Chitosan Enhances Low-Dosage Difenoconazole to Efficiently Control Leaf Spot Disease in Pseudostellaria heterophylla (Miq.) Pax
Abstract
:1. Introduction
2. Results
2.1. Field Control Effects of Difenoconazole and Chitosan on Leaf Spot Disease
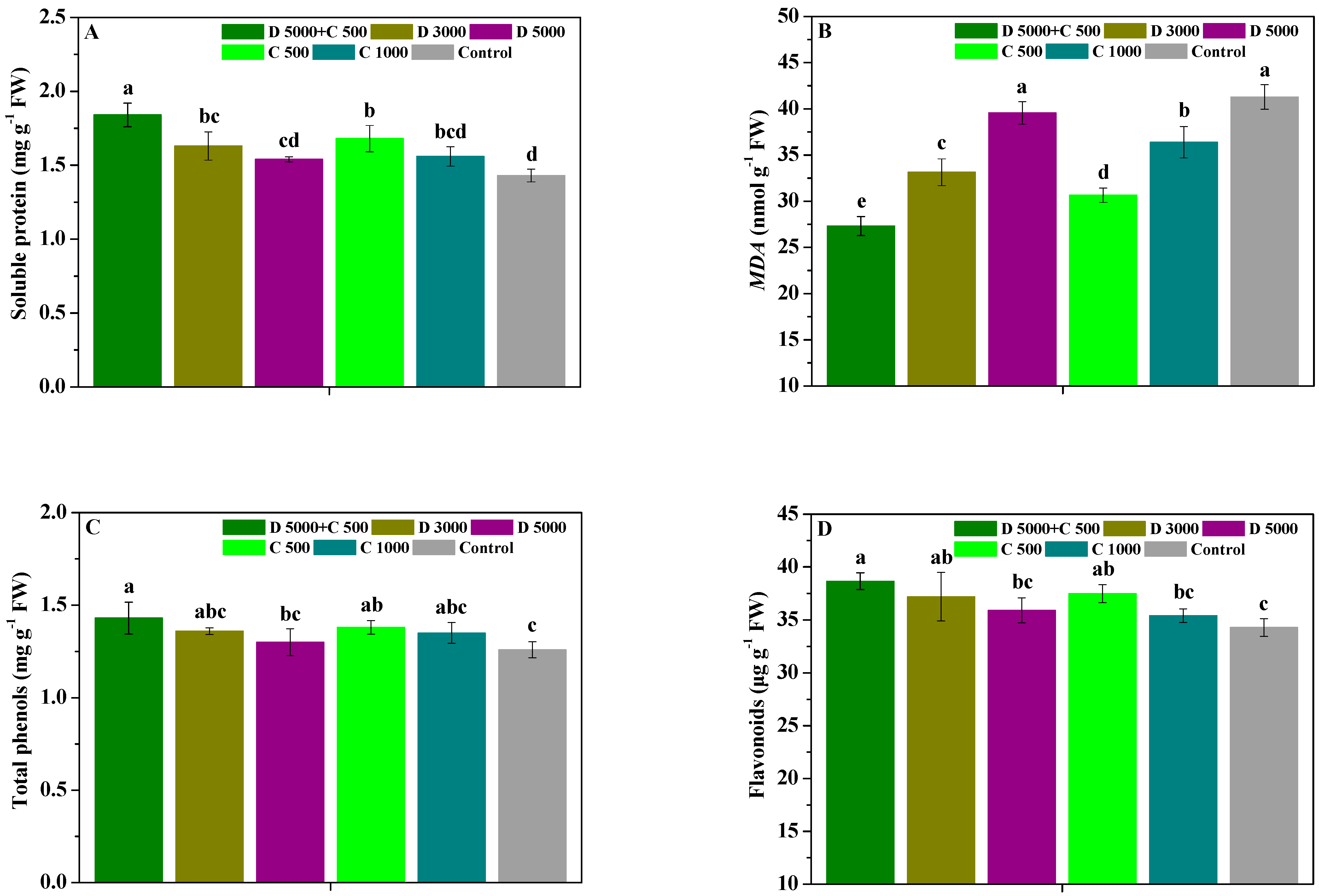
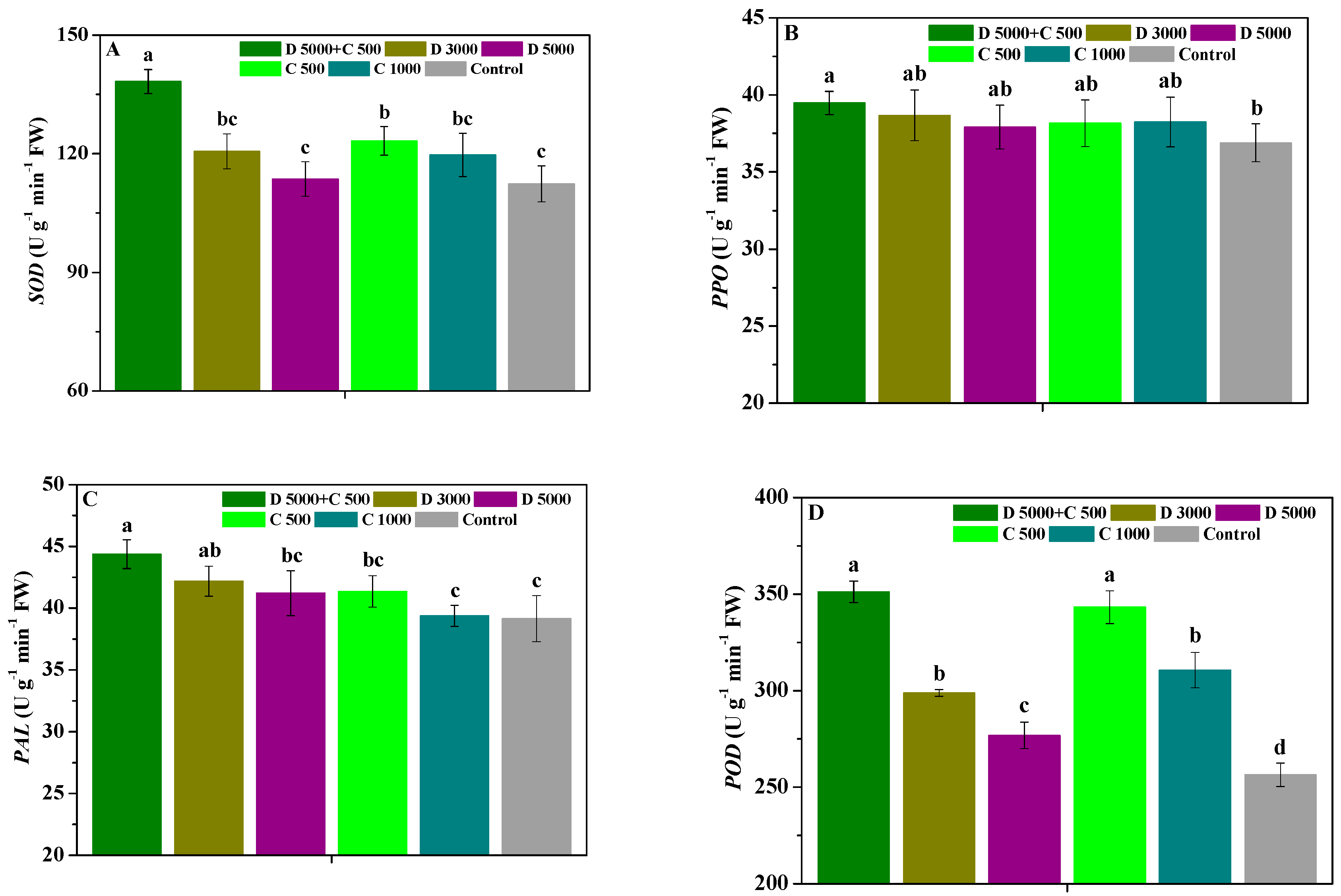
2.2. Influences of Difenoconazole and Chitosan on Disease Resistance in P. heterophylla Leaves
2.3. Influences of Difenoconazole and Chitosan on Photosynthetic Capacity in P. heterophylla Leaves
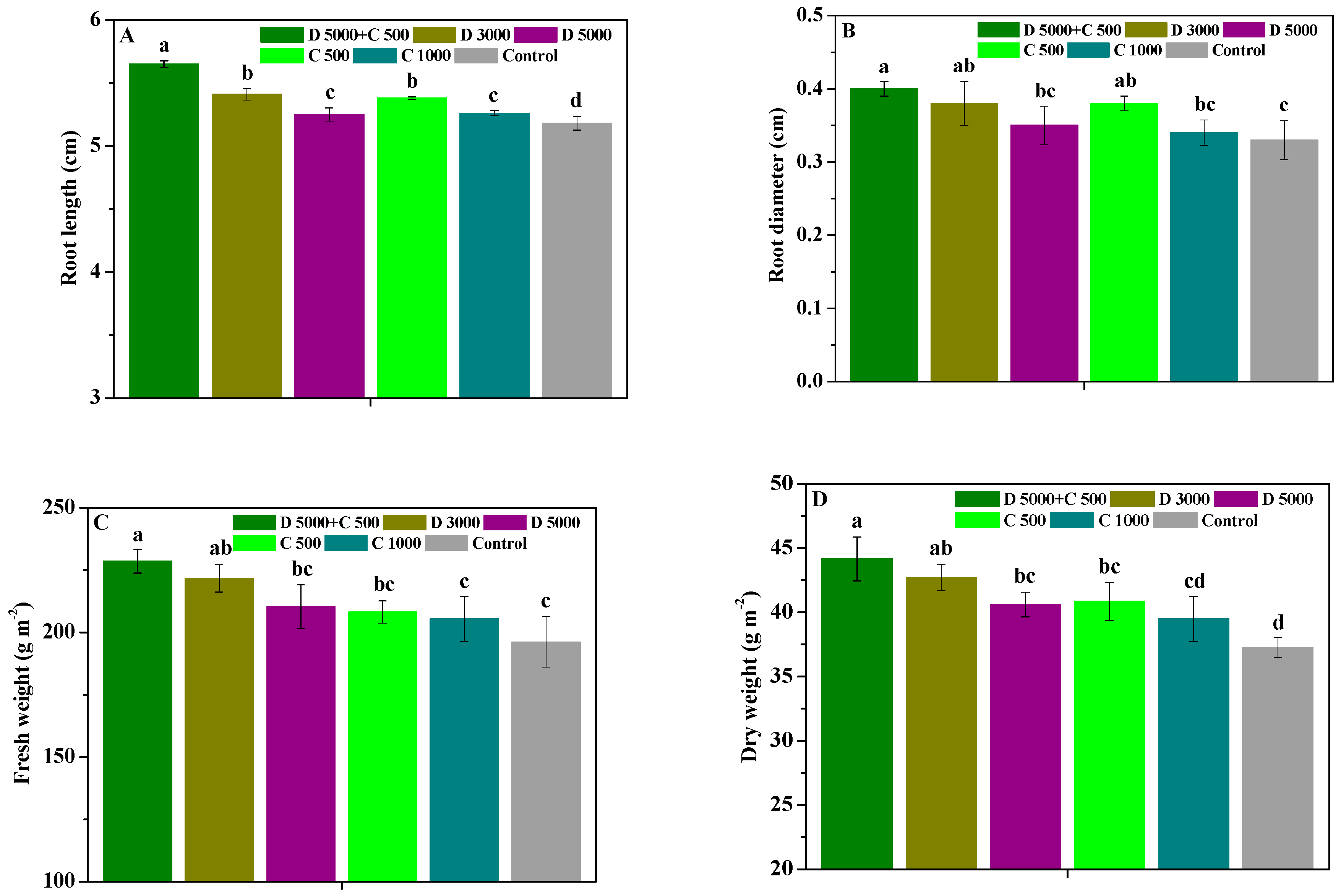
2.4. Influences of Difenoconazole and Chitosan on Quality and Yield in P. heterophylla
3. Materials and Methods
3.1. Fungicide, Chitosan, and Chemicals
3.2. Field Herbal Garden
3.3. Control Experiment on Leaf Spot Disease
3.4. Analytical Method
3.4.1. Disease Index and Control Effect
3.4.2. Disease Resistance Parameters
3.4.3. Photosynthesis Parameters
3.4.4. Yield and Quality Parameters
3.5. Statistical Analyses
4. Discussion
5. Conclusions
Author Contributions
Funding
Institutional Review Board Statement
Informed Consent Statement
Data Availability Statement
Conflicts of Interest
Sample Availability
References
- Xu, L.; Li, P.; Su, J.; Wang, D.; Kuang, Y.; Ye, Z.; Chen, M. EST-SSR Development and Genetic Diversity in the Medicinal Plant Pseudostellaria heterophylla (Miq.) Pax. J. Appl. Res. Med. Aromat. 2023, 33, 100450. [Google Scholar] [CrossRef]
- Ma, J.; Sun, M.; Qiu, L.; Xie, Y.; Ma, Y.; Liang, W. The 5-Aminolevulinic Acid (5-ALA) Supplement Enhances PSII Photochemical Activity and Antioxidant Activity in the Late Growth Promotion of Pseudostellaria heterophylla. Plants 2022, 11, 3035. [Google Scholar] [CrossRef]
- Liao, X.; He, X.; Xu, G.; Wang, Z.; Li, J.; Guan, H.; Zhou, M.; Li, Y.; Wang, Y.; Gan, L.; et al. Two Nitrogen-containing compounds from Pseudostellaria heterophylla. Nat. Prod. Commun. 2018, 13, 343–346. [Google Scholar] [CrossRef]
- Wang, Z.; Liao, S.; He, Y.; Li, J.; Zhong, R.; He, X.; Liu, Y.; Xiao, T.; Lan, Y.; Long, Q.; et al. Protective Effects of Fractions from Pseudostellaria heterophylla against Cobalt Chloride Induced Hypoxic Injury in H9c2 cell. J. Ethnopharmacol. 2013, 147, 540–545. [Google Scholar] [CrossRef]
