Evaluation of Antioxidant and Anticancer Activity of Mono- and Polyfloral Moroccan Bee Pollen by Characterizing Phenolic and Volatile Compounds
Abstract
1. Introduction
2. Results and Discussion
2.1. Color and Palynological Assessment
2.2. Total Phenolic and Flavonoid Content
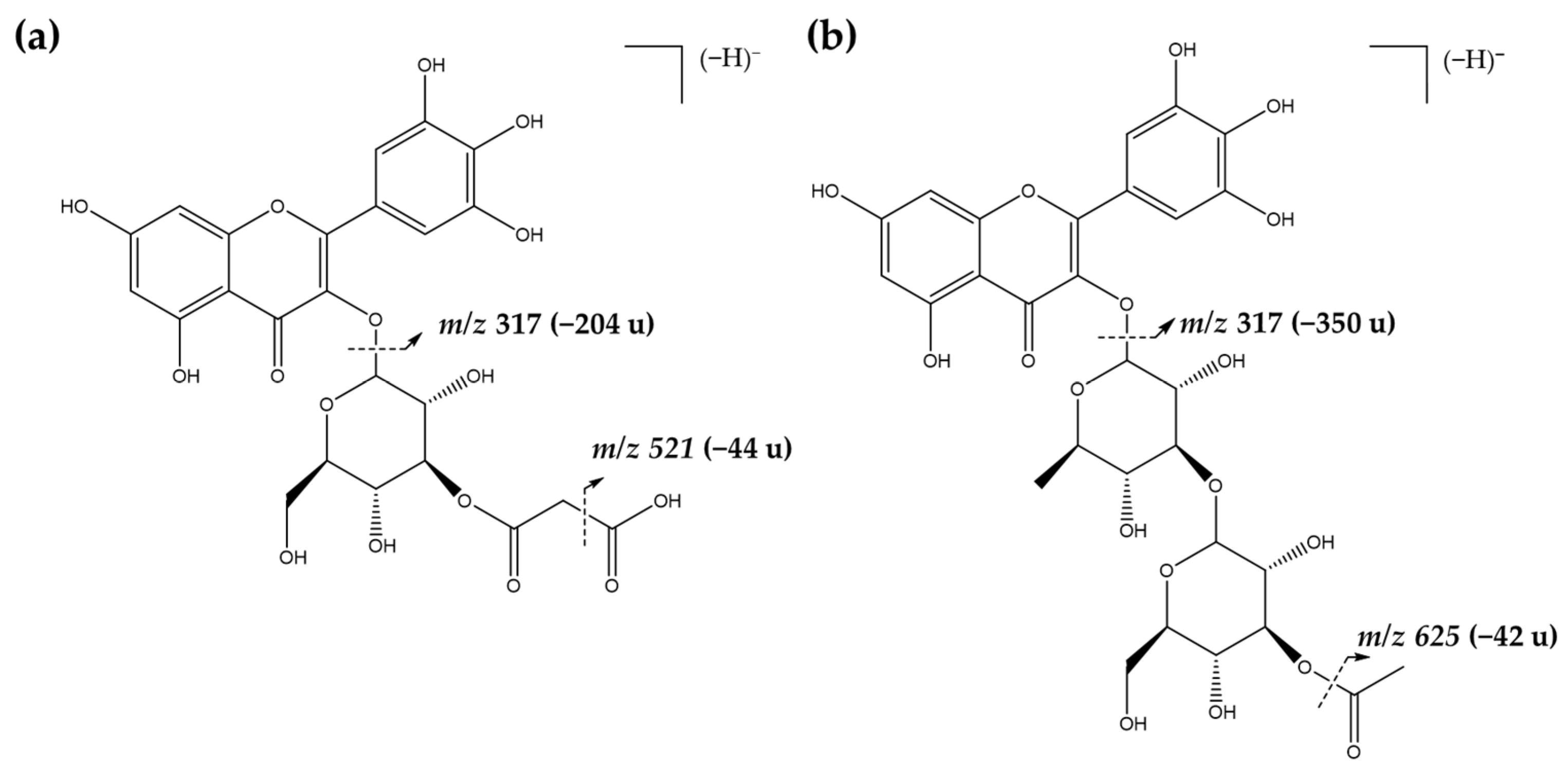
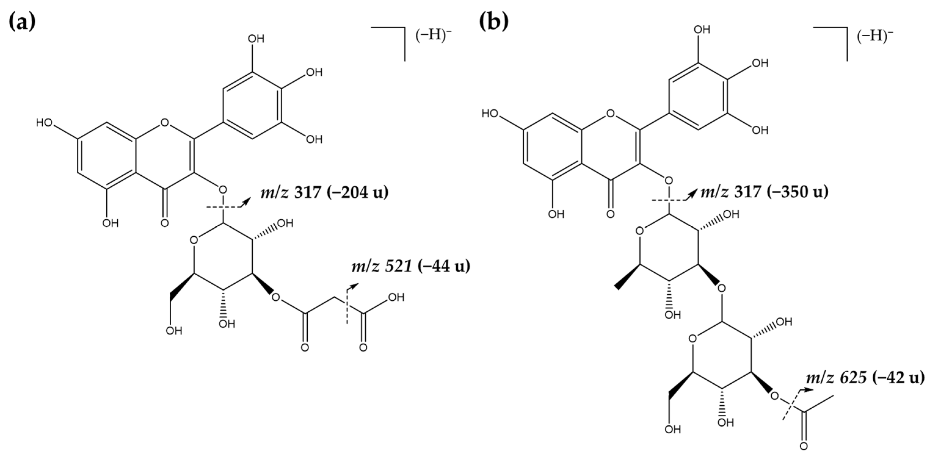
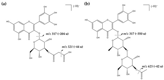
2.3. LC/DAD/ESI-MSn Bioactive Compounds Analysis
2.4. Volatile Compounds Profiling
2.5. Biological Activity
2.5.1. Antioxidant Capacity
2.5.2. Antitumor Activity
3. Materials and Methods
3.1. Collection and Preparation of Bee Pollen
3.2. Palynological Analysis
3.3. Extraction of Phenolic Compounds
3.4. Total Phenolic and Flavonoid Content
3.5. LC/DAD/ESI-MSn Analysis
3.6. Volatile Compounds Analysis
3.6.1. Solid Phase Microextraction
3.6.2. GC-MS Profiling and Quantification
3.7. Antioxidant Capacity of Bee Pollen
3.7.1. DPPH Free Radical Scavenging Activity
3.7.2. ABTS Free Radical Scavenging Activity
3.7.3. Reducing Power
3.8. Cytotoxic Activity
3.9. Statistical Analysis
4. Conclusions
Supplementary Materials
Author Contributions
Funding
Data Availability Statement
Conflicts of Interest
References
- Aylanc, V.; Falcão, S.I.; Ertosun, S.; Vilas-Boas, M. From the hive to the table: Nutrition value, digestibility and bioavailability of the dietary phytochemicals present in the bee pollen and bee bread. Trends Food Sci. Technol. 2021, 109, 464–481. [Google Scholar] [CrossRef]
- Camacho-Bernal, G.I.; Cruz-Cansino, N.D.S.; Ramírez-Moreno, E.; Delgado-Olivares, L.; Zafra-Rojas, Q.Y.; Castañeda-Ovando, A.; Suárez-Jacobo, Á. Addition of Bee Products in Diverse Food Sources: Functional and Physicochemical Properties. Appl. Sci. 2021, 11, 8156. [Google Scholar] [CrossRef]
- Kurek-Górecka, A.; Górecki, M.; Rzepecka-Stojko, A.; Balwierz, R.; Stojko, J. Bee Products in Dermatology and Skin Care. Molecules 2020, 25, 556. [Google Scholar] [CrossRef] [PubMed]
- El-Ghouizi, A.; El-Menyiy, N.; Falcão, S.I.; Vilas-Boas, M.; Lyoussi, B. Chemical composition, antioxidant activity, and diuretic effect of Moroccan fresh bee pollen in rats. Vet. World 2020, 13, 1251. [Google Scholar] [CrossRef] [PubMed]
- Touzani, S.; Al-Wailib, N.; Imtara, H.; Aboulghazia, A.; Hammasd, N.; Falcão, S.; Vilas-Boas, M.; El Arabi, I.; Al-Waili, W.; Lyoussi, B. Arbutus Unedo Honey and Propolis Ameliorate Acute Kidney Injury, Acute Liver Injury, and Proteinuria via Hypoglycemic and Antioxidant Activity in Streptozotocin-Treated Rats. Cell. Physiol. Biochem. 2022, 56, 66–81. [Google Scholar]
- El Mehdi, I.; Falcão, S.I.; Harandou, M.; Boujraf, S.; Calhelha, R.C.; Ferreira, I.C.F.R.; Anjos, O.; Campos, M.G.; Vilas-Boas, M. Chemical, cytotoxic, and anti-inflammatory assessment of honey bee venom from Apis mellifera intermissa. Antibiotics 2021, 10, 1514. [Google Scholar] [CrossRef]
- Kieliszek, M.; Piwowarek, K.; Kot, A.M.; Błażejak, S.; Chlebowska-Śmigiel, A.; Wolska, I. Pollen and bee bread as new health-oriented products: A review. Trends Food Sci. Technol. 2018, 71, 170–180. [Google Scholar] [CrossRef]
- Mutlu, C.; Tontul, S.A.; Erbaş, M. Production of a minimally processed jelly candy for children using honey instead of sugar. LWT 2018, 93, 499–505. [Google Scholar] [CrossRef]
