Design, Synthesis, and Evaluation of Novel Indole Hybrid Chalcones and Their Antiproliferative and Antioxidant Activity
Abstract
:1. Introduction
2. Results and Discussion
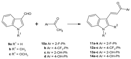
2.1. Chemistry
2.2. Antiproliferative Activity
2.3. Antioxidant Activity
3. Materials and Methods
3.1. Chemistry
3.1.1. General Method and Materials
3.1.2. General Procedure (A) Acid-Catalyzed Claisen-Schmidt Condensation
3.1.3. General Procedure (B1) Base-Catalyzed Claisen–Schmidt Condensation (50% aq. KOH)
3.1.4. General Procedure (B2) Base-Catalyzed Claisen–Schmidt Condensation (Piperidine)
3.1.5. Synthesis and Characterization of Compounds 11–14, 17–19
3.2. Antiproliferative Activity Studies
3.2.1. Cell Cultures
3.2.2. MTT Assay
3.3. Antioxidant Activity Studies
3.3.1. DPPH Radical Scavenging Activity
3.3.2. ABTS Radical Scavenging Activity
3.3.3. Ferric Reducing Antioxidant Power (FRAP)
3.3.4. Statistical Analysis
4. Conclusions
Supplementary Materials
Author Contributions
Funding
Institutional Review Board Statement
Informed Consent Statement
Data Availability Statement
Conflicts of Interest
References
- Gomes, M.N.; Muratov, E.N.; Pereira, M.; Peixoto, J.C.; Rosseto, L.P.; Cravo, P.V.L.; Andrade, C.H.; Neves, B.J. Chalcone Derivatives: Promising Starting Points for Drug Design. Molecules 2017, 22, 1210. [Google Scholar] [CrossRef]
- McCluskey, A.; Russell, C. Chalcones: Potential Anticancer Agents. In Translational Research in Cancer; IntechOpen: London, UK, 2021; pp. 1–25. ISBN 0000957720. [Google Scholar]
- Gao, F.; Huang, G.; Xiao, J. Chalcone Hybrids as Potential Anticancer Agents: Current Development, Mechanism of Action, and Structure-Activity Relationship. Med. Res. Rev. 2020, 40, 2049–2084. [Google Scholar] [CrossRef]
- Sravanthi, T.V.; Manju, S.L. Indoles-A Promising Scaffold for Drug Development. Eur. J. Pharm. Sci. 2016, 91, 1–10. [Google Scholar] [CrossRef] [PubMed]
- Robinson, M.W.; Overmeyer, J.H.; Young, A.M.; Erhardt, P.W.; Maltese, W.A. Synthesis and Evaluation of Indole-Based Chalcones as Inducers of Methuosis, a Novel Type of Non-Apoptotic Cell Death. J. Med. Chem. 2012, 55, 1940–1956. [Google Scholar] [CrossRef] [PubMed]
- Kudličková, Z.; Takáč, P.; Sabolová, D.; Vilková, M.; Baláž, M.; Béres, T.; Mojžiš, J. Novel 1-Methoxyindole- and 2-Alkoxyindole-Based Chalcones: Design, Synthesis, Characterization, Antiproliferative Activity and DNA, BSA Binding Interactions. Med. Chem. Res. 2021, 30, 897–912. [Google Scholar] [CrossRef]
