Tsaokoic Acid: A New Bicyclic Nonene from the Fruits of Amomum tsao-ko with Acetylcholinesterase Inhibitory Activity
Abstract
1. Introduction
2. Results and Discussion
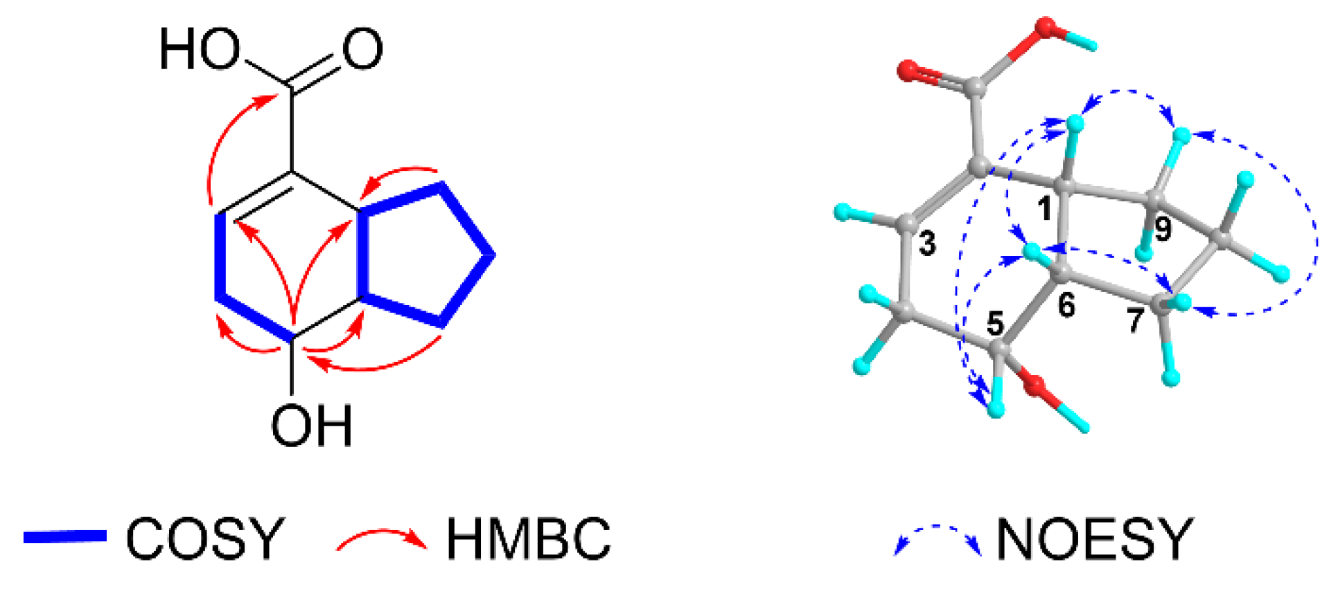
2.1. Structure Elucidation
2.2. AChE-Inhibitory Activities of 1–4
2.2.1. In Silico Docking Simulation
2.2.2. In Vitro Assay for AChE-Inhibitory Activity
3. Materials and Methods
3.1. General Experimental Procedures
3.2. Plant Material
3.3. Extraction and Isolation
3.4. In Silico AChE-Inhibitory Activity
3.5. In Vitro AChE-Inhibitory Assay
4. Conclusions
Supplementary Materials
Author Contributions
Funding
Institutional Review Board Statement
Informed Consent Statement
Data Availability Statement
Conflicts of Interest
Sample Availability
References
- Song, Q.S.; Teng, R.W.; Liu, X.K.; Yang, C.R. Tsaokoin, a new bicyclic nonane from Amomum tsao-ko. Chin. Chem. Lett. 2001, 12, 227–230. [Google Scholar]
- Cai, R.; Yue, X.; Wang, Y.; Yang, Y.; Sun, D.; Li, H.; Chen, L. Chemistry and bioactivity of plants from the genus Amomum. J. Ethnopharmacol. 2021, 281, 114563. [Google Scholar] [CrossRef] [PubMed]
- Yang, S.; Xue, Y.; Chen, D.; Wang, Z. Amomum tsao-ko Crevost & Lemarié: A comprehensive review on traditional uses, botany, phytochemistry, and pharmacology. Phytochem. Rev. 2022, 21, 1487–1521. [Google Scholar] [PubMed]
- Yang, X.; Küenzi, P.; Plitzko, I.; Potterat, O.; Hamburger, M. Bicyclononane aldehydes and antiproliferative constituents from Amomum tsao-ko. Planta Med. 2009, 75, 543–546. [Google Scholar] [CrossRef] [PubMed]
- Zhang, T.-T.; Lu, C.-L.; Jiang, J.-G. Bioactivity evaluation of ingredients identified from the fruits of Amomum tsaoko Crevost et Lemaire, a Chinese spice. Food Funct. 2014, 5, 1747–1754. [Google Scholar] [CrossRef] [PubMed]
- Kim, J.G.; Jang, H.; Le, T.P.L.; Hong, H.R.; Lee, M.K.; Hong, J.T.; Lee, D.; Hwang, B.Y. Pyranoflavanones and pyranochalcones from the fruits of Amomum tsao-ko. J. Nat. Prod. 2019, 82, 1886–1892. [Google Scholar] [CrossRef] [PubMed]
- He, X.-F.; Zhang, X.-K.; Geng, C.-A.; Hu, J.; Zhang, X.-M.; Guo, Y.-Q.; Chen, J.-J. Tsaokopyranols A–M, 2, 6-epoxydiarylheptanoids from Amomum tsao-ko and their α-glucosidase inhibitory activity. Bioorganic Chem. 2020, 96, 103638. [Google Scholar] [CrossRef] [PubMed]
- Marucci, G.; Buccioni, M.; Ben, D.D.; Lambertucci, C.; Volpini, R.; Amenta, F. Efficacy of acetylcholinesterase inhibitors in Alzheimer’s disease. Neuropharmacology 2021, 190, 108352. [Google Scholar] [CrossRef] [PubMed]
- Breijyeh, Z.; Karaman, R. Comprehensive review on Alzheimer’s disease: Causes and treatment. Molecules 2020, 25, 5789. [Google Scholar] [CrossRef] [PubMed]
