Response Surface Methodology in Optimising the Extraction of Polyphenolic Antioxidants from Flower Buds of Magnolia × soulangeana Soul.-Bod. var. ‘Lennei’ and Their Detailed Qualitative and Quantitative Profiling
Abstract
:1. Introduction
2. Results
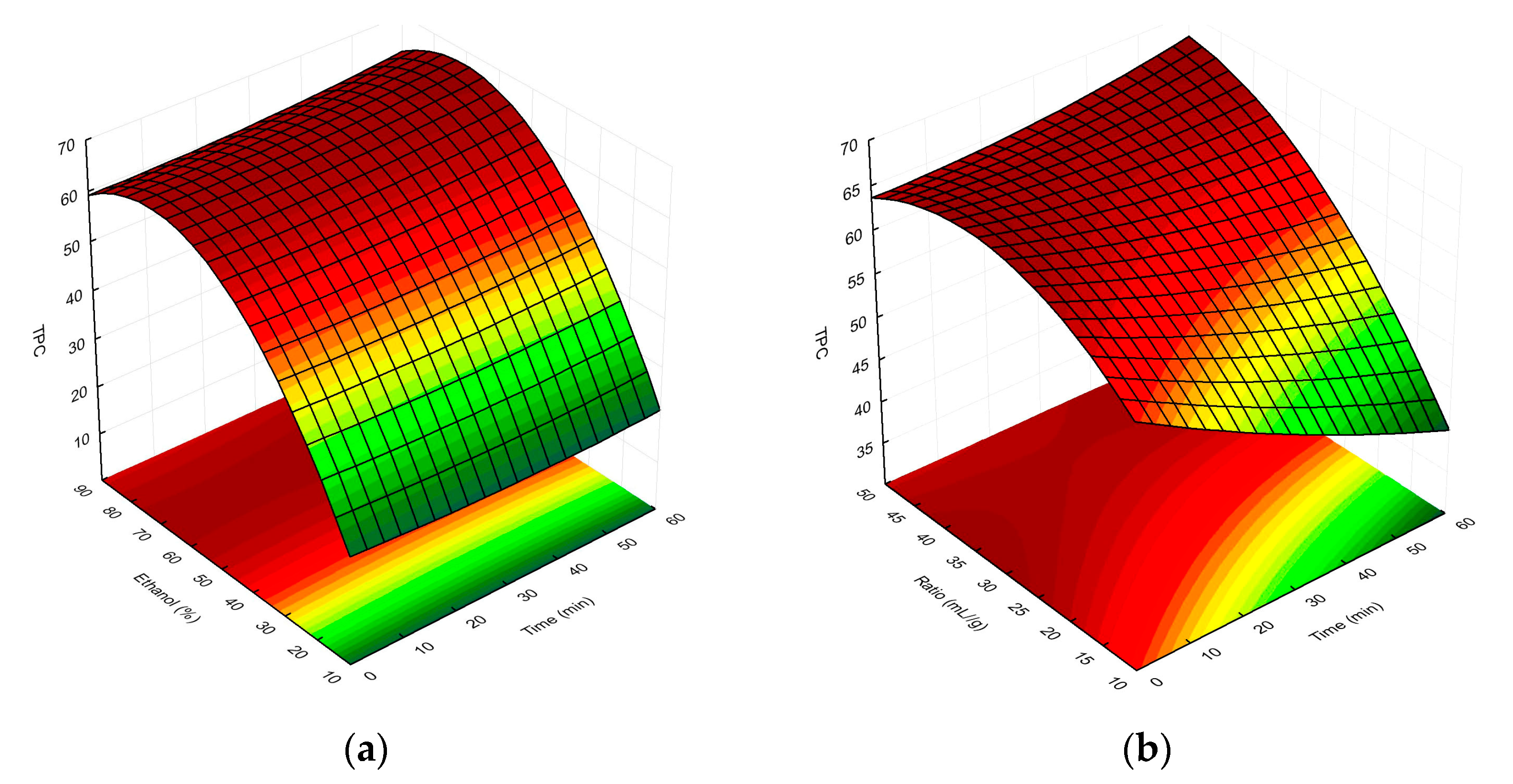
2.1. Multivariate Response Surface Modelling of Plant Material Extraction in Relation to Total Phenolic Content and Antioxidant Activity of Magnolia Extracts
2.2. Phytochemical Qualitative Profiling of MSL Flower Bud Components Using Coupled Chromatographic, Spectroscopic, and Tandem Mass Spectrometric Techniques
2.2.1. Phenolic Acids
2.2.2. Phenylethanoids
2.2.3. Flavonoids
2.2.4. Lignans
2.3. Phytochemical Quantitative Profiling of Polyphenolic Antioxidants in MSL Extracts Using RP-LC with a Photodiode Array (PDA) Detection
3. Materials and Methods
3.1. Plant Material and Its Pre-Treatment
3.2. Solvents, Reagents, and Certified Reference Substances
3.3. Central Composite Design and Response Surface Methodology
3.4. Ultrasound-Assisted Extraction (UAE) and the Preparation of Extracts for Antioxidant and Phytochemical Studies
3.5. Total Phenolic Content Assay
3.6. Antioxidant (Antiradical) Activity Assay
3.7. RP-LC/PDA Qualitative and Quantitative Analysis
3.8. Qualitative Profiling of MSL Phenolics Using RP-LC/PDA/ESI-QTOF/MS-MS Method
3.9. Statistical Modelling
4. Conclusions
Author Contributions
Funding
Institutional Review Board Statement
Informed Consent Statement
Data Availability Statement
Acknowledgments
Conflicts of Interest
Sample Availability
References
- WFO. Magnolia L. 2023. Available online: http://www.worldfloraonline.org/taxon/wfo-4000022860 (accessed on 24 July 2023).
- Zhang, B.; Yu, H.; Lu, W.; Yu, B.; Liu, L.; Jia, W.; Lin, Z.; Wang, H.; Chen, S. Four new honokiol derivatives from the stem bark of Magnolia officinalis and their anticholinesterase activities. Phytochem. Lett. 2019, 29, 195–198. [Google Scholar] [CrossRef]
- Ma, Y.L.; Huang, Q.; Han, G.Q. A neolignan and lignans from Magnolia biondii. Phytochemistry 1996, 41, 287–288. [Google Scholar] [CrossRef]
- Wang, Y.; Haoa, H.; Wanga, G.; Tub, P.; Jiangb, Y.; Lianga, Y.; Daia, L.; Yanga, H.; Laia, L.; Zhenga, C.; et al. An approach to identifying sequential metabolites of a typical phenylethanoid glycoside, echinacoside, based on liquid chromatography–ion trap-time of flightmass spectrometry analysis. Talanta 2009, 80, 572–580. [Google Scholar] [CrossRef]
