Optimization of Molasses and Soybean Meal Content to Enhance Tetramethylpyrazine Yield by Bacillus sp. TTMP20
Abstract
:1. Introduction
2. Results and Discussion
2.1. Composition of Soybean Meal
2.2. Pretreatment of Soybean Meal
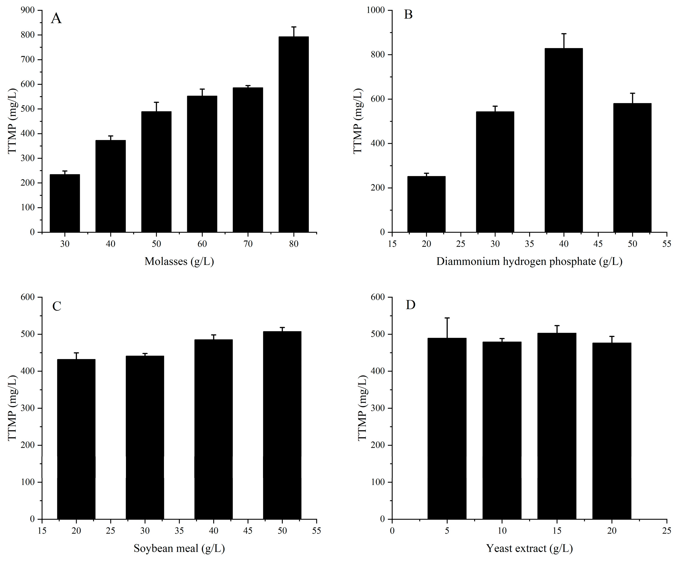
2.3. Determination of the Range of Each Component
2.4. Central Composite Design of the Response Surface Method
2.4.1. Regression Model and Statistical Test
2.4.2. Graphics Analysis
2.4.3. Response Surface Optimization and Validation
3. Materials and Methods
3.1. Microorganism and Culture Conditions
3.2. Pretreatment of Molasses
3.3. Pretreatment of Soybean Meal
3.4. Analytical Methods
3.5. Confirmation of the Range of Medium Component
3.6. CCD Design
4. Conclusions
Author Contributions
Funding
Institutional Review Board Statement
Informed Consent Statement
Data Availability Statement
Conflicts of Interest
Sample Availability
Abbreviations
| TTMP | Tetramethylpyrazine |
| DAP | Diammonium hydrogen phosphate |
References
- Chen, Z.; Zhang, C.; Gao, F.; Fu, Q.; Fu, C.; He, Y.; Zhang, J. A systematic review on the rhizome of Ligusticum chuanxiong Hort. (Chuanxiong). Food Chem. Toxicol. 2018, 119, 309–325. [Google Scholar] [CrossRef] [PubMed]
- Li, W.; Tang, Y.; Chen, Y.; Duan, J.A. Advances in the chemical analysis and biological activities of chuanxiong. Molecules 2012, 17, 10614–10651. [Google Scholar] [CrossRef]
- Guo, M.; Liu, Y.; Shi, D. Cardiovascular actions and therapeutic potential of tetramethylpyrazine (active component isolated from Rhizoma chuanxiong): Roles and mechanisms. Biomed. Res. Int. 2016, 2016, 2430329. [Google Scholar] [CrossRef] [PubMed]
- Zhao, Y.; Liu, Y.; Chen, K. Mechanisms and clinical application of tetramethylpyrazine (An interesting natural compound isolated from Ligusticum wallichii): Current status and perspective. Oxid. Med. Cell. Longev. 2016, 2016, 2124638. [Google Scholar] [CrossRef]
- Kosuge, T.; Adachi, T.; Kamiya, H. Isolation of tetramethylpyrazine from culture of Bacillus natto, and biosynthetic pathways of tetramethylpyrazine. Nature 1962, 195, 1103. [Google Scholar] [CrossRef]
- Li, D.; Huang, W.; Wang, X.; Luo, X.; Qiu, S. Identification and flavor profile of a Thermoactinomycetaceae strain separated from Moutai-flavor Daqu. Food Sci. 2018, 39, 171–176. [Google Scholar]
- Besson, I.; Creuly, C.; Gros, J.B.; Larroche, C. Pyrazine production by Bacillus subtilis in solid-state fermentation on soybeans. Appl. Microbiol. Biotechnol. 1997, 47, 489–495. [Google Scholar] [CrossRef]
- Cui, D.Y.; Wei, Y.N.; Lin, L.C.; Chen, S.J.; Feng, P.P.; Xiao, D.G.; Lin, X.; Zhang, C.Y. Increasing yield of 2,3,5,6-tetramethylpyrazine in Baijiu through Saccharomyces cerevisiae metabolic engineering. Front. Microbiol. 2020, 11, 596306. [Google Scholar] [CrossRef]
- Xiao, Z.J.; Xie, N.Z.; Liu, P.H.; Hua, D.L.; Xu, P. Tetramethylpyrazine production from glucose by a newly isolated Bacillus mutant. Appl. Microbiol. Biotechnol. 2006, 73, 512–518. [Google Scholar] [CrossRef]
