement of the GSH level [117]. An indole analogue bearing a lactic acid moiety (27) (Table 2) attenuates inflammation and protects intestinal epithelial cells via the activation of NRF2 and aryl hydrogen receptor pathways [118]. Furthermore, an indole derivative (28) (Table 2) reduces ROS levels and improves neuronal viability in Parkinson’s disease via NRF2 activation [119]. It is important to note that several indole derivatives are non-covalent KEAP1-NRF2 protein–protein interaction (PPI) inhibitors. Through this mechanism, indole derivatives 29 and 30 (Table 2) increase the expression level of NQO1 and outperform tert-butylhydroquinone (tBHQ), a known NRF2 activator [120,121]. Some indole derivatives also regulate the induction of SOD2 via NRF2 expression in the mouse brain [122].
2.3.2. Quinazolines
Quinazoline is an aromatic fused N-heterocyclic compound containing a benzene and pyrimidine ring. They are biologically active, and are components of several pharmaceuticals, including notable drugs [123]. They can be produced by reacting anthranilic acid and formamide in a process known as Niementowski’s synthesis [124]. The reaction of aromatic aldehydes with aminobenzimidazole and dimedone using sulfonic acid functionalized nano-porous silica has become a more convenient synthetic method for quinazolines [125]. Various methods used in the synthesis of quinazolines have been reviewed by [126]. Quinazolines possess diverse biological properties, including antioxidant activities [127,128,129]. Several quinazoline analogues of medicinal importance have been synthesized by the introduction of bioactive moieties to the stable quinazoline nucleus. The incorporation of nitrogen heterocycles at position 4- of the quinazoline ring has been found to enhance its cytoprotective activity including the activation of the NRF2 signaling pathway [130]. Quinozaline derivatives are highly potent inducers of the NRF2 target gene NQO1 [130]. The quinazolinone derivative (31) (Table 2) upregulates the expression levels of NRF2, HO-1 and NQO1, with a consequent downregulation of the expression of KEAP1, AhR and CYP1B1 [131]. This modulation of the AhR/CYP1B1/NRF2/KEAP1 signaling pathway by compound 31 accounts for its chemotherapeutic potency in the inhibition of liver carcinogenesis. Tryptanthrin, a natural quinazoline derivative (32) (Table 2) obtained from Isatidis radix, has been found to upregulate the expression levels of NRF2 and its target genes. Compound 32 also exhibits hepatoprotective effects against oxidative stress via the activation of the extracellular signal regulated kinase (ERK)/NRF2 signaling pathway in HepG2 cells [132]. On the contrary, indazolo[3,2-b]quinazolinones inhibit the NRF2/ARE signaling pathway; however, this opposing effect has been found therapeutic in hepatocellular carcinoma [133].
2.3.3. Isoquinolines
Isoquinoline is an aromatic fused N-heterocycle made up of a benzene ring and a pyridine ring. They are isolated from natural alkaloids and produced chemically by Schlittler–Muller modification reaction [134,135]. They can also be prepared from benzaldehyde and amine via an acid-promoted synthesis [136]. Other synthetic methods for isoquinolines have been reviewed by [137]. Isoquinoline and its derivatives possess diverse biological properties, including antioxidant and anti-inflammatory activities [138,139]. Pyrazino[2,1-a]isoquinoline derivatives (33 and 34) (Table 2) are potent NRF2/ARE inducers [140,141]. Compounds 33 and 34 activate the NRF2/ARE signaling pathway and elevate NQO1 at the cellular level [140,141]. Diphenyl isoquinoline-I-amine derivative (35) (Table 2) exhibits anti-amnesic activity which has been linked to its ability to activate the NRF2/HO-1 signaling pathway. Through this activation, it attenuates oxidative stress and cholinergic dysfunction in the prefrontal cortex of mice exposed to scopolamine [142]. Furthermore, isoquinoline alkaloid (36) (Table 2) upregulates the expression of NRF2 transcription factor and its target genes such as HO-1, GPX, SOD, CAT and NQO1, which help in alleviating monosodium urate crystal-induced inflammation in rats [143].
Table 2.
Fused Nitrogen heterocyclic compounds and NRF2-inducing activities.
Table 2.
Fused Nitrogen heterocyclic compounds and NRF2-inducing activities.
| S/N | Molecule/Structure | Effective Concentration(s) | NRF2 Target Genes | Disease of Interest | Study Model | Biological Activity of Interest | Reference(s) |
|---|---|---|---|---|---|---|---|
| 24 | Indole core![]() (1H-indol-3-yl)methanol | 20mg/kg | NQO1 | Prostate cancer | Mice | Antioxidant | [114] |
| 25 | ![]() 3,3′-diindolylmethane | 25–100 µM | NQO1, HO-1 | Oxidative stress | NIH3T3 Cells | Antioxidant | [115] |
| 5 µM | NQO1 | Prostate cancer | TRAMP mice, C1 Cells | Antioxidant, Anticancer | [116] | ||
| 26 | ![]() (3R,6S,12aR,13aR)-3-isopropyl-12a-methoxy-13a-methyl-6-(2-methylprop-1-en-1-yl)-2,3,13,13a-tetrahydro-1H-pyrazino[1’,2’:3,4]pyrimido[1,6-a]indole-1,4,12(6H,12aH)-trione | 10–50 µM | NQO1 | Oxidative stress | SH-SY5Y Cells | Antioxidant | [117] |
| 27 | ![]() 2-hydroxy-3-(1H-indol-3-yl)propanoic acid | 0.1–10 mM | NQO1, SOD-2, GPX-2 | Intestinal inflammation | Gut epithelial cells | Antioxidant, Anti-inflammatory | [118] |
| 28 | ![]() 2,3-dihydrocyclopenta[b]indol-1(4H)-one | 0.1 µM | NQO1 | PD | SH-SY5Y | Antioxidant | [119] |
| 29 | ![]() 1-((4-methoxyphenyl)sulfonyl)-5-(((4-methoxyphenyl)sulfonyl)methyl)-2-methyl-N’-phenyl-1H-benzo[g]indole-3-carbohydrazide | 4–100 µM | NQO1 | Oxidative stress | MEF Cells, HepG2 Cells | Antioxidant | [120] |
| 30 | ![]() 5-(3-(((3-methoxybenzyl)amino)methyl)indolin-1-yl)thiophene-2-carboxylic acid | 5 µM | NQO1 | Oxidative stress | HeLa Cells | Antioxidant | [121] |
| 31 | Quinazoline core![]() 2-(4-bromophenyl)quinazolin-4(1H)-one | 15, 30 mg/kg | NQO1, HO-1 | Liver carcinogenesis | Rat | Antioxidant, Anticancer | [131] |
| 32 | ![]() indolo[2,1-b]quinazoline-6,12-dione | 1 µM | HO-1, GCLC | Oxidative stress | HepG2 Cells | Antioxidant | [132] |
| 33 | Isoquinoline core![]() (Z)-3-(2-(3-fluorophenyl)-2-oxoethylidene)-2,3,6,7-tetrahydro-1H-pyrazino[2,1-a]isoquinolin-4(11bH)-one | 10 µM | NQO1 | Oxidative stress | HepG2-ARE-C8 Cells | Antioxidant | [141] |
| 34 | ![]() (Z)-3-(2-oxo-2-phenylethylidene)-2,3,6,7-tetrahydro-1H-pyrazino[2,1-a]isoquinolin-4(11bH)-one | 10 µM | NQO1 | Oxidative stress | HepG2-ARE-C8 Cells | Antioxidant | [141] |
| 35 | ![]() 7-fluoro-1,3-diphenylisoquinolin-1-amine | 10, 25 mg/kg | HO-1 | Amnesia, Oxidative stress | Mice | Anti-amnesic, Antioxidant | [142] |
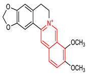
| 36 | ![]() 9,10-dimethoxy-5,6-dihydro-[1,3]dioxolo[4,5-g]isoquinolino[3,2-a]isoquinolin-7-ium | 50 mg/kg | NQO1, HO-1, SOD-1, CAT, GPx | Gouty arthritis | Rats | Antioxidant, anti-inflammatory | [143] |
| 37 | ![]() 2-(4-methoxy-N-(4-(4-methoxy-N-(2,2,2-trifluoroethyl)phenylsulfonamido)isoquinolin-1-yl)phenylsulfonamido)acetic acid | 15 µM | NQO1 | Hepatic injury | U2OS Cells | Antioxidant, Hepatocellular protection | [144,145] |
Several isoquinoline derivatives exert their NRF2-inducing activity by the inhibiting the KEAP1/NRF2 interaction. This is based on the fact that the pharmacological activation of NRF2 arises from the inhibition of the interaction of NRF2 with KEAP1 [144,145]. Thus, isoquinoline PRL-295 (37) (Table 2) increases KEAP1 thermostability in cell lysates and causes a disruption of its interaction with NRF2 in single live cells. This leads to the activation of NRF2 and enhanced hepatocellular protection. Oral administration of this isoquinoline analogue (37) in mice results in the induction of NQO1 in the liver, and a reduction of the plasma alanine aminotransferase and aspartate aminotransferase levels associated with acetaminophen-induced hepatic injury [145,145]. The modulation of NRF2 signaling pathway has been found therapeutic in hepatic diseases [146].
