Polyaniline-Coated Porous Vanadium Nitride Microrods for Enhanced Performance of a Lithium–Sulfur Battery
Abstract
1. Introduction
2. Results and Discussion
2.1. Characterization
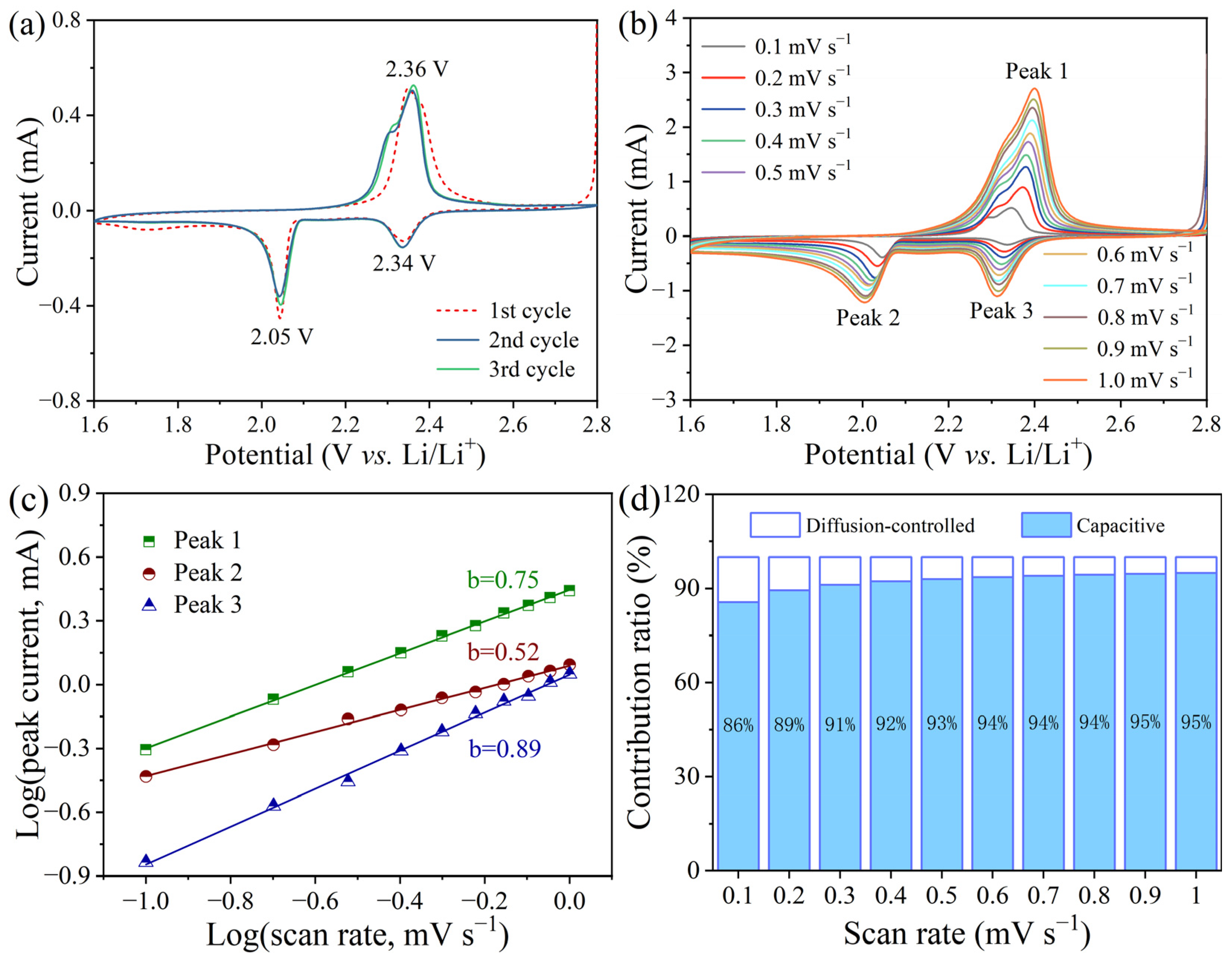
2.2. Electrochemical Performance
3. Materials and Methods
3.1. Preparation of Porous VN Microrods
3.2. Preparation of Porous VN/S Microrods
3.3. Preparation of VN/S@PANI Microrods
3.4. Study of LiPSs Adsorption Experiment
3.5. Material Characterizations
3.6. Electrochemical Tests
4. Conclusions
Supplementary Materials
Author Contributions
Funding
Institutional Review Board Statement
Informed Consent Statement
Data Availability Statement
Conflicts of Interest
Sample Availability
References
- Song, C.; Zhang, W.; Jin, Q.W.; Zhao, Y.; Zhang, Y.G.; Wang, X.; Bakenov, Z. Oxidized Nb2C MXene as catalysts for lithium-sulfur batteries: Mitigating the shuttle phenomenon by facilitating catalytic conversion of lithium polysulfides. J. Mater. Sci. Technol. 2022, 119, 45–52. [Google Scholar] [CrossRef]
- Wen, G.Y.; Zhang, X.P.; Shi, Z.H.; Sui, Y.L.; Li, J.P.; Zeng, J.; Zheng, J.W.; Wu, L. Sphere-in-fiber hybrid of N-doped carbon/cerium dioxide as an interlayer material with superior electrocatalytic performance for lithium sulfide precipitation and conversion. J. Colloid Interface Sci. 2022, 619, 106–115. [Google Scholar] [CrossRef]
- Fan, X.J.; Sun, W.W.; Meng, F.C.; Xing, A.M.; Liu, J.H. Advanced chemical strategies for lithium-sulfur batteries: A review. Green Energy Environ. 2018, 3, 2–19. [Google Scholar] [CrossRef]
- Gueon, D.; Hwang, J.T.; Yang, S.B.; Cho, E.; Sohn, K.; Yang, D.K.; Moon, J.H. Spherical macroporous carbon nanotube particles with ultrahigh sulfur loading for lithium-sulfur battery cathodes. ACS Nano 2018, 12, 226–233. [Google Scholar] [CrossRef]
- Li, M.T.; Chen, J.; Ren, K.; Li, X.H.; Gao, H.Y.; Sunb, D.Q.; Yu, Y. Nitrogen and titanium-codoped porous carbon nanocomposites derived from metal-organic framework as cathode to address polysulfides shuttle effects by Ti-assisted N-inhibiting strategy. RSC Adv. 2022, 12, 35923–35928. [Google Scholar] [CrossRef] [PubMed]
- Chai, J.L.; Du, J.K.; Li, Q.M.; Han, N.; Zhang, W.; Tang, B.H.J. Recent breakthroughs in the bottleneck of cathode materials for Li-S batteries. Energ. Fuel. 2021, 35, 15455–15471. [Google Scholar] [CrossRef]
- Wu, J.; Dai, Y.; Pan, Z.J.; Huo, D.X.; Wang, T.; Zhang, H.P.; Hu, J.; Yan, S. Co3O4 hollow microspheres on polypyrrole nanotubes network enabling long-term cyclability sulfur cathode. Appl. Surf. Sci. 2020, 510, 145529. [Google Scholar] [CrossRef]
