Aqueous Binary Mixtures of Stearic Acid and Its Hydroxylated Counterpart 12-Hydroxystearic Acid: Fine Tuning of the Lamellar/Micelle Threshold Temperature Transition and of the Micelle Shape
Abstract
:1. Introduction
2. Results
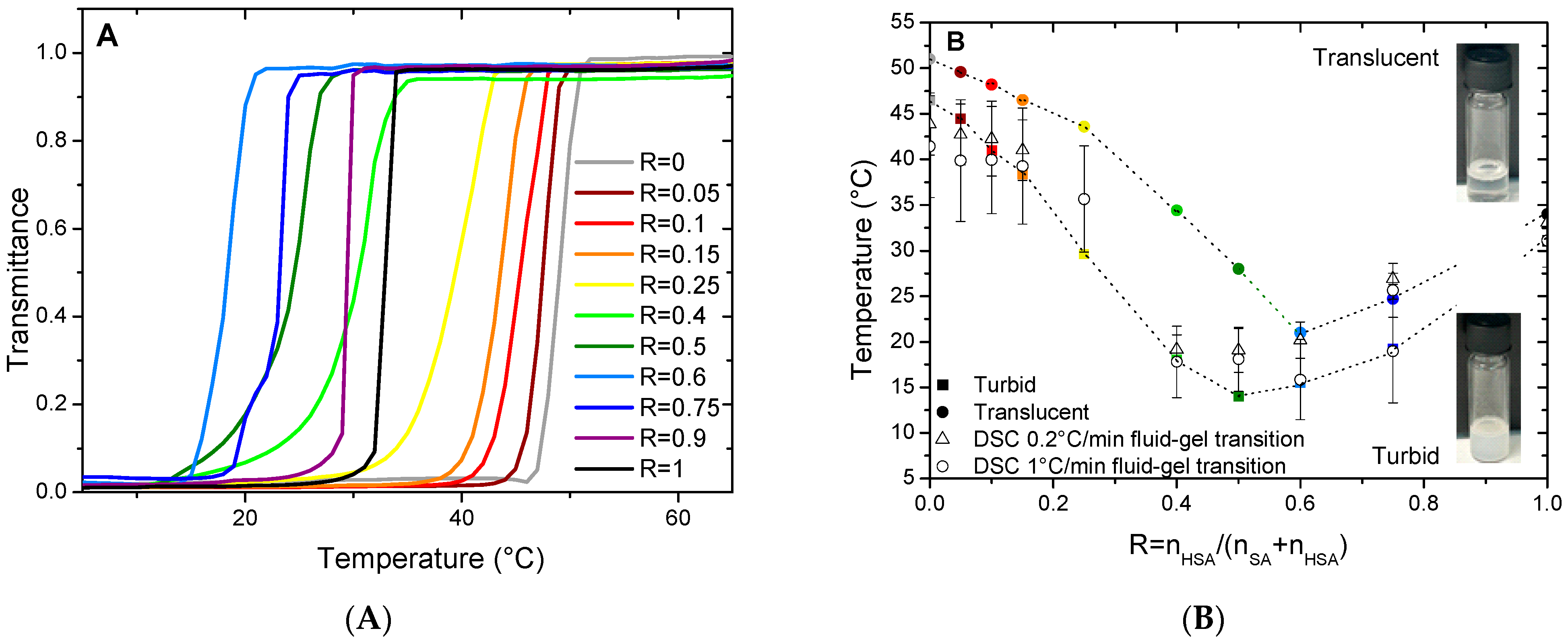
2.1. Macroscopic Behavior and Determination of Threshold Temperature
2.2. DSC Measurements
2.3. Wide Angle X-ray Scattering (WAXS)
2.4. Structure of Samples by SANS
3. Discussion
4. Experimental
4.1. Materials and Sample Preparation
4.2. UV-Visible Spectroscopy (UV-Vis)
4.3. Differential Scanning Calorimetry (DSC)
4.4. Wide Angle X-ray Scattering (WAXS)
4.5. Small Angle Neutron Scattering (SANS)
5. Conclusions
Supplementary Materials
Author Contributions
Funding
Institutional Review Board Statement
Informed Consent Statement
Data Availability Statement
Acknowledgments
Conflicts of Interest
Sample Availability
References
- Fameau, A.; Marangoni, A.G. Back to the Future: Fatty Acids, the Green Genie to Design Smart Soft Materials. J. Am. Oil Chem. Soc. 2022, 99, 543–558. [Google Scholar] [CrossRef]
- Callau, M.; Sow-Kébé, K.; Jenkins, N.; Fameau, A.-L. Effect of the Ratio between Fatty Alcohol and Fatty Acid on Foaming Properties of Whipped Oleogels. Food Chem. 2020, 333, 127403. [Google Scholar] [CrossRef] [PubMed]
- Zhang, L.; Mikhailovskaya, A.; Yazhgur, P.; Muller, F.; Cousin, F.; Langevin, D.; Wang, N.; Salonen, A. Precipitating Sodium Dodecyl Sulfate to Create Ultrastable and Stimulable Foams. Angew. Chem. Int. Ed. 2015, 54, 9533–9536. [Google Scholar] [CrossRef]
- Novales, B.; Navailles, L.; Axelos, M.; Nallet, F.; Douliez, J.-P. Self-Assembly of Fatty Acids and Hydroxyl Derivative Salts. Langmuir 2008, 24, 62–68. [Google Scholar] [CrossRef]
- Douliez, J.-P.; Navailles, L.; Nallet, F. Self-Assembly of Fatty Acid−Alkylboladiamine Salts. Langmuir 2006, 22, 622–627. [Google Scholar] [CrossRef]
- Klein, R.; Touraud, D.; Kunz, W. Choline Carboxylate Surfactants: Biocompatible and Highly Soluble in Water. Green Chem. 2008, 10, 433. [Google Scholar] [CrossRef]
- Fameau, A.-L.; Zemb, T. Self-Assembly of Fatty Acids in the Presence of Amines and Cationic Components. Adv. Colloid Interface Sci. 2014, 207, 43–64. [Google Scholar] [CrossRef] [PubMed]
- Xu, W.; Gu, H.; Zhu, X.; Zhong, Y.; Jiang, L.; Xu, M.; Song, A.; Hao, J. CO2-Controllable Foaming and Emulsification Properties of the Stearic Acid Soap Systems. Langmuir 2015, 31, 5758–5766. [Google Scholar] [CrossRef]
