Mononuclear or Coordination Polymer Complexes? Both Are Possible for 3,6,9-Trioxaundecanedioic Acid
Abstract
:1. Introduction
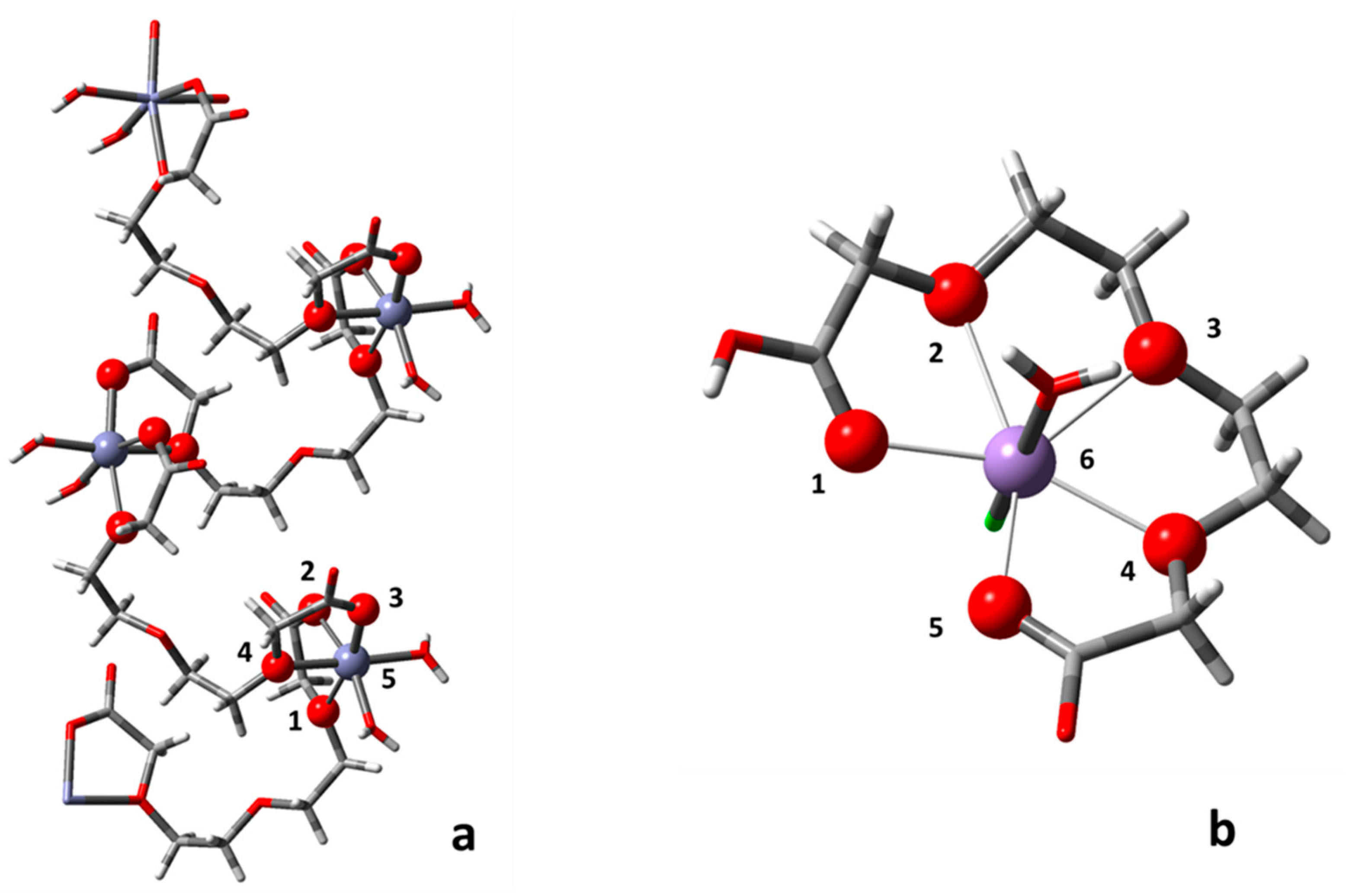
2. Structural Description
3. Discussion
4. Materials and Methods
5. Conclusions
Supplementary Materials
Author Contributions
Funding
Institutional Review Board Statement
Informed Consent Statement
Data Availability Statement
Conflicts of Interest
References
- Trapani, M.; Castriciano, M.A.; Collini, E.; Bella, G.; Cordaro, M. Supramolecular BODIPY based dimers: Synthesis, computational and spectroscopic studies. Org. Biomol. Chem. 2021, 19, 8118–8127. [Google Scholar] [CrossRef] [PubMed]
- Bella, G.; Santoro, A.; Nicolò, F.; Bruno, G.; Cordaro, M. Do Secondary Electrostatic Interactions Influence Multiple Dihydrogen Bonds? AA−DD Array on an Amine-Borane Aza-Coronand: Theoretical Studies and Synthesis. ChemPhysChem 2021, 22, 593–605. [Google Scholar] [CrossRef] [PubMed]
- Neidle, S. Principles of Nucleic Acid Structure; Elsevier Science: Amsterdam, The Netherlands, 2008. [Google Scholar]
- Geim, A.K.; Grigorieva, I.V. Van der Waals heterostructures. Nature 2013, 499, 419–425. [Google Scholar] [CrossRef] [PubMed]
- Giannetto, A.; Nastasi, F.; Puntoriero, F.; Bella, G.; Campagna, S.; Lanza, S. Fast transport of HCl across a hydrophobic layer over macroscopic distances by using a Pt(ii) compound as the transporter: Micro- and nanometric aggregates as effective transporters. Dalton Trans. 2021, 50, 1422–1433. [Google Scholar] [CrossRef] [PubMed]
- Bella, G.; Milone, M.; Bruno, G.; Santoro, A. Which DFT factors influence the accuracy of 1H, 13C and 195Pt NMR chemical shift predictions in organopolymetallic square-planar complexes? New scaling parameters for homo- and hetero-multimetallic compounds and their direct applications. Phys. Chem. Chem. Phys. 2022, 24, 26642–26658. [Google Scholar] [CrossRef]
- Lehn, J.M. Self-Processes—Programmed Supramolecular Systems. In Supramolecular Chemistry; Wiley-VCH GmbH: Weinheim, Germany, 1995; pp. 139–197. [Google Scholar]
- Lehn, J.M. Toward self-organization and complex matter. Science 2002, 295, 2400–2403. [Google Scholar] [CrossRef] [PubMed]
- Rowan, S.J.; Cantrill, S.J.; Cousins, G.R.; Sanders, J.K.; Stoddart, J.F. Dynamic covalent chemistry. Angew. Chem. (Int. Ed. Engl.) 2002, 41, 898–952. [Google Scholar] [CrossRef]
