Anti-Amyloidogenic Effects of Metasequoia glyptostroboides Fruits and Its Active Constituents
Abstract
1. Introduction
2. Results
2.1. Inhibitory Effect of M. glyptostroboides Ethanol Extract and Solvent-Partitioned Fractions on Aβ Aggregation
2.2. Isolation and Structure Elucidation of Compounds from M. glyptostroboides
2.3. Antioxidant Effect of Compounds Isolated from M. glyptostroboides
2.4. Inhibitory Effect of Compounds 1–5 on Aβ Aggregation
2.5. Enhancement of Aβ Disaggregation by Compounds 1–5
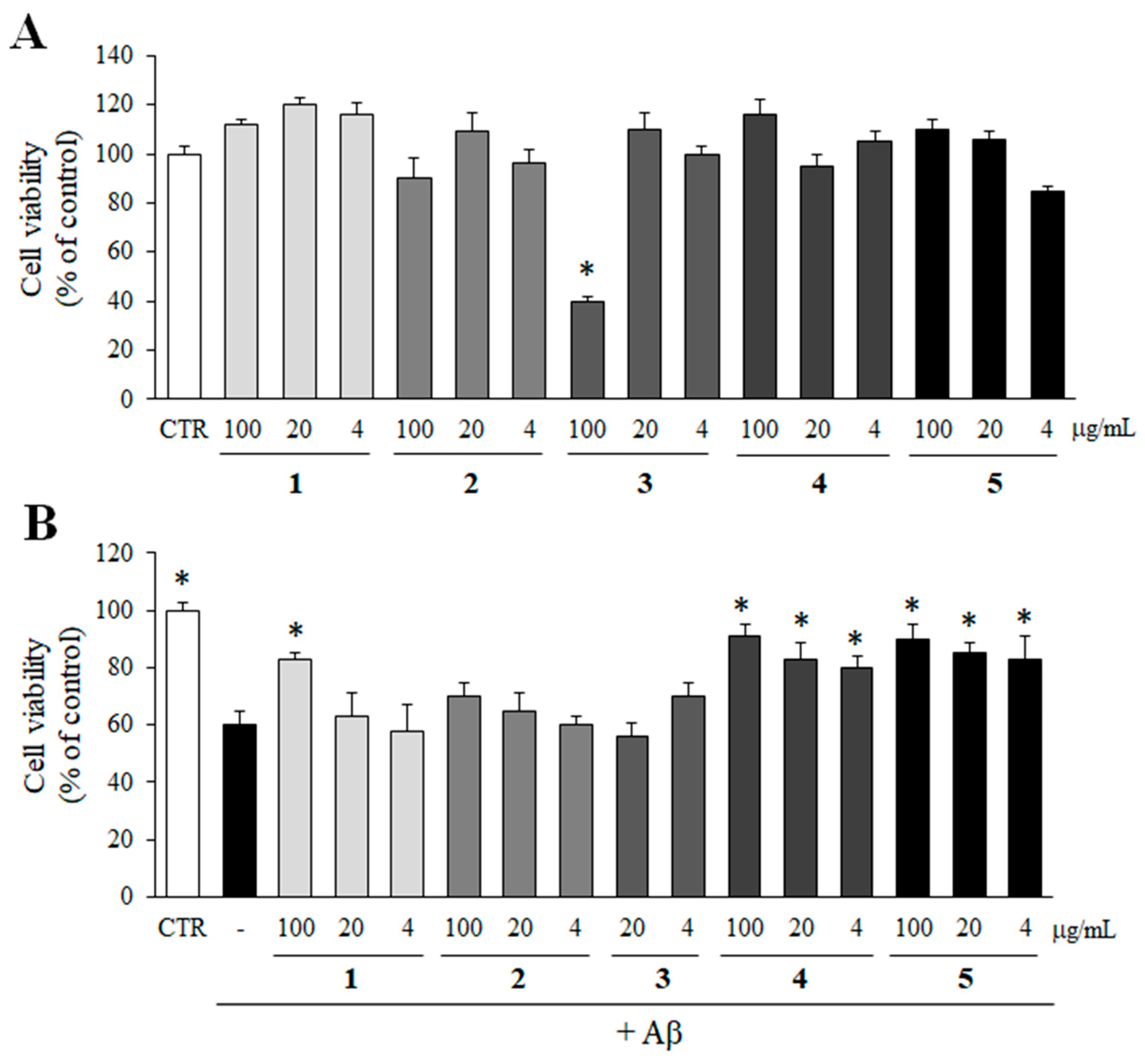
2.6. Inhibition of Aβ Aggregation by Compounds 1–5 Rescued the PC12 Cells from Aβ Aggregate-Induced Toxicity
3. Discussion
4. Materials and Methods
4.1. Materials
4.2. Plant Material and Extraction
4.3. Isolation of Active Compounds
4.4. ThT Assay
4.5. DPPH Assay
4.6. Cell Cultures
4.7. MTT Assay
4.8. Statistical Analysis
Author Contributions
Funding
Institutional Review Board Statement
Informed Consent Statement
Data Availability Statement
Acknowledgments
Conflicts of Interest
References
- Hobert, L.E.; Weuve, J.; Scherr, P.A.; Evans, D.A. Alzheimer disease in the United States (2010–2050) estimated using the 2010 census. Neurology 2013, 80, 1778–1783. [Google Scholar] [CrossRef] [PubMed]
- Lippens, G.; Sillen, A.; Landrieu, I.; Amniai, L.; Sibile, N.; Barbier, P.; Leroy, A.; Hanoulle, X.; Wieruszeski, J.M. Tau aggregation in Alzheimer’s disease: What role for phosphorylation? Prion 2007, 1, 21–25. [Google Scholar] [CrossRef] [PubMed]
- Volloch, D.; Olsen, B.; Rits, S. Alzheimer’s Disease is Driven by Intraneuronally Retained Beta-Amyloid Produced in the AD-Specific, βAPP-Independent Pathway: Current Perspective and Experimental Models for Tomorrow. Ann. Integr. Mol. Med. 2020, 2, 90–114. [Google Scholar] [CrossRef]
- Richard, J.O.; Wong, P.C. Amyloid precursor protein processing and Alzheimer’s disease. Annu. Rev. Neurosci. 2011, 34, 185–204. [Google Scholar]
- Calabrò, M.; Rinaldi, C.; Santoro, G.; Crisafulli, C. The biological pathways of Alzheimer disease: A review. AIMS Neurosci. 2020, 8, 86–132. [Google Scholar] [CrossRef]
- Zetterberg, H.; Burnham, S.C. Blood-based molecular biomarkers for Alzheimer’s disease. Mol. Brain 2019, 12, 1–7. [Google Scholar] [CrossRef]
- Mullins, R.J.; Diehl, T.C.; Chia, C.W.; Kapogiannis, D. Insulin Resistance as a Link between Amyloid-Beta and Tau Pathologies in Alzheimer’s Disease. Front. Aging Neurosci. 2017, 9, 1–16. [Google Scholar] [CrossRef]
- Botteri, G.; Salvadò, L.; Gumò, A.; Hamilton, D.L.; Meakin, P.J.; Montagut, G.; Ashford, M.L.J.; Victoria, C.M.; Sonia, F.V.; Vendrell, J.; et al. The BACE1 product sAPPβ induces ER stress and inflammation and impairs insulin signaling. Metabolism 2018, 85, 59–75. [Google Scholar] [CrossRef]