- Xu, W.; Zhang, H.; Zhong, Y.; Jiang, L.; Xu, M.; Zhu, X.; Hao, J. Bilayers at High PH in the Fatty Acid Soap Systems and the Applications for the Formation of Foams and Emulsions. J. Phys. Chem. B 2015, 119, 10760–10767. [Google Scholar] [CrossRef]
- Arnould, A.; Perez, A.A.; Gaillard, C.; Douliez, J.-P.; Cousin, F.; Santiago, L.G.; Zemb, T.; Anton, M.; Fameau, A.-L. Self-Assembly of Myristic Acid in the Presence of Choline Hydroxide: Effect of Molar Ratio and Temperature. J. Colloid Interface Sci. 2015, 445, 285–293. [Google Scholar] [CrossRef]
- Arnould, A.; Cousin, F.; Chabas, L.; Fameau, A.-L. Impact of the Molar Ratio and the Nature of the Counter-Ion on the Self-Assembly of Myristic Acid. J. Colloid Interface Sci. 2018, 510, 133–141. [Google Scholar] [CrossRef]
- Zana, R. Partial Phase Behavior and Micellar Properties of Tetrabutylammonium Salts of Fatty Acids: Unusual Solubility in Water and Formation of Unexpectedly Small Micelles. Langmuir 2004, 20, 5666–5668. [Google Scholar] [CrossRef]
- Zana, R.; Schmidt, J.; Talmon, Y. Tetrabutylammonium Alkyl Carboxylate Surfactants in Aqueous Solution: Self-Association Behavior, Solution Nanostructure, and Comparison with Tetrabutylammonium Alkyl Sulfate Surfactants. Langmuir 2005, 21, 11628–11636. [Google Scholar] [CrossRef] [PubMed]
- Klein, R.; Kellermeier, M.; Drechsler, M.; Touraud, D.; Kunz, W. Solubilisation of Stearic Acid by the Organic Base Choline Hydroxide. Colloids Surf. A Physicochem. Eng. Asp. 2009, 338, 129–134. [Google Scholar] [CrossRef]
- Fameau, A.-L.; Saint-Jalmes, A.; Cousin, F.; Houinsou Houssou, B.; Novales, B.; Navailles, L.; Nallet, F.; Gaillard, C.; Boué, F.; Douliez, J.-P. Smart Foams: Switching Reversibly between Ultrastable and Unstable Foams. Angew. Chem. Int. Ed. 2011, 50, 8264–8269. [Google Scholar] [CrossRef]
- Wang, Z.; Ren, G.; Yang, J.; Xu, Z.; Sun, D. CO2-Responsive Aqueous Foams Stabilized by Pseudogemini Surfactants. J. Colloid Interface Sci. 2019, 536, 381–388. [Google Scholar] [CrossRef] [PubMed]
- Liu, Y.; Jessop, P.G.; Cunningham, M.; Eckert, C.A.; Liotta, C.L. Switchable Surfactants. Science 2006, 313, 958–960. [Google Scholar] [CrossRef] [PubMed]
- Fameau, A.-L.; Arnould, A.; Lehmann, M.; von Klitzing, R. Photoresponsive Self-Assemblies Based on Fatty Acids. Chem. Commun. 2015, 51, 2907–2910. [Google Scholar] [CrossRef] [PubMed]
- Cristofolini, L.; Fontana, M.P.; Boga, C.; Konovalov, O. Microscopic Structure of Crystalline Langmuir Monolayers of Hydroxystearic Acids by X-Ray Reflectivity and GID: OH Group Position and Dimensionality Effect. Langmuir 2005, 21, 11213–11219. [Google Scholar] [CrossRef]
