Biochemical Composition, Antioxidant Activity and Antiproliferative Effects of Different Processed Garlic Products
Abstract
1. Introduction
2. Results and Discussion
2.1. Contents of Total Sugar, Uronic Acid and Protein
2.2. Total Phenolic and Total Flavonoids Contents in Garlic
2.3. Total Organosulfur Compounds Content in Garlic
2.4. GC-MS Analysis
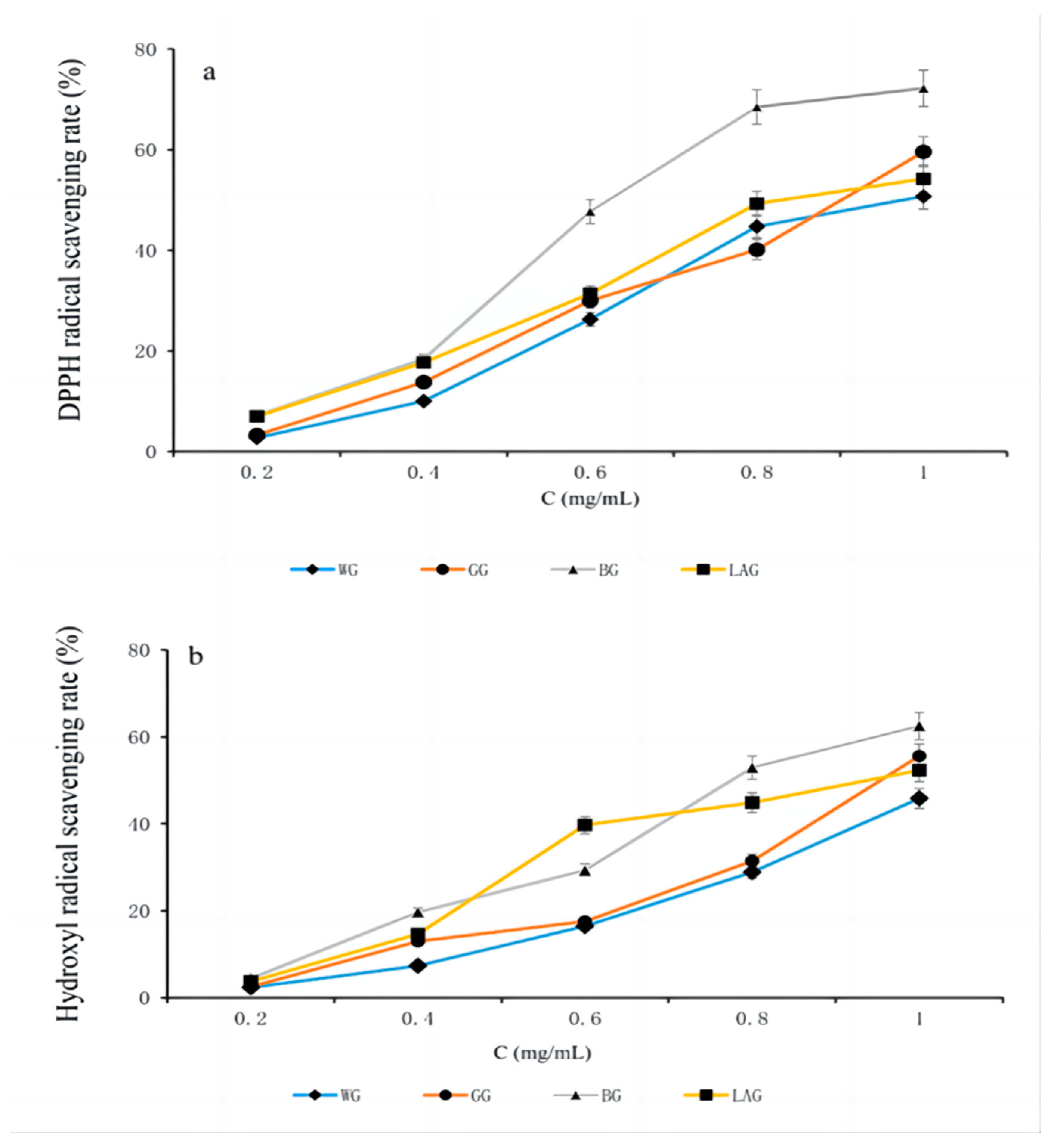
2.5. The Antioxidant Activity of Ethanol Extracts of the Four Garlic Products
2.6. Antiproliferative Activity
2.7. Multivariate Statistical Analysis
3. Materials and Methods
3.1. Chemicals and Reagents
3.2. Processing of Garlic by Different Methods
3.3. Preparation of Lipid-Soluble Extracts and Water-Soluble Extracts of Different Garlic
3.4. Determination of the Total Sugar, Uronic Acid, Protein and Monosaccharide Composition
3.5. Determination of Total Phenolics Contents and Total Flavonoids Contents
3.6. Determination of Organosulfur Compounds
3.7. GC-MS Analysis
3.8. Analysis of Antioxidant Activities
3.9. Antiproliferative Activity
3.10. Statistical Analysis
4. Conclusions
Author Contributions
Funding
Institutional Review Board Statement
Informed Consent Statement
Data Availability Statement
Acknowledgments
Conflicts of Interest
Abbreviations
References
- De Oliveira, J.T.; de Oliveira, R.A.; Oliveira, L.A.A.; Teodoro, P.; Montanari, R. Spatial Variability of Irrigated Garlic (Allium sativum L.) Production Components. Hortscience 2020, 55, 300–303. [Google Scholar] [CrossRef]
- Marchese, A.; Barbieri, R.; Sanches-Silva, A.; Daglia, M.; Nabavi, S.F.; Jafari, N.J.; Izadi, M.; Ajami, M.; Nabavi, S.M. Antifungal and antibacterial activities of allicin: A review. Trends Food Sci. Technol. 2016, 52, 49–56. [Google Scholar] [CrossRef]
- Sobenin, I.A.; Andrianova, I.V.; Lakunin, K.Y.; Karagodin, V.P.; Bobryshev, Y.V.; Orekhov, A.N. Anti-atherosclerotic effects of garlic preparation in freeze injury model of atherosclerosis in cholesterol-fed rabbits. Phytomedicine 2016, 23, 1235–1239. [Google Scholar] [CrossRef] [PubMed]
- El-Saber Batiha, G.; Beshbishy, A.M.; Wasef, L.G.; Elewa, Y.H.A.; Al-Sagan, A.A.; Abd El-Hack, M.E.; Taha, A.E.; Abd-Elhakim, Y.M.; Devkota, H.P. Chemical Constituents and Pharmacological Activities of Garlic (Allium sativum L.): A Review. Nutrients 2020, 12, 872. [Google Scholar] [CrossRef]