- Scheltens, P.; Blennow, K.; Breteler, M.M.; de Strooper, B.; Frisoni, G.B.; Salloway, S.; Van der Flier, W.M. Alzheimer’s disease. Lancet 2021, 397, 1577–1590. [Google Scholar] [CrossRef]
- Brookmeyer, R.; Abdalla, N.; Kawas, C.H.; Corrada, M.M. Forecasting the prevalence of preclinical and clinical Alzheimer’s disease in the United States. Alzheimer’s Dement. 2018, 14, 121–129. [Google Scholar] [CrossRef]
- Vingtdeux, V.; Hamdane, M.; Loyens, A.; Gele, P.; Drobeck, H.; Begard, S.; Marie, C.G.; Delacourte, A.; Jean, C.B.; Buee, L.; et al. Alkalizing drugs induce accumulation of amyloid precursor protein by-products in luminal vesicles of multivesicular bodies. J. Biol. Chem. 2007, 282, 18197–18205. [Google Scholar] [CrossRef] [PubMed]
- Butterfield, D.A.; Sultana, R. Methionine-35 of aβ(1-42): Importance for oxidative stress in Alzheimer disease. J. Amino Acids 2011, 2011, 1–10. [Google Scholar] [CrossRef] [PubMed]
- Juvik, O.J.; Nguyen, X.H.T.; Andersen, H.L.; Fossen, T. Growing with dinosaurs: Natural products from the Cretaceous relict Metasequoia glyptostroboides Hu & Cheng-a molecular reservoir from the ancient world with potential in modern medicine. Phytochem. Rev. 2016, 15, 161–195. [Google Scholar]
- Wen, C.T.; Yan, Y.Q.; Lin, F.D.; Yang, H.; Jiang, X.L.; Li, Y.P.; Liu, D.S.; Gong, X.; Xing, D.W.; Qin, S.Z. Diterpenoids and sesquiterpenoids from the stem bark of Metasequoia glyptostroboides. Phytochemistry 2019, 161, 86–96. [Google Scholar]
- Yang, C.; Zhagn, X.; Wang, T.; Hu, S.; Zhou, C.; Zhang, J.; Wang, Q. Phenotypic Plasticity in the Structure of Fine Adventitious Metasequoia glyptostroboides Roots Allows Adaption to Aquatic and Terrestrial Environments. Plants 2019, 8, 501. [Google Scholar] [CrossRef]
- Bajpai, V.K.; Park, Y.H.; Na, M.K.; Kang, S.C. α-Glucosidase and tyrosinase inhibitory effects of an abietane type diterpenoid taxoquinone from Metasequoia glyptostroboides. BMC Complement. Altern. Med. 2015, 15, 1–6. [Google Scholar] [CrossRef]
- Bajpai, V.K.; Sharma, A.; Kang, S.C.; Baek, K.H. Antioxidant, lipid peroxidation inhibition and free radical scavenging efficacy of a diterpenoid compound sugiol isolated from Metasequoia glyptostroboides. Asian Pac. J. Trop. Med. 2014, 7, 9–15. [Google Scholar] [CrossRef]
- Bajpai, V.K.; Kim, N.H.; Kim, K.M.; Kang, S.C. Antiviral potential of a diterpenoid compound sugiol from Metasequoia glyptostroboides. Pak. J. Pharm. Sci. 2016, 29, 1077–1080. [Google Scholar]