- Vollhardt, D.; Siegel, S.; Cadenhead, D.A. Characteristic Features of Hydroxystearic Acid Monolayers at the Air/Water Interface. J. Phys. Chem. B 2004, 108, 17448–17456. [Google Scholar] [CrossRef]
- Yim, K.S.; Rahaii, B.; Fuller, G.G. Surface Rheological Transitions in Langmuir Monolayers of Bi-Competitive Fatty Acids. Langmuir 2002, 18, 6597–6601. [Google Scholar] [CrossRef]
- Nakagawa, M.; Kawai, T. Tuning Gel–Sol Transition Behavior of a Hydrogel Based on 12-Hydroxystearic Acid and a Long-Chain Amidoamine Derivative. BCSJ 2019, 92, 435–440. [Google Scholar] [CrossRef]
- Douliez, J.-P.; Gaillard, C.; Navailles, L.; Nallet, F. Novel Lipid System Forming Hollow Microtubes at High Yields and Concentration. Langmuir 2006, 22, 2942–2945. [Google Scholar] [CrossRef] [PubMed]
- Jiang, L.; Peng, Y.; Yan, Y.; Deng, M.; Wang, Y.; Huang, J. “Annular Ring” Microtubes Formed by SDS@2β-CD Complexes in Aqueous Solution. Soft Matter 2010, 6, 1731. [Google Scholar] [CrossRef]
- Yang, S.; Yan, Y.; Huang, J.; Petukhov, A.V.; Kroon-Batenburg, L.M.J.; Drechsler, M.; Zhou, C.; Tu, M.; Granick, S.; Jiang, L. Giant Capsids from Lattice Self-Assembly of Cyclodextrin Complexes. Nat. Commun. 2017, 8, 15856. [Google Scholar] [CrossRef]
- Landman, J.; Ouhajji, S.; Prévost, S.; Narayanan, T.; Groenewold, J.; Philipse, A.P.; Kegel, W.K.; Petukhov, A.V. Inward Growth by Nucleation: Multiscale Self-Assembly of Ordered Membranes. Sci. Adv. 2018, 4, eaat1817. [Google Scholar] [CrossRef]
- Ouhajji, S.; Landman, J.; Prévost, S.; Jiang, L.; Philipse, A.P.; Petukhov, A.V. In Situ Observation of Self-Assembly of Sugars and Surfactants from Nanometres to Microns. Soft Matter 2017, 13, 2421–2425. [Google Scholar] [CrossRef] [PubMed]
- Fameau, A.-L.; Cousin, F.; Navailles, L.; Nallet, F.; Boué, F.; Douliez, J.-P. Multiscale Structural Characterizations of Fatty Acid Multilayered Tubes with a Temperature-Tunable Diameter. J. Phys. Chem. B 2011, 115, 9033–9039. [Google Scholar] [CrossRef] [PubMed]
- Fameau, A.-L.; Cousin, F.; Saint-Jalmes, A. Morphological Transition in Fatty Acid Self-Assemblies: A Process Driven by the Interplay between the Chain-Melting and Surface-Melting Process of the Hydrogen Bonds. Langmuir 2017, 33, 12943–12951. [Google Scholar] [CrossRef]