- Xia, J.; Fang, Y.; Shi, Y.; Shen, X.C.; Wu, J.; Xie, M.H.; Li, P.; Pei, F.; Hu, Q.H. Effect of food matrices on the in vitro bioavailability and oxidative damage in PC12 cells of lead. Food Chem. 2018, 266, 397–404. [Google Scholar] [CrossRef]
- Liu, P.X.; Weng, R.; Sheng, X.J.; Wang, X.L.; Zhang, W.H.; Qian, Y.Z.; Qiu, J. Profiling of organosulfur compounds and amino acids in garlic from different regions of China. Food Chem. 2020, 305, 10. [Google Scholar] [CrossRef]
- Liu, J.; Guo, W.; Yang, M.L.; Liu, L.X.; Huang, S.X.; Tao, L.; Zhang, F.; Liu, Y.S. Investigation of the dynamic changes in the chemical constituents of Chinese “Laba” garlic during traditional processing. RSC Adv. 2018, 8, 41872–41883. [Google Scholar] [CrossRef]
- de Queiroz, Y.S.; Antunes, P.B.; Vicente, S.J.V.; Sampaio, G.R.; Shibao, J.; Bastos, D.H.M.; Torres, E. Bioactive compounds, in vitro antioxidant capacity and Maillard reaction products of raw, boiled and fried garlic (Allium sativum L.). Int. J. Food Sci. Technol. 2014, 49, 1308–1314. [Google Scholar] [CrossRef]
- Angeles, T.M.M.; Jesus, P.A.; Rafael, M.R.; Tania, M.A. Evolution of some physicochemical and antioxidant properties of black garlic whole bulbs and peeled cloves. Food Chem. 2016, 199, 135–139. [Google Scholar]
- Martinez-Casas, L.; Lage-Yusty, M.; Lopez-Hernandez, J. Changes in the Aromatic Profile, Sugars, and Bioactive Compounds When Purple Garlic Is Transformed into Black Garlic. J. Agric. Food Chem. 2017, 65, 10804–10811. [Google Scholar] [CrossRef]
- Molina-Calle, M.; Priego-Capote, F.; de Castro, M.D.L. Headspace-GC-MS volatile profile of black garlic vs. fresh garlic: Evolution along fermentation and behavior under heating. LWT-Food Sci. Technol. 2017, 80, 98–105. [Google Scholar] [CrossRef]
- Choi, I.S.; Cha, H.S.; Lee, Y.S. Physicochemical and Antioxidant Properties of Black Garlic. Molecules 2014, 19, 16811–16823. [Google Scholar] [CrossRef] [PubMed]
- Lu, X.M.; Li, N.Y.; Qiao, X.G.; Qiu, Z.C.; Liu, P.L. Effects of thermal treatment on polysaccharide degradation during black garlic processing. LWT-Food Sci. Technol. 2018, 95, 223–229. [Google Scholar] [CrossRef]
- Ma, Y.; Liu, P.P.; Guo, S.; Lu, R.R.; Zhao, X.Y.; Wang, D.; Zhang, Y. Nutritional quality and volatile flavor substances of “laba” garlic products produced by either soaking or fumigating with acetic acid. J. Food Process. Preserv. 2021, 45, e15116. [Google Scholar] [CrossRef]