- Lu, Y.; Zhao, M.L.; Yang, Y.; Zhang, M.J.; Zhang, N.; Yan, H.L.; Peng, T.; Liu, X.M.; Luo, Y.S. A conductive framework embedded with cobalt doped vanadium nitride as an efficient polysulfide adsorber and convertor for advanced lithium-sulfur batteries. Nanoscale Horiz. 2022, 7, 543–553. [Google Scholar] [CrossRef] [PubMed]
- Cheng, Q.; Yin, Z.H.; Pan, Z.X.; Zhong, X.H.; Rao, H.S. Lightweight free-standing 3D nitrogen-doped graphene/TiN aerogels with ultrahigh sulfur loading for high energy density Li-S batteries. ACS Appl. Energy Mater. 2021, 4, 7599–7610. [Google Scholar] [CrossRef]
- Zhang, W.F.; Xu, B.Y.; Zhang, L.H.; Li, W.; Li, S.L.; Zhang, J.X.; Jiang, G.X.; Cui, Z.M.; Song, H.; Grundish, N.; et al. Co4N-decorated 3D wood-derived carbon host enables enhanced cathodic electrocatalysis and homogeneous lithium deposition for lithium-sulfur full cells. Small 2022, 18, 2105664. [Google Scholar] [CrossRef] [PubMed]
- Cheng, Z.Z.; Wang, Y.X.; Zhang, W.J.; Xu, M. Boosting polysulfide conversion in lithium-sulfur batteries by cobalt-doped vanadium nitride microflowers. ACS Appl. Energy Mater. 2020, 3, 4523–4530. [Google Scholar] [CrossRef]
- Li, C.C.; Zhu, L.; Qi, S.Y.; Ge, W.N.; Ma, W.Z.; Zhao, Y.; Huang, R.Z.; Xu, L.Q.; Qian, Y.T. Ultrahigh-areal-capacity battery anodes enabled by free-standing vanadium nitride@N-doped carbon/graphene architecture. ACS Appl. Mater. Interfaces 2020, 12, 49607–49616. [Google Scholar] [CrossRef]
- Xiao, X.; Wang, H.; Bao, W.Z.; Urbankowski, P.; Yang, L.; Yang, Y.; Maleski, K.; Cui, L.; Billinge, S.J.L.; Wang, G.X.; et al. Two dimensional arrays of transition metal nitride nanocrystals. Adv. Mater. 2019, 31, 1902393. [Google Scholar] [CrossRef] [PubMed]
- Wei, S.Q.; Wang, C.D.; Chen, S.M.; Zhang, P.G.; Zhu, K.F.; Wu, C.Q.; Song, P.; Wen, W.; Song, L. Dial the mechanism switch of VN from conversion to intercalation toward long cycling sodium-ion battery. Adv. Energy Mater. 2020, 10, 1903712. [Google Scholar] [CrossRef]
- Yuan, J.; Hu, X.; Chen, J.X.; Liu, Y.J.; Huang, T.Z.; Wen, Z.H. In situ formation of vanadium nitride quantum dots on N-doped carbon hollow spheres for superior lithium and sodium storage. J. Mater. Chem. A 2019, 7, 9289. [Google Scholar] [CrossRef]
- Xu, L.H.; Xiong, P.X.; Zeng, L.X.; Liu, R.P.; Liu, J.B.; Luo, F.Q.; Li, X.Y.; Chen, Q.H.; Wei, M.D.; Qian, Q.R. Facile fabrication of a vanadium nitride/carbonfiber composite for half/full sodium-ion and potassium-ion batteries with long-term cycling performance. Nanoscale 2020, 12, 10693. [Google Scholar] [CrossRef] [PubMed]
- Meng, X.P.; Li, Z.L.; Cheng, Z.B.; Li, P.Y.; Wang, R.H.; Li, X.J. Ammonia-free fabrication of ultrafine vanadium nitride nanoparticles as interfacial mediators for promoting electrochemical behaviors of lithium-sulfur batteries. Nanoscale 2021, 13, 5292. [Google Scholar] [CrossRef] [PubMed]
