Preparation and Characterization of Polyethersulfone-Ultrafiltration Membrane Blended with Terbium-Doped Cerium Magnesium Aluminate: Analysis of Fouling Behavior
Abstract
1. Introduction
2. Results and Discussion
2.1. Characterizations of CMAT
2.2. Characterizations of Membranes
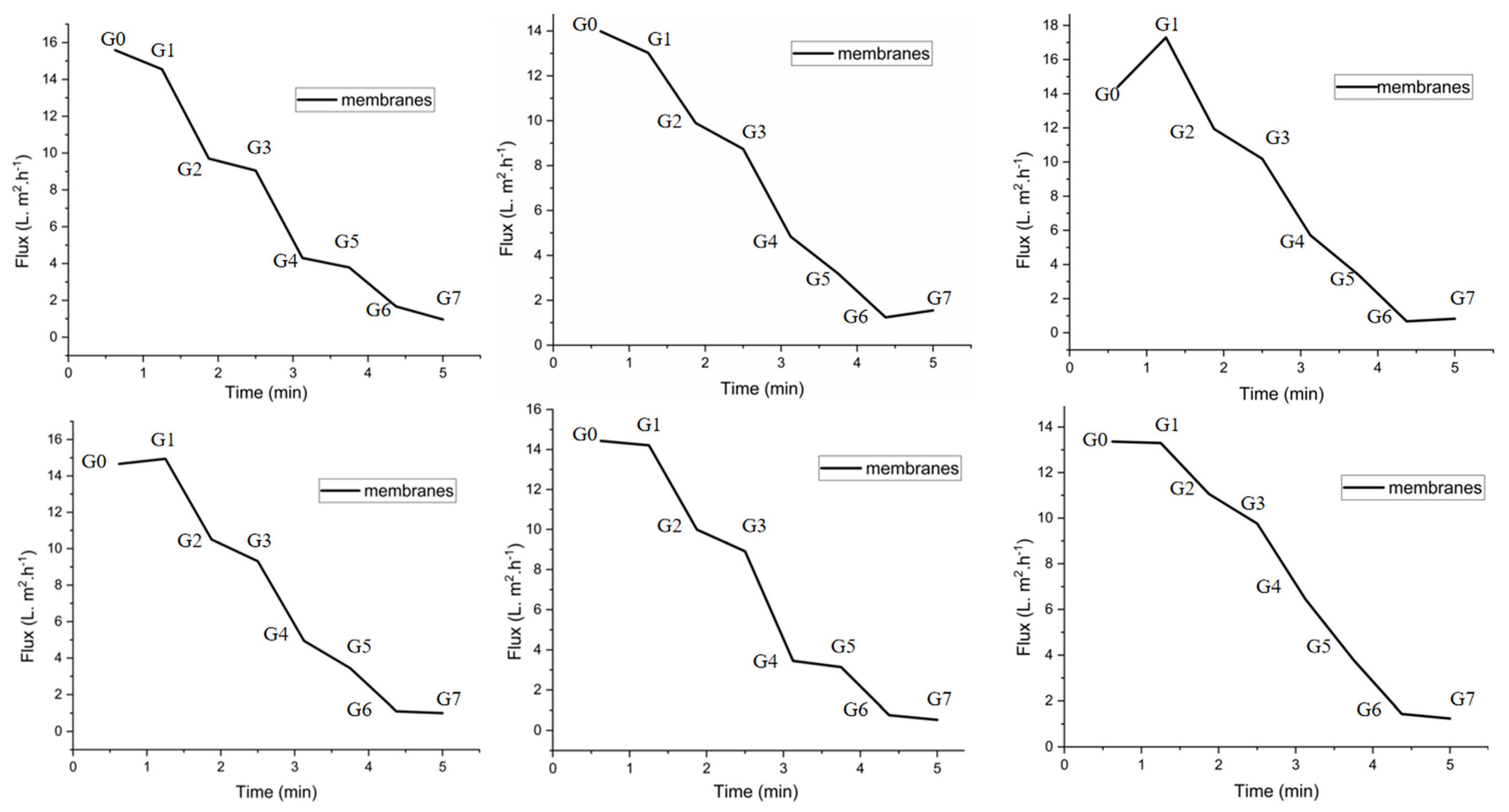
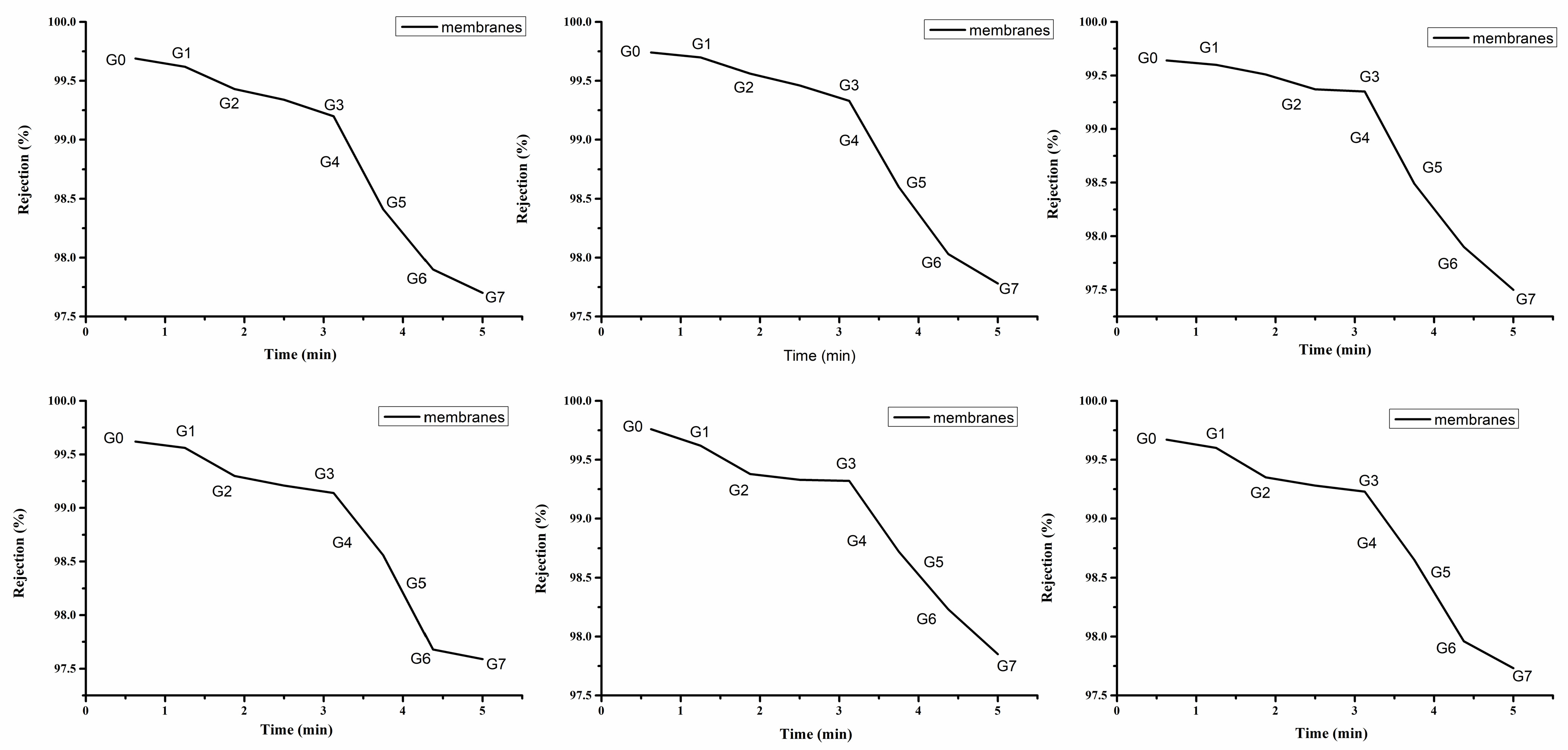
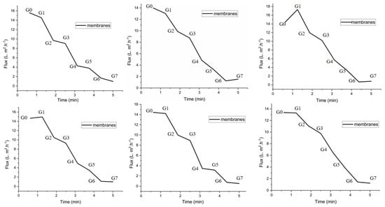
2.3. Filtration Performance and Performance against BSA Antifouling
3. Materials and Methods
3.1. Materials
3.2. Synthesis of the Terbium-Doped Cerium Magnesium Aluminate
3.3. Preparation of Membranes
3.4. Characterization of Terbium-Doped Cerium Magnesium Aluminate (CMAT)
3.5. Characterization of Membranes
3.6. Fouling Studies
4. Conclusions
Supplementary Materials
Author Contributions
Funding
Institutional Review Board Statement
Data Availability Statement
Conflicts of Interest
References
- Mehrabi, Z.; Taheri-Kafrani, A.; Asadnia, M.; Razmjou, A. Bienzymatic modification of polymeric membranes to mitigate biofouling. Sep. Purif. Technol. 2020, 237, 116464. [Google Scholar] [CrossRef]
- Pichardo-Romero, D.; Garcia-Arce, Z.; Zavala-Ramírez, A.; Castro-Muñoz, R. Current advances in biofouling mitigation in membranes for water treatment: An overview. Processes 2020, 8, 182. [Google Scholar] [CrossRef]
- Kumar, R.; Arthanareeswaran, G. Nano-curcumin incorporated polyethersulfone membranes for enhanced anti-biofouling in treatment of sewage plant effluent. Mater. Sci. Eng. C 2019, 94, 258–269. [Google Scholar] [CrossRef] [PubMed]
- Orooji, Y.; Movahedi, A.; Liu, Z.; Asadnia, M.; Ghasali, E.; Ganjkhanlou, Y.; Razmjou, A.; Karimi-Maleh, H.; Kiadeh, N. Luminescent film: Biofouling investigation of tetraphenylethylene blended polyethersulfone ultrafiltration membrane. Chemosphere 2021, 267, 128871. [Google Scholar] [CrossRef]
- Weinman, S.; Bass, M.; Pandit, S.; Herzberg, M.; Freger, V.; Husson, S. A switchable zwitterionic membrane surface chemistry for biofouling control. J. Membr. Sci. 2018, 548, 490–501. [Google Scholar] [CrossRef]
- Mamah, S.; Goh, P.; Ismail, A.; Suzaimi, N.; Yogarathinam, L.; Raji, Y.; El-badawy, T. Recent development in modification of polysulfone membrane for water treatment application. J. Water Process Eng. 2021, 40, 101835. [Google Scholar] [CrossRef]