- Ge, L.; Zhang, W.; Zhou, G.; Ma, B.; Mo, Q.; Chen, Y.; Wang, Y. Nine phenylethanoid glycosides from Magnolia officinalis var. biloba fruits and their protective effects against free radical-induced oxidative damage. Sci. Rep. 2017, 7, 45342. [Google Scholar] [CrossRef]
- Yi, J.; Wu, J.; Wu, J.Y.; Wu, Y.B. Quality evaluation of the leaves of Magnolia officinalis var. biloba using high-performance liquid chromatography fingerprint analysis of phenolic compounds. J. Sep. Sci. 2016, 39, 784–792. [Google Scholar] [CrossRef]
- Hyeon, H.; Hyun, H.B.; Go, B.; Kim, S.C.; Jung, Y.H.; Ham, Y.M. Profiles of Essential Oils and Correlations with Phenolic Acids and Primary Metabolites in Flower Buds of Magnolia heptapeta and Magnolia denudata var. purpurascens. Molecules 2021, 27, 221. [Google Scholar] [CrossRef] [PubMed]
- Dikalov, S.; Losik, T.; Arbiser, J.L. Honokiol is a potent scavenger of superoxide and peroxyl radicals. Biochem. Pharmacol. 2008, 76, 589–596. [Google Scholar] [CrossRef]
- Fukuyama, Y.; Nakade, K.; Minoshima, Y.; Yokoyama, R.; Zhai, H.; Mitsumoto, Y. Neurotrophic activity of honokiol on the cultures of fetal rat cortical neurons. Bioorg. Med. Chem. Lett. 2002, 12, 1163–1166. [Google Scholar] [CrossRef] [PubMed]
- Hoi, C.P.; Ho, Y.P.; Baum, L.; Chow, A.H. Neuroprotective effect of honokiol and magnolol, compounds from Magnolia officinalis, on beta-amyloid-induced toxicity in PC12 cells. Phytother. Res. 2010, 24, 1538–1542. [Google Scholar] [CrossRef] [PubMed]
- Wang, X.; Cheng, Y.; Xue, H.; Yue, Y.; Zhang, W.; Li, X. Fargesin as a potential β₁ adrenergic receptor antagonist protects the hearts against ischemia/reperfusion injury in rats via attenuating oxidative stress and apoptosis. Fitoterapia 2015, 105, 16–25. [Google Scholar] [CrossRef]
- Sheu, M.L.; Chiang, C.K.; Tsai, K.S.; Ho, F.M.; Weng, T.I.; Wu, H.Y.; Liu, S.H. Inhibition of NADPH oxidase-related oxidative stress-triggered signaling by honokiol suppresses high glucose-induced human endothelial cell apoptosis. Free Radic. Biol. Med. 2008, 44, 2043–2050. [Google Scholar] [CrossRef]
- Ham, J.R.; Yun, K.W.; Lee, M.K. Anti-Inflammatory and Antioxidant In Vitro Activities of Magnoliae Flos Ethanol Extract. Prev. Nutr. Food Sci. 2021, 31, 485–491. [Google Scholar] [CrossRef]
- Rasul, A.; Yu, B.; Khan, M.; Zhang, K.; Iqbal, F.; Ma, T.; Yang, H. Magnolol, a natural compound, induces apoptosis of SGC-7901 human gastric adenocarcinoma cells via the mitochondrial and PI3K/Akt signaling pathways. Int. J. Oncol. 2012, 40, 1153–1161. [Google Scholar] [CrossRef]