- Morisawa, J.; Kim, C.S.; Kashiwagi, T.; Tebayashi, S.I.; Horiike, M. Repellents in the Japanese cedar, Cryptomeria japonica, against the pill-bug, Armadillidium vulgare. Biosci. Biotechnol. Biochem. 2002, 66, 2424–2428. [Google Scholar] [CrossRef]
- Wei, W.; Li, Y.; Li, H.; Wang, L.; Gao, K. Phytotoxic Diterpenoids form Plants and Microorganisms. Chem. Biodivers. 2019, 16, 1–16. [Google Scholar] [CrossRef]
- Chen, F.; Zhang, L.; Zong, S.; Xu, S.; Li, X.; Ye, Y. Antioxidant Capacity and Proanthocyanidin Composition of the Bark of Metasequoia glyptostroboides. Evid. Based Complement. Alternat. Med. 2014, 2014, 1–12. [Google Scholar]
- Dong, L.B.; He, J.; Wang, Y.Y.; Wu, X.D.; Deng, X.; Pan, Z.H.; Xu, G.; Peng, L.Y.; Zhao, Y.; Li, Y.; et al. Terpenoids and norlignans from Metasequoia glyptostroboides. J. Nat. Prod. 2011, 74, 234–239. [Google Scholar] [CrossRef] [PubMed]
- Lee., H.; Oh, C.; Kim, S.; Dey, D.K.; Kim, H.H.; Bajpai, V.K.; Han, Y.K.; Huh, Y.S. Metasequoia glyptostroboides potentiates anticancer effect against cervical cancer via intrinsic apoptosis pathway. Sci. Rep. 2021, 11, 894. [Google Scholar] [CrossRef] [PubMed]
- Gonzalez, M.A. Aromatic abietane diterpenoids: Their biological activity and synthesis. Nat. Prod. Rep. 2015, 32, 684–704. [Google Scholar] [CrossRef]
- Habtemariam, S. The Therapeutic Potential of Rosemary (Rosmarinus officinalis) Diterpenes for Alzheimer’s Disease. Evid. Based Complement. Alternat. Med. 2016, 2016, 1–15. [Google Scholar] [CrossRef] [PubMed]
- Gonzalez, M.A. Synthetic derivatives of aromatic abietane diterpenoids and their biological activities. Eur. J. Med. Chem. 2014, 87, 834–842. [Google Scholar] [CrossRef] [PubMed]
- Hjortness, M.K.; Riccardi, L.; Hongdusit, A.; Ruppe, S.; Zhao, M.; Kim, E.Y.; Zwart, P.H.; Sankaran, B.; Arthanari, H.; Sousa, M.C.; et al. Abietane-Type Diterpenoids Inhibit Protein Tyrosine Phosphatases by Stabilizing an Inactive Enzyme Conformation. Biochemistry 2018, 57, 5886–5896. [Google Scholar] [CrossRef] [PubMed]
- Bajpai, V.K.; Na, M.; Kang, S.C. The role of bioactive substances in controlling foodborne pathogens derived from Metasequoia glyptostroboides Miki ex Hu. Food Chem. Toxicol. 2010, 48, 1945–1949. [Google Scholar] [CrossRef]
- Wang, Y.; Shi, L.Y.; Qi, W.H.; Yang, J.; Qi, Y. Anticancer activity of sugiol against ovarian cancer cell line SKOV3 involves mitochondrial apoptosis, cell cycle arrest and blocking of the RAF/MEK/ERK signalling pathway. Arch. Med. Sci. 2017, 16, 428–435. [Google Scholar] [CrossRef]
- Chao, K.P.; Hua, K.F.; Hsu, H.Y.; Su, Y.C.; Chang, S.T. Anti-inflammatory activity of sugiol, a diterpene isolated from Calocedrus formossana bark. Planta Med. 2005, 71, 300–305. [Google Scholar] [CrossRef]