- Kuruc, T.; Kello, M.; Petrova, K.; Kudlickova, Z.; Kubatka, P.; Mojzis, J. The Newly Synthetized Chalcone L1 Is Involved in the Cell Growth Inhibition, Induction of Apoptosis and Suppression of Epithelial-to-Mesenchymal Transition of HeLa Cells. Molecules 2021, 26, 1356. [Google Scholar] [CrossRef] [PubMed]
- Inoue, M.; Sumii, Y.; Shibata, N. Contribution of Organofluorine Compounds to Pharmaceuticals. ACS Omega 2020, 5, 10633–10640. [Google Scholar] [CrossRef]
- Yu, Y.; Liu, A.; Dhawan, G.; Mei, H.; Zhang, W.; Izawa, K.; Soloshonok, V.A.; Han, J. Fluorine-Containing Pharmaceuticals Approved by the FDA in 2020: Synthesis and Biological Activity. Chin. Chem. Lett. 2021, 32, 3342–3354. [Google Scholar] [CrossRef]
- Mei, H.; Han, J.; Fustero, S.; Medio-Simon, M.; Sedgwick, D.M.; Santi, C.; Ruzziconi, R.; Soloshonok, V.A. Fluorine-Containing Drugs Approved by the FDA in 2018. Chem. Eur. J. 2019, 25, 11797–11819. [Google Scholar] [CrossRef]
- Burmaoglu, S.; Algul, O.; Anil, D.A.; Gobek, A.; Duran, G.G.; Ersan, R.H.; Duran, N. Synthesis and Anti-Proliferative Activity of Fluoro-Substituted Chalcones. Bioorg. Med. Chem. Lett. 2016, 26, 3172–3176. [Google Scholar] [CrossRef]
- dos Santos, M.B.; Bertholin Anselmo, D.; de Oliveira, J.G.; Jardim-Perassi, B.V.; Alves Monteiro, D.; Silva, G.; Gomes, E.; Lucia Fachin, A.; Marins, M.; de Campos Zuccari, D.A.P.; et al. Antiproliferative Activity and P53 Upregulation Effects of Chalcones on Human Breast Cancer Cells. J. Enzym. Inhib. Med. Chem. 2019, 34, 1093–1099. [Google Scholar] [CrossRef] [PubMed]
- Rozmer, Z.; Perjési, P. Naturally Occurring Chalcones and Their Biological Activities. Phytochem. Rev. 2016, 15, 87–120. [Google Scholar] [CrossRef]
- Cramer, J.; Sager, C.P.; Ernst, B. Hydroxyl Groups in Synthetic and Natural-Product-Derived Therapeutics: A Perspective on a Common Functional Group. J. Med. Chem. 2019, 62, 8915–8930. [Google Scholar] [CrossRef]
- Constantinescu, T.; Lungu, C.N. Anticancer Activity of Natural and Synthetic Chalcones. Int. J. Mol. Sci. 2021, 22, 11306. [Google Scholar] [CrossRef] [PubMed]
- Deng, N.; Qiao, M.; Li, Y.; Liang, F.; Li, J.; Liu, Y. Anticancer Effects of Licochalcones: A Review of the Mechanisms. Front. Pharmacol. 2023, 14, 1074506. [Google Scholar] [CrossRef] [PubMed]
- Yang, L.H.; Ho, Y.J.; Lin, J.F.; Yeh, C.W.; Kao, S.H.; Hsu, L.S. Butein Inhibits the Proliferation of Breast Cancer Cells through Generation of Reactive Oxygen Species and Modulation of ERK and P38 Activities. Mol. Med. Rep. 2012, 6, 1126–1132. [Google Scholar] [CrossRef]
- Cho, S.-G.; Woo, S.-M.; Ko, S.-G. Butein Suppresses Breast Cancer Growth by Reducing a Production of Intracellular Reactive Oxygen Species. J. Exp. Clin. Cancer Res. 2014, 33, 51. [Google Scholar] [CrossRef]
