Multiheaded Cationic Surfactants with Dedicated Functionalities: Design, Synthetic Strategies, Self-Assembly and Performance
Abstract
1. Introduction
2. Synthetic Approaches
2.1. Modular Synthesis Based on Step-by-Step Reactions with Suitable Building Blocks
2.2. Coupling of Hydrophilic Surfactant Group with Hydrophobic Chain Utilizing the Selective by-Product Free Reaction
| No. | Dendronium Type Hydrophilic/Amphiphilic Group | Hydrophobic Moiety | Coupling Conditions | Refs. |
|---|---|---|---|---|
| 1 | Glycopolymer | Polyvinylamine |
| [45] |
| 2 | Appropriate Boc-protected (amine terminal groups) dendronium-type glicydyl ester—generations G0–G3 | 1-prop-2-ynyloxy-octadecane |
| [33,53] |
| 3 | Third-generation glycerol dendron protected with mesyl groups | (E)-4-((4-(undec-10-enyloxy)phenyl)diazenyl)phenol |
| [54,55] |
2.3. Coupling via Click Synthesis
3. Self-Assembly of Multicharge Cationic Surfactants
3.1. Nonequivalent Adsorption at the Air/Solution Interface
3.2. Aggregation in Aqueous Solution
3.3. Self-Assembly with Oppositely Charged Species
Polyelectrolyte–Surfactant Complexes as a Delivery Platform for Poorly Soluble Drugs
| No. | Surfactant Type | Surfactant | Polyelectrolyte | Solubilized Drug | Studied Properties | Ref. |
|---|---|---|---|---|---|---|
| 1 | Gemini-type structure![]() | GS4–1,4-Bis(tetradecyl dimethyl ammonium)butane dibromide GS6–1,6-Bis(tetradecyl dimethyl ammonium)hexane dibromide GS14–1,14-Bis(tetradecyl dimethyl ammonium)tetradecane dibromide | DNA | - | Self-assembly properties; cytocompatibility (HeLa cells); DNA transfection; thermodynamic characterization | [106] |
| 2 | Alkanediyl-α,ω-bis [(oxymethyl)dimethyldodecylammonium] | dsDNA siRNA | - | Morphology, binding capacity, conformation, structural parameters; cytotoxicity (HeLa cells) | [108] | |
| 3 | Ethane-1,2-diyl-bis(N,N-dimethyl -N-dodecylammoniumacetoxy) | Carboxymethyl -cellulose (CMC) | Quercetin | Viscoelastic and mechanical properties; self-healing properties; structural and morphological properties; thermal properties; drug release studies | [110] | |
| 4 | Alkanediyl-α,ω-bis(dimethyl -cetylammonium bromide) | Methycellulose (MC) | Rifampicin | Surface tension; viscosity; turbidity; gelation temperature | [111] | |
| 5 | Gemini 12-2-12 | Polyacrylic acid (PAA) | - | Equilibrium and dynamic surface tension; surface dilational rheology; stability studies; pH responsiveness | [116] | |
| 6 | (N,N-bis(N-acylarginine) -α,ω-dialkyl amide) | Ethyl(hydroxylethyl) cellulose (EHEC) | - | Thermoresponsiveness; rheological properties; cytotoxicity (HeLa cells) | [115] | |
| 7 | Dicephalic-type structure ![]() | N,N-bis[3,3′-(trimethylammonio)propyl] dodecanamide dimethylsulphate | Carrageenan (CAR) | Photosensitizer–IR-786 | Interfacial tension; stability; permeability; drug release studies | [112] |
| 8 | N,N-bis[3,3′-(trimethylammonio)propyl] dodecanamide dimethylsulphate | Dextran (DEX) | Daunorubicin | Morphology; stability; drug release profiles; cellular internalization; cytotoxicity (colon carcinoma cells); proapoptotic and hemolytic activity | [113] | |