- Hahm, E.R.; Arlotti, J.A.; Marynowski, S.W.; Singh, S.V. Honokiol, a constituent of oriental medicinal herb Magnolia officinalis, inhibits growth of PC-3 xenografts in vivo in association with apoptosis induction. Clin. Cancer Res. 2008, 14, 1248–1257. [Google Scholar] [CrossRef] [PubMed]
- Wang, J.; Zhang, S.; Huang, K.; Shi, L.; Zhang, Q. Magnolin Inhibits Proliferation and Invasion of Breast Cancer MDA-MB-231 Cells by Targeting the ERK1/2 Signaling Pathway. Chem. Pharm. Bull. 2020, 68, 421–427. [Google Scholar] [CrossRef]
- Wang, J.; Sun, B.; Cao, Y.; Tian, Y.; Li, X. Optimisation of ultrasound-assisted extraction of phenolic compounds from wheat bran. Food Chem. 2008, 106, 804–810. [Google Scholar] [CrossRef]
- Liu, Y.; Wei, S.; Liao, M. Optimization of ultrasonic extraction of phenolic compounds from Euryale ferox seed shells using response surface methodology. Ind. Crops Prod. 2013, 49, 837–843. [Google Scholar] [CrossRef]
- Khan, M.K.; Abert-Vian, M.; Fabiano-Tixier, A.S.; Dangles, O.; Chemat, F. Ultrasound-assisted extraction of polyphenols (flavanone glycosides) from orange (Citrus sinensis L.) peel. Food Chem. 2010, 119, 851–858. [Google Scholar] [CrossRef]
- Pingret, D.; Fabiano-Tixier, A.S.; Le Bourvellec, C.; Renard, C.M.; Chemat, F. Lab and pilot-scale ultrasound-assisted water extraction of polyphenols from apple pomace. J. Food Eng. 2012, 111, 73–81. [Google Scholar] [CrossRef]
- Wang, X.; Wu, Y.; Chen, G.; Yue, W.; Liang, Q.; Wu, Q. Optimisation of ultrasound assisted extraction of phenolic compounds from Sparganii rhizoma with response surface methodology. Ultrason. Sonochem. 2013, 20, 846–854. [Google Scholar] [CrossRef] [PubMed]
- Ferreira, S.C.; Bruns, R.E.; Ferreira, H.S.; Matos, G.D.; David, J.M.; Brandão, G.C.; da Silva, E.G.P.; Portugal, L.A.; dos Reis, P.S.; Souza, A.S.; et al. Box-Behnken design: An alternative for the optimization of analytical methods. Anal. Chim. Acta 2007, 597, 179–186. [Google Scholar] [CrossRef] [PubMed]
- Huang, G.; Zhang, M.; Sun, J.; Bai, Y.; Li, L.; Xue, Z.; He, Y.; Li, H.; Yang, B. Determination of Flavonoids in Magnolia officinalis Leaves Based on Response Surface Optimization of Infrared Assisted Extraction Followed by High-Performance Liquid Chromatography (HPLC). Anal. Lett. 2020, 53, 2145–2159. [Google Scholar] [CrossRef]
- Boateng, I.D.; Yang, X.-M. Process optimization of intermediate-wave infrared drying: Screening by Plackett–Burman; comparison of Box-Behnken and central composite design and evaluation: A case study. Ind. Crops Prod. 2021, 162, 113287. [Google Scholar] [CrossRef]