- Moon, S.-S.; Lee, J.-Y.; Cho, S.-C. Isotsaokoin, an antifungal agent from Amomum tsao-ko. J. Nat. Prod. 2004, 67, 889–891. [Google Scholar] [CrossRef] [PubMed]
- Kang, U.; Han, A.-R.; So, Y.; Jin, C.H.; Ryu, S.M.; Lee, D.; Seo, E.K. Furanocoumarins from the roots of angelica dahurica with inhibitory activity against intracellular reactive oxygen species accumulation. J. Nat. Prod. 2019, 82, 2601–2607. [Google Scholar] [CrossRef] [PubMed]
- Kundu, A.; Mitra, A. Flavoring extracts of Hemidesmus indicus roots and Vanilla planifolia pods exhibit in vitro acetylcholinesterase inhibitory activities. Plant Food Hum. Nutr. 2013, 68, 247–253. [Google Scholar] [CrossRef] [PubMed]
- Abuhamdah, S.; Thalji, D.; Abuirmeileh, N.; Bahnassi, A.; Salahat, I.; Abuirmeileh, A. Behavioral and neurochemical alterations induced by vanillin in a mouse model of Alzheimer’s disease. Int. J. Pharmacol. 2017, 13, 573–582. [Google Scholar] [CrossRef]
- Iannuzzi, C.; Liccardo, M.; Sirangelo, I. Overview of the Role of Vanillin in Neurodegenerative Diseases and Neuropathophysiological Conditions. Int. J. Mol. Sci. 2023, 24, 1817. [Google Scholar] [CrossRef] [PubMed]
- Mahnashi, M.H.; Alyami, B.A.; Alqahtani, Y.S.; Alqarni, A.O.; Jan, M.S.; Hussain, F.; Zafar, R.; Rashid, U.; Abbas, M.; Tariq, M.; et al. Antioxidant molecules isolated from edible Prostrate Knotweed: Rational derivatization to produce more potent molecules. Oxidative Med. Cell. Longev. 2022, 2022, 1–15. [Google Scholar] [CrossRef] [PubMed]
- Moon, S.-S.; Cho, S.-C.; Lee, J.-Y. Tsaokoarylone, a cytotoxic diarylheptanoid from Amomum tsao-ko fruits. Bull. Korean Chem. Soc. 2005, 26, 447–450. [Google Scholar] [CrossRef]
- Ellman, G.L.; Courtney, K.D.; Andres, A., Jr.; Featherstone, R.M. A new and rapid colorimetric determination of acetylcholinesterase activity. Biochem. Pharmacol. 1961, 7, 88–95. [Google Scholar] [CrossRef] [PubMed]




| Position | 1 a | 2 b | ||||
|---|---|---|---|---|---|---|
| δC | Type | δH (J in Hz) | δC | Type | δH (J in Hz) | |
| 1 | 40.9 | CH | 3.01 ddt (9.8, 3.3, 1.6) | 37.3 | CH | 2.98 m |
| 2 | 135.9 | C | 144.9 | C | ||
| 3 | 136.5 | CH | 6.78 dq (6.0, 1.5) | 146.5 | CH | 6.64 ddd (5.6, 3.2, 1.3) |
| 4 | 30.8 | CH2 | 2.32 ddt (17.8, 6.0, 1.5) | 31.2 | CH2 | 2.53 dtt (18.4, 5.2, 1.5) |
| 2.22 ddt (18.0, 9.4, 2.9) | 2.40 td (8.6, 2.9) | |||||
| 5 | 68.9 | CH | 3.94 dt (9.6, 4.8) | 68.4 | CH | 4.05 dt (8.8, 4.8) |
| 6 | 44.6 | CH | 2.41 dddd (12.6, 8.0, 4.0, 1.4) | 42.8 | CH | 2.44 dt (8.8, 2.8) |
| 7 | 26.0 | CH2 | 1.72 dddd (16.4, 8.4, 5.2, 4.1) | 25.0 | CH2 | 1.78 td (8.8, 5.2) |
