Bacillus subtilis and Bifidobacteria bifidum Fermentation Effects on Various Active Ingredient Contents in Cornus officinalis Fruit
Abstract
1. Introduction
2. Results
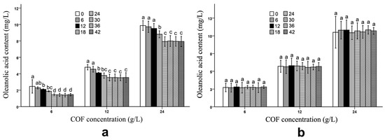
2.1. Effects of B. subtilis and B. bifidum Fermentation on Ursolic Acid and Oleanolic Acid Contents
2.2. Effects of B. subtilis and B. bifidum Fermentation on the Loganin Content
2.3. Effects of B. subtilis and B. bifidum Fermentation on Gallic Acid Content
3. Discussion
4. Materials and Methods
4.1. Material Collection and Pretreatment
4.2. Reagents
4.3. COF Fermentation
4.4. Extraction and Determination of Ursolic Acid and Oleanolic Acid
4.5. Extraction and Determination of Loganin
4.6. Extraction and Determination of Gallic Acid
4.7. Statistical Analysis
5. Conclusions
Supplementary Materials
Author Contributions
Funding
Institutional Review Board Statement
Informed Consent Statement
Data Availability Statement
Acknowledgments
Conflicts of Interest
Sample Availability
References
- Şanlier, N.; Gökcen, B.B.; Sezgin, A.C. Health benefits of fermented foods. Crit. Rev. Food Sci. Nutr. 2019, 59, 506–527. [Google Scholar] [CrossRef] [PubMed]
- Dimidi, E.; Cox, S.R.; Rossi, M.; Whelan, K. Fermented foods: Definitions and characteristics, impact on the gut microbiota and effects on gastrointestinal health and disease. Nutrients 2019, 11, 1806. [Google Scholar] [CrossRef] [PubMed]
- Płacheta, B.; Motyl, I.; Berłowska, J.; Mroczyńska-Florczak, M. The use of fermented plant biomass in pigs feeding. Sustainability 2022, 14, 14595. [Google Scholar] [CrossRef]
- Kiczorowski, P.; Kiczorowska, B.; Samolińska, W.; Szmigielski, M.; Winiarska-Mieczan, A. Effect of fermentation of chosen vegetables on the nutrient, mineral, and biocomponent profile in human and animal nutrition. Sci. Rep. 2022, 12, 13422. [Google Scholar] [CrossRef]
- Lang, B.; Zhao, Y.; Yang, R.; Liu, A.; Ranjitkar, S.; Yang, L. Antioxidant and tyrosinase inhibitory activities of traditional fermented Rosa from Dali Bai communities, Northwest Yunnan, China. Sci. Rep. 2021, 11, 22700. [Google Scholar] [CrossRef] [PubMed]
- Rowland, I.; Gibson, G.; Heinken, A.; Scott, K.; Swann, J.; Thiele, I.; Tuohy, K. Gut microbiota functions: Metabolism of nutrients and other food components. Eur. J. Nutr. 2018, 57, 1–24. [Google Scholar] [CrossRef]
- Flint, H.J.; Scott, K.P.; Duncan, S.H.; Louis, P.; Forano, E. Microbial degradation of complex carbohydrates in the gut. Gut Microbes 2012, 3, 289–306. [Google Scholar] [CrossRef]
- Dou, Z.; Chen, C.; Fu, X. Bioaccessibility, antioxidant activity and modulation effect on gut microbiota of bioactive compounds from Moringa oleifera Lam. leaves during digestion and fermentation in vitro. Food Funct. 2019, 10, 5070–5079. [Google Scholar] [CrossRef]
- Wang, C.; Shi, C.; Zhang, Y.; Song, D.; Lu, Z.; Wang, Y. Microbiota in fermented feed and swine gut. Appl. Microbiol. Biotechnol. 2018, 102, 2941–2948. [Google Scholar] [CrossRef]
- Ye, X.S.; Hao, J.; Zhang, J.L.; Pang, X.B.; Zhang, L.; Qiao, H.Y.; Pan, X.G.; Zhang, J.; Liu, S.N.; Zhang, W.K.; et al. Study on chemical constituents of Cornus officinalis fruit. Chin. J. Chin. Mat. Med. 2016, 41, 4605–4609. [Google Scholar]
