Two Novel Schiff Base Manganese Complexes as Bifunctional Electrocatalysts for CO2 Reduction and Water Oxidation
Abstract
1. Introduction
2. Results and Discussion
2.1. Characterization of the Crystal Structures
2.2. Electrochemical Properties under Atmosphere of Ar
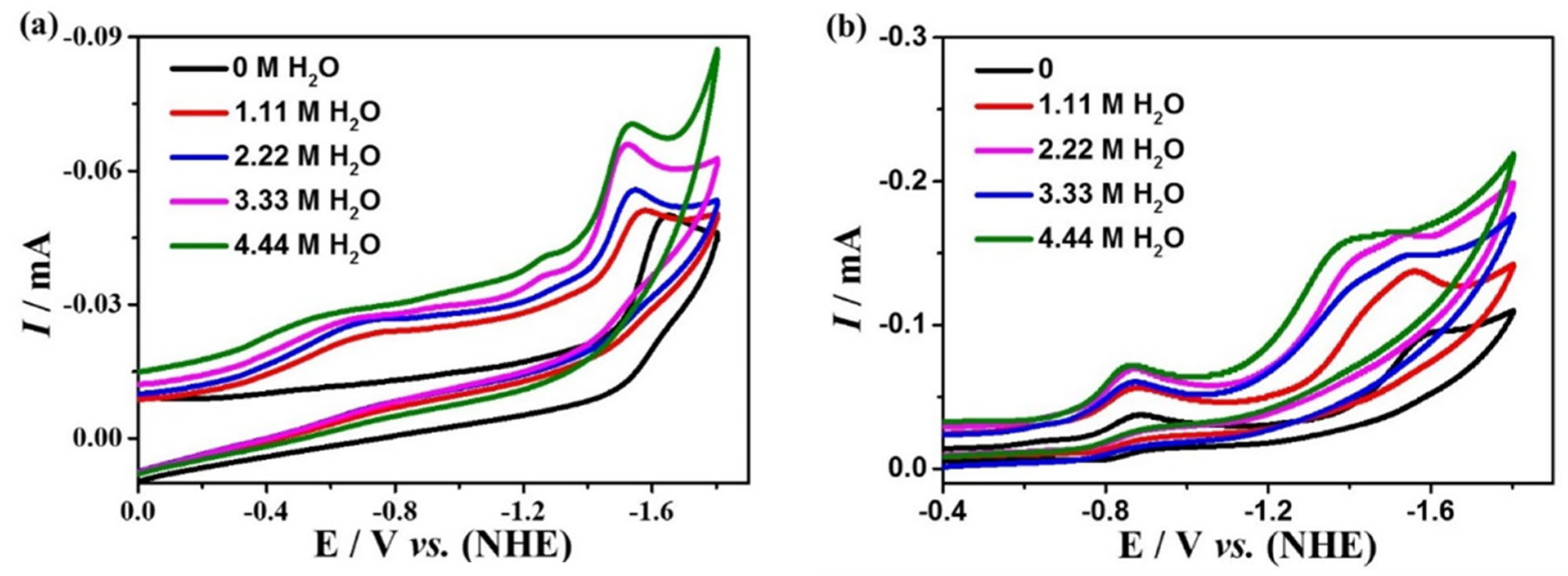
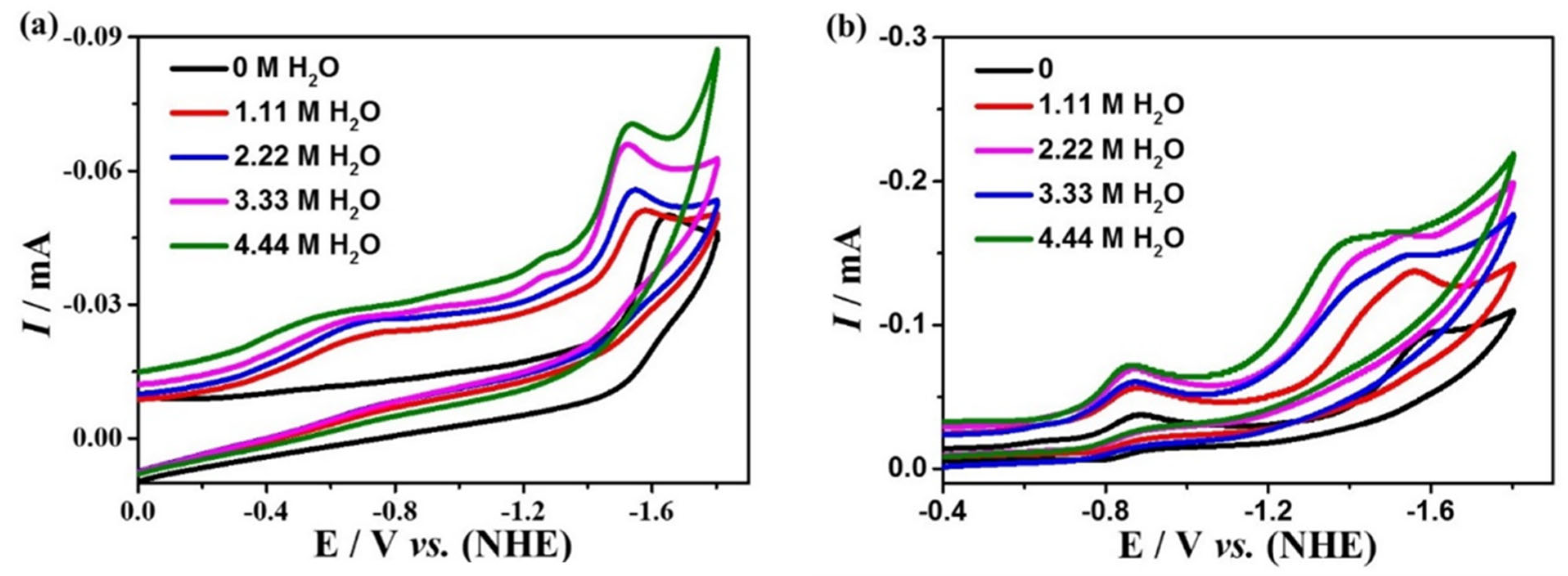
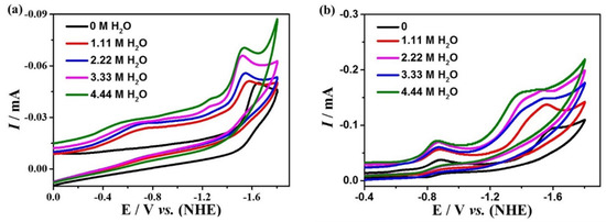
2.3. Electrochemical Properties for Water Oxidation
2.4. Electrochemical Properties for Carbon Dioxide Reduction
3. Materials and Methods
3.1. Materials and Characterization
3.2. Synthesis
3.2.1. Synthesis of N,N′-bis(3-Methoxysalicylidene)-1,2-Phenylenediamine (H2L)
3.2.2. Synthesis of [MnIIIL(H2O)(MeCN)](ClO4) (1)
3.2.3. Synthesis of [(CuIILMnII(H2O)3)(CuIIL)2](ClO4)2·CH3OH (2)
3.2.4. Electrochemical Measurement and Electrolytic Product Analysis
4. Conclusions
Supplementary Materials
Author Contributions
Funding
Institutional Review Board Statement
Informed Consent Statement
Data Availability Statement
Conflicts of Interest
References
- Gurney, K.R.; Mendoza, D.L.; Zhou, Y.Y.; Fischer, M.L.; Miller, C.C.; Geethakumar, S.; de la Rue du Can, S. High resolution fossil FuelCombustion CO2 emission fluxes for combustionthe united states. Environ. Sci. Technol. 2009, 43, 5535–5541. [Google Scholar] [CrossRef]
- Hove, S.; Tursoy, T. An investigation of the environmental Kuznets curve in emerging economies. J. Clean. Prod. 2019, 236, 117628.1–117628.9. [Google Scholar] [CrossRef]
- Yaseen, M.; Rawat, S.K.; Kumar, M. Cattaneo-Christov heat flux model in Darcy-Forchheimer radiative flow of MoS2-SiO2/kerosene oil between two parallel rotating disks. J. Therm. Anal. Calorim. 2022, 147, 10865–10887. [Google Scholar] [CrossRef]
- Yaseen, M.; Rawat, S.K.; Shafiq, A.; Kumar, M.; Nonlaopon, K. Analysis of Heat Transfer of Mono and Hybrid Nanofluid Flow between Two Parallel Plates in a Darcy Porous Medium with Thermal Radiation and Heat Generation/Absorption. Symmetry 2022, 14, 1943. [Google Scholar] [CrossRef]
- Gumber, P.; Yaseen, M.; Rawat, S.K.; Kumar, M. Heat transfer in micropolar hybrid nanofluid flow past a vertical plate in the presence of thermal radiation and suction/injection effects. Partial. Differ. Equ. Appl. Math. 2022, 5, 100240. [Google Scholar] [CrossRef]
- Becker, S.; Bouzdine-Chameeva, T.; Jaegler, A. The carbon neutrality principle: A case study in the French spirits sector. J. Clean. Prod. 2020, 274, 122739. [Google Scholar] [CrossRef]
- Pickering, B.; Lombardi, F.; Pfenninger, S. Diversity of Options to Reach Carbon-Neutrality Across the Entire European Energy System. Joule 2022, 6, 1253–1276. [Google Scholar] [CrossRef]