- Aleboyeh, A.; Daneshvar, N.; Kasiri, M.B. Optimization of CI Acid Red 14 azo dye removal by electrocoagulation batch process with response surface methodology. Chem. Eng. Process. Process Intensif. 2008, 47, 827–832. [Google Scholar] [CrossRef]
- Tabaraki, R.; Nateghi, A. Optimization of ultrasonic-assisted extraction of natural antioxidants from rice bran using response surface methodology. Ultrason. Sonochem. 2011, 18, 1279–1286. [Google Scholar] [CrossRef]
- Živković, J.; Šavikin, K.; Janković, T.; Ćujić, N.; Menković, N. Optimization of ultrasound-assisted extraction of polyphenolic compounds from pomegranate peel using response surface methodology. Sep. Purif. Technol. 2018, 194, 40–47. [Google Scholar] [CrossRef]
- Wijngaard, H.H.; Brunton, N. The optimisation of solid–liquid extraction of antioxidants from apple pomace by response surface methodology. J. Food Eng. 2010, 96, 134–140. [Google Scholar] [CrossRef]
- Elansary, H.O.; Szopa, A.; Kubica, P.; Al-Mana, F.A.; Mahmoud, M.A.; Ali Zin El-Abedin, T.K.; Mattar, M.A.; Ekiert, H. Phenolic Compounds of Catalpa speciosa, Taxus cuspidata and Magnolia acuminata have Antioxidant and Anticancer Activity. Molecules 2019, 24, 412. [Google Scholar] [CrossRef]
- Saravanakumar, K.; Park, S.; Sathiyaseelan, A.; Kim, K.-N.; Cho, S.-H.; Mariadoss, A.V.A.; Wang, M.-H. Metabolite Profiling of Methanolic Extract of Gardenia jaminoides by LC-MS/MS and GC-MS and Its Anti-Diabetic, and Anti-Oxidant Activities. Pharmaceuticals 2021, 14, 102. [Google Scholar] [CrossRef]
- Park, C.H.; Park, S.Y.; Lee, S.Y.; Kim, J.K.; Park, S.U. Analysis of Metabolites in White Flowers of Magnolia denudata Desr. and Violet Flowers of Magnolia liliflora Desr. Molecules 2018, 23, 1558. [Google Scholar] [CrossRef]
- Carvalho, D.O.; Curto, A.F.; Guido, L.F. Determination of Phenolic Content in Different Barley Varieties and Corresponding Malts by Liquid Chromatography-diode Array Detection-Electrospray Ionization Tandem Mass Spectrometry. Antioxidants 2015, 4, 563–576. [Google Scholar] [CrossRef]
- Porter, E.A.; Kite, G.C.; Veitch, N.C.; Geoghegan, I.A.; Larsson, S.; Simmonds, M.S. Phenylethanoid glycosides in tepals of Magnolia salicifolia and their occurrence in flowers of Magnoliaceae. Phytochemistry 2015, 117, 185–193. [Google Scholar] [CrossRef]
- Kite, G.C. Characterization of phenylethanoid glycosides by multiple-stage mass spectrometry. Rapid Commun. Mass Spectrom. 2020, 34 (Suppl. S4), e8563. [Google Scholar] [CrossRef] [PubMed]