- Chen, W.J.; Song, J.R.; Guo, P.; Wen, Z.Y. Butein, a More Effective Antioxidant than α-Tocopherol. J. Mol. Struct. THEOCHEM 2006, 763, 161–164. [Google Scholar] [CrossRef]
- Miranda, C.L.; Stevens, J.F.; Ivanov, V.; Mccall, M.; Frei, B.; Deinzer, M.L.; Buhler, D.R. Antioxidant and Prooxidant Actions of Prenylated and Nonprenylated Chalcones and Flavanones in Vitro. J. Agric. Food Chem. 2000, 48, 3876–3884. [Google Scholar] [CrossRef]
- Cai, Y.Z.; Sun, M.; Xing, J.; Luo, Q.; Corke, H. Structure-Radical Scavenging Activity Relationships of Phenolic Compounds from Traditional Chinese Medicinal Plants. Life Sci. 2006, 78, 2872–2888. [Google Scholar] [CrossRef]
- Kudličková, Z.; Stahorský, M.; Michalková, R.; Vilková, M.; Baláž, M. Mechanochemical Synthesis of Indolyl Chalcones with Antiproliferative Activity. Green Chem. Lett. Rev. 2022, 15, 474–482. [Google Scholar] [CrossRef]
- Suzdalev, K.F.; Babakova, M.N. Synthesis of Analogues of Indole Alkaloids from Sea Sponges – Aplysinopsins by the Reaction of Amines with (4Z)-4-[(1H-Indol-3-Yl)-Methylene]-1,3-Oxazol-5(4H)-Ones. J. Heterocycl. Chem. 2015, 46, 1200–1206. [Google Scholar] [CrossRef]
- Somei, M.; Kawasaki, T.; Kodama, A.; Nishida, T.; Shimizu, K. Preparation of 1-Hydroxyindole Derivatives and a New Route to 2-Substituted Indoles. Heterocycles 1991, 32, 221. [Google Scholar] [CrossRef]
- Acheson, B.R.M.; Hunt, P.G.; Littlewood, D.M.; Murrer, B.A.; Rosenberg, H.E. The Synthesis, Reactions, and Spectra of 1-Acetoxy-, 1-Hydroxy-, and 1-Methoxy-Indoles. J. Chem. Soc. Perkin Trans. 1 1978, 10, 1117–1125. [Google Scholar] [CrossRef]
- Somei, M.; Nakajou, M.; Teramoto, T.; Tanimoto, A.; Yamada, F. Nucleophilic Substitution Reaction of 3-Acetyl-1-Methoxyindole and Its Application for the Synthesis of Novel 2-Substituted Methyl 2,3-Dihydro-1-Methyl-3-Oxo-5H-Pyrido-[4,3-b]Indole-4-Carboxylates. Heterocycles 1999, 51, 1949–1956. [Google Scholar] [CrossRef]
- Venkatanarayana, M.; Dubey, P.K. Novel and Simple Methodology for the Synthesis of 3-Acetylindoles and Their N-Alkyl Derivatives Using TBAB as Phase Transfer Catalyst. Lett. Org. Chem. 2011, 8, 656–662. [Google Scholar] [CrossRef]
- Jacobsen, N.E. NMR Data Interpretation Explained: Understanding 1D and 2D NMR Spectra of Organic Compounds and Natural Products; John Wiley & Sons, Inc.: Hoboken, NJ, USA, 2016; ISBN 9781118370223. [Google Scholar]
- Michalkova, R.; Kello, M.; Kudlickova, Z.; Gazdova, M.; Mirossay, L.; Mojzisova, G.; Mojzis, J. Programmed Cell Death Alterations Mediated by Synthetic Indole Chalcone Resulted in Cell Cycle Arrest, DNA Damage, Apoptosis and Signaling Pathway Modulations in Breast Cancer Model. Pharmaceutics 2022, 14, 503. [Google Scholar] [CrossRef]