- Alkindy, M.; Naddeo, V.; Banat, F.; Hasan, S. Synthesis of polyethersulfone (PES)/GO-SiO2 mixed matrix membranes for oily wastewater treatment. Water Sci. Technol. 2020, 81, 1354–1364. [Google Scholar] [CrossRef]
- Abdel-Karim, A.; Gad-Allah, T.; El-Kalliny, A.; Ahmed, S.; Souaya, E.; Badawy, M.; Ulbricht, M. Fabrication of modified polyethersulfone membranes for wastewater treatment by submerged membrane bioreactor. Sep. Purif. Technol. 2017, 175, 36–46. [Google Scholar] [CrossRef]
- Kusworo, T.; Utomo, D. Performance evaluation of double stage process using nano hybrid PES/SiO2-PES membrane and PES/ZnO-PES membranes for oily waste water treatment to clean water. J. Environ. Chem. Eng. 2017, 5, 6077–6086. [Google Scholar] [CrossRef]
- Marjani, A.; Nakhjiri, A.; Adimi, M.; Jirandehi, H.; Shirazian, S. Effect of graphene oxide on modifying polyethersulfone membrane performance and its application in wastewater treatment. Sci. Rep. 2020, 10, 2049. [Google Scholar] [CrossRef]
- Kusworo, T.; Ariyanti, N.; Utomo, D. Effect of nano-TiO2 loading in polysulfone membranes on the removal of pollutant following natural-rubber wastewater treatment. J. Water Process Eng. 2020, 35, 101190. [Google Scholar] [CrossRef]
- Li, X.; Raza, S.; Liu, C. Directly electrospinning synthesized Z-scheme heterojunction TiO2@ Ag@Cu2O nanofibers with enhanced photocatalytic degradation activity under solar light irradiation. J. Environ. Chem. Eng. 2021, 9, 106133. [Google Scholar] [CrossRef]
- Raza, S.; Raza, M.; Zada, S.; Li, X.; Liu, C. Fabrication of biomass-derived polymer with dopamine and Ag nanoaggregates: Prevention of the biofilm of bacteria and catalytic degradation of organic dyes. Eur. Polym. J. 2021, 157, 110635. [Google Scholar] [CrossRef]
- Singh, S.; Li, Y.; Zhang, J.; Tour, J.; Arnusch, C. Sulfur-doped laser-induced porous graphene derived from polysulfone-class polymers and membranes. ACS Nano 2018, 12, 289–297. [Google Scholar] [CrossRef]
- Zhao, C.; Xue, J.; Ran, F.; Sun, S. Modification of polyethersulfone membranes–A review of methods. Prog. Mater. Sci. 2013, 58, 76–150. [Google Scholar] [CrossRef]
- Chung, Y.; Mahmoudi, E.; Mohammad, A.; Benamor, A.; Johnson, D.; Hilal, N. Development of polysulfone-nanohybrid membranes using ZnO-GO composite for enhanced antifouling and antibacterial control. Desalination 2017, 402, 123–132. [Google Scholar] [CrossRef]
