Brightly Luminescent (TbxLu1−x)2bdc3·nH2O MOFs: Effect of Synthesis Conditions on Structure and Luminescent Properties
Abstract
1. Introduction
2. Results and Discussion
2.1. PXRD Results and Analysis
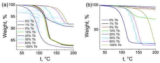
2.2. Thermogravimetric Analysis (TGA)
2.3. Luminescent Properties
3. Materials and Methods
4. Conclusions
Author Contributions
Funding
Institutional Review Board Statement
Informed Consent Statement
Data Availability Statement
Acknowledgments
Conflicts of Interest
Sample Availability
References
- Liu, Y.-Q.; Qin, L.-Y.; Li, H.-J.; Wang, Y.-X.; Zhang, R.; Shi, J.-M.; Wu, J.-H.; Dong, G.-X.; Zhou, P. Application of lanthanide-doped upconversion nanoparticles for cancer treatment: A review. Nanomedicine 2021, 16, 2207–2242. [Google Scholar] [CrossRef]
- Zhao, L.; Zhang, W.; Wu, Q.; Fu, C.; Ren, X.; Lv, K.; Ma, T.; Chen, X.; Tan, L.; Meng, X. Lanthanide europium MOF nanocomposite as the theranostic nanoplatform for microwave thermo-chemotherapy and fluorescence imaging. J. Nanobiotechnology 2022, 20, 133. [Google Scholar] [CrossRef]
- Yin, K.; Wu, S.; Zheng, H.; Gao, L.; Liu, J.; Yang, C.; Qi, L.W.; Peng, J. Lanthanide metal-organic framework-based fluorescent sensor arrays to discriminate and quantify ingredients of natural medicine. Langmuir 2021, 37, 5321–5328. [Google Scholar] [CrossRef]
- Lustig, W.P.; Mukherjee, S.; Rudd, N.D.; Desai, A.V.; Li, J.; Ghosh, S.K. Metal–organic frameworks: Functional luminescent and photonic materials for sensing applications. Chem. Soc. Rev. 2017, 46, 3242–3285. [Google Scholar] [CrossRef]
- Zhang, Y.; Liu, S.; Zhao, Z.-S.; Wang, Z.; Zhang, R.; Liu, L.; Han, Z.-B. Recent progress in lanthanide metal–organic frameworks and their derivatives in catalytic applications. Inorg. Chem. Front. 2021, 8, 590–619. [Google Scholar] [CrossRef]
- Vahedigharehchopogh, N.; Kıbrıslı, O.; Erol, E.; Çelikbilek Ersundu, M.; Ersundu, A.E. A straightforward approach for high-end anti-counterfeiting applications based on NIR laser-driven lanthanide doped luminescent glasses. J. Mater. Chem. C Mater. 2021, 9, 2037–2046. [Google Scholar] [CrossRef]
- Kaczmarek, A.M.; Liu, Y.Y.; Wang, C.; Laforce, B.; Vincze, L.; van der Voort, P.; van Hecke, K.; van Deun, R. Lanthanide “chameleon” multistage anti-counterfeit materials. Adv. Funct. Mater. 2017, 27, 1700258. [Google Scholar] [CrossRef]
- Liu, D.; Lu, K.; Poon, C.; Lin, W. Metal–organic frameworks as sensory materials and imaging agents. Inorg. Chem. 2014, 53, 1916–1924. [Google Scholar] [CrossRef] [PubMed]
- Amoroso, A.J.; Pope, S.J.A. Using lanthanide ions in molecular bioimaging. Chem. Soc. Rev. 2015, 44, 4723–4742. [Google Scholar] [CrossRef]