- Chripkova, M.; Zigo, F.; Mojzis, J. Antiproliferative Effect of Indole Phytoalexins. Molecules 2016, 21, 1626. [Google Scholar] [CrossRef]
- Gacche, R.N.; Dhole, N.A.; Kamble, S.G.; Bandgar, B.P. In-Vitro Evaluation of Selected Chalcones for Antioxidant Activity. J. Enzym. Inhib. Med. Chem. 2008, 23, 28–31. [Google Scholar] [CrossRef]
- Chu, J.; Guo, C.L. Design and Discovery of Some Novel Chalcones as Antioxidant and Anti-Inflammatory Agents via Attenuating NF-ΚB. Arch. Pharm. 2016, 349, 63–70. [Google Scholar] [CrossRef] [PubMed]
- Przybylski, P.; Konopko, A.; Łętowski, P.; Jodko-Piórecka, K.; Litwinienko, G. Concentration-Dependent HAT/ET Mechanism of the Reaction of Phenols with 2,2-Diphenyl-1-Picrylhydrazyl (Dpph˙) in Methanol. RSC Adv. 2022, 12, 8131–8136. [Google Scholar] [CrossRef] [PubMed]
- Wang, G.; Xue, Y.; An, L.; Zheng, Y.; Dou, Y.; Zhang, L.; Liu, Y. Theoretical Study on the Structural and Antioxidant Properties of Some Recently Synthesised 2,4,5-Trimethoxy Chalcones. Food Chem. 2015, 171, 89–97. [Google Scholar] [CrossRef]
- Munteanu, I.G.; Apetrei, C. Analytical Methods Used in Determining Antioxidant Activity: A Review. Int. J. Mol. Sci. 2021, 22, 3380. [Google Scholar] [CrossRef] [PubMed]
- Jung, J.C.; Lee, Y.; Min, D.; Jung, M.; Oh, S. Practical Synthesis of Chalcone Derivatives and Their Biological Activities. Molecules 2017, 22, 1872. [Google Scholar] [CrossRef]
- Kalinowska, M.; Płońska, A.; Trusiak, M.; Gołębiewska, E.; Gorlewska-Pietluszenko, A. Comparing the Extraction Methods, Chemical Composition, Phenolic Contents and Antioxidant Activity of Edible Oils from Cannabis Sativa and Silybum Marianu Seeds. Sci. Rep. 2022, 12, 20609. [Google Scholar] [CrossRef]
- Cheng, Z.J.; Lin, C.N.; Hwang, T.L.; Teng, C.M. Broussochalcone A, a Potent Antioxidant and Effective Suppressor of Inducible Nitric Oxide Synthase in Lipopolysaccharide-Activated Macrophages. Biochem. Pharmacol. 2001, 61, 939–946. [Google Scholar] [CrossRef]
- Sivakumar, P.M.; Prabhakar, P.K.; Doble, M. Synthesis, Antioxidant Evaluation, and Quantitative Structure-Activity Relationship Studies of Chalcones. Med. Chem. Res. 2011, 20, 482–492. [Google Scholar] [CrossRef]
- Garberová, M.; Potočňák, I.; Tvrdoňová, M.; Bago-Pilátová, M.; Bekešová, S.; Kudličková, Z.; Samoľová, E.; Kešeľáková, A.; Elečko, J.; Vilková, M. Spectral, Structural, and Pharmacological Studies of Perillaldehyde and Myrtenal Based Benzohydrazides. J. Mol. Struct. 2023, 1271, 134112. [Google Scholar] [CrossRef]
