Abstract
This review summarizes achievements in the synthesis of 1,2-disubstituted adamantane derivatives by the construction of the tricyclic framework either by total synthesis or by ring expansion/contraction reactions of corresponding adamantane homologues. It is intended to complement reviews focusing on the preparation of 1,2-disubstituted derivatives by C–H functionalization methods.
1. Introduction
This year, we celebrate 90 years of adamantane chemistry, since the first isolation of the molecule from Hodonín crude oil and its structural elucidation at the University of Chemistry and Technology in Prague [1]. Since then, this tricyclic molecule has appeared as a building block in organic synthesis alongside other common aliphatic compounds [2]. Many reviews have already summarized original works describing its first preparation [3], industrial synthesis [4], properties [5], reactivity and functionalization [6], and applications of its derivatives in medicine [7,8,9,10,11,12], catalysis [13], material science [14,15,16,17], and other fields. Compounds with a repeating adamantane unit are sometimes called diamondoids (after the diamond crystal lattice) [18,19] and are also extracted from crude oil [20]. Diamantane can be effectively synthesized [21], while higher diamondoids such as triamantane, tetramantane, etc., are typically separated from petroleum by column chromatography [22]. As for any other alkane, the first functionalization of adamantane or its congeners is based on the oxidation of the C–H bond to a selected functional group [23]. This group then influences the second functionalization step, either electronically in non-directed reactions [24,25,26] or as a directing group in directed C–H functionalization reactions [27]. This is not the only way to access disubstituted adamantane derivatives. The adamantane skeleton can be constructed from bicyclic precursors or by ring expansion and contraction reactions from suitable starting materials, which is the topic of this review.
2. 1,2-Disubstituted Adamantane Derivatives
The adamantane skeleton is often used as a building block when steric bulk, lipophilicity, or rigidity is required [28]. Formally replacing one hydrogen atom at carbon 1 and one hydrogen atom at carbon 2 in the adamantane molecule with two substituents (the same or different) leads to the formation of compounds that are chiral [29]. To date, mostly 1,3-disubstituted achiral adamantane derivatives, utilized as rigid spacers, have been reported. The properties of chiral derivatives can then be exploited in applications where chirality plays a role, such as enantioselective catalysis [30,31,32], the synthesis of enantiopure compounds [33,34], interactions of enantiopure compounds with material [35,36] or light [37], and other physical, chemical, or biological applications [38,39,40]. The low stability of the adamant-1-ene molecule, which has a rather biradical character, does not allow the use of classical alkene chemistry for the formation of 1,2-disubstituted adamantane compounds [41,42,43]. The 1,2-substitution pattern has to be accessed in a different way, either by directed C–H functionalization reactions [27] or by the construction of an adamantane scaffold.
2.1. Synthesis of 1,2-Disubstituted Adamantane Derivatives by Total Synthesis from Acyclic, Monocyclic, or Bicyclic Starting Materials
The first construction of the adamantane molecule from acyclic starting materials, namely formaldehyde and dimethyl malonate, includes the formation of intermediate 1, which belongs to the reviewed class of compounds (Scheme 1) [3,44].
Scheme 1.
First synthesis of substituted adamantane scaffold from simple acyclic starting materials.
During the surge in adamantane chemistry in the 1960s, it became apparent that its chemical reactivity limits the access to densely substituted derivatives directly from its parent hydrocarbon and especially in the secondary bridge positions [2]. Constructing the adamantane core ‘ground-up’, starting from substituted monocyclic compounds, appeared to be a fast and promising strategy to circumvent this issue.
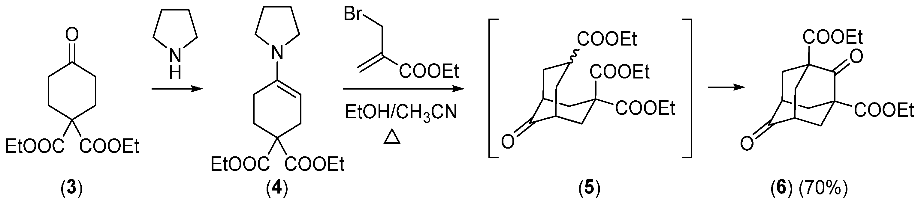
In the next published example of this approach (Scheme 2), the monocyclic compound 3 was combined with pyrrolidine to form the corresponding enamine 4. At reflux, the Michael addition of enamine 4 to 2-(bromoethyl)acrylate, followed by the regeneration of the enamine on the opposite side, avoiding allylic strain, and displacement of the bromine resulted in the formation of the bicyclic intermediate 5, which undergoes Dieckmann condensation to give the densely substituted adamantane core 6 in a 70% yield [45].
Scheme 2.
Enamine (4) condensation with ethyl 2-(bromoethyl)acrylate leads to the formation of the intermediate bicycle 5, which undergoes intramolecular condensation to give the adamantane derivative 6.
Inspired by the previous example, more syntheses were carried out, varying the monocyclic compounds, formed enamines, Michael acceptors, and conditions, to explore additional possibilities of the transformation. Extensive investigation of the reaction mechanism was carried out to rationalize the diastereoselectivity of the process (Scheme 3). Upon enamine formation from diketone 6 and pyrrolidine, the following step is proposed to be N-acylation by crotonoyl chloride. An intramolecular [3,3] sigmatropic rearrangement of intermediate 7 proceeds through a transition state whereby the formed substituent (alkylketene) has a cis-geometric relationship with the benzoyl substituent due to the attractive electronic interactions of these two groups and the steric hindrance of the R substituent. The absence of a di-one in which the carbonyl group occupies the equatorial position is in agreement with the author’s proposal. The intermediate ketene 8 reforms its enamine 9, which cyclizes to give the corresponding enolate 10, which undergoes further cyclization, forming the products 11 in yields ranging from 30 to 50% [46,47,48,49].
Scheme 3.
Condensation of enamine 7 with crotonoyl chloride leads to intermediate 10 that, upon cyclization, gives products 11.
An alternative approach is depicted in Scheme 4. Starting from the diphenol 12 at high temperatures in a sealed tube, deprotonation with tert-butoxide generates the phenoxide acting as a C-nucleophile, which effects a ring-closing attack at the cis-disposed iodomethyl group, generating the bicyclic intermediate 13. Subsequent intramolecular Michael addition of the phenolate moiety to the dienone system gives rise to the adamantane scaffold 14 in a 24% yield. The relatively low yield is attributed to the fact that the cis-isomer 12 is actually the minor component of the starting material, which is used as a mixture of isomers in a ratio of 3:1. The authors also report that the excess of base results in the isolation of intermediate 13 exclusively [50].
Scheme 4.
Base-promoted cyclization of starting material 12 gives the bicyclic intermediate 13 with a final Michael addition closing the adamantane scaffold 14.
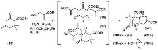
The rather facile synthesis of a densely substituted adamantane core is demonstrated in a simple one-pot reaction of di-one 15 with an excess of acrylates (or enones) and triethylamine that proceeds through a cascade of aldol, Michael, and Dieckmann condensation, giving the products 18a and 18b in high yields (Scheme 5). The yield declines when the procedure is carried out stepwise and the intermediates 16 and 17 are isolated. The reaction proved to be sensitive to the steric bulk of the acrylate (or enone) R group. With R = Ph, the reaction progresses readily at room temperature, whereas R = OCH2CH2Ph requires higher temperatures. No formation of the product was observed for R = tBuO [51].
Scheme 5.
Cascade condensation reactions of starting material 15 with various acrylates (or enones) give products 18a and 18b.
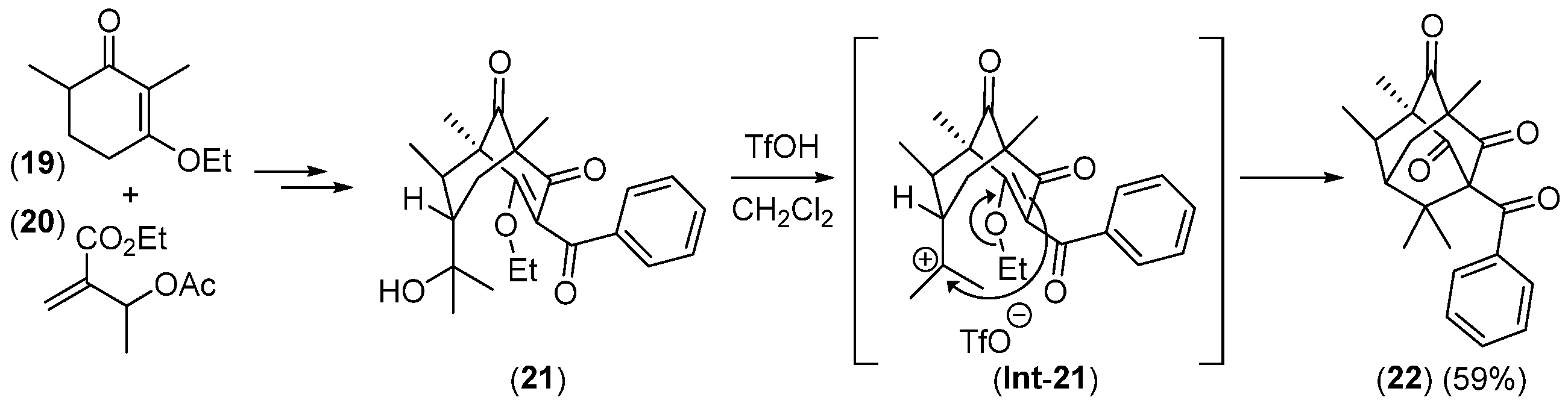
The authors of the next example (Scheme 6) started by combining the monocyclic starting material 19 and acrylate 20, which undergo a series of Michael additions, forming a bicyclic core that was further modified to compound 21. After screening various Brønsted acids and conditions, the optimal result was obtained by refluxing the bicyclic compound 21 in dichloromethane with triflic acid. The acid promoted dehydration to intermediate Int-21 and the dealkylation of the enol ether formed a carbon–carbon bond, furnishing the adamantane scaffold 22 in a 59% yield [52].
Scheme 6.
Successive Michael additions and further modifications formed the bicyclic compound 21 that undergoes acid-catalyzed cyclization to form the product 22.
A similar approach was applied in the total synthesis of Plukenetione A, a natural product containing an adamantane core (Scheme 7). A series of acid- and base-catalyzed condensation and cyclization steps of the starting material 23 and enal 24 afforded the bicyclic compound 25, which was subjected to acid-promoted cyclization between the enol ether moiety and the carbocation generated from the free hydroxyl group to form the product 26. The final metathesis step with isobutylene and a Grubbs catalyst gave the desired Plukenetione A (27) [53].
Scheme 7.
Acid-catalyzed cyclization of bicyclic compound 25 to form the adamantane core 26 followed by metathesis, which is the final step in the total synthesis of Plukenetione A (27).
2.2. Synthesis of 1,2-Disubstituted Adamantane Derivatives from Bicyclic Starting Materials
The second effective approach to 1,2-disubstituted adamantane compounds utilizes the cyclization of bicyclic precursors, namely derivatives of bicyclo[3.3.1]nonanes, which can be obtained from simple building blocks (as shown previously) or through the ring opening of readily available 1,3-disubstituted adamantane derivatives [54,55].
2.2.1. Diolefines as Precursors
Bicyclo[3.3.1]nonane-derived diolefines are a class of compounds that have been demonstrated to undergo ring closure to the adamantane scaffold. In the first example (Scheme 8), the diolefines 28 were used as a platform to study the mechanism of transannular cyclization reactions. The exposure of starting materials 28 to bromine or iodine forms a charge transfer complex 29 by attacking the less substituted methylene group, due to stereo-electronic factors, followed by synchronous cyclization to form the stable 1-adamantyl cation ion pair 30, leading to the products 31. Reactions were not carried out for preparative purposes; therefore, no yields were reported [56,57].
Scheme 8.
Reaction of diolefines 28 with bromine or iodine led to the formation of products 31.