- Mau, J.L.; Chen, C.P.; Hsieh, P.C. Antimicrobial effect of extracts from Chinese chive, cinnamon, and corni fructus. J. Agric. Food Chem. 2001, 49, 183–188. [Google Scholar] [CrossRef] [PubMed]
- Shu, X.; Ruan, Q. Study on separation technology and antibacterial activity of glycosides from Cornus officinalis fruits. Food Sci. 2008, 29, 353–357. [Google Scholar]
- Sung, Y.-H.; Chang, H.-K.; Kim, S.-E.; Kim, Y.-M.; Seo, J.-H.; Shin, M.-C.; Shin, M.-S.; Yi, J.-W.; Shin, N.-H.; Kim, H.; et al. Anti-inflammatory and analgesic effects of the aqueous extract of corni fructus in murine RAW 264.7 macrophage cells. J. Med. Food 2009, 12, 788–795. [Google Scholar] [CrossRef] [PubMed]
- Wei, S.; Chi, H.; Kodama, H.; Chen, G. Anti-inflammatory effect of three iridoids in human neutrophils. Nat. Prod. Res. 2013, 27, 911–915. [Google Scholar] [CrossRef] [PubMed]
- Chang, J.S.; Chiang, L.C.; Hsu, F.F.; Lin, C.C. Chemoprevention against hepatocellular carcinoma of Cornus officinalis in vitro. Am. J. Chin. Med. 2004, 32, 717–725. [Google Scholar] [CrossRef]
- Telang, N.T.; Li, G.; Sepkovic, D.W.; Bradlow, H.L.; Wong, G.Y.C. Anti-proliferative effects of Chinese herb Cornus officinalis in a cell culture model for estrogen receptor-positive clinical breast cancer. Mol. Med. Rep. 2012, 5, 22–28. [Google Scholar] [CrossRef]
- Zou, P.; Zhao, C.; Li, P.; Huang, H. Study on the anti-tumor effect of polysaccharides from Cornus officinalis and its immunologic mechanism. Chin. J. Hosp. Pharm. 2012, 01, 20–22. [Google Scholar]
- Su, Z.; Wang, B. Preliminary research of fermentation conditions and determination of loganin for Cornus Officinalis health wine. J. Taiyuan Univ. Sci. Technol. 2008, 01, 70–74. [Google Scholar]
- Xu, B.T.; He, G.Q.; Li, X.H.; Yu, H.N.; Shen, S.R. Extraction of ursolic acid in Cornus officinalis by fermentation combined with ultrasonic-assisted technique. J. Zhejiang Univ. (Agriculture and Life Sciences) 2009, 35, 272–277. [Google Scholar]
- Park, J.S.; Lee, J.S. The promoting effect of Cornus officinalis fermented with Lactobacillus rhamnosus on hair growth. Korean J. Pharm. 2011, 42, 260–264. [Google Scholar]
- Liu, J. Pharmacology of oleanolic acid and ursolic acid. J. Ethnopharmacol. 1995, 49, 57–68. [Google Scholar] [CrossRef]
- Liu, J. Oleanolic acid and ursolic acid: Research perspectives. J. Ethnopharmacol. 2005, 100, 92–94. [Google Scholar] [CrossRef] [PubMed]
- Jiang, W.L.; Zhang, S.P.; Hou, J.; Zhu, H.B. Effect of loganin on experimental diabetic nephropathy. Phytomedicine 2012, 19, 217–222. [Google Scholar] [CrossRef]
- Kwon, S.H.; Kim, H.C.; Lee, S.Y.; Jang, C.G. Loganin improves learning and memory impairments induced by scopolamine in mice. Eur. J. Pharmacol. 2009, 619, 44–49. [Google Scholar] [CrossRef]
- Li, Y.; Li, Z.; Shi, L.; Zhao, C.; Shen, B.; Tian, Y.; Feng, H. Loganin inhibits the inflammatory response in mouse 3T3L1 adipocytes and mouse model. Int. Immunopharmacol. 2016, 36, 173–179. [Google Scholar] [CrossRef] [PubMed]