- Zhang, L.; Guo, Z.; Gao, H.; Pen, X.; Li, Y.; Sun, S.; Lee, J.; Lin, W. Interaction of Pseudostellaria heterophylla with Quorum Sensing and Quorum Quenching Bacteria Mediated by Root Exudates in a Consecutive Monoculture System. J. Microbiol. Biotechnol. 2016, 26, 2159. [Google Scholar] [CrossRef]
- Choi, Y.; Kim, M.; Ahn, K.; Um, J.; Lee, S.; Yang, W. Immunomodulatory Effects of Pseudostellaria heterophylla (Miquel) Pax on Regulation of Th1/Th2 Levels in Mice with Atopic Dermatitis. Mol. Med. Rep. 2017, 15, 649. [Google Scholar] [CrossRef]
- Hang, J.; Zhou, T.; Zhang, C.; Zheng, W.; Li, J.; Jiang, W.; Xiao, C.; Wei, D.; Yang, C.; Xu, R.; et al. Gibberellin Disturbs the Balance of Endogenesis Hormones and Inhibits Adventitious Root Development of Pseudostellaria Heterophylla through Regulating Gene Expression Related to Hormone Synthesis. Saudi J. Biol. Sci. 2021, 28, 135–147. [Google Scholar] [CrossRef]
- Shi, Y.; Huang, Y.; Wang, W.; Yang, L.; Zhou, H.; Sang, Z. Analysis on the Current Quality Standards of Chinese Materia Medica Used in COVID-19 Prevention and Treatment. Pharmacol. Res. 2020, 160, 105074. [Google Scholar] [CrossRef] [PubMed]
- Wu, L.; Chen, J.; Wu, H.; Qin, X.; Wang, J.; Wu, Y.; Khan, M.U.; Lin, S.; Xiao, Z.; Luo, X. Insights into the Regulation of Rhizosphere Bacterial Communities by Application of Bio-organic Fertilizer in Pseudostellaria heterophylla Monoculture Regime. Front. Microbiol. 2016, 7, 1788. [Google Scholar] [CrossRef]
- He, J.; Liang, S.; Zhang, G.; Zhao, Z.; Li, Z. Pathogen Identification and Screening of Fungicides against Pseudostellaria heterophylla (Miq.) Pax Leaf Spot. J. South. Agric. 2021, 52, 2124–2132. [Google Scholar] [CrossRef]
- Yang, C.; Yang, Y.; Guo, L.; Zhang, X.; Pei, G.; Zhang, H.; Zhu, G.; Wu, X.; Zhou, T. Common Diseases and Drug Use of Pseudostellaria heterophylla. China J. Chin. Mater. Med. 2023, 48, 3281–3286. [Google Scholar] [CrossRef]
- Long, G.; Ma, D.; Xia, Z.; Shao, C. Pseudostellaria heterophylla Main Disease Occurrence Regulation and Control Counter Measure in Shibing County. Cult. Plant. 2013, 2, 46. [Google Scholar] [CrossRef]
- Li, S.; Zhou, X.; Yang, Y. Pathogen Identification of Leaf Spot on Pseudostellaria heterophylla and Screening of Fungicides for Its Control. Plant Prot. 2018, 44, 182–185. [Google Scholar] [CrossRef]