| 1.55 m | 1.63 m | |||||
| 8 | 25.4 | CH2 | 1.55 m | 24.7 | CH2 | 1.56 ddd (15.6, 7.2, 1.9) |
| 9 | 34.2 | CH2 | 2.03 dq (5.6, 2.4) | 32.3 | CH2 | 2.12 ddd (20.8, 7.6, 5.1) |
| 1.45 m | 1.41 tdd (13.2, 5.6, 1.7) | |||||
| 10 | 170.7 | COOH | 193.8 | CHO | 9.42s | |
| Compound | Autodock Vina a | Autodock4 a | LeDock a | No. of H-Bond | H-Bond Interacting Residues | Hydrophobic Interacting Residues |
|---|---|---|---|---|---|---|
| FP1 b | −5.6 | −5.11 | −2.52 | 2 | HIS447B, TYR449B | ILE451B, TRP86B |
| 1 | −6.8 | −5.24 | −3.32 | 1 | TYR124B | |
| 2 | −6.3 | −6.07 | −2.93 | 2 | HIS447B, SER125B | |
| 3 | −5.8 | −5.17 | −2.7 | 1 | TYR341B | TYR124B |
| 4 | −7.2 | −8.58 | −4.1 | 2 | TYR72B, TYR124B | PHE338B, TRP86B, TYR337B |
Disclaimer/Publisher’s Note: The statements, opinions and data contained in all publications are solely those of the individual author(s) and contributor(s) and not of MDPI and/or the editor(s). MDPI and/or the editor(s) disclaim responsibility for any injury to people or property resulting from any ideas, methods, instructions or products referred to in the content. |
© 2023 by the authors. Licensee MDPI, Basel, Switzerland. This article is an open access article distributed under the terms and conditions of the Creative Commons Attribution (CC BY) license (https://creativecommons.org/licenses/by/4.0/).
Share and Cite
Kim, H.; Lee, H.; Jung, H.J.; Noh, S.G.; Youn, I.; Kwak, H.; Lee, Y.; Nam, S.-J.; Kang, S.; Chung, H.Y.; et al. Tsaokoic Acid: A New Bicyclic Nonene from the Fruits of Amomum tsao-ko with Acetylcholinesterase Inhibitory Activity. Molecules 2023, 28, 2602. https://doi.org/10.3390/molecules28062602
Kim H, Lee H, Jung HJ, Noh SG, Youn I, Kwak H, Lee Y, Nam S-J, Kang S, Chung HY, et al. Tsaokoic Acid: A New Bicyclic Nonene from the Fruits of Amomum tsao-ko with Acetylcholinesterase Inhibitory Activity. Molecules. 2023; 28(6):2602. https://doi.org/10.3390/molecules28062602
Chicago/Turabian StyleKim, Hyunyoung, Hwaryeong Lee, Hee Jin Jung, Sang Gyun Noh, Isoo Youn, Hyunkyung Kwak, Yeju Lee, Sang-Jip Nam, Soosung Kang, Hae Young Chung, and et al. 2023. "Tsaokoic Acid: A New Bicyclic Nonene from the Fruits of Amomum tsao-ko with Acetylcholinesterase Inhibitory Activity" Molecules 28, no. 6: 2602. https://doi.org/10.3390/molecules28062602
APA StyleKim, H., Lee, H., Jung, H. J., Noh, S. G., Youn, I., Kwak, H., Lee, Y., Nam, S.-J., Kang, S., Chung, H. Y., & Seo, E. K. (2023). Tsaokoic Acid: A New Bicyclic Nonene from the Fruits of Amomum tsao-ko with Acetylcholinesterase Inhibitory Activity. Molecules, 28(6), 2602. https://doi.org/10.3390/molecules28062602

