Ultrasensitive and Simple Dopamine Electrochemical Sensor Based on the Synergistic Effect of Cu-TCPP Frameworks and Graphene Nanosheets
Abstract
1. Introduction
2. Results and Discussion
2.1. Characterization of Cu-TCPP/Graphene Composite
2.2. Electrochemical Properties of Cu-TCPP/Graphene Composite
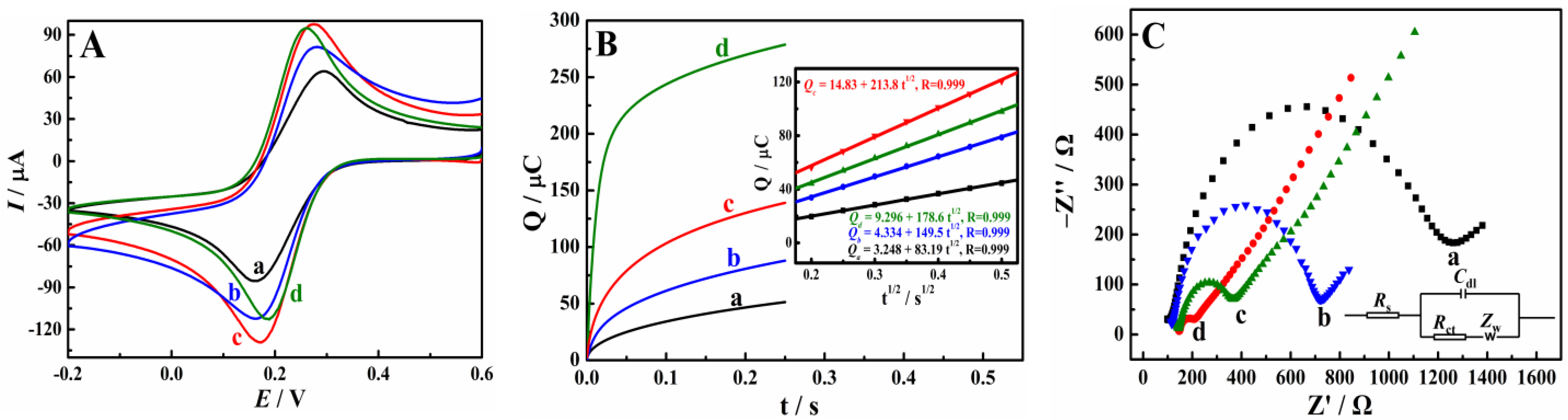
2.3. Signal Enhancement Mechanism for DA on Cu-TCPP/Graphene/GCE
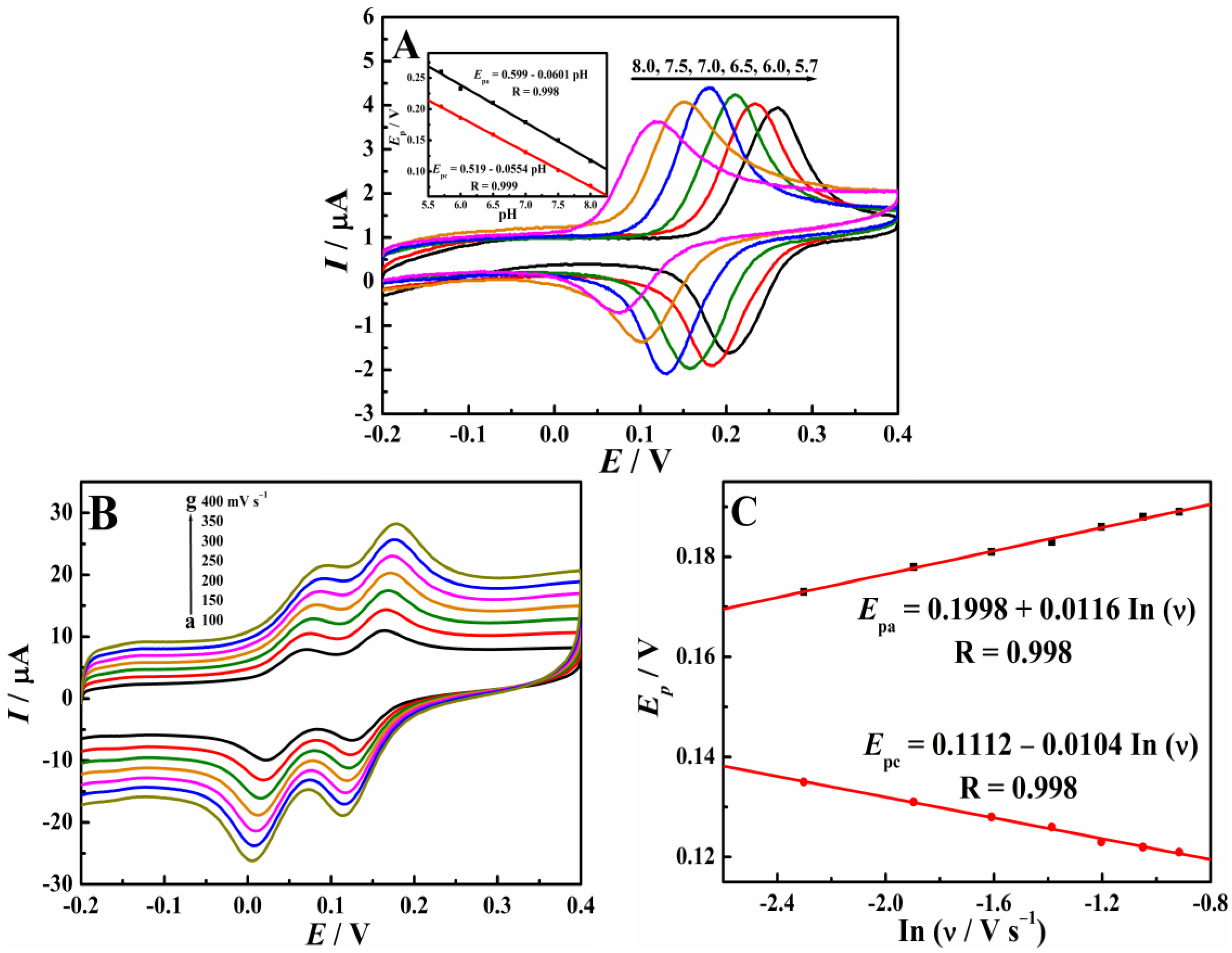
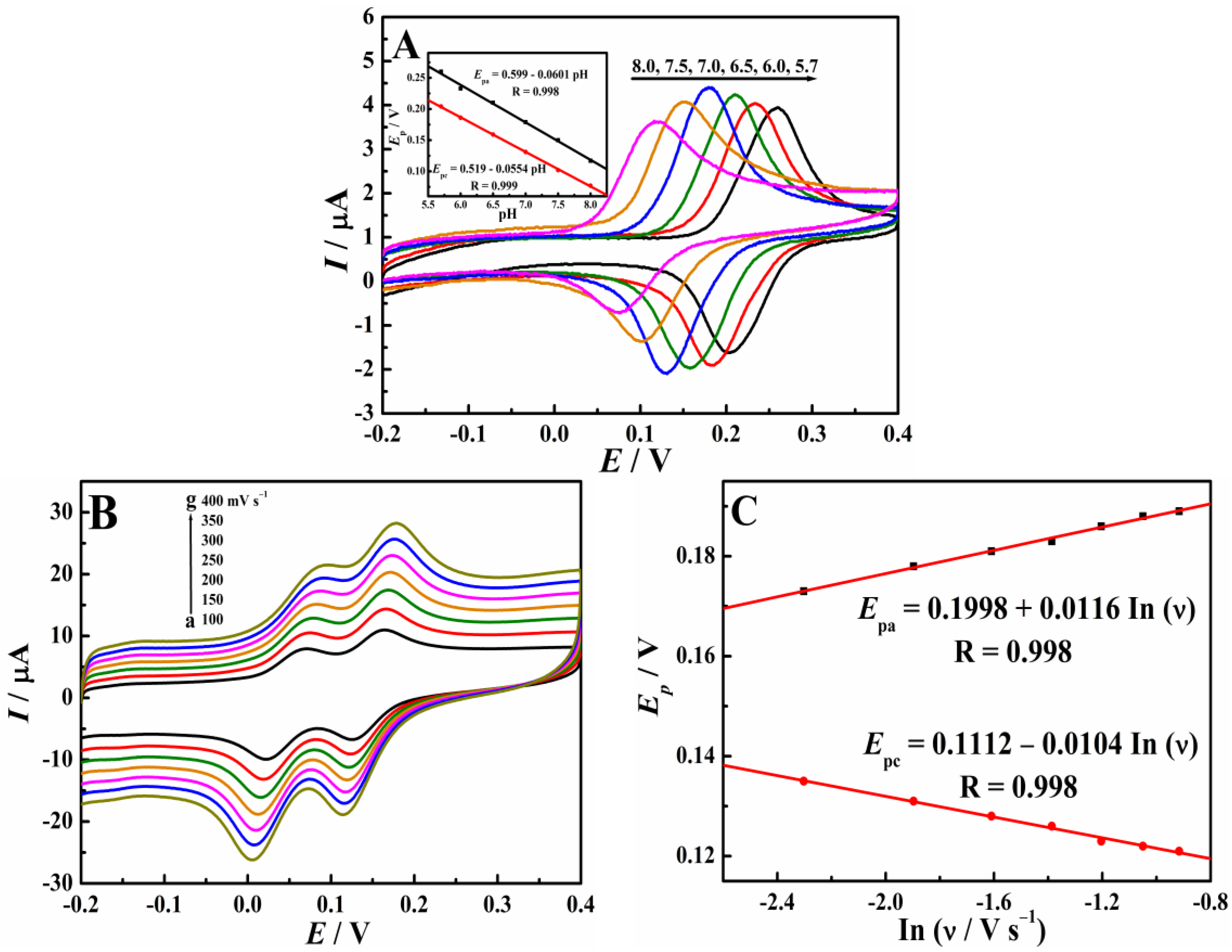
2.4. Electrochemical Reaction Process of DA on Cu-TCPP/Graphene/GCE
2.5. Highly Sensitive Determination of DA
3. Materials and Methods
3.1. Reagents and Apparatus
3.2. Preparation of Cu-TCPP/Graphene Composite
3.3. Preparation of Cu-TCPP/Graphene-Composite-Modified GCEs
4. Conclusions
Author Contributions
Funding
Institutional Review Board Statement
Informed Consent Statement
Data Availability Statement
Conflicts of Interest
Sample Availability
References
- Heng, J.I.T.; Moonen, G.; Nguyen, L. Neurotransmitters regulate cell migration in the telencephalon. Eur. J. Neurosci. 2007, 26, 537–546. [Google Scholar] [CrossRef]
- Snyder, S.H.; Banerjee, S.P.; Yamamura, H.I.; Greenberg, D. Drugs, neurotransmitters, and schizophrenia. Science 1974, 184, 1243–1253. [Google Scholar] [CrossRef]
- Gardoni, F.; Bellone, C. Modulation of the glutamatergic transmission by Dopamine: A focus on Parkinson, Huntington and Addiction diseases. Front. Cell. Neurosci. 2015, 9, 25. [Google Scholar] [CrossRef]
- Moghadam, M.R.; Dadfarnia, S.; Shabani, A.M.H.; Shahbazikhah, P. Chemometric-assisted kinetic-spectrophotometric method for simultaneous determination of ascorbic acid, uric acid, and dopamine. Anal. Biochem. 2011, 410, 289–295. [Google Scholar] [CrossRef]