- Shao, C.; Li, D.; Ma, D. Preliminary Study on Screening Pesticide of Prevention and Control of Pseudostellaria heterophylla Leaf Spot. Tillage Cultiv. 2016, 4, 29–30. [Google Scholar] [CrossRef]
- Dong, F.; Li, J.; Chankvetadze, B.; Cheng, Y.; Xu, J.; Liu, X.; Li, Y.; Chen, X.; Bertucci, C.; Tedesco, D.; et al. Chiral Triazole Fungicide Difenoconazole: Absolute Stereochemistry, Stereoselective Bioactivity, Aquatic Toxicity, and Environmental Behavior in Vegetables and Soil. Environ. Sci. Technol. 2013, 47, 3386–3394. [Google Scholar] [CrossRef]
- Zheng, Q.; Qin, D.; Yang, L.; Liu, B.; Lin, S.; Ma, Q.; Zhang, Z. Dissipation and Distribution of Difenoconazole in Bananas and a Risk Assessment of Dietary Intake. Environ. Sci. Pollut. Res. 2020, 27, 15365–15374. [Google Scholar] [CrossRef] [PubMed]
- Horsfield, A.; Wicks, T.; Davies, K.; Wilson, D.; Paton, S. Effect of Fungicide Use Strategies on the Control of Early Blight (Alternaria solani) and Potato Yield. Australas. Plant Pathol. 2010, 39, 368–375. [Google Scholar] [CrossRef]
- Kumar, A.; Kudachikar, V.B. Development, Characterisation and Efficacy Evaluation of Biochemical Fungicidal Formulations for Postharvest Control of Anthracnose (Colletotrichum gloeosporioides Penz) Disease in Mango. J. Microencapsul. 2019, 36, 83–95. [Google Scholar] [CrossRef]
- Ishii, H.; Cools, H.J.; Nishimura, K.; Borghi, L.; Kikuhara, K.; Yamaoka, Y. DMI-fungicideResistance in Venturia nashicola, the Causal Agent of Asian Pear Scab-how Reliable Are Mycelial Growth Tests in Culture? Microorganisms 2021, 9, 1377. [Google Scholar] [CrossRef] [PubMed]
- Dong, M.; Ma, L.; Zhan, X.; Chen, J.; Huang, L.; Wang, W.; Zhao, L. Dissipation Rates and Residue Levels of Diflubenzuron and Difenoconazole on Peaches and Dietary Risk Assessment. Regul. Toxicol. Pharmacol. 2019, 108, 104447. [Google Scholar] [CrossRef]
- Chen, S.; Cai, L.; Zhang, H.; Zhang, Q.; Song, J.; Zhang, Z.; Deng, Y.; Liu, Y.; Wang, X.; Fang, H. Deposition Distribution, Metabolism Characteristics, and Reduced Application Dose of Difenoconazole in the Open Field and Greenhouse Pepper Ecosystem. Agric. Ecosyst. Environ. 2021, 313, 107370. [Google Scholar] [CrossRef]
- Li, Z.; Zhang, L.; Zhao, Z. Screening of Leaf Spot Control Agents of Pseudostellaria heterophylla. Cult. Plant. 2013, 1, 21. [Google Scholar] [CrossRef]