- Pełka, K.; Bucekova, M.; Godocikova, J.; Szweda, P.; Majtan, J. Glucose oxidase as an important yet overlooked factor determining the antibacterial activity of bee pollen and bee bread. Eur. Food Res. Technol. 2022, 248, 2929–2939. [Google Scholar] [CrossRef]
- Aylanc, V.; Tomás, A.; Russo-Almeida, P.; Falcão, S.I.; Vilas-Boas, M. Assessment of bioactive compounds under simulated gastrointestinal digestion of bee pollen and bee bread: Bioaccessibility and antioxidant activity. Antioxidants 2021, 10, 651. [Google Scholar] [CrossRef]
- Conte, P.; del Caro, A.; Balestra, F.; Piga, A.; Fadda, C. Bee pollen as a functional ingredient in gluten-free bread: A physical-chemical, technological and sensory approach. LWT 2018, 90, 1–7. [Google Scholar] [CrossRef]
- Krystyjan, M.; Gumul, D.; Ziobro, R.; Korus, A. The fortification of biscuits with bee pollen and its effect on physicochemical and antioxidant properties in biscuits. LWT 2015, 63, 640–646. [Google Scholar] [CrossRef]
- Turhan, S.; Saricaoglu, F.T.; Mortas, M.; Yazici, F.; Genccelep, H. Evaluation of Color, Lipid Oxidation and Microbial Quality in Meatballs Formulated with Bee Pollen During Frozen Storage. J. Food Process. Preserv. 2017, 41, e12916. [Google Scholar] [CrossRef]
- Rzepecka-Stojko, A.; Stojko, J.; Kurek-Górecka, A.; Górecki, M.; Kabała-Dzik, A.; Kubina, R.; Moździerz, A.; Buszman, E.; Iriti, M. Polyphenols from Bee Pollen: Structure, Absorption, Metabolism and Biological Activity. Molecules 2015, 20, 21732–21749. [Google Scholar] [CrossRef] [PubMed]
- Mohamed, N.A.; Ahmed, O.M.; Hozayen, W.G.; Ahmed, M.A. Ameliorative effects of bee pollen and date palm pollen on the glycemic state and male sexual dysfunctions in streptozotocin-Induced diabetic wistar rats. Biomed. Pharmacother. 2018, 97, 9–18. [Google Scholar] [CrossRef] [PubMed]
- Anjos, O.; Fernandes, R.; Cardoso, S.M.; Delgado, T.; Farinha, N.; Paula, V.; Estevinho, L.M.; Carpes, S.T. Bee pollen as a natural antioxidant source to prevent lipid oxidation in black pudding. LWT 2019, 111, 869–875. [Google Scholar] [CrossRef]
- Aylanc, V.; Ertosun, S.; Russo-Almeida, P.; Falcão, S.I.; Vilas-Boas, M. Performance of green and conventional techniques for the optimal extraction of bioactive compounds in bee pollen. Int. J. Food Sci. Technol. 2022, 57, 3490–3502. [Google Scholar] [CrossRef]
- Khan, H.Y.; Mohammad, R.M.; Azmi, A.S.; Hadi, S.M. Functional Foods in Cancer Prevention and Therapy; Academic Press: Cambridge, MA, USA, 2020; pp. 221–236. [Google Scholar]
- Rice-Evans, C.A.; Miller, N.J.; Paganga, G. Structure-antioxidant activity relationships of flavonoids and phenolic acids. Free Radic. Biol. Med. 1996, 20, 933–956. [Google Scholar] [CrossRef]
- Morton, L.W.; Caccetta, R.A.A.; Puddey, I.B.; Croft, K.D. Chemistry And Biological Effects Of Dietary Phenolic Compounds: Relevance To Cardiovascular Disease. Clin. Exp. Pharmacol. Physiol. 2000, 27, 152–159. [Google Scholar] [CrossRef]
- Aylanc, V.; Eskin, B.; Zengin, G.; Dursun, M.; Cakmak, Y.S. In vitro studies on different extracts of fenugreek (Trigonella spruneriana BOISS.): Phytochemical profile, antioxidant activity, and enzyme inhibition potential. J. Food Biochem. 2020, 44, e13463. [Google Scholar] [CrossRef]