- Zhang, P.; Liang, L.; Liu, X. Lanthanide-doped nanoparticles in photovoltaics—More than just upconversion. J. Mater. Chem. C Mater. 2021, 9, 16110–16131. [Google Scholar] [CrossRef]
- Amirkhanov, V.M.; Vishnevsky, D.G.; Ovdenko, V.N.; Chuprina, N.G.; Mokrinskaya, E.V.; Zozulya, V.A.; Shatrava, Y.O.; Ovchinnikov, V.A.; Sliva, T.Y.; Mel’nik, A.K.; et al. Photovoltaic properties of polymer composites doped with binuclear lanthanide complexes derived from 3,6-Dipyridin-2-YL-1,2,4,5-Tetrazine with carbacylamidophosphate ligands. J. Appl. Spectrosc. 2021, 87, 1135–1140. [Google Scholar] [CrossRef]
- Chen, D.; Wang, Y.; Hong, M. Lanthanide nanomaterials with photon management characteristics for photovoltaic application. Nano Energy 2012, 1, 73–90. [Google Scholar] [CrossRef]
- Ayscue, R.L.; Verwiel, C.P.; Bertke, J.A.; Knope, K.E. Excitation-dependent photoluminescence color tuning in lanthanide-organic hybrid materials. Inorg. Chem. 2020, 59, 7539–7552. [Google Scholar] [CrossRef]
- Binnemans, K. Lanthanide-based luminescent hybrid materials. Chem. Rev. 2009, 109, 4283–4374. [Google Scholar] [CrossRef]
- Cui, Y.; Yue, Y.; Qian, G.; Chen, B. Luminescent functional metal–organic frameworks. Chem. Rev. 2012, 112, 1126–1162. [Google Scholar] [CrossRef]
- Yin, H.Q.; Wang, X.Y.; Yin, X.B. Rotation restricted emission and antenna effect in single metal-organic frameworks. J. Am. Chem. Soc. 2019, 141, 15166–15173. [Google Scholar] [CrossRef]
- Massi, M.; Ogden, M. Luminescent lanthanoid calixarene complexes and materials. Materials 2017, 10, 1369. [Google Scholar] [CrossRef] [PubMed]
- Tu, X.; Tao, Y.; Chen, J.; Du, C.; Jin, Q.; He, Y.; Yang, J.; Huang, S.; Chen, W. Dipicolinic Acid-Tb3+/Eu3+ lanthanide fluorescence sensor array for rapid and visual discrimination of botanical origin of honey. Foods 2022, 11, 3388. [Google Scholar] [CrossRef] [PubMed]
- Alpha, B.; Ballardini, R.; Balzani, V.; Lehn, J.-M.; Perathoner, S.; Sabbatini, N. antenna effect in luminescent lanthanide cryptates: A photophysical study. Photochem. Photobiol. 1990, 52, 299–306. [Google Scholar] [CrossRef]
- Utochnikova, V.V.; Kuzmina, N.P. Photoluminescence of lanthanide aromatic carboxylates. Russ. J. Coord. Chem. /Koord. Khimiya 2016, 42, 679–694. [Google Scholar] [CrossRef]
- Zhou, X.; Wang, H.; Jiang, S.; Xiang, G.; Tang, X.; Luo, X.; Li, L.; Zhou, X. Multifunctional luminescent material Eu(III) and Tb(III) complexes with Pyridine-3,5-Dicarboxylic acid linker: Crystal structures, tunable emission, energy transfer, and temperature sensing. Inorg. Chem. 2019, 58, 3780–3788. [Google Scholar] [CrossRef]
- Orlova, A.V.; Kozhevnikova, V.Y.; Lepnev, L.S.; Goloveshkin, A.S.; Le-Deigen, I.M.; Utochnikova, V.V. NIR Emitting Terephthalates (Sm Dy Gd1--)2(Tph)3(H2O)4 for Luminescence Thermometry in the Physiological Range. Journal of Rare Earths 2020, 38, 492–497. [Google Scholar] [CrossRef]