- Zhu, B.F.; Xu, Y. A feeding strategy for tetramethylpyrazine production by Bacillus subtilis based on the stimulating effect of ammonium phosphate. Bioprocess Biosyst. Eng. 2010, 33, 953–959. [Google Scholar] [CrossRef]
- Zhang, W.; Si, G.; Rao, Z.; Li, J.; Zhang, X.; Mei, J.; Wang, J.; Ye, M.; Zhou, P. High yield of tetramethylpyrazine in functional Fuqu using Bacillus amyloliquefaciens. Food Biosci. 2019, 31, 100435. [Google Scholar] [CrossRef]
- Zhong, H.; Shen, J.; Meng, Z.; Zhao, J.Y.; Xiao, Z. Tetramethylpyrazine production from edible materials by the probiotic Bacillus coagulans. Prep. Biochem. Biotechnol. 2020, 50, 935–942. [Google Scholar] [CrossRef] [PubMed]
- Meng, W.; Wang, R.; Xiao, D. Metabolic engineering of Bacillus subtilis to enhance the production of tetramethylpyrazine. Biotechnol. Lett. 2015, 37, 2475–2480. [Google Scholar] [CrossRef] [PubMed]
- Larroche, C.; Besson, I.; Gros, J.B. High pyrazine production by Bacillus subtilis in solid substrate fermentation on ground soybeans. Process Biochem. 1999, 34, 667–674. [Google Scholar] [CrossRef]
- Xiao, Z.; Hou, X.; Lyu, X.; Xi, L.; Zhao, J.Y. Accelerated green process of tetramethylpyrazine production from glucose and diammonium phosphate. Biotechnol. Biofuels 2014, 7, 106. [Google Scholar] [CrossRef]
- Zhu, B.F.; Xu, Y. Production of tetramethylpyrazine by batch culture of Bacillus subtilis with optimal pH control strategy. J. Ind. Microbiol. Biotechnol. 2010, 37, 815–821. [Google Scholar] [CrossRef]
- Hao, F.; Wu, Q.; Xu, Y. Precursor supply strategy for tetramethylpyrazine production by bacillus subtilis on solid-state fermentation of wheat bran. Appl. Biochem. Biotechnol. 2013, 169, 1346–1352. [Google Scholar] [CrossRef]
- Liu, Z.; Wu, Y.; Zhang, L.; Tong, S.; Jin, J.; Gong, X.; Zhong, J. rocF affects the production of tetramethylpyrazine in fermented soybeans with Bacillus subtilis BJ3-2. BMC Biotechnol. 2022, 22, 18. [Google Scholar] [CrossRef]
- Meng, W.; Ding, F.; Wang, R.M.; Wang, T.F. Enhanced production of tetramethylpyrazine in Bacillus licheniformis BL1 through aldC over-expression and acetaldehyde supplementation. Sci. Rep. 2020, 10, 3544. [Google Scholar] [CrossRef]
- Chan, S.; Kanchanatawee, S.; Jantama, K. Production of succinic acid from sucrose and sugarcane molasses by metabolically engineered Escherichia coli. Bioresour. Technol. 2012, 103, 329–336. [Google Scholar] [CrossRef]
- Hou, X.Y.; Gu, R.L.; Liang, W.L.; Xiao, Z.J. Research progress on production of tetramethylpyrazine by fermentation. Biotechnol. Bull. 2016, 32, 58–64. [Google Scholar]
- Zhang, S.; Wang, J.; Jiang, H. Microbial production of value-added bioproducts and enzymes from molasses, a by-product of sugar industry. Food Chem. 2021, 346, 128860. [Google Scholar] [CrossRef] [PubMed]
- Sharma, M.; Patel, S.N.; Lata, K.; Singh, U.; Krishania, M.; Sangwan, R.S.; Singh, S.P. A novel approach of integrated bioprocessing of cane molasses for production of prebiotic and functional bioproducts. Bioresour. Technol. 2016, 219, 311–318. [Google Scholar] [CrossRef] [PubMed]