The next example was carried out for synthetic purposes on a larger scale. The starting material 32 (Scheme 9) was readily obtained from the partially decarboxylated Meerwein’s ester 1, which was reduced to the corresponding diol 33 and subsequently protected. The exposure of 34 to bromine successfully afforded the dibromo derivative 35a as the major product in a yield of 66%. Halogenation with the mixed halogen BrF gave the product 35b in a yield of 54%. Attempts to implement a nitrogen functionality (35c) by in situ generated HN3 failed, resulting in a mixture of side products due to the reaction of the solvent with the intermediate 1-adamantyl carbocation [58].
Scheme 9.
Diolefine 34 cyclizes to form products 35a and 35b.
The nitrogen functional group was successfully introduced under Ritter conditions (Scheme 10). The starting material 36 undergoes a series of acid-catalyzed Wagner–Meerwein rearrangements of the geminal methyl groups, eliminations, and isomerizations of endo-cyclic to exo-cyclic double bonds, generating diolefine 38. Cyclization leads to the stable tertiary 1-adamantyl cation 39, which is trapped by acetonitrile with the presence of water, giving the final acetamide 40 in 70%. Under milder Ritter conditions, the reaction halted at diolefine 37, which was retrieved in a yield of 75% and could be transformed to the product 40, in agreement with the proposed mechanistic pathway [59].
Scheme 10.
Ritter reaction of diolefine 36 provides acetamide 40.
Enol ether derivatives 41a and 41b (Scheme 11) of bicyclo[3.3.1]nonanes exposed to iodine and bromine proceed through electrophilic addition to the more electron-rich π-system, triggering cyclization towards the intermediate ion pair 42 that results in products 43ab and 44ab. The transformation with iodine gave higher yields (70%) compared to the bromination products (35%) [60].
Scheme 11.
Exposure of enol ethers 41a and 41b to iodine or bromine leads to halogenated adamantanes 43ab and 44ab.
Halo-fluorination was also performed for the preparation of mixed halo-adamantane derivatives (Scheme 12). N-bromosuccinimide (NBS) provides the electrophilic bromine that triggers the cyclization of diolefines 45ab on the less substituted double bond, with a nucleophilic fluorine atom being provided by tetrabutyl ammonium dihydrogen trifluoride to trap the cationic intermediate. Bromo-fluoro compounds 46a and 46b were the major products, with side products 47a and 47b, resulting from the addition of water to the cationic intermediate; in the case of starting material 45b (R = Ph), a small amount of side product 48 occurred, resulting from the bromonium cation being formed on the R-substituted methylene group.
Scheme 12.
Halo-fluorination of 45ab gives bromo-fluoro derivatives 46ab and 47ab in CH2Cl2 and fluoro-alkyl ethers 50ab in THF.
When the reaction was carried out in tetrahydrofuran (THF) as the solvent, its participation, trapping the 1-adamantyl cation, was observed to form the intermediate oxonium ion 49 with subsequent ring opening by the nucleophilic fluoride, giving the fluoro-alkyl ethers 50ab instead. Reactions in tetrahydropyran (six-membered ether) led to the fluorinated products 46ab and 47ab, whereas oxetane (four-membered) provided a shorter ether linkage. In ethylene oxide (three-membered), the reaction gave a mixture of bromo- and fluoro-alkyl ethers in smaller yields [61].
The addition of elemental fluorine (F2) to unsaturated systems can either proceed as a radical process or has an electrophilic ionic nature (Scheme 13). Both pathways would leave a ‘footprint’ in product distributions starting from 45ab, where a radical process would favor noradamantyl derivatives, in contrast to the electrophilic ionic pathway preferring the transannular cyclization towards adamantyl cations, as predicted by computational studies [62].
Scheme 13.
Synthesis of variously substituted adamantane derivatives by elemental fluorination.
The absence of even trace amounts of noradamantane derivatives, thus strictly favoring the adamantyl cation formation, is in strong suggestion of the ionic electrophilic nature of the reaction progress. Compared to uncharged sources of electrophilic fluorine, the (non)selectivity for substituted and unsubstituted double bonds is typical for a charged electrophilic species and in sharp contrast to Selectfluor®, which strongly prefers the substituted double bonds [63]. Additions were studied at cryogenic temperatures in both nucleophilic and non-nucleophilic solvents.
Major products 58ab and 61 in the CFCl3/CHCl3 solvent system are formed due to protic acid-triggered cyclization by HF, formed from a side reaction of F2 and CHCl3. Reactions in pure CFCl3 resulted in poor yields and tarry complex mixtures of products. Side products 56ab, 57ab, 59, and 60 were the result of the electrophilic fluorine-triggered cyclization. The addition of KF provided a nucleophilic fluorine source to suppress the trapping of the cationic intermediates by side nucleophiles.
Reactions in wet acetonitrile successfully trapped the cationic intermediates, forming the corresponding acetamides 52ab and 53ab. Additional fluorination also resulted in the formation of side products 54ab and 55ab [62].
2.2.2. Ketoolefines as Precursors
Ketoolefines derived from bicyclo[3.3.1]nonanes are versatile starting materials for the building of substituted adamantane cores. The condensation of ketoolefine 62 (Scheme 14) with N-methyl hydroxylamine forms the corresponding nitrone 63. Elevated temperatures are necessary for the equilibration of E/Z nitrone configurations in order for the 1,3-dipolar cycloaddition to proceed. Ring formation afforded the annulated adamantane product 64 in a high yield (81%), which can be easily transformed through catalytic hydrogenation into its amino-alcohol. Although only the N-methyl-substituted hydroxylamine was investigated, the authors mentioned that the yields of other substrates were not much affected by the alkyl groups’ nature [64].
Scheme 14.
The 1,3-dipolar cycloaddition of nitrone 63 leads to product 64.
The ketoolefine 65 was converted into the di-one 66 (Scheme 15). The following reaction with 2-lithio-1,3-dithiane and subsequent treatment with n-BuLi gave the addition-elimination product 67. Catalytic hydrogenation under increased pressure resulted in the ring closure product 68 in a yield of 77% over two steps. Carrying out the procedure with flexible linear chain di-ones was unsuccessful. The spatial proximity of the two carbonyl groups was deemed as the key factor in the bond formation [65].
Scheme 15.
Reductive cyclization of mono ketene dithioacetal 67 gave 68 as the product.
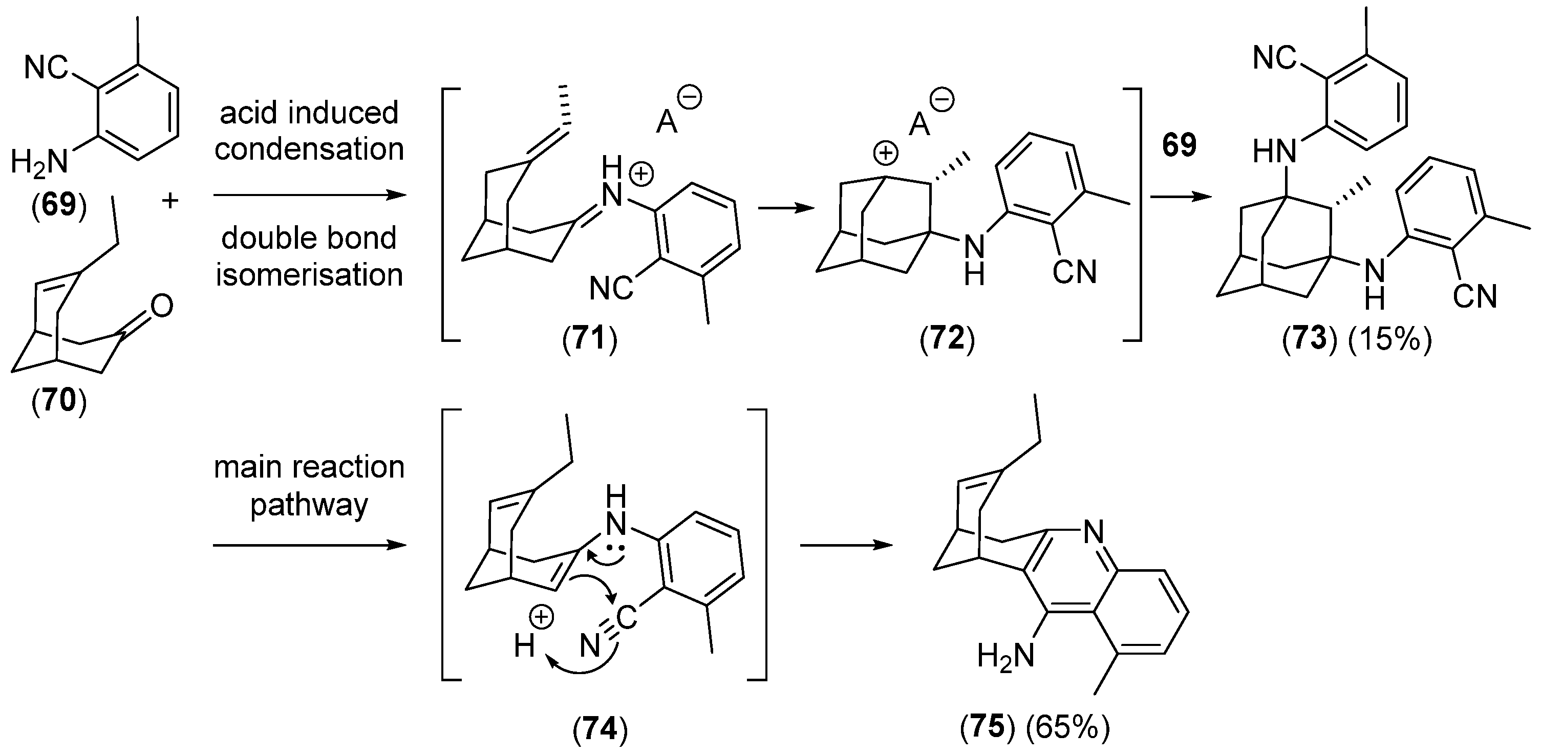
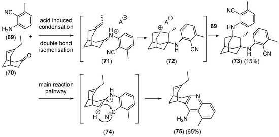
Compound 73 (Scheme 16) was obtained as a side product in a yield of 15% during the synthesis of 75. The condensation of cyanoaniline 69 with ketoolefine 70 and the acid-catalyzed isomerization of the endo- to exo-cyclic double bond gave the iminium salt 71. Transannular cyclization led to the 1-adamantyl cation intermediate 72 that was trapped by a second equivalent of cyanoaniline 69 to form the final product 73. The main reaction pathway avoids double bond isomerization and forms the enamine 74, which attacks the nitrile group. Aromatization gave a 65% yield of the major quinazoline-derived product 75 [66].
Scheme 16.
Compound 73 formed as a side product during the synthesis of 75.
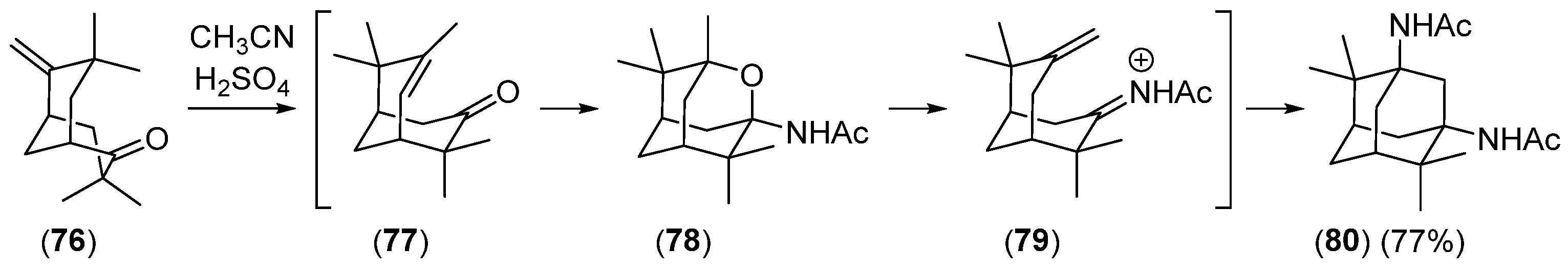
A similar example to the reaction is described in Scheme 10. When subjecting the ketoolefine 76 (Scheme 17) to Ritter conditions, it undergoes a series of Wagner–Meerwein and Meinwald rearrangements driven by the release of transannular strain to afford the intermediate 77. The acid-promoted cyclization of the double bond with the carbonyl oxygen generates a 2-oxa-1-adamantyl cation being trapped by acetonitrile that hydrolyzes to the hemiaminal 78. Cleavage of the hemiaminal and dehydration leads to the familiar bicyclic iminium salt 79, which cyclizes to the tertiary 1-adamantyl cation. The addition of acetonitrile and hydrolysis affords the final bis-acetamide 80 in a high yield of 77%. Varying the reaction times and severity of the reaction conditions, the authors were able to stop the reaction and isolate and characterize the individual intermediates (77 and 78) in moderate to good yields, gaining evidence for the proposed mechanism [67].
