Abstract
In this work, a novel series of pyridazinone derivatives (3–17) were synthesized and characterized by NMR (1H and 13C), FT-IR spectroscopies, and ESI-MS methods. All synthesized compounds were screened for their antibacterial activities against Staphylococcus aureus (Methicillin-resistant), Escherichia coli, Salmonella typhimurium, Pseudomonas aeruginosa, and Acinetobacter baumannii. Among the series, compounds 7 and 13 were found to be active against S. aureus (MRSA), P. aeruginosa, and A. baumannii with the lowest MIC value range of 3.74–8.92 µM. Afterwards, DFT calculations of B3LYP/6-31++G(d,p) level were carried out to investigate geometry structures, frontier molecular orbital, molecular electrostatic potential maps, and gap energies of the synthesized compounds. In addition, the activities of these compounds against various bacterial proteins were compared with molecular-docking calculations. Finally, ADMET studies were performed to investigate the possibility of using of the target compounds as drugs.
1. Introduction
Infections with certain bacteria can cause serious diseases such as pneumonia, tuberculosis, and meningitis. These infections are considered one of the most common causes of persistent disease and affect millions of people with a very high level of morbidity and mortality [1]. Antibiotic drugs used in the treatment of bacterial infections have been used intensively, unconsciously, and excessively for many years, leading to the development of resistance and the spread of resistant pathogens. Thus, antibiotic-resistant bacteria are the main risk to human health and this resistance to antibiotic drugs has become a major concern for researchers [2]. There is therefore an urgent need to develop and identify new antibiotic agents to combat resistant pathogens with a new mode of action and broad-spectrum activities.
On other hand, the chemical and biological studies of pyridazine derivatives have been of great interest for many years for medicinal and agricultural reasons due to their large spectrum of biological properties including antimicrobial [3,4], antileishmania [5], antiviral [6], anticancer [7], anti-tubercular [8], analgesic and anti-inflammatory [9,10], anti-Alzheimer [11], antihypertensive [12], and anticonvulsant activities [13]. A substantial number of pyridazinones have been reported to possess a wide variety of agrochemicals such as pesticides [14,15,16,17] and recently, several pyridazinone derivatives have been reported as potent antibacterial agents (Figure 1, compound A) [18]. For instance, Abu-Hashem et al. reported a new series of pyridazine derivatives as potent antimicrobial agents (Figure 1, compound B) [19]. Interestingly, some pyridazinone-based drugs such as zardaverine, emorfazone, imazodan, and levosimendan are already sold in clinical markets (Figure 1).
Figure 1.
Representative examples of biologically active drugs containing pyridazine moiety.
Theoretical calculations are among the popular methods of today with computational calculations becoming both more practical and faster as they have been greatly influenced by the developing technology. It has become crucial to know the influence of various groups on the chemical structures in order to understand the links of these groups with their biological properties [20,21,22,23,24].
Inspired with the aforementioned biological importance of these derivatives and in resumption of our ongoing programs directed toward the development of novel heterocyclic compounds that are potent therapeutic agents [25,26,27,28,29], we report herein the synthesis, characterization, and antibacterial activities of a novel series of pyridazinone derivatives. Firstly, the electronic and geometric characteristics of the synthesized compounds were investigated by using DFT calculations with B3LYP/6-31++G(d,p) level. Afterwards, their biological properties against various bacterial proteins such as the crystal structure of Staphylococcus aureus (PDB ID: 1JIJ), the crystal structure of Pseudomonas aeruginosa PAO1 (PDB ID: 2UV0), and the crystal structure of Escherichia coli K-12 (PDB ID: 4WUB) were investigated. Thus, the newly synthesized compounds (3–17) were evaluated in vitro for their antibacterial activities against S. aureus (methicillin resistant), Escherichia coli, A. baumannii, P. aeruginosa, and S. typhimurium bacterial strains. In addition, the possibility of being used as a drug was examined by examining the drug properties of bioactive molecules using ADMET analysis.
2. Results and Discussion
2.1. Chemistry
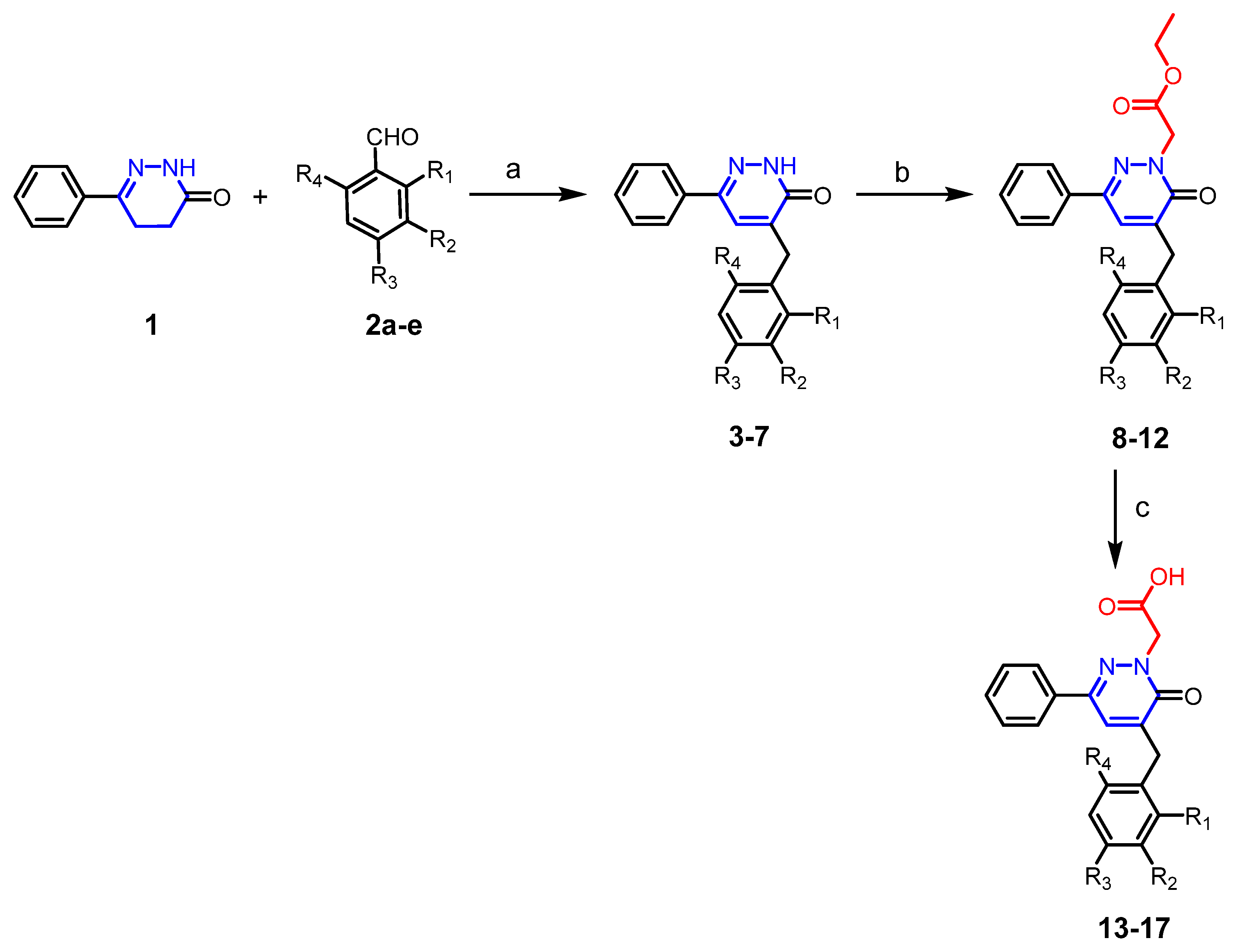
The synthesis of compounds (3–17) was carried out following to the steps shown in Scheme 1. Pyridazin-3(2H)-one (1), which served as a starting material in this study, was prepared via a one-step synthetic route from 4-oxo-4-phenylbutanoic acid and hydrazine hydrate in accordance with the published procedure [30]. Subsequently, compounds (3–7) were obtained by the condensation reaction of pyridazin-3(2H)-one (1) with aromatic aldehydes 2a–e [31]. Then, compounds (3–7) were condensed with ethyl bromoacetate in refluxing ethanol in the presence of sodium methoxide as base to afforded esters (8–12) in 71–92% yields [32]. Finally, the esters (8–12) were converted to the corresponding acids (13–17) by treating it with sodium hydroxide in dry ethanol, followed by in situ acidification with diluted hydrochloric acid [33,34]. The target pyridazin-3(2H)-one derivatives (3–17) (Table 1) were obtained and the molecular structure were confirmed by FT-IR, 1H NMR, 13C NMR, and ESI-MS (FT-IR, NMR and ESI-MS spectra are given in the SI).