- Shi, C.; Zhang, Y.; Lu, Z.; Wang, Y. Solid-state fermentation of corn-soybean meal mixed feed with Bacillus subtilis and Enterococcus faecium for degrading antinutritional factors and enhancing nutritional value. J. Anim. Sci. Biotechnol. 2017, 8, 50. [Google Scholar] [CrossRef] [PubMed]
- Medic, J.; Atkinson, C.; Hurburgh, C.R. Current knowledge in soybean composition. J. Am. Oil Chem. Soc. 2014, 91, 363–384. [Google Scholar] [CrossRef]
- Abdallh, M.E.; Musigwa, S.; Ahiwe, E.U.; Chang’a, E.P.; Al-Qahtani, M.; Bhuiyan, M.; Iji, P.A. Replacement value of cottonseed meal for soybean meal in broiler chicken diets with or without microbial enzymes. J. Anim. Sci. Technol. 2020, 62, 159–173. [Google Scholar] [CrossRef] [PubMed]
- Li, Y.; Luo, L.; Ding, X.; Zhang, X.; Gan, S.; Shang, C. Production of tetramethylpyrazine from cane molasses by Bacillus sp. TTMP20. Molecules 2023, 28, 2640. [Google Scholar] [CrossRef]
- Zhu, M.; Yu, L.J.; Wu, Y.X. An inexpensive medium for production of arachidonic acid by Mortierella alpina. J. Ind. Microbiol. Biotechnol. 2003, 30, 75–79. [Google Scholar] [CrossRef] [PubMed]
- Das, A.; Prakash, G.; Lali, A.M. 2,3-Butanediol production using soy-based nitrogen source and fermentation process evaluation by a novel isolate of Bacillus licheniformis BL1. Prep. Biochem. Biotechnol. 2021, 51, 1046–1055. [Google Scholar] [CrossRef]
- Xiao, Z.J.; Liu, P.H.; Qin, J.Y.; Xu, P. Statistical optimization of medium components for enhanced acetoin production from molasses and soybean meal hydrolysate. Appl. Microbiol. Biotechnol. 2007, 74, 61–68. [Google Scholar] [CrossRef]
- Zhu, B.F.; Xu, Y.; Fan, W.L. High-yield fermentative preparation of tetramethylpyrazine by Bacillus sp. using an endogenous precursor approach. J. Ind. Microbiol. Biotechnol. 2010, 37, 179–186. [Google Scholar] [CrossRef] [PubMed]






| Composition | Content |
|---|---|
| Total sugars | 14.82% |
| Reducing sugars | 0.96% |
| Ash | 6.08% |
| Water | 10.45% |
| Crude proteins | 45.91% |
| Lipids | 4.62% |
| Crude fiber | 9.65% |
| Group | A (Molasses Content, g/L) | B (DAP Content, g/L) | C (Soybean Meal Content, g/L) | Actual Value (Y, mg/L) | Predicted Value (Y, mg/L) |
|---|---|---|---|---|---|
| 1 | 80 | 30 | 40 | 1103.81 | 1139.4 |
| 2 | 70 | 30 | 40 | 1080.51 | 1100.68 |
| 3 | 70 | 50 | 40 | 609.254 | 696.77 |
| 4 | 80 | 30 | 50 | 1146.54 | 1153.35 |
| 5 | 75 | 40 | 45 | 1388.02 | 1312.36 |
| 6 | 75 | 40 | 45 | 1132.09 | 1312.36 |
| 7 | 75 | 23.1821 | 45 | 710.367 | 701.19 |
| 8 | 66.591 | 40 | 45 | 1252.31 | 1181.38 |
| 9 | 75 | 40 | 45 | 1356.15 | 1312.36 |
| 10 | 75 | 40 | 45 | 1307.46 | 1312.36 |
| 11 | 75 | 40 | 45 | 1326.65 | 1312.36 |
| 12 | 75 | 40 | 36.591 | 1383.98 | 1305.63 |
| 13 | 80 | 50 | 50 | 917.234 | 991.38 |
| 14 | 80 | 50 | 40 | 886.345 | 951.31 |
| 15 | 75 | 40 | 45 | 1340.89 | 1312.36 |
| 16 | 70 | 50 | 50 | 796.34 | 855.07 |
| 17 | 75 | 56.8179 | 45 | 349.557 | 225.35 |
| 18 | 75 | 40 | 53.409 | 1505.51 | 1450.48 |
| 19 | 83.409 | 40 | 45 | 1391.03 | 1328.57 |
| 20 | 70 | 30 | 50 | 1203.51 | 1232.86 |
