Self-Assembly of Cyclodextrin-Coated Nanoparticles:Fabrication of Functional Nanostructures for Sensing and Delivery
Abstract
1. Introduction
2. Synthesis of Cyclodextrin-Coated Nanoparticles
3. Self-Assembly of Cyclodextrin-Coated Nanoparticles
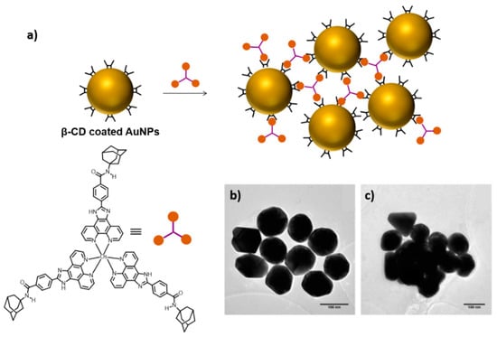
3.1. Aggregation of CD-Coated Nanoparticles into Clusters
3.2. Assembly of Nanoparticles onto Planar Surfaces

3.3. Assembly of Nanoparticles at Liquid–Liquid Interfaces
4. Conclusions
Author Contributions
Funding
Institutional Review Board Statement
Informed Consent Statement
Data Availability Statement
Conflicts of Interest
References
- Cobley, C.M.; Chen, J.; Chul Cho, E.; Wang, L.V.; Xia, Y. Gold Nanostructures: A Class of Multifunctional Materials for Biomedical Applications. Chem. Soc. Rev. 2011, 40, 44–56. [Google Scholar] [CrossRef] [PubMed]
- Tadic, M.; Lazovic, J.; Panjan, M.; Kralj, S. Hierarchical Iron Oxide Nanocomposite: Bundle-Like Morphology, Magnetic Properties and Potential Biomedical Application. Ceram. Int. 2022, 48, 16015–16022. [Google Scholar] [CrossRef]
- Huie, J.C. Guided Molecular Self-Assembly: A Review of Recent Efforts. Smart Mater. Struct. 2003, 12, 264–271. [Google Scholar] [CrossRef]
- Wang, B.; Yin, B.; Zhang, Z.; Yin, Y.; Yang, Y.; Wang, H.; Russell, T.P.; Shi, S. The Assembly and Jamming of Nanoparticle Surfactants at Liquid–Liquid Interfaces. Angew. Chem. 2022, 134, e202114936. [Google Scholar] [CrossRef]
- Kalsin, A.M.; Fialkowski, M.; Paszewski, M.; Smoukov, S.K.; Bishop, K.J.M.; Grzybowski, B.A. Electrostatic Self-Assembly of Binary Nanoparticle Crystals with a Diamond-Like Lattice. Science 2006, 312, 420–424. [Google Scholar] [CrossRef] [PubMed]
- Li, Z.; Qian, W.; Guo, H.; Long, X.; Tang, Y.; Zheng, J. Electrostatic Self-Assembled Bracelet-Like Au@Pt Nanoparticles: An Efficient Electrocatalyst for Highly Sensitive Non-Enzymatic Hydrogen Peroxide Sensing. ChemElectroChem 2020, 7, 1581–1589. [Google Scholar] [CrossRef]
- Mayer, C.R.; Neveu, S.; Secheresse, F.; Cabuil, V. Supramolecular Assemblies of Gold Nanoparticles Induced by Hydrogen Bond Interactions. J. Colloid Interface Sci. 2004, 273, 350–355. [Google Scholar] [CrossRef]
- Ma, H.; Li, X.; Yan, T.; Li, Y.; Liu, H.; Zhang, Y.; Wu, D.; Du, B.; Wei, Q. Sensitive Insulin Detection Based on Electrogenerated Chemiluminescence Resonance Energy Transfer between Ru(bpy)32+ and Au Nanoparticle-Doped β-Cyclodextrin-Pb (II) Metal-Organic Framework. ACS Appl. Mater. Interfaces 2016, 8, 10121–10127. [Google Scholar] [CrossRef]
- Hao, Q.; Kang, Y.; Xu, J.; Zhang, X. Fluorescence “Turn-On” Enzyme-Responsive Supra-Amphiphile Fabricated by Host−Guest Recognition between γ-Cyclodextrin and a Tetraphenylethylene-Sodium Glycyrrhetinate Conjugate. Langmuir 2021, 37, 6062–6068. [Google Scholar] [CrossRef]
- Arslan, M.; Gevrek, T.N.; Sanyal, R.; Sanyal, A. Fabrication of Poly(Ethylene Glycol)-Based Cyclodextrin Containing Hydrogels via Thiol-Ene Click Reaction. Eur. Polym. J. 2015, 62, 426–434. [Google Scholar] [CrossRef]