- Kwon, S.H.; Kim, J.A.; Hong, S.I.; Jung, Y.H.; Kim, H.C.; Lee, S.Y.; Jang, C.G. Loganin protects against hydrogen peroxide-induced apoptosis by inhibiting phosphorylation of JNK, p38, and ERK 1/2 MAPKs in SH-SY5Y cells. Neurochem. Int. 2011, 58, 533–541. [Google Scholar] [CrossRef] [PubMed]
- Kahkeshani, N.; Farzaei, F.; Fotouhi, M.; Alavi, S.S.; Bahramsoltani, R.; Naseri, R.; Bishayee, A. Pharmacological effects of gallic acid in health and diseases: A mechanistic review. Iran. J. Basic Med. Sci. 2019, 22, 225. [Google Scholar]
- Hsu, C.L.; Yen, G.C. Effect of gallic acid on high fat diet-induced dyslipidaemia, hepatosteatosis and oxidative stress in rats. Br. J. Nutr. 2007, 98, 727–735. [Google Scholar] [CrossRef]
- Xiao, H.; Wang, D.; Shu, Q.; Zhou, L. Determination of eight major components in differnt processed productions of corni fructus. Mod. Chin. Med. 2021, 23, 1444–1450. [Google Scholar]
- Li, Q.; Hu, S.; Huang, L.; Zhang, J.; Cao, G. Evaluating the therapeutic mechanisms of selected active compounds in Cornus officinalis and Paeonia lactiflora in rheumatoid arthritis via network pharmacology analysis. Front. Pharmacol. 2021, 12, 648037. [Google Scholar] [CrossRef]
- Hwangbo, H.; Jeung, J.S.; Kim, M.Y.; Ji, S.Y.; Yoon, S.; Kim, T.H.; Choi, Y.H. A study on antioxidant and anti-inflammatory effects based on analysis of functional components of Cornus officinalis Siebold & Zucc. J. Life Sci. 2021, 31, 287–297. [Google Scholar]
- Chinese Pharmacopoeia Commission. Pharmacopoeia of the People’s Republic of China, 1st ed.; China Medical Science Press: Beijing, China, 2015; Volume 1, pp. 27–28. [Google Scholar]
- Hussain, A.; Bose, S.; Wang, J.H.; Yadav, M.K.; Mahajan, G.B.; Kim, H. Fermentation, a feasible strategy for enhancing bioactivity of herbal medicines. Food Res. Int. 2016, 81, 1–16. [Google Scholar] [CrossRef]
- Wen, Y.L.; Yan, L.P.; Chen, C.S. Effects of fermentation treatment on antioxidant and antimicrobial activities of four common Chinese herbal medicinal residues by Aspergillus oryzae. J. Food Drug Anal. 2013, 21, 219–226. [Google Scholar] [CrossRef]
- Wang, L.C.; Pan, T.M.; Tsai, T.Y. Lactic acid bacteria-fermented product of green tea and Houttuynia cordata leaves exerts anti-adipogenic and anti-obesity effects. J. Food Drug Anal. 2018, 26, 973–984. [Google Scholar] [CrossRef]
- Shang, Y.F.; Cao, H.; Ma, Y.L.; Zhang, C.; Ma, F.; Wang, C.X.; Wei, Z.J. Effect of lactic acid bacteria fermentation on tannins removal in Xuan Mugua fruits. Food Chem. 2019, 274, 118–122. [Google Scholar] [CrossRef] [PubMed]
- Zhang, L.; Hong, Q.; Yu, C.; Wang, R.; Li, C.; Liu, S. Acetobacter sp. improves the undesirable odors of fermented noni (Morinda citrifolia L.) juice. Food Chem. 2023, 401, 134126. [Google Scholar] [CrossRef] [PubMed]
- Anal, A.K. Quality Ingredients and safety concerns for traditional fermented foods and beverages from Asia: A review. Fermentation 2019, 5, 8. [Google Scholar] [CrossRef]
- Reddy, N.R.; Pierson, M.D. Reduction in antinutritional and toxic components in plant foods by fermentation. Food Res. Int. 1994, 27, 281–290. [Google Scholar] [CrossRef]
- Cao, G.; Ma, F.; Xu, J.; Zhang, Y. Microbial community succession and toxic alkaloids change during fermentation of Huafeng Dan Yaomu. Lett. Appl. Microbiol. 2020, 70, 318–325. [Google Scholar] [CrossRef]