| Source | Sum of Squares | d. f. | Mean Square | F-Value | p-Value | Significance |
|---|---|---|---|---|---|---|
| Model | 1,695,000.00 | 9 | 188,400.00 | 19.18 | <0.0001 | ** |
| A | 26,151.55 | 1 | 26,151.55 | 2.66 | 0.1338 | |
| B | 273,300.00 | 1 | 273,300.00 | 27.83 | 0.0004 | ** |
| C | 25,325.40 | 1 | 25,325.40 | 2.58 | 0.1394 | |
| AB | 23,291.19 | 1 | 23,291.19 | 2.37 | 0.1546 | |
| AC | 6989.07 | 1 | 6989.07 | 0.71 | 0.4186 | |
| BC | 341.11 | 1 | 341.11 | 0.035 | 0.8559 | |
| A2 | 5931.48 | 1 | 5931.48 | 0.6 | 0.455 | |
| B2 | 1,299,000.00 | 1 | 1,299,000.00 | 132.25 | <0.0001 | ** |
| C2 | 7774.66 | 1 | 7774.66 | 0.79 | 0.3945 | |
| Residual | 98,198.97 | 10 | 9819.90 | - | - | |
| Lack of fit | 57,103.39 | 5 | 11,420.68 | 1.39 | 0.3635 | |
| Pure error | 41,095.58 | 5 | 8219.12 | - | - | |
| Sum | 1,794,000.00 | 19 | - | - | - | |
| R2 | 0.945 | - | - | - | - | |
| Adj R2 | 0.90 | - | - | - | - | |
| Precision | 17.48 | - | - | - | - |
| Molasses Content (g/L) | DAP Content (g/L) | Soybean Meal Content (g/L) | TTMP (mg/L) | |
|---|---|---|---|---|
| Predicted Value | Experimental Value | |||
| 72.5 | 37.4 | 53.4 | 1469.03 | 1328.95 |
| Factors | Levels | ||||
|---|---|---|---|---|---|
| −α | −1 | 0 | +1 | +α | |
| (A) Molasses content (g/L) | 66.59 | 70 | 75 | 80 | 83.41 |
| (B) DAP content (g/L) | 23.18 | 30 | 40 | 50 | 56.82 |
| (C) Soybean meal content (g/L) | 36.59 | 40 | 45 | 50 | 53.41 |
Disclaimer/Publisher’s Note: The statements, opinions and data contained in all publications are solely those of the individual author(s) and contributor(s) and not of MDPI and/or the editor(s). MDPI and/or the editor(s) disclaim responsibility for any injury to people or property resulting from any ideas, methods, instructions or products referred to in the content. |
© 2023 by the authors. Licensee MDPI, Basel, Switzerland. This article is an open access article distributed under the terms and conditions of the Creative Commons Attribution (CC BY) license (https://creativecommons.org/licenses/by/4.0/).
Share and Cite
Li, Y.; Gan, S.; Luo, L.; Yang, W.; Mo, L.; Shang, C. Optimization of Molasses and Soybean Meal Content to Enhance Tetramethylpyrazine Yield by Bacillus sp. TTMP20. Molecules 2023, 28, 6515. https://doi.org/10.3390/molecules28186515
Li Y, Gan S, Luo L, Yang W, Mo L, Shang C. Optimization of Molasses and Soybean Meal Content to Enhance Tetramethylpyrazine Yield by Bacillus sp. TTMP20. Molecules. 2023; 28(18):6515. https://doi.org/10.3390/molecules28186515
Chicago/Turabian StyleLi, Yujia, Shanling Gan, Lirong Luo, Wenjing Yang, Lei Mo, and Changhua Shang. 2023. "Optimization of Molasses and Soybean Meal Content to Enhance Tetramethylpyrazine Yield by Bacillus sp. TTMP20" Molecules 28, no. 18: 6515. https://doi.org/10.3390/molecules28186515
APA StyleLi, Y., Gan, S., Luo, L., Yang, W., Mo, L., & Shang, C. (2023). Optimization of Molasses and Soybean Meal Content to Enhance Tetramethylpyrazine Yield by Bacillus sp. TTMP20. Molecules, 28(18), 6515. https://doi.org/10.3390/molecules28186515