- Santoro, A.; Bella, G.; Bruno, G.; Neri, G.; Akbari, Z.; Nicolò, F. Cocrystal versus salt, a matter of hydrogen bonds in two benzoic acid crystals. J. Mol. Struct. 2021, 1229, 129801. [Google Scholar] [CrossRef]
- Ayme, J.-F.; Lehn, J.-M. Chapter One—From Coordination Chemistry to Adaptive Chemistry. In Advances in Inorganic Chemistry; van Eldik, R., Puchta, R., Eds.; Academic Press: Cambridge, MA, USA, 2018; Volume 71, pp. 3–78. [Google Scholar]
- Machado, V.G.; Baxter, P.N.W.; Lehn, J.-M. Self-assembly in self-organized inorganic systems: A view of programmed metallosupramolecular architectures. J. Braz. Chem. Soc. 2001, 12, 431–462. [Google Scholar] [CrossRef]
- Northrop, B.H.; Zheng, Y.-R.; Chi, K.-W.; Stang, P.J. Self-Organization in Coordination-Driven Self-Assembly. Acc. Chem. Res. 2009, 42, 1554–1563. [Google Scholar] [CrossRef] [PubMed]
- Lawrence, D.S.; Jiang, T.; Levett, M. Self-Assembling Supramolecular Complexes. Chem. Rev. 1995, 95, 2229–2260. [Google Scholar] [CrossRef]
- Leininger, S.; Olenyuk, B.; Stang, P.J. Self-Assembly of Discrete Cyclic Nanostructures Mediated by Transition Metals. Chem. Rev. 2000, 100, 853–908. [Google Scholar] [CrossRef] [PubMed]
- Swiegers, G.F.; Malefetse, T.J. New Self-Assembled Structural Motifs in Coordination Chemistry. Chem. Rev. 2000, 100, 3483–3538. [Google Scholar] [CrossRef] [PubMed]
- Lehn, J.-M. Programmed Chemical Systems: Multiple Subprograms and Multiple Processing/Expression of Molecular Information. Chem. Eur. J. 2000, 6, 2097–2102. [Google Scholar] [CrossRef]
- Masood, M.A.; Enemark, E.J.; Stack, T.D.P. Ligand Self-Recognition in the Self-Assembly of a [{Cu(L)}2]2+ Complex: The Role of Chirality. Angew. Chem. Int. Ed. Engl. 1998, 37, 928–932. [Google Scholar] [CrossRef]
- Ahmedova, A. Biomedical Applications of Metallosupramolecular Assemblies—Structural Aspects of the Anticancer Activity. Front. Chem. 2018, 6, 620. [Google Scholar] [CrossRef] [PubMed]
- Sosa-Vargas, L.; Kim, E.; Attias, A.-J. Beyond “decorative” 2D supramolecular self-assembly: Strategies towards functional surfaces for nanotechnology. Mater. Horiz. 2017, 4, 570–583. [Google Scholar] [CrossRef]
- Wang, H.; Li, Y.; Li, N.; Filosa, A.; Li, X. Increasing the size and complexity of discrete 2D metallosupramolecules. Nat. Rev. Mater. 2021, 6, 145–167. [Google Scholar] [CrossRef]