- Schmidt, B.V.K.J.; Barner-Kowollik, C. Dynamic Macromolecular Material Design—The Versatility of Cyclodextrin-Based Host–Guest Chemistry. Angew. Chem. Int. Ed. 2017, 56, 8350–8369. [Google Scholar] [CrossRef] [PubMed]
- Arslan, M.; Gevrek, T.N.; Sanyal, A.; Sanyal, R. Cyclodextrin Mediated Polymer Coupling via Thiol-Maleimide Conjugation: Facile Access to Functionalizable Hhydrogels. RSC Adv. 2014, 4, 57834–57841. [Google Scholar] [CrossRef]
- Arslan, M.; Sanyal, R.; Sanyal, A. Cyclodextrin Embedded Covalently Crosslinked Networks: Synthesis and Applications of Hydrogels with Nano-Containers. Polym. Chem. 2020, 11, 615–629. [Google Scholar] [CrossRef]
- Oz, Y.; Abdouni, Y.; Yilmaz, G.; Becer, C.R.; Sanyal, A. Magnetic Glyconanoparticles for Selective Lectin Separation and Purification. Polym. Chem. 2019, 10, 3351–3361. [Google Scholar] [CrossRef]
- Prochowicz, D.; Kornowicz, A.; Lewiński, J. Interactions of Native Cyclodextrins with Metal Ions and Inorganic Nanoparticles: Fertile Landscape for Chemistry and Materials Science. Chem. Rev. 2017, 117, 13461–13501. [Google Scholar] [CrossRef]
- Sharma, N.; Baldi, A. Exploring Versatile Applications of Cyclodextrins: An overview. Drug Delivery. 2016, 23, 729–747. [Google Scholar] [CrossRef]
- Wang, D.; Wu, S. Red-Light-Responsive Supramolecular Valves for Photocontrolled Drug Release from Mesoporous Nanoparticles. Langmuir 2016, 32, 632–636. [Google Scholar] [CrossRef]
- Zhu, L.; Yan, H.; Ang, C.Y.; Nguyen, K.T.; Li, M.; Zhao, Y. Photoswitchable Supramolecular Catalysis by Interparticle Host-Guest Competitive Binding. Chem. Eur. J. 2012, 18, 13979–13983. [Google Scholar] [CrossRef]
- Li, F.; Hu, Y.; Zhao, A.; Xi, Y.; Li, Z.; He, J. β-Cyclodextrin Coated Porous Pd@Au Nanostructures with Enhanced Peroxidase-Like Activity for Colorimetric and Paper-based Determination of Glucose. Microchim. Acta 2020, 187, 425. [Google Scholar] [CrossRef]
- Li, L.-S.; Zhang, Y.-X.; Gong, W.; Li, J. Novel β-Cyclodextrin Doped Carbon Dots for Host–Guest Recognition-Assisted Sensing of Isoniazid and Cell Imaging. RSC Adv. 2022, 12, 30104–30112. [Google Scholar] [CrossRef]
- Rojas, M.T.; Kaifer, A.E.; Königer, R.; Stoddart, J.F. Supported Monolayers Containing Preformed Binding Sites. Synthesis and Interfacial Binding Properties of a Thiolated β-Cyclodextrin Derivative. J. Am. Chem. Soc. 1995, 117, 336–343. [Google Scholar] [CrossRef]
- Chen, X.; Parker, S.G.; Zou, G.; Su, W.; Zhang, Q. β-Cyclodextrin-Functionalized Silver Nanoparticles for the Naked Eye Detection of Aromatic Isomers. ACS Nano 2010, 4, 6387–6394. [Google Scholar] [CrossRef] [PubMed]
- Liu, J.; Ong, W.; Román, E.; Lynn, M.J.; Kaifer, A.E. Cyclodextrin-Modified Gold Nanospheres. Langmuir 2000, 16, 3000–3002. [Google Scholar] [CrossRef]
- Liu, J.; Mendoza, S.; Román, E.; Lynn, M.J.; Xu, R.; Kaifer, A.E. Cyclodextrin-Modified Gold Nanospheres. Host-Guest Interactions at Work to Control Colloidal Properties. J. Am. Chem. Soc. 1999, 121, 4304–4305. [Google Scholar] [CrossRef]