Scheme 1.
Synthetic route for preparation of pyridazinone derivatives (3–17). Reagents and conditions: (a) NaOMe, dry ethanol, reflux, 6h; (b) ethyl bromoacetate, K2CO3, TBAB, dry THF, reflux 6h; (c) 6N NaOH, Ethanol, reflux, 4h.
Table 1.
Physical data of the synthesized compounds (3–17).
2.2. Antibacterial Activity
The title compounds (3–17) were screened for their antibacterial activities against Gram-positive isolate (S. aureus (MRSA)), Gram-negative isolates (E. coli, S. typhimurium), and Gram-negative nonfermenter isolates (P. aeruginosa, A. baumannii). If the color of the alamarBlue (indicator dye) in the wells turned pink, bacterial growth was interpreted as continuing. If there was no live cell presence, no color change occurred. In the test, the last well that did not change from blue to pink was accepted as the minimal inhibition concentration (MIC) value. After evaluation, samples in the wells were inoculated on blood-agar medium and checked the next day. Interpretation of MICs of standard bacterial isolates compared to standard “Amikacin” were done according to Clinical and Laboratory Standards Institute (CLSI) criteria. The MIC values of the compounds (3–17) are shown in Table 2. Antibacterial activities of compound 13 was shown in Figure 2. In this study, negative and positive controls were evaluated in the 7th and 8th well, respectively (Figure 2).
Table 2.
Antibacterial activity of the synthesized compounds (3–17).
Figure 2.
Antibacterial activity results of compound 13. Dilution concentrations: 29.94–0.93 µM. N.C: negative control. P.C: positive control.
As noted in Table 2, the MIC values of the tested compounds (3–17) indicated that most compounds exhibited moderate to significant activity (MIC = 3.74–36.21 µM) in comparison to the reference drug “Amikacin”. According to these results, some compounds (3, 10, 11, 14, 15, and 17) were found to have antibacterial activities against at least two bacteria, albeit at high concentrations. Compounds 4, 5, 6, 9, and 12 showed poor or no activity at concentrations studied against any of the bacteria. Two compounds, 7 and 13, were found effective against all studied bacteria. Indeed, Compound 7 showed significant activity with MIC value 7.8 μM against E.coli, S. aureus (MRSA), S. typhimurium, and A. baumannii. In fact, compound 13 was found to exhibit the most potent in vitro antibacterial activity against Gram-negative bacteria, with MICs of 3.74 and 7.48 μM against A. baumannii and P. aeruginosa, respectively. Compound 3 was the most active compound against Gram-positive bacteria with an MIC value of 4.52 μM against S. aureus (MRSA).
In order to perform a structure–activity relationship (SAR) study, the tested compounds were divided into three series: the first series contained 4-(aryl)-6-phenylpyridazin-3(2H)-one (3–7), with different substitutions (CH3, Cl, NO2, and F) on the aryl ring; the second series of esters (8–12) resulted from the N-alkylation of compounds (3–7) by introducing the ethyl ester group; and the third series of acids (13–17) resulted from a hydrolysis reaction of esters (8–12). It was observed from the results of antibacterial activity that the compound with the fluro group at para position (compound 7) in its molecular structure was more active against Gram-negative bacteria as compared to other derivatives in the first series, which may have been due the fact that F group may have been involved in the binding of the ligand with the receptor site of the bacteria. It can also be seen from the antibacterial activity data that when we replaced the F group with electron-donating CH3 group (compound 3), an abrupt rise in activity was observed against the Gram-positive bacterium (S. aureus (MRSA)). Thus, introduction of the ethyle ester group at the N-1 position of pyridazin-3(2H)-one ring (compounds 8 and 12) led to a fall in antibacterial activity of the synthesized pyridazin-3(2H)-one derivatives (compounds 3 and 7). On the other hand, the hydrolysis of the ester led to an increase in the antibacterial activity of the synthesized derivatives (compounds 13 and 15) against Gram-negative bacteria (P. aeruginosa and A. baumannii).
2.3. Theoretical Calculations
The theoretical calculations were compared with both the chemical properties of the molecules and their biological properties. It provided important information before many experimental studies were carried out [35]. The calculated quantum chemical parameters of compounds (3-17) using B3LYP/6-31++G(d,p) Level are given in Table S1 (from Supplementary Materials). There are important advantages to knowing the active sites of the molecules and the influence of each group on their biological properties in order to synthesize new molecules that are more effective and more active. Thus, numerous quantum parameters have been calculated in the Gaussian calculations; among the most important of these are HOMO (highest occupied molecular orbital), which shows the ability of molecules to donate electrons [36], and LUMO (lowest unoccupied molecular orbital) which shows the ability to accept electrons of molecules [37]. The optimized structure, HOMO, LUMO and molecular electrostatic potential surface of all molecules (3–17) are given in Figure S1 (from Supplementary Materials). The optimized shapes of representative compounds 7 and 13 are given in Figure 3. The second and third images are HOMO and LUMO. In the last image, the electrostatic potentials of the structures are given. In the molecule, there are red-colored regions that are electron-rich regions and blue-colored regions that are electron-poor. These two regions are the active regions of the molecule for both accepting and donating electrons [38]. The computed quantum chemical descriptors based upon DFT calculations of representative compounds 7 and 13 are presented in Table 3.
Figure 3.
Shapes of optimized structure, HOMO, LUMO, and ESP of compounds 7 and 13 obtained by B3LYP/6-31++G(d,p) level.
Table 3.
Quantum chemical descriptors based upon DFT calculations for compounds 7 and 13.
In general, it is known that when the value of the HOMO parameter of the molecules is the most positive and the value of the LUMO parameter is the most negative, the activity is the highest [35]. Considering the above explanations, if HOMO is the most positive and LUMO the most negative, it will be the least among them. This will increase the activity of the molecules. As a result of the calculations, many parameters have been calculated and since each calculated parameter explains a different feature, each has a different importance. Among the calculated parameters, it is seen that the molecule with the most negative numerical value of the HOMO parameter of the molecules has higher activity at B3LYP level; compound 13 has higher activity than other molecules. Among these parameters, the ∆E energy gap value is another parameter that shows the activity of the molecule. Molecules with the lowest ∆E energy gap have the highest activities. Herein, no direct correlation with activity can be highlighted. One of the other important parameters calculated is electronegativity, which shows the ability of atoms in the molecule to attract bond electrons [36]. The higher the numerical value of this parameter, the more the atoms in the molecule will attract the bond electrons, which will decrease the activity of the molecule [37]. Herein is verified a direct correlation between electronegativity and antibacterial activity, it is seen that compound 13 has higher activity than other molecules. Hence, the bioactivity of this compound may be explained by the ability of the biological target to receive electrons, which may be important for stabilization of the active site. Two other important parameters are chemical hardness and its opposite, which show the polarization and softness properties of molecules, respectively. Thus, hard molecules are less reactive than soft molecules because they cannot easily give electrons to an acceptor [39]. In this case, no direct correlation with the activity of these compounds and these two calculated parameters can be highlighted. Although many parameters have been found as a result of theoretical calculations, very few of these parameters have figural representations.
After the Gaussian calculations, the activities of the title molecules against bacterial proteins were investigated. The activities of molecules were determined based on the chemical interactions that occur between the molecules and proteins These interactions, are hydrogen bonds, π-π bonds, and polar and hydrophobic interactions [40,41,42]. The binding parameters for all compounds (3–17) are given in Table S2 (from Supplementary Materials). As a result of docking studies, the interactions of the proteins and the active sites of compounds 7 and 13 were determined (Figure 4). The binding parameters for 7 and 13 on S. aureus (PDB ID: 1JIJ), P. aeruginosa PAO1 (PDB ID: 2UV0), and E. coli K-12 (PDB ID: 4WUB) proteins are given in Table 4. These parameters give the value of the chemical interactions (glide hbond, glide evdw, and glide ecoul) and the values obtained about the poses (glide emodel, glide energy, glide einternal, and glide posenum) obtained from the interaction of the title ligands with the studied proteins [40,41].