- Li, Z.S.; Yue, Y.; Peng, J.C.; Luo, Z.M. Phase engineering two-dimensional nanostructures for electrocatalytic hydrogen evolution reaction. Chin. Chem. Lett. 2023, 34, 107119. [Google Scholar] [CrossRef]
- Zou, X.H.; Li, Z.S.; Xie, Y.X.; Wu, H.; Lin, S. Phosphorus-doping and addition of V2O5 into Pt/graphene resulting in highly-enhanced electro-photo synergistic catalysis for oxygen reduction and hydrogen evolution reactions. Int. J. Hydrogen Energy 2020, 45, 30647–30658. [Google Scholar] [CrossRef]
- Peng, Y.; Wu, T.; Sun, L.; Nsanzimana, J.M.V.; Fisher, A.C.; Wang, X. Selective electrochemical reduction of CO2 to ethylene on Nanopores-Modified copper electrodes in aqueous solution. ACS Appl. Mater. Inter. 2017, 9, 32782–32789. [Google Scholar] [CrossRef]
- Yue, Y.; Zou, X.H.; Shi, Y.D.; Cai, J.N.; Xiang, Y.X.; Li, Z.S.; Lin, S. A low crystallinity CuO-SnO2/C catalyst for efficient electrocatalytic reduction of CO2. J. Electroanal. Chem. 2023, 928, 117089. [Google Scholar] [CrossRef]
- Wu, H.; Li, Z.S.; Liu, Y.; Zou, X.H.; Yin, L.W.; Lin, S. A cost-effective indium/carbon catalyst for highly efficient electrocatalytic reduction of CO2 to HCOOH. Sustain. Energ. Fuels 2021, 5, 5798–5803. [Google Scholar] [CrossRef]
- Ye, Y.Z.; Liu, Y.; Li, Z.S.; Zou, X.H.; Wu, H.; Lin, S. Highly selective and active Cu-In2O3/C nanocomposite for electrocatalytic reduction of CO2 to CO. J. Colloid Interf. Sci. 2021, 586, 528–537. [Google Scholar] [CrossRef] [PubMed]
- Paul, A.; Adhikary, S.D.; Kapurwan, S.; Konar, S. En route to artificial photosynthesis: The role of polyoxometalate based photocatalysts. J. Mater. Chem. A 2022, 10, 13152–13169. [Google Scholar] [CrossRef]
- Wang, J.W.; Zhong, D.C.; Lu, T.B. Artificial photosynthesis: Catalytic water oxidation and CO2 reduction by dinuclear non-noble-metal molecular catalysts. Coord. Chem. Rev. 2018, 377, 225–236. [Google Scholar] [CrossRef]
- Yoshino, S.; Takayama, T.; Yamaguchi, Y.; Iwase, A.; Kudo, A. CO2 Reduction Using Water as an Electron Donor over Heterogeneous Photocatalysts Aiming at Artificial Photosynthesis. Acc. Chem. Res. 2022, 55, 966–977. [Google Scholar] [CrossRef]
- Wang, N.; Zheng, H.Q.; Zhang, W.; Cao, R. Mononuclear first-row transition-metal complexes as molecular catalysts for water oxidation. Chin. J. Catal. 2018, 39, 228–244. [Google Scholar] [CrossRef]
- Yang, M.J.; Li, J.; Ke, G.L.; Liu, B.Y.; Dong, F.Q.; Yang, L.; He, H.C.; Zhou, Y. WO3 homojunction photoanode: Integrating the advantages of WO3 different facets for efficient water oxidation. J. Energy Chem. 2021, 56, 37–45. [Google Scholar] [CrossRef]