- Pande, S.; Ghosh, S.K.; Praharaj, S.; Panigrahi, S.; Basu, S.; Jana, S.; Pal, A.; Tsukuda, T.; Pal, T. Synthesis of Normal and Inverted Gold-Silver Core-Shell Architectures in β-cyclodextrin and Their Applications in SERS. J. Phys. Chem. C 2007, 111, 10806–10813. [Google Scholar] [CrossRef]
- Aswathy, B.; Avadhani, G.S.; Suji, S.; Sony, G. Synthesis of β-Cyclodextrin Functionalized Gold Nanoparticles for the Selective Detection of Pb 2+ ions from Aqueous Solution. Front. Mater. Sci. 2012, 6, 168–175. [Google Scholar] [CrossRef]
- Isenbügel, K.; Gehrke, Y.; Ritter, H. Photo-Switchable Behavior of Azobenzene-Dye-Modified Silica Nanoparticles and Their Assembly with Cyclodextrin Derivatives. Macromol. Chem. Phys. 2012, 213, 227–233. [Google Scholar] [CrossRef]
- Mahalingam, V.; Onclin, S.; Péter, M.; Ravoo, B.J.; Huskens, J.; Reinhoudt, D.N. Directed Self-Assembly of Functionalized Silica Nanoparticles on Molecular Printboards through Multivalent Supramolecular Interactions. Langmuir 2004, 20, 11756–11762. [Google Scholar] [CrossRef]
- Fan, H.; Xing, R.; Wang, X.; Xu, Y.; Wang, Q.; He, P.; Fang, Y. A Host-Guest-Recognition-based Electrochemical Sensor for Sequence-Specific DNA Detection. Electroanalysis 2010, 22, 1781–1786. [Google Scholar] [CrossRef]
- Geng, S.; Lin, S.M.; Shi, Y.; Li, N.B.; Luo, H.Q. Determination of Cobalt(II) using β-Cyclodextrin-Capped ZnO Quantum Dots as a Fluorescent Probe. Microchim. Acta 2017, 184, 2533–2539. [Google Scholar] [CrossRef]
- Sagir, H.; Rahila; Rai, P.; Singh, P.K.; Siddiqui, I.R. ZnO Nanoparticle–β-Cyclodextrin: A Recyclable Heterogeneous Catalyst for the Synthesis of 3-aryl-4H-benzo[1,4]thiazin-2-amine in Water. New J. Chem. 2016, 40, 6819–6824. [Google Scholar] [CrossRef]
- Sawant, V.J.; Bamane, S.R. PEG-Beta-Cyclodextrin Functionalized Zinc Oxide Nanoparticles Show Cell Imaging with High Drug Payload and Sustained pH Responsive Delivery of Curcumin in to MCF-7 cells. J. Drug Deliv. Sci. Technol. 2018, 43, 397–408. [Google Scholar] [CrossRef]
- Shelat, R.; Chandra, S.; Khanna, A. Detailed Toxicity Evaluation of β-Cyclodextrin Coated Iron Oxide Nanoparticles for Biomedical Applications. Int. J. Biol. Macromol. 2018, 110, 357–365. [Google Scholar] [CrossRef] [PubMed]
- Rostamnia, S.; Doustkhah, E. Synthesis of Water-Dispersed Magnetic Nanoparticles (H2O-DMNPs) of β-Cyclodextrin Modified Fe3O4 and Its Catalytic Application in Kabachnik–Fields Multicomponent Reaction. J. Magn. Magn. Mater. 2015, 386, 111–116. [Google Scholar] [CrossRef]
- Harada, A.; Takahashi, S. Preparation and Properties of Cyclodextrin-Ferrocene Inclusion Complexes. J. Chem. Soc. Chem. Commun. 1984, 645–646. [Google Scholar] [CrossRef]
- Matsue, T.; Evans, D.H.; Osa, T.; Kobayashi, N. Electron-Transfer Reactions Associated with Host-Guest Complexation. Oxidation of Ferrocenecarboxylic Acid in the Presence of β-Cyclodextrin. J. Am. Chem. Soc. 1985, 107, 3411–3417. [Google Scholar] [CrossRef]
- Isnin, R.; Salam, C.; Kaifer, A.E. Bimodal Cyclodextrin Complexation of Ferrocene Derivatives Containing n-Alkyl Chains of Varying Length. J. Org. Chem. 1991, 56, 35–41. [Google Scholar] [CrossRef]