3. Pharmacological Profile of NRF2-Activating Nitrogen Heterocyclic Molecules
Several nitrogen heterocyclic derivatives exhibit good ligand and lipophilic efficiency, which influences their solubility, absorption, distribution and membrane permeability [147,148]. Compound 1 is a metal-chelating compound that permeates the blood brain barrier, making it valuable for CSN-related diseases [36]. It has a rapid absorption and intravenous LD50 of 282 mg/kg and 306 mg/kg in mice and rats, respectively. It possesses a toxicological profile that qualifies it as a drug candidate [149]. Pyrazole (3) exhibits good oral bioavailability, adsorption, distribution, metabolism, and excretion (ADME) and toxicological profile and drug-likeness [150].
In addition to higher NRF2-inducing activity and elevation of HO-1 and NQO1 mRNA levels, compounds 40 and 41 exhibit better metabolic stability and pharmacodynamics than compound 6 [151]. For instance, compound 6 is not as stable as compounds 40 and 41 in human plasma. Compounds 40 and 41 (12–15 µmol/kg) also exhibit a higher bioavailability of 6 (1.7 µmol/kg) in the mouse liver after six hours [151]. The metabolic and pharmacokinetic profiles of compound 7 have been reported by [152]. 1,4-diaryl-1,2,3-triazole derivatives (8 and 9) show strong binding interactions with Arg483, Arg415, Arg380, Ser602 and Asn382 amino acids of the Keap1 Kelch domain, making them act as Keap1-NRF2 PPI inhibitors [70]. The 1,2,4-triazole derivatives (10, 11 and 12) have interesting pharmacokinetic properties. Compound 10 exhibits very suitable pharmacokinetic properties including low acute toxicity, a high plasma protein binding rate, and good hERG inhibition [72]. The pharmacokinetics and pharmacodynamics of derivatives of 13 have been evaluated by [153]. The cytotoxicity of pyridine derivative 16 shows 100% cell survival up to 10 µM, plasma and microsomal stability with about 97% and 66% of the intact remaining [107]. It also exhibits blood brain barrier permeability (Pe: 65.16 × 10−6) which could be beneficial in CNS-related diseases [107]. Pyrimidine derivative 18 binds directly to KEAP1 with high affinity and dissociation constant (Kd) of 5.84 × 10−10 M and causes an alteration in the plasma resonance [108]. Pharmacokinetic studies indicate that 18 has good bioavailability and permeates the brain after intravenous and oral administration [108]. 1,2,4-Triazine derivatives (21, 22 and 23) permeate the blood brain barrier [104]. Studies have revealed the bioavailability, metabolism and distribution of compounds 24 and 25. While 24 is not detectable in plasma, 25 can be detected in plasma [154]. Compound 24 is highly unstable and rapidly absorbed to well-perfused tissues where it easily transforms to 25, which is more stable and exerts anticancer actions [155]. Indole derivative 30 shows a strong binding interaction with amino acid residues of KEAP1 [121]. The pharmacokinetic and physicochemical properties of 30 have been reported by [121]. Isoquinoline derivative 33 exhibits unfavorable physicochemical properties such as poor membrane permeability (11.680 × 10−6 cm/s. pH 7.4) and water solubility (0.022 µg/µL, pH 7.4), probably due to the complexity of the ring systems and rigidity of the backbone [119]. However, these physicochemical properties were improved by the complete removal of benzene ring A (48).
4. Structure–Activity Relationship of NRF2-Activating Nitrogen Heterocyclic Molecules
The SAR assessment of nitrogen heterocyclic molecules for improved NRF2-inducing activity is represented in Figure 1. The pyrrolidine moiety in compound 1 influences the antioxidant activity. The introduction of the pyrrolidine moiety to caffeic acid improves its antioxidant activity. The replacement of the OH of the COOH of caffeic acid with pyrrolidine increases its ability to attenuate lipid peroxidation and improve antioxidant capacity via the activation of Nrf2-dependent antioxidant enzyme HO-1 pathway and AKT pathway in heart [156]. The SAR studies of pyrazole derivatives indicate that the incorporation of the pyrazole core (3) increases their total antioxidant activity [157]. Although compound 6 activates the NRF2 signaling pathway and upregulates the expression levels of HO-1 and NQO1, the introduction of 2- and 3-pyridyl moieties to the imidazole produces better drug candidates 40 and 41, respectively [151]. For 1,4-diaryl-1,2,3-triazoles (8 and 9), the insertion of a nitro group at the meta position of the 4-phenyl ring and a nitro (42), methyl (43) or halogen group (44) at the meta position of the 1-phenyl ring are the best conformations required for NRF2 cell-based activity [70]. For 1,2,4-triazole derivatives 10, 11 and 12, [72] reported that the introduction of alkyl groups at the 3-position of the 1,2,4-triazole moiety enhanced the NRF2-mediated neuroprotective effects. Notably, the 3,5-dimethyl substitution (10) confers the best NRF2-inducing activity and neuroprotection. For piperidine derivatives 13 and 14, the introduction of N,N-dibutyl, N,N-dipropyl, N,N-bistrifluoromethyl or p-methyl to their piperidine scaffold enhances their pharmacological efficiency [158]. Compound 16 was designed based on SAR analysis, and it exhibits superlative NRF2-inducing activity. Among the drugs approved by the USA FDA, the pyridine moiety remains the second most commonly introduced aromatic N-heterocycle [159,160]. According to [107], the replacement of chlorobenzene with a pyridine ring and OMe with Cl- in vinyl sulfone (45: EC50 = 530 nM) improves its NRF2-inducing activity (46: EC50 = 0.618 µM). Furthermore, the insertion of 3-Cl into the pyridine ring of 46 confers the highest NRF2-inducing activity (16: EC50 = 0.026 µM).
Figure 1.
Structure–activity relationship (SAR) of NRF2-activating nitrogen heterocycle-containing molecules. The SAR assessment of molecules showed improved NRF2-inducing activity with the introduction of certain nitrogen heterocyclic compounds, as discussed in Section 4.
A SAR evaluation of triazine derivatives (21, 22 and 23) suggests that the introduction of aryl groups at 4-and 5-positions, and a thiolalkyl group at the 2-position of the triazine ring (47) could improve NRF2-mediated neuroprotective effects [103]. Structurally, compound 25 containing double indolyl groups outperforms its precursor (24) with one indolyl group as an NRF2 inducer [115]. The presence of double indolyl groups could be responsible for the increased NRF2-activating potency of compound 25. The incorporation of a thiophene-carboxylic moiety improves the NRF2-inducing activity of indole derivatives [121]. The thiophene ring of compound 30 is involved in a strong interaction, which accounts for its ability to significantly induce NRF2-related antioxidant enzymes. The SAR of the isoquinoline derivative (33) has been studied. The benzene ring B in 33 has been identified as the main driver of its NRF2/ARE-inducing activity, and 3-F substitution of the benzene ring B (33) gives the best activity [141]. Removal of benzene ring A (48) results in comparable NRF2/ARE-inducing activity with 33 but improved physicochemical and drug-like properties.
5. Conclusions
Owing to their wide range of pharmacological activities, nitrogen heterocycles and analogues are essential candidate drugs for myriad of diseases, especially those in which oxidative stress and inflammation have been implicated. Interestingly, both natural and synthetic nitrogen heterocycles exert therapeutic effects in neurodegenerative diseases such as Alzheimer’s disease, Huntington’s disease, Parkinson’s disease, and many more [161,162,163]. This is due to the fact that most of these nitrogen heterocycles activate the NRF2 signaling pathway, which regulates oxidative stress and neuroinflammation, the key mediators in the development of neurodegenerative diseases. Through their NRF2-mediated antioxidant and anti-inflammatory effects, N-based heterocycles attenuate the gradual decline in neuronal functions associated with neurodegenerative diseases. Furthermore, the ability of these nitrogen heterocycles to elevate the expression levels of NRF2 target genes such as NQO1, HO-1, GCLM, GCLC, GPX, SOD and CAT represents an essential therapeutic strategy in a myriad of diseases. The available data indicate that about 95% of NRF2-activating nitrogen heterocycles induce the expression of NQO1 and HO-1, which are essential therapeutic molecular targets for several inflammation- and oxidative stress-mediated diseases. It is well established that while NQO1 catalyzes the reduction and detoxification of quinines and their analogues, HO-1 is involved in heme catabolism, and these processes exert anti-inflammatory and antioxidant effects in organisms. This implies that NRF2-activating nitrogen heterocycles will aid NQO1 and HO-1 targeted drug discovery for diseases in which oxidative stress and inflammation have been implicated. Taken together, the analyses of the NRF2-inducing activity of nitrogen heterocycles based on the size of the ring indicate that aziridines and azetidines which are three- and four-membered N-heterocycles, respectively, have not been explored yet. However, five-membered N-based heterocycles such as pyrrolidines, pyrroles, imidazoliding, imidazoles, triazoles and pyrazoles exert NRF2-mediated antioxidant and anti-inflammatory effects, which have been found therapeutic in diseases such as infertility, liver injury, inflammatory bowel diseases, lung cancer and neurodegenerative diseases, especially Alzheimer’s disease (Table 1). Furthermore, six-membered N-based heterocycles such as piperidines, pyridines, pyrimidines, pyrazines, triazines and their derivatives exhibit significant antioxidant and anti-inflammatory properties. They play essential therapeutic roles in Parkinson’s disease, gastric cancer, ischemia reperfusion injury and Alzheimer’s disease via NRF2 activation (Table 1). On the other hand, fused nitrogen heterocycles such as indoles, quinazolines and isoquinolines exhibit antioxidant and anti-inflammatory activities, and exert NRF2-mediated therapeutic effects in prostate cancer, intestinal inflammation, liver carcinogenesis, amnesia, gouty arthritis and Parkinson’s disease (Table 2). Obviously, higher membered rings such as azepine (seven-membered), azocines (eight–membered) and azonines (nine-membered) have not been explored. In the same vein, higher nitrogen containing heterocycles such as tetrazoles and pentazoles have not been subjected to NRF2-inducing activity evaluation. However, it is important to explore them because if nitrogen heterocycles were to activate NRF2 in direct proportion to their size and number of nitrogen atoms, then higher membered rings and higher nitrogen-containing heterocycles would be privileged molecules. In summary, based on NRF2-mediated activities, pharmacological profile and SAR evaluation, nitrogen heterocycles and their analogues represent good candidates for further development for inflammation and oxidative stress-mediated diseases, especially neurodegenerative diseases.