- Sylvain, R.; Vendier, L.; Bijani, C.; Santoro, A.; Puntoriero, F.; Campagna, S.; Sutra, P.; Igau, A. Evidence of the unprecedented conversion of intermolecular proton to water bridging of two phosphoryl ruthenium complexes. New J. Chem. 2013, 37, 3543–3548. [Google Scholar] [CrossRef]
- Crea, F.; De Stefano, C.; Irto, A.; Lando, G.; Materazzi, S.; Milea, D.; Pettignano, A.; Sammartano, S. Understanding the Solution Behavior of Epinephrine in the Presence of Toxic Cations: A Thermodynamic Investigation in Different Experimental Conditions. Molecules 2020, 25, 511. [Google Scholar] [CrossRef]
- Bretti, C.; Cigala, R.M.; Crea, F.; De Stefano, C.; Gattuso, G.; Irto, A.; Lando, G.; Milea, D.; Sammartano, S. Thermodynamic Properties of O-Donor Polyelectrolytes: Determination of the Acid–Base and Complexing Parameters in Different Ionic Media at Different Temperatures. J. Chem. Eng. Data 2017, 62, 2676–2688. [Google Scholar] [CrossRef]
- Santoro, A.; Bella, G.; Cancelliere, A.M.; Serroni, S.; Lazzaro, G.; Campagna, S. Photoinduced Electron Transfer in Organized Assemblies-Case Studies. Molecules 2022, 27, 2713. [Google Scholar] [CrossRef]
- Foti, C.; Mineo, P.G.; Nicosia, A.; Scala, A.; Neri, G.; Piperno, A. Recent Advances of Graphene-Based Strategies for Arsenic Remediation. Front. Chem. 2020, 8, 608236. [Google Scholar] [CrossRef]
- Steed, J.W.; Atwood, J.L. Supramolecular Chemistry; Wiley: Hoboken, NJ, USA, 2013. [Google Scholar]
- Holub, J.; Santoro, A.; Stadler, M.-A.; Lehn, J.-M. Peripherally multi-functionalised metallosupramolecular grids: Assembly, decoration, building blocks for dynamic covalent architectures. Inorg. Chem. Front. 2021, 8, 5054–5064. [Google Scholar] [CrossRef]
- Holub, J.; Santoro, A.; Lehn, J.-M. Electronic absorption and emission properties of bishydrazone [2 × 2] metallosupramolecular grid-type architectures. Inorganica Chim. Acta 2019, 494, 223–231. [Google Scholar] [CrossRef]
- Ruben, M.; Rojo, J.; Romero-Salguero, F.J.; Uppadine, L.H.; Lehn, J.M. Grid-type metal ion architectures: Functional metallosupramolecular arrays. Angew. Chem. (Int. Ed. Engl.) 2004, 43, 3644–3662. [Google Scholar] [CrossRef] [PubMed]
- Hardy, J.G. Metallosupramolecular grid complexes: Towards nanostructured materials with high-tech applications. Chem. Soc. Rev. 2013, 42, 7881–7899. [Google Scholar] [CrossRef] [PubMed]
- Stadler, A.-M. Grids with Unusual, High Nuclearity—A Structural Approach. Eur. J. Inorg. Chem. 2009, 2009, 4751–4770. [Google Scholar] [CrossRef]