- Zhao, S.-N.; Wang, G.; Poelman, D.; Voort, P. Luminescent lanthanide MOFs: A unique platform for chemical sensing. Materials 2018, 11, 572. [Google Scholar] [CrossRef]
- Zhao, D.; Yue, D.; Zhang, L.; Jiang, K.; Qian, G. Cryogenic luminescent Tb/Eu-MOF thermometer based on a fluorine-modified tetracarboxylate ligand. Inorg. Chem. 2018, 57, 12596–12602. [Google Scholar] [CrossRef] [PubMed]
- Feng, T.; Ye, Y.; Liu, X.; Cui, H.; Li, Z.; Zhang, Y.; Liang, B.; Li, H.; Chen, B. A robust mixed-lanthanide PolyMOF membrane for ratiometric temperature sensing. Angew. Chem. 2020, 132, 21936–21941. [Google Scholar] [CrossRef]
- Kaur, H.; Sundriyal, S.; Pachauri, V.; Ingebrandt, S.; Kim, K.-H.; Sharma, A.L.; Deep, A. Luminescent metal-organic frameworks and their composites: Potential future materials for organic light emitting displays. Coord. Chem. Rev. 2019, 401, 213077. [Google Scholar] [CrossRef]
- Utochnikova, V.V.; Latipov, E.V.; Dalinger, A.I.; Nelyubina, Y.V.; Vashchenko, A.A.; Hoffmann, M.; Kalyakina, A.S.; Vatsadze, S.Z.; Schepers, U.; Bräse, S.; et al. Lanthanide pyrazolecarboxylates for OLEDs and bioimaging. J. Lumin. 2018, 202, 38–46. [Google Scholar] [CrossRef]
- Guo, H.; Zhu, Y.; Qiu, S.; Lercher, J.A.; Zhang, H. Coordination modulation induced synthesis of nanoscale Eu1−xTbx-metal-organic frameworks for luminescent thin films. Adv. Mater. 2010, 22, 4190–4192. [Google Scholar] [CrossRef]
- Rao, X.; Huang, Q.; Yang, X.; Cui, Y.; Yang, Y.; Wu, C.; Chen, B.; Qian, G. Color tunable and white light emitting Tb3+ and Eu3+ doped lanthanide metal–organic framework materials. J. Mater. Chem. 2012, 22, 3210. [Google Scholar] [CrossRef]
- Vialtsev, M.B.; Tcelykh, L.O.; Kozlov, M.I.; Latipov, E.V.; Bobrovsky, A.Y.; Utochnikova, V.V. Terbium and europium aromatic carboxylates in the polystyrene matrix: The first metal-organic-based material for high-temperature thermometry. J. Lumin. 2021, 239, 118400. [Google Scholar] [CrossRef]
- Kim, J.H.; Lepnev, L.S.; Utochnikova, V.V. Dual Vis-NIR emissive bimetallic naphthoates of Eu-Yb-Gd: A new approach toward Yb luminescence intensity increase through Eu → Yb energy transfer. Phys. Chem. Chem. Phys. 2021, 23, 7213–7219. [Google Scholar] [CrossRef]
- Utochnikova, V.V.; Grishko, A.Y.; Koshelev, D.S.; Averin, A.A.; Lepnev, L.S.; Kuzmina, N.P. Lanthanide heterometallic terephthalates: Concentration quenching and the principles of the “multiphotonic emission. ” Opt. Mater. 2017, 74, 201–208. [Google Scholar] [CrossRef]
- Rieter, W.J.; Taylor, K.M.L.; An, H.; Lin, W.; Lin, W. Nanoscale metal-organic frameworks as potential multimodal contrast enhancing agents. J. Am. Chem. Soc. 2006, 128, 9024–9025. [Google Scholar] [CrossRef]