| 9 | N,N-bis[3,3′-(trimethylammonio)propyl] dodecanamide dimethylsulphate | Poly(sodium 4-styrenesulfonate) (PSS) | Oil Red O; IR-786; IR-780 | Surface tension; morphology; stability; drug release studies | [94] |
4. High Performance as Fine Chemicals
4.1. Magnetic Surfactants
4.2. Capping Agents
4.3. Biocidal Agents
5. Conclusions and Future Trends
Author Contributions
Funding
Institutional Review Board Statement
Informed Consent Statement
Data Availability Statement
Conflicts of Interest
Sample Availability
References
- Warszyński, P.; Szyk-Warszyńska, L.; Wilk, K.A.; Lamch, Ł. Adsorption of cationic multicharged surfactants at liquid–gas interface. Curr. Opin. Colloid Interface Sci. 2022, 59, 101577. [Google Scholar] [CrossRef]
- Polarz, S.; Kunkel, M.; Donner, A.; Schlötter, M. Added-Value Surfactants. Chem. Eur. J. 2018, 24, 18842–18856. [Google Scholar] [CrossRef] [PubMed]
- Brown, P.; Butts, C.P.; Eastoe, J. Stimuli-responsive surfactants. Soft Matter. 2013, 9, 2365–2374. [Google Scholar] [CrossRef]
- Ahmady, A.R.; Hosseinzadeh, P.; Solouk, A.; Akbari, S.; Szulc, A.M.; Brycki, B.E. Cationic gemini surfactant properties, its potential as a promising bioapplication candidate, and strategies for improving its biocompatibility: A review. Adv. Colloid Interface Sci. 2022, 299, 102581. [Google Scholar] [CrossRef] [PubMed]
- Shehzad, F.; Hussain, S.M.S.; Adewunmi, A.A.; Mahboob, A.; Murtaza, M.; Kamal, M.S. Magnetic surfactants: A review of recent progress in synthesis and applications. Adv. Colloid Interface Sci. 2021, 293, 102441. [Google Scholar] [CrossRef]
- Bhattacharya, S.; Samanta, S.K. Surfactants possessing multiple polar heads. A perspective on their unique aggregation behavior and applications. J. Phys. Chem. Lett. 2011, 2, 914–920. [Google Scholar] [CrossRef]
- Haldar, J.; Kondaiah, P.; Bhattacharya, S. Synthesis and antibacterial properties of novel hydrolyzable cationic amphiphiles. Incorporation of multiple head groups leads to impressive antibacterial activity. J. Med. Chem. 2005, 48, 3823–3831. [Google Scholar] [CrossRef]
- Chiappisi, L.; Keiderling, U.; Gutierrez-Ulloa, C.E.; Gómez, R.; Valiente, M.; Gradzielski, M. Aggregation behavior of surfactants with cationic and anionic dendronic head groups. J. Colloid Interface Sci. 2019, 534, 430–439. [Google Scholar] [CrossRef]
- Tehrani-Bagha, A.; Holmberg, K. Cleavable surfactants. Curr. Opin. Colloid Interface Sci. 2007, 12, 81–91. [Google Scholar] [CrossRef]
- Tehrani-Bagha, A.R.; Holmberg, K. Cationic ester-containing gemini surfactants: Physical-chemical properties. Langmuir 2010, 26, 9276–9282. [Google Scholar] [CrossRef]
- Para, G.; Łuczyński, J.; Palus, J.; Jarek, E.; Wilk, K.A.; Warszyński, P. Hydrolysis driven surface activity of esterquat surfactants. J. Colloid Interface Sci. 2016, 465, 174–182. [Google Scholar] [CrossRef]
- Hamzah, Y.B.; Hashim, S.; Rahman, W. Synthesis of polymeric nano/microgels: A review. J. Polym. Res. 2017, 24, 134. [Google Scholar] [CrossRef]