Author Contributions
Conceptualization, M.C.E. and L.S.; methodology and literature search, M.C.E., P.T., U.C.O., C.N.E. and L.S.; writing—original draft preparation, M.C.E., P.T., U.C.O., C.N.E. and L.S.; writing—review and editing, M.C.E., P.T., U.C.O., C.N.E. and L.S. All authors have read and agreed to the published version of the manuscript.
Funding
This research received no external funding.
Institutional Review Board Statement
Not applicable.
Informed Consent Statement
Not applicable.
Data Availability Statement
Not applicable.
Conflicts of Interest
The authors declare no conflict of interest.
References
- Heravi, M.M.; Zadsirjan, V. Prescribed drugs containing nitrogen heterocycles: An overview. RSC Adv. 2020, 10, 44247–44311. [Google Scholar] [CrossRef]
- Kerru, N.; Gummidi, L.; Maddila, S.; Gangu, K.K.; Jonnalagadda, S.B. A Review on Recent Advances in Nitrogen-Containing Molecules and Their Biological Applications. Molecules 2020, 25, 1909. [Google Scholar] [CrossRef] [PubMed]
- Kumar, A.; Singh, A.K.; Singh, H.; Vijayan, V.; Kumar, D.; Naik, J.; Thareja, S.; Yadav, J.P.; Pathak, P.; Grishina, M.; et al. Nitrogen Containing Heterocycles as Anticancer Agents: A Medicinal Chemistry Perspective. Pharmaceuticals 2023, 16, 299. [Google Scholar] [CrossRef]
- Egbujor, M.C.; Egu, S.A.; Okonkwo, V.I.; Jacob, A.D.; Egwuatu, P.I.; Amasiatu, I.S. Antioxidant Drug Design: Historical and Recent Developments. J. Pharm. Res. Int. 2021, 32, 36–56. [Google Scholar] [CrossRef]
- Egbujor, M.C.; Garrido, J.; Borges, F.; Saso, L. Sulfonamide a Valid Scaffold for Antioxidant Drug Development. Mini-Reviews Org. Chem. 2022, 20, 190–209. [Google Scholar] [CrossRef]
- Egbujor, M.C.; Buttari, B.; Profumo, E.; Telkoparan-Akillilar, P.; Saso, L. An Overview of NRF2-Activating Compounds Bearing α,β-Unsaturated Moiety and Their Antioxidant Effects. Int. J. Mol. Sci. 2022, 23, 8466. [Google Scholar] [CrossRef]
- Cores, Á.; Piquero, M.; Villacampa, M.; León, R.; Menéndez, J.C. NRF2 Regulation Processes as a Source of Potential Drug Targets against Neurodegenerative Diseases. Biomolecules 2020, 10, 904. [Google Scholar] [CrossRef]
- Egbujor, M.C.; Saha, S.; Buttari, B.; Profumo, E.; Saso, L. Activation of Nrf2 signaling pathway by natural and synthetic chalcones: A therapeutic road map for oxidative stress. Expert Rev. Clin. Pharmacol. 2021, 14, 465–480. [Google Scholar] [CrossRef]
- Sun, Z.; Chin, Y.E.; Zhang, D.D. Acetylation of Nrf2 by p300/CBP Augments Promoter-Specific DNA Binding of Nrf2 during the Antioxidant Response. Mol. Cell. Biol. 2009, 29, 2658–2672. [Google Scholar] [CrossRef] [PubMed]
- Theodore, M.; Kawai, Y.; Yang, J.; Kleshchenko, Y.; Reddy, S.P.; Villalta, F.; Arinze, I.J. Multiple Nuclear Localization Signals Function in the Nuclear Import of the Transcription Factor Nrf2. J. Biol. Chem. 2008, 283, 8984–8994, Erratum in: J. Biol. Chem. 2008, 283, 14176. [Google Scholar] [CrossRef]
- Jaramillo, M.C.; Zhang, D.D. The emerging role of the Nrf2–Keap1 signaling pathway in cancer. Genes Dev. 2013, 27, 2179–2191. [Google Scholar] [CrossRef]
- Kansanen, E.; Kuosmanen, S.M.; Leinonen, H.; Levonen, A.-L. The Keap1-Nrf2 pathway: Mechanisms of activation and dysregulation in cancer. Redox Biol. 2013, 1, 45–49. [Google Scholar] [CrossRef]
- Nioi, P.; Nguyen, T.; Sherratt, P.J.; Pickett, C.B. The Carboxy-Terminal Neh3 Domain of Nrf2 Is Required for Transcriptional Activation. Mol. Cell. Biol. 2005, 25, 10895–10906. [Google Scholar] [CrossRef]
- Katoh, Y.; Itoh, K.; Yoshida, E.; Miyagishi, M.; Fukamizu, A.; Yamamoto, M. Two Domains of Nrf2 Cooperatively Bind CBP, a CREB Binding Protein, and Synergistically Activate Transcription. Genes Cells 2001, 6, 857–868. [Google Scholar] [CrossRef]
- Rada, P.; Rojo, A.I.; Evrard-Todeschi, N.; Innamorato, N.G.; Cotte, A.; Jaworski, T.; Tobón-Velasco, J.C.; Devijver, H.; García-Mayoral, M.F.; Van Leuven, F.; et al. Structural and Functional Characterization of Nrf2 Degradation by the Glycogen Synthase Kinase 3/β-TrCP Axis. Mol. Cell. Biol. 2012, 32, 3486–3499. [Google Scholar] [CrossRef]
- Wang, H.; Liu, K.; Geng, M.; Gao, P.; Wu, X.; Hai, Y.; Li, Y.; Li, Y.; Luo, L.; Hayes, J.D.; et al. RXRα Inhibits the NRF2-ARE Signaling Pathway through a Direct Interaction with the Neh7 Domain of NRF2. Cancer Res. 2013, 73, 3097–3108. [Google Scholar] [CrossRef]
- Cullinan, S.B.; Gordan, J.D.; Jin, J.; Harper, J.W.; Diehl, J.A. The Keap1-BTB Protein Is an Adaptor That Bridges Nrf2 to a Cul3-Based E3 Ligase: Oxidative Stress Sensing by a Cul3-Keap1 Ligase. Mol. Cell. Biol. 2004, 24, 8477–8486. [Google Scholar] [CrossRef] [PubMed]
- Egbujor, M.C.; Petrosino, M.; Zuhra, K.; Saso, L. The Role of Organosulfur Compounds as Nrf2 Activators and Their Antioxidant Effects. Antioxidants 2022, 11, 1255. [Google Scholar] [CrossRef]
- Cuadrado, A.; Rojo, A.I.; Wells, G.; Hayes, J.D.; Cousin, S.P.; Rumsey, W.L.; Attucks, O.C.; Franklin, S.; Levonen, A.-L.; Kensler, T.W.; et al. Therapeutic targeting of the NRF2 and KEAP1 partnership in chronic diseases. Nat. Rev. Drug Discov. 2019, 18, 295–317. [Google Scholar] [CrossRef] [PubMed]
- Nalbandian, M.; Radak, Z.; Takeda, M. N-acetyl-L-cysteine prevents lactate-mediated PGC1-alpha expression in C2C12 myotubes. Biology 2019, 8, 44. [Google Scholar] [CrossRef] [PubMed]
- Degendorfer, G.; Chuang, C.Y.; Hammer, A.; Malle, E.; Davies, M.J. Peroxynitrous acid induces structural and functional modifications to basement membranes and its key component, laminin. Free. Radic. Biol. Med. 2015, 89, 721–733. [Google Scholar] [CrossRef]
- Kerch, G. Tissue Integrity and COVID-19. Encyclopedia 2021, 1, 206–219. [Google Scholar] [CrossRef]
- Zhang, H.; Davies, K.J.; Forman, H.J. Oxidative stress response and Nrf2 signaling in aging. Free. Radic. Biol. Med. 2015, 88, 314–336. [Google Scholar] [CrossRef]
- Wardyn, J.D.; Ponsford, A.H.; Sanderson, C.M. Dissecting molecular cross-talk between Nrf2 and NF-κB response pathways. Biochem. Soc. Trans. 2015, 43, 621–626. [Google Scholar] [CrossRef] [PubMed]
- Zhang, B.; Studer, A. Recent Advances in the Synthesis of Nitrogen Heterocycles via Radical Cascade Reactions Using Isonitriles as Radical Acceptors. Chem. Soc. Rev. 2015, 44, 3505–3521. [Google Scholar] [CrossRef] [PubMed]
- Walsh, C.T. Nature loves nitrogen heterocycles. Tetrahedron Lett. 2015, 56, 3075–3081. [Google Scholar] [CrossRef]
- Gordon, E.M.; Barrett, R.W.; Dower, W.J.; Fodor, S.P.A.; Gallop, M.A. Applications of Combinatorial Technologies to Drug Discovery. 2. Combinatorial Organic Synthesis, Library Screening Strategies, and Future Directions. J. Med. Chem. 1994, 37, 1385–1401. [Google Scholar] [CrossRef]
- Ismail, F.M.; Levitsky, D.O.; Dembitsky, V.M. Aziridine alkaloids as potential therapeutic agents. Eur. J. Med. Chem. 2009, 44, 3373–3387. [Google Scholar] [CrossRef]