- Chen, F.H.; Fang, B.X.; Wang, S.C. A fast and validated HPLC method for simultaneous determination of dopamine, dobutamine, phentolamine, furosemide, and aminophylline in infusion samples and injection formulations. J. Anal. Methods Chem. 2021, 2021, 8821126. [Google Scholar] [CrossRef]
- Liu, X.; Zhang, W.; Huang, L.; Hu, N.; Liu, W.; Liu, Y.; Li, S.; Yang, C.; Suo, Y.; Wang, J. Fluorometric determination of dopamine by using molybdenum disulfde quantum dots. Microchim. Acta 2018, 185, 234. [Google Scholar] [CrossRef]
- Zhu, Q.; Chen, Y.; Wang, W.; Zhang, H.; Ren, C.; Chen, H.; Chen, X. A sensitive biosensor for dopamine determination based on the unique catalytic chemiluminescence of metal-organic framework HKUST-1. Sens. Actuator B-Chem. 2015, 210, 500–507. [Google Scholar] [CrossRef]
- Lakard, S.; Pavel, I.A.; Lakard, B. Electrochemical biosensing of dopamine neurotransmitter: A review. Biosensors 2021, 11, 179. [Google Scholar] [CrossRef]
- Sajid, M.; Baig, N.; Alhooshani, K. Chemically modified electrodes for electrochemical detection of dopamine: Challenges and opportunities. Trac-Trends Anal. Chem. 2019, 118, 368–385. [Google Scholar] [CrossRef]
- Wang, H.Y.; Xie, A.J.; Li, S.J.; Wang, J.J.; Chen, K.X.; Su, Z.L.; Song, N.N.; Luo, S.P. Three-dimensional g-C3N4/MWNTs/GO hybrid electrode as electrochemical sensor for simultaneous determination of ascorbic acid, dopamine and uric acid. Anal. Chim. Acta 2022, 1211, 339907. [Google Scholar] [CrossRef]
- Ghanbari, K.; Bonyadi, S. Modified glassy carbon electrode with polypyrrole nanocomposite for the simultaneous determination of ascorbic acid, dopamine, uric acid, and folic acid. J. Electrochem. Sci. Technol. 2020, 11, 68–83. [Google Scholar] [CrossRef]
- Wang, W.W.; Wei, F.; Han, B.P. Preparation of electrochemical sensor based on magnetic Graphene nanocomposite for determination of dopamine. Int. J. Electrochem. Sci. 2022, 17, 2. [Google Scholar] [CrossRef]