- Skrzela, R.; Para, G.; Warszyński, P.; Wilk, K.A. Experimental and theoretical approach to nonequivalent adsorption of novel dicephalic ammonium surfactants at the air/solution interface. J. Phys. Chem. B 2010, 114, 10471–10480. [Google Scholar] [CrossRef]
- Brycki, B.E.; Kowalczyk, I.H.; Szulc, A.; Kaczerewska, O.; Pakiet, M. Multifunctional Gemini Surfactants: Structure, Synthesis.; Properties and Applications. In Application and Characterization of Surfactants; InTech: Seoul, Republic of Korea, 2017. [Google Scholar] [CrossRef]
- Zana, R. Dimeric (gemini) surfactants: Effect of the spacer group on the association behavior in aqueous solution. J. Colloid Interface Sci. 2002, 248, 203–220. [Google Scholar] [CrossRef]
- Meister, A.; Blume, A. Self-assembly of bipolar amphiphiles. Curr. Opin. Colloid Interface Sci. 2007, 12, 138–147. [Google Scholar] [CrossRef]
- Zana, R. Dimeric and Oligomeric Surfactants. Behavior at Interfaces and in Aqueous Solution: A Review. Adv. Colloid Interface Sci. 2002, 97, 205–253. [Google Scholar] [CrossRef]
- Raffa, P.; Wever, D.A.Z.; Picchioni, F.; Broekhuis, A.A. Polymeric surfactants: Synthesis, properties, and links to applications. Chem. Rev. 2015, 115, 8504–8563. [Google Scholar] [CrossRef]
- Wang, W.; Wu, C.; Zhu, J.; Han, Y.; Fan, Y.; Wang, Y. A novel trimeric cationic surfactant as a highly efficient capping agent for the synthesis of trisoctahedral gold nanocrystals. Cryst. Eng. Comm. 2018, 20, 7631–7636. [Google Scholar] [CrossRef]
- Fan, Y.; Wang, Y. Self-Assembly and Functions of Star-Shaped Oligomeric Surfactants. Langmuir 2018, 34, 11220–11241. [Google Scholar] [CrossRef]
- Shavykin, O.V.; Leermakers, F.A.M.; Neelov, I.M.; Darinskii, A.A. Self-Assembly of Lysine-Based Dendritic Surfactants Modeled by the Self-Consistent Field Approach. Langmuir 2018, 34, 1613–1626. [Google Scholar] [CrossRef]
- Lou, Y.; Dong, Y.; Wang, X.; Gong, F.; Zhao, M.; Rong, Z. Synthesis, Micellization, and Surface Activity of Novel Linear-Dendritic Carboxylate Surfactants. J. Surfactants Deterg. 2021, 24, 3–13. [Google Scholar] [CrossRef]
- Gosika, M.; Sen, S.; Kundagrami, A.; Maiti, P.K. Understanding the Thermodynamics of the Binding of PAMAM Dendrimers to Graphene: A Combined Analytical and Simulation Study. Langmuir 2019, 35, 9219–9232. [Google Scholar] [CrossRef] [PubMed]
- Wang, W.; Lu, W.; Jiang, L. Influence of pH on the aggregation morphology of a novel surfactant with single hydrocarbon chain and multi-amine headgroups. J. Phys. Chem. B 2008, 112, 1409–1413. [Google Scholar] [CrossRef] [PubMed]
- Mirsharghi, S.; Knudsen, K.D.; Bagherifam, S.; Nyström, B.; Boas, U. Preparation and self-assembly of amphiphilic polylysine dendrons. New J. Chem. 2016, 40, 3597–3611. [Google Scholar] [CrossRef]
- Pérez, L.; Pinazo, A.; Pons, R.; Infante, M. Gemini surfactants from natural amino acids. Adv. Colloid Interface Sci. 2014, 205, 134–155. [Google Scholar] [CrossRef]
