Chiral Separation, Configuration Confirmation and Bioactivity Determination of the Stereoisomers of Hesperidin and Narirutin in Citrus reticulata Blanco
Abstract
1. Introduction
2. Results and Discussion
2.1. Optimization of HPLC-UV Conditions
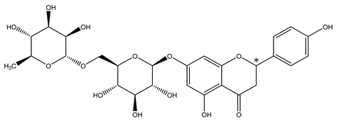
2.2. Configuration Confirmation
2.3. Method Validation
2.4. Quantitative Analysis of Samples
2.5. Anti-Inflammatory Activities
3. Materials and Methods
3.1. Sample Materials
3.2. Chemicals and Reagents
3.3. Instrumentation and Conditions
3.4. Preparation of Sample Solutions
3.5. Identification of Different Isomers
3.6. Method Validation
3.7. Anti-Inflammatory Assay
3.7.1. Cell Viability
3.7.2. Measurement of NO Production
4. Conclusions
Supplementary Materials
Author Contributions
Funding
Institutional Review Board Statement
Informed Consent Statement
Data Availability Statement
Conflicts of Interest
Sample Availability
References
- Kuang, H. Chinese Medicinal Chemistry; China Press of Traditional Chinese Medicine: Beijing, China, 2017; pp. 73–75. [Google Scholar]
- Patel, K.; Singh, G.K.; Patel, D.K. A Review on Pharmacological and Analytical Aspects of Naringenin. Chin. J. Integr. Med. 2018, 24, 551–560. [Google Scholar] [CrossRef] [PubMed]
- Pyrzynska, K. Hesperidin: A Review on Extraction Methods, Stability and Biological Activities. Nutrients 2022, 14, 2387. [Google Scholar] [CrossRef] [PubMed]
- Shehata, M.G.; Awad, T.S.; Asker, D.; El Sohaimy, S.A.; Aziz, N.M.A.E.; Youssef, M.M. Antioxidant and antimicrobial activities and UPLC-ESI-MS/MS polyphenolic profile of sweet orange peel extracts. Curr. Res. Food Sci. 2021, 4, 326–335. [Google Scholar] [CrossRef] [PubMed]
- Wang, S.; Qin, Z.; Wang, Y.; Liu, L.; Tan, Z. A Novel Ethanolic Two-Phase System Based on Deep Eutectic Solvents and Amphiphilic Copolymer for the Extraction of Neohesperidin and Naringin from the Pomelo Peel. Foods 2022, 11, 2590. [Google Scholar] [CrossRef] [PubMed]
- Yao, L.; Liu, W.; Bashir, M.; Nisar, M.F.; Wan, C.C. Eriocitrin: A review of pharmacological effects. Biomed. Pharmacother. 2022, 154, 113563. [Google Scholar] [CrossRef]
- Wang, X.; Cao, Y.; Chen, S.; Lin, J.; Bian, J.; Huang, D. Anti-Inflammation Activity of Flavones and Their Structure–Activity Relationship. J. Agric. Food Chem. 2021, 69, 7285–7302. [Google Scholar] [CrossRef]
- Singh, B.; Singh, J.P.; Kaur, A.; Singh, N. Phenolic composition, antioxidant potential and health benefits of citrus peel. Food Res. Int. 2020, 132, 109114. [Google Scholar] [CrossRef]
- Abuelsaad, A.S.; Mohamed, I.; Allam, G.; Al-Solumani, A.A. Antimicrobial and immunomodulating activities of hesperidin and ellagic acid against diarrheic Aeromonas hydrophila in a murine model. Life Sci. 2013, 93, 714–722. [Google Scholar] [CrossRef]
- Aiello, P.; Consalvi, S.; Poce, G.; Raguzzini, A.; Toti, E.; Palmery, M.; Biava, M.; Bernardi, M.; Kamal, M.A.; Perry, G.; et al. Dietary flavonoids: Nano delivery and nanoparticles for cancer therapy. Semin. Cancer Biol. 2021, 69, 150–165. [Google Scholar] [CrossRef]
- Jia, B.; Yu, D.; Yu, G.; Cheng, Y.; Wang, Y.; Yi, X.; Li, X.; Wang, Y. Naringenin improve hepatitis C virus infection induced insulin resistance by increase PTEN expression via p53-dependent manner. Biomed. Pharmacother. 2018, 103, 746–754. [Google Scholar] [CrossRef]
- Zheng, Y.Y.; Zeng, X.; Peng, W.; Wu, Z.; Su, W.W. Characterisation and classification of Citri Reticulatae Pericarpium varieties based on UHPLC-Q-TOF-MS/MS combined with multivariate statistical analyses. Phytochem. Anal. 2019, 30, 278–291. [Google Scholar] [CrossRef]