Figure 4.
(a) Two-dimensional interaction diagram of compound 13 with 1JIJ, (b) two-dimensional interaction diagram of compound 13 with 2UV0, and (c) two-dimensional interaction diagram of compound 7 with 4WUB.
Table 4.
Numerical values of the docking parameters of compounds 7 and 13 against enzymes.
Docking results against S. aureus (PDB ID: 1JIJ) protein indicated a well-conserved binding region but with slightly different predicted best binding-energy values. The best free-binding energy was found for compound 13 (−7.31 kcal/mol), followed by compound (−7.12 kcal/mol), in comparison to the other investigated compounds; amikacin (reference molecule) displayed favorable binding energy value (Table 4). The observed trend in the binding free-energy was found to be consistent with the experimental activity trend for the title molecules. When the interactions between proteins and molecules are examined, in Figure 4a, it is seen that the carbonyl oxygen in the carboxylic acid group attached to the pyridazine ring forms hydrogen bonds with the LYS 84 and HIE 50 proteins. Figure 4a shows the 2D interaction diagram of the 2UV0-13 docked structure. In comparison to the other compounds studied, compound 13 showed the best binding free-energy (−5.69 kcal/mol). As shown in Figure 4b, it is seen that the carbonyl oxygen in the same group and the oxygen atom attached to it form a hydrogen bond with LYS 97 and a Pi-cation bond with ARG 96. Thus, compound 7 showed good least binding energy of −5.74 kcal/mol against E. coli 4WUB protein. As shown in Figure 4c, it is seen that the benzene ring on one side of the molecule makes a Pi−Pi stacking interaction with the HIE 83 protein. The observed trend in the binding free energy was found to be consistent with the experimental activity trend for the title molecules.
Analyzing the physicochemical properties of the developed drug hits is a crucial step in analyzing and determining their drug-likeness potential (Table S3, from Supplementary Materials). For this reason, we evaluated the drug-likeness potential of compounds 7 and 13 through computing various descriptors, such as molar mass of molecules (mol_MW), dipole moment (dipole), total solvent accessible surface area (SASA), volume, donorHB (given hydrogen bond), accptHB (accepted hydrogen bond), globularity descriptor (glob), predicted polarizability (QPpolrz), brain−blood (QPPMDCK) and intestinal−blood (QPPCaco) barriers of molecules, predicted skin permeability (QPlogKp), and number of likely metabolic reactions (#metab) (Table 5) [43,44,45] according to the Lipinski’s rule of five [46,47] and Jorgensen’s rule of three [48]. Molecular weights of the title compounds ranged from 485.58 to 564.48 Da, with compounds 7 and 13 having molecular weights less than 500 Da and obeying the first Lipinski rule for effective and safe drug delivery. Lipinski’s second rule stipulates that drug-like compounds should not possess more than five hydrogen-bond-donating groups. The two title compounds comply with this rule. Hydrogen-bond-accepting groups in the compounds 7 and 13 are 2 and 4, respectively, thus also meeting Lipinski’s third rule. Apart from all these above-mentioned parameters, two important parameters are violations of Lipinski’s rule of five (RuleOfFive) [46,47] and violations of Jorgensen’s rule of three (RuleOfThree) [48]. The numerical value of this important parameter is required to be zero, which is consistent with the values found for both compounds (Table 5). Looking at all the calculated parameter values, we find that these values are within the recommended range and it can be concluded that the title molecules had drugability characteristics according to Lipinski’s rules. Thus, it can be seen that there is no harm in the application of all molecules to human metabolism as a theoretical drug.
Table 5.
ADME properties of compounds of compounds 7 and 13.
3. Materials and Methods
3.1. General Methods
TLC was used to follow the reactions using aluminum sheets with silica gel 60 F254. Buchi−Tottoli apparatus was used to measure the melting points. The infrared spectra were recorded by using Perkin-Elmer FT Pargamon 1000 PC Spectrophotometer (Cleveland, OH, USA) covering field 400–4000 cm−1. 1H NMR and 13C NMR spectra were recorded in DMSO-d6 on JNM-ECZ500R/S1 FT NMR SYSTEM (JEOL) (500 MHz). High resolution mass spectrometry (HRMS) spectra were collected by using a Q Extractive Thermofischer Scientific ion trap spectrometer by using ESI ionization (Waltham, MA, USA).
3.2. Chemistry
3.2.1. General Procedure for the Synthesis of Compounds (3–7)
To a mixture of pyridazin-3(2H)-one (1) (1 mmol) and sodium methanoate (0.065 g, 1.2 mmol) in 30 mL of dry ethanol, aromatic aldehyde (2) (1 mmol) was added drop-wise. The mixture was refluxed for 6 h, then left under stirring overnight at room temperature. After cooling, the mixture was acidified with concentrated HCl. The precipitate formed was filtered, washed with water, and recrystallized from ethanol to afford the pure products (3–7).
4-(4-methylbenzyl)-6-phenylpyridazin-3(2H)-one (3): White solid, Yield = 78%, m.p = 276 °C, FT-IR (ATR, cm−1): 3304 (NH), 3130–2846 (CH), 1647 (C=O), 1600 (N=C); 1H NMR (500 MHz, DMSO-d6) δ: 2.40 (s, 3H, CH3), 2.96 (s, 2H, CH2-Ar), 7.32–7.50 (m, 7H, H-Ar), 7.70 (d, 2H, J = 8.4 Hz, 2H, H-Ar), 7.88 (s, 1H, CH-pyr), 10.82 (s, 1H, CONH); ESI-MS: calculated for C18H16N2O [M + H]+: 275.1300, found: 275.0509.
4-(4-chlorobenzyl)-6-phenylpyridazin-3(2H)-one (4): White solid, Yield = 72%; m.p = 296 °C; FT-IR (ATR, cm−1): 3304 (NH), 3124–2893 (CH), 1647 (C=O), 1600 (N=C); 1H NMR (500 MHz, DMSO-d6, δ (ppm)) δ: 2.96 (s, 2H, CH2-Ar), 7.38–7.45 (m, 3H, H-Ar), 7.61 (d, 2H, J = 8.4 Hz, H-Ar), 7.70 (d, 2H, J = 8.4 Hz, H-Ar), 7.80 (d, 2H, J = 8.4 Hz, H-Ar), 7.90 (s, 1H, CH-pyri), 10.84 (s, 1H, CONH); ESI-HRMS: calculated for C17H13ClN2O [M + H]+: 297.0715, found: 297.1030.
4-(2,6-dichlorobenzyl)-6-phenylpyridazin-3(2H)-one (5): Brown solid, Yield = 94%, mp = 165 °C, FT-IR (ATR, cm−1): 3206 (NH), 3061–2875 (CH), 1646 (C=O), 1605 (C=N); 1H NMR (500 MHz, DMSO-d6, δ (ppm)) δ: 7.55–7.53 (m, 2H, H-Ar), 7.53 (d, J = 2.1 Hz, 2H, H-Ar), 7.41–7.35 (m, 4H, H-Ar), 6.89 (s, 1H, H-Pyz),4.10 (s, 2H, NCH2CO); 13C NMR (101 MHz, DMSO-d6, δ (ppm)) δ: 160.77, 144.32, 140.31, 135.15, 133.23, 130.63, 129.77, 129.56, 129.44, 129.32, 126.06, 125.95, 31.44. ESI-HRMS: calculated for C17H12Cl2N2O [M + H]+: 331.0350, found: 331.0020.
4-(2-nitrobenzyl)-6-phenylpyridazin-3(2H)-one (6): Brown solid, Yield = 96%; mp = 170 °C, FT-IR (ATR, cm−1): 3200 (NH), 3043–2865 (CH), 1646 (C=O), 1595 (C=N); 1H NMR (500 MHz, DMSO-d6, δ (ppm)) δ: 8.21 (d, J = 2.0 Hz, 1H, H-Ar), 8.05 (ddd, J = 8.3, 2.4, 1.0 Hz, 1H, H-Ar), 8.03 (s,1H, H-pyr), 7.81–7.78 (m, 3H, H-Ar), 7.56 (t, J = 7.9 Hz, 1H, H-Ar), 7.46–7.42 (m, 2H, H-Ar), 7.41–7.37 (m, 1H, H-Ar), 3.97 (s, 2H, CH2-Ar); 13C NMR (101 MHz, DMSO-d6, δ (ppm)) δ: 161.09, 148.32, 144.64, 141.94, 141.01, 136.41, 135.28, 130.36, 129.72, 129.42, 129.36, 126.21, 124.17, 122.10, 35.40. HRMS: calculated for C17H13FN2O [M − H]−: 306.0315, found: 306.0475.