- Pitombeira de Figueiredo, L.; Athayde, D.B.; Daam, M.A.; van Gestel, C.A.M.; Guerra, G.D.S.; Duarte-Neto, P.J.; Espíndola, E.L.G. Impact of Temperature on the Toxicity of Kraft 36 EC® (a.s. abamectin) and Score 250 EC® (a.s. difenoconazole) to Soil Organisms under Realistic Environmental Exposure Scenarios. Ecotoxicol. Environ. Saf. 2020, 194, 110446. [Google Scholar] [CrossRef]
- Man, Y.; Stenrød, M.; Wu, C.; Almvik, M.; Holten, R.; Clarke, J.L.; Yuan, S.; Wu, X.; Xu, J.; Dong, F.; et al. Degradation of Difenoconazole in Water and Soil: Kinetics, Degradation Pathways, Transformation Products Identification and Ecotoxicity Assessment. J. Hazard. Mater. 2021, 418, 126303. [Google Scholar] [CrossRef]
- Satapute, P.; Kamble, M.V.; Adhikari, S.S.; Jogaiah, S. Influence of Triazole Pesticides on Tillage Soil Microbial Populations and Metabolic Changes. Sci. Total Environ. 2019, 651, 2334–2344. [Google Scholar] [CrossRef]
- Song, J.; Zheng, Z.; Fang, H.; Li, T.; Wu, Z.; Qiu, M.; Shen, H.; Mei, J.; Xu, L. Deposition and Dissipation of Difenoconazole in Pepper and Soil and Its Reduced Application to Control pepper Anthracnose. Ecotoxicol. Environ. Saf. 2023, 252, 114591. [Google Scholar] [CrossRef] [PubMed]
- Cameron, A.; Sarojini, V. Pseudomonas syringae pv. actinidiae: Chemical Control, Resistance Mechanisms and Possible Alternatives. Plant Pathol. 2014, 63, 1–11. [Google Scholar] [CrossRef]
- Zhang, C.; Li, Q.; Li, J.; Su, Y.; Wu, X. Chitosan as an Adjuvant to Enhance the Control Efficacy of Low-Dosage Pyraclostrobin against Powdery Mildew of Rosa roxburghii and Improve Its Photosynthesis, Yield, and Quality. Biomolecules 2022, 12, 1304. [Google Scholar] [CrossRef]
- Chakraborty, M.; Hasanuzzaman, M.; Rahman, M.; Khan, M.; Bhowmik, P.; Mahmud, N.U.; Tanveer, M.; Islam, T. Mechanism of Plant Growth Promotion and Disease Suppression by Chitosan Biopolymer. Agriculture 2020, 10, 624. [Google Scholar] [CrossRef]
- Lopez-Moya, F.; Suarez-Fernandez, M.; Lopez-Llorca, L.V. Molecular Mechanisms of Chitosan Interactions with Fungi and Plants. Int. J. Mol. Sci. 2019, 20, 332. [Google Scholar] [CrossRef]
- Maluin, F.N.; Hussein, M.Z. Chitosan-Based Agronanochemicals as a Sustainable Alternative in Crop Protection. Molecules 2020, 25, 1611. [Google Scholar] [CrossRef] [PubMed]