- Lagu, S.B.; Yejella, R.P.; Bhandare, R.R.; Shaik, A.B. Design, Synthesis, and Antibacterial and Antifungal Activities of Novel Trifluoromethyl and Trifluoromethoxy Substituted Chalcone Derivatives. Pharmaceuticals 2020, 13, 375. [Google Scholar] [CrossRef]
- Yao, Y.; Huang, T.; Wang, Y.; Wang, L.; Feng, S.; Cheng, W.; Yang, L.; Duan, Y. Angiogenesis and Anti-Leukaemia Activity of Novel Indole Derivatives as Potent Colchicine Binding Site Inhibitors. J. Enzym. Inhib. Med. Chem. 2022, 37, 652–665. [Google Scholar] [CrossRef] [PubMed]
- Venturella, P.; Bellino, A.; Piozzi, F. Synthesis of Indolylchalcones and Indolylchrom Indolylchromonols. Farm. Ed. Sci. 1971, 26, 591–596. [Google Scholar]
- Yesuthangam, Y.; Pandian, S.; Venkatesan, K.; Gandhidasan, R.; Murugesan, R. Photogeneration of Reactive Oxygen Species and Photoinduced Plasmid DNA Cleavage by Novel Synthetic Chalcones. J. Photochem. Photobiol. B Biol. 2011, 102, 200–208. [Google Scholar] [CrossRef]
- Chang, M.Y.; Chen, K.T.; Tsai, Y.L.; Chen, H.Y. One-Pot Access to 2-Aryl-3-(Arylmethyl)Chromones. Synthesis 2020, 52, 861–872. [Google Scholar] [CrossRef]
- Kumar, D.; Kumar, N.M.; Akamatsu, K.; Kusaka, E.; Harada, H.; Ito, T. Synthesis and Biological Evaluation of Indolyl Chalcones as Antitumor Agents. Bioorganic Med. Chem. Lett. 2010, 20, 3916–3919. [Google Scholar] [CrossRef] [PubMed]
- Rani, P.; Srivastava, V.K.; Kumar, A. Synthesis and Antiinflammatory Activity of Heterocyclic Indole Derivatives. Eur. J. Med. Chem. 2004, 39, 449–452. [Google Scholar] [CrossRef]
- Brand-Williams, W.; Cuvelier, M.E.; Berset, C. Use of a Free Radical Method to Evaluate Antioxidant Activity. LWT Food Sci. Technol. 1995, 28, 25–30. [Google Scholar] [CrossRef]
- Tvrdoňová, M.; Borovská, B.; Salayová, A.; Rončák, R.; Michalčin, P.; Bednáriková, Z.; Gažová, Z. Design and Synthesis of Novel Carbohydrate-Amino Acid Hybrids and Their Antioxidant and Anti-β-Amyloid Aggregation Activity. Bioorg. Chem. 2023, 137, 106636. [Google Scholar] [CrossRef]
- Benzie, I.F.F.; Strain, J.J. The Ferric Reducing Ability of Plasma (FRAP) as a Measure of “Antioxidant Power”: The FRAP Assay. Anal. Biochem. 1996, 239, 70–76. [Google Scholar] [CrossRef]



| Comp. | Ar | R1 | R2 | H-2 (J) | H-3 (J) | C-1 | C-2 | C-3 |
|---|---|---|---|---|---|---|---|---|
| 11a | 2-F-Ph | H | H | 7.29 (15.7, 2.3) | 7.91 (15.7, 1.2) | 188.2 | 119.5 | 140.0 |
| 11b | CH3 | 7.25 (15.7, 2.3) | 7.88 (15.7, 1.4) | 188.1 | 119.4 | 139.3 | ||
| 11c | OCH3 | 7.33 (15.8, 2.2) | 7.84 (15.7, 0.9) | 188.3 | 120.9 | 138.5 | ||
| 11d | H | OCH3 | 7.02 (15.4, 2.2) | 7.84 (15.4, 1.5) | 187.4 | 115.7 | 136.8 | |
| 11e | OCH2CH3 | 7.07 (15.4, 2.3) | 7.88 (15.4, 1.5) | 187.1 | 115.6 | 136.8 | ||
