Extraction of Active Compounds from Mixtures of Hemp (Cannabis sativa) with Plants of the Zingiberaceae Family
Abstract
:1. Introduction
2. Results and Discussion
2.1. Antioxidant Activity and Total Phenolic Content
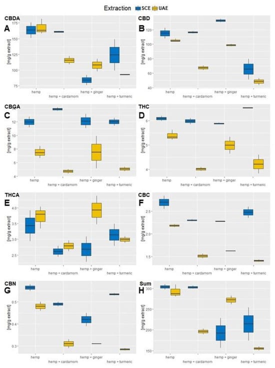
2.2. Cannabinoid Content
2.3. Other Bioactive Components
2.4. Correlation Analysis
3. Materials and Methods
3.1. Ultrasonic Assisted Extraction with Ethanol
3.2. Supercritical Fluid Extraction with Carbon Dioxide
3.3. Spectrophotometric Analyses
3.4. Determination of Antioxidant Activity
3.5. Determination of Total Phenolic Content
3.6. Chromatographic Analyses
3.7. Liquid Chromatography with Mass Spectrometry (LC-MS/MS)
3.8. Gas Chromatography with Mass Spectrometry (GC/MS)
3.9. Statistical Analysis
4. Conclusions
Supplementary Materials
Author Contributions
Funding
Institutional Review Board Statement
Informed Consent Statement
Data Availability Statement
Acknowledgments
Conflicts of Interest
Appendix A
| Material | Extraction | Antioxidants [%] | IQR AA | Total_Phenols [mg GA/g Extract] | Sd TPC |
|---|---|---|---|---|---|
| cardamom | US | 0.29 | 0.03 | 55.46 | 4.49 |
| cardamom | SCF | 2.99 | 0.33 | 43.60 | 3.00 |
| ginger | US | 43.20 | 3.02 | 224.16 | 26.23 |
| ginger | SCF | 79.17 | 4.67 | 239.35 | 25.37 |
| hemp | US | 6.64 | 0.65 | 161.11 | 6.44 |
| hemp | SCF | 6.08 | 0.18 | 155.62 | 17.74 |
| turmeric | US | 71.51 | 6.08 | 210.69 | 3.58 |
| turmeric | SCF | 6.56 | 0.49 | 108.47 | 13.02 |
| hemp + cardamom | US | 9.23 | 0.36 | 158.10 | 16.44 |
| hemp + cardamom | SCF | 5.18 | 0.75 | 111.48 | 13.04 |
| hemp + ginger | US | 29.50 | 0.18 | 235.13 | 13.64 |
| hemp + ginger | SCF | 27.00 | 0.16 | 196.51 | 12.58 |
| hemp + turmeric | US | 54.23 | 4.56 | 230.56 | 5.99 |
| hemp + turmeric | SCF | 8.23 | 0.32 | 145.46 | 21.82 |
| Material | Extraction | Mean CBDA | sd CBDA | Median CBD | iqr CBD | Mean CBGA | Sd CBGA | Mean THC | sd THC | Mean THCA | sd THCA | Mean CBC | sd CBC | Median CBN | iqr CBN | Sum of Cannabinoids | sd Cannabinoids |
|---|---|---|---|---|---|---|---|---|---|---|---|---|---|---|---|---|---|
| [mg/g extract] | |||||||||||||||||
| hemp | SCF | 163.50 | 17.42 | 115.17 | 14.62 | 11.98 | 1.11 | 6.10 | 0.15 | 3.43 | 0.69 | 2.70 | 0.21 | 0.57 | 0.04 | 303.43 | 8.85 |
| hemp | US | 167.72 | 12.01 | 104.29 | 3.32 | 7.51 | 0.89 | 5.39 | 0.21 | 3.72 | 0.35 | 2.18 | 0.03 | 0.48 | 0.03 | 292.27 | 15.27 |
| hemp + cardamom | SCF | 161.02 | 2.12 | 116.31 | 3.11 | 13.88 | 0.35 | 5.99 | 0.18 | 2.62 | 0.25 | 2.30 | 0.03 | 0.49 | 0.02 | 302.60 | 5.14 |
| hemp + cardamom | US | 115.59 | 6.67 | 67.24 | 2.95 | 4.71 | 0.32 | 4.01 | 0.08 | 2.79 | 0.17 | 1.51 | 0.02 | 0.31 | 0.04 | 196.16 | 6.73 |
| hemp + ginger | SCF | 83.99 | 11.09 | 132.53 | 4.57 | 12.11 | 1.49 | 5.89 | 0.05 | 2.68 | 0.01 | 2.28 | 0.01 | 0.42 | 0.06 | 192,43 | 50.63 |