- Salachna, P.; Zawadzinska, A. Effect of Chitosan on Plant Growth, Flowering and Corms Yield of Potted Freesia. J. Ecol. Eng. 2014, 15, 93–102. [Google Scholar] [CrossRef]
- Saqib, S.; Zaman, W.; Ullah, F.; Majeed, I.; Munis, M. Organometallic Assembling of Chitosan-iron Oxide Nanoparticles with Their Antifungal Evaluation against Rhizopus oryzae. Appl. Organomet. Chem. 2019, 33, e5190. [Google Scholar] [CrossRef]
- Anitha, A.; Sowmya, S.; Kumar, P.T.S.; Deepthi, S.; Chennazhi, K.P.; Ehrlich, H.; Tsurkan, M.; Jayakumar, R. Chitin and Chitosan in Selected Biomedical Applications. Prog. Polym. Sci. 2014, 39, 1644–1667. [Google Scholar] [CrossRef]
- Verlee, A.; Mincke, S.; Stevens, C.V. Recent Developments in Antibacterial and Antifungal Chitosan and Its Derivatives. Carbohydr. Polym. 2017, 164, 268–283. [Google Scholar] [CrossRef]
- Liu, H.; Zheng, Z.; Han, X.; Zhang, C.; Li, H.; Wu, M. Chitosan Soaking Improves Seed Germination of Platycodon Grandiflorus and Enhances Its Growth, Photosynthesis, Resistance, Yield, and Quality. Horticulturae 2022, 8, 943. [Google Scholar] [CrossRef]
- Li, X.; Liu, R.; Hua, Z. Effects of Chitosan on Seed Germination and Seedling Drought Resistance of Sctellaria baicalensis. Acta Agric. Jiangxi 2020, 32, 75–81. [Google Scholar] [CrossRef]
- Li, J.; Guo, Z.; Luo, Y.; Wu, X.; An, H. Chitosan Can Induce Rosa roxburghii Tratt. against Sphaerotheca sp. and Enhance Its Resistance, Photosynthesis, Yield, and Quality. Horticulturae 2021, 7, 289. [Google Scholar] [CrossRef]
- Chen, F.; Li, Q.; Su, Y.; Lei, Y.; Zhang, C. Chitosan Spraying Enhances the Growth, Photosynthesis, and Resistance of Continuous Pinellia ternata and Promotes Its Yield and Quality. Molecules 2023, 28, 2053. [Google Scholar] [CrossRef]
- Wang, Q.; Li, H.; Lei, Y.; Su, Y.; Long, Y. Chitosan as an Adjuvant to Improve Isopyrazam Azoxystrobin against Leaf Spot Disease of Kiwifruit and Enhance Its Photosynthesis, Quality, and Amino Acids. Agriculture 2022, 12, 373. [Google Scholar] [CrossRef]
- Zhang, C.; Li, H.; Wu, X.; Su, Y.; Long, Y. Co-Application of Tetramycin and Chitosan in Controlling Leaf Spot Disease of Kiwifruit and Enhancing Its Resistance, Photosynthesis, Quality and Amino Acids. Biomolecules 2022, 12, 500. [Google Scholar] [CrossRef]