| 11f | OCH2CH2CH3 | 7.06 (15.4, 2.2) | 7.88 (15.4, 1.5) | 187.3 | 115.7 | 136.9 | ||
| 11g | OCH(CH3)2 | 7.09 (15.6, 2.3) | 7.87 (15.6, 1.5) | 187.2 | 115.8 | 136.9 | ||
| 11h | OCH2CH2 CH2CH3 | 7.05 (15.4, 2.2) | 7.86 (15.4, 1.5) | 187.4 | 115.8 | 136.9 | ||
| 11i | OCH2CH(CH3)2 | 7.06 (15.4, 2.1) | 7.88 (15.4, 1.4) | 187.4 | 115.8 | 137.0 | ||
| 11j | OCHCH3CH2 OCH3 | 7.09 (15.5, 2.2) | 7.87 (15.5, 1.4) | 187.7 | 116.4 | 137.4 | ||
| 11k | OCH2CH2OH | 7.08 (15.5, 2.3) | 7.94 (15.5, 1.3) | 187.0 | 115.5 | 136.8 | ||
| 12a | 4-CF3-Ph | H | H | 7.63 (15.4) | 8.11 (15.4) | 188.2 | 115.1 | 140.3 |
| 12b | CH3 | 7.63 (15.4) | 8.06 (15.4) | 188.0 | 114.9 | 139.7 | ||
| 12c | OCH3 | 7.69 (15.4) | 8.02 (15.4) | 188.6 | 117.0 | 139.2 | ||
| 13a | 2-OH-Ph | H | H | 7.77 (15.2) | 8.21 (15.2) | 193.1 | 113.9 | 140.4 |
| 13b | CH3 | 7.75 (15.2) | 8.16 (15.2) | 193.0 | 113.9 | 139.7 | ||
| 13c | OCH3 | 7.82 (15.3) | 8.11 (15.3) | 193.1 | 115.7 | 138.7 | ||
| 14a | 4-OH-Ph | H | H | 7.64 (15.5) | 7.99 (15.5) | 187.0 | 115.4 | 137.7 |
| 14b | CH3 | 7.62 (15.5) | 7.94 (15.5) | 187.0 | 115.4 | 137.0 | ||
| 14c | OCH3 | 7.69 (15.5) | 7.91 (15.5) | 186.9 | 117.0 | 136.1 | ||
| 17a | 4-OH-Ph | H | 7.55 (15.4) | 7.63 (15.4) | 183.8 | 121.3 | 139.8 | |
| 17b | CH3 | 7.56 (15.8) | 7.56 (15.8) | 183.3 | 121.2 | 139.8 | ||
| 17c | OCH3 | 7.57 (15.5) | 7.59 (15.5) | 183.4 | 120.8 | 140.4 | ||
| 18a | 3,4-diOH-Ph | H | 7.47 (15.5) | 7.54 (15.5) | 183.8 | 121.2 | 140.3 | |
| 18b | CH3 | 7.47 | 7.47 | 183.3 | 121.1 | 140.4 | ||
| 18c | OCH3 | 7.50 (15.5) | 7.51 (15.5) | 183.4 | 120.8 | 140.9 | ||
| 19a | 3-OCH3-4-OH-Ph | H | 7.64 (15.4) | 7.55 (15.4) | 183.1 | 121.4 | 140.2 | |
| 19b | CH3 | 7.56 (15.6) | 7.55 (15.6) | 183.3 | 121.3 | 140.3 | ||
| 19c | OCH3 | 7.59 (15.5) | 7.58 (15.5) | 183.3 | 120.9 | 140.9 |
| Comp. | Ar | R1 | R2 | Cell Line, IC50 (µM) ± SD | ||||||
|---|---|---|---|---|---|---|---|---|---|---|
| MDA-MB-231 | HCT116 | Jurkat | Hela | MCF-7 | MCF-10A | Bj-5ta | ||||
| 11a | 2-F-Ph | H | H | 51.4 ± 3.2 | 31.8 ± 2.1 | 7.6 ± 0.4 | 41.7 ± 0.2 | 37.1 ± 0.4 | 89.1 ± 2.4 | NT |
| 11b [22] | CH3 | >100 | 41.5 ± 1.7 | 32.4 ± 1.2 | 57.9 ± 0.4 | 47.5 ± 4.3 | >100 | NT | ||
| 11c [6] | OCH3 | 21.1 ± 3.9 | 37.9 ± 2.7 | 5.9 ± 1.0 | 19.2 ± 5.7 | 20.0 ± 7.9 | 67 ± 2.9 | NT | ||
| 11d | H | OCH3 | 95.5 ± 2.7 | 45.5 ± 2.4 | 11.4 ± 1.9 | > 100 | 32 ± 1.2 | 98 ± 1.3 | NT | |
| 11e | OCH2CH3 | 72.2 ± 5.4 | 40.1 ± 0.6 | 8.3 ± 0.2 | 75.2 ± 4.1 | 30.3 ± 2.2 | 94 ± 4.6 | NT | ||
| 11f [29] | OCH2CH2CH3 | 34.0 ± 3.0 | 34.4 ± 1.1 | 37.7 ± 1.1 | 45.3 ± 0.7 | 37.3 ± 1.5 | >100 | NT | ||