- Pinto, C.; Cidade, H.; Pinto, M.; Tiritan, M.E. Chiral Flavonoids as Antitumor Agents. Pharmaceuticals 2021, 14, 1267. [Google Scholar] [CrossRef]
- Chen, Q.; Wang, D.; Tan, C.; Hu, Y.; Sundararajan, B.; Zhou, Z. Profiling of Flavonoid and Antioxidant Activity of Fruit Tissues from 27 Chinese Local Citrus Cultivars. Plants 2020, 9, 196. [Google Scholar] [CrossRef]
- Long, T.; Tang, Y.; He, Y.-N.; He, C.-L.; Chen, X.; Guo, M.-S.; Wu, J.-M.; Yu, L.; Yu, C.-L.; Law, B.Y.-K.; et al. Citri Reticulatae Semen Extract Promotes Healthy Aging and Neuroprotection via Autophagy Induction in Caenorhabditis elegans. J. Gerontol. Ser. A 2022, 77, 2186–2194. [Google Scholar] [CrossRef]
- Yang, W.; Liu, M.; Chen, B.; Ning, J.; Wang, K.; Cai, Y.; Yang, D.; Zheng, G. Comparative analysis of chemical constituents in Citri Exocarpium Rubrum, Citri Reticulatae Endocarpium Alba, and Citri Fructus Retinervus. Food Sci. Nutr. 2022, 10, 3009–3023. [Google Scholar] [CrossRef]
- Liu, N.; Li, X.; Zhao, P.; Zhang, X.; Qiao, O.; Huang, L.; Guo, L.; Gao, W. A review of chemical constituents and health-promoting effects of citrus peels. Food Chem. 2021, 365, 130585. [Google Scholar] [CrossRef]
- Uchiyama, N.; Kim, I.H.; Kawahara, N.; Goda, Y. HPLC separation of hesperidin and the C-2 epimer in commercial hesperidin samples and herbal medicines. Chirality 2005, 17, 373–377. [Google Scholar] [CrossRef]
- Wang, R.-Q.; Ong, T.-T.; Ng, S.-C. Chemically bonded cationic β-cyclodextrin derivatives and their applications in supercritical fluid chromatography. J. Chromatogr. A 2012, 1224, 97–103. [Google Scholar] [CrossRef]
- Zátopková, R.; Aturki, Z.; Bednář, P. Stereoisomer separation of flavanones and flavanone-7- O -glycosides by means of nanoliquid chromatography employing derivatized β-cyclodextrins as mobile-phase additive. J. Sep. Sci. 2020, 43, 3382–3390. [Google Scholar] [CrossRef]
- Yáñez, J.A.; Teng, X.W.; Roupe, K.A.; Davies, N.M. Stereospecific high-performance liquid chromatographic analysis of hesperetin in biological matrices. J. Pharm. Biomed. Anal. 2005, 37, 591–595. [Google Scholar] [CrossRef]
- Sun, Y.; Wang, J.; Gu, S.; Liu, Z.; Zhang, Y.; Zhang, X. Simultaneous determination of flavonoids in different parts of Citrus reticulata ‘Chachi’ fruit by high performance liquid chromatography—photodiode array detection. Molecules 2010, 15, 5378–5388. [Google Scholar] [CrossRef] [PubMed]
- Ha, S.K.; Park, H.-Y.; Eom, H.; Kim, Y.; Choi, I. Narirutin fraction from citrus peels attenuates LPS-stimulated inflammatory response through inhibition of NF-κB and MAPKs activation. Food Chem. Toxicol. 2012, 50, 3498–3504. [Google Scholar] [CrossRef] [PubMed]
- Tejada, S.; Pinya, S.; Martorell, M.; Capó, X.; Tur, J.A.; Pons, A.; Sureda, A. Potential Anti-inflammatory Effects of Hesperidin from the Genus Citrus. Curr. Med. Chem. 2018, 25, 4929–4945. [Google Scholar] [CrossRef] [PubMed]
- Krykunov, M.; Kundrat, M.D.; Autschbach, J. Calculation of circular dichroism spectra from optical rotatory dispersion, and vice versa, as complementary tools for theoretical studies of optical activity using time-dependent density functional theory. J. Chem. Phys. 2006, 125, 194110. [Google Scholar] [CrossRef]
- Chinese Pharmacopoeia Commission. Pharmacopoeia of the People’s Republic of China; China Medical Science Press: Beijing, China, 2020; Volume 4, pp. 480–483.