- Foley, P.; Kermanshahi, P.A.; Beach, E.S.; Zimmerman, J.B. Derivation and synthesis of renewable surfactants. Chem. Soc. Rev. 2012, 41, 1499–1518. [Google Scholar] [CrossRef]
- Guerrero-Hernández, L.; Meléndez-Ortiz, H.I.; Cortez-Mazatan, G.Y.; Vaillant-Sánchez, S.; Peralta-Rodríguez, R.D. Gemini and Bicephalous Surfactants: A Review on Their Synthesis, Micelle Formation and Uses. Int. J. Mol. Sci. 2022, 23, 1798. [Google Scholar] [CrossRef]
- Verma, C.; Quraishi, M.A.; Rhee, K.Y. Hydrophilicity and hydrophobicity consideration of organic surfactant compounds: Effect of alkyl chain length on corrosion protection. Adv. Colloid Interface Sci. 2022, 306, 102723. [Google Scholar] [CrossRef]
- Olivo, J.; Young, D.; Brown, B.; Nesic, S. Effect of corrosion inhibitor alkyl tail length on the electrochemical process underlying CO2 corrosion of mild steel. In Proceedings of the Corrosion 2018, Phoenix, AZ, USA, 15–19 April 2018; OnePetro: Richardson, TX, USA, 2018. [Google Scholar]
- Pakiet, M.; Kowalczyk, I.; Garcia, R.L.; Moorcroft, R.; Nichol, T.; Smith, T. Gemini surfactant as multifunctional corrosion and biocorrosion inhibitors for mild steel. Bioelectrochemistry 2019, 128, 252–262. [Google Scholar] [CrossRef]
- Lin, B.; Zuo, Y. Corrosion inhibition of carboxylate inhibitors with different alkylene chain lengths on carbon steel in an alkaline solution. RSC Adv. 2019, 9, 7065–7077. [Google Scholar] [CrossRef]
- De, L.A.S.; Malhotra, S.; Molina, M.; Haag, R.; Calderon, M.; Rodríguez-Hernández, J.; Muñoz-Bonilla, A. Dendritic amphiphiles as additives for honeycomb-like patterned surfaces by breath figures: Role of the molecular characteristics on the pore morphology. J. Colloid Interface Sci. 2015, 440, 263–271. [Google Scholar] [CrossRef]
- Yoshimura, T.; Ebihara, A.; Iwase, H. Tadpole-type amphiphilic dendrimers with bulky dendrons: Adsorption and aggregation properties. Colloids Surf. A Physicochem. Eng. Asp. 2017, 533, 197–203. [Google Scholar] [CrossRef]
- Yoshimura, T.; Kawano, N.K.; Yada, S.; Iwase, H. Adsorption and Aggregation Properties of Gemini-Type Amphiphilic Dendrimers. Langmuir 2020, 36, 563–570. [Google Scholar] [CrossRef]
- Acosta, E.J.; Deng, Y.; White, G.N.; Dixon, J.B.; McInnes, K.J.; Senseman, S.A.; Frantzen, A.S.; Simanek, E.E. Dendritic surfactants show evidence for frustrated intercalation: A new organoclay morphology. Chem. Mater. 2003, 15, 2903–2909. [Google Scholar] [CrossRef][Green Version]
- Sokolowski, A.; Wilk, K.A.; Komorek, U.; Rutkowski, B.; Syper, L. Aggregation properties of cationic gemini surfactants in aqueous solution. Physicochem. Probl. Miner. Process. 2002, 36, 51–64. [Google Scholar]
- Haldar, J.; Aswal, V.K.; Goyal, P.S.; Bhattacharya, S. Molecular Modulation of Surfactant Aggregation in Water: Effect of the Incorporation of Multiple Headgroups on Micellar Properties. Angew. Chem. Int. Ed. 2001, 40, 1228. [Google Scholar] [CrossRef]