| 11g | OCH(CH3)2 | 33.3 ± 0.3 | 31.7 ± 1.7 | 36.7 ± 4.9 | 34.2 ± 0.1 | 17.1 ± 2.3 | 41.8 ± 1.5 | NT | ||
| 11h | OCH2CH2 CH2CH3 | 36.3 ± 2.1 | 31 ± 2.9 | 35.9 ± 1.8 | 48.2 ± 1.0 | 13.8 ± 3.5 | 65.5 ± 3.7 | NT | ||
| 11i | OCH2CH(CH3)2 | 42.9 ± 0.4 | 33.8 ± 0.1 | 40.1 ± 3.2 | 54.6 ± 3.6 | 30.7 ± 0.6 | 93.3 ± 3.4 | NT | ||
| 11j | OCHCH3CH2 OCH3 | 51.2 ± 4.1 | 32.4 ± 1.3 | 40.4 ± 2.1 | 50.0 ± 1.8 | 26.2 ± 0.5 | 76.5 ± 1.1 | NT | ||
| 11k | OCH2CH2OH | 64.5 ± 4.7 | 39.4 ± 1.5 | 37.8 ± 0.9 | 52.9 ± 1.6 | 38.1 ± 3.3 | 94.7 ± 2.6 | NT | ||
| 12a | 4-CF3-Ph | H | H | >100 | 59.1 ± 1.1 | >100 | 68.1 ± 3.3 | 43.3 ± 0.6 | >100 | >100 |
| 12b [22] | CH3 | >100 | 12.3 ± 0.2 | >100 | 32.8 ± 0.4 | 20.5 ± 5.1 | >100 | >100 | ||
| 12c | OCH3 | 81.3 ± 1.2 | 55.3 ± 1.7 | 39.3 ± 1.2 | 98 ± 2.8 | 86 ± 3.5 | 38.4 ± 3.1 | >100 | ||
| 13a | 2-OH-Ph | H | H | 92.7 ± 1.8 | 40.5 ± 3.1 | 25.9 ± 2.4 | 39.6 ± 3.5 | 44.7 ± 2.6 | 55.4 ± 3.6 | 81.5 ± 0.2 |
| 13b | CH3 | 82 ± 3.2 | 34.7 ± 0.2 | >100 | 42.8 ± 2.5 | 29.7 ± 2.3 | >100 | >100 | ||
| 13c | OCH3 | >100 | 54.0 ± 2.2 | 42 ± 1.8 | 73.9 ± 3.4 | 53.4 ± 2.5 | >100 | >100 | ||
| 14a | 4-OH-Ph | H | H | 66 ± 2.5 | 36.8 ± 0.5 | 33.9 ± 2.5 | 39.9 ± 2.6 | 42.2 ± 0.7 | 51.5 ± 1.7 | 61 ± 0.6 |
| 14b | CH3 | >100 | 49.3 ± 1.3 | > 100 | 93 ± 2.6 | 82.3 ± 1.8 | 54 ± 2.1 | > 100 | ||
| 14c | OCH3 | 82.2 ± 3.1 | 34.5 ± 0.7 | 7.3 ± 0.1 | 34.6 ± 0.3 | 52.7 ± 2.6 | 59 ± 0.2 | 76.4 ± 1.7 | ||
| 17a | 4-OH-Ph | H | 39.6 ± 2.1 | NT | NT | 31.4 ± 2.0 | 47.9 ± 0.2 | 28.6 ± 0.5 | NT | |
| 17b | CH3 | NT | >100 | NT | NT | 50.3 ± 0.6 | 22.8 ± 0.4 | NT | ||
| 17c | OCH3 | >100 | NT | NT | 39.8 ± 1.6 | >100 | >100 | NT | ||
| 18a | 3,4-diOH-Ph | H | 39.3 ± 1.9 | 29.8 ± 0.7 | NT | NT | 42.3 ± 3.3 | 11.5 ± 1.4 | NT | |
| 18b | CH3 | NT | 7.1 ± 0.7 | NT | 6.7 ± 0.8 | 37.4 ± 2.2 | 7.8 ± 0.3 | NT | ||
| 18c | OCH3 | >100 | 18.2 ± 2.9 | 8.0 ± 1.4 | >100 | >100 | >100 | >100 | ||
| 19a | 3-OCH3-4-OH-Ph | H | NT | 62.7 ± 2.9 | NT | 25.5 ± 1.6 | NT | 24.7 ± 2.8 | NT | |
| 19b | CH3 | NT | NT | NT | 34.9 ± 1.3 | 69.8 ± 1.1 | 28.9 ± 0.8 | NT | ||
| 19a | OCH3 | 45.3 ± 0.5 | 35.3 ± 0.6 | 34.0 ± 0.3 | 41.4 ± 2.5 | 43.1 ± 1.6 | 40.2 ± 1.2 | 66.6 ± 0.1 | ||
| Cisplatin | 17.4 ± 0.2 | 15.3 ± 1.6 | 6.3 ± 0.4 | 6.5 ± 0.5 | 24.6 ± 2.1 | 25.9 ± 2.1 | 37.9 ± 1.9 | |||
| COMP | DPPH µmol GAE/mmol | ABTS µmol GAE/mmol | FRAP µmol GAE/mmol |
| 11a | 20.5 (±4.0) | 150.6 (±4.7) | 62.2 (±9.9) |
| 11b | 18.9 (±2.3) | 5.7 (±2.7) | 47.2 (±1.0) |
| 11c | 23.2 (±11.9) | 41.4 (±6.7) | 27.4 (±0.9) |
| 11f | 227.3 (±11.0) | 175.1 (±10.4) | 183.5 (±0.9) |
| 13a | 14.2 (±0.4) | 292.4 (±12.4) | 125.2 (±9.4) |
| 13b | 7.6 (±3.8) | 116.8 (±5.8) | 41.2 (±0.7) |