4-(4-fluorobenzyl)-6-phenylpyridazin-3(2H)-one (7): White solid, Yield = 58%, m.p = 280 °C, FT-IR (ATR, cm−1): 3296 (NH), 1740 (C=O), 1652 (N=C); 1H NMR (500 MHz, DMSO-d6) δ: 2.94 (s, 2H, CH2-Ar), 7.17–7.20 (m, 2H, H-Ar), 7.38–7.44 (m, 3H, H-Ar), 7.70 (d, 2H, J = 8.4 Hz, H-Ar), 7.78 (m, 2H, H-Ar), 7.88 (s, 1H, H-pyri), 10.82 (s, 1H, CONH); 13C NMR (101 MHz, DMSO-d6, δ (ppm)) δ: 161.84, 158.31, 144.20, 142.41, 135.90, 135.68, 132.94, 129.66, 129.85, 129.51, 129.54, 129.51, 127.57, 35.31. ESI-HRMS: calculated for C17H13N3O3 [M + H]+: 281.1018, found: 281.3045.
3.2.2. General Procedure for the Synthesis of Compounds (8–12)
Ethyl bromoacetate (0.53, 3.2 mmol) was added drop-wise to a solution of compounds (3–7) (3 mmol), K2CO3 (1.24 g, 9 mmol), and tetra n-butylammonium bromide (TBAB) as a catalyst in dry THF (20 mL), and the mixture was refluxed for 6 h. After the end of the reaction, the formed salts were removed by filtration and the solvent was evaporated under reduced pressure. The residue was purified by chromatography on a column of silica gel (ethylacetate:hexane (1:1)) to give pure esters (8–12).
Ethyl 2-(5-(4-methylbenzyl)-6-oxo-3-phenylpyridazin-1(6H)-yl)acetate (8): White crystals, Yield = 71%, m.p = 120 °C, FT-IR (ATR, cm−1): 3489 (OH), 3078–2852 (CH), 1751, 1652 (C=O), 1607 (C=N); 1H NMR (500 MHz, DMSO-d6, δ (ppm)) δ: 7.91 (s, 1H,CH-pyri), 7.82 (d, J = 7.8 Hz, 2H, H-Ar), 7.51–7.43 (m, 3H, H-Ar) 7.24 (d, J = 7.9 Hz, 2H, H-Ar), 7.11 (d, J = 7.8 Hz, 2H, 2H, H-Ar), 4.94 (s, 2H, NCH2CO), 4.16 (q, J = 7.1 Hz, 2H,CH2CH3), 3.87 (s, 2H,CH2-Ar), 1.19 (t, J = 7.1 Hz, 3H, OCH2CH3). 13C NMR (101 MHz, DMSO-d6, δ (ppm)) δ: 167.86, 159.48, 143.74, 142.56, 135.50, 134.69, 134.24, 129.40, 128.97, 128.85, 128.03, 125.79, 61.10, 53.99, 35.03, 20.57, 13.91. HRMS: calculated for C22H22N2O3 [M + H]+: 363.1794, found: 363.1689.
Ethyl 2-(5-(4-chlorobenzyl)-6-oxo-3-phenylpyridazin-1(6H)-yl)acetate (9): White solid, Yield = 92%; m.p = 142 °C, FT-IR (ATR, cm−1): 3466 (OH), 3067–2864 (CH), 1745, 1647 (C=O), 1607 (C=N); 1H NMR (500 MHz, DMSO-d6, δ (ppm)) δ: 8.02 (s, 1H,CH-pyri), 7.85 (d, J = 7.8 Hz, 2H, H-Ar), 7.54–7.44 (m, 3H, H-Ar), 7.40 (d, J = 8.7 Hz, 2H, H-Ar), 7.35 (d, J = 8.6 Hz, 2H, H-Ar),7.43–7.31 (m, 4H, H-Ar), 4.96 (s, 2H, NCH2CO), 4.16 (q, J = 7.1 Hz, 2H, OCH2CH3), 3.92 (s, 2H, CH2-Ar), 1.19 (t, J = 7.1 Hz, 3H, CH2CH3); 13C NMR (101 MHz, DMSO-d6, δ (ppm)) δ: 167.48, 159.29, 143.74, 141.76, 136.85, 134.21, 131.21, 130.83, 129.41, 128.84, 128.44, 128.29, 125.82, 61.08, 53.82, 34.86, 13.91. HRMS: calculated for C21H19ClN2O3 [M + 3H]+: 385.1166, found: 385.1512.
Ethyl 2-(5-(2,6-dichlorobenzyl)-6-oxo-3-phenylpyridazin-1(6H)-yl)acetate (10): White solid, Yield = 78%; m.p = 80 °C, FT-IR (ATR, cm−1): 3304 (OH), 3067–2870 (CH), 1757, 1659 (C=O), 1612 (C=N); 1H NMR (500 MHz, DMSO-d6, δ (ppm)) δ: 7.58–7.55 (m, 2H, H-Ar), 7.49 (d, J = 8.1 Hz, 2H, H-Ar), 7.38–7.32 (m, 4H, H-Ar), 6.97 (s, 1H, CH-pyri), 5.02 (s, 1H, NCH2CO), 4.28 (s, 1H, CH2-Ar), 4.24 (q, J = 7.0 Hz), 1.27 (t, J = 7.1 Hz); 13C NMR (101 MHz, DMSO-d6, δ (ppm)) δ: 167.84, 160.38, 145.27, 140.10, 136.03, 134.57, 133.05, 129.60, 129.39, 128.66, 128.55, 126.31, 125.71, 61.58, 54.03, 31.00, 13.10. HRMS: calculated for C21H18Cl2N2O3 [M + H]+: 417.0796, found: 417.0757.
Ethyl 2-(5-(2-nitrobenzyl)-6-oxo-3-phenylpyridazin-1(6H)-yl)acetate (11): Brown solid, Yield = 85%; m.p = 175 °C, FT-IR (ATR, cm−1): 3211–2887 (CH), 1647 (C=O), 1607 (C=N); 1H NMR (500 MHz, DMSO-d6, δ (ppm)) δ: 8.22 (t, J = 1.9 Hz, 1H, H-Ar), 8.14 (s, CH-pyri), 8.06 (ddd, J = 8.2, 2.4, 1.0 Hz, 1H, H-Ar), 7.84–7.81 (m, 2H, H-Ar), 7.80 (dt, J = 7.7, 1.2 Hz, 1H, H-Ar), 7.56 (t, J = 8.0 Hz, 1H, H-Ar), 7.49–7.41 (m, 3H, H-Ar), 4.90 (s, 2H, NCH2CO), 4.09 (q, J = 7.1 Hz, 2H, OCH2CH3), 4.02 (s, 2H, CH2-Ar), 1.12 (t, J = 7.1 Hz, 3H, CH2CH3). 13C NMR (101 MHz, DMSO-d6, δ (ppm)) δ: 168.06, 159.82, 148.33, 144.37, 141.58, 140.73, 136.46, 134.71, 130.37, 130.10, 129.61, 129.48, 126.46, 124.28, 122.18, 61.65, 54.44, 35.72, 14.47. HRMS: calculated for C21H18N3O4 [M + 2H]+: 395.1307, found: 395.1144.