| hemp + ginger | US | 107.83 | 14.28 | 98.70 | 2.95 | 7.54 | 3.39 | 5.00 | 0.49 | 3.93 | 0.64 | 1.63 | 0.01 | 0.31 | 0.01 | 271.99 | 14.59 |
| hemp + turmeric | SCF | 124.17 | 35.35 | 65.40 | 28.69 | 12.01 | 0.80 | 6.54 | 0,02 | 3.14 | 0.49 | 2.48 | 0.18 | 0.54 | 0.01 | 214.25 | 56.72 |
| hemp + turmeric | US | 92.96 | 0.81 | 48.30 | 2.59 | 5.05 | 0.45 | 4.22 | 0.54 | 2.99 | 0.14 | 1.41 | 0.04 | 0.29 | 0.01 | 155.19 | 6.34 |
| Material | Extraction | Mean 6-Gingerol | sd 6-Gingerol | Mean 6-Shogaol | sd 6-Shogaol |
|---|---|---|---|---|---|
| [mg/g extract] | |||||
| Ginger | SCF | 137.38 | 7.21 | 271.12 | 59.93 |
| Ginger | US | 69.51 | 7.53 | 172.25 | 8.24 |
| Hemp + Ginger | SCF | 69.98 | 6.39 | 122.9 | 5.78 |
| Hemp + Ginger | US | 48.99 | 8.7 | 67.96 | 10.25 |
| Material | Extraction | Mean 1,8-Cineole | sd 1,8-Cineole | Mean Alpha-terpinyl-Acetate | sd Alpha-terpinyl-Acetate | Mean Linalool | sd Linalool |
|---|---|---|---|---|---|---|---|
| [mg/g extract] | |||||||
| Cardamom | SCF | 2.65 | 0.06 | 485.54 | 71.82 | 10.44 | 0.4 |
| Cardamom | US | 9.74 | 0.33 | 470.42 | 24.66 | 12.23 | 0.78 |
| Hemp + Cardamom | SCF | 8.89 | 0.86 | 261.87 | 9.14 | 7.18 | 0.4 |
| Hemp + Cardamom | US | 6.57 | 0.35 | 204.21 | 34.21 | 6.58 | 0.28 |
| Material | Extraction | Mean Ar-Turmerone | Sd Ar-Turmerone |
|---|---|---|---|
| [mg/g extract] | |||
| Turmeric | SCF | 147.93 | 8.15 |
| Turmeric | US | 66.01 | 2.09 |
| Hemp + Turmeric | SCF | 50.73 | 0.52 |
| Hemp + Turmeric | US | 32.97 | 4.22 |
References
- Carreira-Casais, A.; Lourenço-Lopes, C.; Otero, P.; Rodriguez, M.C.; Pereira, A.G.; Echave, J.; Soria-Lopez, A.; Chamorro, F.; Prieto, M.A.; Simal-Gandara, J.; et al. Application of Green Extraction Techniques for Natural Additives Production; IntechOpen: London, UK, 2021; ISBN 978-1-83968-960-4. [Google Scholar] [CrossRef]
- Farinon, B.; Molinari, R.; Costantini, L.; Merendino, N. The Seed of Industrial Hemp (Cannabis sativa L.): Nutritional Quality and Potential Functionality for Human Health and Nutrition. Nutrients 2020, 12, 1935. [Google Scholar] [CrossRef] [PubMed]
- Žitek, T.; Leitgeb, M.; Golle, A.; Dariš, B.; Knez, Ž.; Knez Hrnčič, M. The Influence of Hemp Extract in Combination with Ginger on the Metabolic Activity of Metastatic Cells and Microorganisms. Molecules 2020, 25, 4992. [Google Scholar] [CrossRef] [PubMed]
- Žitek, T.; Bjelić, D.; Kotnik, P.; Golle, A.; Jurgec, S.; Potočnik, U.; Knez, Ž.; Finšgar, M.; Krajnc, I.; Krajnc, I.; et al. Natural Hemp-Ginger Extract and Its Biological and Therapeutic Efficacy. Molecules 2022, 27, 7694. [Google Scholar] [CrossRef] [PubMed]
- Ivanovic, J.; Zizovic, I.; Ristic, M.; Stamenic, M.; Skala, D. The analysis of simultaneous clove/oregano and clove/thyme supercritical extraction. J. Supercrit. Fluids 2011, 55, 983–991. [Google Scholar] [CrossRef]
