Triterpene and Steroid Glycosides from Marine Sponges (Porifera, Demospongiae): Structures, Taxonomical Distribution, Biological Activities
Abstract
1. Introduction
2. Tetracyclic Triterpene Glycosides
2.1. The Order Tetractinellida (Suborder Astrophorina)
2.2. The Order Bubarida
2.3. The Order Haplosclerida
2.4. The Order Poecilosclerida
3. Steroid Glycosides from Sponges
3.1. The Order Tetractinellida
3.2. The Order Poecilosclerida
3.3. The Order Haplosclerida
3.4. The Order Axinellida
4. Taxonomic Distribution of Glycosides in Sponges
5. Biological Roles of Sponge Triterpene and Steroid Glycosides
6. Conclusions
Author Contributions
Funding
Institutional Review Board Statement
Informed Consent Statement
Data Availability Statement
Acknowledgments
Conflicts of Interest
References
- Hooper, J.N.A.; Van Soest, R.W.M. Systema Porifera: A Guide to the Classification of Sponges; Kluwer Academic/Plenum Publishers: Dordrecht, The Netherlands, 2002. [Google Scholar]
- Van Soest, R.W.M.; Boury-Esnault, N.; Vacelet, J.; Dohrmann, M.; Erpenbeck, D.; De Voogd, N.J.; Santodomingo, N.; Vanhoorne, B.; Kelly, M.; Hooper, J.N.A. Global diversity of sponges (Porifera). PLoS ONE 2012, 7, 35105. [Google Scholar] [CrossRef] [PubMed]
- Bramhachari, P.V.; Ehrlich, H.; Pallela, R. Introduction to the global scenario of marine sponge research. In Marine Sponges: Chemicobiological and Biomedical Applications; Pallela, R., Ehrlich, H., Eds.; Springer: New Delhi, India, 2016; pp. 1–23. [Google Scholar] [CrossRef]
- Ye, J.; Zhou, F.; Al-Kareef, A.M.Q.; Wang, H. Anticancer agents from marine sponges. J. Asian Nat. Prod. Res. 2015, 17, 64–88. [Google Scholar] [CrossRef] [PubMed]
- Sima, P.; Vetvicka, V. Bioactive substances with anti-neoplastic efficacy from marine invertebrates: Porifera and Coelenterata. World J. Clin. Oncol. 2011, 2, 355–361. [Google Scholar] [CrossRef] [PubMed]
- Anjum, K.; Abbas, S.Q.; Shah, S.A.A.; Akhter, N.; Batool, S.; ul Hassan, S.S. Marine sponges as a drug treasure. Biomol. Therapeut. 2016, 24, 347–362. [Google Scholar] [CrossRef] [PubMed]
- Sipkema, D.; Franssen, M.C.R.; Osinga, R.; Tramper, J.; Wijffels, R.H. Marine sponges as pharmacy. Mar. Biotechnol. 2005, 7, 142–162. [Google Scholar] [CrossRef] [PubMed]
- Wilson, K.; de Rond, T.; Burkhardt, I.; Steelea, T.S.; Schäfera, R.J.B.; Podella, S.; Allena, E.E.; Moore, B.S. Terpene biosynthesis in marine sponge animals. Proc. Natl. Acad. Sci. USA 2023, 120, e2220934120. [Google Scholar] [CrossRef]
- Galitz, A.; Nakao, Y.; Schupp, P.J.; Wörheide, G.; Erpenbeck, D. A Soft spot for chemistry—Current taxonomic and evolutionary implications of sponge secondary metabolite distribution. Mar. Drugs 2021, 19, 448. [Google Scholar] [CrossRef] [PubMed]
- Kalinin, V.I.; Silchenko, A.S.; Avilov, S.A.; Stonik, V.A. Progress in the studies of triterpene glycosides from sea cucumbers (Holothuroidea, Echinodermata) between 2017 and 2021. Nat. Prod. Commun. 2021, 16, 1934578X211053934. [Google Scholar] [CrossRef]
- Mondol, M.A.M.; Shin, H.J.; Rahman, M.A. Sea cucumber glycosides: Chemical structures, producing species and important biological properties. Mar. Drugs. 2017, 15, 317. [Google Scholar] [CrossRef]
- Moraes, G.; Northcote, P.T.; Kalinin, V.I.; Avilov, S.A.; Silchenko, A.S.; Dmitrenok, P.S.; Stonik, V.A.; Levin, V.S. Structure of the major triterpene glycoside from the sea cucumber Stichopus mollis and evidence to reclassify this species into the new genus Australostichopus. Biochem. Syst. Ecol. 2004, 32, 637–650. [Google Scholar] [CrossRef]
- Avilov, S.A.; Kalinin, V.I.; Smirnov, A.V. Use of triterpene glycosides for resolving taxonomic problems in the sea cucumber genus Cucumaria (Holothurioidea, Echinodermata). Biochem. Syst. Ecol. 2004, 32, 715–733. [Google Scholar] [CrossRef]