Ethyl 2-(5-(4-fluorobenzyl)-6-oxo-3-phenylpyridazin-1(6H)-yl)acetate (12): White solid, Yield = 88%, m.p = 73 °C, FT-IR (ATR, cm−1): 3484 (OH), 3067–2835 (CH), 1757, 1652 (C=O), 1600 (C=N); 1H NMR (500 MHz, DMSO-d6, δ (ppm)) δ: 7.58–7.54 (m, 4H, H-Ar), 7.45–7.35 (m, 5H, H-Ar), 6.93 (s, 1H, CH-pyri), 4.90 (s, 2H, NCH2CO), 4.10 (q, J = 7.1 Hz, 2H, CH2CH3), 3.87 (s, 2H, CH2-Ar), 1.14 (t, J = 7.1 Hz, 3H, OCH2CH3). 13C NMR (101 MHz, DMSO-d6, δ (ppm)) δ: 166.46, 159.57, 143.65, 139.80, 135.91, 134.84, 130.68, 129.94, 129.55, 129.36, 126.26, 125.76, 61.64, 54.40, 35.99, 14.50. HRMS: calculated for C21H18FN2O· [M + H]+: 367.1435, found: 367.1427.
3.2.3. General Procedure for the Synthesis of Compounds (13–17)
To a solution of esters (8–12) (3.6 mmol) in ethanol (50 mL), was added 6 N NaOH (14.4 mmol) and the mixture was stirred at room temperature for 4 h. The solvent was then evaporated and the residue was diluted with cold water, and acidified with 6 N HCl. The final product was filtered off by suction filtration and recrystallized from dry ethanol. The precipitate formed was filtered off and recrystallized from dry ethanol to give the corresponding acids (13–17).
2-(5-(4-methylbenzyl)-6-oxo-3-phenylpyridazin-1(6H)-yl)acetic acid (13): White solid, Yield = 90%, m.p = 170 °C, FT-IR (ATR, cm−1): 3461 (OH), 3072–2843 (CH), 1757, 1734 (C=O), 1654 (C=N); 1H NMR (500 MHz, DMSO-d6, δ (ppm)) δ: 7.91 (s, 1H, CH-pyri), 7.82 (d, J = 7.1 Hz, 2H, H-Ar), 7.54–7.43 (m, 3H, H-Ar), 7.25 (d, J = 7.7 Hz, 2H, H-Ar), 7.12 (d, J = 7.7 Hz, 2H, H-Ar), 4.87 (s, 2H, NCH2CO), 3.87 (s, 2H, CH2-Ar), 2.27 (s, 3H,CH3). 13C NMR (101 MHz, DMSO-d6, δ (ppm)) δ: 168.95, 159.37, 143.47, 142.53, 135.47, 134.76, 134.37, 129.34, 128.99, 128.90, 128.86, 127.87, 125.78, 53.73, 35.07, 20.62; HRMS: calculated for C19H18N2O3 [M + H]+: 335.1160, found: 335.1378.
2-(5-(4-chlorobenzyl)-6-oxo-3-phenylpyridazin-1(6H)-yl)acetic acid (14): White solid, Yield = 84%, m.p = 174 °C (EtOH), FT-IR (ATR, cm−1): 3461 (OH), 3055–2852 (CH), 1751, 1647 (C=O), 1600 (C=N); 1H NMR (500 MHz, DMSO-d6, δ (ppm)) δ: 7.99 (s, 1H, CH-pyri), 7.84 (dd, J = 7.8, 1.6 Hz, 2H, H-Ar), 7.54–7.44 (m, 3H, H-Ar), 7.41 (d, J = 8.7 Hz, 2H, H-Ar), 7.36 (d, J = 8.7 Hz, 2H, H-Ar), 4.81 (s, 2H, NCH2CO), 3.71 (s, 2H, CH2-Ar); 13C NMR (101 MHz, DMSO-d6, δ (ppm)) δ: 169.23, 159.29, 143.28, 141.66, 137.02, 134.41, 131.13, 130.87, 129.31, 128.86, 128.31, 128.14, 125.79, 54.15, 34.88. HRMS: calculated for C19H15ClN2O3 [M + H]+: 354.9932, found: 354.9837.
2-(5-(2,6-dichlorobenzyl)-6-oxo-3-phenylpyridazin-1(6H)-yl)acetic acid (15): White solid, Yield = 89%; m.p = 140 °C, FT-IR (ATR, cm−1): 3461 (OH), 3055–2852 (CH), 1751, 1647 (C=O), 1600 (C=N); 1H NMR (500 MHz, DMSO-d6, δ (ppm)) δ: 7.65–7.60 (m, 2H, H-Ar), 7.57 (d, J = 7.8 Hz, 2H, H-Ar), 7.48–7.40 (m, 4H, H-Ar), 7.03 (s, 1H, CH-pyri), 4.95 (s, 1H, NCH2CO), 4.19 (s, 1H, CH2-Ar); 13C NMR (101 MHz, DMSO-d6, δ (ppm)) δ: 168.89, 158.91, 143.24, 139.37, 135.34, 134.10, 132.49, 130.06, 129.43, 128.95, 128.75, 125.70, 125.51, 53.76, 31.40. HRMS: calculated for C19H14Cl2N2O3 [M − H]−: 387.0468, found: 386.9793.
2-(5-(2-nitrobenzyl)-6-oxo-3-phenylpyridazin-1(6H)-yl)acetic acid (16): Yellow solid, Yield = 80%; m.p = 102 °C (EtOH), FT-IR (ATR, cm−1): 3465 (OH), 3050–2865 (CH), 1756, 1650 (C=O), 1610 (C=N); 1H NMR (500 MHz, DMSO-d6, δ (ppm)) δ: 8.21 (t, J = 1.9 Hz, 1H, H-Ar), 8.13 (s, CH-pyri), 8.07–8.04 (m, 1H, H-Ar), 7.84–7.78 (m, 3H, H-Ar), 7.56 (t, J = 7.9 Hz, 1H, H-Ar), 7.49–7.41 (m, 3H, H-Ar), 4.87 (s, 2H, NCH2CO), 3.98 (s, 2H, CH2-Ar); 13C NMR (101 MHz, DMSO-d6, δ (ppm)) δ: 168.10, 159.75, 148.83, 144.30, 141.27, 140.85, 136.82, 134.86, 130.31, 130.17, 129.77, 129.13, 126.46, 124.44, 121.23, 54.65, 35.48. HRMS: calculated for C19H15N3O5 [M + 2H]+: 367.1073, found: 367.1427.
2-(5-(4-fluorobenzyl)-6-oxo-3-phenylpyridazin-1(6H)-yl)acetic acid (17): Brown solid, Yield = 86%, m.p = 187 °C, FT-IR (ATR, cm−1): 3460 (OH), 3085–2842 (CH), 1750, 1649 (C=O), 1598 (C=N); 1H NMR (500 MHz, DMSO-d6, δ (ppm)) δ: 7.68–7.55 (m, 5H, H-Ar), 7.48–7.40 (m, 4H, H-Ar), 7.04 (s, 1H, CH-pyr), 4.94 (s, 2H, NCH2CO), 3.20 (s, 2H, CH2-Ar); 13C NMR (101 MHz, DMSO-d6, δ (ppm)) δ: 168.85, 158.91, 143.24, 139.37, 135.35, 134.13, 132.51, 130.07, 129.43, 128.97, 128.76, 125.71, 125.52, 53.75, 31.40. HRMS: calculated for C19H15FN2O3 [M + H]+: 339.1101, found: 339.1997.
3.3. Theoretical Methods
Theoretical calculations are used to compare the biological and chemical activities of molecules through the determination of many quantum chemical parameters and each calculated parameter gives information about the different properties of the molecule. Gaussian09 RevD.01, GaussView 6.0 [21,49,50] was used to calculate these parameters. DFT calculations with B3LYP/6-31++g(d,p) basis set were performed [22,51]. Many parameters were calculated, namely HOMO, LUMO, ΔE (HOMO-LUMO energy gap), electrophilicity (ω), chemical potential (μ), bulk softness (σ), chemical are hardness (η), nucleophilicity (ε), energy value, and dipole moment [51,52,53]. These parameters were calculated using the following equations.
In order to examine the antibacterial activities of the studied compounds, their inhibitory activities against various proteins were investigated. For this review, the Maestro molecular modeling platform (version 12.8) by Schrödinger [54] was used. For this calculation, the protein preparation module is used for the preparation of proteins [55], the LigPrep module [56] is used for the preparation of molecules, and the Glide ligand docking module [57] is used to interact between the prepared molecules and proteins. In the molecular-docking calculations, since the flexibility feature was added to the studied ligand molecules and the proteins in bacteria, both horizontal approach and vertical interactions were ensured. Moreover, energy minimization steps were performed using Macromodel (Schrodinger) and OPLS3e force field by following the Polak−Ribiere conjugate gradient (PRCG) algorithm with an energy gradient of 0.01 kcal/mol. However, the study was conducted using ADME/T analysis so that the studied molecules could be used as drugs. The effects and reactions of compounds in human metabolism were predicted by using the Qik-prop module of the Schrödinger Release 2021-3 (New York, NY, USA) [58].