- Li, J.; Li, R.; Zhang, C.; Guo, Z.; Wu, X.; An, H. Co-Application of Allicin and Chitosan Increases Resistance of Rosa roxburghii against Powdery Mildew and Enhances Its Yield and Quality. Antibiotics 2021, 10, 1449. [Google Scholar] [CrossRef] [PubMed]
- Zhang, C.; Li, J.; Su, Y.; Wu, X. Association of Physcion and Chitosan Can Efficiently Control Powdery Mildew in Rosa roxburghii. Antibiotics 2022, 11, 1661. [Google Scholar] [CrossRef]
- Wang, H. Investigation on the dynamic occurrence of leaf spot disease of Pseudostellaria heterophylla in Fuding and its chemical control experiment. China Plant Prot. 2014, 34, 66–67. [Google Scholar]
- Zhang, C.; Long, Y.; Wang, Q.; Li, J.; Wu, X.; Li, M. The Effect of Preharvest 28.6% Chitosan Composite Film Sprays for Controlling the Soft Rot on Kiwifruit. Hortic. Sci. 2019, 46, 180–194. [Google Scholar] [CrossRef]
- Chinese Pharmacopoeia Commission. General Principles of Four Parts of Chinese Pharmacopoeia 2020; China Medical Science and Technology Press: Beijing, China, 2019. [Google Scholar]
- Torres-Rodriguez, J.A.; Reyes-Pérez, J.J.; Castellanos, T.; Angulo, C.; Hernandez-Montiel, L.G. A Biopomyler with Antimicrobial Properties and Plant Resistance Inducer Against Phytopathogens: Chitosan. Not. Sci. Biol. 2021, 49, 1–15. [Google Scholar] [CrossRef]
- Rahman, M.; Mukta, J.A.; Sabir, A.A.; Gupta, D.R.; Mohi-ud-din, M.; Hasanuzzaman, M.; Miah, M.G.; Rahman, M.; Islam, M.T. Chitosan Biopolymer Promotes Yield and Stimulates Accumulation of Antioxidants in Strawberry Fruit. PLoS ONE 2018, 13, e0203769. [Google Scholar] [CrossRef] [PubMed]
- Coutinho, T.C.; Ferreira, M.C.; Rosa, L.H.; de Oliveira, A.M.; de Oliveira Júnior, E.N. Penicillium citrinum and Penicillium mallochii: New Phytopathogens of Orange Fruit and Their Control Using Chitosan. Carbohydr. Polym. 2020, 234, 115918. [Google Scholar] [CrossRef]
- El Amerany, F.; Meddich, A.; Wahbi, S.; Porzel, A.; Taourirte, M.; Rhazi, M.; Hause, B. Foliar Application of Chitosan Increases Tomato Growth and Influences Mycorrhization and Expression of Endo-Chitinase-Encoding Genes. Int. J. Mol. Sci. 2020, 21, 535. [Google Scholar] [CrossRef]
- Vlot, A.C.; Sales, J.H.; Lenk, M.; Bauer, K.; Brambilla, A.; Sommer, A.; Chen, Y.; Wenig, M.; Nayem, S. Systemic Propagation of Immunity in Plants. New Phytol. 2021, 229, 1234–1250. [Google Scholar] [CrossRef]