- Barth, O.M.; Freitas, A.S.; Oliveira, É.S.; Silva, R.A.; Maester, F.M.; Andrella, R.R.S.; Cardozo, G.M.B.Q. Evaluation of the botanical origin of commercial dry bee pollen load batches using pollen analysis: A proposal for technical standardization. An. Acad. Bras. Cienc. 2010, 82, 893–902. [Google Scholar] [CrossRef] [PubMed]
- Campos, M.G.R.; Bogdanov, S.; de Almeida-Muradian, L.B.; Szczesna, T.; Mancebo, Y.; Frigerio, C.; Ferreira, F. Pollen composition and standardisation of analytical methods. J. Apic. Res. 2008, 47, 154–161. [Google Scholar] [CrossRef]
- Díez, M.J.; Andrés, C.; Terrab, A. Physicochemical parameters and pollen analysis of Moroccan honeydew honeys. Int. J. Food Sci. Technol. 2004, 39, 167–176. [Google Scholar] [CrossRef]
- Bakour, M.; Fernandes, Â.; Barros, L.; Sokovic, M.; Ferreira, I.C.F.R.; Lyoussi, B. Bee bread as a functional product: Chemical composition and bioactive properties. LWT 2019, 109, 276–282. [Google Scholar] [CrossRef]
- Aryal, S.; Baniya, M.K.; Danekhu, K.; Kunwar, P.; Gurung, R.; Koirala, N. Total Phenolic Content, Flavonoid Content and Antioxidant Potential of Wild Vegetables from Western Nepal. Plants 2019, 8, 96. [Google Scholar] [CrossRef]
- Morais, M.; Moreira, L.; Feás, X.; Estevinho, L.M. Honeybee-collected pollen from five Portuguese Natural Parks: Palynological origin, phenolic content, antioxidant properties and antimicrobial activity. Food Chem. Toxicol. 2011, 49, 1096–1101. [Google Scholar] [CrossRef]
- Araújo, J.S.; Chambó, E.D.; Costa, M.A.P.d.C.; da Silva, S.M.P.C.; de Carvalho, C.A.L.; Estevinho, L.M. Chemical Composition and Biological Activities of Mono- and Heterofloral Bee Pollen of Different Geographical Origins. Int. J. Mol. Sci. 2017, 18, 921. [Google Scholar] [CrossRef]
- Kaškonienė, V.; Ruočkuvienė, G.; Kaškonas, P.; Akuneca, I.; Maruška, A. Chemometric Analysis of Bee Pollen Based on Volatile and Phenolic Compound Compositions and Antioxidant Properties. Food Anal. Methods 2015, 8, 1150–1163. [Google Scholar] [CrossRef]
- Kahraman, H.A.; Tutun, H.; Kaya, M.M.; Usluer, M.S.; Tutun, S.; Yaman, C.; Sevin, S.; Keyvan, E. Ethanolic extract of Turkish bee pollen and propolis: Phenolic composition, antiradical, antiproliferative and antibacterial activities. Biotechnol. Biotechnol. Equip. 2022, 36, 44–55. [Google Scholar] [CrossRef]
- Gercek, Y.C.; Celik, S.; Bayram, A.S. Screening of Plant Pollen Sources, Polyphenolic Compounds, Fatty Acids and Antioxidant/Antimicrobial Activity from Bee Pollen. Molecules 2021, 27, 117. [Google Scholar] [CrossRef]
- Vogt, T. Unusual spermine-conjugated hydroxycinnamic acids on pollen: Function and evolutionary advantage. J. Exp. Bot. 2018, 69, 5311–5315. [Google Scholar] [CrossRef] [PubMed]
- Edreva, A.M.; Velikova, V.B.; Tsonev, T.D. Phenylamides in plants. Russ. J. Plant Physiol. 2007, 54, 287–301. [Google Scholar] [CrossRef]
- Kang, J.; Price, W.E.; Ashton, J.; Tapsell, L.C.; Johnson, S. Identification and characterization of phenolic compounds in hydromethanolic extracts of sorghum wholegrains by LC-ESI-MSn. Food Chem. 2016, 211, 215–226. [Google Scholar] [CrossRef]