Scheme 17.
Ritter reaction of 76 leads to the bis-acetamide 80.
All 1,2-disubstituted adamantane derivatives are chiral. A synthetic pathway to enantiomerically pure derivatives is sought after in various applications. The common starting material 65 was converted through a series of asymmetric reactions and enantiomeric resolution steps into enantiomerically pure ketoolefines 81 and 83 (Scheme 18). Cyclization using titanium(IV) chloride retained their stereochemistry and gave both enantiomerically pure products 82 and 84 in good to high yields [68].
Scheme 18.
Synthesis of enantiomerically pure substituted adamantane derivatives 82 and 84.
Using a similar strategy (Scheme 18), ketoolefine 65 was converted into starting material 85 (Scheme 19). Simple condensation with O-benzyl-hydroxylamine gave the benzyloxime 86. Scandium(III) triflate initiated the cyclization step towards the 1-adamantyl cation that was trapped with various nucleophiles, providing products 87a–d with yields ranging from 62 to 84%. Unprotected oximes, derived from hydroxylamine, gave noticeably lower yields. Stoichiometric amounts of the Lewis acid are needed for high yields, but it is possible to carry out the reaction with catalytic amounts (20 mol%) at the expense of slightly lower yields. The final products 87a–d can be readily deprotected by hydrogen on palladized charcoal or zinc in acetic acid [69].
Scheme 19.
Lewis-promoted (or catalyzed) reaction of protected oxime 86 with various nucleophiles gives amino-adamantanes 87a–d.
2.2.3. Other Bicyclic Precursors
Apart from diolefines and ketoolefines, other bicyclo[3.3.1]nonane derivatives have been used to build adamantane scaffolds. Starting from readily available adamantan-2-one (88) (Scheme 20), the Demjanov reaction expands it to homoadamantan-2-one 89. Selenium oxide α-oxidation gives the di-one 90, which is cleaved with periodic acid to afford dicarboxylic acid 91 in a high yield over three steps. Boiling the starting material 91 with thionyl chloride results in ring closure due to the close proximity of the two carbonyl groups (94), producing the acyl chloride 95 in a near quantitative yield. Additionally, the treatment of 91 with HCl or MeLi also gave the corresponding 1,2-disubstituted products 92 and 93. The methyl ester of 91 was shown to form the methyl ester of 92 in a basic medium [70].
Scheme 20.
Di-carboxylic acid 91 can be converted to 1,2-disubstituted adamantanes 92, 93, and 95.
The di-carboxylic acid 91 from adamantan-2-one (88) was also prepared through a Lewis acid-promoted Demjanov reaction with ethyl diazoacetate (96) and subsequent cleavage with alkaline hydrogen peroxide (Scheme 21) [71]. Reacting 91 with boiling thionyl chloride gave the acyl chloride 95 in a quantitative yield. Displacement of the chloride with sodium azide formed azide 97 in a high yield. The thermal decomposition of 97 led to the Curtius rearrangement. The intermediate isocyanate was exposed to HCl to give the hydrochloride salt 98. Refluxing 98 with formamide and formic acid (Leuckart–Wallach reaction) resulted in the reductive amidation/hydrolysis product, obtaining the 1,2-diamine hydrochloride salt 99 in a high yield. The final racemic product was resolved into individual enantiomers and used for the synthesis of various chiral ligands. The power of the approach is that all steps were carried out without the necessity of column chromatography purification as the crystalline products were easily precipitated/recrystallized [29].
Scheme 21.
Multistep synthesis of 1,2-diamino adamantane (99).
Primary alcohol 101 (Scheme 22) was subjected to an acid-catalyzed sigmatropic rearrangement when refluxed in formic acid to form the adamantane derivative 102, which was further oxidized without purification using Jones reagent to ketone 103 in a 56% yield [72].
Scheme 22.
Acid-catalyzed rearrangement of primary alcohol 101 to secondary alcohol 102 with the adamantane framework, which was further oxidized to ketone 103.
As part of the study of aldol condensation transition states, the bicyclic keto-aldehyde 104 (Scheme 23) was treated with various bases in different solvents. For synthetic purposes (yield and selectivity), the best results were obtained using lithium hexamethyl disilazane (LiHMDS) in diethyl ether, with the syn keto-alcohol 106a being the major product [73].
Scheme 23.
Ring closure of 104 under basic conditions gives a mixture of syn/anti products 106ab.
2.3. Synthesis of 1,2-Disubstituted Adamantane Derivatives by Ring Expansion Reactions
Adamantane represents the bottom of a thermodynamic stability well of C10H16 hydrocarbon constitutional isomers, where all others tend to fall to under thermodynamic conditions, already apparent from its method of industrial synthesis [4,74]. Close ring-contracted derivatives, such as protoadamantane (Figure 1) [75,76] and noradamantane (Figure 2) [77,78], have a certain degree of strain and have been used as ‘spring-loaded’ compounds that rearrange to more stable adamantane, revealing carbocations during the process. These reactions have been exploited in the synthesis of 1,2-disubstituted adamantane derivatives.
Figure 1.
Protoadamantane (107).
2.3.1. The Protoadamantane Route
The reduction of protoadamantan-4-one (108) with lithium aluminum deuteride gives a mixture of endo-(109a) and exo-protoadamantan-4-ol-d4 (109b) isomers that differ in reactivity (Scheme 24) [79].
Scheme 24.
Reduction of protoadamantan-4-one (108) with LiAlD4.
The exo-isomer 109b reacts rapidly under acidic conditions to give the corresponding adamantan-2-ol-d1 (112) (Scheme 25). The antibonding orbital lobe of the C–O bond is syn-periplanar to the migrating C2–C3 bond (110) and, as a result, ionizes through strong C–C hyperconjugation to the more stable and less strained 2-adamantyl cation (111), compared to the secondary but more strained 4-protoadamantyl cation, which is trapped by water. The carbocation has a partially delocalized character [80].
Scheme 25.
Solvolysis of exo-protoadamantan-4-ol-d4 (109b).
The endo-isomer (109a) reacts much more slowly as the antibonding C–O orbital has an overlap with the C3–C8 bond, which stabilizes the leaving group through hyperconjugation during ionization (Scheme 26). The result is a more stable, degenerate, bridged (delocalized) carbonium ion 113 that is trapped by water through both endo (109a and 114a) and exo (109b and 114b) attack. The transition to adamantane occurs through ‘leakage’ to the exo-isomer (109b and 114b) that undergoes the same reaction depicted in Scheme 23 (115). This is reflected in the reaction kinetics and final product distributions, where the scrambling of the deuterium label (112a and 112b) was observed, in contrast to no scrambling during the solvolysis of the exo-isomer (112a) [80].
Scheme 26.
Solvolysis of endo-protoadamantan-4-ol-d4 (109a).
Upon the introduction of a methyl substituent to the 4-protoadamantyl position, the nature of the transition state changes. The reaction of ketone 108 with Grignard reagent (MeMgX) results in a mixture of endo-(116a) and exo-4-methyl-protoadamantan-4-ol (116b) (Scheme 27) [81].
Scheme 27.
Reaction of Grignard reagent (MeMgX) with ketone 108.
Not only is the rate of solvolysis accelerated by the methyl substituent of the exo-isomer 116b but the transition state is a fully bridged carbonium ion (117) as the strained but now third-degree 4-protoadamantyl cation and the less strained second-degree 2-adamantyl cation both have an equal contribution to its stability (Scheme 28).
Scheme 28.
Solvolysis of endo-(116a) and exo-4-methyl-protoadamantan-4-ol (116b).
The effect is also significant during the solvolysis of the endo-isomer 116a. The carbonium ion 113 in Scheme 26 no longer participates as it is not degenerate and is lower in energy. Ionization leads to the same carbonium ion 117 identical to that of the exo-isomer (117) (Scheme 28). The solvolysis of both endo- and exo-isomers leads to 1-methyl-adamantan-2-ol (118) [82].
The peculiar nature of the protoadamantane-adamantane rearrangement is further pronounced by the chirality of the bridged carbocation intermediate. Delocalized electrons occupy one side of the vacant 2-adamantyl p-orbital, forcing a nucleophilic attack to occur from the opposite side with the complete retention of enantiopurity (Scheme 29) [83].
Scheme 29.
Solvolysis of exo-alcohol 109b and endo-tosylate 120 results in retention of enantiopurity.
The first efforts to utilize protoadamantan-4-one to synthesize 1,2-disubstituted adamantane derivatives are shown in Scheme 30. Ketone 108 was reacted with Grignard reagent (MeMgI) to produce a mixture of alcohols 116 that were subjected to a standard reaction toolkit. The Ritter reaction gave the corresponding acetamide 121 in a high yield, which can be hydrolyzed to amine 122. Ethereal hydrobromic acid yielded the 2-bromo derivative 123. Jones oxidation can be carried out directly on alcohol 116 (80% yield) or on the product of aqueous hydrolysis 118 (80% yield), affording ketone 124 [81].
Scheme 30.
Preparation of various 1,2-disubstituted adamantane derivatives from alcohols 116ab.
The reaction of ketone 108 in a mixture of phosphorus tri- and penta-chloride produces a mixture of 1,2-dichloroadamantane 126 and the elimination product 127 from intermediate 125 (Scheme 31), which are easily separable by standard column chromatography on silica gel. Chloro-olefine 127 can be completely transformed to dichloride 126 in hot hydrochloric acid. A similar reaction in phosphorus tri- and penta-bromide led to 1,2-dibromo derivative 129 without the formation of an elimination product [81,84].
Scheme 31.
Reaction of ketone 108 with phosphorus tri- and penta-halides.
Ethylene acetal 130 (protected ketone 108) exposed to a boron trifluoride etherate complex in acetic anhydride generates the acylium ion that deprotects and rearranges it to the 1,2-diacetyl ester 131, which was directly reduced with lithium aluminum hydride, exposing the 1,2-diol 132 in a high yield. Jones oxidation then gives keto-alcohol 133 (Scheme 32) [84].
Scheme 32.
Conversion of protoadamant-4-one (108) to adamantane 1,2-diol 132.
A separable isomeric mixture of oxiranes 134ab can be obtained by reacting ketone 108 with dimethyl sulfonium methylide (Scheme 33) [85,86].
Scheme 33.
Reaction of ketone 108 with sulfonium methylide gives a mixture of oxiranes 134ab.