- Cardelle-Cobas, A.; Costo, R.; Corzo, N.; Villamiel, M. Fructo-oligosaccharide changes during the storage of dehydrated commercial garlic and onion samples. Int. J. Food Sci. Technol. 2009, 44, 947–952. [Google Scholar] [CrossRef]
- Sasmaz, H.K.; Sevindik, O.; Adal, E.; Erkin, O.C.; Selli, S.; Kelebek, H.; Kadiroglu, P. Comparative assessment of quality parameters and bioactive compounds of white and black garlic. Eur. Food Res. Technol. 2022, 248, 2393–2407. [Google Scholar] [CrossRef]
- Kim, J.H.; Nam, S.H.; Rico, C.W.; Kang, M.Y. A comparative study on the antioxidative and anti-allergic activities of fresh and aged black garlic extracts. Int. J. Food Sci. Technol. 2012, 47, 1176–1182. [Google Scholar] [CrossRef]
- Kim, J.S.; Kang, O.J.; Gweon, O.C. Comparison of phenolic acids and flavonoids in black garlic at different thermal processing steps. J. Funct. Food. 2013, 5, 80–86. [Google Scholar] [CrossRef]
- Dewanto, V.; Wu, X.Z.; Adom, K.K.; Liu, R.H. Thermal processing enhances the nutritional value of tomatoes by increasing total antioxidant activity. J. Agric. Food Chem. 2002, 50, 3010–3014. [Google Scholar] [CrossRef]
- Ramirez, D.A.; Altamirano, J.C.; Camargo, A.B. Multi-phytochemical determination of polar and non-polar garlic bioactive compounds in different food and nutraceutical preparations. Food Chem. 2021, 337, 127648. [Google Scholar] [CrossRef]
- Torino, M.I.; Limon, R.I.; Martinez-Villaluenga, C.; Makinen, S.; Pihlanto, A.; Vidal-Valverde, C.; Frias, J. Antioxidant and antihypertensive properties of liquid and solid state fermented lentils. Food Chem. 2013, 136, 1030–1037. [Google Scholar] [CrossRef] [PubMed]
- Putnik, P.; Gabric, D.; Roohinejad, S.; Barba, F.J.; Granato, D.; Mallikarjunan, K.; Lorenzo, J.M.; Kovacevic, D.B. An overview of organosulfur compounds from Allium spp.: From processing and preservation to evaluation of their bioavailability, antimicrobial, and anti-inflammatory properties. Food Chem. 2019, 276, 680–691. [Google Scholar] [CrossRef] [PubMed]
- Sasaki, J.; Lu, C.; Machiya, E.; Tanahashi, M.; Hamada, K. Processed black garlic (Allium sativum) extracts enhance anti-tumor potency against mouse tumors. Med. Aromat. J. Plant Sci. Biotechnol. 2007, 1, 278–281. [Google Scholar]