- Fameau, A.-L.; Houinsou-Houssou, B.; Novales, B.; Navailles, L.; Nallet, F.; Douliez, J.-P. 12-Hydroxystearic Acid Lipid Tubes under Various Experimental Conditions. J. Colloid Interface Sci. 2010, 341, 38–47. [Google Scholar] [CrossRef]
- Fameau, A.-L.; Saint-Jalmes, A. Yielding and Flow of Solutions of Thermoresponsive Surfactant Tubes: Tuning Macroscopic Rheology by Supramolecular Assemblies. Soft Matter 2014, 10, 3622. [Google Scholar] [CrossRef]
- Fameau, A.-L.; Cousin, F.; Derrien, R.; Saint-Jalmes, A. Design of Responsive Foams with an Adjustable Temperature Threshold of Destabilization. Soft Matter 2018, 14, 2578–2581. [Google Scholar] [CrossRef]
- Salerno, C.; Chiappetta, D.A.; Arechavala, A.; Gorzalczany, S.; Scioscia, S.L.; Bregni, C. Lipid-Based Microtubes for Topical Delivery of Amphotericin B. Colloids Surf. B Biointerfaces 2013, 107, 160–166. [Google Scholar] [CrossRef]
- Garg, S.; Peeters, M.; Mahajan, R.K.; Singla, P. Loading of Hydrophobic Drug Silymarin in Pluronic and Reverse Pluronic Mixed Micelles. J. Drug Deliv. Sci. Technol. 2022, 75, 103699. [Google Scholar] [CrossRef]
- Singla, P.; Parokie, G.; Garg, S.; Kaur, S.; Kaur, I.; Crapnell, R.D.; Banks, C.E.; Rinner, U.; Wills, C.; Peeters, M. Enhancing Encapsulation of Hydrophobic Phyto-Drugs Naringenin and Baicalein in Polymeric Nano-Micelles. J. Drug Deliv. Sci. Technol. 2023, 83, 104403. [Google Scholar] [CrossRef]
- Matuo, H.; Mitsui, T.; Motomura, K.; Matuura, R. Eutectic Transformation in Mixed Monolayers of Long Normal Chain Fatty Acids with 12-Hydroxyoctadecanoic Acid. Chem. Phys. Lipids 1981, 29, 55–67. [Google Scholar] [CrossRef]
- Almeida, M.; Dudzinski, D.; Amiel, C.; Guigner, J.-M.; Prévost, S.; Le Coeur, C.; Cousin, F. Aqueous Binary Mixtures of Stearic Acid and Its Hydroxylated Counterpart 12-Hydroxystearic Acid: Cascade of Morphological Transitions at Room Temperature. Molecules 2023, 28, 4336. [Google Scholar] [CrossRef] [PubMed]
- Nallet, F.; Laversanne, R.; Roux, D. Modelling X-ray or Neutron Scattering Spectra of Lyotropic Lamellar Phases: Interplay between Form and Structure Factors. J. Phys. II 1993, 3, 487–502. [Google Scholar] [CrossRef]
- Hayter, J.B.; Penfold, J. An Analytic Structure Factor for Macroion Solutions. Mol. Phys. 1981, 42, 109–118. [Google Scholar] [CrossRef]
- Cousin, F. Small Angle Neutron Scattering. EPJ Web Conf. 2015, 104, 01004. [Google Scholar] [CrossRef]
- Greene, D.G.; Ferraro, D.V.; Lenhoff, A.M.; Wagner, N.J. A Critical Examination of the Decoupling Approximation for Small-Angle Scattering from Hard Ellipsoids of Revolution. J. Appl. Crystallogr. 2016, 49, 1734–1739. [Google Scholar] [CrossRef]