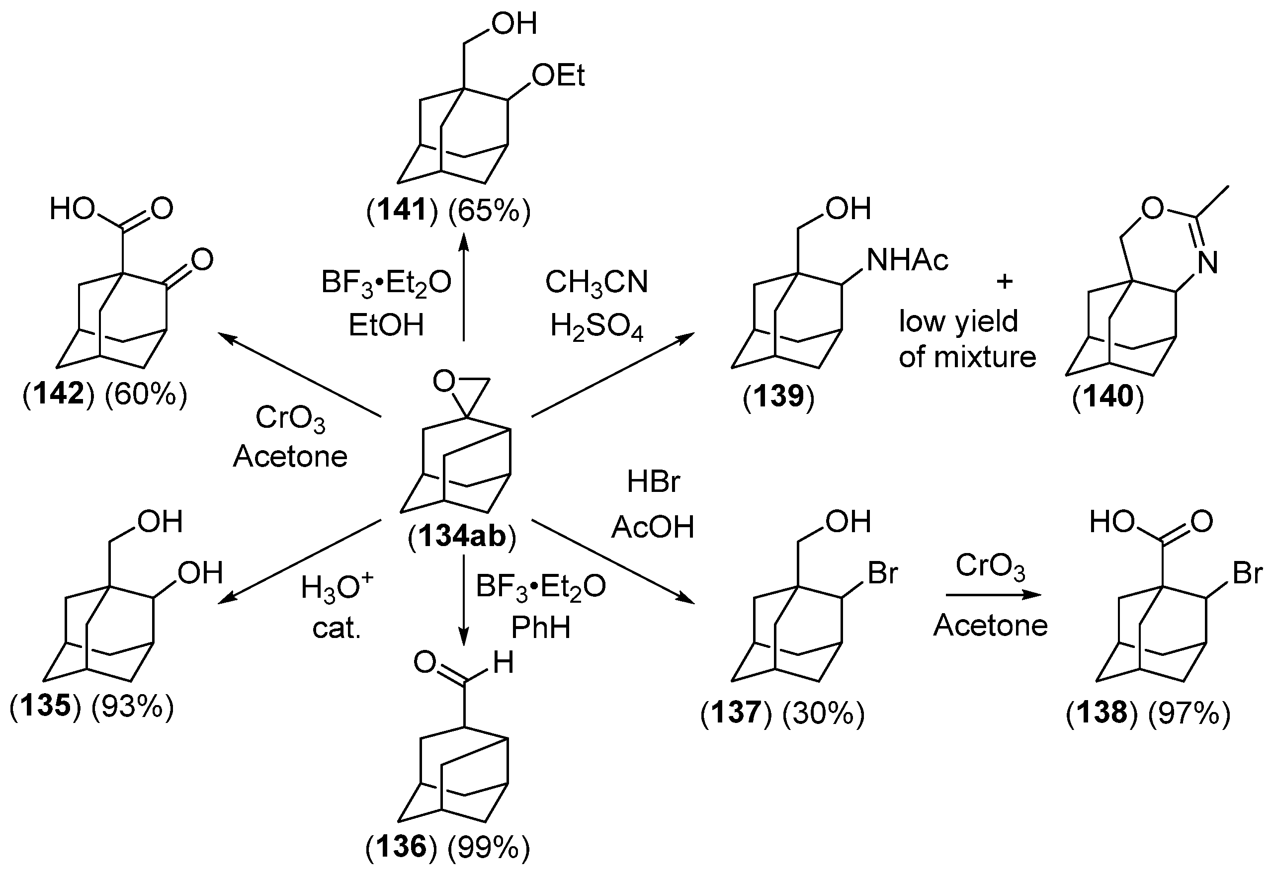
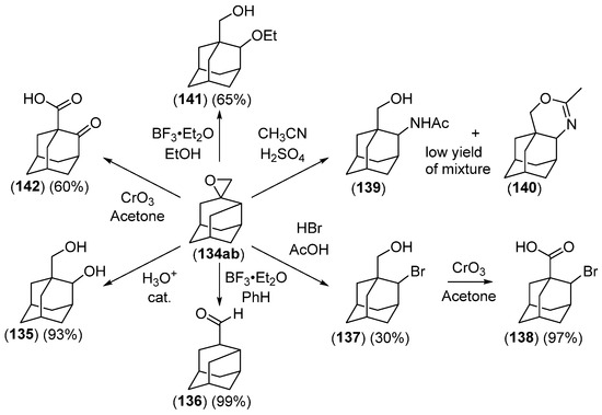
As in previous examples, the mixture of oxiranes 134ab was subjected to a standard set of reactions (Scheme 34). Catalytic amounts of mineral acids open the oxirane ring, with the carbocation being formed on the inner (more substituted) carbon atom easily rearranging to diol 135. A Lewis acid-promoted Meinwald rearrangement produced the carbaldehyde 136 instead. Anhydrous hydrobromic acid opened the oxirane to form the 2-bromo derivative 137, albeit in a lower yield, that was further oxidized with Jones reagent to 2-bromoadamantane-1-carboxylic acid 138. Ritter reaction conditions gave a complex mixture of products with only a small amount of the desired acetamide 139 accompanied by the cyclic side product 140. Lewis acid opening in ethanol as a solvent gave ethyl ether 141. Finally, Jones oxidation directly transformed oxirane 134ab to the β-keto-carboxylic acid 142 [86].
Scheme 34.
Preparation of various 1,2-disubstituted adamantane derivatives from oxirane 134ab.
The reaction of ketone 108 with phenyl magnesium bromide or phenyl lithium resulted in a mixture of alcohols 142 (Scheme 35). Attempts to obtain the rearranged alcohols 144 were rather unsuccessful at first (see Scheme 39) when performing the reaction in hot 5N HCl or acetic anhydride, giving predominantly the elimination product 143 [86].
Scheme 35.
Attempted rearrangement of alcohols 142.
Oxirane 134ab was also successfully opened under basic conditions, forming the expected amino-alcohols 145 (Scheme 36). The exposure of 145 to aqueous acids gave the corresponding rearranged adamantyl amino-alcohols 146 (X = OH), whereas anhydrous halo-acids gave the 2-halo derivatives 146 (X = Cl, Br) in good to high yields [87].
Scheme 36.
Opening of oxirane 134ab under basic conditions followed by acid-promoted rearrangement gave amino-alcohols 146.
The epoxidation of ketone 108 using dimethyl sulfoxonium methylide instead changes the product distribution of oxiranes 134ab, shifting the ratio to exo:endo = 15:1, likely due to the reagent’s bulk, favoring the kinetic exo-attack (147) over the endo-attack, being hindered by the C7 hydrogens (Scheme 37) [88].
Scheme 37.
Epoxidation of ketone 108 using sulfoxonium methylide leads to the exo-isomer 134b as the major component.
Continuing with the exo-oxirane 134b in Scheme 38, the authors prepared a large amount of 1,2-disubstituted adamantane derivatives using various methods.
Scheme 38.
Synthesis of various 1,2-disubstituted derivatives from exo-134b.
Ring opening and rearrangement were triggered by the use of aluminum halides or boron trifluoride etherate at cryogenic temperatures to gain a wide range of 2-halo-adamantylmethylene alcohols 148a–d that were further oxidized by Jones reagent to their carboxylic acid derivatives 148f–j. Carrying out the reaction in benzene with an excess of Lewis acid resulted in the formation of a 2-halo derivative that further reacted via the Friedel–Crafts reaction, giving the 2-phenyl-substituted compounds 148e and 148j. The yields reported were all above 80%.
Optimized procedures for the preparation of 2-halo-adamantanols 149a,b,d,f,g and 1,2-dihalo-adamantanes 149c,e,h,i on exposure to halo-acids at various conditions were also carried out.
The prepared 2-halo-adamantanols 149a,b,d,f,g were further reacted to prepare a variety of mixed 1,2-dihalo-adamantanes 151a–f,i,j by displacement of the 1-hydroxy group using corresponding halogen acids (dimethylaminosulfur trifluoride = DAST in the case of X = F) with yields above 60% [88].
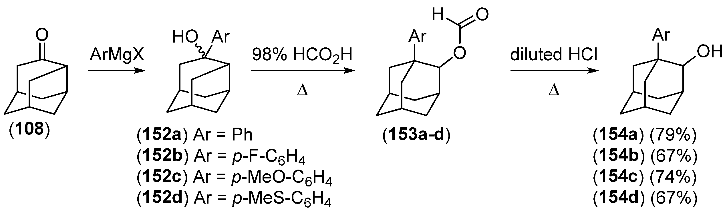
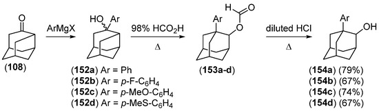
Following previously unsuccessful attempts (Scheme 35), the reaction of ketone 108 with aryl Grignard reagents gave an isomeric mixture of alcohols 152a–d that were subsequently refluxed in formic acid, rearranging to the formic esters 153a–d (Scheme 39). These were hydrolyzed in hot dilute aqueous HCl, successfully producing the desired 1-aryl-adamantan-2-ols 154a–d in good yields. Although the products were not reported, the authors claimed to have prepared 1-aryl-2-haloadamantanes in good yields when exposing the alcohols 152 to hydrogen chloride/bromide, seemingly without the issue of the elimination products that were described in Scheme 35 [89].
Scheme 39.
Preparation of 1-aryl-adamantan-2-ols 154a–d.
A Wittig reaction with ketone 108 was demonstrated to synthesize the olefine 155 (Scheme 40). Exposure to bromine rearranged the olefine 155 to the dibromide 158. The bromonium ion 156 results in positive charge development on the inner, more substituted carbon atom, triggering a fast intramolecular rearrangement to the 2-adamantyl cation 157 that is trapped by the bromide anion [90].
Scheme 40.
Wittig reaction with ketone 108 followed by bromine-initiated rearrangement of olefine 155 to form dibromide 158.
The opening of oxirane 134ab with 33% hydrobromic acid in acetic acid gave a mixture of acetyl esters 159 and 160 that were further hydrolyzed to their alcohols 161 and 162, with a finishing Appel reaction executing the oxygen-halogen exchange, producing mixed dihalo compounds 163 and 164 (Scheme 41) [90,91].
Scheme 41.
Preparation of mixed 2-halo-1-halomethylene adamantanes 163 and 164.
The prepared 2-halo-1-halomethylene adamantanes 158, 163, and 164 (Scheme 40 and Scheme 41) were used for the optimization of the reaction conditions for the synthesis of highly strained and reactive 1,2-methanoadamantane 165 using Wurtz coupling (Scheme 42). The cyclopropyl ring of 165 possesses a twisted σ-bond, making it extremely reactive towards weak acids (water, methanol), leading to expansion to homoadamantane, but it is inert towards bases. The compound was purified by vacuum distillation and its structure was determined using spectroscopic analyses. The best results were obtained with starting material 164, metallic sodium in toluene at reflux. Product distributions were heavily dependent on the solvents used. Alkyl lithium reagents failed to generate cyclopropane 165 through trans-halogenation [90,91].
Scheme 42.
Preparation of 1,2-methanoadamantane 165 using Wurtz coupling.
Epoxy ketone derivative 168 of the ketoolefine 65 (Scheme 15) was reacted with Grignard reagent to produce the 4-alkyl-4-hydroxyprotoadamantan-1-ols 171ab in high yields (Scheme 43). Using equimolar amounts of the Grignard reagents resulted in the enolization of ketone 168, followed by transannular cyclization (169) opening the epoxide from the less hindered side (basic conditions), forming the protoadamantane cage 170. Upon aqueous work-up, the corresponding keto-alcohol 172 was obtained. Using an excess of the Grignard reagent leads to the further addition to keto-alcohol 172, giving isomeric mixtures of endo- and exo-diols 171ab. Transmetalation of the Grignard reagent to CeCl3 gave oxaadamantane derivatives (oxygen atom embedded in the adamantane framework). The cyclization of starting material 168 was first demonstrated using potassium tert-butoxide as a base [54]. The prepared racemic diol 171a was rearranged with perchloric acid in hot aqueous dioxane to afford the racemic 1,3,4-trisubstituted adamantane diol 173 in 80% [92].
Scheme 43.
Synthesis of bridgehead substituted protoadamantyl derivatives 171ab and 172. Rearrangement of diol 171a to 1,3,4-trisubstituted adamantane 173.
A study to probe the difference in reactivity of zwitterionic m-quinone methides, generated by photo-induced excited-state proton transfer (ESPT), and carbocations generated thermally in acidic media was carried out (Scheme 44). Ketone 108 was reacted with an aryl Grignard reagent, followed by cleavage of the methyl ether with sodium thiolate to give aryl alcohols 174ab, which were separated by column chromatography into individual isomers. The exo-isomer 174a was exposed to sulfuric acid in different solvent systems, which impacted the product distribution of the rearranged diol 175, the rearranged substitution products 176ab, and the elimination product 177. The reaction carried out in 3:1 MeOH:H2O produced the diol 175 as the major product, followed by the methoxy adamantane 176a, with small amounts of elimination product 177. In 2:1 CH3CN:H2O, the Ritter reaction produced the acetamide 176b as the major product in 30%, with the alcohol 175 and elimination product 177 in similar quantities.