- Jaleel, C.A.; Gopi, R.; Panneerselvam, R. Alterations in Lipid Peroxidation, Electrolyte Leakage, and Proline Metabolism in Catharanthus roseus under Treatment with Triadimefon, A Systemic Fungicide. Comptes Rendus Biol. 2007, 330, 905–912. [Google Scholar] [CrossRef]
- Jaleel, C.A.; Manivannan, P.; Sankar, B.; Kishorekumar, A.; Sankari, S.; Panneerselvam, R. Paclobutrazol Enhances Photosynthesis and Ajmalicine Production in Catharanthus roseus. Process. Biochem. 2007, 42, 1566–1570. [Google Scholar] [CrossRef]
- Sha, J.; Ge, S.; Zhu, Z.; Du, X.; Zhang, X.; Xu, X.; Wang, F.; Chen, Q.; Tian, G.; Jiang, Y. Paclobutrazol Regulates Hormone and Carbon-nitrogen Nutrition of Autumn Branches, Improves Fruit Quality and Enhances Storage Nutrition in ‘Fuji’ Apple. Sci. Hortic. 2021, 282, 110022. [Google Scholar] [CrossRef]
- Zheng, M.; Deng, Y.; Zhou, Y.; Liu, R.; Liu, Y.; Wang, H.; Zhu, W.; Zhou, Z.; Diao, J. Multifaceted effects of difenoconazole in tomato fruit ripening: Physiology, flavour and nutritional quality. Plant Physiol. Biochem. 2023, 194, 223–235. [Google Scholar] [CrossRef]
- Newman, D.J.; Cragg, G.M. Natural Products as Sources of New Drugs Over the 30 Years from 1981 to 2010. J. Nat. Prod. 2012, 75, 311–335. [Google Scholar] [CrossRef] [PubMed]




| Treatments | 15 Days after the Last Spraying | 30 Days after the Last Spraying | ||
|---|---|---|---|---|
| Disease Index | Control Effect (%) | Disease Index | Control Effect (%) | |
| D 5000 + C 500 | 0.47 ± 0.07 dD | 91.17 ± 1.75 aA | 0.78 ± 0.16 eE | 88.19 ± 1.87 aA |
| D 3000 | 0.84 ± 0.10 dCD | 84.28 ± 2.26 bA | 1.30 ± 0.26 dD | 80.13 ± 4.37 bA |
| D 5000 | 1.33 ± 0.14 cC | 75.22 ± 1.57 cB | 1.97 ± 0.15 cC | 69.92 ± 3.45 cB |
| C 500 | 1.98 ± 0.12 bB | 62.96 ± 3.42 dC | 2.76 ± 0.17 bB | 57.85 ± 4.71 dC |
| C 1000 | 2.33 ± 0.38 bB | 56.70 ± 4.60 eC | 3.08 ± 0.06 bB | 53.07 ± 1.59 dC |
| Control | 5.36 ± 0.31 aA | 6.57 ± 0.31 aA | ||
| Treatments | Ash (%) | Extractum (%) | Polysaccharide (%) | Total Saponins (%) |
|---|---|---|---|---|
| D 5000 + C 500 | 3.46 ± 0.05 a | 3.46 ± 0.05 a | 10.17 ± 0.33 a | 4.75 ± 0.07 a |
| D 3000 | 3.37 ± 0.07 a | 3.37 ± 0.07 a | 9.38 ± 0.17 b | 4.44 ± 0.08 b |
| D 5000 | 3.18 ± 0.08 b | 3.18 ± 0.08 b | 9.14 ± 0.13 bc | 4.15 ± 0.10 cd |