- Li, Y.; Huang, S.; Zhou, S.; Fane, A.; Zhang, Y.; Zhao, S. Enhancing water permeability and fouling resistance of polyvinylidene fluoride membranes with carboxylated nanodiamonds. J. Membr. Sci. 2018, 556, 154–163. [Google Scholar] [CrossRef]
- Baniasadi, J.; Shabani, Z.; Mohammadi, T.; Sahebi, S. Enhanced performance and fouling resistance of cellulose acetate forward osmosis membrane with the spatial distribution of TiO2 and Al2O3 nanoparticles. J. Chem. Technol. Biotechnol. 2021, 96, 147–162. [Google Scholar] [CrossRef]
- Purushothaman, M.; Arvind, V.; Saikia, K.; Vaidyanathan, V. Fabrication of highly permeable and anti-fouling performance of Poly (ether ether sulfone) nanofiltration membranes modified with zinc oxide nanoparticles. Chemosphere 2022, 286, 131616. [Google Scholar] [CrossRef]
- Bai, L.; Wu, H.; Ding, J.; Ding, A.; Zhang, X.; Ren, N.; Li, G.; Liang, H. Cellulose nanocrystal-blended polyethersulfone membranes for enhanced removal of natural organic matter and alleviation of membrane fouling. Chem. Eng. J. 2020, 382, 122919. [Google Scholar] [CrossRef]
- Kallem, P.; Ouda, M.; Bharath, G.; Hasan, S.; Banat, F. Enhanced water permeability and fouling resistance properties of ultrafiltration membranes incorporated with hydroxyapatite decorated orange-peel-derived activated carbon nanocomposites. Chemosphere 2022, 286, 131799. [Google Scholar] [CrossRef] [PubMed]
- Firouzjaei, M.D.; Shamsabadi, A.A.; Aktij, S.A.; Seyedpour, S.F.; Sharifian Gh., M.; Rahimpour, A.; Esfahani, M.R.; Ulbricht, M.; Soroush, M. Exploiting synergetic effects of graphene oxide and a silver-based metal–organic framework to enhance antifouling and anti-biofouling properties of thin-film nanocomposite membranes. ACS Appl. Mater. Interfaces 2018, 10, 42967–42978. [Google Scholar] [CrossRef] [PubMed]
- Xiao, F.; Xiao, P.; Zhang, W.; Wang, D. Identification of key factors affecting the organic fouling on low-pressure ultrafiltration membranes. J. Membr. Sci. 2013, 447, 144–152. [Google Scholar] [CrossRef]
- Levitsky, I.; Tavor, D.; Gitis, V.J.S.; Technology, P. Microbubbles and organic fouling in flat sheet ultrafiltration membranes. Sep. Purif. Technol. 2021, 268, 118710. [Google Scholar] [CrossRef]
- Razali, N.F.; Mohammad, A.W.; Hilal, N.; Chemistry, E. Effects of polyaniline nanoparticles in polyethersulfone ultrafiltration membranes: Fouling behaviours by different types of foulant. J. Ind. Eng. Chem. 2014, 20, 3134–3140. [Google Scholar] [CrossRef]