- Wang, Z.F.; Zhang, X.M.; Liu, X.L.; Zhang, Y.G.; Zhao, W.M.; Li, Y.Y.; Qin, C.L.; Bakenov, Z. High specific surface area bimodal porous carbon derived from biomass reed flowers for high performance lithium-sulfur batteries. J. Colloid Interf. Sci. 2020, 569, 22–33. [Google Scholar] [CrossRef]
- Hong, X.D.; Liu, Y.; Li, Y.; Wang, X.; Fu, J.W.; Wang, X.L. Application progress of polyaniline, polypyrrole and polythiophene in lithium-sulfur batteries. Polymers 2020, 12, 331. [Google Scholar] [CrossRef]
- Zhang, Z.; Yi, S.; Wei, Y.; Bian, H.; Wang, R.; Min, Y. Lignin nanoparticle-coated celgard separator for high-performance lithium-sulfur batteries. Polymers 2019, 11, 1946. [Google Scholar] [CrossRef]
- Chadha, U.; Bhardwaj, P.; Padmanaban, S.; Suneel, R.M.; Milton, K.; Subair, N.; Pandey, A.; Khanna, M.; Srivastava, D.; Mathew, R.M. Review-contemporary progresses in carbon-based electrode material in Li-S batteries. J. Electrochem. Soc. 2022, 169, 020530. [Google Scholar] [CrossRef]
- Shah, S.S.; Nayem, A.S.M.; Sultana, N.; Ahammad, A.J.S.; Aziz, M.A. Preparation of sulfur-doped carbon for supercapacitor applications: A review. ChemSusChem 2022, 15, e202101282. [Google Scholar] [CrossRef] [PubMed]
- Ma, G.X.; Ning, G.Q.; Wei, Q. S-doped carbon materials: Synthesis, properties and applications. Carbon 2022, 195, 328–340. [Google Scholar] [CrossRef]
- Shah, S.S.; Das, H.T.; Barai, H.R.; Aziz, M.A. Boosting the electrochemical performance of polyaniline by one-step electrochemical deposition on nickel foam for high-performance asymmetric supercapacitor. Polymers 2022, 14, 270. [Google Scholar] [CrossRef]
- Gul, H.; Shah, A.U.H.A.; Bilal, S. Achieving ultrahigh cycling stability and extended potential window for supercapacitors through asymmetric combination of conducting polymer nanocomposite and activated carbon. Polymers 2019, 11, 1678. [Google Scholar] [CrossRef]
- Yao, Y.; Zhang, H.M.; Wang, X.H. Polyaniline: An effective suppressor against diffusion and dissolution of polysulfides in Li-S battery. J. Solid State Electr. 2019, 23, 2559–2567. [Google Scholar] [CrossRef]
- Duan, L.; Lu, J.; Liu, W.; Huang, P.; Wang, W.; Liu, Z. Fabrication of conducting polymer-coated sulfur composite cathode materials based on layer-by-layer assembly for rechargeable lithium-sulfur batteries. Colloid Surf. A 2012, 414, 98–103. [Google Scholar] [CrossRef]
- An, Y.; Wei, P.; Fan, M.; Chen, D.; Chen, H.; Ju, Q.; Tian, G.; Shu, K. Dual-shell hollow polyaniline/sulfur-core/polyaniline composites improving the capacity and cycle performance of lithium-sulfur batteries. Appl. Surf. Sci. 2016, 375, 215–222. [Google Scholar] [CrossRef]