- Kolahi-Ahari, S.; Rounaghi, G.H.; Deiminiat, B. Simultaneous determination of dopamine and paracetamol using a gold electrode modified with MWCNTs/GO Nanocomposite capped Au nanoparticles. Anal. Bioanal. Electrochem. 2022, 14, 402–417. [Google Scholar]
- Decarli, N.O.; Zapp, E.; de Souza, B.S.; Santana, E.R.; Winiarski, J.P.; Vieira, I.C. Biosensor based on laccase-halloysite nanotube and imidazolium zwitterionic surfactant for dopamine determination. Biochem. Eng. J. 2022, 186, 108565. [Google Scholar] [CrossRef]
- Pimpilova, M.; Kamarska, K.; Dimcheva, N. Biosensing dopamine and L-Epinephrine with Laccase (Trametes pubescens) immobilized on a gold modified electrode. Biosensors 2022, 12, 719. [Google Scholar] [CrossRef]
- Wu, R.; Yu, S.; Chen, S.Y.; Dang, Y.; Wen, S.-H.; Tang, J.L.; Zhou, Y.Z.; Zhu, J.-J. A carbon dots-enhanced laccase-based electrochemical sensor for highly sensitive detection of dopamine in human serum. Anal. Chim. Acta 2022, 1229, 340365. [Google Scholar] [CrossRef]
- Chuang, C.H.; Kung, C.W. Metal-organic frameworks toward electrochemical sensors: Challenges and opportunities. Electroanalysis 2020, 32, 1885–1895. [Google Scholar] [CrossRef]
- Kajal, N.; Singh, V.; Gupta, R.; Gautamet, S. Metal-organic frameworks for electrochemical sensor applications: A review. Environ. Res. 2022, 204, 112320. [Google Scholar] [CrossRef]
- Varsha, M.V.; Nageswaran, G. 2D layered metal organic framework nanosheets as an emerging platform for electrochemical sensing. J. Electrochem. Soc. 2020, 167, 136502. [Google Scholar] [CrossRef]
- Chakraborty, G.; Park, I.H.; Medishetty, R.; Vittal, J.J. Two-dimensional metal-organic framework materials: Synthesis, structures, properties and applications. Chem. Rev. 2021, 121, 3751–3891. [Google Scholar] [CrossRef]