- Dhananjaya, N.; Nagabhushana, H.; Nagabhushana, B.M.; Rudraswamy, B.; Shivakumara, C.; Narahari, K.; Chakradhar, R.P.S. Enhanced photoluminescence of Gd 2O 3:Eu 3+ nanophosphors with Alkali (M = Li +, Na +, K +) metal ion Co-Doping. Spectrochim. Acta A Mol. Biomol. Spectrosc. 2012, 86, 8–14. [Google Scholar] [CrossRef]
- Kumar, D.; Sharma, M.; Pandey, O.P. Effect of Co-Doping metal ions (Li+, Na+ and K +) on the structural and photoluminescent properties of nano-sized Y2O3:Eu3+ synthesized by co-precipitation method. Opt. Mater. 2014, 36, 1131–1138. [Google Scholar] [CrossRef]
- Kumari, P.; Manam, J. Enhanced Red Emission on Co-Doping of Divalent Ions (M2+ = Ca2+, Sr2+, Ba2+) in YVO4:Eu3+ Phosphor and spectroscopic analysis for its application in display devices. Spectrochim. Acta A Mol. Biomol. Spectrosc. 2016, 152, 109–118. [Google Scholar] [CrossRef] [PubMed]
- Mikalauskaite, I.; Pleckaityte, G.; Skapas, M.; Zarkov, A.; Katelnikovas, A.; Beganskiene, A. Emission spectra tuning of upconverting NaGdF4:20% Yb, 2% Er nanoparticles by Cr3+ Co-doping for optical temperature sensing. J. Lumin. 2019, 213, 210–217. [Google Scholar] [CrossRef]
- Du, K.; Xu, X.; Yao, S.; Lei, P.; Dong, L.; Zhang, M.; Feng, J.; Zhang, H. Enhanced upconversion luminescence and controllable phase/shape of NaYF4:Yb/Er crystals through Cu2+ ion doping. Cryst. Eng. Comm. 2018, 20, 1945–1953. [Google Scholar] [CrossRef]
- Nosov, V.G.; Kupryakov, A.S.; Kolesnikov, I.E.; Vidyakina, A.A.; Tumkin, I.I.; Kolesnik, S.S.; Ryazantsev, M.N.; Bogachev, N.A.; Skripkin, M.Y.; Mereshchenko, A.S. Heterometallic Europium(III)–Lutetium(III) Terephthalates as Bright Luminescent Antenna MOFs. Molecules 2022, 27, 5763. [Google Scholar] [CrossRef]
- Reineke, T.M.; Eddaoudi, M.; Fehr, M.; Kelley, D.; Yaghi, O.M. From condensed lanthanide coordination solids to microporous frameworks having accessible metal sites. J. Am. Chem. Soc. 1999, 121, 1651–1657. [Google Scholar] [CrossRef]
- Wang, P.; Li, Z.F.; Song, L.P.; Wang, C.X.; Chen, Y. Catena-Poly[[[μ-Benzene-1,4-Dicarboxylato-Bis[Tetraaqualutetium(III)]] -Di-μ-Benzene-1,4-Dicarboxylato] Dihydrate]. Acta Crystallogr. Sect. E Struct. Rep. Online 2006, 62, m253–m255. [Google Scholar] [CrossRef]
- Daiguebonne, C.; Kerbellec, N.; Guillou, O.; Bünzli, J.C.; Gumy, F.; Catala, L.; Mallah, T.; Audebrand, N.; Gérault, Y.; Bernot, K.; et al. Structural and luminescent properties of micro- and nanosized particles of lanthanide terephthalate coordination polymers. Inorg. Chem. 2008, 47, 3700–3708. [Google Scholar] [CrossRef] [PubMed]
- Yin, P.X.; Zhang, J.; Qin, Y.Y.; Cheng, J.K.; Li, Z.J.; Yao, Y.G. Role of molar-ratio, temperature and solvent on the Zn/Cd 1,2,4-triazolate system with novel topological architectures. Cryst. Eng. Comm. 2011, 13, 3536–3544. [Google Scholar] [CrossRef]