- Fürmeier, S.; Metzger, J.O. Fat-Derived Aziridines and Their N-Substituted Derivatives: Biologically Active Compounds Based on Renewable Raw Materials. Eur. J. Org. Chem. 2003, 2003, 649–659. [Google Scholar] [CrossRef]
- Kim, J.; Kim, S.-M.; Na, J.-M.; Hahn, H.-G.; Cho, S.-W.; Yang, S.-J. Protective effect of 3-(naphthalen-2-yl(propoxy)methyl)azetidine hydrochloride on hypoxia-induced toxicity by suppressing microglial activation in BV-2 cells. BMB Rep. 2016, 49, 687–692. [Google Scholar] [CrossRef]
- Baumann, M.; Baxendale, I.; Ley, S.; Nikbin, N. An overview of the key routes to the best selling 5-membered ring heterocyclic pharmaceuticals. Beilstein J. Org. Chem. 2011, 7, 442–495. [Google Scholar] [CrossRef]
- Jiang, Y.; Liu, R.; Li, J.; Huang, Q.; Liu, S.; He, J. Pyrrole-2-Carbaldehydes with Neuroprotective Activities from Moringa Oleifera Seeds. Phytochemistry 2022, 204, 113451. [Google Scholar] [CrossRef]
- Łowicki, D.; Przybylski, P. Tandem construction of biological relevant aliphatic 5-membered N-heterocycles. Eur. J. Med. Chem. 2022, 235, 114303. [Google Scholar] [CrossRef] [PubMed]
- Naito, Y.; Shida, N.; Atobe, M. Synthesis of piperidine and pyrrolidine derivatives by electroreductive cyclization of imine with terminal dihaloalkanes in a flow microreactor. Beilstein J. Org. Chem. 2022, 18, 350–359. [Google Scholar] [CrossRef] [PubMed]
- Bhat, C.; Tilve, S.G. Recent advances in the synthesis of naturally occurring pyrrolidines, pyrrolizidines and indolizidine alkaloids using proline as a unique chiral synthon. RSC Adv. 2014, 4, 5405–5452. [Google Scholar] [CrossRef]
- Liddell, J.R.; Lehtonen, S.; Duncan, C.; Keksa-Goldsteine, V.; Levonen, A.-L.; Goldsteins, G.; Malm, T.; White, A.R.; Koistinaho, J.; Kanninen, K.M. Pyrrolidine Dithiocarbamate Activates the Nrf2 Pathway in Astrocytes. J. Neuroinflammation 2016, 13, 49. [Google Scholar] [CrossRef]
- Delen, O.; Uz, Y.H. Protective effect of pyrrolidine dithiocarbamate against methotrexate-induced testicular damage. Hum. Exp. Toxicol. 2021, 40, S164–S177. [Google Scholar] [CrossRef]
- Yin, J.; Wu, M.; Duan, J.; Liu, G.; Cui, Z.; Zheng, J.; Chen, S.; Ren, W.; Deng, J.; Tan, X.; et al. Pyrrolidine Dithiocarbamate Inhibits NF-KappaB Activation and Upregulates the Expression of Gpx1, Gpx4, Occludin, and ZO-1 in DSS-Induced Colitis. Appl. Biochem. Biotechnol. 2015, 177, 1716–1728. [Google Scholar] [CrossRef]
- Zipper, L.M. Erk Activation Is Required for Nrf2 Nuclear Localization during Pyrrolidine Dithiocarbamate Induction of Glutamate Cysteine Ligase Modulatory Gene Expression in HepG2 Cells. Toxicol. Sci. 2003, 73, 124–134. [Google Scholar] [CrossRef] [PubMed]
- Kärkkäinen, V.; Pomeshchik, Y.; Savchenko, E.; Dhungana, H.; Kurronen, A.; Lehtonen, S.; Naumenko, N.; Tavi, P.; Levonen, A.-L.; Yamamoto, M.; et al. Nrf2 Regulates Neurogenesis and Protects Neural Progenitor Cells Against Aβ Toxicity. STEM CELLS 2014, 32, 1904–1916. [Google Scholar] [CrossRef]
- Cores, A.; Abril, S.; Michalska, P.; Duarte, P.; Olives, A.; Martín, M.; Villacampa, M.; León, R.; Menéndez, J. Bisavenathramide Analogues as Nrf2 Inductors and Neuroprotectors in In Vitro Models of Oxidative Stress and Hyperphosphorylation. Antioxidants 2021, 10, 941. [Google Scholar] [CrossRef] [PubMed]
- Steinbach, G.; Lynch, P.M.; Phillips, R.K.; Wallace, M.H.; Hawk, E.; Gordon, G.B.; Wakabayashi, N.; Saunders, B.; Shen, Y.; Fujimura, T.; et al. The Effect of Celecoxib, a Cyclooxygenase-2 Inhibitor, in Familial Adenomatous Polyposis. N. Engl. J. Med. 2000, 342, 1946–1952. [Google Scholar] [CrossRef] [PubMed]
- Friedrich, G.; Rose, T.; Rissler, K. Determination of Lonazolac and Its Hydroxy and O-Sulfated Metabolites by on-Line Sample Preparation Liquid Chromatography with Fluorescence Detection. J. Chromatogr. B Analyt. Technol. Biomed. Life Sci. 2002, 766, 295–305. [Google Scholar] [CrossRef] [PubMed]
- Hampp, C.; Hartzema, A.G.; Kauf, T.L. Cost-Utility Analysis of Rimonabant in the Treatment of Obesity. Value Health 2008, 11, 389–399. [Google Scholar] [CrossRef] [PubMed]
- Schmidt, A.; Dreger, A. Recent Advances in the Chemistry of Pyrazoles. Properties, Biological Activities, and Syntheses. Curr. Org. Chem. 2011, 15, 1423–1463. [Google Scholar] [CrossRef]
- Zora, M.; Kivrak, A.; Yazici, C. Synthesis of Pyrazoles via Electrophilic Cyclization. J. Org. Chem. 2011, 76, 6726–6742. [Google Scholar] [CrossRef]
- Karrouchi, K.; Radi, S.; Ramli, Y.; Taoufik, J.; Mabkhot, Y.N.; Al-Aizari, F.A.; Ansar, M. Synthesis and Pharmacological Activities of Pyrazole Derivatives: A Review. Molecules 2018, 23, 134. [Google Scholar] [CrossRef]
- Ansari, A.; Ali, A.; Asif, M.; Shamsuzzaman. Review: Biologically active pyrazole derivatives. New J. Chem. 2017, 41, 16–41. [Google Scholar] [CrossRef]
- Lu, Y.; Gong, P.; Cederbaum, A.I. Pyrazole Induced Oxidative Liver Injury Independent of CYP2E1/2A5 Induction Due to Nrf2 Deficiency. Toxicology 2008, 252, 9–16. [Google Scholar] [CrossRef]
- Cederbaum, A. Nrf2 and antioxidant defense against CYP2E1 toxicity. Expert Opin. Drug Metab. Toxicol. 2009, 5, 1223–1244. [Google Scholar] [CrossRef]
- Gameiro, I.; Michalska, P.; Tenti, G.; Cores, Á.; Buendia, I.; Rojo, A.I.; Georgakopoulos, N.D.; Hernández-Guijo, J.M.; Ramos, M.T.; Wells, G.; et al. Discovery of the first dual GSK3β inhibitor/Nrf2 inducer. A new multitarget therapeutic strategy for Alzheimer’s disease. Sci. Rep. 2017, 7, 45701. [Google Scholar] [CrossRef] [PubMed]
- Liao, L.; Shi, J.; Jiang, C.; Zhang, L.; Feng, L.; Liu, J.; Zhang, J. Activation of anti-oxidant of curcumin pyrazole derivatives through preservation of mitochondria function and Nrf2 signaling pathway. Neurochem. Int. 2019, 125, 82–90. [Google Scholar] [CrossRef] [PubMed]
- Ferm, R.J.; Riebsomer, J.L. The Chemistry of the 2-Imidazolines and Imidazolidines. Chem. Rev. 1954, 54, 593–613. [Google Scholar] [CrossRef]
- Fang, S.; Yu, H.; Yang, X.; Li, J.; Shao, L. Nickel-Catalyzed Construction of 2,4-Disubstituted Imidazoles via C–C Coupling and C−N Condensation Cascade Reactions. Adv. Synth. Catal. 2019, 361, 3312–3317. [Google Scholar] [CrossRef]
- Shabalin, D.A.; Camp, J.E. Recent advances in the synthesis of imidazoles. Org. Biomol. Chem. 2020, 18, 3950–3964. [Google Scholar] [CrossRef]
- Siwach, A.; Verma, P.K. Synthesis and therapeutic potential of imidazole containing compounds. BMC Chem. 2021, 15, 1–69. [Google Scholar] [CrossRef]
- Kieć-Kononowicz, K.; Robak, J. Evaluation of Mercaptoalkyl Derivatives of Imidazolidine-4-One as Potential Antioxidants and Free Radical Scavengers. Farmaco 1996, 51, 819–824. [Google Scholar] [CrossRef]
- Meng, X.; Waddington, J.C.; Tailor, A.; Lister, A.; Hamlett, J.; Berry, N.G.; Park, B.K.; Sporn, M.B. CDDO-imidazolide Targets Multiple Amino Acid Residues on the Nrf2 Adaptor, Keap1. J. Med. Chem. 2020, 63, 9965–9976. [Google Scholar] [CrossRef]