Scheme 44.
Solvolysis and photolysis of diol 174a.
Photolysis in methanol (254 nm) gave the unrearranged substitution product 180 as the major component (52%) and 12% of elimination product 177 without rearranged products (Scheme 42). The zwitterion 178 stabilizes the positive charge of the benzylic cation through conjugation with the phenoxide anion, diminishing its carbonium (bridged) character typical for the protoadamantyl systems, prohibiting the rearrangement to adamantane, leading to substitution products instead. The protonated phenol species during solvolysis still maintains its delocalized character, giving rearranged products [93].
The inability of adamantane di-one 182 to undergo further bridgehead oxidation prompted the authors to find an alternative procedure to their desired compound (Scheme 45). Through bromination, isomerization, and halogen-oxygen exchange with silver salts, the di-one 182 was converted into the protoadamantyl di-one 183 in four steps. A boron trifluoride etherate complex in acetic anhydride at a low temperature led to the acylative opening of the protoadamantane di-one 183 and afforded the diacetate 184 (the triol precursor) in a 55% yield [94].
Scheme 45.
Transformation of di-one 182 to compound 184.
The most recent application of the protoadamantane-adamantane rearrangement was demonstrated in the synthesis of 1,2-annulated adamantane arenes (Scheme 46). Ortho-lithiated biphenyl, formed from its bromide through lithium-halogen exchange, was combined with ketone 108 to give an isomeric mixture of alcohols 185 that were slightly air-unstable and carried to the next step without purification. Reflux in 1,2-dichloroethane with trifluoroacetic acid formed the bridged cation 186 followed by Friedel–Crafts alkylation to the 2-adamantyl position, giving the adamantane annulated biphenyl 187 in 57% over two steps. Sulfuric acid and BF3·Et2O were ineffective. The authors managed to showcase their method with a number of various polyaromatic compounds, including heterocycles and halogenated arenes. The motivation behind the work was the synthesis of peripherally modified tunable arenes with improved physical and chemical properties as new materials [95].
Scheme 46.
Synthesis of 1,2-annulated adamantane arene 187; using the same approach, various annulated arenes and heterocycles were synthesized.
The appearance of adamantane, namely adamantyl amines, in the field of medicinal chemistry began during the growth of its chemistry in the 1960s with the success of simple 1-aminoadamantane (Amantadine) used as an antiviral agent against Influenza A and greatly reducing the effects of Parkinson’s disease. Since then, a myriad of adamantane-containing drug molecules with various therapeutic targets have emerged, with more being developed [7].
The protoadamantane-adamantane rearrangement is one of the key transformations employed in the synthesis of 1,2-disubstituted adamantyl amines. Many authors have conducted extensive work describing a plethora of examples of connectivity between ketone 108 and various nucleophiles (Scheme 47), followed by the rearrangement to adamantane and further syntheses to their target compounds, to analyze their biological activities [76,96,97,98,99,100,101,102]. For compounds, see 189a,e [76]; 189b,d,g [99]; 189c [98]; 189f [96] (Scheme 47).
Scheme 47.
Synthesis of biologically active compounds through the protoadamantane-adamantane rearrangement starting from ketone 108 reacted with various nucleophiles.
2.3.2. The Noradamantane Route
In parallel with studies on protoadamantane derivatives, the rearrangement of noradamantane to adamantane has been described [103]. Solvolytic studies of the neopentyl-like tosyl ester 191 have pointed out the rapidity of the process, being 17,000 times faster compared to that of neopentyl tosylate itself (Scheme 48) [104]. The driving force is the release of the strain and rearrangement to the highly stable 1-adamantyl cation 193 [105]. It is worth noting that hydride shifts between positions (carbons) 1 and 2 are prohibited due to geometric constraints [106]. If the migration of a substituent from position 2 to 1 occurs, then it proceeds through a series of intramolecular C–C bond rearrangements [107].
Scheme 48.
Mechanism of the noradamantane-adamantane rearrangement.
Figure 2.
Noradamantane (190).
As was the case with protoadamantane, the rearrangement proceeds through a highly delocalized transition state 192 with the strong hyperconjugation of the migrating C3–C7 bond to the antibonding orbital of the leaving group during ionization. In other words, the rearrangement has a strong SN2 character. An increase in the size of the α-substituent (195abc) retards the rate of rearrangement by steric hindrance of the approaching C3–C7 bond with protoadamantyl side products 199, resulting from the migration of the C2–C3 bond instead (Scheme 48 and Scheme 49) [105].
Scheme 49.
Diazo compound 200 rearranges through the migration of the C2–C3 bond, forming 204 as the major product.
Under kinetic control with adamantane as the α-substituent (Scheme 49), a set of conditions that favored the migration of the C2–C3 bond were found. The diazo compound 200 generates the carbocation 202 upon the loss of nitrogen and rearranges through the unhindered C2–C3 bond to the 3-protoadamantyl cation 203. The protoadamantyl product 204 was formed as the major component, with the adamantyl derivative 205 as the minor one [108].
The noradamantane-adamantane expansion was utilized in the synthesis of spirocompounds 208 and 209 (Scheme 50). The exposure of alcohol 206 to perchloric acid in hot aqueous acetone gave the rearranged 1-hydroxy[1]diadamantane 208 in a 65% yield. Oxygen-bromine exchange with phosphorus tribromide in anhydrous benzene provided the bromide 209 in a quantitative yield [109].
Scheme 50.
Acid-promoted rearrangement of alcohol 206 to 1-hydroxy[1]diadamantane 208.
As part of the substrate scope for the ring expansion of polycyclic hydrocarbons from their carbaldehydes to expanded diols, the noradamantyl carbaldehyde 210 (Scheme 51) was added to a solution containing an in situ generated phenyl acylium ion (211) that promoted the ring expansion to intermediate 212, which was quenched by an aqueous work-up to give benzoyl ester 213 (68%). Basic hydrolysis released the 1,2-adamantane diol 132 (74%) [110].
Scheme 51.
Ring expansion of carbaldehyde 210 to benzoyl ester 213 followed by hydrolysis to diol 132.
The addition of tetrabutylammonium iodide to the acylative ring expansion of carbaldehyde 210 trapped the intermediate carbocation 212 with iodide, forming the iodo-ester 214 (70%) (Scheme 52). Lithium aluminum hydride reduction of the ester gave alcohol 215 (80%) [111].
Scheme 52.
Ring expansion of carbaldehyde 210 with addition of Bu4N+I− forms iodo-ester 214.
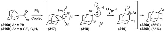
Ring expansion of the noradamantyl phenones 216ab was achieved by their addition to a solution of red phosphorus and iodine (PI3) (Scheme 53). After the addition of phosphorus to the carbonyl oxygen, the oxonium ion 217 triggers rearrangement with the released iodide trapping the 1-adamantyl cation 218. The formation of the second phosphorus-oxygen bond drives the C–O bond cleavage, forming a stable benzylic carbocation 219 that is trapped by a second iodide to give the diiodo derivatives 220ab [112].
Scheme 53.
Phosphorus promoted rearrangement of phenones 216ab to diiodides 220ab.
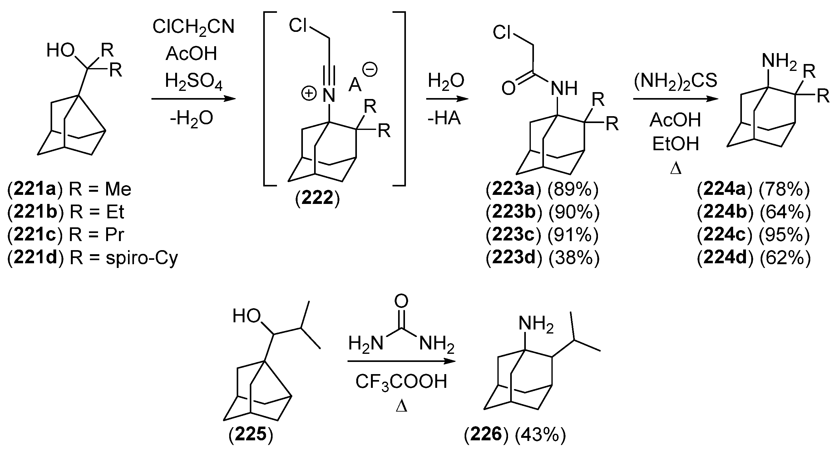
Similarly to protoadamantane, the noradamantane-adamantane rearrangement can be utilized in the synthesis of 1,2-disubstituted adamantyl amines to combat the Influenza A virus (Scheme 54). A variety of alkyl-substituted (3-noradamantyl)methylene alcohols 221a–d were subjected to the Ritter reaction, opting for chloroacetonitrile for ease of the following hydrolysis step. The formed 1-adamantyl carbocation was trapped with chloroacetonitrile (222) with the addition of water, giving the corresponding acetamides 223a–d in high yields, which were hydrolyzed with thiourea and acetic acid, releasing the free amines 224a–d.
Scheme 54.
Ritter reaction of alcohols 221a–d followed by hydrolysis produced amines 224a–d.
Additionally, the authors managed to prepare amine 226 in a one-pot procedure by refluxing alcohol 225 in trifluoroacetic acid with an excess of urea. However, the yields were reportedly lower than the combined yields of the general two-step procedure [113].
During the work with cyclobutane derivative 227 (Scheme 55), the authors carried out computational and experimental studies on its thermolysis for future research. Short reaction times at high temperatures in vacuum gave the ring-opened diene 228. Longer exposure gave a mixture of products with adamantane scaffolds 229, 230 and proposed 231. Upon mechanistic investigation, thermolysis was carried out in the presence of iodine to trap potential radical intermediates. Upon lowering the temperature, the diiodide 232 was formed as the major product. The preparation of diiodide 232 for synthetic purposes was performed by heating cyclobutane 227 with iodine in dichloromethane under reflux [114].
Scheme 55.
Thermolysis and iodination of cyclobutane derivative 227.
The last example (Scheme 56) links the nucleophilic noradamantane-adamantane rearrangement to an intramolecular electrophilic aromatic substitution reaction (Friedel–Crafts reaction with the 1-adamantyl cationic intermediate as an electrophile) to prepare 1,2-annulated aza-heterocyclic adamantane derivatives. The starting materials 233 used were prepared by condensation of the noradamantyl carbaldehyde 210 with anilines, benzyl amines, and phenylethyl amines. Reaction with triflic acid in 1,2-dichlorobenzene at 140 °C initially forms the iminium salt 234. The presence of triflic acid in excess traps the intermediate 236 of the reversible rearrangement by protonating the amine, disabling its return to the more stable iminium salt 234. The non-nucleophilic anion-stabilized 1-adamantyl cation 236 is captured by intramolecular Friedel–Crafts alkylation with the aryl moiety, giving the annulated products 237. The authors successfully applied the method, creating five-, six-, and seven-membered rings with variously substituted aryls and alkyl substituted adamantanes. Intermolecular Friedel–Crafts reactions were also demonstrated when using the arenes as a solvent or in high excess.
Scheme 56.
Synthesis of 1,2-annulated aza-heterocyclic diamondoid derivatives 237. Using the same approach, various 5-, 6-, and 7-membered annulated heterocycles were prepared.
Although the process is catalytic, full conversion was achieved with two equivalents of acid. Weaker Bronsted acids, such as HCl or CF3COOH, and Lewis acids (Cu(OTf)2) did not trigger the reaction. Lowering the temperature decreased the yield significantly, with no reaction being observed at 80 °C due to the low solubility of TfOH in 1,2-dichlorobenzene [115].
3. Conclusions
Progress in chemistry is often based on the availability of simple building blocks, which can be used directly for further purposes. The 1,2-disubstituted adamantane compounds are such a class of compounds. The synthesis of these derivatives relies either on C–H functionalization methods or the construction of the cage framework. We hope that this review will inspire future researchers to find new methods that can be applied for the synthesis of adamantane derivatives or bridged cycloalkanes in general.