- Maksimovic, S.; Kesic, Z.; Lukic, I.; Milovanovic, S.; Ristic, M.; Skala, D. Supercritical fluid extraction of curry flowers, sage leaves, and their mixture. J. Supercrit. Fluids 2013, 84, 1–12. [Google Scholar] [CrossRef]
- Pan, S.-Y.; Litscher, G.; Gao, S.-H.; Zhou, S.-F.; Yu, Z.-L.; Chen, H.-Q.; Zhang, S.-F.; Tang, M.-K.; Sun, J.-N.; Ko, K.-M. Historical Perspective of Traditional Indigenous Medical Practices: The Current Renaissance and Conservation of Herbal Resources. Evid.-Based Complement. Alternat. Med. 2014, 2014, e525340. [Google Scholar] [CrossRef] [PubMed]
- Ulrich-Merzenich, G.; Panek, D.; Zeitler, H.; Vetter, H.; Wagner, H. Drug development from natural products: Exploiting synergistic effects. Indian J. Exp. Biol. 2010, 48, 208–219. [Google Scholar] [PubMed]
- Ballester, P.; Cerdá, B.; Arcusa, R.; García-Muñoz, A.M.; Marhuenda, J.; Zafrilla, P. Antioxidant Activity in Extracts from Zingiberaceae Family: Cardamom, Turmeric, and Ginger. Molecules 2023, 28, 4024. [Google Scholar] [CrossRef]
- Alafiatayo, A.; Ahmad, S.; Mahmood, M. Total Anti-Oxidant Capacity, Flavonoid, Phenolic Acid and Polyphenol Content in Ten Selected Species of Zingiberaceae Rhizomes. Afr. J. Tradit. Complement. Altern. Med. AJTCAM Afr. Netw. Ethnomed. 2014, 11, 7–13. [Google Scholar] [CrossRef]
- Chen, I.-N.; Chang, C.-C.; Ng, C.-C.; Wang, C.-Y.; Shyu, Y.-T.; Chang, T.-L. Antioxidant and Antimicrobial Activity of Zingiberaceae Plants in Taiwan. Plant Foods Hum. Nutr. 2008, 63, 15–20. [Google Scholar] [CrossRef]
- Tarfaoui, K.; Brhadda, N.; Ziri, R.; Oubihi, A.; Imtara, H.; Haida, S.; Al Kamaly, O.M.; Saleh, A.; Parvez, M.K.; Fettach, S.; et al. Chemical Profile, Antibacterial and Antioxidant Potential of Zingiber officinale Roscoe and Elettaria cardamomum (L.) Maton Essential Oils and Extracts. Plants 2022, 11, 1487. [Google Scholar] [CrossRef] [PubMed]
- André, A.; Leupin, M.; Kneubühl, M.; Pedan, V.; Chetschik, I. Evolution of the Polyphenol and Terpene Content, Antioxidant Activity and Plant Morphology of Eight Different Fiber-Type Cultivars of Cannabis sativa L. Cultivated at Three Sowing Densities. Plants 2020, 9, 1740. [Google Scholar] [CrossRef] [PubMed]
- Khalsa, J.H.; Bunt, G.; Blum, K.; Maggirwar, S.B.; Galanter, M.; Potenza, M.N. Review: Cannabinoids as Medicinals. Curr. Addict. Rep. 2022, 9, 630–646. [Google Scholar] [CrossRef] [PubMed]
- Sholler, D.J.; Schoene, L.; Spindle, T.R. Therapeutic Efficacy of Cannabidiol (CBD): A Review of the Evidence from Clinical Trials and Human Laboratory Studies. Curr. Addict. Rep. 2020, 7, 405–412. [Google Scholar] [CrossRef] [PubMed]