- Sotto, A.; Orcajo, G.; Arsuaga, J.M.; Calleja, G.; Landaburu-Aguirre, J. Preparation and characterization of MOF-PES ultrafiltration membranes. J. Appl. Polym. Sci. 2015, 132, 41633. [Google Scholar] [CrossRef]
- Li, X.; Fang, X.; Pang, R.; Li, J.; Sun, X.; Shen, J.; Han, W.; Wang, L. Self-assembly of TiO2 nanoparticles around the pores of PES ultrafiltration membrane for mitigating organic fouling. J. Membr. Sci. 2014, 467, 226–235. [Google Scholar] [CrossRef]
- Esfahani, M.; Aktij, S.; Dabaghian, Z.; Firouzjaei, M.; Rahimpour, A.; Eke, J.; Escobar, I.; Abolhassani, M.; Greenlee, L.; Esfahani, A. Nanocomposite membranes for water separation and purification: Fabrication, modification, and applications. Sep. Purif. Technol. 2019, 213, 465–499. [Google Scholar] [CrossRef]
- Nunes, S.; Culfaz-Emecen, P.; Ramon, G.; Visser, T.; Koops, G.; Jin, W.; Ulbricht, M. Thinking the future of membranes: Perspectives for advanced and new membrane materials and manufacturing processes. J. Membr. Sci. 2020, 598, 117761. [Google Scholar] [CrossRef]
- Russo, F.; Galiano, F.; Iulianelli, A.; Basile, A.; Figoli, A. Biopolymers for sustainable membranes in CO2 separation: A review. Fuel Process. Technol. 2021, 213, 106643. [Google Scholar] [CrossRef]
- Vatanpour, V.; Keskin, B.; Mehrabani, S.; Karimi, H.; Arabi, N.; Behroozi, A.; Shokrollahi-far, A.; Gul, B.; Koyuncu, I. Investigation of boron nitride/silver/graphene oxide nanocomposite on separation and antibacterial improvement of polyethersulfone membranes in wastewater treatment. J. Environ. Chem. Eng. 2022, 10, 107035. [Google Scholar] [CrossRef]
- Sukthavorn, K.; Nootsuwan, N.; Veranitisagul, C.; Laobuthee, A. Development of luminescence composite materials from poly (lactic acid) and europium-doped magnesium aluminate for textile applications and 3D printing process. Polym. Compos. 2022, 43, 6637–6646. [Google Scholar] [CrossRef]
- Namvar, F.; Hajizadeh-Oghaz, M.; Mahdi, M.; Ganduh, S.; Meshkani, F.; Salavati-Niasari, M. The synthesis and characterization of Ni-M-Tb/Al2O3 (M: Mg, Ca, Sr and Ba) nanocatalysts prepared by different types of doping using the ultrasonic-assisted method to enhance CO2 methanation. Int. J. Hydrogen Energy 2022, 48, 3862–3877. [Google Scholar] [CrossRef]