- Li, L.; Wang, L.; Fan, W.; Jiang, Y.; Zhang, C.; Li, J.; Wu, C. The application of fermentation technology in traditional Chinese medicine: A review. Am. J. Chin. Med. 2020, 48, 899–921. [Google Scholar] [CrossRef]
- Fu, F.Q.; Xu, M.; Wei, Z.; Li, W. Biostudy on traditional Chinese medicine Massa Medicata Fermentata. ACS Omega 2020, 5, 10987–10994. [Google Scholar] [CrossRef] [PubMed]
- Zhang, H.; Gao, S.; Zhang, X.; Meng, N.; Chai, X.; Wang, Y. Fermentation characteristics and the dynamic trend of chemical components during fermentation of Massa Medicata Fermentata. Arab. J. Chem. 2022, 15, 103472. [Google Scholar] [CrossRef]
- Nayeem, N.; Asdaq, S.M.B.; Salem, H.; AHEl-Alfqy, S. Gallic acid: A promising lead molecule for drug development. J. Appl. Pharm. 2016, 8, 1000213. [Google Scholar] [CrossRef]
- Locatelli, C.; Filippin, M.F.B.; Creczynski, P.T.B. Alkyl esters of gallic acid as anticancer agents: A review. Eur. J. Med. Chem. 2013, 60, 233–239. [Google Scholar] [CrossRef] [PubMed]
- Dwibedy, P.; Dey, G.R.; Naik, D.B.; Kishore, K.; Moorthy, P.N. Pulseradiolysis studies on redox reaction of gallic acid: One electron oxidation of gallic acid by hallic acid OH adduct. Phys. Chem. Chem. Phys. 1999, 1, 1915–1918. [Google Scholar] [CrossRef]
- Saeki, K.; Yuo, A.; Isemura, M.; Abe, I.; Seki, T.; Noguchi, H. Apoptosis inducing activity of lipid derivatives of gallic acid. Biol. Pharm. Bull. 2000, 23, 1391–1394. [Google Scholar] [CrossRef]
- Karamaæ, M.; Kosiñska, A.; Pegg, R.B. Comparison of radical-scavenging activities of selected phenolic acids. Pol. J. Food Nutr. Sci. 2005, 14, 165–170. [Google Scholar]
- Kaur, S.; Michael, H.; Arora, S.; Harkonen, P.L.; Kumar, S. The in vitro cytotoxic and apoptotic activity of Triphala—An Indian herbal drug. J. Ethnopharmacol. 2005, 97, 15–20. [Google Scholar] [CrossRef]
- Leahy, J.G.; Colwell, R.R. Microbial degradation of hydrocarbons in the environment. Microbiol. Rev. 1990, 54, 305–315. [Google Scholar] [CrossRef]
- Cerniglia, C.E. Microbial transformation of aromatic hydrocarbons. In Petroleum Microbiology; Atlas, R.M., Ed.; Macmillan Publishing Co.: New York, NY, USA, 1984; pp. 99–128. [Google Scholar]
- Perry, J.J. Microbial metabolism of cyclic alkanes. In Petroleum Microbiology; Atlas, R.M., Ed.; Macmillan Publishing Co.: New York, NY, USA, 1984; pp. 61–98. [Google Scholar]
- Deschamps, A.M.; Lebeault, J.M. Production of gallic acid from tara tannin by bacterial strains. Biotechnol. Lett. 1984, 6, 237–242. [Google Scholar] [CrossRef]
- Banerjee, R.; Mukherjee, G.; Patra, K.C. Microbial transformation of tannin-rich substrate to gallic acid through co-culture method. Bioresour. Technol. 2005, 96, 949–953. [Google Scholar] [CrossRef] [PubMed]
- Mukherjee, G.; Banerjee, R. Biosynthesis of tannase and gallic acid from tannin rich substrates by Rhizopus oryzae and Aspergillus foetidus. J. Basic Microb. 2004, 44, 42–48. [Google Scholar] [CrossRef] [PubMed]
- Bajpai, B.; Patil, S. A new approach to microbial production of gallic acid. Braz. J. Microbiol. 2008, 39, 708–711. [Google Scholar] [CrossRef] [PubMed]