3.4. Antibacterial Activity
The compounds (3–17) were evaluated in vitro for their antibacterial activities against S. aureus (methicillin resistant) ATCC 43300, E. coli ATCC 25922, A. baumannii ATCC 19606, P. aeruginosa ATCC 27853, and S. typhimurium ATCC 14028 bacterial strains. The antibacterial activities of the title compounds were determined by microdilution broth assay following the procedure described in our previous work [59].
4. Conclusions
In summary, novel pyridazinone derivatives (3–17) were synthesized, characterized and screened for their potential antibacterial activities against S. aureus (methicillin resistant), E. coli, A. baumannii, P. aeruginosa, and S. typhimurium bacterial strains. Most compounds showed significant antibacterial activities. Compounds 7 and 13 showed the most potent antibacterial activities against S. aureus (MRSA), P. aeruginosa, and A. baumannii with an MIC value range of 3.74–8.92 µM. DFT calculations with B3LYP/6-31++g(d,p) level were used to analyze the electronic and geometric characteristics deduced for the stable structure of title compounds and the principal quantum chemical descriptors were correlated with the antibacterial activity. However, it was found to have higher activity than other molecules with a docking score of −7.31 kcal/mol against S. aureus protein and −5.69 kcal/mol against P. aeruginosa protein. In addition, the predicted ADMET profiles of some derivatives were in line with Lipinski rules. As a result, this study will be an important guide for future in vivo studies and these new structures can be considered interesting for further modification as antibacterial agents.
Supplementary Materials
The following supporting information can be downloaded at: https://www.mdpi.com/article/10.3390/molecules28020678/s1, Figure S1: Shapes of optimized structure, HOMO, LUMO, and ESP of compounds (3–17); Figures S2–S13: 1H and 13C spectra of compounds (3–17); Figures S35–S46: HRMS spectra of compounds (3–17); Table S1: The calculated quantum chemical parameters of compounds (3–17) using B3LYP/6-31++G(d,p) level; Table S2: Numerical values of the docking parameters of compounds (3–17) against enzymes; Table S3: ADME properties of compounds (3–17).
Author Contributions
Conceptualization, S.D.; methodology, S.D. and Ş.D.; software, B.T.; formal analysis, T.C., M.M.I. and M.A.-G.; resources, M.B., M.E.K. and A.D.; writing—original draft preparation, K.K., Ş.D. and B.T.; writing—review and editing, K.K., M.M.I. and M.A.-G.; visualization, M.M.I. and M.A.-G.; supervision, N.B.; funding acquisition, M.M.I. and M.A.-G. All authors have read and agreed to the published version of the manuscript.
Funding
This research received funding from Deanship of Scientific Research at Umm Al-Qura University (Grant code 23UQU4310259DSR05).
Institutional Review Board Statement
Not applicable.
Informed Consent Statement
Not applicable.
Data Availability Statement
Not applicable.
Acknowledgments
The authors would like to acknowledge the Deanship of Scientific Research at Umm Al-Qura University for supporting this work by Grant code 23UQU4310259DSR05. This work has been supported by Mohammed I University of Oujda and Cumhuriyet University of Sivas.
Conflicts of Interest
The authors declare no conflict of interest.
Abbreviations
| ADMET | Absorption, distribution, metabolism, excretion, and toxicity |
| B3LYP | Becke 3-parameter Lee–Yang–Parr |
| CLSI | Clinical and Laboratory Standards Institute |
| DFT | Density functional theory |
| ESI–MS | Electrospray ionisation–mass spectrometry |
| ESP | Electrostatic potential |
| FT-IR | Fourier-transform infrared |
| HOMO | Highest occupied molecular orbital |
| LUMO | Lowest unoccupied molecular orbital |
| MIC | Minimal inhibition concentration |
| MRSA | Methicillin-resistant Streptococcus aureus |
| NMR | Nuclear magnetic resonance |
| TBAB | Tetrabutylammonium bromide |
| THF | Tetrahydrofuran |
References
- Singh, S.R.; Krishnamurthy, N.B.; Mathew, B.B. A review on recent diseases caused by microbes. J. Appl. Environ. Microbiol. 2014, 2, 106–115. [Google Scholar]
- Jiang, Q.; Chen, J.; Yang, C.; Yin, Y.; Yao, K. Quorum sensing: A prospective therapeutic target for bacterial diseases. Biomed. Res. Int. 2019, 2019, 2015978. [Google Scholar] [CrossRef] [PubMed]
- El-Sayed, R.; Ahmed, S.A. Synthesis of some new thiazole, oxazole, pyrimidine and pyridazine derivatives from 2-cyano-N-octadecyl-acetamide as antimicrobial and surface active agents. J. Heter. Chem. 2016, 53, 121–128. [Google Scholar] [CrossRef]
- Mabkhot, Y.N.; Kaal, N.A.; Alterary, S.; Al-Showiman, S.S.; Farghaly, T.A.; Mubarak, M.S. Antimicrobial activity of thiophene derivatives derived from ethyl (E)-5-(3-(dimethylamino) acryloyl)-4-methyl-2-(phenylamino) thiophene-3-carboxylate. Chem. Cent. J. 2017, 11, 75. [Google Scholar] [CrossRef] [PubMed]
- Jacomini, A.P.; Silva, M.J.; Silva, R.G.; Gonçalves, D.S.; Volpato, H.; Basso, E.A.; Rosa, F.A. Synthesis and evaluation against Leishmania amazonensis of novel pyrazolo [3, 4-d] pyridazinone-N-acylhydrazone-(bi) thiophene hybrids. Eur. J. Med. Chem. 2016, 124, 340–349. [Google Scholar] [CrossRef] [PubMed]
- Wang, Z.; Wang, M.; Yao, X.; Li, Y.; Tan, J.; Wang, L.; Wang, Q. Design, synthesis and antiviral activity of novel pyridazines. Eur. J. Med. Chem. 2012, 54, 33–41. [Google Scholar] [CrossRef]
- Rafi, U.M.; Mahendiran, D.; Devi, V.G.; Doble, M.; Rahiman, A.K. Pyridazine-based heteroleptic copper (II) complexes as potent anticancer drugs by inducing apoptosis and S-phase arrest in breast cancer cell. Inorg. Chim. Acta 2018, 482, 160–169. [Google Scholar] [CrossRef]
- Mantu, D.; Luca, M.C.; Moldoveanu, C.; Zbancioc, G.; Mangalagiu, I.I. Synthesis and antituberculosis activity of some new pyridazine derivatives. Part II. Eur. J. Med. Chem. 2010, 45, 5164–5168. [Google Scholar] [CrossRef] [PubMed]
- Ahmed, E.M.; Kassab, A.E.; El-Malah, A.A.; Hassan, M.S. Synthesis and biological evaluation of pyridazinone derivatives as selective COX-2 inhibitors and potential anti-inflammatory agents. Eur. J. Med. Chem. 2019, 171, 25–37. [Google Scholar] [CrossRef] [PubMed]
- Barberot, C.; Moniot, A.; Allart-Simon, I.; Malleret, L.; Yegorova, T.; Laronze-Cochard, M.; Gérard, S. Synthesis and biological evaluation of pyridazinone derivatives as potential anti-inflammatory agents. Eur. J. Med. Chem. 2018, 146, 139–146. [Google Scholar] [CrossRef]