- Chu, Y.; Zhang, W.; Lu, X.; Mu, G.; Zhang, B.; Li, Y.; Cheng, S.Z.D.; Liu, T. Rational controlled morphological transitions in the self-assembled multi-headed giant surfactants in solution. Chem. Comm. 2016, 52, 8687–8690. [Google Scholar] [CrossRef]
- Bhattacharya, S.; Haldar, J. Molecular Design of Surfactants to Tailor Its Aggregation Properties. Colloids Surf. A Physicochem. 2002, 205, 119–126. [Google Scholar] [CrossRef]
- Haldar, J.; Aswal, V.K.; Goyal, P.S.; Bhattacharya, S. Unusual micellar properties of multiheaded cationic surfactants in the presence of strong charge neutralizing salts. J. Colloid Interface Sci. 2005, 282, 156–161. [Google Scholar] [CrossRef]
- Samanta, S.K.; Bhattacharya, S.; Maiti, P.K. Coarse-grained molecular dynamics simulation of the aggregation properties of multiheaded cationic surfactants in water. J. Phys. Chem. B 2009, 113, 13545–13550. [Google Scholar] [CrossRef]
- Sharma, A.; Bhargava, B.L. Self-Assembly of Cations in Aqueous Solutions of Multiheaded Cationic Surfactants: All Atom Molecular Dynamics Simulation Studies. J. Phys. Chem. B 2018, 122, 10943–10952. [Google Scholar] [CrossRef] [PubMed]
- Bhattacharya, S.; Haldar, J. Thermodynamics of micellization of multiheaded single-chain cationic surfactants. Langmuir 2004, 20, 7940–7947. [Google Scholar] [CrossRef] [PubMed]
- Zhu, J.; Marchant, R.E. Dendritic saccharide surfactant polymers as antifouling interface materials to reduce platelet adhesion. Biomacromolecules 2006, 7, 1036–1041. [Google Scholar] [CrossRef] [PubMed]
- Sharma, R.; Kamal, A.; Abdinejad, M.; Mahajan, R.K.; Kraatz, H.B. Advances in the synthesis, molecular architectures and potential applications of gemini surfactants. Adv. Colloid Interface Sci. 2017, 248, 35–68. [Google Scholar] [CrossRef]
- Chen, Y.; Qiao, F.; Fan, Y.; Han, Y.; Wang, Y. Interactions of Phospholipid Vesicles with Cationic and Anionic Oligomeric Surfactants. J. Phys. Chem. B 2017, 121, 7122–7132. [Google Scholar] [CrossRef]
- Chen, J.; Qiao, M.; Gao, N.; Ran, Q.; Wu, J.; Shan, G.; Qi, S.; Wu, S. Cationic oligomeric surfactants as novel air entraining agents for concrete. Colloids Surf. A Physicochem. Eng. Asp. 2018, 538, 686–693. [Google Scholar] [CrossRef]
- Holmiere, S.; Valentin, R.; Maréchal, P.; Mouloungui, Z. Esters of oligo-(glycerol carbonate-glycerol), New biobased oligomeric surfactants. J. Colloid Interface Sci. 2017, 487, 418–425. [Google Scholar] [CrossRef]
- Zheng, Y.; Li, S.; Weng, Z.; Gao, C. Hyperbranched polymers: Advances from synthesis to applications. Chem. Soc. Rev. 2015, 44, 4091–4130. [Google Scholar] [CrossRef]
- Zhu, S.; Zhao, M.; Zhou, H.; Wen, J.; Wang, Y.; Liao, Y.; Zhou, X.; Xie, X. One-pot synthesis of hyperbranched polymers via visible light regulated switchable catalysis. Nat. Commun. 2023, 14, 1622. [Google Scholar] [CrossRef]
- Moon, P.J.; Yin, S.; Lundgren, R.J. Ambient Decarboxylative Arylation of Malonate Half-Esters via Oxidative Catalysis. J. Am. Chem. Soc. 2016, 138, 13826–13829. [Google Scholar] [CrossRef]