- Kalinin, V.I.; Avilov, S.A.; Silchenko, A.S.; Stonik, V.A. Triterpene glycosides of sea cucumbers (Holothuroidea, Echinodermata) as taxonomic markers. Nat. Prod. Commun. 2015, 10, 1934578X1501000108. [Google Scholar] [CrossRef]
- Honey-Escandon, M.; Arreguin-Espinosa, R.; Solis-Martin, F.A.; Samyn, Y. Biological and taxonomic perspective of triterpenoid glycosides of sea cucumbers of the family Holothuriidae (Echinodermata, Holothuroidea). Comp. Biochem. Physiol. 2015, 180B, 16–39. [Google Scholar] [CrossRef]
- Minale, L.; Riccio, R.; Zollo, F. Steroid oligoglycosides and polyhydroxysteroids from the echinoderms. Fortschr. Chem. Org. Naturst. 1993, 62, 75–308. [Google Scholar] [CrossRef]
- Stonik, V.A. Marine polar steroids. Russ. Chem. Rev. 2001, 70, 673–715. [Google Scholar] [CrossRef]
- Ivanchina, N.V.; Kicha, A.A.; Stonik, V.A. Steroid glycosides from marine organisms. Steroids 2011, 76, 425–454. [Google Scholar] [CrossRef]
- Ivanchina, N.V.; Kicha, A.A.; Malyarenko, T.V.; Stonik, V.A. Recent studies of polar steroids from starfish: Structures, biological activities and biosynthesis. In Advances in Natural Products Discovery; Gomes, R., Rocha-Santos, T., Duarte, A., Eds.; Nova Sci.: New York, NY, USA, 2017; pp. 191–224. [Google Scholar]
- Kalinin, V.I.; Ivanchina, N.V.; Krasokhin, V.B.; Makarieva, T.N.; Stonik, V.A. Glycosides from marine sponges (Porifera, Demospongia): Structures, taxonomical distribution, biological activities and biological roles. Mar. Drugs 2012, 10, 1671–1710. [Google Scholar] [CrossRef]
- Kitagawa, I.; Kobayashi, M.; Okamoto, Y.; Yoshikawa, M.; Hamamoto, Y. Structures of sapasinosides A1, B1, and C1, new norlanostane-triterpenoid olygoglycosides from the Palauan marine sponge Asteropus sarasinosum. Chem. Pharm. Bull. 1987, 35, 5036–5039. [Google Scholar] [CrossRef] [PubMed]
- Schmitz, F.J.; Ksebati, M.B.; Gunasekera, S.P.; Agarwal, S. Sarasinoside A1: A saponin containing amino sugars isolated from a sponge. J. Org. Chem. 1988, 53, 5941–5947. [Google Scholar] [CrossRef]
- Dai, H.-F.; Edrada, R.A.; Ebel, R.; Nimtz, M.; Wray, V.; Proksch, P. Norlanostane triterpenoidal saponins from the marine sponge Melophlus sarassinorum. J. Nat. Prod. 2005, 68, 1231–1237. [Google Scholar] [CrossRef]
- Kobayashi, M.; Okamoto, Y.; Kitagawa, I. Marine natural products. XXVIII. The structures of sarasinosides A1, A2, A3, B1, B2, B3, C1, C2, and C3, nine new norlanostane-triterpenoidal olygoglycosides from the Palauan marine sponge Asteropus sarasinosum. Chem. Pharm. Bull. 1991, 39, 2867–2877. [Google Scholar] [CrossRef]
- Espada, A.; Jimenez, C.; Rodriguez, J.; Crews, P.; Riguera, R. Sarasinosides D–G: Four new triterpenoid saponins from the sponge Asteropus sarasinosum. Tetrahedron 1992, 48, 8685–8696. [Google Scholar] [CrossRef]
- Lee, H.-S.; Seo, Y.; Cho, K.W.; Rho, J.-R.; Shin, J.; Paul, V.J. New triterpenoid saponins from the sponge Melophlus isis. J. Nat. Prod. 2000, 63, 915–919. [Google Scholar] [CrossRef] [PubMed]
- Santalova, E.A.; Denisenko, V.A.; Dmitrenok, P.S.; Berdyshev, D.V.; Stonik, V.A. Two new sarasinosides from the sponge Melophlus sarasinorum. Nat. Prod. Commun. 2006, 1, 265–271. [Google Scholar] [CrossRef]
- Puilingi, C.G.; Kudo, Y.; Cho, Y.; Konoki, K.; Yotsu-Yamashita, M. A new sarasinoside congener, sarasinoside M2, from a marine sponge collected in the Solomon Islands. Biosci. Biotechnol. Biochem. 2017, 81, 222–225. [Google Scholar] [CrossRef] [PubMed]
- Carmely, S.; Roll, M.; Loya, Y.; Kashman, Y. The structure of eryloside A, a new antitumor and antifungal 4-methylated steroidal glycoside from the sponge Erylus lendenfeldi. J. Nat. Prod. 1989, 52, 167–170. [Google Scholar] [CrossRef] [PubMed]
- Fouad, M.; Al-Trabeen, K.; Badran, M.; Wray, V.; Edrada, R.A.; Proksch, P.; Ebel, R. New steroidal saponins from the sponge Erylus lendenfeldi. ARKIVOC 2004, 2004, 17–27. [Google Scholar] [CrossRef]