- Chen, X.; Zhang, G.; Gao, J.; Yan, Y.; Wei, Y.; Chen, Y. Dynamic changes of tannins during fruit development of Cornus officinalis. Acta Bot. Boreal. Occident. Sin. 2021, 41, 1834–1842. [Google Scholar]
- Song, Y.; Wang, Z.; Li, J.; Guo, T.; Wang, T.; Zhu, Y. Optimization of preparing procedure of wined Cornus officinalis fruit by overall desirability. J. Chin. Med. Mat. 2018, 41, 325–329. [Google Scholar]
- Wang, G.H.; Chen, C.Y.; Lin, C.P.; Huang, C.L.; Lin, C.H.; Cheng, C.Y.; Chung, Y.C. Tyrosinase inhibitory and antioxidant activities of three Bifidobacterium bifidum-fermented herb extracts. Ind. Crops Prod. 2016, 89, 376–382. [Google Scholar] [CrossRef]
- Liu, Y.; Xiao, Y.; Qin, Y.; Tang, S.; Huang, P.; Zhang, L. Bacillus subtilis liquid fermentation and degradation of tea saponin. Chin. J. Environ. Eng. 2016, 10, 2023–2030. [Google Scholar]
- Tian, S.; Shi, Y.; Yu, Q.; Upur, H. Determination of oleanolic acid and ursolic acid contents in Ziziphora clinopodioides Lam. by HPLC method. Pharmacogn. Mag. 2010, 6, 116–119. [Google Scholar] [CrossRef]
- Wang, H.; Provan, G.J.; Helliwell, K. Determination of hamamelitannin, catechins and gallic acid in witch hazel bark, twig and leaf by HPLC. J. Pharm. Biomed. Anal. 2003, 33, 539–544. [Google Scholar] [CrossRef]




| Bacterial Strain | Active Ingredients of COF | |||
|---|---|---|---|---|
| Ursolic Acid | Oleanolic Acid | Loganin | Gallic Acid | |
| B. subtilis | Fall | Fall | No change | Rise |
| B. bifidum | No change | No change | No change | Rise |
Disclaimer/Publisher’s Note: The statements, opinions and data contained in all publications are solely those of the individual author(s) and contributor(s) and not of MDPI and/or the editor(s). MDPI and/or the editor(s) disclaim responsibility for any injury to people or property resulting from any ideas, methods, instructions or products referred to in the content. |
© 2023 by the authors. Licensee MDPI, Basel, Switzerland. This article is an open access article distributed under the terms and conditions of the Creative Commons Attribution (CC BY) license (https://creativecommons.org/licenses/by/4.0/).
Share and Cite
Zhou, X.; Zhao, Y.; Dai, L.; Xu, G. Bacillus subtilis and Bifidobacteria bifidum Fermentation Effects on Various Active Ingredient Contents in Cornus officinalis Fruit. Molecules 2023, 28, 1032. https://doi.org/10.3390/molecules28031032
Zhou X, Zhao Y, Dai L, Xu G. Bacillus subtilis and Bifidobacteria bifidum Fermentation Effects on Various Active Ingredient Contents in Cornus officinalis Fruit. Molecules. 2023; 28(3):1032. https://doi.org/10.3390/molecules28031032
Chicago/Turabian StyleZhou, Xiuren, Yimin Zhao, Lei Dai, and Guifang Xu. 2023. "Bacillus subtilis and Bifidobacteria bifidum Fermentation Effects on Various Active Ingredient Contents in Cornus officinalis Fruit" Molecules 28, no. 3: 1032. https://doi.org/10.3390/molecules28031032
APA StyleZhou, X., Zhao, Y., Dai, L., & Xu, G. (2023). Bacillus subtilis and Bifidobacteria bifidum Fermentation Effects on Various Active Ingredient Contents in Cornus officinalis Fruit. Molecules, 28(3), 1032. https://doi.org/10.3390/molecules28031032