- Cerino, P.; Buonerba, C.; Cannazza, G.; D’Auria, J.; Ottoni, E.; Fulgione, A.; Di Stasio, A.; Pierri, B.; Gallo, A. A Review of Hemp as Food and Nutritional Supplement. Cannabis Cannabinoid Res. 2021, 6, 19–27. [Google Scholar] [CrossRef] [PubMed]
- Arcusa, R.; Villaño, D.; Marhuenda, J.; Cano, M.; Cerdà, B.; Zafrilla, P. Potential Role of Ginger (Zingiber officinale Roscoe) in the Prevention of Neurodegenerative Diseases. Front. Nutr. 2022, 9, 809621. [Google Scholar] [CrossRef]
- Meng, F.-C.; Zhou, Y.-Q.; Ren, D.; Wang, R.; Wang, C.; Lin, L.-G.; Zhang, X.-Q.; Ye, W.-C.; Zhang, Q.-W. Chapter 10—Turmeric: A Review of Its Chemical Composition, Quality Control, Bioactivity, and Pharmaceutical Application. In Natural and Artificial Flavoring Agents and Food Dyes; Grumezescu, A.M., Holban, A.M., Eds.; Academic Press: Cambridge, MA, USA, 2018; pp. 299–350. ISBN 978-0-12-811518-3. [Google Scholar]
- Abdullah; Asghar, A.; Butt, M.S.; Shahid, M.; Huang, Q. Evaluating the antimicrobial potential of green cardamom essential oil focusing on quorum sensing inhibition of Chromobacterium violaceum. J. Food Sci. Technol. 2017, 54, 2306–2315. [Google Scholar] [CrossRef] [PubMed]
- Echeverrigaray, S.; Agostini, G.; Atti-Serfini, L.; Paroul, N.; Pauletti, G.F.; Atti dos Santos, A.C. Correlation between the Chemical and Genetic Relationships among Commercial Thyme Cultivars. J. Agric. Food Chem. 2001, 49, 4220–4223. [Google Scholar] [CrossRef]
- Zayyad, N.; Farah, A.; Bahhou, J. Chemical analysis and antibacterial activity of essential oils from three species of Thymus: Thymus zygis, T. algeriensis, and T. bleicherianus. Bull. Soc. R. Sci. Liege 2014, 83, 118–132. [Google Scholar]
- Jaafari, A.; Mouse, H.A.; Rakib, E.M.; M’barek, L.A.; Tilaoui, M.; Benbakhta, C.; Boulli, A.; Abbad, A.; Zyad, A. Chemical composition and antitumor activity of different wild varieties of Moroccan thyme. Rev. Bras. Farmacogn. 2007, 17, 477–491. [Google Scholar] [CrossRef]
- Oueslati, S.; Gharsalli, W.; Abdelkarim, M.; Ben Aissa-Fennira, F.; Ksouri, R. Biochemical evaluation and exploration of the antioxidant, antibacterial and anticancer potential of Zingiber officinale. J. New Sci. 2018, 54, 3561–3568. [Google Scholar]
- Sepahpour, S.; Selamat, J.; Abdul Manap, M.Y.; Khatib, A.; Abdull Razis, A.F. Comparative Analysis of Chemical Composition, Antioxidant Activity and Quantitative Characterization of Some Phenolic Compounds in Selected Herbs and Spices in Different Solvent Extraction Systems. Mol. J. Synth. Chem. Nat. Prod. Chem. 2018, 23, 402. [Google Scholar] [CrossRef] [PubMed]
- El-Sayed, S.; Moustafa, R.A. Effect of Combined Administration of Ginger and Cinnamon on High Fat Diet induced Hyperlipidemia in Rats. 2016. Available online: https://www.semanticscholar.org/paper/Effect-of-Combined-Administration-of-Ginger-and-on-El-Sayed-Moustafa/564d55b995c3080eb61fb29454151dac13cd0e58 (accessed on 8 June 2023).