- Zerroug, A.; Belaidi, S.; BenBrahim, I.; Sinha, L.; Chtita, S. Virtual screening in drug-likeness and structure/activity relationship of pyridazine derivatives as Anti-Alzheimer drugs. J. King Saud Univ. Sci. 2019, 31, 595–601. [Google Scholar] [CrossRef]
- Demirayak, S.; Karaburun, A.C.; Beis, R. Some pyrrole substituted aryl pyridazinone and phthalazinone derivatives and their antihypertensive activities. Eur. J. Med. Chem. 2004, 39, 1089–1095. [Google Scholar] [CrossRef]
- Partap, S.; Akhtar, M.J.; Yar, M.S.; Hassan, M.Z.; Siddiqui, A.A. Pyridazinone hybrids: Design, synthesis and evaluation as potential anticonvulsant agents. Bioorg. Chem. 2018, 77, 74–83. [Google Scholar] [CrossRef] [PubMed]
- Lümmen, P. Complex I inhibitors as insecticides and acaricides. Biochim. Biophys. Acta Bioenerg. 1998, 1364, 287–296. [Google Scholar] [CrossRef] [PubMed]
- Dekeyser, M.A. Acaricide mode of action. Pest Manag. Sci. 2005, 61, 103–110. [Google Scholar] [CrossRef] [PubMed]
- Weissmuller, J.; Tietjen, K.G.; Stendel, W.; Wachendorff-Neumann, U. Pyridazinones as Pesticides. U.S. Patent 5,004,744, 2 April 1991. [Google Scholar]
- Asif, M. Antifeedant, herbicidal and molluscicidal activities of pyridazinone compounds. Mini Rev. Org. Chem. 2013, 10, 113–122. [Google Scholar] [CrossRef]
- Martiz, R.M.; Patil, S.M.; Abdulaziz, M.; Babalghith, A.; Al-Areefi, M.; Al-Ghorbani, M.; Mallappa Kumar, J.; Prasad, A.; Mysore Nagalingaswamy, N.P.; Ramu, R. Defining the Role of Isoeugenol from Ocimum tenuiflorum against Diabetes Mellitus-Linked Alzheimer’s Disease through Network Pharmacology and Computational Methods. Molecules 2022, 27, 2398. [Google Scholar] [CrossRef]
- Martiz, R.M.; Patil, S.M.; Thirumalapura Hombegowda, D.; Shbeer, A.M.; Alqadi, T.; Al-Ghorbani, M.; Ramith, R.; Prasad, A. Phyto-Computational Intervention of Diabetes Mellitus at Multiple Stages Using Isoeugenol from Ocimum tenuiflorum: A Combination of Pharmacokinetics and Molecular Modelling Approaches. Molecules 2022, 27, 6222. [Google Scholar] [CrossRef]
- Maradesha, T.; Patil, S.M.; Al-Mutairi, K.A.; Ramu, R.; Madhunapantula, S.V.; Alqadi, T. Inhibitory effect of polyphenols from the whole green jackfruit flour against α-glucosidase, α-amylase, aldose reductase and glycation at multiple stages and their interaction: Inhibition kinetics and molecular simulations. Molecules 2022, 27, 1888. [Google Scholar] [CrossRef]
- Becke, A.D. Density-functional thermochemistry. I. The effect of the exchange-only gradient correction. J. Chem. Phys. 1992, 96, 2155–2160. [Google Scholar] [CrossRef]
- Vautherin, D.; Brink, D.T. Hartree-Fock calculations with Skyrme’s interaction. I. Spherical nuclei. Phys. Rev. C 1972, 5, 626. [Google Scholar] [CrossRef]
- Hohenstein, E.G.; Chill, S.T.; Sherrill, C.D. Assessment of the performance of the M05− 2X and M06− 2X exchange-correlation functionals for noncovalent interactions in biomolecules. J. Chem. Theory Comput. 2008, 4, 1996–2000. [Google Scholar] [CrossRef]
- Karrouchi, K.; Fettach, S.; Tüzün, B.; Radi, S.; Alharthi, A.I.; Ghabbour, H.A.; Garcia, Y. Synthesis, crystal structure, DFT, α-glucosidase and α-amylase inhibition and molecular docking studies of (E)-N′-(4-chlorobenzylidene)-5-phenyl-1H-pyrazole-3-carbohydrazide. J. Mol. Struct. 2021, 1245, 131067. [Google Scholar] [CrossRef]
- Dadou, S.; Altay, A.; Koudad, M.; Türkmenoğlu, B.; Yeniçeri, E.; Çağlar, S.; Karrouchi, K. Design, synthesis, anticancer evaluation and molecular docking studies of new imidazo [2, 1-b] thiazole-based chalcones. Med. Chem. Res. 2022, 31, 1369–1383. [Google Scholar] [CrossRef]
- Fettach, S.; Thari, F.Z.; Hafidi, Z.; Tachallait, H.; Karrouchi, K.; El Achouri, M.; Faouzi, M.E.A. Synthesis, α-glucosidase and α-amylase inhibitory activities, acute toxicity and molecular docking studies of thiazolidine-2, 4-diones derivatives. J. Biomol. Struct. Dyn. 2021, 40, 8340–8351. [Google Scholar] [CrossRef]
- Fettach, S.; Thari, F.Z.; Hafidi, Z.; Karrouchi, K.; Bouathmany, K.; Cherrah, Y.; Faouzi, M.E.A. Biological, toxicological and molecular docking evaluations of isoxazoline-thiazolidine-2, 4-dione analogues as new class of anti-hyperglycemic agents. J. Biomol. Struct. Dyn. 2021, 1–13. [Google Scholar] [CrossRef]
- Karrouchi, K.; Fettach, S.; Radi, S.; Taoufik, J.; Mabkhot, Y.N.; Alterary, S.; Ansar, M. Synthesis, characterization, free-radical scavenging capacity and antioxidant activity of novel series of hydrazone, 1, 3, 4-oxadiazole and 1, 2, 4-triazole derived from 3, 5-dimethyl-1H-pyrazole. Lett. Drug Des. Discov. 2019, 16, 712–720. [Google Scholar] [CrossRef]
- Karrouchi, K.; Chemlal, L.; Taoufik, J.; Cherrah, Y.; Radi, S.; Faouzi, M.E.A.; Ansar, M. Synthesis, antioxidant and analgesic activities of Schiff bases of 4-amino-1, 2, 4-triazole derivatives containing a pyrazole moiety. Ann. Pharm. Fr. 2016, 74, 431–438. [Google Scholar] [CrossRef] [PubMed]
- Curran, W.V.; Ross, A. 6-Phenyl-4, 5-dihydro-3 (2H)-pyridazinones. Series of hypotensive agents. J. Med. Chem. 1974, 17, 273–281. [Google Scholar] [CrossRef] [PubMed]
- Daoui, S.; Cinar, E.B.; Dege, N.; Chelfi, T.; El Kalai, F.; Abudunia, A.; Benchat, N. Crystal structure and Hirshfeld surface analysis of 4-(2, 6-dichlorobenzyl)-6-[(E)-2-phenylethenyl] pyridazin-3 (2H)-one. Acta Crystallogr. Sect. E 2021, 77, 23–27. [Google Scholar] [CrossRef]
- El Kalai, F.; Baydere, C.; Daoui, S.; Saddik, R.; Dege, N.; Karrouchi, K.; Benchat, N. Crystal structure and Hirshfeld surface analysis of ethyl 2-[5-(3-chlorobenzyl)-6-oxo-3-phenyl-1, 6-dihydropyridazin-1-yl] acetate. Acta Crystallogr. Sect. E 2019, 75, 892–895. [Google Scholar] [CrossRef] [PubMed]
- Daoui, S.; Baydere, C.; El Kalai, F.; Mahi, L.; Dege, N.; Karrouchi, K.; Benchat, N. Crystal structure, Hirshfeld surface analysis and DFT studies of 2-[5-(4-methylbenzyl)-6-oxo-3-phenyl-1, 6-dihydropyridazin-1-yl] acetic acid. Acta Crystallogr. Sect. E 2019, 75, 1925–1929. [Google Scholar] [CrossRef] [PubMed]
- Daoui, S.; Baydere, C.; Chelfi, T.; El Kalai, F.; Dege, N.; Karrouchi, K.; Benchat, N. Polymorphism of 2-(5-benzyl-6-oxo-3-phenyl-1, 6-dihydropyridazin-1-yl) acetic acid with two monoclinic modifications: Crystal structures and Hirshfeld surface analyses. Acta Crystallogr. Sect. E 2020, 76, 432–437. [Google Scholar] [CrossRef]
- Günsel, A.; Kırbaç, E.; Tüzün, B.; Erdoğmuş, A.; Bilgiçli, A.T.; Yarasir, M.N. Selective chemosensor phthalocyanines for Pd2+ ions; synthesis, characterization, quantum chemical calculation, photochemical and photophysical properties. J. Mol. Struct. 2019, 1180, 127–138. [Google Scholar] [CrossRef]