| 13c | 30.3 (±15.4) | 214.6 (±28.4) | 43.4 (±1.8) |
| 14a | 12.3 (±2.3) | 194.8 (±21.4) | 105.5 (±3.4) |
| 14b | 7.3 (±3.1) | 84.6 (±2.7) | 114.3 (±4.2) |
| 14c | 21.1 (±5.8) | 75.9 (±5.3) | 42.0 (±2.0) |
| 17a | 16.0 (±1.1) | 227.6 (±5.4) | 161.6 (±5.7) |
| 17b | 20.7 (±6.6) | 218.9 (±5.6) | 156.2 (±1.1) |
| 17c | 13.6 (±0.9) | 209.0 (±6.6) | 134.1 (±6.7) |
| 18a | 520.1 (±6.9) | 401.2 (±39.2) | 480.9 (±28.8) |
| 18b | 589.1 (±8.9) | 487.3 (±43.9) | 564.8 (±2.2) |
| 18c | 551.1 (±14.9) | 298.1 (±21.0) | 432.0 (±21.4) |
| 19a | 223.5 (±11.2) | 564.7 (±74.5) | 307.2 (±11.9) |
| 19b | 225.6 (±14.7) | 410.7 (±28.9) | 262.2 (±14.2) |
| 19c | 207.7 (±8.6) | 456.0 (±24.6) | 296.2 (±10.4) |
| p-coumaric acid | 23.0 (±3.1) | 278.8 (±11.1) | 105.2 (±4.2) |
| caffeic acid | 690.7 (±36.6) | 586.0 (±32.8) | 500.0 (±33.5) |
Disclaimer/Publisher’s Note: The statements, opinions and data contained in all publications are solely those of the individual author(s) and contributor(s) and not of MDPI and/or the editor(s). MDPI and/or the editor(s) disclaim responsibility for any injury to people or property resulting from any ideas, methods, instructions or products referred to in the content. |
© 2023 by the authors. Licensee MDPI, Basel, Switzerland. This article is an open access article distributed under the terms and conditions of the Creative Commons Attribution (CC BY) license (https://creativecommons.org/licenses/by/4.0/).
Share and Cite
Kudličková, Z.; Michalková, R.; Salayová, A.; Ksiažek, M.; Vilková, M.; Bekešová, S.; Mojžiš, J. Design, Synthesis, and Evaluation of Novel Indole Hybrid Chalcones and Their Antiproliferative and Antioxidant Activity. Molecules 2023, 28, 6583. https://doi.org/10.3390/molecules28186583
Kudličková Z, Michalková R, Salayová A, Ksiažek M, Vilková M, Bekešová S, Mojžiš J. Design, Synthesis, and Evaluation of Novel Indole Hybrid Chalcones and Their Antiproliferative and Antioxidant Activity. Molecules. 2023; 28(18):6583. https://doi.org/10.3390/molecules28186583
Chicago/Turabian StyleKudličková, Zuzana, Radka Michalková, Aneta Salayová, Marián Ksiažek, Mária Vilková, Slávka Bekešová, and Ján Mojžiš. 2023. "Design, Synthesis, and Evaluation of Novel Indole Hybrid Chalcones and Their Antiproliferative and Antioxidant Activity" Molecules 28, no. 18: 6583. https://doi.org/10.3390/molecules28186583
APA StyleKudličková, Z., Michalková, R., Salayová, A., Ksiažek, M., Vilková, M., Bekešová, S., & Mojžiš, J. (2023). Design, Synthesis, and Evaluation of Novel Indole Hybrid Chalcones and Their Antiproliferative and Antioxidant Activity. Molecules, 28(18), 6583. https://doi.org/10.3390/molecules28186583