- Korzhik, M.; Borisevich, A.; Fedorov, A.; Gordienko, E.; Karpyuk, P.; Dubov, V.; Sokolov, P.; Mikhlin, A.; Dosovitskiy, G.; Mechninsky, V. The scintillation mechanisms in Ce and Tb doped (GdxY1−x) Al2Ga3O12 quaternary garnet structure crystalline ceramics. J. Lumin. 2021, 234, 117933. [Google Scholar] [CrossRef]
- Kaynar, Ü.; Kaynar, S.; Ayvacikli, M.; Karabulut, Y.; Souadi, G.; Can, N. Influence of laser excitation power on temperature-dependent luminescence behaviour of Ce-and Tb-incorporated BaMgAl10O17 phosphors. Radiat. Phys. Chem. 2020, 168, 108617. [Google Scholar] [CrossRef]
- Tratsiak, Y.; Korzhik, M.; Fedorov, A.; Dosovitsky, G.; Akimova, O.; Belus, S.; Fasoli, M.; Vedda, A.; Mechinsky, V.; Trusova, E. On the stabilization of Ce, Tb, and Eu ions with different oxidation states in silica-based glasses. J. Alloys Compd. 2019, 797, 302–308. [Google Scholar] [CrossRef]
- Nádherný, L.; Doležal, V.; Sedmidubský, D.; Cajzl, J.; Kučerková, R.; Nikl, M.; Jakeš, V.; Rubešová, K. Optical and magnetic properties of nanostructured cerium-doped LaMgAl11O19. J. Mater. Res. 2020, 35, 1672–1679. [Google Scholar] [CrossRef]
- Labjar, N.; El Hajjaji, S.; Lebrini, M.; Idrissi, M.S.; Jama, C.; Bentiss, F. Enhanced corrosion resistance properties of carbon steel in hydrochloric acid medium by aminotris-(methylenephosphonic): Surface characterizations. J. Mater. Environ. Sci. 2011, 2, 309. [Google Scholar]
- Liu, H.; Zhang, S.-G.; Pan, D.-A.; Liu, Y.-F.; Liu, B.; Tian, J.-J.; Volinsky, A. Mechanism of CeMgAl11O19: Tb3+ alkaline fusion with sodium hydroxide. Rare Met. 2015, 34, 189–194. [Google Scholar] [CrossRef]
- Zhang, R.; Li, Y.; Cai, Y.; Han, Q.; Zhang, T.; Liu, Y.; Zeng, K.; Zhao, C.J.C.; Physicochemical, S.A.; Aspects, E. Photocatalytic Poly (vinylidene fluoride) membrane of Ag3PO4/GO/APTES for water treatment. Colloids Surf. A Physicochem. Eng. Asp. 2020, 597, 124779. [Google Scholar] [CrossRef]
- Zhang, J.; Wang, P.; Wen, H.; Raza, S.; Zhu, Z.; Huang, W.; Liang, L.; Liu, C. Polymer brush-grafted cotton with petal-like microstructure as superhydrophobic and self-cleaning adsorbents for oil/water separation. Colloids Surf. A Physicochem. Eng. Asp. 2021, 621, 126548. [Google Scholar] [CrossRef]










| CMAT | First Measurement | Second Measurement | Average Measurement |
|---|---|---|---|
| Contact angle | 5.5o | 11.2o | 8.4o |
| Specimens | NMP (wt%) | PES (wt%) | PVP (wt%) | Ce0.67Tb0.33MgAl11O19 (wt%) |
|---|---|---|---|---|
| PES G0 | 75 | 20 | 5 | 0 |
| PES G1 | 74.984 | 20 | 5 | 0.016 |