- Piguet, C.; Bernardinelli, G.; Hopfgartner, G. Helicates as Versatile Supramolecular Complexes. Chem. Rev. 1997, 97, 2005–2062. [Google Scholar] [CrossRef]
- Bell, T.W.; Jousselin, H. Self-assembly of a double-helical complex of sodium. Nature 1994, 367, 441–444. [Google Scholar] [CrossRef]
- Albrecht, M. “Let’s Twist Again” Double-Stranded, Triple-Stranded, and Circular Helicates. Chem. Rev. 2001, 101, 3457–3498. [Google Scholar] [CrossRef] [PubMed]
- Hannon, M.J.; Childs, L.J. Helices and helicates: Beautiful supramolecular motifs with emerging applications. Supramol. Chem. 2004, 16, 7–22. [Google Scholar] [CrossRef]
- Santoro, A.; Holub, J.; Fik-Jaskółka, M.A.; Vantomme, G.; Lehn, J.-M. Dynamic Helicates Self-Assembly from Homo- and Heterotopic Dynamic Covalent Ligand Strands. Chem. Eur. J. 2020, 26, 15664–15671. [Google Scholar] [CrossRef] [PubMed]
- Ayme, J.-F.; Beves, J.E.; Campbell, C.J.; Leigh, D.A. Template synthesis of molecular knots. Chem. Soc. Rev. 2013, 42, 1700–1712. [Google Scholar] [CrossRef]
- Sauvage, J.P.; Amabilino, D.B. The beauty of knots at the molecular level. Top. Curr. Chem. 2012, 323, 107–125. [Google Scholar] [PubMed]
- Beves, J.E.; Blight, B.A.; Campbell, C.J.; Leigh, D.A.; McBurney, R.T. Strategies and tactics for the metal-directed synthesis of rotaxanes, knots, catenanes, and higher order links. Angew. Chem. (Int. Ed. Engl.) 2011, 50, 9260–9327. [Google Scholar] [CrossRef]
- Ayme, J.-F.; Beves, J.E.; Leigh, D.A.; McBurney, R.T.; Rissanen, K.; Schultz, D. Pentameric Circular Iron(II) Double Helicates and a Molecular Pentafoil Knot. J. Am. Chem. Soc. 2012, 134, 9488–9497. [Google Scholar] [CrossRef]
- Leigh, D.A.; Danon, J.J.; Fielden, S.D.P.; Lemonnier, J.-F.; Whitehead, G.F.S.; Woltering, S.L. A molecular endless (74) knot. Nat. Chem. 2021, 13, 117–122. [Google Scholar] [CrossRef]
- McCann, S.; McCann, M.; Casey, M.T.; Devereux, M.; McKee, V.; McMichael, P.; McCrea, J.G. Manganese(II) complexes of 3,6,9-trioxaundecanedioic acid (3,6,9-tddaH2): X-ray crystal structures of [Mn(3,6,9-tdda) (H2O)2]·2H2O and {[Mn(3,6,9-tdda)(phen)2·3H2O]·EtOH}n. Polyhedron 1997, 16, 4247–4252. [Google Scholar] [CrossRef]
- Sakshi; Khullar, S. Anion-directed structural diversification in four new Cd(II) compounds of a flexible polyether-based dicarboxylic acid. Inorg. Chem. Commun. 2022, 146, 110109. [Google Scholar] [CrossRef]