- Lu, R.R.; Ma, Y.; Wang, X.; Zhao, X.Y.; Liang, H.; Wang, D. Study of texture properties of ‘laba’ garlic in different color states and their change mechanisms. Int. J. Food Sci. Technol. 2021, 56, 4710–4721. [Google Scholar] [CrossRef]
- Tamaki, K.; Sonoki, S.; Tamaki, T.; Ehara, K. Measurement of odour after in vitro or in vivo ingestion of raw or heated garlic, using electronic nose, gas chromatography and sensory analysis. Int. J. Food Sci. Technol. 2008, 43, 130–139. [Google Scholar] [CrossRef]
- Liang, T.F.; Wei, F.F.; Lu, Y.; Kodani, Y.; Nakada, M.; Miyakawa, T.; Tanokura, M. Comprehensive NMR Analysis of Compositional Changes of Black Garlic during Thermal Processing. J. Agric. Food Chem. 2015, 63, 683–691. [Google Scholar] [CrossRef]
- Xu, Y.S.; Feng, J.G.; Zhang, D.; Zhang, B.; Luo, M.; Su, D.; Lin, N.M. S-allylcysteine, a garlic derivative, suppresses proliferation and induces apoptosis in human ovarian cancer cells in vitro. Acta Pharmacol. Sin. 2014, 35, 267–274. [Google Scholar] [CrossRef]
- Xiao, J.; Xing, F.Y.; Liu, Y.X.; Lv, Y.; Wang, X.G.; Ling, M.T.; Gao, H.; Ouyang, S.Y.; Yang, M.; Zhu, J.; et al. Garlic-derived compound S-allylmercaptocysteine inhibits hepatocarcinogenesis through targeting LRP6/Wnt pathway. Acta Pharm. Sin. B 2018, 8, 575–586. [Google Scholar] [CrossRef]
- Bhuiyan, A.I.; Papajani, V.T.; Paci, M.; Melino, S. Glutathione-Garlic Sulfur Conjugates: Slow Hydrogen Sulfide Releasing Agents for Therapeutic Applications. Molecules 2015, 20, 1731–1750. [Google Scholar] [CrossRef]
- Sundukov, Y. First record of the ground beetle Trechoblemus postilenatus (Coleoptera, Carabidae) in Primorskii Krai. Far East. Entomol. 2006, 165, 16. [Google Scholar]
- Gao, X.D.; Chen, Y.; Chen, Z.Q.; Xue, Z.H.; Jia, Y.N.; Guo, Q.W.; Ma, Q.Q.; Zhang, M.; Chen, H.X. Identification and antimicrobial activity evaluation of three peptides from laba garlic and the related mechanism. Food Funct. 2019, 10, 4486–4496. [Google Scholar] [CrossRef] [PubMed]
- Kimura, S.; Tung, Y.C.; Pan, M.H.; Su, N.W.; Lai, Y.J.; Cheng, K.C. Black garlic: A critical review of its production, bioactivity, and application. J. Food Drug Anal. 2017, 25, 62–70. [Google Scholar] [CrossRef] [PubMed]
- Dubois, M.; Gilles, K.A.; Hamilton, J.K.; Rebers, P.A.; Smith, F.J.A.C. Colorimetric Method for Determination of Sugars and Related Substances. Anal. Chem. 1956, 28, 350–356. [Google Scholar] [CrossRef]