- Joo, Y.H.; Nam, M.H.; Chung, N.; Lee, Y.K. UPLC-QTOF-MS/MS screening and identification of bioactive compounds in fresh; aged; and browned Magnolia denudata flower extracts. Food Res. Int. 2022, 133, 109192. [Google Scholar] [CrossRef]
- Sokkar, N.M.; Rabeh, M.A.; Ghazal, G.; Slem, A.M. Determination of flavonoids in stamen; gynoecium and petals of Magnolia grandiflora L. and their associated antioxidant and hepatoprotection activities. Quim. Nova 2014, 37, 667–671. [Google Scholar] [CrossRef]
- Srinroch, C.; Sahakitpichan, P.; Chimnoi, N.; Ruchirawat, S.; Kanchanapoom, T. Neolignan and monoterpene glycosides from Magnolia henryi. Phytocem. Lett. 2019, 29, 94–97. [Google Scholar] [CrossRef]
- Abad-García, B.; Berruetay, L.A.; Garmón-Lobato, S.; Gallo, B.; Vicente, F. A general analytical strategy for the characterization of phenolic compounds in fruit juices by high-performance liquid chromatography with diode array detection coupled to electrospray ionization and triple quadrupole mass spectrometry. J. Chromatogr. A 2009, 1216, 5398–5415. [Google Scholar] [CrossRef]
- Guo, X.; Fu, X.; Li, X.; Tang, D. Effect of Flavonoid Dynamic Changes on Flower Coloration of Tulipa gesneiana ‘Queen of Night’ during Flower Development. Horticulturae 2022, 8, 510. [Google Scholar] [CrossRef]
- Hawas, U.W.; Abou El-Kassem, L.T.; Shaher, F.; Al-Farawati, R. In vitro inhibition of Hepatitis C virus protease and anti-oxidant by flavonoid glycosides from the Saudi costal plant Sarcocornia fruticosa. Nat. Prod. Res. 2019, 33, 3364–3371. [Google Scholar] [CrossRef]
- Sun, Y.; Yu, Z.; Duan, W.; Fang, L.; Xu, S.; Wang, X. Isolation and purification of seven lignans from Magnolia sprengeri by high-speed counter-current chromatography. J. Chromatogr. B Anal. Technol. Biomed. Life Sci. 2011, 879, 3775–3779. [Google Scholar] [CrossRef]
- Kong, C.S.; Lee, J.I.; Kim, J.A.; Seo, Y. In vitro evaluation on the antiobesity effect of lignans from the flower buds of Magnolia denudata. J. Agric. Food Chem. 2011, 59, 5665–5670. [Google Scholar] [CrossRef] [PubMed]
- Wu, H.B.; Liu, T.T.; Zhang, Z.X.; Wang, W.S.; Zhu, W.W.; Li, L.F.; Li, Y.R.; Chen, X. Leaves of Magnolia liliflora Desr. as a high-potential by-product: Lignans composition, antioxidant, anti-inflammatory, anti-phytopathogenic fungal and phytotoxic activities. Ind. Crops Prod. 2018, 125, 416–424. [Google Scholar] [CrossRef]
- Song, Q. A Phytochemical Study of Members of the Genus Magnolia (Magnoliaceae) and Biosynthetic Studies of Secondary Metabolites in Asteraceae Hairy Root Cultures. 1995. Available online: https://digitalcommons.lsu.edu/gradschool_disstheses/5930 (accessed on 10 June 2023).