- Bahl, A.M.; Krishnaswamy, S.; Massand, N.G.; Burkey, D.J.; Hanusa, T.P. Heavy Alkaline-Earth Polyether Carboxylates. The Crystal Structure of {Ca[OOC(CH2)O(CH2)2]2O(H2O)2}21. Inorg. Chem. 1997, 36, 5413–5415. [Google Scholar] [CrossRef]
- Reid, H.O.N.; Kahwa, I.A.; White, A.J.P.; Williams, D.J. Seven-coordinate Mn2+ ions in [Mn(15-crown-5)(H2O)2]2+ as luminescent probes for dynamic supramolecular events. Chem. Commun. 1999, 1565–1566. [Google Scholar] [CrossRef]
- Hao, X.; Parkin, S.; Brock, C.P. Three modulation patterns in four related [M(H2O)2(15-crown-5)](NO3)2 structures. Acta Crystallogr. 2005, B61, 675–688. [Google Scholar] [CrossRef]
- Atwood, J.L.; Junk, P.C. Formation and Crystal Structures of Novel Sevencoordinate 15-crown-5 Complexes of Manganese(II), Iron(II) and Cobalt(II). Polyhedron 2000, 19, 85. [Google Scholar] [CrossRef]
- Fewings, K.R.; Junk, P.C.; Georganopoulou, D.; Prince, P.D.; Steed, J.W. Supramolecular interactions in metal tosylated complexes. Polyhedron 2001, 20, 643–649. [Google Scholar] [CrossRef]
- Kyba, E.P.; Helgeson, R.C.; Madan, K.; Gokel, G.W.; Tarnowski, T.L.; Moore, S.S.; Cram, D.J. Host-guest complexation. 1. Concept and illustration. J. Am. Chem. Soc. 1977, 99, 2564–2571. [Google Scholar] [CrossRef]
- Swiegers, G.F.; Malefetse, T.J. Classification of coordination polygons and polyhedra according to their mode of self-assembly. Chemistry 2001, 7, 3637–3643. [Google Scholar] [CrossRef]
- Fujita, M.; Oguro, D.; Miyazawa, M.; Oka, H.; Yamaguchi, K.; Ogura, K. Self-assembly of ten molecules into nanometre-sized organic host frameworks. Nature 1995, 378, 469–471. [Google Scholar] [CrossRef]
- Roche, S.; Haslam, C.; Heath, S.L.; Thomas, J.A. Self-assembly of a supramolecular cube. Chem. Commun. 1998, 16, 1681–1682. [Google Scholar] [CrossRef]
- Fujita, M.; Yazaki, J.; Ogura, K. Preparation of a macrocyclic polynuclear complex, [(en)Pd(4,4’-bpy)]4(NO3)8 (en = ethylenediamine, bpy = bipyridine), which recognizes an organic molecule in aqueous media. J. Am. Chem. Soc. 1990, 112, 5645–5647. [Google Scholar] [CrossRef]
- Winter, A.; Schubert, U.S. Synthesis and characterization of metallo-supramolecular polymers. Chem. Soc. Rev. 2016, 45, 5311–5357. [Google Scholar] [CrossRef] [PubMed]
- Mondal, S.; Chandra Santra, D.; Ninomiya, Y.; Yoshida, T.; Higuchi, M. Dual-Redox System of Metallo-Supramolecular Polymers for Visible-to-Near-IR Modulable Electrochromism and Durable Device Fabrication. ACS Appl. Mater. Interfaces 2020, 12, 58277–58286. [Google Scholar] [CrossRef] [PubMed]