- Guo, J.W.; Yang, Z.W.; Liu, X.L.; Zhang, L.W.; Guo, W.B.; Zhang, J.; Guo, L.H. 2D Co metal-organic framework nanosheet as an oxidase-like nanozyme for sensitive biomolecule monitoring. Rare Met. 2022, 41, 1–9. [Google Scholar] [CrossRef]
- Rajak, R.; Saraf, M.; Mobin, S.M. Robust heterostructures of a bimetallic sodium-zinc metal-organic framework and reduced graphene oxide for high-performance supercapacitors. J. Mater. Chem. A 2019, 7, 1725–1736. [Google Scholar] [CrossRef]
- Li, X.Y.; Li, C.L.; Wu, C.; Wu, K.B. Strategy for highly sensitive electrochemical sensing: In situ coupling of a metal-organic framework with ball-mill-exfoliated grapheme. Anal. Chem. 2019, 91, 6043–6050. [Google Scholar] [CrossRef] [PubMed]
- Ashworth, D.J.; Foster, J.A. Metal-organic framework nanosheets (MONs): A new dimension in materials chemistry. J. Mater. Chem. A 2018, 6, 16292–16307. [Google Scholar] [CrossRef]
- Zhao, M.T.; Wang, Y.X.; Ma, Q.L.; Hung, Y.; Zhang, X.; Ping, J.F.; Zhang, Z.C.; Lu, Q.P.; Yu, Y.F.; Xu, H.; et al. Ultrathin 2D Metal-organic framework nanosheets. Adv. Mater. 2015, 27, 7372–7378. [Google Scholar] [CrossRef] [PubMed]
- La, D.D.; Thi, H.P.N.; Kim, Y.S.; Rananaware, A.; Bhosale, S.V. Facile fabrication of Cu(II)-porphyrin MOF thin films from tetrakis(4-carboxyphenyl)porphyrin and Cu(OH)2 nanoneedle array. Appl. Surf. Sci. 2017, 424, 145–150. [Google Scholar] [CrossRef]
- Zhao, X.; Bai, J.; Bo, X.J.; Guo, L.P. A novel electrochemical sensor based on 2D CuTCPP nanosheets and platelet ordered mesoporous carbon composites for hydroxylamine and chlorogenic acid. Anal. Chim. Acta 2019, 1075, 71–80. [Google Scholar] [CrossRef]
- Pingale, A.D.; Owhal, A.; Katarkar, A.S.; Belgamwar, S.U.; Rathore, J.S. Facile synthesis of graphene by ultrasonic-assisted electrochemical exfoliation of graphite. Mater. Today Proc. 2021, 44, 467–472. [Google Scholar] [CrossRef]