- Zgórka, G. Ultrasound-assisted solid-phase extraction coupled with photodiode-array and fluorescence detection for chemotaxonomy of isoflavone phytoestrogens in Trifolium L. (Clover) species. J. Sep. Sci. 2009, 32, 965–972. [Google Scholar] [CrossRef] [PubMed]
- Zgórka, G.; Maciejewska-Turska, M.; Makuch-Kocka, A.; Plech, T. In Vitro Evaluation of the Antioxidant Activity and Chemopreventive Potential in Human Breast Cancer Cell Lines of the Standardized Extract Obtained from the Aerial Parts of Zigzag Clover (Trifolium medium L.). Pharmaceuticals 2022, 15, 699. [Google Scholar] [CrossRef] [PubMed]
- Benabdallah, A.; Rahmoune, C.; Boumendjel, M.; Aissi, O.; Messaoud, C. Total phenolic content and antioxidant activity of six wild Mentha species (Lamiaceae) from northeast of Algeria. Asian Pac. J. Trop. Biomed. 2016, 6, 760–766. [Google Scholar] [CrossRef]








| Run | Coded Levels | TPC (mg GAE/g dry wt.) | %I | ||||
|---|---|---|---|---|---|---|---|
| X1 | X2 | X3 | Exp. * | Predict. | Exp. * | Predict. | |
| Factorial points | |||||||
| 1 | −1(15) | −1(30) | −1(20) | 50.58 | 51.55 | 88.25 | 88.01 |
| 2 | −1(15) | −1(30) | 1(40) | 52.08 | 49.17 | 88.63 | 87.99 |
| 3 | −1(15) | 1(70) | −1(20) | 60.84 | 59.24 | 91.47 | 91.15 |
| 4 | −1(15) | 1(70) | 1(40) | 65.10 | 65.31 | 91.25 | 90.90 |
| 5 | 1(45) | −1(30) | −1(20) | 44.48 | 44.09 | 88.38 | 88.12 |
| 6 | 1(45) | −1(30) | 1(40) | 45.84 | 47.25 | 88.06 | 87.77 |
| 7 | 1(45) | 1(70) | −1(20) | 50.24 | 52.97 | 90.64 | 90.67 |
| 8 | 1(45) | 1(70) | 1(40) | 65.73 | 64.58 | 90.47 | 90.10 |
| Axial points | |||||||
| 9 | −α (4.77) | 0(50) | 0(30) | 62.66 | 64.55 | 90.64 | 91.27 |
| 10 | α (55.23) | 0(50) | 0(30) | 59.30 | 57.67 | 90.46 | 90.69 |
| 11 | 0(30) | −α (16.36) | 0(30) | 35.42 | 35.88 | 86.76 | 87.31 |
| 12 | 0(30) | α (83.64) | 0(30) | 57.11 | 56.91 | 91.59 | 91.90 |
| 13 | 0(30) | 0(50) | −α (13.18) | 53.58 | 52.48 | 88.26 | 88.43 |
| 14 | 0(30) | 0(50) | α (46.82) | 58.87 | 60.24 | 87.24 | 87.93 |
| Central points | |||||||
| 15 (C) | 0(30) | 0(50) | 0(30) | 60.70 | 60.43 | 93.27 | 93.71 |
| 16 (C) | 0(30) | 0(50) | 0(30) | 60.20 | 60.43 | 94.29 | 93.71 |
| Coefficient | TPC Model | %I Model | ||
|---|---|---|---|---|
| R2 | S.E. | R2 | S.E. | |
| Intercept | ||||
| β0 | 24.60 | 2.10 | 58.95 a | 4.29 |
| Linear | ||||
| β1 | −0.53 | 0.05 | 0.29 | 0.09 |
| β2 | 1.21 a | 0.04 | 0.45 | 0.08 |
| β3 | 0.29 | 0.08 | 1.19 | 0.17 |
| Quadratic | ||||
| β11 | 0.00 | 0.00 | −0.00 | 0.00 |
| β22 | −0.01 a | 0.00 | −0.00 | 0.00 |
| β33 | −0.01 | 0.00 | −0.02 | 0.00 |
| Interaction | ||||
| β12 | 0.00 | 0.00 | −0.00 | 0.00 |
| β13 | 0.01 | 0.00 | −0.00 | 0.00 |
| β23 | 0.01 a | 0.00 | −0.00 | 0.00 |
| Independent Variables | SS | df | F-Value | p-Value |
|---|---|---|---|---|
| TPC | ||||
| Linear | ||||
| X1 | 57.25 | 1 | 457.97 | 0.0297 a |
| X2 | 534.13 | 1 | 4273.04 | 0.0097 b |
| X3 | 72.69 | 1 | 581.49 | 0.0264 a |
| Quadratic | ||||
| X12 | 0.54 | 1 | 4.33 | 0.2853 |