- Yang, B.P.; Liu, K.; Li, H.J.W.; Liu, C.X.; Fu, J.W.; Li, H.M.; Huang, J.E.; Ou, P.; Alkayyali, T.; Cai, C.; et al. Accelerating CO2 Electroreduction to Multicarbon Products via Synergistic Electric–Thermal Field on Copper Nanoneedles. J. Am. Chem. Soc. 2022, 144, 3039–3049. [Google Scholar] [CrossRef]
- Rajeshwar, K.; Vali, A.; de Brito, J.F.; Boldrin Zanoni, M.V. Naming Photoelectrochemical Processes: Why Thermodynamics Holds the Key. ACS Energy Lett. 2021, 6, 2198–2201. [Google Scholar] [CrossRef]
- Zhang, S.; Fan, Q.; Xia, R.; Meyer, T.J. CO2 Reduction: From Homogeneous to Heterogeneous Electrocatalysis. Acc. Chem. Res. 2020, 53, 255–264. [Google Scholar] [CrossRef] [PubMed]
- Franco, F.; Rettenmaier, C.; Jeon, H.S.; Roldan, C.B. Transition metal-based catalysts for the electrochemical CO 2 reduction: From atoms and molecules to nanostructured materials. Chem. Soc. Rev. 2020, 49, 6884–6946. [Google Scholar] [CrossRef] [PubMed]
- Pankhurst, J.R.; Guntern, Y.T.; Mensi, M.; Buonsanti, R. Molecular tunability of surface-functionalized metal nanocrystals for selective electrochemical CO2 reduction. Chem. Sci. 2019, 10, 10356–10365. [Google Scholar] [CrossRef]
- Ye, S.; Ding, C.; Li, C. Artificial photosynthesis systems for catalytic water oxidation. Adv. Inorg. Chem. 2019, 74, 3–59. [Google Scholar]
- Lee, W.T.; Munoz, S.B.; Dickie, D.A.; Smith, J.M. Ligand Modification Transforms a Catalase Mimic into a Water Oxidation Catalyst. Angew. Chem. Int. Ed. 2015, 53, 9856–9859. [Google Scholar] [CrossRef]
- Liu, H.B.; Yang, L.; Qiao, K.W.; Zeng, X.F.; Huang, Y.; Zheng, L.R.; Cao, D.P. A new concept analogous to homogeneous catalysis to construct in-situ regenerative electrodes for long-term oxygen evolution reaction. Nano Energy 2020, 76, 105115. [Google Scholar] [CrossRef]
- Cui, M.; Qian, Q.L.; Zhang, J.J.; Wang, Y.; Asare, B.; Bernard, B.; Liu, H.Z.; Han, B.X. Liquid fuel synthesis via carbon dioxde hydrogenation by coupling homogeneous and heterogeneous catalysis. Chem 2021, 7, 726–737. [Google Scholar] [CrossRef]
- Narouz, M.R.; De La Torre, P.; An, L.; Chang, C.J. Multifunctional Charge and Hydrogen-Bond Effects of Second-Sphere Imidazolium Pendants Promote Capture and Electrochemical Reduction of CO2 in Water Catalyzed by Iron Porphyrins. Angew. Chem. Int. Ed. 2022, 61, e202207666. [Google Scholar] [CrossRef]
- Zhanaidarova, A.; Jones, S.C.; Despagnet-Ayoub, E.; Pimentel, B.R.; Kubiak, C.P. Re(tBu-bpy)(CO)3Cl Supported on Multi-Walled Carbon Nanotubes Selectively Reduces CO2 in Water. J. Am. Chem. Soc. 2019, 141, 17270–17277. [Google Scholar] [CrossRef]
- Xu, Q.; Li, H.; Chi, L.; Zhang, L.G.; Wan, Z.; Ding, Y.; Wang, J.D. Identification of homogeneous [Co4(H2O)4(HPMIDA)2(PMIDA)2]6- as an effective molecular-light-driven water oxidation catalyst. Appl. Catal. B Environ. 2017, 202, 397–403. [Google Scholar] [CrossRef]