- Jokić, S.; Jerković, I.; Pavić, V.; Aladić, K.; Molnar, M.; Kovač, M.J.; Vladimir-Knežević, S. Terpenes and Cannabinoids in Supercritical CO2 Extracts of Industrial Hemp Inflorescences: Optimization of Extraction, Antiradical and Antibacterial Activity. Pharmaceuticals 2022, 15, 1117. [Google Scholar] [CrossRef] [PubMed]
- Kitrytė, V.; Bagdonaitė, D.; Rimantas Venskutonis, P. Biorefining of industrial hemp (Cannabis sativa L.) threshing residues into cannabinoid and antioxidant fractions by supercritical carbon dioxide, pressurized liquid and enzyme-assisted extractions. Food Chem. 2018, 267, 420–429. [Google Scholar] [CrossRef] [PubMed]
- Rochfort, S.; Isbel, A.; Ezernieks, V.; Elkins, A.; Vincent, D.; Deseo, M.A.; Spangenberg, G.C. Utilisation of Design of Experiments Approach to Optimise Supercritical Fluid Extraction of Medicinal Cannabis. Sci. Rep. 2020, 10, 9124. [Google Scholar] [CrossRef] [PubMed]
- Kamaruddin, M.S.H.; Chong, G.H.; Umanan, F.; Suleiman, N. Enhancement of 6-gingerol extraction from Bentong ginger using supercritical carbon dioxide. J. CO2 Util. 2023, 72, 102505. [Google Scholar] [CrossRef]
- Ok, S.; Jeong, W.-S. Optimization of Extraction Conditions for the 6-Shogaol-rich Extract from Ginger (Zingiber officinale Roscoe). Prev. Nutr. Food Sci. 2012, 17, 166–171. [Google Scholar] [CrossRef] [PubMed]
- Paul, K.; Bhattacharjee, P. Process Optimization of Supercritical Carbon Dioxide Extraction of 1,8-Cineole from Small Cardamom Seeds by Response Surface Methodology: In Vitro Antioxidant, Antidiabetic and Hypocholesterolemic Activities of Extracts. J. Essent. Oil Bear. Plants 2018, 21, 317–329. [Google Scholar] [CrossRef]
- Morsy, N.F.S. A short extraction time of high quality hydrodistilled cardamom (Elettaria cardamomum L. Maton) essential oil using ultrasound as a pretreatment. Ind. Crops Prod. 2015, 65, 287–292. [Google Scholar] [CrossRef]
- Kongpol, K.; Sermkaew, N.; Makkliang, F.; Khongphan, S.; Chuaboon, L.; Sakdamas, A.; Sakamoto, S.; Putalun, W.; Yusakul, G. Extraction of curcuminoids and ar-turmerone from turmeric (Curcuma longa L.) using hydrophobic deep eutectic solvents (HDESs) and application as HDES-based microemulsions. Food Chem. 2022, 396, 133728. [Google Scholar] [CrossRef]
- Carvalho, P.I.N.; Osorio-Tobón, J.F.; Rostagno, M.A.; Petenate, A.J.; Meireles, M.A.A. Techno-economic evaluation of the extraction of turmeric (Curcuma longa L.) oil and ar-turmerone using supercritical carbon dioxide. J. Supercrit. Fluids 2015, 105, 44–54. [Google Scholar] [CrossRef]
- Murad, M.; Wan Mustapha, W. Total phenolic content and antioxidant activity of kesum(polygonum minus), ginger (Zingiber officinale) and tumeric (Curcuma longa)extract© All Right Reserved. Int. Food Res. J. 2010, 17, 45–53. [Google Scholar]
- Benkirane, C.; Ben Moumen, A.; Fauconnier, M.-L.; Belhaj, K.; Abid, M.; Caid, H.S.; Elamrani, A.; Mansouri, F. Bioactive compounds from hemp (Cannabis sativa L.) seeds: Optimization of phenolic antioxidant extraction using simplex lattice mixture design and HPLC-DAD/ESI-MS 2 analysis. RSC Adv. 2022, 12, 25764–25777. [Google Scholar] [CrossRef] [PubMed]
- Radwan, M.M.; Chandra, S.; Gul, S.; ElSohly, M.A. Cannabinoids, Phenolics, Terpenes and Alkaloids of Cannabis. Molecules 2021, 26, 2774. [Google Scholar] [CrossRef] [PubMed]
- Guo, J.; Wu, H.; Du, L.; Zhang, W.; Yang, J. Comparative Antioxidant Properties of Some Gingerols and Shogaols, and the Relationship of Their Contents with the Antioxidant Potencies of Fresh and Dried Ginger (Zingiber officinale Roscoe). J. Agric. Sci. Technol. 2014, 16, 1063–1072. [Google Scholar]
- Chowdhury, S.; Kumar, S. Alpha-terpinyl acetate: A natural monoterpenoid from Elettaria cardamomum as multi-target directed ligand in Alzheimer’s disease. J. Funct. Foods 2020, 68, 103892. [Google Scholar] [CrossRef]
- Fathordoobady, F.; Singh, A.; Kitts, D.D.; Pratap Singh, A. Hemp (Cannabis sativa L.) Extract: Anti-Microbial Properties, Methods of Extraction, and Potential Oral Delivery. Food Rev. Int. 2019, 35, 664–684. [Google Scholar] [CrossRef]
- Abdul Haiyee, Z.; Shah, S.; Ismail, K.; Hashim, N.; Wan Ismail, W.I. Quality parameters of Curcuma longa L. extracts by supercritical fluid extraction (SFE) and ultrasonic assisted extraction (UAE). Malays. J. Anal. Sci. 2016, 20, 626–632. [Google Scholar] [CrossRef]
- Huang, D.; Ou, B.; Prior, R.L. The Chemistry behind Antioxidant Capacity Assays. J. Agric. Food Chem. 2005, 53, 1841–1856. [Google Scholar] [CrossRef]
- Škerget, M.; Kotnik, P.; Hadolin, M.; Hraš, A.R.; Simonič, M.; Knez, Ž. Phenols, proanthocyanidins, flavones and flavonols in some plant materials and their antioxidant activities. Food Chem. 2005, 89, 191–198. [Google Scholar] [CrossRef]
- Wickham, H.; François, R.; Henry, L.; Müller, K. RStudio, Dplyr: A Grammar of Data Manipulation. 2022. Available online: https://CRAN.R-project.org/package=dplyr (accessed on 10 June 2022).