Author Contributions
Both authors M.T. and R.H. have read and agreed to the published version of the manuscript. All authors have read and agreed to the published version of the manuscript.
Funding
This research received no external funding.
Data Availability Statement
Not applicable.
Acknowledgments
We thank Pavel Kočovský for manuscript proofreading.
Conflicts of Interest
The authors declare no conflict of interest.
References
- Landa, S.; Macháček, V. Sur l’adamantane, Nouvel Hydrocarbure Extrait du Naphte. Collect. Czech. Chem. Commun. 1933, 5, 1–5. [Google Scholar] [CrossRef]
- Fort, R.C.; Schleyer, P.v.R. Adamantane: Consequences of the Diamondoid Structure. Chem. Rev. 1964, 64, 277–300. [Google Scholar] [CrossRef]
- Prelog, V.; Seiwerth, R. Über die Synthese des Adamantans. Ber. Dtsch. Chem. Ges. 1941, 74, 1644–1648. [Google Scholar] [CrossRef]
- Schleyer, P.v.R. A Simple Preparation of Adamantane. J. Am. Chem. Soc. 1957, 79, 3292. [Google Scholar] [CrossRef]
- Červinka, O.; Fábryová, A.; Hájíček, J. Absolute Configuration of (S)-(+)-3-Ethyl-5-methyladamantane-1-carboxylic Acid and (S)-(+)-1-Amino-3-ethyl-5-methyladamantane. Collect. Czech. Chem. Commun. 1974, 39, 1582–1588. [Google Scholar] [CrossRef]
- Fokin, A.A.; Schreiner, P.R. Chapter 12—Selective Alkane CH Bond Substitutions: Strategies for the Preparation of Functionalized Diamondoids (Nanodiamonds). In Strategies and Tactics in Organic Synthesis; Harmata, M., Ed.; Academic Press: Cambridge, MA, USA, 2012; Volume 8, pp. 317–350. [Google Scholar] [CrossRef]
- Wanka, L.; Iqbal, K.; Schreiner, P.R. The Lipophilic Bulslet Hits the Targets: Medicinal Chemistry of Adamantane Derivatives. Chem. Rev. 2013, 113, 3516–3604. [Google Scholar] [CrossRef] [PubMed]
- Liu, J.; Obando, D.; Liao, V.; Lifa, T.; Codd, R. The Many Faces of the Adamantyl Group in Drug Design. Eur. J. Med. Chem. 2011, 46, 1949–1963. [Google Scholar] [CrossRef]
- De Clercq, E. Antiviral Agents Active against Influenza A Viruses. Nat. Rev. Drug Discov. 2006, 5, 1015–1025. [Google Scholar] [CrossRef]
- Stockdale, T.P.; Williams, C.M. Pharmaceuticals That Contain Polycyclic Hydrocarbon Scaffolds. Chem. Soc. Rev. 2015, 44, 7737–7763. [Google Scholar] [CrossRef]
- Spilovska, K.; Zemek, F.; Korabecny, J.; Nepovimova, E.; Soukup, O.; Windisch, M.; Kuca, K. Adamantane—A Lead Structure for Drugs in Clinical Practice. Curr. Med. Chem. 2016, 23, 3245–3266. [Google Scholar] [CrossRef]
- Štimac, A.; Šekutor, M.; Mlinarić-Majerski, K.; Frkanec, L.; Frkanec, R. Adamantane in Drug Delivery Systems and Surface Recognition. Molecules 2017, 22, 297. [Google Scholar] [CrossRef] [PubMed]
- Agnew-Francis, K.A.; Williams, C.M. Catalysts Containing the Adamantane Scaffold. Adv. Synth. Catal. 2016, 358, 675–700. [Google Scholar] [CrossRef]
- Muller, T.; Bräse, S. Tetrahedral Organic Molecules as Components in Supramolecular Architectures and in Covalent Assemblies, Networks and Polymers. RSC Adv. 2014, 4, 6886–6907. [Google Scholar] [CrossRef]
- Nasrallah, H.; Hierso, J.-C. Porous Materials Based on 3-Dimensional Td-Directing Functionalized Adamantane Scaffolds and Applied as Recyclable Catalysts. Chem. Mater. 2019, 31, 619–642. [Google Scholar] [CrossRef]
- Liangjun, L.; Deng, J.; Guo, J.; Yue, H. Synthesis and Properties of Microporous Organic Polymers Based on Adamantane. Prog. Chem. 2020, 32, 190–203. [Google Scholar] [CrossRef]
- Mohamadhoseini, M.; Mohamadnia, Z. Supramolecular Self-Healing Materials via Host-Guest Strategy between Cyclodextrin and Specific Types of Guest Molecules. Coord. Chem. Rev. 2021, 432, 213711. [Google Scholar] [CrossRef]
- Gunawan, M.A.; Hierso, J.-C.; Poinsot, D.; Fokin, A.A.; Fokina, N.A.; Tkachenko, B.A.; Schreiner, P.R. Diamondoids: Functionalization and Subsequent Applications of Perfectly Defined Molecular Cage Hydrocarbons. New J. Chem. 2013, 38, 28–41. [Google Scholar] [CrossRef]
- Yeung, K.-W.; Dong, Y.; Chen, L.; Tang, C.-Y.; Law, W.-C.; Tsui, G.C.-P. Nanotechnology of Diamondoids for the Fabrication of Nanostructured Systems. Nanotechnol. Rev. 2020, 9, 650–669. [Google Scholar] [CrossRef]
- de Araujo, P.L.B.; Mansoori, G.A.; de Araujo, E.S. Diamondoids: Occurrence in Fossil Fuels, Applications in Petroleum Exploration and Fouling in Petroleum Production. A Review Paper. Int. J. Oil Gas Coal Technol. 2012, 5, 316–367. [Google Scholar] [CrossRef]
- Gund, T.; Thielecke, W.; Schleyer, P.v.R. Diamantane: Pentacyclo [7.3. 1.14, 12. 02, 7. 06, 11] Tetradecane (3, 5, 1, 7-[1, 2, 3, 4]-Butanetetraylnaphthalene, Decahydro). Org. Synth. 1973, 53, 30–34. [Google Scholar]
- Schwertfeger, H.; Fokin, A.A.; Schreiner, P.R. Diamonds Are a Chemist’s Best Friend: Diamondoid Chemistry Beyond Adamantane. Angew. Chem. Int. Ed. 2008, 47, 1022–1036. [Google Scholar] [CrossRef] [PubMed]
- Grover, N.; Senge, M.O. Synthetic Advances in the C–H Activation of Rigid Scaffold Molecules. Synthesis 2020, 52, 3295–3325. [Google Scholar] [CrossRef]
- Fokin, A.A.; Schreiner, P.R. Metal-Free, Selective Alkane Functionalizations. Adv. Synth. Catal. 2003, 345, 1035–1052. [Google Scholar] [CrossRef]
- Weigel, W.K.; Dang, H.T.; Feceu, A.; Martin, D.B.C. Direct Radical Functionalization Methods to Access Substituted Adamantanes and Diamondoids. Org. Biomol. Chem. 2022, 20, 10–36. [Google Scholar] [CrossRef] [PubMed]
- Bagrii, E.I.; Nekhaev, A.I.; Maksimov, A.L. Oxidative Functionalization of Adamantanes (Review). Pet. Chem. 2017, 57, 183–197. [Google Scholar] [CrossRef]
- Hrdina, R. Directed C–H Functionalization of the Adamantane Framework. Synthesis 2019, 51, 629–642. [Google Scholar] [CrossRef]
- Zhou, Y.; Brittain, A.D.; Kong, D.; Xiao, M.; Meng, Y.; Sun, L. Derivatization of Diamondoids for Functional Applications. J. Mater. Chem. C 2015, 3, 6947–6961. [Google Scholar] [CrossRef]
- Man’kova, P.A.; Shiryaev, V.A.; Shmel’kova, Y.D.; Moiseev, A.V.; Reznikov, A.N.; Klimochkin, Y.N. Synthesis of 1,2-Diaminoadamantane and Chiral Ligands Derived from It. Russ. Chem. Bull. 2023, 72, 1791–1801. [Google Scholar] [CrossRef]
- Müller, C.E.; Wanka, L.; Jewell, K.; Schreiner, P.R. Enantioselective Kinetic Resolution of Trans-Cycloalkane-1,2-Diols. Angew. Chem. Int. Ed. 2008, 47, 6180–6183. [Google Scholar] [CrossRef]
- Hrdina, R.; Müller, C.E.; Schreiner, P.R. Kinetic Resolution of Trans-Cycloalkane-1,2-Diols via Steglich Esterification. Chem. Commun. 2010, 46, 2689–2690. [Google Scholar] [CrossRef]
- Berndt, J.-P.; Radchenko, Y.; Becker, J.; Logemann, C.; Bhandari, D.R.; Hrdina, R.; Schreiner, P.R. Site-Selective Nitrenoid Insertions Utilizing Postfunctionalized Bifunctional Rhodium(II) Catalysts. Chem. Sci. 2019, 10, 3324–3329. [Google Scholar] [CrossRef] [PubMed]
- Hrdina, R.; Larrosa, M.; Logemann, C. Triflic Acid Promoted Decarboxylation of Adamantane-Oxazolidine-2-One: Access to Chiral Amines and Heterocycles. J. Org. Chem. 2017, 82, 4891–4899. [Google Scholar] [CrossRef] [PubMed]
- Yasue, R.; Yoshida, K. Enantioselective Desymmetrization of 1,3-Disubstituted Adamantane Derivatives via Rhodium-Catalyzed C−H Bond Amination: Access to Optically Active Amino Acids Containing Adamantane Core. Adv. Synth. Catal. 2021, 363, 1662–1671. [Google Scholar] [CrossRef]
- Wen, Q.; di Gregorio, M.C.; Shimon, L.J.W.; Pinkas, I.; Malik, N.; Kossoy, A.; Alexandrov, E.V.; Proserpio, D.M.; Lahav, M.; van der Boom, M.E. Chiral Motifs in Highly Interpenetrated Metal–Organic Frameworks Formed from Achiral Tetrahedral Ligands. Chem. Eur. J. 2022, 28, e202201108. [Google Scholar] [CrossRef]
- Ou, G.-C.; Chen, H.-Y.; Wang, Q.; Zhou, Q.; Zeng, F. Structure and Absolute Configuration of Liquid Molecules Based on Adamantane Derivative Cocrystallization. RSC Adv. 2022, 12, 6459–6462. [Google Scholar] [CrossRef]
- Yang, C.; Chen, W.; Zhu, X.; Song, X.; Liu, M. Self-Assembly and Circularly Polarized Luminescence from Achiral Pyrene-Adamantane Conjugates by Selective Inclusion with Cyclodextrins. J. Phys. Chem. Lett. 2021, 12, 7491–7496. [Google Scholar] [CrossRef]
- Müller, J.; Kirschner, R.A.; Berndt, J.-P.; Wulsdorf, T.; Metz, A.; Hrdina, R.; Schreiner, P.R.; Geyer, A.; Klebe, G. Diamondoid Amino Acid-Based Peptide Kinase A Inhibitor Analogues. ChemMedChem 2019, 14, 663–672. [Google Scholar] [CrossRef] [PubMed]
- Hrdina, R.; Metz, F.M.; Larrosa, M.; Berndt, J.-P.; Zhygadlo, Y.Y.; Becker, S.; Becker, J. Intramolecular C–H Amination Reaction Provides Direct Access to 1,2-Disubstituted Diamondoids. Eur. J. Org. Chem. 2015, 2015, 6231–6236. [Google Scholar] [CrossRef]
- Weigel, W.K.; Dang, H.T.; Yang, H.-B.; Martin, D.B.C. Synthesis of Amino-Diamondoid Pharmacophores via Photocatalytic C–H Aminoalkylation. Chem. Commun. 2020, 56, 9699–9702. [Google Scholar] [CrossRef]