- De Larica, R.; Fratila, R.M.; Szarpak, A.; Huskens, J.; Velders, A.H. Multivalent Nanoparticle Networks as Ultrasensitive Enzyme Sensors. Angew. Chem. Int. Ed. 2011, 50, 5704–5707. [Google Scholar] [CrossRef]
- Wu, J.; Xu, Y.; Li, D.; Ma, X.; Tian, H. End-to-End Assembly and Disassembly of Gold Nanorods based on Photo-Responsive Host-Guest Interaction. Chem. Commun. 2017, 53, 4577–4580. [Google Scholar] [CrossRef]
- Liu, J.; Alvarez, J.; Ong, W.; Kaifer, A.E. Network Aggregates Formed by C60 and Gold Nanoparticles Capped with γ-Cyclodextrin Hosts. Nano Lett. 2001, 1, 57–60. [Google Scholar] [CrossRef]
- Zeng, Q.; Marthi, R.; McNally, A.; Dickinson, C.; Keyes, T.E.; Forster, R.J. Host-Guest Directed Assembly of Gold Nanoparticle Arrays. Langmuir 2010, 26, 1325–1333. [Google Scholar] [CrossRef] [PubMed]
- Liu, Z.; Jiang, M. Reversible Aggregation of Gold Nanoparticles Driven by Inclusion Complexation. J. Mater. Chem. 2007, 17, 4249–4254. [Google Scholar] [CrossRef]
- Isenbügel, K.; Ritter, H.; Branscheid, R.; Kolb, U. Nanoparticle vesicles through self assembly of cyclodextrin- and adamantyl-modified silica. Macromol. Rapid Commun. 2010, 31, 2121–2126. [Google Scholar] [CrossRef] [PubMed]
- Qu, H.; Yang, L.; Yu, J.; Dong, T.; Rong, M.; Zhang, J.; Xing, H.; Wang, L.; Pan, F.; Liu, H. A Redox Responsive Controlled Release System Using Mesoporous Silica Nanoparticles Capped with Au Nanoparticles. RSC Adv. 2017, 7, 35704–35710. [Google Scholar] [CrossRef]
- Yu, J.; Qu, H.; Dong, T.; Rong, M.; Yang, L.; Liu, H. A Reversible Light-Responsive Assembly System based on Host-Guest Interaction for Controlled Release. New J. Chem. 2018, 42, 6532–6537. [Google Scholar] [CrossRef]
- Zhang, Q.; Liu, F.; Nguyen, K.T.; Ma, X.; Wang, X.; Xing, B.; Zhao, Y. Multifunctional Mesoporous Silica Nanoparticles for Cancer-Targeted and Controlled Drug Delivery. Adv. Funct. Mater. 2012, 22, 5144–5156. [Google Scholar] [CrossRef]
- Kaliyamoorthi, K.; Sumohan Pillai, A.; Alexander, A.; Ramasamy, S.; Arivarasu, A.; Enoch, I.V.M.V. Designed Poly(ethylene glycol) Conjugate-Erbium-Doped Magnetic Nanoparticle Hybrid Carrier: Enhanced Activity of Anticancer Drug. J. Mater. Sci. 2021, 56, 3925–3934. [Google Scholar] [CrossRef]
- Yu, Q.; Deng, T.; Lin, F.C.; Zhang, B.; Zink, J.I. Supramolecular Assemblies of Heterogeneous Mesoporous Silica Nanoparticles to Co-deliver Antimicrobial Peptides and Antibiotics for Synergistic Eradication of Pathogenic Biofilms. ACS Nano 2020, 14, 5926–5937. [Google Scholar] [CrossRef]
- Stricker, L.; Fritz, E.C.; Peterlechner, M.; Doltsinis, N.L.; Ravoo, B.J. Arylazopyrazoles as Light-Responsive Molecular Switches in Cyclodextrin-Based Supramolecular Systems. J. Am. Chem. Soc. 2016, 138, 4547–4554. [Google Scholar] [CrossRef]
- Ling, X.Y.; Reinhoudt, D.N.; Huskens, J. Reversible Attachment of Nanostructures at Molecular Printboards through Supramolecular Glue. Chem. Mater. 2008, 20, 3574–3578. [Google Scholar] [CrossRef]