- Casanova, D.; Alemany, P.; Bofill, J.M.; Alvarez, S. Shape and Symmetry of Heptacoordinate Transition-Metal Complexes: Structural Trends. Chem. Eur. J. 2003, 9, 1281–1295. [Google Scholar] [CrossRef]
- Regueiro-Figueroa, M.; Lima, L.M.P.; Blanco, V.; Esteban-Gomez, D.; de Blas, A.; Rodriguez-Blas, T.; Delgado, R.; Platas-Iglesias, C. Reasons behind the Relative Abundances of HeptacoordinateComplexes along the Late First-Row Transition Metal Series. Inorg. Chem. 2014, 53, 12859–12869. [Google Scholar] [CrossRef]
- Bruker. APEX2; Bruker AXS Inc.: Madison, WI, USA, 2012. [Google Scholar]
- Bruker. SADABS and SAINT; Bruker AXS Inc.: Madison, WI, USA, 2017. [Google Scholar]
- Sheldrick, G.M. SHELXT–Integrated space-group and crystal-structure determination. Acta Crystallogr. Sect. A Found. Adv. 2015, 71, 3–8. [Google Scholar] [CrossRef]
- Sheldrick, G.M. Crystal structure refinement with SHELXL. Acta Crystallogr. Sect. C Struct. Chem. 2015, 71, 3–8. [Google Scholar] [CrossRef] [PubMed]
- Dolomanov, O.V.; Bourhis, L.J.; Gildea, R.J.; Howard, J.A.; Puschmann, H. OLEX2: A complete structure solution, refinement and analysis program. J. Appl. Crystallogr. 2009, 42, 339–341. [Google Scholar] [CrossRef]





| Zn(II) Complex | Co(II) Complex | Mn(II) Complex | |
|---|---|---|---|
| CCDC number | 2268292 | 2268293 | 2268294 |
| Empirical formula | C8H18O10Zn | C8H18O10Co | C8H15ClO8Mn |
| Formula weight | 339.59 | 333.15 | 329.59 |
| Temperature [K] | 296 (2) | 296 (2) | 296 (2) |
| Crystal system | monoclinic | monoclinic | orthorhombic |
| Space group (number) | (14) | (14) | (33) |
| a [Å] | 10.1034 (2) | 10.0374 (5) | 13.772 (5) |
| b [Å] | 9.1415 (2) | 9.1290 (5) | 11.737 (4) |
| c [Å] | 14.8364 (3) | 14.9490 (8) | 7.707 (2) |
| α [°] | 90 | 90 | 90 |
| β [°] | 96.6700 (10) | 97.200 (3) | 90 |
| γ [°] | 90 | 90 | 90 |
| Volume [Å3] | 1361.02 (5) | 1359.0 (1) | 1245.8 (7) |
| Z | 4 | 4 | 4 |
| ρcalc [gcm−3] | 1.657 | 1.628 | 1.757 |
| μ [mm−1] | 1.848 | 1.306 | 1.303 |
| F(000) | 704 | 692 | 676 |
| Crystal size [mm3] | 0.38 × 0.33 × 0.23 | 0.40 × 0.31 × 0.27 | 0.34 × 0.29 × 0.20 |
| Crystal colour | colorless | pink | colorless |
| Crystal shape | irregular | irregular | prismatic |
| Radiation | MoKα (λ = 0.71073 Å) | MoKα (λ = 0.71073 Å) | MoKα (λ = 0.71069 Å) |
| 2θ range [°] | 5.17 to 62.33 (0.69 Å) | 5.24 to 60.29 (0.71 Å) | 6.32 to 56.16 (0.75 Å) |