- To, C.; Ringelberg, C.S.; Royce, D.B.; Williams, C.R.; Risingsong, R.; Sporn, M.B.; Liby, K.T. Dimethyl Fumarate and the Oleanane Triterpenoids, CDDO-Imidazolide and CDDO-Methyl Ester, Both Activate the Nrf2 Pathway but Have Opposite Effects in the A/J Model of Lung Carcinogenesis. Carcinogenesis 2015, 36, 769–781. [Google Scholar] [CrossRef]
- Liu, M.; Reddy, N.M.; Higbee, E.M.; Potteti, H.R.; Noel, S.; Racusen, L.; Kensler, T.W.; Sporn, M.B.; Reddy, S.P.; Rabb, H. The Nrf2 triterpenoid activator, CDDO-imidazolide, protects kidneys from ischemia–reperfusion injury in mice. Kidney Int. 2014, 85, 134–141. [Google Scholar] [CrossRef]
- Huang, Y.; Ye, M.; Wang, C.; Wang, Z.; Zhou, W. Protective effect of CDDO-imidazolide against intestinal ischemia/reperfusion injury in mice. Eur. J. Inflamm. 2018, 16, 2058739218802681. [Google Scholar] [CrossRef]
- Sussan, T.E.; Rangasamy, T.; Blake, D.J.; Malhotra, D.; El-Haddad, H.; Bedja, D.; Yates, M.S.; Kombairaju, P.; Yamamoto, M.; Liby, K.T.; et al. Targeting Nrf2 with the triterpenoid CDDO- imidazolide attenuates cigarette smoke-induced emphysema and cardiac dysfunction in mice. Proc. Natl. Acad. Sci. USA 2009, 106, 250–255. [Google Scholar] [CrossRef] [PubMed]
- Vardanyan, R.S.; Hruby, V.J. Synthesis of Best-Seller Drugs; Elsevier/AP: Amsterdam, The Netherlands, 2016; ISBN 978-0-12-411492-0. [Google Scholar]
- Gounder, V.K.; Arumugam, S.; Arozal, W.; Thandavarayan, R.A.; Pitchaimani, V.; Harima, M.; Suzuki, K.; Nomoto, M.; Watanabe, K. Olmesartan protects against oxidative stress possibly through the Nrf2 signaling pathway and inhibits inflammation in daunorubicin-induced nephrotoxicity in rats. Int. Immunopharmacol. 2014, 18, 282–289. [Google Scholar] [CrossRef] [PubMed]
- Kuang, C.; Jiang, Y.; Yang, Q. The Use of Calcium Carbide in the Synthesis of 1-Monosubstituted Aryl 1,2,3-Triazole via Click Chemistry. Synlett 2009, 2009, 3163–3166. [Google Scholar] [CrossRef]
- Tornøe, C.W.; Christensen, C.; Meldal, M. Peptidotriazoles on Solid Phase: [1,2,3]-Triazoles by Regiospecific Copper(I)-Catalyzed 1,3-Dipolar Cycloadditions of Terminal Alkynes to Azides. J. Org. Chem. 2002, 67, 3057–3064. [Google Scholar] [CrossRef]
- Dixit, D.; Verma, P.K.; Marwaha, R.K. A review on ‘triazoles’: Their chemistry, synthesis and pharmacological potentials. J. Iran. Chem. Soc. 2021, 18, 2535–2565. [Google Scholar] [CrossRef]
- Paprocka, R.; Wiese, M.; Eljaszewicz, A.; Helmin-Basa, A.; Gzella, A.; Modzelewska, B.; Michalkiewicz, J. Synthesis and anti-inflammatory activity of new 1,2,4-triazole derivatives. Bioorganic Med. Chem. Lett. 2015, 25, 2664–2667. [Google Scholar] [CrossRef]
- Pachuta-Stec, A. Antioxidant Activity of 1,2,4-Triazole and its Derivatives: A Mini-Review. Mini-Reviews Med. Chem. 2022, 22, 1081–1094. [Google Scholar] [CrossRef]
- Bertrand, H.C.; Schaap, M.; Baird, L.; Georgakopoulos, N.D.; Fowkes, A.; Thiollier, C.; Kachi, H.; Dinkova-Kostova, A.T.; Wells, G. Design, Synthesis, and Evaluation of Triazole Derivatives That Induce Nrf2 Dependent Gene Products and Inhibit the Keap1–Nrf2 Protein–Protein Interaction. J. Med. Chem. 2015, 58, 7186–7194. [Google Scholar] [CrossRef]
- Lao, Y.; Huang, P.; Chen, J.; Wang, Y.; Su, R.; Shao, W.; Hu, W.; Zhang, J. Discovery of 1,2,4-triazole derivatives as novel neuroprotectants against cerebral ischemic injury by activating antioxidant response element. Bioorganic Chem. 2022, 128, 106096. [Google Scholar] [CrossRef]
- Lao, Y.; Wang, Y.; Chen, J.; Huang, P.; Su, R.; Shi, J.; Jiang, C.; Zhang, J. Synthesis and biological evaluation of 1,2,4-triazole derivatives as potential Nrf2 activators for the treatment of cerebral ischemic injury. Eur. J. Med. Chem. 2022, 236, 114315. [Google Scholar] [CrossRef] [PubMed]
- Liao, L.; Jiang, C.; Chen, J.; Shi, J.; Li, X.; Wang, Y.; Wen, J.; Zhou, S.; Liang, J.; Lao, Y.; et al. Synthesis and biological evaluation of 1,2,4-triazole derivatives as potential neuroprotectant against ischemic brain injury. Eur. J. Med. Chem. 2020, 190, 112114. [Google Scholar] [CrossRef] [PubMed]
- Ahmed, A.; Molvi, K.I.; Nazim, S.; Baig, I.; Memon, T.; Rahil, M. The Importance of Six Membered Saturated Nitrogen Containing Ring in Psychological Disorders. J. Chem. Pharm. Res. 2012, 4, 872. [Google Scholar]
- Kaur, N. Metal- and Nonmetal-Assisted Synthesis of Six-Membered Heterocycles; Elsevier: Amsterdam, The Netherland; Cambridge, MA, USA, 2020; ISBN 978-0-12-820282-1. [Google Scholar]
- Wang, L.; Cai, X.; Shi, M.; Xue, L.; Kuang, S.; Xu, R.; Qi, W.; Li, Y.; Ma, X.; Zhang, R.; et al. Identification and Optimization of Piperine Analogues as Neuroprotective Agents for the Treatment of Parkinson’s Disease via the Activation of Nrf2/Keap1 Pathway. Eur. J. Med. Chem. 2020, 199, 112385. [Google Scholar] [CrossRef] [PubMed]
- Shan, C.; Xu, J.; Cao, L.; Liang, C.; Cheng, R.; Yao, X.; Sun, M.; Ye, J. Rapid Synthesis of α-Chiral Piperidines via a Highly Diastereoselective Continuous Flow Protocol. Org. Lett. 2022, 24, 3205–3210. [Google Scholar] [CrossRef] [PubMed]
- Liu, G.-Q.; Opatz, T. Chapter two-Recent Advances in the Synthesis of Piperidines: Functionalization of Preexisting Ring Systems, Heterocyclic Chemistry; Academic Press: Cambridge, MA, USA, 2018; Volume 125, pp. 107–234. [Google Scholar]
- Abdelshaheed, M.M.; Fawzy, I.M.; El-Subbagh, H.I.; Youssef, K.M. Piperidine nucleus in the field of drug discovery. Futur. J. Pharm. Sci. 2021, 7, 188. [Google Scholar] [CrossRef]
- Wang, B.; Zhang, Q.-H.; Li, X.-J.; Wang, S.-Q.; Chen, X.-B.; Yu, B.; Liu, H.-M. Discovery of a cinnamyl piperidine derivative as new neddylation inhibitor for gastric cancer treatment. Eur. J. Med. Chem. 2021, 226, 113896. [Google Scholar] [CrossRef]
- Shimizu, S.; Watanabe, N.; Kataoka, T.; Shoji, T.; Abe, N.; Morishita, S.; Ichimura, H. Pyridine and Pyridine Derivatives. In Ullmann’s Encyclopedia of Industrial Chemistry; Wiley: Hoboken, NJ, USA, 2000; ISBN 978-3-527-30385-4. [Google Scholar]
- Tarr, J.B.; Arditti, J. Niacin Biosynthesis in Seedlings of Zea mays. Plant Physiol. 1982, 69, 553–556. [Google Scholar] [CrossRef]
- Kröhnke, F.; Zecher, W.; Curtze, J.; Drechsler, D.; Pfleghar, K.; Schnalke, K.E.; Weis, W. Syntheses using the michael adddition of phridinium salts. Angew. Chem. Int. Ed. Engl. 1962, 1, 626–632. [Google Scholar] [CrossRef]
- Kumar, S.L.; Tabassum, S.; Sagar, K.S.; Govindaraju, S. A Mini Review on the Multicomponent Synthesis of Pyridine Derivatives. Chemistryselect 2022, 7, e202203668. [Google Scholar] [CrossRef]
- Kotb, E.R.; Soliman, H.; Morsy, E.M.H.; Abdelwahed, N.A.M. New Pyridine and Triazolopyridine Derivatives: Synthesis, Antimicrobial and Antioxidant Evaluation. Acta Pol. Pharm. Drug Res. 2017, 74, 861–872. [Google Scholar]
- Chaban, T.; Matiychuk, V.; Chulovska, Z.; Myrko, I.; Drapak, I.; Sogujko, R.; Chaban, I.; Ogurtsov, V.; Nektegaev, I. Synthesis and Evaluation of Anti-Inflammatory Activity of Some Thiazolo [4, 5-b] Pyridines. Biointerface Res. Appl. Chem. 2021, 12, 7226–7238. [Google Scholar]