- Martella, D.J.; Jones, M., Jr.; Schleyer, P.V.R. Adamantene by Ring Enlargement of 3-Noradamantylcarbene. J. Am. Chem. Soc. 1978, 100, 2896–2897. [Google Scholar] [CrossRef]
- Conlin, R.T.; Miller, R.D.; Michl, J. Adamantene. J. Am. Chem. Soc. 1979, 101, 7637–7638. [Google Scholar] [CrossRef]
- Bian, N.; Jones, M. More on Adamantene. J. Am. Chem. Soc. 1995, 117, 8957–8961. [Google Scholar] [CrossRef]
- Prelog, V.; Seiwerth, R. Über eine Neue, Ergiebigere Darstellung des Adamantans. Ber. Dtsch. Chem. Ges. 1941, 74, 1769–1772. [Google Scholar] [CrossRef]
- Stetter, H.; Thomas, H.G. A New Synthesis of the Adamantane Ring System. Angew. Chem. Int. Ed. 1967, 6, 554–555. [Google Scholar] [CrossRef]
- Hickmott, P.W.; Suschitzky, H.; Urbani, R. Enamine Chemistry. Part XVIII. Reaction of Crotonoyl and Methacryloyl Chlorides with Dialkyl 4-(pyrrolidin-1-yl)cyclohex-3-ene-1,1-dicarboxylates. One-Step Synthesis of Adamantanes. J. Chem. Soc. Perkin Trans. 1 1973, 2063–2064. [Google Scholar] [CrossRef]
- Asghari Ahmed, S.; Hickmott, P.W. Enamine Chemistry. Part 26. Preparation of Substituted Adamantane-2,4-diones and Bicyclo[2.2.2]octan-2-ones. J. Chem. Soc. Perkin Trans. 1 1979, 2180–2183. [Google Scholar] [CrossRef]
- Hickmott, P.W.; Kapon, M. Enamine Chemistry. Part 29.’ Synthesis of Adamantane Derivatives from α,β-Unsaturated Acid Chlorides and 4,4-Disubstituted Cyclohexanone Enamines. Multiple [3,3]Sigmatropic Rearrangement Transition State Stereochemistry. X-ray Analysis. J. Chem. Soc. Perkin Trans. 1 1985, 1, 2559–2571. [Google Scholar] [CrossRef]
- Ahmed, M.G.; Ahmed, S.A.; Akhter, K.; Moeiz, S.M.I.; Tsuda, Y.; Kiuchi, F.; Hossain, M.M.; Forsterling, F.H. Synthesis of Some Substituted Adamantane-2,4-diones from 4, 4-Disubstituted Cyclohexanone Enamines and Methacryloyl Chloride. J. Chem. Res. 2005, 2005, 293–298. [Google Scholar] [CrossRef]
- Atkinson, R.S.; Miller, J.E. Adamantanoid Dienones from Intramolecular Ar 1 6-Participation. J. Chem. Soc. Perkin Trans. 1 1979, 3017–3021. [Google Scholar] [CrossRef]
- Takagi, R.; Miwa, Y.; Matsumura, S.; Ohkata, K. One-Pot Synthesis of Adamantane Derivatives by Domino Michael Reactions from Ethyl 2,4-Dioxocyclohexanecarboxylate. J. Org. Chem. 2005, 70, 8587–8589. [Google Scholar] [CrossRef] [PubMed]
- Takagi, R.; Inoue, Y.; Ohkata, K. Construction of the Adamantane Core of Plukenetione-Type Polycyclic Polyprenylated Acylphloroglucinols. J. Org. Chem. 2008, 73, 9320–9325. [Google Scholar] [CrossRef]
- Zhang, Q.; Mitasev, B.; Qi, J.; Porco, J.A., Jr. Total Synthesis of Plukenetione A. J. Am. Chem. Soc. 2010, 132, 14212–14215. [Google Scholar] [CrossRef]
- Muraoka, O.; Wang, Y.; Okumura, M.; Nishiura, S.; Tanabe, G.; Momose, T. A Facile Synthesis of 7-Methylenebicyclo-[3.3.1]Nonan-3-One and Its Transformation Leading to the Novel Tricyclic System, Protoadamantane. Synth. Commun. 1996, 26, 1555–1562. [Google Scholar] [CrossRef]
- Gagneux, A.R.; Meier, R. 1-Substituted 2-Heteroadamantanes. Tetrahedron Lett. 1969, 10, 1365–1368. [Google Scholar] [CrossRef]
- Krasutskii, P.A.; Khotkevich, A.B.; Serguchev, Y.A.; Yurchenko, A.G. Mechanism of Transannular Bromination Reactions of Diolefins of the Bicyclo[3.3.1]nonane Series. Theor. Exp. Chem. 1985, 21, 48–52. [Google Scholar] [CrossRef]
- Serguchev, Y.A.; Krasutskii, P.A.; Khotkevich, A.B.; Yurchenko, A.G. Mechanism of Transannular Iodination of 3,7-Dimethylenebicyclo[3.3.1]nonane Derivatives. Theor. Exp. Chem. 1987, 22, 712–715. [Google Scholar] [CrossRef]
- Sohár, P.; Kuszmann, J.; Néder, Á. Synthesis and NMR Study of Adamantane Derivatives. Tetrahedron 1986, 42, 2523–2532. [Google Scholar] [CrossRef]
- Bishop, R.; Craig, D.C.; Rae, A.D.; Scudder, M.L. Ritter Reactions. Part 4.’Rearrangement of 3,3,7,7-Tetramethyl-2,6-Dimethylenebicyclo[3.3.1] Inonane and Crystal Structure of 1-Acetamido-2,2,5,6,6-pentamethyladamantane. J. Chem. Soc. Perkin Trans. 1 1989, 4, 733–737. [Google Scholar] [CrossRef]
- Skomorokhov, M.Y.; Klimochkin, Y.N. Halogen Addition to Esters of 7-Methylenebicyclo[3.3.1]non-2-en-3-ol. Russ. J. Org. Chem. 2001, 37, 1188–1189. [Google Scholar] [CrossRef]
- Serguchev, Y.A.; Ponomarenko, M.V.; Lourie, L.F.; Chernega, A.N. Synthesis of Halo-Fluoro-Substituted Adamantanes by Electrophilic Transannular Cyclization of Bicyclo[3.3.1]nonane Dienes. J. Fluor. Chem. 2003, 123, 207–215. [Google Scholar] [CrossRef]
- Ponomarenko, M.V.; Serguchev, Y.A.; Hirschberg, M.E.; Röschenthaler, G.-V.; Fokin, A.A. Elemental F2 with Transannular Dienes: Regioselectivities and Mechanisms. Chem. Eur. J. 2014, 20, 10383–10391. [Google Scholar] [CrossRef]
- Serguchev, Y.A.; Ponomarenko, M.V.; Lourie, L.F.; Fokin, A.A. Transannular Additions of Selectfluor and Xenon Difluoride: Regioselectivity and Mechanism. J. Phys. Org. Chem. 2011, 24, 407–413. [Google Scholar] [CrossRef]
- Funk, R.L.; Bolton, G.L.; Daggett, J.U.; Hansen, M.M.; Horcher, L.H.M. Intramolecular Cycloaddition Reactions of Exocyclic Nitrones: Application in the Total Synthesis of Terpenes. Tetrahedron 1985, 41, 3479–3495. [Google Scholar] [CrossRef]
- Marchand, A.P.; Rajapaksa, D. Synthesis of Substituted Hexacyclo[5.4.1.02,6.03,10.05,9.08,11]Dodecanes. A Novel Method for Bridging Across the 8,11-Positions of Pentacyclo[5.4.0.02,6.03,10.05,9]Undecane-8,11-Dione and Related Diketones. Tetrahedron Lett. 1993, 34, 1463–1466. [Google Scholar] [CrossRef]
- Camps, P.; El Achab, R.; Görbig, D.M.; Morral, J.; Muñoz-Torrero, D.; Badia, A.; Baños, J.E.; Vivas, N.M.; Barril, X.; Orozco, M.; et al. Synthesis, in Vitro Pharmacology, and Molecular Modeling of Very Potent Tacrine−Huperzine A Hybrids as Acetylcholinesterase Inhibitors of Potential Interest for the Treatment of Alzheimer’s Disease. J. Med. Chem. 1999, 42, 3227–3242. [Google Scholar] [CrossRef] [PubMed]
- Djaidi, D.; Leung, I.S.H.; Bishop, R.; Craig, D.C.; Scudder, M.L. Ritter Reactions. Part 14. Rearrangement of 3,3,7,7-Tetramethyl-6-methylidenebicyclo[3.3.1]nonan-2-one. J. Chem. Soc. Perkin Trans. 1 2000, 13, 2037–2042. [Google Scholar] [CrossRef]
- Shibuya, M.; Taniguchi, T.; Takahashi, M.; Ogasawara, K. Chiral Modification of Adamantane. Tetrahedron Lett. 2002, 43, 4145–4147. [Google Scholar] [CrossRef]
- Kuga, T.; Sasano, Y.; Tomizawa, M.; Shibuya, M.; Iwabuchi, Y. Expedient Entry to 1-Aminoadamantane Derivatives via Aza-Prins Cyclization of 7-Methylenebicyclo[3.3.1]nonan-3-one Oximes. Synthesis 2018, 50, 1820–1826. [Google Scholar] [CrossRef]
- Peters, J.A.; Van Der Toorn, J.M.; Van Bekkum, H. 3,7-Disubstituted Bicyclo[3.3.1]Nonanes—III: Synthesis and Conformation of Bicyclo[3.3.1]nonane-3α,7α-dicarboxylic Acid, Its Dimethyl Ester and Some Other 3,7-Disubstituted Bicyclo[3.3.1]nonanes; Adamantane as an Integrated Holding System. Tetrahedron 1975, 31, 2273–2281. [Google Scholar] [CrossRef]
- Tkachenko, I.M.; Rybakov, V.B.; Klimochkin, Y.N. Convenient Synthesis of Ethyl 5-Oxohomoadamantane-4-carboxylate: A Useful Precursor of Polyfunctional Homoadamantanes. Synthesis 2019, 51, 1482–1490. [Google Scholar] [CrossRef]
- Lightner, D.A.; Van Toan, V. The Octant Rule. XX: Synthesis and Circular Dichroism of (1s,5s)-Dimethyladamantan-2-one—Predicted to Have Zero Cotton Effect. Tetrahedron 1987, 43, 4905–4916. [Google Scholar] [CrossRef]
- Denmark, S.E.; Henke, B.R. Investigations on Transition-State Geometry in the Aldol Condensation. J. Am. Chem. Soc. 1989, 111, 8032–8034. [Google Scholar] [CrossRef]
- Whitlock, H.W.; Siefken, M.W. Tricyclo[4.4.0.03,8]decane to Adamantane Rearrangement. J. Am. Chem. Soc. 1968, 90, 4929–4939. [Google Scholar] [CrossRef]
- Janjatovic, J.; Majerski, Z. Synthesis of Adamantanoid Ketones from Bridgehead Alcohols by the Hypoiodite Thermolysis-Cyclization Sequence. J. Org. Chem. 1980, 45, 4892–4898. [Google Scholar] [CrossRef]
- Kolocouris, N.; Zoidis, G.; Fytas, C. Facile Synthetic Routes to 2-Oxo-1-adamantanalkanoic Acids. Synlett 2007, 2007, 1063–1066. [Google Scholar] [CrossRef]
- Hrdina, R.; Holovko-Kamoshenkova, O.M.; Císařová, I.; Koucký, F.; Machalický, O. Annulated Carbamates Are Precursors for the Ring Contraction of the Adamantane Framework. RSC Adv. 2022, 12, 31056–31060. [Google Scholar] [CrossRef]
- Zonker, B.; Becker, J.; Hrdina, R. Synthesis of Noradamantane Derivatives by Ring-Contraction of the Adamantane Framework. Org. Biomol. Chem. 2021, 19, 4027–4031. [Google Scholar] [CrossRef]
- Lenoir, D.; Schleyer, P.V.R. Chemistry of 4-Protoadamantyl Derivatives. J. Chem. Soc. D 1970, 15, 941–942. [Google Scholar] [CrossRef]