- Blumenkrantz, N.; Asboe-Hansen, G. New method for quantitative determination of uronic acids. Anal. Biochem. 1973, 54, 484–489. [Google Scholar] [CrossRef] [PubMed]
- Ma, L.S.; Chen, H.X.; Zhu, W.C.; Wang, Z.S. Effect of different drying methods on physicochemical properties and antioxidant activities of polysaccharides extracted from mushroom Inonotus obliquus. Food Res. Int. 2013, 50, 633–640. [Google Scholar] [CrossRef]
- Zhang, X.; Chen, H.X.; Zhang, N.; Chen, S.H.; Tian, J.G.; Zhang, Y.; Wang, Z.S. Extrusion treatment for improved physicochemical and antioxidant properties of high-molecular weight polysaccharides isolated from coarse tea. Food Res. Int. 2013, 53, 726–731. [Google Scholar] [CrossRef]
- Liao, P.R.; Liu, Y.; Zhao, M.Z.; Yang, Y.; Cui, X.M. The development of a Panax notoginseng medicinal liquor processing technology using the response surface method and a study of its antioxidant activity and its effects on mouse melanoma B16 cells. Food Funct. 2017, 8, 4251–4264. [Google Scholar]
- Dziri, S.; Hassen, I.; Fatnassi, S.; Mrabet, Y.; Casabianca, H.; Hanchi, B.; Hosni, K. Phenolic constituents, antioxidant and antimicrobial activities of rosy garlic (Allium roseum var. odoratissimum). J. Funct. Food. 2012, 4, 423–432. [Google Scholar] [CrossRef]
- Lawson, L.D.; Hughes, B.G. Characterization of the formation of allicin and other thiosulfinates from garlic. Planta Med. 1992, 58, 345–350. [Google Scholar] [CrossRef] [PubMed]
- Halliwell, B.; Gutteridge, J.M.; Aruoma, O.I. The deoxyribose method: A simple “test-tube” assay for determination of rate constants for reactions of hydroxyl radicals. Anal. Biochem. 1987, 165, 215–219. [Google Scholar] [CrossRef]



| Garlic Product | WG | GG | BG | LAG |
|---|---|---|---|---|
| Water-soluble extracts | ||||
| Total sugar (mg/g) | 8.67 ± 0.04 a | 10.61 ± 0.22 b | 16.80 ± 0.74 c | 7.89 ± 0.96 a |
| Uronic acid (mg/g) | 1.73 ± 0.15 a | 2.28 ± 0.06 c | 3.91 ± 0.08 c | 1.70 ± 0.15 a |
| Protein (%) | 60.03 ± 1.52 a | 65.21 ± 1.15 b | 77.32 ± 1.24 c | 62.12 ± 2.11 a |
| Monosaccharide composition (mol%) | ||||
| Fructose | 11.23 | 12.59 | 5.70 | 4.35 |
| Arabinose | 2.67 | 2.28 | 14.24 | 6.52 |
| Xylose | 5.88 | 2.08 | 4.54 | 5.98 |
| Mannose | 19.25 | 0.39 | 2.39 | 1.63 |
| Galactose | 7.49 | 72.75 | 65.43 | 27.17 |
| Glucose | 53.48 | 9.91 | 7.70 | 54.35 |
| Lipid-soluble extracts | ||||