- Bard, A.J.; Faulkner, L.R.; White, H.S. Electrochemical Methods: Fundamentals and Applications, 2nd ed.; Wiley: New York, NY, USA, 1980. [Google Scholar]
- Ji, L.D.; Li, F.; Li, C.L.; Hu, P. Solvent-exfoliated Cu-TCPP nanosheets: Electrochemistry and sensing application in simultaneous determination of 4-aminophenol and acetaminophen. Microchem. J. 2022, 181, 107688. [Google Scholar] [CrossRef]
- Li, X.Y.; Shen, J.; Wu, C.; Wu, K.B. Ball-mill-exfoliated graphene: Tunable electrochemistry and phenol sensing. Small 2019, 15, 1805567. [Google Scholar] [CrossRef]
- Pingarrón, J.M.; Labuda, J.; Barek, J.; Brett, C.M.; Camões, M.F.; Fojta, M.; Hibbert, D.B. Terminology of electrochemical methods of analysis (IUPAC Recommendations 2019). Pure Appl. Chem. 2020, 92, 641–694. [Google Scholar] [CrossRef]
- Ge, K.; Sun, S.J.; Zhao, Y.; Yang, K.; Wang, S.; Zhang, Z.H.; Cao, J.Y.; Yang, Y.F.; Zhang, Y.; Pan, M.W.; et al. Facile synthesis of two-dimensional iron/cobalt metal-organic framework for efficient oxygen evolution electrocatalysis. Angew. Chem. Int. Ed. 2021, 60, 12097–12102. [Google Scholar] [CrossRef]
- Feng, J.; Li, Q.; Cai, J.P.; Yang, T.; Chen, J.H.; Hou, X.M. Electrochemical detection mechanism of dopamine and uric acid on titanium nitride-reduced graphene oxide composite with and without ascorbic acid. Sens. Actuator B-Chem. 2019, 298, 126872. [Google Scholar] [CrossRef]
- Liu, J.; Sun, L.L.; Li, G.L.; Hu, J.; He, Q.G. Ultrasensitive detection of dopamine via electrochemical route on spindle-like α-Fe2O3 Mesocrystals/rGO modifed GCE. Mater. Res. Bull. 2021, 133, 111050. [Google Scholar] [CrossRef]
- Vazirirad, A.; Babaei, A.; Afrasiabi, M. SnO2/α-Fe2O3 hierarchical nanorods modified carbon paste electrode as the novel sensor for sensitive simultaneous determination of dopamine and tramadol. Anal. Bioanal. Electrochem. 2021, 13, 393–407. [Google Scholar]