- Porto, T.S.; Rangel, R.; Furtado, N.A.J.C.; de Carvalho, T.C.; Martins, C.H.G.; Veneziani, R.C.S.; Costa, F.B.D.; Vinholis, A.H.C.; Cunha, W.R.; Heleno, V.C.G.; et al. Pimaranee-type diterpenes: Antimicrobial activity against oral pathogens. Molecules 2009, 14, 191–199. [Google Scholar] [CrossRef] [PubMed]
- Reveglia, P.; Cimmino, A.; Masi, M.; Nocera, P.; Berova, N.; Ellestad, G.; Evidente, A. Pimarane diterpenes: Natural source, stereochemical configuration, and biological activity. Chirality 2018, 30, 1115–1134. [Google Scholar] [CrossRef] [PubMed]
- Jung, H.A.; Lee, E.J.; Kim, J.S.; Kang, S.S.; Lee, J.H.; Min, B.S.; Choi, J.S. Cholinesterase and BACE1 inhibitory diterpenoids from Aralia cordata. Arch. Pharm. Res. 2009, 32, 1399–1408. [Google Scholar] [CrossRef] [PubMed]
- Anaya, A.L.; Mata, R.; Sims, J.J.; Coloma, A.G.; Ortega, R.C.; Guadano, A.; Bautista, B.E.H.; Midland, S.L.; Rios, R.; Pompa, A.G. Allelochemical potential of Callicarpa acuminata. J. Chem. Ecol. 2003, 29, 2761–2776. [Google Scholar] [CrossRef] [PubMed]






Disclaimer/Publisher’s Note: The statements, opinions and data contained in all publications are solely those of the individual author(s) and contributor(s) and not of MDPI and/or the editor(s). MDPI and/or the editor(s) disclaim responsibility for any injury to people or property resulting from any ideas, methods, instructions or products referred to in the content. |
© 2023 by the authors. Licensee MDPI, Basel, Switzerland. This article is an open access article distributed under the terms and conditions of the Creative Commons Attribution (CC BY) license (https://creativecommons.org/licenses/by/4.0/).
Share and Cite
Yeo, J.-Y.; Lee, S.; Ko, M.S.; Lee, C.H.; Choi, J.Y.; Hwang, K.W.; Park, S.-Y. Anti-Amyloidogenic Effects of Metasequoia glyptostroboides Fruits and Its Active Constituents. Molecules 2023, 28, 1017. https://doi.org/10.3390/molecules28031017
Yeo J-Y, Lee S, Ko MS, Lee CH, Choi JY, Hwang KW, Park S-Y. Anti-Amyloidogenic Effects of Metasequoia glyptostroboides Fruits and Its Active Constituents. Molecules. 2023; 28(3):1017. https://doi.org/10.3390/molecules28031017
Chicago/Turabian StyleYeo, Ji-Yun, Seul Lee, Min Sung Ko, Chung Hyun Lee, Jee Yeon Choi, Kwang Woo Hwang, and So-Young Park. 2023. "Anti-Amyloidogenic Effects of Metasequoia glyptostroboides Fruits and Its Active Constituents" Molecules 28, no. 3: 1017. https://doi.org/10.3390/molecules28031017
APA StyleYeo, J.-Y., Lee, S., Ko, M. S., Lee, C. H., Choi, J. Y., Hwang, K. W., & Park, S.-Y. (2023). Anti-Amyloidogenic Effects of Metasequoia glyptostroboides Fruits and Its Active Constituents. Molecules, 28(3), 1017. https://doi.org/10.3390/molecules28031017