| X22 | 228.00 | 1 | 1823.98 | 0.0149 a |
| X32 | 19.20 | 1 | 153.58 | 0.0513 |
| Interaction | ||||
| X1X2 | 0.70 | 1 | 5.62 | 0.2542 |
| X1X3 | 15.37 | 1 | 122.99 | 0.0573 |
| X2X3 | 35.66 | 1 | 285.27 | 0.0376 a |
| Lack of fit | 32.52 | 5 | 52.03 | 0.1048 |
| Pure error | 0.13 | 1 | ||
| Total SS | 1037.60 | 15 | ||
| R2 | 0.9685 | |||
| R2adj. | 0.9213 | |||
| %I | ||||
| X1 | 0.41 | 1 | 0.78 | 0.5396 |
| X2 | 25.42 | 1 | 48.87 | 0.0905 |
| X3 | 0.31 | 1 | 0.59 | 0.5833 |
| X12 | 8.60 | 1 | 16.54 | 0.1535 |
| X22 | 19.47 | 1 | 37.43 | 0.1031 |
| X32 | 35.36 | 1 | 67.96 | 0.0768 |
| X1X2 | 0.17 | 1 | 0.33 | 0.6685 |
| X1X3 | 0.05 | 1 | 0.10 | 0.8036 |
| X2X3 | 0.03 | 1 | 0.05 | 0.8618 |
| Lack of fit | 2.35 | 5 | 0.90 | 0.6592 |
| Pure error | 0.52 | 1 | ||
| Total SS | 69.06 | 15 | ||
| R2 | 0.9585 | |||
| R2adj | 0.8961 | |||
| No. | Compound | Rt (min) | λmax (nm) | Formula | Precursor Ion (m/z) | Product Ions (m/z) | Content (mg/g dry wt.) |
|---|---|---|---|---|---|---|---|
| 1 | Protocatechuic acid R | 3.67 | 206, 260, 294 | C₇H₆O₄ | 153.0193 | 110.0331, 109.0297, 108.0219 | 0.47 |
| 2 | Chlorogenic acid | 4.58 | 218, 326 | C16H18O9 | 353.0855 R | 191.0543, 173.0437 | 0.91 |
| 3 | Echinacoside R | 5.08 | 198, 330 | C35H46O20 | 785.2466 | 623.2127, 477.1619, 315.0898, 179.0338, 161.0233 | 2.52 |
| 4 | 2′-Rhamno- echinacoside | 9.91 | 198, 330 | C41H56O24 | 931.3058 | 769.2726, 751.2572, 179.0499, 161.0238 | 19.21 |
| 5 | Vanillic acid R | 12.41 | 218, 260, 292 | C8H8O4 | 167.0351 | 135.0116, 109.0250, 108.0210 | 0.26 |
| 6 | Quercetin 3-O-neohesperidoside | 19.34 | 204, 266, 350 | C27H30O16 | 609.1303 | 300.0277, 271.0268, 151.0039 | 1.05 |
| 7 | Quercetin 3-O-rutinoside (Rutoside) R | 20.95 | 204, 256, 355 | C27H30O16 | 609.1443 | 301.0405, 300.0334, 271.0253, 257.0411, 229.0108 | 27.99 |
| 8 | Quercetin 3-O-glucoside (Isoquercitrin) R | 24.37 | 204, 256, 355 | C21H20O12 | 463.0889 | 301.0347, 271.0229, 178.9999 | 1.45 |
| 9 | Acteoside (Verbascoside) R | 26.48 | 198, 330 | C29H36O15 | 623.1985 | 461.1665, 179.0342, 161.0246 | 8.58 |
| 10 | Kaempferol 3-O-rutinoside (Nicotiflorin) R | 28.89 | 196, 266, 346 | C27H30O15 | 593.1571 | 345.0664, 285.0444 | 3.39 |
| 11 | Isorhamnetin 3-O-rutinoside (Narcissin) | 29.69 | 204, 254, 354 | C28H32O16 | 623.1584 | 315.0516, 314.0441, 300.0296, 271.0252, 255.0216, 161.0243 | 1.25 |
| 12 | Isorhamnetin 3-O-glucoside R | 30.80 | 204, 254, 354 | C22H22O12 | 477.1042 | 315.0486, 314.0429, 271.0256 | 0.16 |
| 13 | Isorhamnetin 3-O-rutinoside isomer | 35.52 | 205, 255, 354 | C28H32O16 | 623.1611 | 315.0505, 314.0437 | 0.95 |
| 14 | Rhamnazin 3-O-rutinoside (Ombuoside) | 38.44 | 206, 256, 356 | C29H34O16 | 637.1728 | 330.0684, 329.0653, 315.0509, 288.0168, 161.0239 | 0.21 |
| 15 | Magnolin R | 56.22 | 204, 230, 278 | C23H28O7 | 415.4612 | 236.1059, 222.1580, 221.1545, 220.1469 | 0.12 |
| 16 | Lignan (fargesin type) | 58.93 | 202, 236, 260 | n.d. | 595.2865 | 279.2333, 174.9563, 112.9860 | 0.41 |