- Malhotra, S.; Bauer, H.; Tschiche, A.; Staedtler, A.M.; Mohr, A.; Calderón, M.; Parmar, V.S.; Hoeke, L.; Sharbati, S.; Einspanier, R.; et al. Glycine-terminated dendritic amphiphiles for nonviral gene delivery. Biomacromolecules 2012, 13, 3087–3098. [Google Scholar] [CrossRef]
- Kördel, C.; Setaro, A.; Bluemmel, P.; Popeney, C.S.; Reich, S.; Haag, R. Controlled reversible debundling of single-walled carbon nanotubes by photo-switchable dendritic surfactants. Nanoscale 2012, 4, 3029–3031. [Google Scholar] [CrossRef]
- Kördel, C.; Popeney, C.S.; Haag, R. Photoresponsive amphiphiles based on azobenzene-dendritic glycerol conjugates show switchable transport behavior. Chem. Comm. 2011, 47, 6584–6586. [Google Scholar] [CrossRef]
- Yue, K.; Liu, C.; Guo, K.; Wu, K.; Dong, X.; Liu, H.; Huang, M.; Wesdemiotis, C.; Cheng, S.Z.D.; Zhang, W.B. Exploring shape amphiphiles beyond giant surfactants: Molecular design and click synthesis. Polym. Chem. 2013, 4, 1056–1067. [Google Scholar] [CrossRef]
- Agrahari, A.K.; Bose, P.; Jaiswal, M.K.; Rajkhowa, S.; Singh, A.S.; Hotha, S.; Mishra, N.M.; Tiwari, V.K. Cu(I)-Catalyzed Click Chemistry in Glycoscience and Their Diverse Applications. Chem. Rev. 2021, 121, 7638–7956. [Google Scholar] [CrossRef]
- Rostovtsev, V.V.; Green, L.G.; Fokin, V.V.; Sharpless, K.B. A stepwise huisgen cycloaddition process: Copper(I)-catalyzed regioselective “ligation” of azides and terminal alkynes. Angew. Chem. Int. Ed. 2002, 41, 2596–2599. [Google Scholar] [CrossRef]
- Tornøe, C.W.; Christensen, C.; Meldal, M. Peptidotriazoles on solid phase: [1–3]-Triazoles by regiospecific copper(I)-catalyzed 1,3-dipolar cycloadditions of terminal alkynes to azides. J. Org. Chem. 2002, 67, 3057–3064. [Google Scholar] [CrossRef]
- Yu, X.; Li, Y.; Dong, X.H.; Yue, K.; Lin, Z.; Feng, X.; Huang, M.; Zhang, W.B.; Cheng, S.Z.D. Giant surfactants based on molecular Nanoparticles: Precise synthesis and solution self-assembly. J. Polym. Sci. B Polym. Phys. 2014, 52, 1309–1325. [Google Scholar] [CrossRef]
- Hoyle, C.E.; Bowman, C.N. Thiol-ene click chemistry. Angew. Chem. Int. Ed. 2010, 49, 1540–1573. [Google Scholar] [CrossRef] [PubMed]
- Chethalen, R.J.; Fastow, E.J.; Coughlin, E.B.; Winey, K.I. Thiol-ene Click Chemistry Incorporates Hydroxyl Functionality on Polycyclooctene to Tune Properties. ACS Macro Lett. 2023, 12, 107–112. [Google Scholar] [CrossRef] [PubMed]
- Huang, Y.; Guo, M.; Tan, J.; Feng, S. Impact of Molecular Architecture on Surface Properties and Aqueous Stabilities of Silicone-Based Carboxylate Surfactants. Langmuir 2020, 36, 2023–2029. [Google Scholar] [CrossRef]
- Tan, J.; He, Z.; Bai, Y.; Yan, P. Synthesis, characterization and surface properties of novel polyether based siloxane surfactants. J. Dispers. Sci. Technol. 2020, 41, 188–194. [Google Scholar] [CrossRef]
- Lusterio, A.; Brook, M.A. Naturally derived silicone surfactants based on saccharides and cysteamine. Molecules 2021, 26, 4802. [Google Scholar] [CrossRef]
- Matsuno, R.; Takami, K.; Ishihara, K. Simple synthesis of a library of zwitterionic surfactants via michael-type addition of methacrylate and alkane thiol compounds. Langmuir 2010, 26, 13028–13032. [Google Scholar] [CrossRef] [PubMed]