- Sandler, J.S.; Forsburg, S.L.; Faulkner, D.J. Bioactive steroidal glycosides from the marine sponge Erylus lendenfeldi. Tetrahedron 2005, 61, 1199–1206. [Google Scholar] [CrossRef]
- D’Auria, M.V.; Paloma, L.G.; Minale, L.; Riccio, R. Structure characterization by two-dimentional NMR spectroscopy, of two marine triterpene olygoglycosides from a Pacific sponge of the genus Erylus. Tetrahedron 1992, 48, 491–498. [Google Scholar] [CrossRef]
- Gulavita, N.K.; Wright, A.E.; Kelly-Borges, M.; Longley, R.E. Eryloside E from an Atlantic sponge Erylus goffrilleri. Tetrahedron Lett. 1994, 35, 4299–4302. [Google Scholar] [CrossRef]
- Afiyatullov, S.S.; Kalinovsky, A.I.; Antonov, A.S.; Ponomarenko, L.P.; Dmitrenok, P.S.; Aminin, D.L.; Krasokhin, V.B.; Nosova, V.M.; Kisin, A.V. Isolation and structures of erylosides from the Caribbean sponge Erylus goffrilleri. J. Nat. Prod. 2007, 70, 1871–1877. [Google Scholar] [CrossRef] [PubMed]
- Antonov, A.S.; Kalinovsky, A.I.; Afiyatullov, S.S.; Leshchenko, E.V.; Dmitrenok, P.S.; Yurchenko, E.A.; Kalinin, V.I.; Stonik, V.A. Erylosides F8, V1–V3, and W–W2—New triterpene oligoglycosides from the Caribbean sponge Erylus goffrilleri. Carbohydr. Res. 2017, 449, 153–159. [Google Scholar] [CrossRef] [PubMed]
- Jaspars, M.; Crews, P. A triterpene tetrasaccharide, formoside, from the Caribbean choristida sponge Erylus formosus. Tetrahedron Lett. 1994, 35, 7501–7504. [Google Scholar] [CrossRef]
- Kubanek, J.; Fenical, W.; Pawlik, J.R. New antifeedant triterpene glycosides from the Caribbean sponge Erylus formosus. Nat. Prod. Lett. 2001, 15, 275–285. [Google Scholar] [CrossRef] [PubMed]
- Stead, P.; Hiscox, S.; Robinson, P.S.; Pike, N.B.; Sidebottom, P.J.; Roberts, A.D.; Taylor, N.L.; Wright, A.E.; Pomponi, S.A.; Langley, D. Eryloside F, a novel penasterol disaccharide possessing potent thrombin receptor antagonist activity. Bioorg. Med. Chem. Lett. 2000, 10, 661–664. [Google Scholar] [CrossRef] [PubMed]
- Antonov, A.S.; Kalinovsky, A.I.; Stonik, V.A.; Afiyatullov, S.S.; Aminin, D.L.; Dmitrenok, P.S.; Mollo, E.; Cimino, G. Isolation and structures of erylosides from the Caribbean sponge Erylus formosus. J. Nat. Prod. 2007, 70, 169–178. [Google Scholar] [CrossRef] [PubMed]
- Antonov, A.S.; Kalinovsky, A.I.; Dmitrenok, P.S.; Kalinin, V.I.; Stonik, V.A.; Mollo, E.; Cimino, G. New triterpene oligoglycosides from the Caribbean sponge Erylus formosus. Carbohydrate Res. 2011, 346, 2182–2192. [Google Scholar] [CrossRef]
- Shin, J.; Lee, H.-S.; Woo, L.; Rho, J.-R.; Seo, Y.; Cho, K.W.; Sim, C.J. New triterpenoid saponins from the sponge Erylus nobilis. J. Nat. Prod. 2001, 64, 767–771. [Google Scholar] [CrossRef]
- Takada, K.; Nakao, Y.; Matsunaga, S.; van Soest, R.W.M.; Fusetani, N. Nobiloside, a new neuraminidase inhibitory triterpenoidal saponin from the marine sponge Erylus nobilis. J. Nat. Prod. 2002, 65, 411–413. [Google Scholar] [CrossRef]
- Okada, Y.; Matsunaga, S.; van Soest, R.W.M.; Fusetani, N. Sokodosides, steroid glycosides with an isopropyl chain, from the marine sponge Erylus placenta. J. Org. Chem. 2006, 71, 4884–4888. [Google Scholar] [CrossRef]
- Lee, J.-H.; Jeon, J.-E.; Lee, Y.-J.; Lee, H.-S.; Sim, C.J.; Oh, K.-B.; Shin, J. Nortriterpene glycosides of the sarasinoside class from the sponge Lipastrotethya sp. J. Nat. Prod. 2012, 75, 1365–1372. [Google Scholar] [CrossRef] [PubMed]
- Eom, T.-Y.; Lee, Y.-J.; Lee, H.-S. A new triterpenoid saponin from the tropical marine sponge Lipastrotethya sp. Ocean. Polar Res. 2016, 38, 287–294. [Google Scholar] [CrossRef]
- Genta-Jouve, G.; Boughanem, C.; Ocana, O.; Perez, T. Eryloside W, a triterpenoid saponin from the sponge Dictyonella marsilii. Phytochem. Lett. 2015, 13, 252–255. [Google Scholar] [CrossRef]