- Ma, Y.; He, Y.; Yin, T.; Chen, H.; Gao, S.; Hu, M. Metabolism of Phenolic Compounds in LPS-stimulated Raw264.7 Cells Can Impact Their Anti-inflammatory efficacy: Indication of Hesperetin. J. Agric. Food Chem. 2018, 66, 6042–6052. [Google Scholar] [CrossRef]




| Analytes | Structure | pKa a |
|---|---|---|
| Narirutin | ![]() | 7.18 |
| Hesperidin | ![]() | 7.15 |
| Analytes | Calibration Curves Equation | r | Linear Range (mg/mL) |
|---|---|---|---|
| 2S-narirutin | Y = 464.4x − 0.7986 | 0.9993 | 0.0055–0.0442 |
| 2R-narirutin | Y = 443.5x − 1.304 | 0.9994 | 0.0097–0.0776 |
| 2S-hesperidin | Y = 456x − 2.850 | 0.9999 | 0.0360–0.3598 |
| 2R-hesperidin | Y = 534.7x − 1.653 | 0.9998 | 0.0059–0.0330 |
| Analytes | Recovery | Precision (RSD%) | Stability (RSD%) | ||
|---|---|---|---|---|---|
| Mean% | RSD% | Intra-Day | Inter-Day | ||
| n = 6 | n = 6 | n = 6 | n = 6 | ||
| 2S-narirutin | 101.1 | 4.82 | 1.87 | 0.94 | 3.47 |
| 2R-narirutin | 121.9 | 4.44 | 1.94 | 1.34 | 1.62 |
| 2S-hesperidin | 107.6 | 5.90 | 1.68 | 0.64 | 0.79 |
| 2R-hesperidin | 114.0 | 3.96 | 3.30 | 3.52 | 3.93 |
| Sample | Origin | 2S-NRT (%) | 2S/2R | 2S-HPN (%) | 2S/2R |
|---|---|---|---|---|---|
| A | Zhejiang | 0.82 | 57.5:42.5 | 6.80 | 96.0:3.96 |
| B | Hunan | 0.43 | 55.2:44.8 | 5.97 | 95.7:4.3 |
| C | Hubei | 0.67 | 58.9:41.1 | 6.12 | 96.1:3.9 |
| D | Sichuan | 0.24 | 51.2:48.8 | 3.26 | 95.0:5.01 |
| E | Guangdong | / | / | 2.24 | 91.3:8.71 |
| F | Sichuan | 1.38 | 75.2:24.8 | 8.18 | 98.2:1.85 |
| G | Zhejiang | 2.12 | 81.9:18.1 | 10.9 | 98.1:1.91 |
| H | Hunan | 1.84 | 83.0:17.0 | 11.3 | 98.4:1.64 |
| I | Jiangxi | 1.23 | 68.8:31.2 | 8.41 | 97.5:2.53 |
| J | Hubei | 0.83 | 75.3:24.7 | 5.92 | 97.8:2.22 |
| K | Anhui | 0.36 | 65.2:34.8 | 5.81 | 96.3:3.66 |
| L | Guangdong | 0.35 | 69.7:30.3 | 4.92 | 95.4:4.58 |
| M | Yunnan | 0.37 | 62.8:37.2 | 4.88 | 97.0:3.0 |
Disclaimer/Publisher’s Note: The statements, opinions and data contained in all publications are solely those of the individual author(s) and contributor(s) and not of MDPI and/or the editor(s). MDPI and/or the editor(s) disclaim responsibility for any injury to people or property resulting from any ideas, methods, instructions or products referred to in the content. |
© 2023 by the authors. Licensee MDPI, Basel, Switzerland. This article is an open access article distributed under the terms and conditions of the Creative Commons Attribution (CC BY) license (https://creativecommons.org/licenses/by/4.0/).
Share and Cite
Jiang, B.; Cao, S.; Zhang, J.; Wang, Z. Chiral Separation, Configuration Confirmation and Bioactivity Determination of the Stereoisomers of Hesperidin and Narirutin in Citrus reticulata Blanco. Molecules 2023, 28, 873. https://doi.org/10.3390/molecules28020873
Jiang B, Cao S, Zhang J, Wang Z. Chiral Separation, Configuration Confirmation and Bioactivity Determination of the Stereoisomers of Hesperidin and Narirutin in Citrus reticulata Blanco. Molecules. 2023; 28(2):873. https://doi.org/10.3390/molecules28020873
Chicago/Turabian StyleJiang, Bingtong, Sirong Cao, Jiayu Zhang, and Zhaokun Wang. 2023. "Chiral Separation, Configuration Confirmation and Bioactivity Determination of the Stereoisomers of Hesperidin and Narirutin in Citrus reticulata Blanco" Molecules 28, no. 2: 873. https://doi.org/10.3390/molecules28020873
APA StyleJiang, B., Cao, S., Zhang, J., & Wang, Z. (2023). Chiral Separation, Configuration Confirmation and Bioactivity Determination of the Stereoisomers of Hesperidin and Narirutin in Citrus reticulata Blanco. Molecules, 28(2), 873. https://doi.org/10.3390/molecules28020873