- Jeon, H.; Kim, J.; Lee, Y.M.; Kim, J.; Choi, H.W.; Lee, J.; Park, H.; Kang, Y.; Kim, I.S.; Lee, B.H.; et al. Poly-Paclitaxel/Cyclodextrin-SPION Nano-Assembly for Magnetically Guided Drug Delivery System. J. Control. Release 2016, 231, 68–76. [Google Scholar] [CrossRef]
- Frasconi, M.; Mazzei, F. Electrochemically Controlled Assembly and Logic Gates Operations of Gold Nanoparticle Arrays. Langmuir 2012, 28, 3322–3331. [Google Scholar] [CrossRef] [PubMed]
- Zuo, F.; Luo, C.; Zheng, Z.; Ding, X.; Peng, Y. Supramolecular Assembly of β-Cyclodextrin-Capped Gold Nanoparticles on Ferrocene-Functionalized ITO Surface for Enhanced Voltammetric Analysis of Ascorbic Acid. Electroanalysis 2008, 20, 894–899. [Google Scholar] [CrossRef]
- Fan, H.; Li, H.; Wang, Q.; He, P.; Fang, Y. A Host-Guest-Recognition-based Electrochemical Aptasensor for Thrombin Detection. Biosens. Bioelectron. 2012, 35, 33–36. [Google Scholar] [CrossRef] [PubMed]
- Chen, C.; Wei, G.; Yao, X.; Liao, F.; Peng, H.; Zhang, J.; Hong, N.; Cheng, L.; Fan, H. Ru(bpy)32+/β-Cyclodextrin-Au Nanoparticles/Nanographene Functionalized Nanocomposites-based Thrombin Electrochemiluminescence Aptasensor. J. Solid State Electrochem. 2018, 22, 2059–2066. [Google Scholar] [CrossRef]
- Content, S.; Trogler, W.C.; Sailor, M.J. Detection of Nitrobenzene, DNT, and TNT Vapors by Quenching of Porous Silicon Photoluminescence. Chem. Eur. J. 2000, 6, 2205–2213. [Google Scholar] [CrossRef]
- Walcarius, A. Impact of Mesoporous Silica-based Materials on Electrochemistry and Feedback from Electrochemical Science to the Characterization of These Ordered Materials. C. R. Chim. 2005, 8, 693–712. [Google Scholar] [CrossRef]
- Liu, G.; Lin, Y. Electrochemical Sensor for Organophosphate Pesticides and Nerve Agents Using Zirconia Nanoparticles as Selective Sorbents. Anal. Chem. 2005, 77, 5894–5901. [Google Scholar] [CrossRef]
- Li, S.; Wang, X.; Beving, D.; Chen, Z.; Yan, Y. Molecular Sieving in a Nanoporous b-Oriented Pure-Silica-Zeolite MFI Monocrystal Film. J. Am. Chem. Soc. 2004, 126, 4122–4123. [Google Scholar] [CrossRef]
- Weng, J.; Xue, J.; Wang, J.; Ye, J.S.; Cui, H.; Sheu, F.S.; Zhang, Q. Gold-Cluster Sensors Formed Electrochemically at Boron-doped-Diamond Electrodes: Detection of Dopamine in the Presence of Ascorbic Acid and Thiols. Adv. Funct. Mater. 2005, 15, 639–647. [Google Scholar] [CrossRef]
- Siegal, M.P.; Yelton, W.G.; Overmyer, D.L.; Provencio, P.P. Nanoporous Carbon Films for Gas Microsensors. Langmuir 2004, 20, 1194–1198. [Google Scholar] [CrossRef]
- Liao, R.; Jiang, D.; Liu, Y.; Lv, P. Preparation of Poly(ε-lysine)-Cyclodextrin Coated Fe3O4 Nanoparticles for Selective Separation of Natural Medicine: Scutellarin. Adv. Powder Technol. 2022, 33, 103473. [Google Scholar] [CrossRef]
- Welch, C.M.; Banks, C.E.; Simm, A.O.; Compton, R.G. Silver Nanoparticle Assemblies Supported on Glassy-Carbon Electrodes for the Electro-Analytical Detection of Hydrogen Peroxide. Anal. Bioanal. Chem. 2005, 382, 12–21. [Google Scholar] [CrossRef] [PubMed]