- Maarisit, W.; Yamazaki, H.; Kanno, S.; Tomizawa, A.; Rotinsulu, H.; Wewengkang, D.S.; Sumilat, D.A.; Ukai, K.; Kapojos, M.M.; Namikoshi, M. A tetramic acid derivative with protein tyrosine phosphatase 1B inhibitory activity and a new nortriterpene glycoside from the Indonesian marine sponge Petrosia sp. Bioorg. Med. Chem. Lett. 2017, 27, 999–1002. [Google Scholar] [CrossRef]
- Mama, R.L.; Gelani, C.D.; Daluz, J.M.T.; Uy, M.M.; Ohta, E.; Ohta, S. Two new sarasinosides from marine sponge Petrosia nigricans. Nat. Prod. Res. 2023, 1–9. [Google Scholar] [CrossRef] [PubMed]
- Antonov, A.S.; Kalinovsky, A.I.; Stonik, V.A.; Evtushenko, E.V.; Elyakov, G.B. Structure of Ulososide A—New triterpene glycoside from the sponge Ulosa sp. Russ. Chem. Bull. 1994, 43, 1265–1269. [Google Scholar] [CrossRef]
- Antonov, A.S.; Kalinovsky, A.I.; Stonik, V.A. Ulososide B, a new unusual norlanostane-triterpene glycoside and its genuine aglycone from the Madagascar sponge Ulosa sp. Tetrahedron Lett. 1998, 39, 3807–3808. [Google Scholar] [CrossRef]
- Antonov, A.S.; Dmitrenok, P.S.; Stonik, V.A. New triterpene glycosides from the sponge Ulosa sp. sponge. Russ. J. Bioorg. Chem. 2002, 28, 183–188. [Google Scholar] [CrossRef]
- Cafieri, F.; Fattorusso, E.; Taglialatela-Scafati, O. Ectyoplasides A–B—Unique triterpene olygoglycosides from the Caribbean sponge Ectyoplasia ferox. Eur. J. Org. Chem. 1999, 1999, 231–238. [Google Scholar] [CrossRef]
- Campagnuolo, C.; Fattorusso, E.; Taglialatela-Scafari, O. Feroxosides A–B, two norlanostane tetraglycosides from the Caribbean sponge Ectyoplasia ferox. Tetrahedron 2001, 57, 4049–4055. [Google Scholar] [CrossRef]
- Colorado, J.; Munoz, D.; Marquez, D.; Marquez, M.E.; Lopez, J.; Thomas, O.P.; Martinez, A. Ulososides and urabosides—Triterpenoid saponins from the Caribbean marine sponge Ectyoplasia ferox. Molecules 2013, 18, 2598–2610. [Google Scholar] [CrossRef]
- Kolesnikova, S.A.; Lyakhova, E.G.; Kalinovsky, A.I.; Pushilin, M.A.; Afiyatullov, S.S.; Yurchenko, E.A.; Dyshlovoy, S.A.; Minh, C.V.; Stonik, V.A. Isolation, structures, and biological activities of triterpenoids from a Penares sp. marine sponge. J. Nat. Prod. 2013, 76, 1746–1752. [Google Scholar] [CrossRef] [PubMed]
- Cheng, J.-F.; Kobayashi, J.; Nakamura, H.; Ohizumi, Y.; Hirata, Y.; Sasaki, T. Penasterol, a novel antileukemic sterol from the Okinawan marine sponge Penares sp. J. Chem. Soc. Perkin Trans. I 1988, 8, 2403–2406. [Google Scholar] [CrossRef]
- Shoji, N.; Umeyama, A.; Motoki, S.; Arihara, S.; Ishida, T.; Nomoto, K.; Kobayashi, J.; Takei, M. Potent inhibitors of histamine release, two novel triterpenoids from the Okinawan marine sponge Penares incrustans. J. Nat. Prod. 1992, 55, 1682–1685. [Google Scholar] [CrossRef] [PubMed]
- Mandal, S.; Das, R.; Mukhopadhyay, B. Synthesis of two trisaccharides related to the triterpenoid saponin eryloside isolated from the sponge Erylus nobilis. Tetrahedron Asymm. 2011, 22, 1108–1113. [Google Scholar] [CrossRef]
- Dasgupta, S.; Pramanik, K.; Mikhopadhyay, B. Oiligosaccharides through reactivity tuning: Convergent synthesis of the trisaccharides of the steroid glycoside sokodoside B isolated from marine sponge Erylus placenta. Tetrahedron 2007, 63, 12310–12316. [Google Scholar] [CrossRef]
- Yokota, T. Chapter 12. Brassinosteroids. In New Comprehensive Biochemistry. Biochemistry and Molecular Biology of Plant Hormones; Hooykaas, P.J.J., Hall, M.A., Libbenga, K.R., Eds.; Elsevier: Amsterdam, The Netherlands, 1999; Volume 33, pp. 277–293. [Google Scholar] [CrossRef]
- Colorado-Rios, J.; Munoz, D.; Montoya, G.; Marquez, D.; Marquez, M.-E.; López, J.; Martínez, A. HPLC-ESI-IT-MS/MS analysis and biological activity of triterpene glycosides from the Colombian marine sponge Ectyoplasia ferox. Mar. Drugs 2013, 11, 4815–4833. [Google Scholar] [CrossRef] [PubMed]
- Hang, D.T.T.; Thung, D.C.; Trang, D.T.; Yen, P.H.; Cuc, N.T.; Dung, D.T.; Tai, B.H.; Nhiem, N.X.; Kiem, P.V. Chemical constituents of marine sponge Ianthella basta (Pallas, 1766). Vietnam J. Chem. 2022, 60, 238–244. [Google Scholar] [CrossRef]