- Piasecki, A.; Zieliński, W. New hydrophobic intermediates of aminodiester-type via a green.; michael-addition reaction. J. Surfactants Deterg. 2008, 11, 21–27. [Google Scholar] [CrossRef]
- Stigter, D. Evaluation of the counterion condensation theory of polyelectrolytes. Biophys. J. 1995, 69, 380–388. [Google Scholar] [CrossRef]
- Wegrzyńska, J.; Para, G.; Chlebicki, J.; Warszyński, P.; Wilk, K.A. Adsorption of multiple ammonium salts at the air/solution interface. Langmuir 2008, 24, 3171–3180. [Google Scholar] [CrossRef]
- Krieger, E.; Vriend, G. New ways to boost molecular dynamics simulations. J. Comput. Chem. 2015, 36, 996–1007. [Google Scholar] [CrossRef]
- Warszynski, P.; Lunkenheimer, K.; Czichocki, G. Effect of Counterions on the Adsorption of Ionic Surfactants at Fluid-Fluid Interfaces. Langmuir 2002, 18, 2506–2514. [Google Scholar] [CrossRef]
- Wilk, K.A.; Frąckowiak, R.; Łuczyński, J.; Warszyński, P. Cleavable Gemini Cationic Surfactants: Experimental and Theoretical Description of Adsorption. Chem. Lett. 2012, 41, 1096–1098. [Google Scholar] [CrossRef]
- Lamch, Ł.; Witek, K.; Jarek, E.; Obłąk, E.; Warszyński, P.; Wilk, K.A. New mild amphoteric sulfohydroxybetaine-type surfactants containing different labile spacers: Synthesis, surface properties and performance. J. Colloid Interface Sci. 2019, 558, 220–229. [Google Scholar] [CrossRef] [PubMed]
- Arabadzhieva, D.; Tchoukov, P.; Mileva, E.; Miller, R.; Soklev, B. Impact of amphiphilic nanostructures on formation and rheology of interfacial layers and on foam film drainage. Ukr. J. Phys. 2011, 56, 801. [Google Scholar] [CrossRef]
- Ghosh, S.; Ray, A.; Pramanik, N. Self-assembly of surfactants: An overview on general aspects of amphiphiles. Biophys. Chem. 2020, 265, 106429. [Google Scholar] [CrossRef] [PubMed]
- Svenson, S. Controlling surfactant self-assembly. Curr. Opin. Colloid Interface Sci. 2004, 9, 201–212. [Google Scholar] [CrossRef]
- Zana, R.; Esumi, K.; Ueno, M. Theory of Micelle Formation. In Structure-Performance Relationships in Surfactants, 2nd ed.; CRC Press: Boca Raton, FL, USA, 2003; Volume 112, pp. 1–110. [Google Scholar]
- Israelachvili, J.N. Intermolecular and Surface Force, 3rd ed.; Elsevier: New York, NY, USA, 2011. [Google Scholar]
- Israelachvil, J.N.; Mitchell, D.J.; Ninham, B.W. Theory of Self-Assembly of Hydrocarbon Amphiphiles into Micelles and Bilayers. J. Chem. Soc. Faraday Trans. 1976, 72, 1525–1568. [Google Scholar] [CrossRef]
- Nagarajan, R. Molecular packing parameter and surfactant self-assembly: The neglected role of the surfactant tail. Langmuir 2002, 18, 31–38. [Google Scholar] [CrossRef]
- Reif, I.; Mulqueen, M.; Blankschtein, D. Molecular-thermodynamic prediction of critical micelle concentrations of commercial surfactants. Langmuir 2001, 17, 5801–5812. [Google Scholar] [CrossRef]