- Chen, Z.F.; Concepcion, J.J.; Brennaman, M.K.; Kang, P.; Norris, M.R.; Hoertz, P.G.; Meyer, T.J. Splitting CO2 into CO and O2 by a single catalyst. Proc. Natl. Acad. Sci. USA 2012, 109, 15606–15611. [Google Scholar] [CrossRef] [PubMed]
- Das, B.; Ezzedinloo, L.; Bhadbhade, M.; Bucknall, M.P.; Colbran, S.B. Strategic design of a ruthenium catalyst for both CO2 reduction and H2O oxidation: The electronic influence of the co-ligands. Chem. Commun. 2017, 53, 10006. [Google Scholar] [CrossRef] [PubMed]
- Shi, N.N.; Xie, W.J.; Zhang, D.M.; Fan, Y.H.; Cui, L.S.; Wang, M. A mononuclear copper complex as bifunctional electrocatalyst for CO2 reduction and water oxidation. J. Electroanal. Chem. 2021, 886, 115106. [Google Scholar] [CrossRef]
- Yin, X.M.; Zhang, S.F.; Wang, J.M.; Li, J.J.; Chen, F.F.; Yao, S.; Fan, Y.H.; Wang, M. Bioinspired cobalt molecular electrocatalyst for water oxidation coupled with carbon dioxide reduction. Appl. Organomet. Chem. 2021, 35, e6371. [Google Scholar] [CrossRef]
- Zhang, P.F.; Wu, D.; Yang, G.P.; Wang, Y.Y. Metal-Organic Frameworks as Heterogeneous Electrocatalysts for Water Splitting and CO2 Fixation. Cryst. Growth Des. 2021, 21, 3123–3142. [Google Scholar] [CrossRef]
- Seal, N.; Karthick, K.; Singh, M.; Kundu, S.; Neogi, S. Mixed- ligand-devised anionic MOF with divergent open Co(II)-nodes as chemo-resistant, bi-functional material for electrochemical water oxidation and mild-condition tandem CO2 fixation. Chem. Eng. J. 2022, 429, 132301. [Google Scholar] [CrossRef]
- Wang, C.; Xie, Z.G.; de Krafft, K.E.; Lin, W.B. Doping Metal-Organic Frameworks for Water Oxidation, Carbon Dioxide Reduction, and Organic Photocatalysis. J. Am. Chem. Soc. 2021, 133, 13445–13454. [Google Scholar] [CrossRef]
- Jun, H.; Choi, S.; Lee, J.B.; Nam, Y.S. Plasmonic Heterostructure Functionalized with a Carbene-Linked Molecular Catalyst for Sustainable and Selective Carbon Dioxide Reduction. ACS Appl. Mater. Interfaces 2020, 12, 33817–33826. [Google Scholar] [CrossRef]
- Morlanes, N.; Takanabe, K.; Rodionov, V. Simultaneous Reduction of CO2 and Splitting of H2O by a Single Immobilized Cobalt Phthalocyanine Electrocatalyst. ACS Catal. 2016, 6, 3092–3095. [Google Scholar] [CrossRef]
- Li, T.T.; Chen, Y.; Li, F.M.; Zhao, W.L.; Wang, C.J.; Lv, X.J.; Xu, Q.Q.; Fu, W.F. Efficient Water Oxidation Catalyzed by Mononuclear Ruthenium(II) Complexes Incorporating Schiff Base Ligands. Chem. Eur. J. 2014, 20, 8054–8061. [Google Scholar] [CrossRef]
- Shebl, M.; Khalil, S.M.E.; Ahmed, S.A.; Medien, H.A.A. Synthesis, spectroscopic characterization and antimicrobial activity of mono-, bi- and tri-nuclear metal complexes of a new Schiff base ligand. J. Mol. Struct. 2010, 980, 39–50. [Google Scholar] [CrossRef]