- Seetharaj, R.; Vandana, P.V.; Arya, P.; Mathew, S. Dependence of solvents, PH, molar ratio and temperature in tuning metal organic framework architecture. Arab. J. Chem. 2019, 12, 295–315. [Google Scholar] [CrossRef]
- Dighe, A.V.; Nemade, R.Y.; Singh, M.R. Modeling and simulation of crystallization of metal–organic frameworks. Processes 2019, 7, 527. [Google Scholar] [CrossRef]
- Kofod, N.; Sørensen, T.J. Tb 3+ Photophysics: Mapping excited state dynamics of [Tb(H 2 O) 9 ] 3+ using molecular photophysics. J. Phys. Chem. Lett. 2022, 13, 11968–11973. [Google Scholar] [CrossRef]
- Cotton, S.A. Establishing coordination numbers for the lanthanides in simple complexes. Comptes Rendus Chimie 2005, 8, 129–145. [Google Scholar] [CrossRef]
- Allen, P.G.; Bucher, J.J.; Shuh, D.K.; Edelstein, N.M.; Craig, I. Coordination chemistry of trivalent lanthanide and actinide ions in dilute and concentrated chloride solutions. Inorg. Chem. 2000, 39, 595–601. [Google Scholar] [CrossRef]
- Yeung, H.H.-M.; Sapnik, A.F.; Massingberd-Mundy, F.; Gaultois, M.W.; Wu, Y.; Fraser, D.A.X.; Henke, S.; Pallach, R.; Heidenreich, N.; Magdysyuk, O.V.; et al. Control of metal–organic framework crystallization by metastable intermediate pre-equilibrium species. Angewandte Chemie 2018, 58, 566–571. [Google Scholar] [CrossRef]
- Shannon, R.D. Revised effective ionic Radii and systematic studies of interatomic distances in halides and chalcogenides. Acta Crystallographica Section A 1976, 32, 751–767. [Google Scholar] [CrossRef]
- Haquin, V.; Etienne, M.; Daiguebonne, C.; Freslon, S.; Calvez, G.; Bernot, K.; le Pollès, L.; Ashbrook, S.E.; Mitchell, M.R.; Bünzli, J.C.; et al. Color and brightness tuning in heteronuclear lanthanide terephthalate coordination polymers. Eur. J. Inorg. Chem. 2013, 2013, 3464–3476. [Google Scholar] [CrossRef]
- Huang, C.-H.; Liu, W.-R.; Kuo, T.-W.; Chen, T.-M. A study on the luminescence and energy transfer of green-emitting Ca9Y(PO4)7:Ce3+,Tb3+ phosphor for fluorescent lamp application. Chemistry 2011, 1, 9–15. [Google Scholar] [CrossRef]
- Kalusniak, S.; Castellano-Hernández, E.; Yalçinoğlu, H.; Tanaka, H.; Kränkel, C. Spectroscopic properties of Tb3+ as an ion for visible lasers. Appl. Phys. B 2022, 128, 33. [Google Scholar] [CrossRef]
- Ofelt, G.S. Intensities of crystal spectra of rare-earth ions. J. Chem. Phys. 1962, 37, 511–520. [Google Scholar] [CrossRef]
- Judd, B.R. Optical absorption intensities of rare-earth ions. Phys. Rev. 1962, 127, 750–761. [Google Scholar] [CrossRef]