- Sobral, F.; Calhelha, R.C.; Barros, L.; Dueñas, M.; Tomás, A.; Santos-Buelga, C.; Vilas-Boas, M.; Ferreira, I.C.F.R. Flavonoid composition and antitumor activity of bee bread collected in northeast Portugal. Molecules 2017, 22, 248. [Google Scholar] [CrossRef] [PubMed]
- Llorach, R.; Gil-Izquierdo, A.; Ferreres, F.; Tomás-Barberán, F.A. HPLC-DAD-MS/MS ESI Characterization of Unusual Highly Glycosylated Acylated Flavonoids from Cauliflower (Brassica oleracea L. var. botrytis) Agroindustrial Byproducts. J. Agric. Food Chem. 2003, 51, 3895–3899. [Google Scholar] [CrossRef] [PubMed]
- Falcão, S.I.; Vale, N.; Gomes, P.; Domingues, M.R.M.; Freire, C.; Cardoso, S.M.; Vilas-Boas, M. Phenolic profiling of Portuguese propolis by LC–MS spectrometry: Uncommon propolis rich in flavonoid glycosides. Phytochem. Anal. 2012, 24, 309–318. [Google Scholar] [CrossRef]
- Mihajlovic, L.; Radosavljevic, J.; Burazer, L.; Smiljanic, K.; Velickovic, T.C. Composition of polyphenol and polyamide compounds in common ragweed (Ambrosia artemisiifolia L.) pollen and sub-pollen particles. Phytochemistry 2015, 109, 125–132. [Google Scholar] [CrossRef]
- Lima Neto, J.D.S.; Lopes, J.A.D.; Moita Neto, J.M.; de Lima, S.G.; da Luz, C.F.P.; Citó, A.M.D.G.L. Volatile compounds and palynological analysis from pollen pots of stingless bees from the mid-north region of Brazil. Braz. J. Pharm. Sci. 2017, 53, 14093. [Google Scholar] [CrossRef]
- Prdun, S.; Svečnjak, L.; Valentić, M.; Marijanović, Z.; Jerković, I. Characterization of Bee Pollen: Physico-Chemical Properties, Headspace Composition and FTIR Spectral Profiles. Foods 2021, 10, 2103. [Google Scholar] [CrossRef]
- Utto, W.; Mawson, A.J.; Bronlund, J.E. Hexanal reduces infection of tomatoes by Botrytis cinerea whilst maintaining quality. Postharvest Biol. Technol. 2008, 47, 434–437. [Google Scholar] [CrossRef]
- Dudonné, S.; Vitrac, X.; Coutiére, P.; Woillez, M.; Mérillon, J.M. Comparative Study of Antioxidant Properties and Total Phenolic Content of 30 Plant Extracts of Industrial Interest Using DPPH, ABTS, FRAP, SOD, and ORAC Assays. J. Agric. Food Chem. 2009, 57, 1768–1774. [Google Scholar] [CrossRef]
- Ravishankar, D.; Rajora, A.K.; Greco, F.; Osborn, H.M.I. Flavonoids as prospective compounds for anti-cancer therapy. Int. J. Biochem. Cell Biol. 2013, 45, 2821–2831. [Google Scholar] [CrossRef]
- Lee, G.A.; Choi, K.C.; Hwang, K.A. Kaempferol, a phytoestrogen, suppressed triclosan-induced epithelial-mesenchymal transition and metastatic-related behaviors of MCF-7 breast cancer cells. Environ. Toxicol. Pharmacol. 2017, 49, 48–57. [Google Scholar] [CrossRef] [PubMed]
- Louveaux, J.; Maurizio, A.; Vorwohl, G. Methods of Melissopalynology. Bee World 2015, 59, 139–157. [Google Scholar] [CrossRef]
- Rodríguez-Flores, M.S.; Falcão, S.I.; Escuredo, O.; Seijo, M.C.; Vilas-Boas, M. Description of the volatile fraction of Erica honey from the northwest of the Iberian Peninsula. Food Chem. 2021, 336, 127758. [Google Scholar] [CrossRef] [PubMed]
- Bicudo de Almeida-Muradian, L.; Monika Barth, O.; Dietemann, V.; Eyer, M.; Freitas, A.d.S.d.; Martel, A.C.; Marcazzan, G.L.; Marchese, C.M.; Mucignat-Caretta, C.; Pascual-Maté, A.; et al. Standard methods for Apis mellifera honey research. J. Apic. Res. 2020, 59, 1–62. [Google Scholar] [CrossRef]