- Flätgen, G.; Wasle, S.; Lübke, M.; Eickes, C.; Radhakrishnan, G.; Doblhofer, K.; Ertl, G. Autocatalytic Mechanism of H2O2 Reduction on Ag Electrodes in Acidic Electrolyte: Experiments and Simulations. Electrochim. Acta 1999, 44, 4499–4506. [Google Scholar] [CrossRef]
- Pradhan, N.; Pal, A.; Pal, T. Silver Nanoparticle Catalyzed Reduction of Aromatic Nitro Compounds. Colloids Surf. A Physicochem. Eng. Asp. 2002, 196, 247–257. [Google Scholar] [CrossRef]
- Solanki, J.N.; Murthy, Z.V.P. Reduction of Nitro Aromatic Compounds over Ag/Al2O3 Nanocatalyst Prepared in Water-in-Oil Microemulsion: Effects of Water-to-Surfactant Mole Ratio and Type of Reducing Agent. Ind. Eng. Chem. Res. 2011, 50, 7338–7344. [Google Scholar] [CrossRef]
- Chen, X.; Cheng, X.; Gooding, J.J. Detection of Trace Nitroaromatic Isomers Using Indium Tin Oxide Electrodes Modified Using β-Cyclodextrin and Silver Nanoparticles. Anal. Chem. 2012, 84, 8557–8563. [Google Scholar] [CrossRef]
- Crespo-Biel, O.; Dordi, B.; Reinhoudt, D.N.; Huskens, J. Supramolecular Layer-by-Layer Assembly: Alternating Adsorptions of Guest- and Host-Functionalized Molecules and Particles Using Multivalent Supramolecular Interactions. J. Am. Chem. Soc. 2005, 127, 7594–7600. [Google Scholar] [CrossRef]
- Ling, X.Y.; Phang, I.Y.; Reinhoudt, D.N.; Vancso, G.J.; Huskens, J. Supramolecular Layer-by-Layer Assembly of 3D Multicomponent Nanostructures via Multivalent Molecular Recognition. Int. J. Mol. Sci. 2008, 9, 486–497. [Google Scholar] [CrossRef]
- Liao, X.; Chen, C.; Shi, P.; Yue, L. Determination of Melamine in Milk based on β-Cyclodextrin Modified Carbon Nanoparticles via Host–Guest Recognition. Food Chem. 2021, 338, 127769. [Google Scholar] [CrossRef]
- Dresselhaus, M.S.; Dresselhaus, G.; Avouris, P. Carbon Nanotubes: Synthesis, Structure, Properties and Applications; Springer: Heidelberg, Germany, 2001. [Google Scholar]
- Hueso, L.E.; Pruneda, J.M.; Ferrari, V.; Burnell, G.; Valdés-Herrera, J.P.; Simons, B.D.; Littlewood, P.B.; Artacho, E.; Fert, A.; Mathur, N.D. Transformation of Spin Information into Large Electrical Signals Using Carbon Nanotubes. Nature 2007, 445, 410–413. [Google Scholar] [CrossRef] [PubMed]
- Wang, Z.; Li, Z.-X.; Liu, Z. Photostimulated Reversible Attachment of Gold Nanoparticles on Multiwalled Carbon Nanotubes. J. Phys. Chem. C 2009, 113, 3899–3902. [Google Scholar] [CrossRef]
- Nepogodiev, S.A.; Stoddart, J.F. Cyclodextrin-based Catenanes and Rotaxanes. Chem. Rev. 1998, 98, 1959–1976. [Google Scholar] [CrossRef]
- Harada, A. Cyclodextrin-based Molecular Machines. Acc. Chem. Res. 2001, 34, 456–464. [Google Scholar] [CrossRef] [PubMed]
- Lin, Y.; Skaff, H.; Emrick, T.; Disnmore, A.D.; Russell, T.P. Nanoparticle Assembly and Transport at Liquid-Liquid Interfaces. Science 2003, 302, 1181–1185. [Google Scholar] [CrossRef]
- Wang, B.; Wang, M.; Zhang, H.; Sobal, N.S.; Tong, W.; Gao, C.; Wang, Y.; Giersig, M.; Wang, D.; Möhwald, H. Stepwise Interfacial Self-Assembly of Nanoparticles via Specific DNA Pairing. Phys. Chem. Chem. Phys. 2007, 9, 6313–6318. [Google Scholar] [CrossRef]