- Lee, D.; Choi, H.G.; Hwang, J.H.; Shim, S.H.; Kang, K.S. Neuroprotective Effect of Tricyclic Pyridine Alkaloids from Fusarium lateritium SSF2, against Glutamate-Induced Oxidative Stress and Apoptosis in the HT22 Hippocampal Neuronal Cell Line. Antioxidants 2020, 9, 1115. [Google Scholar] [CrossRef] [PubMed]
- Choi, J.W.; Kim, S.; Yoo, J.S.; Kim, H.J.; Kim, B.E.; Lee, E.H.; Lee, Y.S.; Park, J.-H.; Park, K.D. Development and optimization of halogenated vinyl sulfones as Nrf2 activators for the treatment of Parkinson’s disease. Eur. J. Med. Chem. 2020, 212, 113103. [Google Scholar] [CrossRef] [PubMed]
- Jadhav, S.D.; Singh, A. Oxidative Annulations Involving DMSO and Formamide: K2S2O8 Mediated Syntheses of Quinolines and Pyrimidines. Org. Lett. 2017, 19, 5673–5676. [Google Scholar] [CrossRef]
- Su, L.; Sun, K.; Pan, N.; Liu, L.; Sun, M.; Dong, J.; Yin, S.F. Cyclization of ketones with nitriles under base: A general and economical synthesis of pyrimidines. Org. Lett. 2018, 20, 3399–3402. [Google Scholar] [CrossRef]
- Merugu, R.; Garimella, S.; Balla, D.; Sambaru, K. ChemInform Abstract: Synthesis and Biological Activities of Pyrimidines: A Review. Cheminform 2016, 47, 88–93. [Google Scholar] [CrossRef]
- Nair, N.; Majeed, J.; Pandey, P.K.; Sweety, R.; Thakur, R. Antioxidant Potential of Pyrimidine Derivatives against Oxidative Stress. Indian J. Pharm. Sci. 2021, 84, 14–26. [Google Scholar] [CrossRef]
- Rashid, H.U.; Martines, M.A.U.; Duarte, A.P.; Jorge, J.; Rasool, S.; Muhammad, R.; Ahmad, N.; Umar, M.N. Research developments in the syntheses, anti-inflammatory activities and structure–activity relationships of pyrimidines. RSC Adv. 2021, 11, 6060–6098. [Google Scholar] [CrossRef] [PubMed]
- Lee, J.A.; Kwon, Y.-W.; Kim, H.R.; Shin, N.; Son, H.J.; Cheong, C.S.; Kim, D.J.; Hwang, O. A Novel Pyrazolo[3,4-d]pyrimidine Induces Heme Oxygenase-1 and Exerts Anti-Inflammatory and Neuroprotective Effects. Mol. Cells 2022, 45, 134–147. [Google Scholar] [CrossRef] [PubMed]
- Lee, J.A.; Kim, H.R.; Son, H.J.; Shin, N.; Han, S.H.; Chung, C.S.; Kim, D.J.; Hwang, O. A Novel Pyrazolo[3,4-d]pyrimidine KKC080106, activates the Nrf2 pathway and protetects nigral dopaminergic neurons. Exp. Neurol. 2020, 332, 113387. [Google Scholar] [CrossRef] [PubMed]
- Mao, Y.; Lee, E.; Yang, X.; Bae, E.J.; Jeon, R.; Park, B.-H. Targeting p21-activated kinase 4 (PAK4) with pyrazolo[3,4-d]pyrimidine derivative SPA7012 attenuates hepatic ischaemia-reperfusion injury in mice. J. Enzym. Inhib. Med. Chem. 2022, 37, 2133–2146. [Google Scholar] [CrossRef] [PubMed]
- Dai, L.; Diao, R.; Zhang, J.; Cao, M.; Gao, H.; Tang, B. Tetramethyl pyrazine exerts anti-apoptotic and antioxidant effects in a mouse model of MPTP-induced Parkinson’s disease via regulation of the expressions of Bax, Bcl-2, Nrf2 and GCLC. Trop. J. Pharm. Res. 2021, 20, 893–898. [Google Scholar] [CrossRef]
- Stumer, C.; Hassner, A.; Baldwin, J.E.; Williams, R.M. Organic Syntheses Based on Name Reactions, 2nd ed.; Pergamon: Amsterdam, The Netherlands; Boston, MA, USA, 2002; ISBN 978-0-08-043259-5. [Google Scholar]
- Herrera, A.; Riano, A.; Moreno, R.; Caso, B.; Pardo, Z.D.; Fernandez, I.; Martinez-Alvarez, R. One-pot synthesis of 1, 3, 5-triazine derivatives via controlled cross-cyclotrimerization of nitriles: A mechanism approach. J. Org. Chem. 2014, 79, 7012–7024. [Google Scholar] [CrossRef]
- Hashem, H.E. A Short Review on the Synthesis of 1,2,4-Triazine Derivatives as Bioactive Compounds. Mini-Reviews Org. Chem. 2021, 18, 1127–1133. [Google Scholar] [CrossRef]
- Reddy, M.; Rao, K.; Anusha, G.; Kumar, G.; Damu, A.; Reddy, K.R.; Shetti, N.P.; Aminabhavi, T.M.; Reddy, P.V.G. In-vitro evaluation of antioxidant and anticholinesterase activities of novel pyridine, quinoxaline and s-triazine derivatives. Environ. Res. 2021, 199, 111320. [Google Scholar] [CrossRef]
- Marín-Ocampo, L.; Veloza, L.A.; Abonia, R.; Sepúlveda-Arias, J.C. Anti-inflammatory activity of triazine derivatives: A systematic review. Eur. J. Med. Chem. 2019, 162, 435–447. [Google Scholar] [CrossRef]
- Khodagholi, F.; Ansari, N.; Amini, M.; Tusi, S.K. Involvement of Molecular Chaperones and the Transcription Factor Nrf2 in Neuroprotection Mediated by Para-Substituted-4,5-Diaryl-3-Thiomethyl-1,2,4-Triazines. Cell Stress Chaperones 2012, 17, 409–422. [Google Scholar] [CrossRef]
- Tusi, S.K.; Ansari, N.; Amini, M.; Amirabad, A.D.; Shafiee, A.; Khodagholi, F. Attenuation of NF-κB and activation of Nrf2 signaling by 1,2,4-triazine derivatives, protects neuron-like PC12 cells against apoptosis. Apoptosis 2010, 15, 738–751. [Google Scholar] [CrossRef]
- Tran, T.N.; Henary, M. Synthesis and Applications of Nitrogen-Containing Heterocycles as Antiviral Agents. Molecules. 2022, 27, 2700. [Google Scholar] [CrossRef]
- Matamoros, E.; Light, M.E.; Cintas, P.; Palacios, J.C. Schiff Bases and Stereocontrolled Formation of Fused 1,3-Oxazolidines from 1-Amino-2-Indanol: A Systematic Study on Structure and Mechanism. Molecules 2023, 28, 1670. [Google Scholar] [CrossRef] [PubMed]
- Griffith, R.; Bremner, J.B. Computational Evaluation of N-Based Transannular Interactions in Some Model Fused Medium-Sized Heterocyclic Systems and Implications for Drug Design. Molecules 2023, 28, 1631. [Google Scholar] [CrossRef] [PubMed]
- Saucier, M.A.; Smith, C.; Kruse, N.A.; Hammer, N.I.; Delcamp, J.H. Acid-Triggered Switchable Near-Infrared/Shortwave Infrared Absorption and Emission of Indolizine-BODIPY Dyes. Molecules 2023, 28, 1287. [Google Scholar] [CrossRef] [PubMed]
- Ye, D.; Lu, H.; He, Y.; Zheng, Z.; Wu, J.; Wei, H. Rapid syntheses of N-fused heterocycles via acyl-transfer in heteroaryl ketones. Nat. Commun. 2022, 13, 3337. [Google Scholar] [CrossRef] [PubMed]
- Pathania, A.; Kumar, P. Naturally Available Nitrogen-Containing Fused Heterocyclics as Prospective Lead Molecules in Medicinal Chemistry. Curr. Tradit. Med. 2021, 7, 5–27. [Google Scholar] [CrossRef]
- Collin, G.; Höke, H. Indole. In Ullmann’s Encyclopedia of Industrial Chemistry; John Wiley Sons, Ltd.: Hoboken, NJ, USA, 2000; ISBN 978-3-527-30673-2. [Google Scholar]
- Sundberg, R.J.; Laurino, J.P. Cyclization of 2-[N-(methylsulfonyl)anilino]acetaldehyde diethyl acetals to indoles. Evidence for stereoelectronic effects in intramolecular electrophilic aromatic substitution. J. Org. Chem. 1984, 49, 249–254. [Google Scholar] [CrossRef]
- Taber, D.F.; Tirunahari, P.K. Indole synthesis: A review and proposed classification. Tetrahedron 2011, 67, 7195–7210. [Google Scholar] [CrossRef]
- Wu, T.-Y.; Saw, C.L.-L.; Khor, T.O.; Pung, D.; Boyanapalli, S.S.; Kong, A.-N.T. In vivo pharmacodynamics of indole-3-carbinol in the inhibition of prostate cancer in transgenic adenocarcinoma of mouse prostate (TRAMP) mice: Involvement of Nrf2 and cell cycle/apoptosis signaling pathways. Mol. Carcinog. 2011, 51, 761–770. [Google Scholar] [CrossRef]