| Organosulfur compounds content (%) | 1.54 ± 0.07 a | 2.41 ± 0.14 c | 0.89 ± 0.14 a | 1.83 ± 0.06 a |
| Total phenolics content (mg GAE/g extracts) | 1.25 ± 0.11 a | 1.38 ± 0.07 a | 13.62 ± 0.91 c | 1.56 ± 0.07 a |
| Total flavonoids content (mg QE/g extracts) | 0.32 ± 0.03 a | 0.34 ± 0.04 a | 0.74 ± 0.08 c | 0.45 ± 0.06 a |
| Rt. Time (min) | Accepted Identification | Molecular Weight (Da) | Principal Fragments (m/z) | Formula | Relative Area (%) | ||||
|---|---|---|---|---|---|---|---|---|---|
| WG | GG | BG | LAG | ||||||
| 1 | 4.95 | Diallyl disulfide | 146 | 148, 146, 113, 81, 73, 45 | C6H10S2 | 0.92 | 2.36 | 1.60 | 1.77 |
| 2 | 5.113 | 2-Hexylthiophene | 168 | 168, 111, 97, 69, 45 | C10H16S | - | 1.81 | 0.84 | 1.21 |
| 3 | 5.461 | Allyl methyl sulfide | 88 | 88, 73, 61, 45 | C4H8S | 0.01 | 1.05 | - | 1.40 |
| 4 | 5.650 | 1,3,5-Trithiane | 138 | 138, 92, 73, 64, 46 | C3H6S3 | - | - | 3.21 | - |
| 5 | 5.718 | Allyl methyl trisulfide | 152 | 152, 114, 105, 87, 79, 73, 45 | C4H8S3 | 0.01 | 6.58 | 10.76 | 10.24 |
| 6 | 5.810 | 2-tert-Butylhiophenol | 166 | 166, 151, 123, 109, 91, 69, 45 | C10H14S | - | 9.06 | 12.43 | 9.40 |
| 7 | 6.230 | Butylthiobenzene | 166 | 166, 123, 110, 91, 77, 51 | C10H14S | - | 1.05 | 0.25 | - |
| 8 | 6.875 | 1-Propene-1,1′-thiobis | 114 | 114, 99, 85, 59, 45 | C6H10S | 0.63 | 3.82 | 0.18 | 3.65 |
| 9 | 6.695 | Diallyl trisulfide | 178 | 178, 113, 73, 47, 45 | C6H10S3 | 0.58 | 4.03 | 0.16 | 6.10 |
| 10 | 7.287 | 3-Acetyl-2,6-heptanedione | 170 | 170, 128, 95, 85, 71, 58 | C9H14O3 | - | 1.26 | 1.30 | 0.93 |
| 11 | 8.003 | Ethyl-4-t-butylbenziate | 206 | 206, 191, 163, 115, 107, 91, 77 | C13H18O2 | 6.00 | - | 12.70 | 3.03 |
| 12 | 8.328 | Diallyl tetrasulphide | 210 | 210, 146, 105, 73, 64 | C6H10S4 | 0.03 | 2.52 | - | 1.57 |
| 13 | 8.978 | 2,5-Dimethyl thiophene | 112 | 112, 111, 97, 77, 59, 45 | C6H8S | - | - | - | 0.46 |
| 14 | 10.404 | Acetyl valeryl | 128 | 128, 113, 99, 85, 71, 57 | C7H12O2 | 1.07 | 1.42 | - | - |
| 15 | 10.690 | 1,2-Dithiin-3-ethenyl-3,6-dihydro | 144 | 144, 111, 103, 97, 85, 77, 71 | C6H8S2 | - | 4.03 | - | 1.38 |
| 16 | 12.097 | 10-Nonadecanol | 266 | 266, 157, 125, 111, 97, 83, 69, 55 | C19H40O | 0.78 | 1.01 | - | - |
| 17 | 12.612 | Ethyl hexadecanoate | 284 | 284, 239, 157, 101, 88, 73, 55 | C18H36O2 | - | 1.52 | - | 0.58 |