- Hirota, H.; Takayama, S.; Miyashiro, S.; Ozaki, Y.; Ikegami, S. Structure of a novel steroidal saponin, pachastrelloside A, obtained from a marine sponge of the genus Pachastrella. Tetrahedron Lett. 1990, 31, 3321–3324. [Google Scholar] [CrossRef]
- Jomori, T.; Shiroyama, S.; Ise, Y.; Kohtsuka, H.; Matsuda, K.; Kuranaga, T.; Wakimoto, T. Scrobiculosides A and B from the deep-sea sponge Pachastrella scrobiculosa. J. Nat. Med. 2019, 73, 814–819. [Google Scholar] [CrossRef]
- Ryu, G.; Choi, B.W.; Lee, B.H.; Hwang, K.-H.; Lee, U.C.; Jeong, D.S.; Lee, N.H. Wondosterols A–C, three steroidal glycosides from a Korean marine two-sponge association. Tetrahedron 1999, 55, 13171–13178. [Google Scholar] [CrossRef]
- Calabro, K.; Kalahroodi, E.L.; Rodrigues, D.; Diaz, C.; De la Cruz, M.; Cautain, B.; Laville, R.; Reyes, F.; Perez, T.; Soussi, B.; et al. Poecillastrosides, steroidal saponins from the Mediterranean deep-sea sponge Poecillastra compressa (Bowerbank, 1866). Mar. Drugs 2017, 15, 199. [Google Scholar] [CrossRef] [PubMed]
- Cachet, N.; Regalado, E.L.; Genta-Jouve, G.; Mehiri, M.; Amade, P.; Thomas, O.P. Steroidal glycosides from the marine sponge Pandaros acanthifolium. Steroids 2009, 74, 746–750. [Google Scholar] [CrossRef] [PubMed]
- Regalado, E.L.; Tasdemir, D.; Kaiser, M.; Cachet, N.; Amade, P.; Thomas, O.P. Antiprotozoal steroidal saponins from the marine sponge Pandaros acanthifolium. J. Nat. Prod. 2010, 73, 1404–1410. [Google Scholar] [CrossRef] [PubMed]
- Regalado, E.; Turk, T.; Tasdemir, D.; Gorjanc, M.; Kaiser, M.; Thomas, O.P.; Fernandez, R.; Amade, P. Cytotoxic and haemolytic steroidal glycosides from the Caribbean sponge Pandaros acanthifolium. Steroids 2011, 76, 1389–1396. [Google Scholar] [CrossRef] [PubMed]
- Regalado, E.; Jimenez-Romero, C.; Genta-Jouve, G.; Tasdemir, D.; Amade, P.; Nogueiras, C.; Thomas, O.P. Acanthifoliosides, minor steroidal saponins from the sponge Pandaros acanthifolium. Tetrahedron 2011, 67, 1011–1018. [Google Scholar] [CrossRef]
- Berrue, F.; McCulloch, M.W.B.; Boland, P.; Hart, S.; Harper, M.K.; Johnston, J.; Kerr, R. Isolation of steroidal glycosides from the Caribbean sponge Pandaros acanthifolium. J. Nat. Prod. 2012, 75, 2094–2100. [Google Scholar] [CrossRef]
- Stonik, V.A.; Makarieva, T.N.; Antonov, A.S.; Elyakov, G.B. Steroidal saponins from the sponge Mycale purpurea. Khimiya Prirod. Soedin. 1981, 1, 104–105. [Google Scholar]
- Kalinovsky, A.I.; Antonov, A.S.; Dmitrenok, P.S.; Evtuschenko, E.V.; Stonik, V.A. Mycaloside A, a new steroid oligoglycoside with an unprecedented structure from the Caribbean sponge Mycale laxissima. Tetrahedron Lett. 2002, 43, 523–525. [Google Scholar] [CrossRef]
- Antonov, A.S.; Afiyatullov, S.S.; Kalinovsky, A.I.; Ponomarenko, L.P.; Dmitrenok, P.S.; Aminin, D.L.; Stonik, V.A. Mycalosides B–J, eight new spermostatic steroid oligoglycosides from the sponge Mycale laxissima. J. Nat. Prod. 2003, 66, 1082–1088. [Google Scholar] [CrossRef]
- Afiyatullov, S.S.; Antonov, A.S.; Kalinovsky, A.I.; Dmitrenok, P.S. Two new steroid oligoglycosides from the Caribbean sponge Mycale laxissima. Nat. Prod. Commun. 2008, 3, 1581–1586. [Google Scholar] [CrossRef]
- Yeung, B.K.S.; Hamann, M.T.; Scheuer, P.J.; Kelly-Borges, M. Hapaioside: 19-norpregnane glycoside from the sponge Cribrochalina olemda. Tetrahedron 1994, 50, 12593–12598. [Google Scholar] [CrossRef]
- Gabant, M.; Schmitz-Afonso, I.; Gallard, J.-F.; Menou, J.-L.; Laurent, D.; Debitus, C.; Al-Mourabit, A. Sulfated steroids: Ptilosteroids A–C and ptilosaponosodes A and B from the Solomon Islands marine sponge Ptilocaulis spiculifer. J. Nat. Prod. 2009, 72, 760–763. [Google Scholar] [CrossRef] [PubMed]
- World Register of Marine Species (WoRMS). Available online: https://www.marinespecies.org/index.php (accessed on 14 February 2023).