- Abreu, R.M.V.; Ferreira, I.C.F.R.; Calhelha, R.C.; Lima, R.T.; Vasconcelos, M.H.; Adega, F.; Chaves, R.; Queiroz, M.J.R.P. Anti-hepatocellular carcinoma activity using human HepG2 cells and hepatotoxicity of 6-substituted methyl 3-aminothieno[3,2-b]pyridine-2-carboxylate derivatives: In vitro evaluation, cell cycle analysis and QSAR studies. Eur. J. Med. Chem. 2011, 46, 5800–5806. [Google Scholar] [CrossRef]





| Geographical Location | Sample Code | Visual Color | Family | Relative Frequency (%) of Pollen Types | Classification |
|---|---|---|---|---|---|
| Larache, MR | BP1 | Light purple | Apiaceae | Coriandrum and Daucus sp. (100%) | Monofloral |
| Khenichat, MR | BP2 | Yellow | Brassicaceae | Brassica sp. (60%), Sinapis sp. (30%) and Tamarix sp. (˂10%) | Polyfloral |
| Had Kourt, MR | BP3 | Orange | Asteraceae | Carduus/Galactites sp. (35%), Taraxacum sp. (17%), Scorzonera/Lactuca sp. (8%), Bellis sp. (8%), Olea europea (8%) and Echium sp. (6%), Eucalyptus sp. (3%) | Polyfloral |
| Kenitra, MR | BP4 | Dark yellow | Oleaceae | Olea europaea (˃85%), Tamarix sp. (˂5%) | Monofloral |
| Fez, MR | BP5 | Dark yellow | Brassicaceae | Raphanus sp. (˃80%) and Sinapis sp. (˂10%) | Monofloral |
| Sefrou, MR | BP6 | Orange | Cistaceae | Helianthemum sp. (˃70%) and Anthemis sp. (˂10%), Lhytrum sp. (˂5%) | Polyfloral |
| Arfoud, MR | BP7 | Light yellow | Fabaceae | Ononis spinosa/Astralagus sp. (˃90%), Lhytrum sp. and Quercus sp. (˂10%) | Monofloral |
| Taza, MR | BP8 | Yellow | Fabaceae | Ononis spinosa/Astralagus sp. (˃90%), Lhytrum sp. and Quercus sp. (˂10%) | Monofloral |
| Peak | Proposed Compound | BP1 | BP2 | BP3 | BP4 | BP5 | BP6 | BP7 | BP8 |
|---|---|---|---|---|---|---|---|---|---|
| 1 | Caffeic acid hexoside | 0.36 ± 0.40 | nd | nd | nd | 0.14 ± 0.00 | nd | nd | nd |
| 2 | Caffeic acid | nd | nd | nd | nd | nd | nd | nd | 0.15 ± 0.00 |
| 3 | p-coumaric acid hexoside | 0.22 ± 0.02 | 0.16 ± 0.00 | nd | nd | nd | nd | nd | nd |
| 4 | Myricetin-3-O-rutinoside | nd | nd | 0.17 ± 0.00 | nd | nd | 0.80 ± 0.01 | nd | nd |
| 5 | Quercetin-O-diglucoside | 0.98 ± 0.02 | 1.77 ± 0.01 | 0.20 ± 0.00 | 3.30 ± 0.12 | 1.15 ± 0.10 | 0.53 ± 0.21 | 0.74 ± 0.00 | 0.43 ± 0.00 |
| 6 | Myricetin-O-acetyl deoxyhexosyl-hexoside | nd | nd | nd | nd | nd | 0.18 ± 0.01 | nd | nd |
| 7 | Methylherbacetin-O-dihexoside | nd | 0.17 ± 0.00 | 0.18 ± 0.01 | nd | nd | nd | nd | nd |
| 8 | Myricetin-O-hexoside | nd | nd | nd | nd | nd | 0.20 ± 0.01 | nd | nd |
| 9 | Quercetin-O-pentosyl-hexoside | nd | nd | nd | nd | nd | nd | nd | 0.17 ± 0.00 |
| 10 | Quercetin-3-O-rutinoside | nd | nd | 0.21 ± 0.00 | 0.38 ± 0.01 | 0.33 ± 0.06 | 0.48 ± 0.02 | nd | nd |
| 11 | Kaempferol-O-diglucoside | nd | 0.74 ± 0.00 | nd | nd | 0.83 ± 0.01 | nd | 0.30 ± 0.04 | 0.22 ± 0.00 |
| 12 | Isorhamnetin-O-deoxyhexosyl-O-hexoside | nd | nd | nd | 0.24 ± 0.01 | nd | nd | nd | nd |
| 13 | Myricetin-O-malonyl hexoside | nd | nd | nd | nd | nd | 0.24 ± 0.00 | nd | nd |
| 14 | Methylherbacetin-3-O-rutinoside | nd | nd | 0.18 ± 0.00 | nd | nd | nd | nd | 0.17 ± 0.00 |
| 15 | Kaempferol-O-deoxyhexosyl-O-hexoside | nd | nd | nd | nd | 0.22 ± 0.01 | 0.32 ± 0.01 | nd | nd |