- Dinsmore, A.D.; Hsu, M.F.; Nikolaides, M.G.; Marquez, M.; Bausch, A.R.; Weitz, D.A. Colloidosomes: Selectively Permeable Capsules Composed of Colloidal Particles. Science 2002, 298, 1006–1009. [Google Scholar] [CrossRef]
- Duan, H.; Wang, D.; Sobal, N.S.; Giersig, M.; Kurth, D.G.; Möhwald, H. Magnetic Colloidosomes Derived from Nanoparticle Interfacial Self-Assembly. Nano Lett. 2005, 5, 949–952. [Google Scholar] [CrossRef]
- Patra, D.; Ozdemir, F.; Miranda, O.R.; Samanta, B.; Sanyal, A.; Rotello, V.M. Formation and Size Tuning of Colloidal Microcapsules via Host-Guest Molecular Recognition at the Liquid-Liquid Interface. Langmuir 2009, 25, 13852–13854. [Google Scholar] [CrossRef]
- Jeong, Y.; Chen, Y.C.; Turksoy, M.K.; Rana, S.; Tonga, G.Y.; Creran, B.; Sanyal, A.; Crosby, A.J.; Rotello, V.M. Tunable Elastic Modulus of Nanoparticle Monolayer Films by Host-Guest Chemistry. Adv. Mater. 2014, 26, 5056–5061. [Google Scholar] [CrossRef]
- Sun, H.; Li, L.; Russell, T.P.; Shi, S. Photoresponsive Structured Liquids Enabled by Molecular Recognition at Liquid-Liquid Interfaces. J. Am. Chem. Soc. 2020, 142, 8591–8595. [Google Scholar] [CrossRef] [PubMed]
- Sun, H.; Li, M.; Li, L.; Liu, T.; Luo, Y.; Russell, T.P.; Shi, S. Redox-Responsive, Reconfigurable All-Liquid Constructs. J. Am. Chem. Soc. 2021, 143, 3719–3722. [Google Scholar] [CrossRef] [PubMed]
















Disclaimer/Publisher’s Note: The statements, opinions and data contained in all publications are solely those of the individual author(s) and contributor(s) and not of MDPI and/or the editor(s). MDPI and/or the editor(s) disclaim responsibility for any injury to people or property resulting from any ideas, methods, instructions or products referred to in the content. |
© 2023 by the authors. Licensee MDPI, Basel, Switzerland. This article is an open access article distributed under the terms and conditions of the Creative Commons Attribution (CC BY) license (https://creativecommons.org/licenses/by/4.0/).
Share and Cite
Cengiz, B.; Gevrek, T.N.; Chambre, L.; Sanyal, A. Self-Assembly of Cyclodextrin-Coated Nanoparticles:Fabrication of Functional Nanostructures for Sensing and Delivery. Molecules 2023, 28, 1076. https://doi.org/10.3390/molecules28031076
Cengiz B, Gevrek TN, Chambre L, Sanyal A. Self-Assembly of Cyclodextrin-Coated Nanoparticles:Fabrication of Functional Nanostructures for Sensing and Delivery. Molecules. 2023; 28(3):1076. https://doi.org/10.3390/molecules28031076
Chicago/Turabian StyleCengiz, Busra, Tugce Nihal Gevrek, Laura Chambre, and Amitav Sanyal. 2023. "Self-Assembly of Cyclodextrin-Coated Nanoparticles:Fabrication of Functional Nanostructures for Sensing and Delivery" Molecules 28, no. 3: 1076. https://doi.org/10.3390/molecules28031076
APA StyleCengiz, B., Gevrek, T. N., Chambre, L., & Sanyal, A. (2023). Self-Assembly of Cyclodextrin-Coated Nanoparticles:Fabrication of Functional Nanostructures for Sensing and Delivery. Molecules, 28(3), 1076. https://doi.org/10.3390/molecules28031076