- Sun, Q.; Fu, Z.W. Vanadium nitride as a novel thin film anode material for rechargeable lithium batteries. Electrochim. Acta 2008, 54, 403–409. [Google Scholar] [CrossRef]
- Zhong, Y.; Chao, D.; Deng, S.; Zhan, J.; Fang, R.; Xia, Y.; Wang, Y.; Wang, X.; Xia, X.; Tu, J. Confining sulfur in integrated composite scaffold with highly porous carbon fibers/vanadium nitride arrays for high-performance lithium-sulfur batteries. Adv. Funct. Mater. 2018, 28, 1706391. [Google Scholar] [CrossRef]
- Ma, L.; Yuan, H.; Zhang, W.J.; Zhu, G.Y.; Wang, Y.R.; Hu, Y.; Zhao, P.Y.; Chen, R.P.; Chen, T.; Liu, J.; et al. Porous-shell vanadium nitride nanobubbles with ultrahigh areal sulfur loading for high-lapacity and long-life lithium-sulfur batteries. Nano Lett. 2017, 17, 7839–7846. [Google Scholar] [CrossRef]
- Wang, J.; Xu, R.W.; Wang, C.Z.; Xiong, J.P. Novel polyaniline-silver-sulfur canotube composite as cathode material for lithium-sulfur battery. Materials 2021, 14, 6440. [Google Scholar] [CrossRef] [PubMed]
- Zhang, M.Y.; Song, Y.; Mu, X.J.; Yang, D.; Qin, Z.M.; Guo, D.; Sun, X.Q.; Liu, X.X. Decavanadate doped polyaniline for aqueous zinc batteries. Small 2022, 18, 2107689. [Google Scholar] [CrossRef] [PubMed]
- Xiang, Y.Y.; Lu, L.Q.; Kottapalli, A.G.P.; Pei, Y.T. Status and perspectives of hierarchical porous carbon materials in terms of high-performance lithium-sulfur batteries. Carbon Energy. 2022, 4, 346–398. [Google Scholar] [CrossRef]
- Wei, Y.Q.; Yan, Y.L.; Zou, Y.M.; Shi, M.M.; Deng, Q.J.; Zhao, N.N.; Wang, J.; Yang, R.; Xu, Y.H. The ternary PANI@BDC/S composite cathode with enhanced electrochemical performance in lithium-sulfur batteries. J. Electroanal. Chem. 2019, 839, 149–159. [Google Scholar] [CrossRef]
- Wang, Y.; Cai, J.F.; Han, T.L.; Hu, C.Q.; Zhu, Y.J.; Li, J.J.; Liu, J.Y. In-situ growing polyaniline nano-spine array on FeVO4 nanobelts as high-performance rechargeable aluminum-ion battery cathode. Appl. Surf. Sci. 2022, 591, 153157. [Google Scholar] [CrossRef]
- Gao, L.L.; Huang, N.N.; Wang, J.; Ren, H.B.; Joo, S.W.; Huang, J.R. Fabrication of polypyrrole coated cobalt manganate porous nanocubes by a facile template precipitation and annealing method for lithium-sulfur batteries. J. Alloys Compd. 2021, 885, 161350. [Google Scholar] [CrossRef]
- Yao, Y.; Wang, H.Y.; Yang, H.; Zeng, S.F.; Xu, R.; Liu, F.F.; Shi, P.C.; Feng, Y.Z.; Wang, K.; Yang, W.J.; et al. A dual-functional conductive framework embedded with TiN-VN heterostructures for highly efficient polysulfide and lithium regulation toward stable Li-S full batteries. Adv. Mater. 2020, 32, 1905658. [Google Scholar] [CrossRef]