| C 500 | 3.35 ± 0.08 a | 3.35 ± 0.08 a | 9.51 ± 0.34 b | 4.48 ± 0.05 b |
| C 1000 | 3.21 ± 0.03 b | 3.21 ± 0.03 b | 9.13 ± 0.29 bc | 4.22 ± 0.09 c |
| Control | 3.15 ± 0.02 b | 3.15 ± 0.02 b | 8.68 ± 0.47 c | 4.06 ± 0.08 d |
| Parameters | Amount | Parameters | Amount |
|---|---|---|---|
| pH | 4.93 | Exchangeable calcium | 19.53 cmol kg−1 |
| Organic matter | 35.62 g kg−1 | Exchangeable magnesium | 287.54 mg kg−1 |
| Alkali hydrolyzed nitrogen | 113.68 mg kg−1 | Available zinc | 2.02 mg kg−1 |
| Available phosphorus | 56.37 mg kg−1 | Available iron | 8.43 mg kg−1 |
| Available potassium | 129.56 mg kg−1 | Available manganese | 18.27 mg kg−1 |
Disclaimer/Publisher’s Note: The statements, opinions and data contained in all publications are solely those of the individual author(s) and contributor(s) and not of MDPI and/or the editor(s). MDPI and/or the editor(s) disclaim responsibility for any injury to people or property resulting from any ideas, methods, instructions or products referred to in the content. |
© 2023 by the authors. Licensee MDPI, Basel, Switzerland. This article is an open access article distributed under the terms and conditions of the Creative Commons Attribution (CC BY) license (https://creativecommons.org/licenses/by/4.0/).
Share and Cite
Zhang, C.; Dai, Y.; Liu, J.; Su, Y.; Zhang, Q. Chitosan Enhances Low-Dosage Difenoconazole to Efficiently Control Leaf Spot Disease in Pseudostellaria heterophylla (Miq.) Pax. Molecules 2023, 28, 6170. https://doi.org/10.3390/molecules28166170
Zhang C, Dai Y, Liu J, Su Y, Zhang Q. Chitosan Enhances Low-Dosage Difenoconazole to Efficiently Control Leaf Spot Disease in Pseudostellaria heterophylla (Miq.) Pax. Molecules. 2023; 28(16):6170. https://doi.org/10.3390/molecules28166170
Chicago/Turabian StyleZhang, Cheng, Yi Dai, Jiaqi Liu, Yue Su, and Qinghai Zhang. 2023. "Chitosan Enhances Low-Dosage Difenoconazole to Efficiently Control Leaf Spot Disease in Pseudostellaria heterophylla (Miq.) Pax" Molecules 28, no. 16: 6170. https://doi.org/10.3390/molecules28166170
APA StyleZhang, C., Dai, Y., Liu, J., Su, Y., & Zhang, Q. (2023). Chitosan Enhances Low-Dosage Difenoconazole to Efficiently Control Leaf Spot Disease in Pseudostellaria heterophylla (Miq.) Pax. Molecules, 28(16), 6170. https://doi.org/10.3390/molecules28166170