- Ernst, I.M.A.; Schuemann, C.; Wagner, A.E.; Rimbach, G. 3,3′-Diindolylmethane but not indole-3-carbinol activates Nrf2 and induces Nrf2 target gene expression in cultured murine fibroblasts. Free. Radic. Res. 2011, 45, 941–949. [Google Scholar] [CrossRef]
- Wu, T.-Y.; Khor, T.O.; Su, Z.-Y.; Saw, C.; Shu, L.; Cheung, K.-L.; Huang, Y.; Yu, S.; Kong, A.-N.T. Epigenetic Modifications of Nrf2 by 3,3′-diindolylmethane In Vitro in TRAMP C1 Cell Line and In Vivo TRAMP Prostate Tumors. AAPS J. 2013, 15, 864–874. [Google Scholar] [CrossRef]
- Xiao, X.; Tong, Z.; Zhang, Y.; Zhou, H.; Luo, M.; Hu, T.; Hu, P.; Kong, L.; Liu, Z.; Yu, C.; et al. Novel Prenylated Indole Alkaloids with Neuroprotection on SH-SY5Y Cells against Oxidative Stress Targeting Keap1–Nrf2. Mar. Drugs 2022, 20, 191. [Google Scholar] [CrossRef] [PubMed]
- Ehrlich, A.M.; Pacheco, A.R.; Henrick, B.M.; Taft, D.; Xu, G.; Huda, M.N.; Mishchuk, D.; Goodson, M.L.; Slupsky, C.; Barile, D.; et al. Indole-3-lactic acid associated with Bifidobacterium-dominated microbiota significantly decreases inflammation in intestinal epithelial cells. BMC Microbiol. 2020, 20, 357. [Google Scholar] [CrossRef] [PubMed]
- Wei, P.-C.; Lee-Chen, G.-J.; Chen, C.-M.; Wu, Y.-R.; Chen, Y.-J.; Lin, J.-L.; Lo, Y.-S.; Yao, C.-F.; Chang, K.-H. Neuroprotection of Indole-Derivative Compound NC001-8 by the Regulation of the NRF2 Pathway in Parkinson’s Disease Cell Models. Oxidative Med. Cell. Longev. 2019, 2019, 5074367-15. [Google Scholar] [CrossRef] [PubMed]
- Yasuda, D.; Yuasa, A.; Obata, R.; Nakajima, M.; Takahashi, K.; Ohe, T.; Ichimura, Y.; Komatsu, M.; Yamamoto, M.; Imamura, R.; et al. Discovery of benzo[g]indoles as a novel class of non-covalent Keap1-Nrf2 protein-protein interaction inhibitor. Bioorganic Med. Chem. Lett. 2017, 27, 5006–5009. [Google Scholar] [CrossRef] [PubMed]
- Cosimelli, B.; Greco, G.; Laneri, S.; Novellino, E.; Sacchi, A.; Amendola, G.; Cosconati, S.; Bortolozzi, R.; Viola, G. Identification of novel indole derivatives acting as inhibitors of the Keap1–Nrf2 interaction. J. Enzym. Inhib. Med. Chem. 2019, 34, 1152–1157. [Google Scholar] [CrossRef] [PubMed]
- Gwarzo, M.Y. Nrf2 Transcription Factor Gene Regulates Basal Transcription of Mitochondrial Superoxide Dismutase Enzyme in Mouse Brain. Afr. J. Biotechnol. 2009, 8, 5169–5172. [Google Scholar] [CrossRef]
- Jafari, E.; Khajouei, M.R.; Hassanzadeh, F.; Hakimelahi, G.H.; Khodarahmi, G.A. Quinazolinone and quinazoline derivatives: Recent structures with potent antimicrobial and cytotoxic activities. Res. Pharm. Sci. 2016, 11, 1–14. [Google Scholar]
- Niementowski, S.; Orzechowski, B. Synthesen der Chinolinderivate aus Anthranilsäure und Aldehyden. Eur. J. Inorg. Chem. 1895, 28, 2809–2822. [Google Scholar] [CrossRef]
- Ziarani, G.M.; Badiei, A.; Aslani, Z.; Lashgari, N. Application of sulfonic acid functionalized nanoporous silica (SBA-Pr-SO3H) in the green one-pot synthesis of triazoloquinazolinones and benzimidazoquinazolinones. Arab. J. Chem. 2015, 8, 54–61. [Google Scholar] [CrossRef]
- Sharma, S.; Sharma, K.; Pathak, S.; Kumar, M.; Sharma, P.K. Synthesis of medicinally improtant quinazdines and derivatives: A review. Open Med. Chem. J. 2020, 14, 108–121. [Google Scholar] [CrossRef]
- Ho, N.-H.; Harapanhalli, R.S.; Dahman, B.A.; Chen, K.; Wang, K.; Adelstein, S.J.; Kassis, A.I. Synthesis and Biologic Evaluation of a Radioiodinated Quinazolinone Derivative for Enzyme-Mediated Insolubilization Therapy. Bioconjugate Chem. 2002, 13, 357–364. [Google Scholar] [CrossRef] [PubMed]
- Rajveer, C.H.; Swarnalatha, C.H.; Rathinaraj, B.S.; Sudhrshini, S. Synthesis OF 6bromooxo quinazoline derivatives and their haramcological activities. Int. J. Chem. Res. 2010, 1, 21–24. [Google Scholar]
- Alsaid, M.S.; Ghorab, M.M.; Higgins, M.; Dinkova-Kostova, A.T.; Shahat, A.A. NAD (P) H: Quinone oxidoreductase 1 inducer activity of some enaminone derivatives. Biomed. Res. 2015, 26, 7–12. [Google Scholar]
- Ghorab, M.M.; Alsaid, M.S.; El-Gazzar, M.G.; Higgins, M.; Dinkova-Kostova, A.T.; Shahat, A.A. Synthesis and biological evaluation of novel 2-phenylquinazoline-4-amine derivatives: Identification of 6-phenyl-8H-benzo[g]quinazolino[4,3-b]quinazolin-8-one as a highly potent inducer of NAD(P)H quinone oxidoreductase 1. J. Enzym. Inhib. Med. Chem. 2016, 31, 34–39. [Google Scholar] [CrossRef]
- Bose, P.; Siddique, M.U.M.; Acharya, R.; Jayaprakash, V.; Sinha, B.N.; Lapenna, A.; Pattanayak, S.P. Quinazolinone derivative BNUA-3 ameliorated [NDEA+2-AAF]-induced liver carcinogenesis in SD rats by modulating AhR-CYP1B1-Nrf2-Keap1 pathway. Clin. Exp. Pharmacol. Physiol. 2019, 47, 143–157. [Google Scholar] [CrossRef]
- Moon, S.Y.; Lee, J.-H.; Choi, H.Y.; Cho, I.J.; Kim, S.C.; Kim, Y.W. Tryptanthrin Protects Hepatocytes against Oxidative Stress via Activation of the Extracellular Signal-Regulated Kinase/NF-E2-Related Factor 2 Pathway. Biol. Pharm. Bull. 2014, 37, 1633–1640. [Google Scholar] [CrossRef]
- Zhang, Y.; Qiao, R.; He, D.; Zhao, Z.; Yang, S.; Zou, H.-X.; Zhang, X.; Wu, M.; Chen, J.; Chen, P. Indazolo[3,2-b]quinazolinones Attack Hepatocellular Carcinoma Hep3B Cells by Inducing Mitochondrial-Dependent Apoptosis and Inhibition of Nrf2/ARE Signaling Pathway. Curr. Mol. Med. 2016, 16, 820–828. [Google Scholar] [CrossRef] [PubMed]
- Diaz, G.; Miranda, I.L.; Diaz, M.A.N.; Diaz, G.; Miranda, I.L.; Diaz, M.A.N. Quinolines, Isoquinolines, Angustureine, and Congeneric Alkaloids—Occurrence, Chemistry, and Biological Activity; IntechOpen: London, UK, 2015; ISBN 978-953-51-2170-1. [Google Scholar]
- Li, J.J. Name Reactions: A Collection of Detailed Mechanisms and Synthetic Applications Fifth Edition, 5th ed.; 2014 Edition; Springer: Cham, Switzerland; New York, NY, USA, 2014; ISBN 978-3-319-03978-7. [Google Scholar]
- Li, J.J. Name Reactions: A collection of Detailed Rection Mechanisms: [more than 300 reaction] (3, expanded); Springer: Berlin/Heidelberg, Germany, 2016; pp. 472–474. [Google Scholar]
- Gujjarappa, R.; Vodnala, N.; Malakar, C.C. Comprehensive strategies for the synthesis of isoquinolines: Progress Since 2008. Adv. Synth. Catal. 2020, 362, 4896–4990. [Google Scholar] [CrossRef]
- Zahari, A.; Cheah, F.K.; Mohamad, J.; Sulaiman, S.N.; Litaudon, M.; Leong, K.H.; Awang, K. Antiplasmodial and Antioxidant Isoquinoline Alkaloids from Dehaasia longipedicellata. Planta Med. 2014, 80, 599–603. [Google Scholar] [CrossRef]
- Yuan, H.-L.; Zhao, Y.-L.; Qin, X.-J.; Liu, Y.-P.; Yang, X.-W.; Luo, X.-D. Diverse isoquinolines with anti-inflammatory and analgesic bioactivities from Hypecoum erectum. J. Ethnopharmacol. 2021, 270, 113811. [Google Scholar] [CrossRef]
- Xi, M.-Y.; Jia, J.-M.; Sun, H.-P.; Sun, Z.-Y.; Jiang, J.-W.; Wang, Y.-J.; Zhang, M.-Y.; Zhu, J.-F.; Xu, L.-L.; Jiang, Z.-Y.; et al. 3-Aroylmethylene-2,3,6,7-tetrahydro-1H-pyrazino [2,1-a]isoquinolin-4(11bH)-ones as Potent Nrf2/ARE Inducers in Human Cancer Cells and AOM-DSS Treated Mice. J. Med. Chem. 2013, 56, 7925–7938. [Google Scholar] [CrossRef] [PubMed]