- Feigin, L.A.; Svergun, D.I. Structure Analysis by Small-Angle X-Ray and Neutron Scattering; Plenum Press: New York, NY, USA, 1987. [Google Scholar]
- Walker, C.H. The Hydrophobic Effect: Formation of Micelles and Biological Membranes. FEBS Lett. 1981, 124, 127. [Google Scholar] [CrossRef]
- Ivanović, M.T.; Hermann, M.R.; Wójcik, M.; Pérez, J.; Hub, J.S. Small-Angle X-Ray Scattering Curves of Detergent Micelles: Effects of Asymmetry, Shape Fluctuations, Disorder, and Atomic Details. J. Phys. Chem. Lett. 2020, 11, 945–951. [Google Scholar] [CrossRef]
- Iyer, J.; Blankschtein, D. Are Ellipsoids Feasible Micelle Shapes? An Answer Based on a Molecular-Thermodynamic Model of Nonionic Surfactant Micelles. J. Phys. Chem. B 2012, 116, 6443–6454. [Google Scholar] [CrossRef] [PubMed]
- De Caro, L.; Giudice, A.D.; Morin, M.; Reinle-Schmitt, M.; Grandeury, A.; Gozzo, F.; Giannini, C. Small Angle X-Ray Scattering Data Analysis and Theoretical Modelling for the Size and Shape Characterization of Drug Delivery Systems Based on Vitamin E TPGS Micelles. J. Pharm. Sci. 2023, 112, 243–249. [Google Scholar] [CrossRef] [PubMed]
- Goyal, P.S.; Chakravarthy, R.; Dasannacharya, B.A.; Desa, J.A.E.; Kelkar, V.K.; Manohar, C.; Narasimhan, S.L.; Rao, K.R.; Valaulikar, B.S. SANS from Micellar Solutions of CTAB and Sodium Salicylate. Phys. B Condens. Matter 1989, 156, 471–473. [Google Scholar] [CrossRef]
- Schmutzler, T.; Schindler, T.; Schmiele, M.; Appavou, M.-S.; Lages, S.; Kriele, A.; Gilles, R.; Unruh, T. The Influence of N-Hexanol on the Morphology and Composition of CTAB Micelles. Colloids Surf. A Physicochem. Eng. Asp. 2018, 543, 56–63. [Google Scholar] [CrossRef]
- Oliver, R.C.; Lipfert, J.; Fox, D.A.; Lo, R.H.; Kim, J.J.; Doniach, S.; Columbus, L. Tuning Micelle Dimensions and Properties with Binary Surfactant Mixtures. Langmuir 2014, 30, 13353–13361. [Google Scholar] [CrossRef]
- Padsala, S.; Dharaiya, N.; Sastry, N.V.; Aswal, V.K.; Bahadur, P. Microstructural Morphologies of CTAB Micelles Modulated by Aromatic Acids. RSC Adv. 2016, 6, 105035–105045. [Google Scholar] [CrossRef]
- Anachkov, S.E.; Georgieva, G.S.; Abezgauz, L.; Danino, D.; Kralchevsky, P.A. Viscosity Peak Due to Shape Transition from Wormlike to Disklike Micelles: Effect of Dodecanoic Acid. Langmuir 2018, 34, 4897–4907. [Google Scholar] [CrossRef]