- Yao, Y.; Zhong, J.; Lu, Z.W.; Liu, X.; Wang, Y.Y.; Liu, T.; Zou, P.; Dai, X.X.; Wang, X.X.; Ding, F.; et al. Nitrogen-doped carbon frameworks decorated with palladium nanoparticles for simultaneous electrochemical voltammetric determination of uric acid and dopamine in the presence of ascorbic acid. Microchim. Acta 2019, 186, 795. [Google Scholar] [CrossRef]
- Xu, G.; Yamada, T.; Otsubo, K.; Sakaida, S.; Kitagawa, H. Facile “modular assembly” for fast construction of a highly oriented crystalline MOF nanofilm. J. Am. Chem. Soc. 2012, 134, 16524–16527. [Google Scholar] [CrossRef]
- Wei, P.P.; Shen, J.; Wu, K.B.; Hu, C.G. Tuning electrochemical behaviors of N-methyl-2-pyrrolidone liquid exfoliated graphene nanosheets by centrifugal speed-based grading. Carbon 2018, 129, 183–190. [Google Scholar] [CrossRef]













| Electrode | Forward Step | Reverse Step |
|---|---|---|
| GCE | Qf = 0.7796 + 2.444 t1/2 | |Qr| = 0.7550 + 2.397 f(t) |
| Cu-TCPP/GCE | Qf = 1.228 + 4.351 t1/2 | |Qr| = 1.122 + 4.665 f(t) |
| Graphene/GCE | Qf = 1.448 + 4.398 t1/2 | |Qr| = 1.333 + 4.611 f(t) |
| Cu-TCPP/Graphene/GCE | Qf = 2.174 + 6.697 t1/2 | |Qr| = 1.766 + 8.402 f(t) |
| Modified Electrode | Linear Range (µM) | LOD (nM) | Ref. |
|---|---|---|---|
| g-C3N4/MWNTs/GO/GCE | 2–100 | 220 | [10] |
| CuxO-ZnO/PPy/RGO/GCE | 0.05–430 | 10 | [11] |
| Fe2O3-NiO@GO/GCE | 10–1500 | 5 | [12] |
| f-MWCNTs/GO/AuNPs/AuE | 1–400 | 500 | [13] |
| SnO2/α-Fe2O3 hierarchical nanorods/CPE | 0.1–70 | 40 | [36] |
| Pd@NCF/GCE | 0.5–230 | 107 | [37] |
| Cu-TCPP/Graphene/GCE | 0.02–100, 100–1000 | 3.6 | This work |
| Samples | Added (μM) | Found (μM) | Recovery (%) | RSD (%) |
|---|---|---|---|---|
| 1 | 0.050 | 0.048 | 96.0 | 2.7 |
| 0.20 | 0.21 | 105.0 | 3.1 | |
| 2 | 5.00 | 5.21 | 104.2 | 3.2 |
| 100.00 | 103.40 | 103.4 | 2.8 | |
| 3 | 50.00 | 48.90 | 97.8 | 2.5 |