- Pawlik, J.R. The chemical ecology of sponges on Caribbean reefs: Natural products shape natural systems. BioScience 2011, 61, 888–898. [Google Scholar] [CrossRef]
- Kubanek, J.; Pawlik, J.R.; Eve, T.M.; Fenical, W. Triterpene glycosides defend the Caribbean reef sponge Erylus formosus from predatory fishes. Mar. Ecol. Prog. Ser. 2000, 207, 69–77. [Google Scholar] [CrossRef]
- Kubanek, J.; Whalen, K.E.; Engel, S.; Kelly, S.R.; Henkel, T.R.; Fenical, W.; Pawlik, J.R. Multiple defensive roles for triterpene glycosides from two Caribbean sponges. Oecologia 2002, 131, 125–136. [Google Scholar] [CrossRef] [PubMed]
- Engel, S.; Pawlik, J.R. Allelopathic activities of sponge extracts. Mar. Ecol. 2000, 207, 273–281. [Google Scholar] [CrossRef]
- Kelly, S.R.; Jensen, P.R.; Henkel, T.P.; Fenical, W.; Pawlik, J.R. Effects of Caribbean sponge extracts on bacterial attachment. Aquat. Microb. Ecol. 2003, 31, 175–182. [Google Scholar] [CrossRef]
- Cohen, S.A.P.; Hatt, H.; Kubanek, J.; McCarty, N.A. Reconstitution of a chemical defense signaling pathway in a heterologous system. J. Exp. Biol. 2008, 211, 599–605. [Google Scholar] [CrossRef] [PubMed]
- Cohen, S.P.; Haack, K.K.V.; Halstead-Nissloch, G.W.; Bernard, K.F.; Hatt, H.; Kubanek, J.; McCarty, N.A. Identification of RL-TGR, a coreceptor involved in aversive chemical signaling. Proc. Natl. Acad. Sci. USA 2010, 107, 12339–12344. [Google Scholar] [CrossRef]

















| Taxon | Place of Collection | Glycosides | Type of Biological Activity a | Reference |
|---|---|---|---|---|
| Order Tetractinellida (Suborder Astrophorina) | ||||
| Family Geodiidae | ||||
| Melophlus sp. | Guam Island, Truk Lagoon, Micronesia | Sarasinoside A1 (1) | Cytotoxicity on lymphocytic leukemia P388 cell line (1) | Schmitz et al. [22] |
| Melophlus sarasinorum | Palau Islands, Micronesia | Sarasinosides A1 (1), B1 (4), C1 (7) | Ichthyotoxicity against killifish P. reticulata, inhibitory on fertilized eggs of the starfish A. pectinifera (1, 4) | Kitagawa et al. [21] |
| - | - | Sarasinosides A1–A3 (1–3), B1–B3 (4–6), C1–C3 (7–9) | Ichthyotoxicity against P. reticulata, inhibitory on cell division of fertilized eggs of the starfish A. pectinifera (1, 4) | Kobayashi et al. [24] |
| - | Solomon Islands | Sarasinosides B1 (4), D–G (10–13) | - | Espada et al. [25] |
| - | Guam Island, Micronesia | Sarasinosides A1 (1), A3 (3), H1 (14), H2 (15), I1 (16), I2 (17) | Cytotoxicity on human leukemia K562 cell line (2, 3) | Lee et al. [26] |
| - | Sulawesi Island, Indonesia | Sarasinosides A1 (1), A3 (3), H2 (15), I1 (16), I2 (17), J–M (18–21) | Antimicrobial toward B. subtilis and S. cerevisiae (1, 18) | Dai et al. [23] |
| - | Reef Scott, north-western coast of Australia | Sarasinosides A1–A3 (1–3), L (20), M (21), A4 (22), A5 (23) | - | Santalova et al. [27] |
| Unidentified sponge | Solomon Islands | Sarasinosides B1 (4), M2 (24) | Cytotoxicity toward Neuro-2a and HepG2 tumor cell lines (24) | Puilingi et al. [28] |
| Family Geodiidae | ||||
| Erylus lendenfeldi | Gulf of Eilat, Red Sea | Eryloside A (25) | - | Carmely et al. [29] |
| - | Gulf of Aqaba, Red Sea | Erylosides A (25), K (26), L (27) | Antibacterial against B. subtilis and E. coli (25); antifungal against C. albicans (25); brine shrimp assay (25, 26) | Fouad et al. [30] |
| - | North of Hurghada, Red Sea | Erylosides A (25), K (26), L1 (28) | Cytotoxicity against a yeast strain (Δrad50) (25, 26, 28) | Sandler et al. [31] |
| Erylus sp. | South of New Caledonia | Erylosides C (29), D (30) | - | D’Auria et al. [32] |
| Erylus goffrilleri | Port Nelson, Rum Cay, Bahama Islands | Eryloside E (31) | Immunosuppressive in the mixed lymphocyte reaction assay (31) | Gulavita et al. [33] |
| - | Arresife-Seko Reef, Cuba | Erylosides R–U (32–35), F5–F7 (36–38), V (39) | Cytotoxicity against tumor Ehrlich carcinoma cells (32–34, 37–39) | Afiyatullov et al. [34] |
| - | - | Erylosides F8 (40), V1–V3 (41–43), W (44), W1 (45), W2 (46) | Cytotoxicity against ascite form of Ehrlich carcinoma tumor cells, hemolysis (40–46) | Antonov et al. [35] |