- Christov, N.C.; Denkov, N.D.; Kralchevsky, P.A.; Ananthapadmanabhan, K.P.; Lips, A. Synergistic Sphere-to-Rod Micelle Transition in Mixed Solutions of Sodium Dodecyl Sulfate and Cocoamidopropyl Betaine. Langmuir 2004, 20, 565–571. [Google Scholar] [CrossRef] [PubMed]
- DATA-ILL. Available online: https://doi.ill.fr/10.5291/ILL-DATA.9-11-2041 (accessed on 23 June 2021).
- SasView. SasView. Available online: https://sasview.github.io/ (accessed on 3 June 2022).







Disclaimer/Publisher’s Note: The statements, opinions and data contained in all publications are solely those of the individual author(s) and contributor(s) and not of MDPI and/or the editor(s). MDPI and/or the editor(s) disclaim responsibility for any injury to people or property resulting from any ideas, methods, instructions or products referred to in the content. |
© 2023 by the authors. Licensee MDPI, Basel, Switzerland. This article is an open access article distributed under the terms and conditions of the Creative Commons Attribution (CC BY) license (https://creativecommons.org/licenses/by/4.0/).
Share and Cite
Almeida, M.; Dudzinski, D.; Rousseau, B.; Amiel, C.; Prévost, S.; Cousin, F.; Le Coeur, C. Aqueous Binary Mixtures of Stearic Acid and Its Hydroxylated Counterpart 12-Hydroxystearic Acid: Fine Tuning of the Lamellar/Micelle Threshold Temperature Transition and of the Micelle Shape. Molecules 2023, 28, 6317. https://doi.org/10.3390/molecules28176317
Almeida M, Dudzinski D, Rousseau B, Amiel C, Prévost S, Cousin F, Le Coeur C. Aqueous Binary Mixtures of Stearic Acid and Its Hydroxylated Counterpart 12-Hydroxystearic Acid: Fine Tuning of the Lamellar/Micelle Threshold Temperature Transition and of the Micelle Shape. Molecules. 2023; 28(17):6317. https://doi.org/10.3390/molecules28176317
Chicago/Turabian StyleAlmeida, Maëva, Daniel Dudzinski, Bastien Rousseau, Catherine Amiel, Sylvain Prévost, Fabrice Cousin, and Clémence Le Coeur. 2023. "Aqueous Binary Mixtures of Stearic Acid and Its Hydroxylated Counterpart 12-Hydroxystearic Acid: Fine Tuning of the Lamellar/Micelle Threshold Temperature Transition and of the Micelle Shape" Molecules 28, no. 17: 6317. https://doi.org/10.3390/molecules28176317
APA StyleAlmeida, M., Dudzinski, D., Rousseau, B., Amiel, C., Prévost, S., Cousin, F., & Le Coeur, C. (2023). Aqueous Binary Mixtures of Stearic Acid and Its Hydroxylated Counterpart 12-Hydroxystearic Acid: Fine Tuning of the Lamellar/Micelle Threshold Temperature Transition and of the Micelle Shape. Molecules, 28(17), 6317. https://doi.org/10.3390/molecules28176317