| 18 | 13.676 | (Z, Z, Z)-9, 12, 15-Octade-catrienoyl ethyl ester | 306 | 306, 261, 250, 191, 149, 135, 121, 108, 95, 79, 67, 55 | C20H34O2 | - | 0.80 | - | 1.93 |
| Cell Line | Concentration (μg·mL−1) | WG | GG | BG | LAG |
|---|---|---|---|---|---|
| Cell Growth Inhibition (%) | |||||
| HeLa | 20 | 15.84 ± 1.17 a | 10.76 ± 0.56 a | 25.89 ± 5.22 b | 14.24 ± 1.36 a |
| 40 | 31.20 ± 0.86 a | 29.99 ± 1.422 a | 41.79 ± 1.27 b | 31.83 ± 2.40 a | |
| 60 | 41.35 ± 1.43 b | 46.67 ± 2.65 c | 52.69 ± 3.26 d | 35.84 ± 2.18 a | |
| 80 | 55.99 ± 2.19 b | 51.27 ± 1.77 b | 55.06 ± 2.66 b | 44.723 ± 2.98 a | |
| 100 | 59.97 ± 1.11 a,b | 64.81 ± 3.32 b | 60.32 ± 3.49 a,b | 55.95 ± 1.14 a | |
| IC50 (μg·mL−1) | 72.51 ± 3.00 b | 70.40 ± 3.95 b | 60.03 ± 6.79 a | 88.57 ± 3.81 c | |
| SKOV3 | 20 | 5.98 ± 1.10 b | 3.51 ± 0.88 a | 3.49 ± 0.65 a | 4.80 ± 0.45 a,b |
| 40 | 15.07 ± 0.64 a | 15.40 ± 0.98 a | 29.82 ± 4.18 c | 22.23 ± 1.87 b | |
| 60 | 38.40 ± 2.50 a | 38.97 ± 3.51 a | 40.37 ± 4.36 a | 36.07 ± 1.67 a | |
| 80 | 56.72 ± 4.10 b | 51.65 ± 1.19 a,b | 51.53 ± 2.73 a,b | 49.13 ± 4.10 a | |
| 100 | 67.13 ± 5.19 b | 54.51 ± 2.35 a | 55.45 ± 3.81 a | 58.31 ± 2.11 a | |
| IC50 (μg·mL−1) | 74.04 ± 4.50 a | 82.56 ± 2.87 b | 78.83 ± 2.86 a,b | 81.80 ± 4.40 b | |
| SMMC-7721 | 20 | 13.69 ± 2.33 a | 19.60 ± 3.65 a | 36.67 ± 3.01 b | 38.93 ± 3.78 b |
| 40 | 28.9 ± 3.37 a | 35.45 ± 6.14 a | 50.23 ± 3.27 b | 52.71 ± 0.46 b | |
| 60 | 37.45 ± 2.65 a | 52.12 ± 2.12 b | 60.48 ± 2.15 c | 84.49 ± 1.83 d | |
| 80 | 47.43 ± 1.14 a | 55.35 ± 3.25 b | 68.99 ± 2.57 c | 85.88 ± 2.18 d | |
| 100 | 63.41 ± 2.72 a | 63.13 ± 2.12 a | 84.33 ± 4.10 b | 86.74 ± 4.32 b | |
| IC50 (μg·mL−1) | 78.03 ± 4.91 c | 63.76 ± 4.80 b | 28.82 ± 1.53 a | 35.63 ± 1.97 a | |
| Components | |||
|---|---|---|---|
| 1 | 2 | 3 | |
| TP | −0.975 | 0.180 | 0.133 |
| TF | −0.933 | 0.351 | −0.083 |
| OSC | 0.925 | 0.267 | 0.271 |
| UA | −0.8892 | 0.258 | 0.370 |
| SP (total protein) | −0.879 | 0.363 | 0.310 |
| TC (total sugar) | −0.887 | 0.204 | 0.413 |
| Diallyl disulfide | 0.213 | −0.976 | −0.048 |
| 2-Hexylthiophene | 0.311 | 0.885 | 0.346 |
| Allyl methyl sulfide | 0.666 | 0.705 | −0.243 |
| 1,3,5-trithiane | −0.976 | 0.162 | 0.144 |
| Allyl methyl trisulfide | −0.412 | 0.892 | −0.188 |
| 2-tert-butylhiophenol | −0.436 | 0.895 | 0.095 |
| Butythiobenzene | 0.299 | 0.415 | 0.859 |
| 1-propene-1,1′-thiobis | 0.770 | 0.637 | −0.025 |
| Diallyl trisulfide | 0.672 | 0.655 | −0.347 |