| Erylus formosus | Bahamas Islands | Formoside (47) | - | Jaspars et al. [36] |
| - | - | Formoside (47), formoside B (48) | Antiviral against HSV-1, antibacterial against C. xerosis, antifungal against amphotericin B-resistant C. abicans (47) | Kubanek et al. [37] |
| - | - | Eryloside F (49) | Receptor antagonist activity, inhibition of platelet aggregation (49) | Stead et al. [38] |
| - | Puerto Morelos, Caribbean Sea, Mexico | Erylosides F (49), F1–F4 (50–53), M–Q (54–58), H (67) | Induction the early apoptosis of Ehrlich carcinoma cells (52); activation of the Ca2+ influx into mouse spleenocytes (49, 50) | Antonov et al. [39] |
| - | - | Formoside (47), erylosides R1 (59), T1–T6 (60–65) | - | Antonov et al. [40] |
| Erylus nobilis | Jaeju Island, Republic of Korea | Erylosides G–J (66–69) | Cytotoxicity on the human leukemia cell line K562 (66–69) | Shin et al. [41] |
| - | Shikine-jima Island, 200 km south of Tokyo, Japan | Nobiloside (70) | Inhibition of neuraminidase from the bacterium C. perfringens (70) | Takada et al. [42] |
| Erylus placenta | Hachijo Island, South Japan | Sokodosides A (71), B (72) | Growth-inhibition against the fungus M. ramanniana and the yeast S. cerevisiae with and without mutations, cytotoxic against lymphocytic leukemia P388 cells (71, 72) | Okada et al. [43] |
| Order Bubarida | ||||
| Family Dictyonellidae | ||||
| Lipastrotethya sp. | Chuuk Lagoon (Truk Lagoon), Micronesia | Sarasinosides A1 (1), A2 (2), H1 (14), H2 (15), J (18), M (21), N−R (73−77) | Cytotoxicity against A549 (1, 2, 14, 18, 21, 73−77) and K562 (1, 2, 14, 15, 18, 21, 73−76) tumor cell lines; inhibition of Na+/K+-ATPase (1, 73) | Lee et al. [44] |
| - | - | Sarasinosides A1 (1) A3 (3), B2 (5), M (21), A4 (22), Q (76), R (77), H2 (15), I1 (16), I2 (17), “glycoside 1” (78) | Cytotoxicity against ACHN, MDA-MB-231, NCI-H23, and NUGC-3 tumor cell lines (1, 3, 5, 22, 76, 78) | Eom et al. [45] |
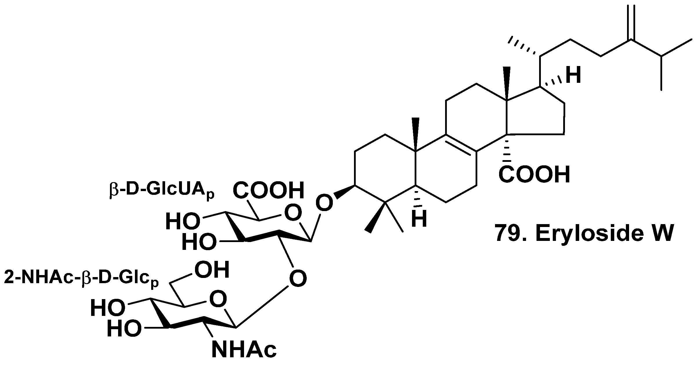
| Dictyonella marsilii | Coasts of Ceuta, Gibraltar Strait | Eryloside W (79) | - | Genta-Jouve et al. [46] |
| Order Haplosclerida | ||||
| Family Petrosiidae | ||||
| Petrosia sp. | North Sulawesi, Indonesia | Sarasinosides A1 (1), I1 (16), J (18), S (80) | - | Maarisit et al. [47] |
| Petrosia nigricans | Lipata, Surigao City, Philippines | 5,8-Epoxysarasinoside (81), 8,9-epoxysarasinoside (82), sarasinosides A1 (1), H1 (14), I1 (16), I2 (17), O–R (74–77) | Cytotoxicity against HCT116 and A549 cancer cell lines (81, 82) | Mama et al. [48] |
| Order Poecilosclerida | ||||
| Family Esperiopsidae | ||||
| Ulosa sp. | North-western coast of Madagascar Island | Ulososide A (83) | - | Antonov et al. [49] |
| - | - | Ulososide B (84) | - | Antonov et al. [50] |
| - | - | Ulososides C–E (85–87) | - | Antonov et al. [51] |
| Family Raspailiidae | ||||
| Ectyoplasia ferox | San Salvador Island, Bahamas | Ectyoplasides A (88), B (89) | Cytotoxicity against J774, WEHI164, and P388 murine cell lines (88, 89) | Cafieri et al. [52] |
| - | Grand Bahama Island | Feroxosides A (90), B (91) | Cytotoxicity against J774 murine cell line (90, 91) | Campagnuo-lo et al. [53] |
| - | Uraba Gulf, Colombia | Ulososides A (83), F (92), urabosides A (93), B (94) | - | Colorado et al. [54] |
| Taxon | Place of Collection | Glycosides | Type of Biological Activity a | Reference |
|---|---|---|---|---|
| Order Tetractinellida (suborder Astrophorina) | ||||
| Family Pachastrellidae | ||||
| Pachastrella sp. | Kamagi Bay, Ehime Prefecture, Japan | Pachastrelloside A (95) | Inhibition of cell division of fertilized starfish A. pectinifera eggs (95) | Hirota et al. [63] |
| Pachastrella scrobiculosa | Miura Peninsula, Japan | Scrobiculosides A (96), B (97) | Cytotoxicity against the mouse lymphoma cell line P388 and the human lymphoma cell line HL-60 (96, 97) | Jomori et al. [64] |
| Families Vulcanellidae and Ancorinidae | ||||