- Mironova, O.A.; Ryadun, A.A.; Sukhikh, T.S.; Konchenko, S.N.; Pushkarevsky, N.A. Synthesis and luminescence studies of lanthanide complexes (Gd, Tb, Dy) with Phenyl- and 2-Pyridylthiolates supported by a Bulky β-Diketiminate Ligand. Impact of the Ligand Environment on Terbium (iii) Emission. New J. Chem. 2020, 44, 19769–19779. [Google Scholar] [CrossRef]
- Kudyakova, Y.S.; Slepukhin, P.A.; Valova, M.S.; Burgart, Y.V.; Saloutin, V.I.; Bazhin, D.N. The impact of the alkali metal ion on the crystal structure and (Mechano)Luminescence of Terbium (III) Tetrakis (Β-diketonates). Eur. J. Inorg. Chem. 2020, 2020, 523–531. [Google Scholar] [CrossRef]
- Hölsä, J.; Leskelä, M.; Niinistö, L. Concentration quenching of Tb3+ luminescence in LaOBr and Gd2O2S phosphors. Mater. Res. Bull. 1979, 14, 1403–1409. [Google Scholar] [CrossRef]
- Zhang, W.; Kou, H.; Ge, L.; Zhang, Y.; Lin, L.; Li, W. Effects of Doping Ions on the Luminescence Performance of Terbium Doped Gadolinium Polysulfide Phosphor. J Phys Conf Ser 2020, 1549, 032064. [Google Scholar] [CrossRef]
- Kolesnikov, I.E.; Kalinichev, A.A.; Kurochkin, M.A.; Golyeva, E.V.; Terentyeva, A.S.; Kolesnikov, E.Y.; Lähderanta, E. Structural, luminescence and thermometric properties of nanocrystalline YVO 4:Dy3+ temperature and concentration series. Sci. Rep. 2019, 9, 1–14. [Google Scholar] [CrossRef] [PubMed]
- Kolesnikov, I.E.; Mamonova, D.V.; Lähderanta, E.; Kurochkin, A.V.; Mikhailov, M.D. The impact of doping concentration on structure and photoluminescence of Lu2O3:Eu3+ nanocrystals. J. Lumin. 2017, 187, 26–32. [Google Scholar] [CrossRef]
- Mao, Z.Y.; Zhu, Y.C.; Zeng, Y.; Gan, L.; Wang, Y. Concentration quenching and resultant photoluminescence adjustment for Ca3Si2O7:Tb3+ green-emitting phosphor. J. Lumin. 2013, 143, 587–591. [Google Scholar] [CrossRef]
- Ivanova, A.A.; Gontcharenko, V.E.; Lunev, A.M.; Sidoruk, A.V.; Arkhipov, I.A.; Taydakov, I.V.; Belousov, Y.A. New carboxylate anionic Sm-MOF: Synthesis, structure and effect of the isomorphic substitution of Sm3+ with Gd3+ and Tb3+ Ions on the luminescent properties. Inorganics 2022, 10, 104. [Google Scholar] [CrossRef]
- Schwarzenbach, G.; Flashka, H. Complexometric Titrations, 2nd ed.; Methuen: London, UK, 1969. [Google Scholar]






| Series 1 (From Diluted Solutions) | Series 2 (From Concentrated Solutions) | |||||
|---|---|---|---|---|---|---|
| ΧTb (at. %) | τ, ms | ΦPL, % | ΧTb (at. %) | τ1, ms | τ2, ms | ΦPL, % |
| 1 | 1.12 ± 0.02 | 38 | 1 | 1.17 ± 0.04 | 2.63 ± 0.10 | 77 |
| 5 | 1.12 ± 0.02 | 56 | 5 | 1.53 ± 0.05 | 3.00 ± 0.24 | 88 |
| 10 | 1.08 ± 0.01 | 58 | 10 | 1.02 ± 0.03 | 2.61 ± 0.08 | 95 |
| 60 | 0.92 ± 0.02 | 60 | 60 | 0.94 ± 0.02 | 60 | |
| 100 | 0.70 ± 0.01 | 49 | 100 | 0.69 ± 0.01 | 49 | |
| ΧTb (at. %) | V(0.2M TbCl3), mL | V(0.2M LuCl3), mL |
|---|---|---|
| 0 | 0.00 | 2.00 |
| 1 | 0.02 | 1.98 |