| 3-Acetyl-2,6-heptanedione | −0.285 | 0.901 | 0.326 |
| Ethyl 4-t-butylbenziate | −0.968 | −0.223 | −0.114 |
| Diallyl tetrasulphide | 0.716 | 0.646 | 0.265 |
| 2,5-dimethyl thiophene | 0.296 | 0.465 | −0.834 |
| Acetyl valeryl | 0.620 | −0.374 | 0.690 |
| 1,2-Dithiin-3-ethenyl-3,6-dihydro | 0.654 | 0.545 | 0.524 |
| 10-nonadecanol | 0.618 | −0.389 | 0.683 |
| Ethyl hexadecanoate | 0.666 | 0.563 | 0.489 |
| (Z, Z, Z)-9, 12, 15-Octade-catrienoyl ethyl ester | 0.538 | 0.647 | −0.540 |
| DPPH | 0.909 | −0.377 | −0.180 |
| DR (hydroxyl radical) | 0.641 | −0.736 | 0.216 |
| Hela | 0.671 | 0.199 | −0.714 |
| SKOV3 | 0.261 | 0.959 | 0.112 |
| SMMC-7721 | 0.606 | −0.705 | 0.368 |
Disclaimer/Publisher’s Note: The statements, opinions and data contained in all publications are solely those of the individual author(s) and contributor(s) and not of MDPI and/or the editor(s). MDPI and/or the editor(s) disclaim responsibility for any injury to people or property resulting from any ideas, methods, instructions or products referred to in the content. |
© 2023 by the authors. Licensee MDPI, Basel, Switzerland. This article is an open access article distributed under the terms and conditions of the Creative Commons Attribution (CC BY) license (https://creativecommons.org/licenses/by/4.0/).
Share and Cite
Lu, J.; Li, N.; Li, S.; Liu, W.; Li, M.; Zhang, M.; Chen, H. Biochemical Composition, Antioxidant Activity and Antiproliferative Effects of Different Processed Garlic Products. Molecules 2023, 28, 804. https://doi.org/10.3390/molecules28020804
Lu J, Li N, Li S, Liu W, Li M, Zhang M, Chen H. Biochemical Composition, Antioxidant Activity and Antiproliferative Effects of Different Processed Garlic Products. Molecules. 2023; 28(2):804. https://doi.org/10.3390/molecules28020804
Chicago/Turabian StyleLu, Jingyang, Nannan Li, Shuqin Li, Wei Liu, Mingyue Li, Min Zhang, and Haixia Chen. 2023. "Biochemical Composition, Antioxidant Activity and Antiproliferative Effects of Different Processed Garlic Products" Molecules 28, no. 2: 804. https://doi.org/10.3390/molecules28020804
APA StyleLu, J., Li, N., Li, S., Liu, W., Li, M., Zhang, M., & Chen, H. (2023). Biochemical Composition, Antioxidant Activity and Antiproliferative Effects of Different Processed Garlic Products. Molecules, 28(2), 804. https://doi.org/10.3390/molecules28020804