- Lenoir, D.; Hall, R.E.; Schleyer, P.v.R. Chemistry of Protoadamantane. IV. Preparation and Solvolysis of Secondary 4-Protoadamantyl Esters. Relation to the Solvolysis of 2-Adamantyl Derivatives. J. Am. Chem. Soc. 1974, 96, 2138–2148. [Google Scholar] [CrossRef]
- Schleyer, P.v.R.; Lenoir, D.; Glaser, R.; Mison, P. Synthesis of 1,2- and 2,4-Disubstituted Adamantanes. The Protoadamantane Route. J. Org. Chem. 1971, 36, 1821–1826. [Google Scholar] [CrossRef]
- Lenoir, D.; Raber, D.J.; Schleyer, P.V.R. Chemistry of Protoadamantane. V. Solvolysis of 4-Methyl-4-protoadamantyl and Related 1-Methyl-2-adamantyl Derivatives. J. Am. Chem. Soc. 1974, 96, 2149–2156. [Google Scholar] [CrossRef]
- Herpers, E.; Kirmse, W. The 4-Protoadamantyl → 2-Adamantyl Rearrangement; Chirality of the 2-Adamantyl Cation. J. Chem. Soc. Chem. Commun. 1993, 2, 160–161. [Google Scholar] [CrossRef]
- Cuddy, B.D.; Grant, D.; McKervey, M.A. The Protoadamantane Route to 1,2- and 2,4-Disubstituted Adamantanes. J. Chem. Soc. C 1971, 3173–3179. [Google Scholar] [CrossRef]
- Chakrabarti, J.K.; Hotten, T.M.; Tupper, D.E. Chemistry of Adamantane. VIII. Synthesis of 1,2-Difunctional Adamantanes Using Protoadamantane-4-Spiroöxirane as a Novel Intermediate. Tetrahedron Lett. 1975, 16, 2241–2244. [Google Scholar] [CrossRef]
- Chakrabarti, J.K.; Hotten, T.M.; Rackham, D.M.; Tupper, D.E. Chemistry of Adamantane. Part IX. 1,2-Difunctional Adamantanes; Synthesis and Reactions of Protoadamantane-4-spiro-oxiran. J. Chem. Soc. Perkin Trans. 1 1976, 17, 1893–1900. [Google Scholar] [CrossRef]
- Chakrabarti, J.K.; Hotten, T.M.; Sutton, S.; Tupper, D.E. Adamantane and Protoadamantanealkanamines as Potential Anti-Parkinson Agents. 10. J. Med. Chem. 1976, 19, 967–969. [Google Scholar] [CrossRef]
- Abdel-Sayed, A.N.; Bauer, L. Syntheses of 1,2-Distributed Adamantanes. Tetrahedron 1988, 44, 1873–1882. [Google Scholar] [CrossRef]
- Chyi Tseng, C.; Handa, I.; Abdel-Sayed, A.N.; Bauer, L. N-[(Aryl Substitute Adamantane)Alkyl] 2-Mercaptoacetamidines, Their Corresponding Disulfides and 5-Phosphorothioates. Tetrahedron 1988, 44, 1893–1904. [Google Scholar] [CrossRef]
- Mlinarić-Majerski, K.; Veljković, J.; Kaselj, M.; Marchand, A.P. Dihaloadamantanes: Ring Closure versus Rearrangement or Halogen-Displacement Reactions. Eur. J. Org. Chem. 2004, 2004, 2923–2927. [Google Scholar] [CrossRef]
- Mlinaric-Majerski, K.; Kaselj, M. 1,2-Methanoadamantane: A Molecule with a Twist Bent. Sigma. Bond. J. Org. Chem. 1994, 59, 4362–4363. [Google Scholar] [CrossRef]
- Mlinarić-Majerski, K.; Kragol, G.; Ramljak, T.Š. Transannular Cyclization with Grignard Reagents: Facile Synthetic Routes to Oxaadamantane and Protoadamantane Derivatives. Synlett 2008, 2008, 405–409. [Google Scholar] [CrossRef]
- Cindro, N.; Antol, I.; Mlinarić-Majerski, K.; Halasz, I.; Wan, P.; Basarić, N. Reactivity of Cations and Zwitterions Formed in Photochemical and Acid-Catalyzed Reactions from m-Hydroxycycloalkyl-Substituted Phenol Derivatives. J. Org. Chem. 2015, 80, 12420–12430. [Google Scholar] [CrossRef] [PubMed]
- Wang, X.; Dong, Y.; Ezell, E.L.; Garrison, J.C.; Wood, J.K.; Hagen, J.P.; Vennerstrom, J.L. Semipinacol and Protoadamantane-adamantane Rearrangements of 5,6-Dibromoadamantan-2-one and -2-ol. Tetrahedron 2017, 73, 2972–2976. [Google Scholar] [CrossRef]
- Yoshihara, T.; Shudo, H.; Yagi, A.; Itami, K. Adamantane Annulation to Arenes: A Strategy for Property Modulation of Aromatic π-Systems. J. Am. Chem. Soc. 2023, 145, 11754–11763. [Google Scholar] [CrossRef]
- Papanastasiou, I.; Tsotinis, A.; Kolocouris, N.; Prathalingam, S.R.; Kelly, J.M. Design, Synthesis, and Trypanocidal Activity of New Aminoadamantane Derivatives. J. Med. Chem. 2008, 51, 1496–1500. [Google Scholar] [CrossRef] [PubMed]
- Zoidis, G.; Tsotinis, A.; Kolocouris, N.; Kelly, J.M.; Radhika Prathalingam, S.; Naesens, L.; Clercq, E.D. Design and Synthesis of Bioactive 1,2-Annulated Adamantane Derivatives. Org. Biomol. Chem. 2008, 6, 3177–3185. [Google Scholar] [CrossRef] [PubMed]
- Papanastasiou, I.; Tsotinis, A.; Zoidis, G.; Kolocouris, N.; Prathalingam, S.R.; Kelly, J.M. Design and Synthesis of Trypanosoma Brucei Active 1-Alkyloxy and 1-Benzyloxyadamantano 2-Guanylhydrazones. ChemMedChem 2009, 4, 1059–1062. [Google Scholar] [CrossRef]
- Zoidis, G.; Kolocouris, N.; Kelly, J.M.; Prathalingam, S.R.; Naesens, L.; De Clercq, E. Design and Synthesis of Bioactive Adamantanaminoalcohols and Adamantanamines. Eur. J. Med. Chem. 2010, 45, 5022–5030. [Google Scholar] [CrossRef] [PubMed]
- Papanastasiou, I.; Tsotinis, A.; Kolocouris, N.; Nikas, S.P.; Vamvakides, A. New Aminoadamantane Derivatives with Antiproliferative Activity. Med. Chem. Res. 2014, 23, 1966–1975. [Google Scholar] [CrossRef]
- Zoidis, G.; Sandoval, A.; Pineda-Farias, J.B.; Granados-Soto, V.; Felix, R. Anti-Allodynic Effect of 2-(Aminomethyl)adamantane-1-carboxylic Acid in a Rat Model of Neuropathic Pain: A Mechanism Dependent on CaV2.2 Channel Inhibition. Bioorg. Med. Chem. 2014, 22, 1797–1803. [Google Scholar] [CrossRef]
- Pardali, V.; Giannakopoulou, E.; Konstantinidi, A.; Kolocouris, A.; Zoidis, G. 1,2-Annulated Adamantane Heterocyclic Derivatives as Anti-Influenza A Virus Agents. Croat. Chem. Acta 2019, 92, 211–228. [Google Scholar] [CrossRef]
- Vogt, B.R.; Hoover, J.R.E. The Synthesis of Noradamantane. Tetrahedron Lett. 1967, 8, 2841–2843. [Google Scholar] [CrossRef]
- Schleyer, P.v.R.; Wiskott, E. Noradamatane by Aluminum Halide Catalyzed Rearrangement. Tetrahedron Lett. 1967, 8, 2845–2850. [Google Scholar] [CrossRef]
- Stoelting, D.T.; Shiner, V.J., Jr. Solvolysis of 1-(3-Noradamantyl)ethyl Sulfonates. J. Am. Chem. Soc. 1993, 115, 1695–1705. [Google Scholar] [CrossRef]
- Schleyer, P.v.R.; Lam, L.K.M.; Raber, D.J.; Fry, J.L.; McKervey, M.A.; Alford, J.R.; Cuddy, B.D.; Keizer, V.G.; Geluk, H.W.; Schlatmann, J.L.M.A. Stereochemical Inhibition of Intramolecular 1,2 Shifts. Intermolecular Nature of Hydride Shifts in the Adamantane Series. J. Am. Chem. Soc. 1970, 92, 5246–5247. [Google Scholar] [CrossRef]
- Majerski, Z.; Schleyer, P.v.R.; Wolf, A.P. Stereochemical Inhibition of Intramolecular 1,2 Shifts. Mechanistic Evidence for Skeletal Rearrangement during Apparent 1,2-Methyl Shifts of Adamantane. J. Am. Chem. Soc. 1970, 92, 5731–5733. [Google Scholar] [CrossRef]
- Okazaki, T.; Isobe, H.; Kitagawa, T.; Takeuchi, K. Generation and Reactions of 2-(1-Adamantyl)adamantene. Rearrangement to 3-(1-Adamantyl)-4-protoadamantylidene. Bull. Chem. Soc. Jpn. 1996, 69, 2053–2062. [Google Scholar] [CrossRef]
- Sosnowski, J.J.; Rheingold, A.L.; Murray, R.K., Jr. Bridgehead Functionalization of [1]Diadamantane. J. Org. Chem. 1985, 50, 3788–3791. [Google Scholar] [CrossRef]
- Takeuchi, K.; Kitagawa, I.; Akiyama, F.; Shibata, T.; Kato, M.; Okamoto, K. Ring-Expansion of Bridgehead Aldehydes with 1-Adamantanecarbonyl Cation or Benzoyl Trifluoromethanesulfonate: A New Route to Bicyclic and Tricyclic 1,2-Diols. Synthesis 1987, 1987, 612–615. [Google Scholar] [CrossRef]
- Ohga, Y.; Takeuchi, K. Steric Deuterium Isotope Effect in the Solvolysis of (Z)-[Methyl-d3]-2-ethylidene-1-adamantyl Iodide Accelerated by F-Strain. J. Phys. Org. Chem. 1993, 6, 293–301. [Google Scholar] [CrossRef]
- Okazaki, T.; Tokunaga, K.; Kitagawa, T.; Takeuchi, K. Generation and Reactivity of 2-Substituted Adamantenes. Bull. Chem. Soc. Jpn. 1999, 72, 549–561. [Google Scholar] [CrossRef]
- Torres, E.; Fernández, R.; Miquet, S.; Font-Bardia, M.; Vanderlinden, E.; Naesens, L.; Vázquez, S. Synthesis and Anti-Influenza A Virus Activity of 2,2-Dialkylamantadines and Related Compounds. ACS Med. Chem. Lett. 2012, 3, 1065–1069. [Google Scholar] [CrossRef] [PubMed]
- Ioannou, S.; Krassos, H.; Nicolaides, A.V. Synthesis of a Novel Diene from a Cyclobutane Precursor: An Entry to 2,9-Disubstituted [2]Diadamantanes. Tetrahedron 2013, 69, 8064–8068. [Google Scholar] [CrossRef]
- Zonker, B.; Duman, E.; Hausmann, H.; Becker, J.; Hrdina, R. [1,2]-Rearrangement of Iminium Salts Provides Access to Heterocycles with Adamantane Scaffold. Org. Biomol. Chem. 2020, 18, 4941–4945. [Google Scholar] [CrossRef]
Disclaimer/Publisher’s Note: The statements, opinions and data contained in all publications are solely those of the individual author(s) and contributor(s) and not of MDPI and/or the editor(s). MDPI and/or the editor(s) disclaim responsibility for any injury to people or property resulting from any ideas, methods, instructions or products referred to in the content. |
© 2023 by the authors. Licensee MDPI, Basel, Switzerland. This article is an open access article distributed under the terms and conditions of the Creative Commons Attribution (CC BY) license (https://creativecommons.org/licenses/by/4.0/).

























