| 5 | 0.10 | 1.90 |
| 10 | 0.20 | 1.80 |
| 15 | 0.30 | 1.70 |
| 20 | 0.40 | 1.60 |
| 25 | 0.50 | 1.50 |
| 30 | 0.60 | 1.40 |
| 60 | 1.20 | 0.80 |
| 100 | 2.00 | 0.00 |
| Series 1 (from Diluted Solutions) | Series 2 (from Concentrated Solutions) | ||
|---|---|---|---|
| Χtb (At. %), Taken | ΧTb (%), EDX | ΧTb (at. %), Taken | ΧTb (%), EDX |
| 0 | 0 | 0 | 0 |
| 1 | 0.74 ± 0.07 | 1 | 0.70 ± 0.07 |
| 5 | 4.6 ± 0.5 | 5 | 4.6 ± 0.5 |
| 10 | 9 ± 1 | 10 | 10 ± 1 |
| 15 | 15 ± 3 | 15 | 14 ± 1 |
| 20 | 19 ± 2 | 20 | 20 ± 2 |
| 25 | 26 ± 3 | 25 | 23 ± 2 |
| 30 | 29 ± 3 | 30 | 27 ± 3 |
| 60 | 57 ± 5 | 60 | 57 ± 5 |
| 100 | 100 | 100 | 100 |
Disclaimer/Publisher’s Note: The statements, opinions and data contained in all publications are solely those of the individual author(s) and contributor(s) and not of MDPI and/or the editor(s). MDPI and/or the editor(s) disclaim responsibility for any injury to people or property resulting from any ideas, methods, instructions or products referred to in the content. |
© 2023 by the authors. Licensee MDPI, Basel, Switzerland. This article is an open access article distributed under the terms and conditions of the Creative Commons Attribution (CC BY) license (https://creativecommons.org/licenses/by/4.0/).
Share and Cite
Nosov, V.G.; Toikka, Y.N.; Petrova, A.S.; Butorlin, O.S.; Kolesnikov, I.E.; Orlov, S.N.; Ryazantsev, M.N.; Kolesnik, S.S.; Bogachev, N.A.; Skripkin, M.Y.; et al. Brightly Luminescent (TbxLu1−x)2bdc3·nH2O MOFs: Effect of Synthesis Conditions on Structure and Luminescent Properties. Molecules 2023, 28, 2378. https://doi.org/10.3390/molecules28052378
Nosov VG, Toikka YN, Petrova AS, Butorlin OS, Kolesnikov IE, Orlov SN, Ryazantsev MN, Kolesnik SS, Bogachev NA, Skripkin MY, et al. Brightly Luminescent (TbxLu1−x)2bdc3·nH2O MOFs: Effect of Synthesis Conditions on Structure and Luminescent Properties. Molecules. 2023; 28(5):2378. https://doi.org/10.3390/molecules28052378
Chicago/Turabian StyleNosov, Viktor G., Yulia N. Toikka, Anna S. Petrova, Oleg S. Butorlin, Ilya E. Kolesnikov, Sergey N. Orlov, Mikhail N. Ryazantsev, Stefaniia S. Kolesnik, Nikita A. Bogachev, Mikhail Yu. Skripkin, and et al. 2023. "Brightly Luminescent (TbxLu1−x)2bdc3·nH2O MOFs: Effect of Synthesis Conditions on Structure and Luminescent Properties" Molecules 28, no. 5: 2378. https://doi.org/10.3390/molecules28052378
APA StyleNosov, V. G., Toikka, Y. N., Petrova, A. S., Butorlin, O. S., Kolesnikov, I. E., Orlov, S. N., Ryazantsev, M. N., Kolesnik, S. S., Bogachev, N. A., Skripkin, M. Y., & Mereshchenko, A. S. (2023). Brightly Luminescent (TbxLu1−x)2bdc3·nH2O MOFs: Effect of Synthesis Conditions on Structure and Luminescent Properties. Molecules, 28(5), 2378. https://doi.org/10.3390/molecules28052378