- Singh, K.; Barwa, M.S.; Tyagi, P. Synthesis, characterization and biological studies of Co(II), Ni(II), Cu(II) and Zn(II) complexes with bidentate Schiff bases derived by heterocyclic ketone. Eur. J. Med. Chem. 2006, 41, 147–153. [Google Scholar] [CrossRef] [PubMed]
- Arjmand, F.; Sayeed, F.; Muddassir, M.; Photochem, J. Synthesis of new chiral heterocyclic Schiff base modulated Cu(II)/Zn(II) complexes: Their comparative binding studies with CT-DNA, mononucleotides and cleavage activity. Photobiol. B 2011, 103, 166–179. [Google Scholar] [CrossRef]
- Zeynali, H.; Keypour, H.; Hosseinzadeh, L.; Gable, R.W. The Non-Templating Synthesis of Macro-Cyclic Schiff Base Ligands Containing Pyrrole and Homopiperazine and Their Binuclear Nickel(II), Cobalt(II) and Mononuclear Platinum(II) Complexes: X-Ray Single Crystal and Anticancer Studies. J. Mol. Struct. 2021, 1244, 130956. [Google Scholar] [CrossRef]
- Al-Serwi, R.H.; Othman, G.; Attia, M.A.; Enan, E.T.; El-Sherbiny, M.; Mahmoud, S.; Elsherbiny, N. Enhancement of cisplatin cytotoxicity by Cu(II)-Mn(II) Schiff base tetradentate complex in human oral squamous cell carcinoma. Molecules 2020, 25, 4688. [Google Scholar] [CrossRef] [PubMed]
- Niu, M.; Yang, X.; Ma, Y.; Wang, C.; Hao, W.; Shi, D.; Schipper, D. Construction of an Octanuclear Zn(II)-Yb(III) Schiff Base Complex for the Nir Luminescent Sensing of Nitrofuran Antibiotics. Chin. J. Chem. 2021, 39, 2083–2087. [Google Scholar] [CrossRef]
- Abu-Surrah, A.; Ibrahim, K.A.; Abdalla, M.Y.; Issa, A.A. Pentacoordinated iron(II) complexes with 2,6-bis[(imino)ethyl]pyridine-Schiff base ligands as new catalyst systems mediated atom transfer radical polymerization of (meth)acrylate monomers. J. Polym. Res. 2011, 18, 59–66. [Google Scholar] [CrossRef]
- Gupta, K.C.; Sutar, A.K. Catalytic activities of Schiff base transition metal complexes. Coord. Chem. Rev. 2008, 252, 1420–1450. [Google Scholar] [CrossRef]
- Rodionova, L.I.; Smirnov, A.V.; Borisova, N.E.; Khrustalev, V.N.; Moiseeva, A.A.; Grünert, W. Binuclear cobalt complex with Schiff base ligand: Synthesis, characterization and catalytic properties in partial oxidation of cyclohexane. Inorg. Chim. Acta 2012, 392, 221–228. [Google Scholar] [CrossRef]
- Grivani, G.; Bruno, G.; Rudbari, H.A.; Khalaji, A.D.; Pourteimouri, P. Synthesis, characterization and crystal structure determination of a new oxovanadium(IV) Schiff base complex: The catalytic activity in the epoxidation of cyclooctene. Inorg. Chem. Commun. 2012, 18, 15–20. [Google Scholar] [CrossRef]