- Ojha, L.K.; Tüzün, B.; Bhawsar, J. Experimental and theoretical study of effect of allium sativum extracts as corrosion inhibitor on mild steel in 1 M HCl medium. J. Bio-Tribo-Corros. 2020, 6, 39. [Google Scholar] [CrossRef]
- Günsel, A.; Bilgiçli, A.T.; Pişkin, H.; Tüzün, B.; Yarasir, M.N.; Gündüz, B. Synthesis of non-peripherally tetra-substituted copper (ii) phthalocyanines: Characterization, optical and surface properties, fabrication and photo-electrical properties of a photosensitive diode. Dalton Trans. 2019, 48, 14839–14852. [Google Scholar] [CrossRef] [PubMed]
- Majumdar, D.; Tüzün, B.; Pal, T.K.; Saini, R.V.; Bankura, K.; Mishra, D. Structurally diverse heterobimetallic Pb (II)-Salen complexes mechanistic notion of cytotoxic activity against neuroblastoma cancer cell: Synthesis, characterization, protein–ligand interaction profiler, and intuitions from DFT. Polyhedron 2021, 210, 115504. [Google Scholar] [CrossRef]
- Khalilov, A.N.; Tüzün, B.; Taslimi, P.; Tas, A.; Tuncbilek, Z.; Cakmak, N.K. Cytotoxic effect, spectroscopy, DFT, enzyme inhibition, and moleculer docking studies of some novel mesitylaminopropanols: Antidiabetic and anticholinergics and anticancer potentials. J. Mol. Liq. 2021, 344, 117761. [Google Scholar] [CrossRef]
- Rbaa, M.; Haida, S.; Tuzun, B.; El Hassane, A.; Kribii, A.; Lakhrissi, Y.; Berdimurodov, E. Synthesis, characterization and bioactivity of novel 8-hydroxyquinoline derivatives: Experimental, molecular docking, DFT and POM analyses. J. Mol. Struct. 2022, 1258, 132688. [Google Scholar] [CrossRef]
- Lakhrissi, Y.; Rbaa, M.; Tuzun, B.; Hichar, A.; Ounine, K.; Almalki, F.; Lakhrissi, B. Synthesis, structural confirmation, antibacterial properties and bio-informatics computational analyses of new pyrrole based on 8-hydroxyquinoline. J. Mol. Struct. 2022, 1259, 132683. [Google Scholar] [CrossRef]
- Al-Janabi, I.A.S.; Yavuz, S.Ç.; Köprü, S.; Tapera, M.; Kekeçmuhammed, H.; Akkoç, S.; Sarıpınar, E. Antiproliferative activity and molecular docking studies of new 4-oxothiazolidin-5-ylidene acetate derivatives containing guanylhydrazone moiety. J. Mol. Struct. 2022, 1258, 132627. [Google Scholar] [CrossRef]
- Koçyiğit, Ü.M.; Doğan, M.; Muğlu, H.; Taslimi, P.; Tüzün, B.; Yakan, H.; Gülçin, İ. Determination of biological studies and molecular docking calculations of isatin-thiosemicarbazone hybrid compounds. J. Mol. Struct. 2022, 1264, 133249. [Google Scholar] [CrossRef]
- Erdogan, M.K.; Gundogdu, R.; Yapar, Y.; Gecibesler, I.H.; Kirici, M.; Behcet, L.; Taslimi, P. The Evaluation of Anticancer, Antioxidant, Antidiabetic and Anticholinergic Potentials of Endemic Rhabdosciadium microcalycinum Supported by Molecular Docking Study. Chem. Select 2022, 7, e202200400. [Google Scholar] [CrossRef]
- Mermer, A.; Bulbul, M.V.; Kalender, S.M.; Keskin, I.; Tuzun, B.; Eyupoglu, O.E. Benzotriazole-oxadiazole Hybrid Compounds: Synthesis, Anticancer Activity, Molecular Docking and ADME Profiling Studies. J. Mol. Liq. 2022, 359, 119264. [Google Scholar] [CrossRef]
- Lipinski, C.A. Lead-and drug-like compounds: The rule-of-five revolution. Drug Discov. Today Technol. 2004, 1, 337–341. [Google Scholar] [CrossRef] [PubMed]
- Lipinski, C.A.; Lombardo, F.; Dominy, B.W.; Feeney, P.J. Experimental and computational approaches to estimate solubility and permeability in drug discovery and development settings. Adv. Drug Deliv. Rev. 1997, 23, 3–25. [Google Scholar] [CrossRef]
- Jorgensen, W.J.; Duffy, E.M. Prediction of drug solubility from structure. Adv. Drug Deliv. Rev. 2002, 54, 355–366. [Google Scholar] [CrossRef]
- Dennington, R.; Keith, T.A.; Millam, J.M. GaussView, version 6.0. 16; Semichem Inc.: Shawnee Mission, KS, USA, 2016.
- Frisch, M.J.; Trucks, G.W.; Schlegel, H.B.; Scuseria, G.E.; Robb, M.A.; Cheeseman, J.R.; Scalmani, G.; Barone, V.; Mennucci, B.; Petersson, G.A.; et al. Gaussian, version 09, revision D.01; Gaussian Inc.: Wallingford, UK, 2009.
- Tüzün, B. Theoretical evaluation of six indazole derivatives as corrosion inhibitors based on DFT. Turk. Comput. Theoret. Chem. 2018, 2, 12–22. [Google Scholar]
- Günsel, A.; Bilgiçli, A.T.; Tüzün, B.; Pişkin, H.; Atmaca, G.Y.; Erdoğmuş, A.; Yarasir, M.N. Synthesis of tetra-substituted phthalocyanines bearing 2-(ethyl (m-tolyl) amino) ethanol: Computational and photophysicochemical studies. J. Photochem. Photobiol. 2019, 373, 77–86. [Google Scholar] [CrossRef]
- Güzel, E.; Günsel, A.; Tüzün, B.; Atmaca, G.Y.; Bilgiçli, A.T.; Erdoğmuş, A.; Yarasir, M.N. Synthesis of tetra-substituted metallophthalocyanines: Spectral, structural, computational studies and investigation of their photophysical and photochemical properties. Polyhedron 2019, 158, 316–324. [Google Scholar] [CrossRef]
- Schrödinger Release 2021-3: Maestro; Schrödinger, LLC: New York, NY, USA, 2021.
- Schrödinger Release 2019-4: Protein Preparation Wizard; Epik, Schrödinger, LLC: New York, NY, USA, 2016; Impact, Schrödinger, LLC: New York, NY, USA, 2016; Prime, Schrödinger, LLC: New York, NY, USA, 2019.
- Schrödinger Release 2021-3: LigPrep; Schrödinger, LLC: New York, NY, USA, 2021.
- Poustforoosh, A.; Hashemipour, H.; Tüzün, B.; Pardakhty, A.; Mehrabani, M.; Nematollahi, M.H. Evaluation of potential anti-RNA-dependent RNA polymerase (RdRP) drugs against the newly emerged model of COVID-19 RdRP using computational methods. Biophys. Chem. 2021, 272, 106564. [Google Scholar] [CrossRef] [PubMed]
- Schrödinger Release 2021-3: QikProp; Schrödinger, LLC: New York, NY, USA, 2021.
- Ustabaş, R.; Süleymanoğlu, N.; Ünver, Y.; Direkel, Ş. 5-(4-Bromobenzyl)-4-(4-(5-phenyl-1, 3, 4-oxadiazole-2-yl) phenyl)-2, 4-dihydro-3H-1, 2, 4-triazole-3-one: Synthesis, characterization, DFT study and antimicrobial activity. J. Mol. Struct. 2020, 1214, 128217. [Google Scholar] [CrossRef]
Disclaimer/Publisher’s Note: The statements, opinions and data contained in all publications are solely those of the individual author(s) and contributor(s) and not of MDPI and/or the editor(s). MDPI and/or the editor(s) disclaim responsibility for any injury to people or property resulting from any ideas, methods, instructions or products referred to in the content. |
© 2023 by the authors. Licensee MDPI, Basel, Switzerland. This article is an open access article distributed under the terms and conditions of the Creative Commons Attribution (CC BY) license (https://creativecommons.org/licenses/by/4.0/).