- Dai, H.; Jiao, Q.; Liu, T.; You, Q.; Jiang, Z. Development of Novel Nrf2/ARE Inducers Bearing Pyrazino [2,1-a]Isoquinolin Scaffold with Potent In Vitro Efficacy and Enhanced Physicochemical Properties. Molecules 2017, 22, 1541. [Google Scholar] [CrossRef]
- Müller, S.G.; Pesarico, A.P.; Rosa, S.G.; Martini, F.; Nogueira, C.W. Contribution of cholinergic system and Nrf2/HO-1 signaling to the anti-amnesic action of 7-fluoro-1,3-diphenylisoquinoline-1-amine in mice. Chem. Interact. 2020, 317, 108959. [Google Scholar] [CrossRef] [PubMed]
- Dinesh, P.; Rasool, M. Berberine, an isoquinoline alkaloid suppresses TXNIP mediated NLRP3 inflammasome activation in MSU crystal stimulated RAW 264.7 macrophages through the upregulation of Nrf2 transcription factor and alleviates MSU crystal induced inflammation in rats. Int. Immunopharmacol. 2017, 44, 26–37. [Google Scholar] [CrossRef] [PubMed]
- Lazzara, P.R.; David, B.P.; Ankireddy, A.; Richardson, B.G.; Dye, K.; Ratia, K.M.; Reddy, S.P.; Moore, T.W. Isoquinoline Kelch-like ECH-Associated Protein 1-Nuclear Factor (Erythroid-Derived 2)-like 2 (KEAP1-NRF2) Inhibitors with High Metabolic Stability. J. Med. Chem. 2019, 63, 6547–6560. [Google Scholar] [CrossRef]
- Naidu, S.D.; Suzuki, T.; Dikovskaya, D.; Knatko, E.V.; Higgins, M.; Sato, M.; Novak, M.; Villegas, J.A.; Moore, T.W.; Yamamoto, M.; et al. The isoquinoline PRL-295 increases the thermostability of Keap1 and disrupts its interaction with Nrf2. iScience 2022, 25, 103703. [Google Scholar] [CrossRef] [PubMed]
- Zhou, J.; Zheng, Q.; Chen, Z. The Nrf2 Pathway in Liver Diseases. Front. Cell. Dev. Biol. 2022, 10, 826204. [Google Scholar] [CrossRef]
- Varvaresou, A.; Siatra-Papastaikoudi, T.; Tsotinis, A.; Tsantili-Kakoulidou, A.; Vamvakides, A. Synthesis, lipophilicity and biological evaluation of indole-containing derivatives of 1,3,4-thiadiazole and 1,2,4-triazole. Il Farm. 1998, 53, 320–326. [Google Scholar] [CrossRef]
- Shiao, H.-Y.; Coumar, M.S.; Chang, C.-W.; Ke, Y.-Y.; Chi, Y.-H.; Chu, C.-Y.; Sun, H.-Y.; Chen, C.-H.; Lin, W.-H.; Fung, K.-S.; et al. Optimization of Ligand and Lipophilic Efficiency To Identify an in Vivo Active Furano-Pyrimidine Aurora Kinase Inhibitor. J. Med. Chem. 2013, 56, 5247–5260. [Google Scholar] [CrossRef]
- Chabicovsky, M.; Prieschl-Grassauer, E.; Seipelt, J.; Muster, T.; Szolar, O.H.J.; Hebar, A.; Doblhoff-Dier, O. Pre-Clinical Safety Evaluation of Pyrrolidine Dithiocarbamate. Basic Clin. Pharmacol. Toxicol. 2010, 107, 758–767. [Google Scholar] [CrossRef]
- Orlando, L.M.R.; Lechuga, G.C.; Lara, L.D.S.; Ferreira, B.S.; Pereira, C.N.; Silva, R.C.; dos Santos, M.S.; Pereira, M.C.S. Structural Optimization and Biological Activity of Pyrazole Derivatives: Virtual Computational Analysis, Recovery Assay and 3D Culture Model as Potential Predictive Tools of Effectiveness against Trypanosoma cruzi. Molecules 2021, 26, 6742. [Google Scholar] [CrossRef] [PubMed]
- Cao, M.; Onyango, E.O.; Williams, C.R.; Royce, D.B.; Gribble, G.W.; Sporn, M.B.; Liby, K.T. Novel synthetic pyridyl analogues of CDDO-Imidazolide are useful new tools in cancer prevention. Pharmacol. Res. 2015, 100, 135–147. [Google Scholar] [CrossRef] [PubMed]
- Laeis, P.; Püchler, K.; Kirch, W. The pharmacokinetic and metabolic profile of olmesartan medoxomil limits the risk of clinically relevant drug interaction. J. Hypertens. 2001, 19, S21–S32. [Google Scholar] [CrossRef] [PubMed]
- Tripathi, A.K.; Ray, A.K.; Mishra, S.K. Molecular and pharmacological aspects of piperine as a potential molecule for disease prevention and management: Evidence from clinical trials. Beni-Suef Univ. J. Basic Appl. Sci. 2022, 11, 1–24. [Google Scholar] [CrossRef]
- Reed, G.A.; Arneson, D.W.; Putnam, W.C.; Smith, H.J.; Gray, J.C.; Sullivan, D.K.; Mayo, M.S.; Crowell, J.A.; Hurwitz, A. Single-Dose and Multiple-Dose Administration of Indole-3-Carbinol to Women: Pharmacokinetics Based on 3,3′-Diindolylmethane. Cancer Epidemiol. Biomark. Prev. 2006, 15, 2477–2481. [Google Scholar] [CrossRef]
- Kassie, F.; Anderson, L.B.; Scherber, R.; Yu, N.; Lahti, D.; Upadhyaya, P.; Hecht, S.S. Indole-3-carbinol Inhibits 4-(Methylnitrosamino)-1-(3-pyridyl)-1-butanone Plus Benzo(a)pyrene–Induced Lung Tumorigenesis in A/J Mice and Modulates Carcinogen-Induced Alterations in Protein Levels. Cancer Res. 2007, 67, 6502–6511. [Google Scholar] [CrossRef]
- Ku, H.-C.; Lee, S.-Y.; Yang, K.-C.; Kuo, Y.-H.; Su, M.-J. Modification of Caffeic Acid with Pyrrolidine Enhances Antioxidant Ability by Activating AKT/HO-1 Pathway in Heart. PLoS ONE 2016, 11, e0148545. [Google Scholar] [CrossRef]
- Silva, V.L.; Elguero, J.; Silva, A.M. Current progress on antioxidants incorporating the pyrazole core. Eur. J. Med. Chem. 2018, 156, 394–429. [Google Scholar] [CrossRef]
- Schöffmann, A.; Wimmer, L.; Goldmann, D.; Khom, S.; Hintersteiner, J.; Baburin, I.; Schwarz, T.; Hintersteininger, M.; Pakfeifer, P.; Oufir, M.; et al. Efficient Modulation of γ-Aminobutyric Acid Type A Receptors by Piperine Derivatives. J. Med. Chem. 2014, 57, 5602–5619. [Google Scholar] [CrossRef]
- Vitaku, E.; Smith, D.T.; Njardarson, J.T. Analysis of the Structural Diversity, Substitution Patterns, and Frequency of Nitrogen Heterocycles among U.S. FDA Approved Pharmaceuticals. J. Med. Chem. 2014, 57, 10257–10274. [Google Scholar] [CrossRef]
- Pennington, L.D.; Moustakas, D.T. The Necessary Nitrogen Atom: A Versatile High-Impact Design Element for Multiparameter Optimization. J. Med. Chem. 2017, 60, 3552–3579. [Google Scholar] [CrossRef] [PubMed]
- Saha, S.; Buttari, B.; Profumo, E.; Tucci, P.; Saso, L. A Perspective on Nrf2 Signaling Pathway for Neuroinflammation: A Potential Therapeutic Target in Alzheimer’s and Parkinson’s Diseases. Front. Cell. Neurosci. 2022, 15, 787258. [Google Scholar] [CrossRef] [PubMed]
- Tucci, P.; Lattanzi, R.; Severini, C.; Saso, L. Nrf2 Pathway in Huntington’s Disease (HD): What Is Its Role? Int. J. Mol. Sci. 2022, 23, 15272. [Google Scholar] [CrossRef]
- Gray, N.E.; Farina, M.; Tucci, P.; Saso, L. The Role of the NRF2 Pathway in Maintaining and Improving Cognitive Function. Biomedicines 2022, 10, 2043. [Google Scholar] [CrossRef] [PubMed]
Disclaimer/Publisher’s Note: The statements, opinions and data contained in all publications are solely those of the individual author(s) and contributor(s) and not of MDPI and/or the editor(s). MDPI and/or the editor(s) disclaim responsibility for any injury to people or property resulting from any ideas, methods, instructions or products referred to in the content. |
© 2023 by the authors. Licensee MDPI, Basel, Switzerland. This article is an open access article distributed under the terms and conditions of the Creative Commons Attribution (CC BY) license (https://creativecommons.org/licenses/by/4.0/).




