| 16 | Isorhamnetin-O-pentosyl-hexoside | nd | nd | 0.18 ± 0.01 | nd | nd | nd | 0.17 ± 0.00 | 0.17 ± 0.00 |
| 17 | Isorhamnetin-O-pentosyl-hexoside (isomer) | nd | nd | nd | nd | nd | nd | nd | 0.20 ± 0.00 |
| 18 | p-coumaric acid | 0.20 ± 0.00 | nd | nd | nd | nd | nd | nd | nd |
| 19 | Quercetin-O-malonyl deoxyhexosyl-hexoside | nd | nd | nd | nd | nd | 0.23 ± 0.03 | nd | nd |
| 20 | Kaempferol-3-O-rutinoside | nd | nd | 0.17 ± 0.01 | nd | 0.30 ± 0.05 | 0.29 ± 0.00 | 0.23 ± 0.01 | 0.18 ± 0.00 |
| 21 | Isorhamnetin-3-O-hexosyl-deoxyhexoside | nd | nd | nd | nd | nd | nd | nd | 0.81 ± 0.20 |
| 22 | Quercetin-3-O-glucoside | nd | nd | nd | 0.35 ± 0.00 | nd | 0.19 ± 0.00 | nd | nd |
| 23 | Isorhamnetin-O-malonyl rutinoside | nd | nd | 0.21 ± 0.00 | nd | nd | nd | nd | nd |
| 24 | Isorhamnetin-O-malonyl pentosyl-hexoside | nd | nd | 0.28 ± 0.00 | nd | nd | nd | nd | nd |
| 25 | Quercetin-O-malonyl hexoside | nd | nd | 0.22 ± 0.00 | nd | nd | 0.84 ± 0.00 | nd | nd |
| 26 | 3’,4’,5’,3,5,6,7-heptahydroxy-flavonol-O-malonyl hexoside | nd | nd | nd | nd | nd | 0.18 ± 0.00 | nd | nd |
| 27 | Quercetin-O-malonyl hexoside (isomer) | nd | nd | nd | nd | nd | 0.17 ± 0.00 | nd | nd |
| 28 | Quercetin-3-O-rhamnoside | 0.20 ± 0.01 | nd | nd | nd | nd | 1.19 ± 0.00 | nd | nd |
| 29 | Isorhamnetin-3-O-glucoside | nd | nd | 0.20 ± 0.00 | nd | nd | 0.20 ± 0.00 | nd | 0.16 ± 0.00 |
| 30 | Kaempferol-O-malonyl rutinoside | nd | nd | 0.19 ± 0.01 | nd | nd | 0.25 ± 0.01 | nd | nd |
| 31 | Isorhamnetin-O-malonyl hexoside | nd | nd | 0.26 ± 0.00 | nd | nd | 0.37 ± 0.01 | nd | nd |
| 32 | Kaempferol-3-O-rhamnoside | 1.60 ± 0.01 | nd | 0.21 ± 0.01 | 0.38 ± 0.03 | nd | nd | nd | 0.17 ± 0.00 |
| 33 | Quercetin-3-O-rhamnoside | 0.20 ± 0.01 | nd | nd | nd | nd | 1.19 ± 0.00 | nd | nd |
| 34 | N¹-p-coumaroyl-N⁵, N¹⁰-dicaffeoylspermidine | nd | nd | nd | nd | 0.24 ± 0.06 | 0.16 ± 0.00 | 0.36 ± 0.01 | nd |
| 35 | N¹, N⁵, N¹⁰-tri-p-coumaroylspermidine | nd | nd | 0.15 ± 0.00 | nd | 0.18 ± 0.00 | nd | nd | nd |
| 36 | Kaempferol | nd | nd | nd | nd | nd | 0.30 ± 0.00 | 2.80 ± 0.03 | 0.42 ± 0.00 |
| 37 | Isorhamnetin | nd | nd | nd | nd | nd | 0.19 ± 0.00 | 1.57 ± 0.08 | 0.15 ± 0.00 |
| 38 | N¹, N⁵-di-p-coumaroyl-N¹⁰-caffeoylspermidine | nd | nd | nd | nd | nd | nd | 0.51 ± 0.02 | nd |
| 39 | N¹, N⁵, N¹⁰-tri-p-coumaroylspermidine (isomer) | nd | nd | nd | nd | 0.25 ± 0.00 | 0.23 ± 0.00 | 2.48 ± 0.01 | 0.24 ± 0.00 |
| 40 | N¹, N⁵, N¹⁰-tri-p-coumaroylspermidine (isomer) | nd | nd | nd | nd | 0.19 ± 0.02 | 0.19 ± 0.00 | 1.61 ± 0.01 | 0.17 ± 0.00 |
| 41 | N¹, N⁵, N¹⁰-tri-p-coumaroylspermidine (isomer) | nd | nd | nd | nd | nd | nd | 0.61 ± 0.02 | 0.15 ± 0.00 |
| 42 | N¹, N⁵, N¹⁰-tri-p-coumaroylspermidine (isomer) | nd | nd | 0.19 ± 0.06 | nd | 0.32 ± 0.00 | 0.34 ± 0.00 | 10.52 ± 0.11 | 0.22 ± 0.00 |
| 43 | Tetracoumaroyl spermine | nd | nd | 0.20 ± 0.04 | nd | nd | 0.15 ± 0.01 | nd | nd |
| 44 | Tetracoumaroyl spermine (isomer) | nd | nd | 0.23 ± 0.06 | nd | nd | 0.22 ± 0.04 | nd | nd |
| 45 | Tetracoumaroyl spermine (isomer) | nd | nd | 0.14 ± 0.00 | nd | nd | nd | nd | nd |
| 46 | Tetracoumaroyl spermine (isomer) | nd | nd | 0.17 ± 0.01 | nd | nd | nd | nd | nd |
| 47 | Tetracoumaroyl spermine (isomer) | nd | nd | 0.16 ± 0.02 | nd | nd | nd | nd | nd |