- Shang, C.Q.; Wei, B.B.; Zhang, X.Z.; Shui, L.L.; Wang, X.; Zhou, G.F. Vanadium nitride-decorated lotus root-like NCNFs as 3D current collector for Li-S batteries. Mater. Lett. 2019, 236, 240–243. [Google Scholar] [CrossRef]
- Zhao, M.L.; Lu, Y.; Yang, Y.; Zhang, M.J.; Yue, Z.J.; Zhang, N.; Peng, T.; Liu, X.M.; Luo, Y.S. A vanadium-based oxide-nitride heterostructure as a multifunctional sulfur host for advanced Li-S batteries. Nanoscale 2021, 13, 13085–13094. [Google Scholar] [CrossRef]
- Xu, W.C.; Pan, X.X.; Meng, X.; Zhang, Z.H.; Peng, H.G.; Liu, J.; Li, G.C. A conductive sulfur-hosting material involving ultrafine vanadium nitride nanoparticles for high-performance lithium-sulfur battery. Electrochim. Acta 2020, 331, 135287. [Google Scholar] [CrossRef]
- Jo, H.; Cho, Y.; Yoo, T.; Jeon, Y.; Hong, H.; Piao, Y. Polyaniline-encapsulated hollow Co-Fe prussian blue analogue nanocubes modified on a polypropylene separator to improve the performance of lithium-sulfur batteries. ACS Appl. Mater. Interfaces 2021, 13, 47593–47602. [Google Scholar] [CrossRef]
- Zhao, J.; Zhao, Y.Y.; Yue, W.C.; Li, X.; Gao, N.; Zhang, Y.J.; Hu, C.Q. V2O3/VN catalysts decorated free-standing multifunctional interlayer for high-performance Li-S battery. Chem. Eng. J. 2022, 441, 136082. [Google Scholar] [CrossRef]
- Wei, J.; Chen, B.; Su, H.; Li, X.T.; Jiang, C.; Qiao, S.S.; Zhang, H. Graphene oxide-coated V2O5 microspheres for lithium-sulfur batteries. Ceram. Int. 2021, 47, 10965–10971. [Google Scholar] [CrossRef]
- Pei, H.J.; Yang, C.Y.; Wang, P.P.; Lin, J.Y.; Yin, L.L.; Zhou, X.P.; Xie, X.L.; Ye, Y.S. Efficient thermal management of lithium-sulfur batteries by highly thermally conductive LBL-assembled composite separators. Electrochim. Acta 2022, 407, 139807. [Google Scholar] [CrossRef]
- Yao, W.Q.; Zheng, W.Z.; Hanc, K.; Xiao, S.X. Ultrathin double-shell nanotubes of narrow band gap titanium oxide@carbon as efficient polysulfide inhibitors towards advanced lithium-sulfur batteries. J. Mater. Chem. A 2020, 8, 19028–19042. [Google Scholar] [CrossRef]
- Pu, X.J.; Zhao, D.; Fu, C.L.; Chen, Z.X.; Cao, S.N.; Wang, C.S.; Cao, Y.L. Understanding and calibration of charge storage mechanism in cyclic voltammetry curves. Angew. Chem. Int. Ed. 2021, 60, 21310–21318. [Google Scholar] [CrossRef]
- Zhang, Y.; Guo, Y.; Wang, B.Y.; Wei, Y.H.; Jing, P.; Wu, H.; Dai, Z.D.; Wang, M.; Zhang, Y. An integrated hybrid interlayer for polysulfides/selenides regulation toward advanced Li-SeS2 batteries. Carbon 2020, 161, 413–422. [Google Scholar] [CrossRef]
- Yao, W.Q.; Zheng, W.Z.; Xu, J.; Tian, C.X.; Han, K.; Sun, W.Z.; Xiao, S.X. ZnS-SnS@NC heterostructure as robust lithiophilicity and sulfiphilicity mediator toward high-rate and long-life lithium-sulfur batteries. ACS Nano 2021, 15, 7114–7130. [Google Scholar] [CrossRef]