- Wickham, H.; Chang, W.; Henry, L.; Pedersen, T.L.; Takahashi, K.; Wilke, C.; Woo, K.; Yutani, H.; Dunnington, D. RStudio, ggplot2: Create Elegant Data Visualisations Using the Grammar of Graphics. 2022. Available online: https://CRAN.R-project.org/package=ggplot2 (accessed on 20 December 2022).
- Kassambara, A. ggpubr: “ggplot2” Based Publication Ready Plots. 2023. Available online: https://cran.r-project.org/web/packages/ggpubr/index.html (accessed on 20 June 2023).
- Peterson, B.G.; Carl, P.; Boudt, K.; Bennett, R.; Ulrich, J.; Zivot, E.; Cornilly, D.; Hung, E.; Lestel, M.; Balkissoon, K.; et al. PerformanceAnalytics: Econometric Tools for Performance and Risk Analysis. 2020. Available online: https://CRAN.R-project.org/package=PerformanceAnalytics (accessed on 20 December 2022).
- Garnier, S.; Ross, N.; Rudis, B.; Sciaini, M.; Camargo, A.P.; Scherer, C. Viridis: Colorblind-Friendly Color Maps for R. 2023. Available online: https://cran.r-project.org/web/packages/viridis/index.html (accessed on 21 July 2023).






Disclaimer/Publisher’s Note: The statements, opinions and data contained in all publications are solely those of the individual author(s) and contributor(s) and not of MDPI and/or the editor(s). MDPI and/or the editor(s) disclaim responsibility for any injury to people or property resulting from any ideas, methods, instructions or products referred to in the content. |
© 2023 by the authors. Licensee MDPI, Basel, Switzerland. This article is an open access article distributed under the terms and conditions of the Creative Commons Attribution (CC BY) license (https://creativecommons.org/licenses/by/4.0/).
Share and Cite
Postružnik, V.; Žitek Makoter, T.; Goričanec, D.; Kotnik, P.; Knez, Ž.; Knez Marevci, M. Extraction of Active Compounds from Mixtures of Hemp (Cannabis sativa) with Plants of the Zingiberaceae Family. Molecules 2023, 28, 7826. https://doi.org/10.3390/molecules28237826
Postružnik V, Žitek Makoter T, Goričanec D, Kotnik P, Knez Ž, Knez Marevci M. Extraction of Active Compounds from Mixtures of Hemp (Cannabis sativa) with Plants of the Zingiberaceae Family. Molecules. 2023; 28(23):7826. https://doi.org/10.3390/molecules28237826
Chicago/Turabian StylePostružnik, Vesna, Taja Žitek Makoter, Darko Goričanec, Petra Kotnik, Željko Knez, and Maša Knez Marevci. 2023. "Extraction of Active Compounds from Mixtures of Hemp (Cannabis sativa) with Plants of the Zingiberaceae Family" Molecules 28, no. 23: 7826. https://doi.org/10.3390/molecules28237826
APA StylePostružnik, V., Žitek Makoter, T., Goričanec, D., Kotnik, P., Knez, Ž., & Knez Marevci, M. (2023). Extraction of Active Compounds from Mixtures of Hemp (Cannabis sativa) with Plants of the Zingiberaceae Family. Molecules, 28(23), 7826. https://doi.org/10.3390/molecules28237826