| Index ranges | −14 ≤ h ≤ 14 −13 ≤ k ≤ 13 −21 ≤ l ≤ 21 | −14 ≤ h ≤ 14 −12 ≤ k ≤ 12 −21 ≤ l ≤ 21 | −18 ≤ h ≤ 18 −15 ≤ k ≤ 15 −10 ≤ l ≤ 10 |
| Reflections collected | 60962 | 56629 | 67968 |
| Independent reflections | 4389 Rint = 0.0230 Rsigma = 0.0099 | 3995 Rint = 0.0319 Rsigma = 0.0147 | 3023 Rint = 0.0452 Rsigma = 0.0164 |
| Completeness | 99.8% | 99.8% | 99.8% |
| Data/restraints/parameters | 4389/0/185 | 3995/0/188 | 3023/1/175 |
| Goodness-of-fit on F2 | 1.065 | 1.079 | 1.044 |
| Final R indexes [I ≥ 2σ(I)] | R1 = 0.0241 wR2 = 0.0694 | R1 = 0.0267 wR2 = 0.0723 | R1 = 0.0193 wR2 = 0.0416 |
| Final R indexes [all data] | R1 = 0.0290 wR2 = 0.0730 | R1 = 0.0352 wR2 = 0.0768 | R1 = 0.0239 wR2 = 0.0429 |
| Largest peak/hole [eÅ−3] | 0.79/−0.28 | 0.70/−0.25 | 0.20/−0.15 |
| Flack X parameter | --- | --- | 0.020 (6) |
Disclaimer/Publisher’s Note: The statements, opinions and data contained in all publications are solely those of the individual author(s) and contributor(s) and not of MDPI and/or the editor(s). MDPI and/or the editor(s) disclaim responsibility for any injury to people or property resulting from any ideas, methods, instructions or products referred to in the content. |
© 2023 by the authors. Licensee MDPI, Basel, Switzerland. This article is an open access article distributed under the terms and conditions of the Creative Commons Attribution (CC BY) license (https://creativecommons.org/licenses/by/4.0/).
Share and Cite
Bella, G.; Holub, J.; Bruno, G.; Nicolò, F.; Santoro, A. Mononuclear or Coordination Polymer Complexes? Both Are Possible for 3,6,9-Trioxaundecanedioic Acid. Molecules 2023, 28, 7410. https://doi.org/10.3390/molecules28217410
Bella G, Holub J, Bruno G, Nicolò F, Santoro A. Mononuclear or Coordination Polymer Complexes? Both Are Possible for 3,6,9-Trioxaundecanedioic Acid. Molecules. 2023; 28(21):7410. https://doi.org/10.3390/molecules28217410
Chicago/Turabian StyleBella, Giovanni, Jan Holub, Giuseppe Bruno, Francesco Nicolò, and Antonio Santoro. 2023. "Mononuclear or Coordination Polymer Complexes? Both Are Possible for 3,6,9-Trioxaundecanedioic Acid" Molecules 28, no. 21: 7410. https://doi.org/10.3390/molecules28217410
APA StyleBella, G., Holub, J., Bruno, G., Nicolò, F., & Santoro, A. (2023). Mononuclear or Coordination Polymer Complexes? Both Are Possible for 3,6,9-Trioxaundecanedioic Acid. Molecules, 28(21), 7410. https://doi.org/10.3390/molecules28217410