- Muthusami, R.; Ramachandran, V.; Palaniappan, M.; Arumugam, S.; Rangappan, R. Cu(II) Schiff Base Complex Functionalized Mesoporous Silica Nanoparticles as an Efficient Catalyst for the Synthesis of Questiomycin a and Photo-Fenton-Like Rhodamine B Degradation. J. Solid State Chem. 2021, 302, 122429. [Google Scholar] [CrossRef]
- Shamsipur, M.; Taherpour, A.; Sharghi, H.; Lippolis, V.; Pashabadi, A. A Low-Overpotential Nature-Inspired Molecular Chromium Water Oxidation Catalyst. Electrochim. Acta 2018, 265, 316–325. [Google Scholar] [CrossRef]
- Zhu, X.L.; He, N.; Ding, J.X.; Yue, R.M.; He, S.M.; Liu, W.T.; Liu, N.J.; Guo, R.B.; Mo, Z.L. Bimetal-anchored covalent organic frameworks derivatives for efficient alkaline electrolyte oxygen evolution. J. Alloys Compd. 2022, 924, 166442. [Google Scholar] [CrossRef]
- Kour, G.; Mao, X.; Du, A. First principles studies of mononuclear and dinuclear Pacman complexes for electrocatalytic reduction of CO2. Catal. Sci. Technol. 2021, 11, 637–645. [Google Scholar] [CrossRef]
- Bonetto, R.; Civettini, D.; Crisanti, F.; Sartorel, A. FeI Intermediates in N2O2 Schiff Base Complexes: Effect of Electronic Character of the Ligand and of the Proton Donor on the Reactivity with Carbon Dioxide. Energies 2021, 14, 5723. [Google Scholar] [CrossRef]
- Liu, W.T.; Thorp, H.H. Bond valence sum analysis of metal-ligand bond lengths in metalloenzymes and model complexes. 2. Refined distances and other enzymes. Inorg. Chem. 1993, 32, 4102–4105. [Google Scholar] [CrossRef]
- Maneiro, M.; Bermejo, M.R.; Sousa, A.; Fondo, M.; Gonzalez, A.M.; Sousa-Pedrares, A.; McAuliffe, C.A. Synthesis and structural characterization of new manganese(II) and (III) complexes. Study of their photolytic and catalase activity and x-ray crystal structure of [Mn(3-OMe,5-Br-salpn)(EtOH)(H2O)]ClO4. Polyhedron 2000, 19, 47–54. [Google Scholar] [CrossRef]
- Ganguly, S.; Mayans, J.; Ghosh, A. Modulation of Nuclearity in CuII-MnII Complexes of a N2O2 Donor Ligand Depending upon Carboxylate Anions: Structures, Magnetic Properties and Catalytic Oxidase Activities. Chem. Asian J. 2020, 15, 4055–4069. [Google Scholar] [CrossRef]
- Hazari, A.; Dutta, A. Catecholase like activity on heterometallic model complexes of Ni(II)-Mn(II) and Cu(II)-Mn(II) with N2O2 donor di-Schiff base ligands: A short review. Polyhedron 2022, 228, 116153. [Google Scholar] [CrossRef]
- Sebastian, N.; Emanuel, R.; Inke, S. Towards the continuous production of Pt-based heterogeneous catalysts using microfluidic systems. Dalton Trans. 2018, 47, 1693–1702. [Google Scholar]
- Xie, Q.; Fu, Q.; Cui, H.B.; Luo, B.H.; Liu, W.Q.; Qiao, R.; Ren, Y.J.; Chen, F.; Zhang, H.X.; Long, J.Q. Influence of the flexible tetrapyridines on electrocatalytic water oxidation by cobalt complexes. Polyhedron 2020, 189, 114731. [Google Scholar] [CrossRef]