| PES G2 | 74.98 | 20 | 5 | 0.02 |
| PES G3 | 74.96 | 20 | 5 | 0.04 |
| PES G4 | 74.9 | 20 | 5 | 0.1 |
| PES G5 | 74.8 | 20 | 5 | 0.2 |
| PES G6 | 74.6 | 20 | 5 | 0.4 |
| PES G7 | 74 | 20 | 5 | 1 |
| Membranes | First Measurement | Second Measurement | Average Measurement |
|---|---|---|---|
| PES G0 | 68 | 74 | 71 |
| PES G1 | 60.1 | 60.7 | 60.4 |
| PES G2 | 53.6 | 54.4 | 54 |
| PES G3 | 48.1 | 52.9 | 50.5 |
| PES G4 | 43.8 | 46.3 | 45.1 |
| PES G5 | 33.9 | 35.5 | 34.7 |
| PES G6 | 32.6 | 32.7 | 32.6 |
| PES G7 | 25.9 | 26.3 | 26.1 |
Disclaimer/Publisher’s Note: The statements, opinions and data contained in all publications are solely those of the individual author(s) and contributor(s) and not of MDPI and/or the editor(s). MDPI and/or the editor(s) disclaim responsibility for any injury to people or property resulting from any ideas, methods, instructions or products referred to in the content. |
© 2023 by the authors. Licensee MDPI, Basel, Switzerland. This article is an open access article distributed under the terms and conditions of the Creative Commons Attribution (CC BY) license (https://creativecommons.org/licenses/by/4.0/).
Share and Cite
Aouled, G.; Raza, S.; Ghasali, E.; Hayat, A.; Orooji, Y. Preparation and Characterization of Polyethersulfone-Ultrafiltration Membrane Blended with Terbium-Doped Cerium Magnesium Aluminate: Analysis of Fouling Behavior. Molecules 2023, 28, 2688. https://doi.org/10.3390/molecules28062688
Aouled G, Raza S, Ghasali E, Hayat A, Orooji Y. Preparation and Characterization of Polyethersulfone-Ultrafiltration Membrane Blended with Terbium-Doped Cerium Magnesium Aluminate: Analysis of Fouling Behavior. Molecules. 2023; 28(6):2688. https://doi.org/10.3390/molecules28062688
Chicago/Turabian StyleAouled, Gouled, Saleem Raza, Ehsan Ghasali, Asif Hayat, and Yasin Orooji. 2023. "Preparation and Characterization of Polyethersulfone-Ultrafiltration Membrane Blended with Terbium-Doped Cerium Magnesium Aluminate: Analysis of Fouling Behavior" Molecules 28, no. 6: 2688. https://doi.org/10.3390/molecules28062688
APA StyleAouled, G., Raza, S., Ghasali, E., Hayat, A., & Orooji, Y. (2023). Preparation and Characterization of Polyethersulfone-Ultrafiltration Membrane Blended with Terbium-Doped Cerium Magnesium Aluminate: Analysis of Fouling Behavior. Molecules, 28(6), 2688. https://doi.org/10.3390/molecules28062688