| 300.00 | 286.34 | 95.4 | 3.4 | |
| 4 | 500.00 | 487.52 | 97.5 | 1.4 |
| 800.00 | 775.33 | 96.9 | 2.3 |
Disclaimer/Publisher’s Note: The statements, opinions and data contained in all publications are solely those of the individual author(s) and contributor(s) and not of MDPI and/or the editor(s). MDPI and/or the editor(s) disclaim responsibility for any injury to people or property resulting from any ideas, methods, instructions or products referred to in the content. |
© 2023 by the authors. Licensee MDPI, Basel, Switzerland. This article is an open access article distributed under the terms and conditions of the Creative Commons Attribution (CC BY) license (https://creativecommons.org/licenses/by/4.0/).
Share and Cite
Ji, L.; Wang, Q.; Gong, X.; Chen, J.; Zhu, X.; Li, Z.; Hu, P. Ultrasensitive and Simple Dopamine Electrochemical Sensor Based on the Synergistic Effect of Cu-TCPP Frameworks and Graphene Nanosheets. Molecules 2023, 28, 2687. https://doi.org/10.3390/molecules28062687
Ji L, Wang Q, Gong X, Chen J, Zhu X, Li Z, Hu P. Ultrasensitive and Simple Dopamine Electrochemical Sensor Based on the Synergistic Effect of Cu-TCPP Frameworks and Graphene Nanosheets. Molecules. 2023; 28(6):2687. https://doi.org/10.3390/molecules28062687
Chicago/Turabian StyleJi, Liudi, Qi Wang, Xiaqing Gong, Jiamin Chen, Xiaoming Zhu, Zeyu Li, and Peng Hu. 2023. "Ultrasensitive and Simple Dopamine Electrochemical Sensor Based on the Synergistic Effect of Cu-TCPP Frameworks and Graphene Nanosheets" Molecules 28, no. 6: 2687. https://doi.org/10.3390/molecules28062687
APA StyleJi, L., Wang, Q., Gong, X., Chen, J., Zhu, X., Li, Z., & Hu, P. (2023). Ultrasensitive and Simple Dopamine Electrochemical Sensor Based on the Synergistic Effect of Cu-TCPP Frameworks and Graphene Nanosheets. Molecules, 28(6), 2687. https://doi.org/10.3390/molecules28062687