- Zheng, F.; Zhang, Z.; Xiang, D.; Li, P.; Du, C.; Zhuang, Z.H.; Li, X.K.; Chen, W. Fe/Ni Bimetal Organic Framework as Efficient Oxygen Evolution catalyst with Low Overpotential. J. Colloid Interf. Sci. 2019, 555, 541–547. [Google Scholar] [CrossRef] [PubMed]
- Zhang, J.; Zhang, C.; Duo, X.X.; Liu, Z.X.; Liu, C.Y.; Guo, L.Y.; Xie, A.J.; Luo, S.P. Self-assembled acicular CuCo-MOF for enhancing oxygen evolution reaction. Ionics 2020, 26, 5123–5132. [Google Scholar] [CrossRef]
- Abdullahi, I.M.; Masud, J.; Ioannou, P.C.; Ferentinos, E.; Kyritsis, P.; Nath, M. A Molecular Tetrahedral Cobalt–Seleno-Based Complex as an Efficient Electrocatalyst for Water Splitting. Molecules 2021, 26, 945. [Google Scholar] [CrossRef] [PubMed]
- Silva, H.N.; Toma, S.H.; Hennemann, A.L.; Gonçalves, J.M.; Nakamura, M.; Araki, K.; Toyama, M.M.; Toma, H.E. A New Supramolecular Tetraruthenated Cobalt (II) Porphyrazine Displaying Outstanding Electrocatalytical Performance in Oxygen Evolution Reaction. Molecules 2022, 27, 4598. [Google Scholar] [CrossRef]
- Blatov, V.A.; O’Keeffe, M.; Proserpio, D.M. Vertex-, Face-, Point-, Schläfli-, and Delaney-Symbols in Nets, Polyhedra and Tilings: Recommended Terminology. CrystEngComm 2010, 12, 44–48. [Google Scholar] [CrossRef]
- Sheldrick, G.M. Crystal structure refinement with SHELXL. Acta Crystallogr. C 2015, 71, 3–8. [Google Scholar] [CrossRef]
- Lam, F.; Jia, X.X.; Chan, K.S. Binucleating Ligands: Synthesis of Acyclic Achiral and Chiral Schiff Base-Pyridine and Schiff Base-Phosphine Ligands. J. Org. Chem. 1998, 28, 8414–8418. [Google Scholar]
- Hu, Q.Q.; Su, X.J.; Zhang, M.T. Electrocatalytic Water Oxidation by an Unsymmetrical Di-Copper Complex. Inorg. Chem. 2018, 57, 10481–10484. [Google Scholar] [CrossRef]
- Makhado, T.; Das, B.; Kriek, R.J.; Vosloo, H.C.M.; Swarts, A.J. Chemical and electrochemical water oxidation mediated by bis(pyrazol-1-ylmethyl)pyridine-ligated Cu(I) complexes. Sustain. Energ. Fuels 2021, 5, 2771–2780. [Google Scholar] [CrossRef]
- Liu, C.; Geer, A.M.; Webber, C.; Musgrave, C.B., III; Gu, S.; Johnson, G.; Dickie, D.A.; Chabbra, S.; Schnegg, A.; Zhou, H.; et al. Immobilization of “Capping Arene” Cobalt(II) Complexes on Ordered Mesoporous Carbon for Electrocatalytic Water Oxidation. ACS Catal. 2021, 11, 15068–15082. [Google Scholar] [CrossRef]
- Li, P.; Liu, J.B.; Han, S.; Deng, W.; Yao, Z.J. Half-sandwich Ir (III) and Rh (III) complexes as catalysts for water oxidation with double-site. Appl. Organomet. Chem. 2019, 33. [Google Scholar]
- Li, X.H.; Panetier, J.A. Mechanistic Study of Tungsten Bipyridyl Tetracarbonyl Electrocatalysts for CO2 Fixation: Exploring the Roles of Explicit Proton Sources and Substituent Effects. Top. Catal. 2022, 65, 325–340. [Google Scholar] [CrossRef]