| 17 | Lignan (fargesin type) | 60.54 | 202, 234, 286 | n.d. | 571.2938 | 309.2091, 174.9570, 112.9856 | 0.47 |
| 18 | Fargesin R | 62.25 | 202, 234, 284 | C21H22O6 | 369.1328 | 357.1360, 242.9433, 174.9563, 112.9856 | 0.12 |
| 19 | Lignan (fargesin type) | 66.47 | 204, 234, 280 | n.d. | 293.2140 | 223.1358,195.1402, 174.9570, 112.9856 | 0.79 |
| 20 | Lignan (fargesin type) | 66.87 | 204, 236, 286 | n.d. | 625.3393 | 341.1096, 255.2333, 174.9561, 112.9856 | 0.62 |
| 21 | Lignan (fargesin type) | 67.37 | 202, 234, 286 | n.d. | 317.1745 | 274.1890, 174.9560, 112.9856 | 0.68 |
| 22 | Lignan (fargesin type) | 68.08 | 202, 234, 284 | n.d. | 295.2280 | 277.2182, 174.9564, 112.9856 | 0.71 |
| Coded Variables | ||||||
|---|---|---|---|---|---|---|
| Independent Variables | Unit | −α | −1 | 0 | 1 | +α |
| Time of extraction (X1) | Min | 4.77 | 15 | 30 | 45 | 55.23 |
| Ethanol concentration (X2) | % | 16.36 | 30 | 50 | 70 | 83.64 |
| Solvent-to-plant-material ratio (X3) | mL/g | 13.18 | 20 | 30 | 40 | 46.82 |
Disclaimer/Publisher’s Note: The statements, opinions and data contained in all publications are solely those of the individual author(s) and contributor(s) and not of MDPI and/or the editor(s). MDPI and/or the editor(s) disclaim responsibility for any injury to people or property resulting from any ideas, methods, instructions or products referred to in the content. |
© 2023 by the authors. Licensee MDPI, Basel, Switzerland. This article is an open access article distributed under the terms and conditions of the Creative Commons Attribution (CC BY) license (https://creativecommons.org/licenses/by/4.0/).
Share and Cite
Zgórka, G.; Adamska-Szewczyk, A.; Baj, T. Response Surface Methodology in Optimising the Extraction of Polyphenolic Antioxidants from Flower Buds of Magnolia × soulangeana Soul.-Bod. var. ‘Lennei’ and Their Detailed Qualitative and Quantitative Profiling. Molecules 2023, 28, 6335. https://doi.org/10.3390/molecules28176335
Zgórka G, Adamska-Szewczyk A, Baj T. Response Surface Methodology in Optimising the Extraction of Polyphenolic Antioxidants from Flower Buds of Magnolia × soulangeana Soul.-Bod. var. ‘Lennei’ and Their Detailed Qualitative and Quantitative Profiling. Molecules. 2023; 28(17):6335. https://doi.org/10.3390/molecules28176335
Chicago/Turabian StyleZgórka, Grażyna, Aldona Adamska-Szewczyk, and Tomasz Baj. 2023. "Response Surface Methodology in Optimising the Extraction of Polyphenolic Antioxidants from Flower Buds of Magnolia × soulangeana Soul.-Bod. var. ‘Lennei’ and Their Detailed Qualitative and Quantitative Profiling" Molecules 28, no. 17: 6335. https://doi.org/10.3390/molecules28176335
APA StyleZgórka, G., Adamska-Szewczyk, A., & Baj, T. (2023). Response Surface Methodology in Optimising the Extraction of Polyphenolic Antioxidants from Flower Buds of Magnolia × soulangeana Soul.-Bod. var. ‘Lennei’ and Their Detailed Qualitative and Quantitative Profiling. Molecules, 28(17), 6335. https://doi.org/10.3390/molecules28176335