| Poecillastra wondoensis and Rhabdastrella (=Jaspis) wondoensis | Cheju Island, Korea | Wondosterols A–C (98–100) | Cytotoxicity against P388 murine leukemia cells (98–100); antibacterial against P. aeruginosa and E. coli (98, 100) | Ryu et al. [65] |
| Poecillastra compressa | Mediterranean Sea, French coast | Poecillastrosides A–G (101–107) | Antifungal against A. fumigatus (104, 105) | Calabro et al. [66] |
| Order Poecilosclerida | ||||
| Family Microcionidae | ||||
| Pandaros acanthifolium | Canyon rock, Martinique Island, Caribbean Sea | Pandarosides A–D (108–111), methyl esters of pandarosides A (108a), C (110a), D (111a) | - | Cachet et al. [67] |
| - | - | Pandarosides E–J (112–117), methyl esters of pandarosides E–J (112a–117a) | Antiprotozoal against T. b. rhodesiense, T. cruzi, L. donovani, and P. falciparum; cytotoxicity against L6 cells (112–117, 112a–117a, 108–111, 108a, 110a, 111a) | Regalado et al. [68] |
| - | - | Pandarosides K–M (118–120), methyl esters of pandarosides K–M (118a–120a) | Antiprotozoal against T. b. rhodesiense, T. cruzi, L. donovani, and P. falciparum; cytotoxicity against L6 cells, lung carcinoma NSCLC A549, colon carcinoma HT29, and breast MDA-MB-231 cells (118–120, 118a–120a, 114, 114a); haemolytic (121, 122, 124) | Regalado et al. [69] |
| - | - | Acanthifoliosides A–F (121–126), methyl ester of acanthifolioside F (126a) | Antiprotozoal against T. b. rhodesiense, T. cruzi, L. donovani, and P. falciparum; cytotoxicity against L6 cells (121–126, 126a) | Regalado et al. [70] |
| - | Florida Keys (USA, Florida) | Acanthifoliosides G–J (127–130) | Antioxidant and cytoprotective (127) | Berrué et al. [71] |
| Family Mycalidae | ||||
| Mycale laxissima | San-Felipe Island, Cuba | Mycaloside A (131) | - | Kalinovsky et al. [73] |
| - | - | Mycalosides B–I (132–139) | Inhibition the fertilization of eggs by sperm of the sea urchin S. nudus (131, 137) | Antonov et al. [74] |
| - | - | Mycalosides J (140), K (141) | - | Afiyatullov et al. [75] |
| Order Haplosclerida | ||||
| Family Niphatidae | ||||
| Niphates (=Cribrochalina) olemda | Pohnpei, Micronesia | Hapaioside (142) | - | Yeung et al. [76] |
| Order Axinellida | ||||
| Family Axinellidae | ||||
| Ptilocaulis spiculifer | New Georgia Island (North East Kolingo), Solomon Islands | Ptilosaponosides A (143), B (144) | - | Gabant et al. [77] |
Disclaimer/Publisher’s Note: The statements, opinions and data contained in all publications are solely those of the individual author(s) and contributor(s) and not of MDPI and/or the editor(s). MDPI and/or the editor(s) disclaim responsibility for any injury to people or property resulting from any ideas, methods, instructions or products referred to in the content. |
© 2023 by the authors. Licensee MDPI, Basel, Switzerland. This article is an open access article distributed under the terms and conditions of the Creative Commons Attribution (CC BY) license (https://creativecommons.org/licenses/by/4.0/).
Share and Cite
Ivanchina, N.V.; Kalinin, V.I. Triterpene and Steroid Glycosides from Marine Sponges (Porifera, Demospongiae): Structures, Taxonomical Distribution, Biological Activities. Molecules 2023, 28, 2503. https://doi.org/10.3390/molecules28062503
Ivanchina NV, Kalinin VI. Triterpene and Steroid Glycosides from Marine Sponges (Porifera, Demospongiae): Structures, Taxonomical Distribution, Biological Activities. Molecules. 2023; 28(6):2503. https://doi.org/10.3390/molecules28062503
Chicago/Turabian StyleIvanchina, Natalia V., and Vladimir I. Kalinin. 2023. "Triterpene and Steroid Glycosides from Marine Sponges (Porifera, Demospongiae): Structures, Taxonomical Distribution, Biological Activities" Molecules 28, no. 6: 2503. https://doi.org/10.3390/molecules28062503
APA StyleIvanchina, N. V., & Kalinin, V. I. (2023). Triterpene and Steroid Glycosides from Marine Sponges (Porifera, Demospongiae): Structures, Taxonomical Distribution, Biological Activities. Molecules, 28(6), 2503. https://doi.org/10.3390/molecules28062503