| 48 | Tetracoumaroyl spermine (isomer) | nd | nd | 0.16 ± 0.02 | nd | nd | 0.16 ± 0.01 | nd | nd |
| Total phenolic acids (mg/g) | 0.78 | 0.16 | – | – | 0.14 | – | – | 0.15 | |
| Total flavonoids (mg/g) | 2.98 | 2.68 | 2.86 | 4.65 | 2.83 | 8.82 | 5.81 | 3.25 | |
| Total phenylamide derivatives (mg/g) | – | – | 1.40 | – | 1.18 | 1.45 | 16.09 | 0.78 |
| Peak | Compound | BP1 | BP2 | BP3 | BP4 | BP5 | BP6 | BP7 | BP8 |
|---|---|---|---|---|---|---|---|---|---|
| 1 | 2-propenylidene-cyclobutene | nd | nd | nd | nd | 4.3 ± 0.7 | nd | nd | 4.7 ± 1.5 |
| 2 | Hexanal | 5.3 ± 0.8 | 14.92 ± 2.5 | nd | nd | nd | 12.3 ± 1.4 | 21.0 ± 2.3 | 59.8 ± 5.9 |
| 3 | 2-hexenal | 2.2 ± 0.7 | nd | nd | nd | nd | nd | 5.5 ± 0.3 | 8.5 ± 2.4 |
| 4 | Heptanal | nd | nd | nd | nd | nd | nd | nd | 6.2 ± 0.3 |
| 5 | 2,5-dimethyl-pyrazine | 3.9 ± 1.8 | nd | nd | nd | nd | nd | nd | nd |
| 6 | 1,2-cyclopentanedione | nd | nd | nd | 0.9 ± 0.0 | nd | nd | nd | nd |
| 7 | 2,4-heptadienal | 8.5 ± 2.9 | 33.6 ± 12.1 | nd | nd | nd | nd | 11.5 ± 1.2 | nd |
| 8 | Ethyl hexanoate | nd | nd | nd | nd | nd | 5.0 ± 0.8 | nd | nd |
| 9 | Octanal | 16.6 ± 1.3 | nd | nd | nd | nd | nd | nd | nd |
| 10 | 2,4-heptadienal (isomer) | 9.2 ± 0.3 | nd | nd | nd | nd | nd | nd | nd |
| 11 | Hexanoic acid | nd | nd | 20.3 ± 3.4 | nd | 20.5 ± 2.3 | nd | nd | nd |
| 12 | Eucalyptol | nd | 10.6 ± 1.6 | nd | nd | nd | 6.4 ± 0.5 | nd | nd |
| 13 | 3,5-octadien-2-one | 22.9 ± 2.1 | 27.5 ± 1.8 | nd | nd | 2.6 ± 1.2 | 12.4 ± 1.3 | 23.9 ± 3.4 | nd |
| 14 | 2,6,6-trimethylbicyclo [3.1.1]hept-3-ylamine | 5.9 ± 1.0 | nd | nd | nd | nd | nd | nd | nd |
| 15 | 3,5-octadien-2-one (isomer) | 12.7 ± 3.6 | nd | nd | nd | nd | nd | 25.6 ± 1.0 | nd |
| 16 | Nonanal | 1.9 ± 0.6 | nd | nd | 1.3 ± 0.1 | nd | nd | 1.7 ± 0.2 | 5.1 ± 1.1 |
| 17 | Cis-β-terpineol | nd | nd | nd | nd | 8.3 ± 0.8 | nd | nd | nd |
| 18 | Methyl octanoate | nd | nd | nd | nd | nd | nd | 1.4 ± 0.1 | nd |
| 19 | Lilac aldehyde D | 1.4 ± 0.1 | nd | nd | nd | nd | nd | nd | nd |
| 20 | 2,6-nonadienal | nd | nd | nd | nd | nd | nd | nd | 3.0 ± 0.3 |
| 21 | Isopinocarveol | nd | nd | nd | nd | nd | nd | 1.3 ± 0.5 | nd |
| 22 | Octanoic acid | 4.3 ± 0.1 | 7.4 ± 0.6 | 2.9 ± 0.7 | 5.2 ± 1.4 | 7.5 ± 1.4 | 7.7 ± 0.8 | 1.9 ± 0.4 | nd |
| 23 | Ethyl octanoate | nd | 5.9 ± 2.0 | 14.8 ± 2.7 | 3.3 ± 0.2 | nd | nd | 1.2 ± 0.4 | nd |
| 24 | Lilac alcohol D | 3.8 ± 0.7 | nd | nd | nd | nd | nd | nd | nd |
| 25 | β-cyclocitral | nd | nd | nd | nd | 2.7 ± 0.6 | nd | nd | nd |
| 26 | Methyl 7-hexanoate | nd | nd | nd | nd | nd | 1.4 ± 0.4 | nd | nd |
| 27 | Methyl nonanoate | nd | nd | nd | nd | nd | nd | 1.5 ± 0.5 | nd |
| 28 | Anisaldehyde | nd | nd | nd | 5.7 ± 1.4 | nd | nd | nd | nd |
| 29 | Geranyl vinyl ether | nd | nd | 0.5 ± 0.0 | nd | nd | nd | nd | nd |
| 30 | 3-cyclohex-1-enyl-prop-2-enal | 1.3 ± 0.2 | nd | nd | nd | nd | nd | nd | nd |
| 31 | 2-methyl-1-nonene-3-ine | nd | nd | nd | nd | nd | nd | nd | 3.0 ± 0.2 |
| 32 | Ethyl nonanoate | nd | nd | 3.1 ± 1.2 | 3.3 ± 0.2 | 7.41 ± 2.00 | nd | 1.2 ± 0.8 | nd |
| 33 | Nonanoic acid | nd | nd | nd | nd | 8.22 ± 2.50 | nd | 1.6 ± 0.2 | nd |
| 34 | Methyl 8-methyl-nonanoate | nd | nd | nd | nd | nd | nd | 0.7 ± 0.1 | nd |