- Wei, S.T.; Zou, H.Y.; Rong, W.F.; Zhang, F.X.; Ji, Y.F.; Duan, L.L. Conjugated nickel phthalocyanine polymer selectively catalyzes CO2-to-CO conversion in a wide operating potential window. Appl. Catal. B 2021, 284, 119739. [Google Scholar] [CrossRef]
- Chi, S.Y.; Chen, Q.; Zhao, S.S.; Si, D.H.; Wu, Q.J.; Huang, Y.B.; Cao, R. Three-dimensional porphyrinic covalent organic frameworks for highly efficient electroreduction of carbon dioxide. J. Mater. Chem. A 2022, 10, 4653–4659. [Google Scholar] [CrossRef]
- Hooe, S.L.; Dressel, J.M.; Dickie, D.A.; Machan, C.W. Highly Efficient Electrocatalytic Reduction of CO2 to CO by a Molecular Chromium Complex. ACS Catal. 2020, 10, 1146–1151. [Google Scholar] [CrossRef]
- Ahsan, H.M.; Breedlove, B.K.; Piangrawee, S.; Mian, M.R.; Fetoh, A.; Cosquer, G.; Yamashita, M. Enhancement of electrocatalytic abilities for reducing carbon dioxide: Functionalization with a redox-active ligand-coordinated metal complex. Dalton Trans. 2018, 47, 11313–11316. [Google Scholar] [CrossRef]









Disclaimer/Publisher’s Note: The statements, opinions and data contained in all publications are solely those of the individual author(s) and contributor(s) and not of MDPI and/or the editor(s). MDPI and/or the editor(s) disclaim responsibility for any injury to people or property resulting from any ideas, methods, instructions or products referred to in the content. |
© 2023 by the authors. Licensee MDPI, Basel, Switzerland. This article is an open access article distributed under the terms and conditions of the Creative Commons Attribution (CC BY) license (https://creativecommons.org/licenses/by/4.0/).
Share and Cite
Zhao, X.; Li, J.; Jian, H.; Lu, M.; Wang, M. Two Novel Schiff Base Manganese Complexes as Bifunctional Electrocatalysts for CO2 Reduction and Water Oxidation. Molecules 2023, 28, 1074. https://doi.org/10.3390/molecules28031074
Zhao X, Li J, Jian H, Lu M, Wang M. Two Novel Schiff Base Manganese Complexes as Bifunctional Electrocatalysts for CO2 Reduction and Water Oxidation. Molecules. 2023; 28(3):1074. https://doi.org/10.3390/molecules28031074
Chicago/Turabian StyleZhao, Xin, Jingjing Li, Hengxin Jian, Mengyu Lu, and Mei Wang. 2023. "Two Novel Schiff Base Manganese Complexes as Bifunctional Electrocatalysts for CO2 Reduction and Water Oxidation" Molecules 28, no. 3: 1074. https://doi.org/10.3390/molecules28031074
APA StyleZhao, X., Li, J., Jian, H., Lu, M., & Wang, M. (2023). Two Novel Schiff Base Manganese Complexes as Bifunctional Electrocatalysts for CO2 Reduction and Water Oxidation. Molecules, 28(3), 1074. https://doi.org/10.3390/molecules28031074