- Park, J.; Kim, E.T.; Kim, C.; Pyun, J.; Jang, H.; Shin, J.; Choi, J.; Char, K.; Sung, Y. The importance of confined sulfur nanodomains and adjoining electron conductive pathways in subreaction regimes of Li-S batteries. Adv. Energy Mater. 2017, 7, 1700074. [Google Scholar] [CrossRef]
- Yang, X.Y.; Chen, S.; Gong, W.B.; Meng, X.D.; Ma, J.P.; Zheng, L.; Abruña, H.D.; Geng, J.X. Kinetic enhancement of sulfur cathodes by N-doped porous graphitic carbon with bound VN nanocrystals. Small 2020, 16, 2004950. [Google Scholar] [CrossRef] [PubMed]
- Yang, B.; Jiang, H.R.; Zhou, Y.C.; Liang, Z.J.; Zhao, T.S.; Lu, Y.C. Critical role of anion donicity in Li2S deposition and sulfur utilization in Li-S batteries. ACS Appl. Mater. Interfaces 2019, 11, 25940–25948. [Google Scholar] [CrossRef] [PubMed]
- Wei, W.L.; Li, J.M.; Wang, Q.; Liu, D.; Niu, J.Y.; Liu, P. Hierarchically porous SnO2 nanoparticle-anchored polypyrrole nanotubes as a high-efficient sulfur/polysulfide trap for high-performance lithium-sulfur batteries. ACS Appl. Mater. Interfaces 2020, 12, 6362–6370. [Google Scholar] [CrossRef] [PubMed]












Disclaimer/Publisher’s Note: The statements, opinions and data contained in all publications are solely those of the individual author(s) and contributor(s) and not of MDPI and/or the editor(s). MDPI and/or the editor(s) disclaim responsibility for any injury to people or property resulting from any ideas, methods, instructions or products referred to in the content. |
© 2023 by the authors. Licensee MDPI, Basel, Switzerland. This article is an open access article distributed under the terms and conditions of the Creative Commons Attribution (CC BY) license (https://creativecommons.org/licenses/by/4.0/).
Share and Cite
Lv, J.; Ren, H.; Cheng, Z.; Joo, S.W.; Huang, J. Polyaniline-Coated Porous Vanadium Nitride Microrods for Enhanced Performance of a Lithium–Sulfur Battery. Molecules 2023, 28, 1823. https://doi.org/10.3390/molecules28041823
Lv J, Ren H, Cheng Z, Joo SW, Huang J. Polyaniline-Coated Porous Vanadium Nitride Microrods for Enhanced Performance of a Lithium–Sulfur Battery. Molecules. 2023; 28(4):1823. https://doi.org/10.3390/molecules28041823
Chicago/Turabian StyleLv, Jingjie, Haibo Ren, Ziyan Cheng, Sang Woo Joo, and Jiarui Huang. 2023. "Polyaniline-Coated Porous Vanadium Nitride Microrods for Enhanced Performance of a Lithium–Sulfur Battery" Molecules 28, no. 4: 1823. https://doi.org/10.3390/molecules28041823
APA StyleLv, J., Ren, H., Cheng, Z., Joo, S. W., & Huang, J. (2023). Polyaniline-Coated Porous Vanadium Nitride Microrods for Enhanced Performance of a Lithium–Sulfur Battery. Molecules, 28(4), 1823. https://doi.org/10.3390/molecules28041823