| 35 | 3-methyl-2-pent-2-enyl-cyclopent-2-enone | nd | nd | nd | 2.4 ± 0.7 | nd | nd | nd | nd |
| 36 | Ethyl decanoate | nd | nd | nd | nd | nd | 10.9 ± 2.5 | nd | nd |
| 37 | Methyl octanoate | nd | nd | 11.5 ± 3.0 | 13.1 ± 2.3 | nd | 11.8 ± 2.1 | nd | nd |
| 38 | Caryophyllene | nd | nd | nd | 3.8 ± 0.3 | nd | nd | nd | nd |
| 39 | Decanoic acid | nd | nd | nd | nd | nd | 22.8 ± 1.3 | nd | nd |
| 40 | 6,10-dimethyl-5,9-undecadien-2-one | nd | nd | nd | 8.4 ± 1.4 | 17.6 ± 2.8 | nd | nd | nd |
| 41 | 4,6-dimethyl-(Z)-5,9-undecadien-2-one | nd | nd | 5.7 ± 0.2 | nd | nd | nd | nd | nd |
| 42 | β-ionone | nd | nd | nd | nd | 1.6 ± 0.3 | nd | nd | nd |
| 43 | β-ionone epoxide | nd | nd | nd | nd | 11.7 ± 0.1 | nd | nd | nd |
| 44 | 10-methyl-methyl undecanoate | nd | nd | 1.1 ± 0.5 | nd | nd | nd | nd | nd |
| 45 | Ethyl decanoate | nd | nd | 16.7 ± 4.3 | 1.4 ± 0.4 | nd | nd | nd | nd |
| 46 | Ethyl dodecanoate | nd | nd | nd | nd | 7.4 ± 1.8 | nd | nd | nd |
| 47 | 5-(1-piperidyl)-furan-2-carboxaldehyde | nd | nd | 2.7 ± 1.4 | nd | nd | nd | nd | nd |
Disclaimer/Publisher’s Note: The statements, opinions and data contained in all publications are solely those of the individual author(s) and contributor(s) and not of MDPI and/or the editor(s). MDPI and/or the editor(s) disclaim responsibility for any injury to people or property resulting from any ideas, methods, instructions or products referred to in the content. |
© 2023 by the authors. Licensee MDPI, Basel, Switzerland. This article is an open access article distributed under the terms and conditions of the Creative Commons Attribution (CC BY) license (https://creativecommons.org/licenses/by/4.0/).
Share and Cite
Aylanc, V.; Larbi, S.; Calhelha, R.; Barros, L.; Rezouga, F.; Rodríguez-Flores, M.S.; Seijo, M.C.; El Ghouizi, A.; Lyoussi, B.; Falcão, S.I.; et al. Evaluation of Antioxidant and Anticancer Activity of Mono- and Polyfloral Moroccan Bee Pollen by Characterizing Phenolic and Volatile Compounds. Molecules 2023, 28, 835. https://doi.org/10.3390/molecules28020835
Aylanc V, Larbi S, Calhelha R, Barros L, Rezouga F, Rodríguez-Flores MS, Seijo MC, El Ghouizi A, Lyoussi B, Falcão SI, et al. Evaluation of Antioxidant and Anticancer Activity of Mono- and Polyfloral Moroccan Bee Pollen by Characterizing Phenolic and Volatile Compounds. Molecules. 2023; 28(2):835. https://doi.org/10.3390/molecules28020835
Chicago/Turabian StyleAylanc, Volkan, Samar Larbi, Ricardo Calhelha, Lillian Barros, Feriel Rezouga, María Shantal Rodríguez-Flores, María Carmen Seijo, Asmae El Ghouizi, Badiaa Lyoussi, Soraia I. Falcão, and et al. 2023. "Evaluation of Antioxidant and Anticancer Activity of Mono- and Polyfloral Moroccan Bee Pollen by Characterizing Phenolic and Volatile Compounds" Molecules 28, no. 2: 835. https://doi.org/10.3390/molecules28020835
APA StyleAylanc, V., Larbi, S., Calhelha, R., Barros, L., Rezouga, F., Rodríguez-Flores, M. S., Seijo, M. C., El Ghouizi, A., Lyoussi, B., Falcão, S. I., & Vilas-Boas, M. (2023). Evaluation of Antioxidant and Anticancer Activity of Mono- and Polyfloral Moroccan Bee Pollen by Characterizing Phenolic and Volatile Compounds. Molecules, 28(2), 835. https://doi.org/10.3390/molecules28020835