- Yu, C.; Ma, L.; Li, K.; Li, S.; Liu, Y.; Liu, L.; Zhou, Y.; Yan, D. Computer Simulation Studies on the pH-Responsive Self-Assembly of Amphiphilic Carboxy-Terminated Polyester Dendrimers in Aqueous Solution. Langmuir 2017, 33, 388–399. [Google Scholar] [CrossRef]
- Gezae, D.A.; Baulin, V.A.; Bonet, A.J.; MacKie, A.D. Accurate critical micelle concentrations from a microscopic surfactant model. J. Phys. Chem. B 2011, 115, 3434–3443. [Google Scholar] [CrossRef]
- Eastoe, J.; Dalton, J.; Rogueda, P.; Sharpe, D.; Dong, J.; Webster, J.R.P. Interfacial Properties of a Catanionic Surfactant. Langmuir 1996, 12, 2706–2711. [Google Scholar] [CrossRef]
- Wang, C.; Cao, X.L.; Guo, L.L.; Xu, Z.C.; Zhang, L.; Gong, Q.T.; Zhang, L.; Zhao, S. Effect of molecular structure of catanionic surfactant mixtures on their interfacial properties. Colloids Surf. A Physicochem. Eng. Asp. 2016, 509, 601–612. [Google Scholar] [CrossRef]
- Jia, H.; Lian, P.; Leng, X.; Han, Y.; Wang, X.; Jia, K.; Niu, X.; Guo, M.; Yan, H.; Lv, K. Mechanism studies on the application of the mixed cationic/anionic surfactant systems to enhance oil recovery. Fuel 2019, 258, 116156. [Google Scholar] [CrossRef]
- Bramer, T.; Dew, N.; Edsman, K. Pharmaceutical applications for catanionic mixtures. J. Pharm. Pharmacol. 2010, 59, 1319–1334. [Google Scholar] [CrossRef]
- Jiang, S.; Qi, W.; Ma, C.; Wu, T.; Li, X.; Chen, X.; Gao, S.; Qi, J.; Yan, Y.; Huang, J. The high-concentration stable phase: The breakthrough of catanionic surfactant aqueous system. Colloids Surf. A Physicochem. Eng. Asp. 2022, 648, 129120. [Google Scholar] [CrossRef]
- Gradzielski, M.; Hoffmann, I. Polyelectrolyte-surfactant complexes (PESCs) composed of oppositely charged components. Curr. Opin. Colloid Interface Sci. 2018, 35, 124–141. [Google Scholar] [CrossRef]
- Szczepanowicz, K.; Bazylińska, U.; Pietkiewicz, J.; Szyk-Warszyńska, L.; Wilk, K.A.; Warszyński, P. Biocompatible long-sustained release oil-core polyelectrolyte nanocarriers: From controlling physical state and stability to biological impact. Adv. Colloid Interface Sci. 2015, 222, 678–691. [Google Scholar] [CrossRef]
- Penfold, J.; Thomas, R.K.; Taylor, D.J.F. Polyelectrolyte/surfactant mixtures at the air-solution interface. Curr. Opin. Colloid Interface Sci. 2006, 11, 337–344. [Google Scholar] [CrossRef]
- Lindman, B.; Antunes, F.; Aidarova, S.; Miguel, M.; Nylander, T. Polyelectrolyte-surfactant association—From fundamentals to applications. Colloid J. 2014, 76, 585–594. [Google Scholar] [CrossRef]
- Khan, N.; Brettmann, B. Intermolecular interactions in polyelectrolyte and surfactant complexes in solution. Polymers 2019, 11, 51. [Google Scholar] [CrossRef]
- Bazylińska, U.; Skrzela, R.; Szczepanowicz, K.; Warszyński, P.; Wilk, K.A. Novel approach to long sustained multilayer nanocapsules: Influence of surfactant head groups and polyelectrolyte layer number on the release of hydrophobic compounds. Soft Matter. 2011, 7, 6113–6124. [Google Scholar] [CrossRef]
- Gradzielski, M. Polymer–surfactant interaction for controlling the rheological properties of aqueous surfactant solutions. Curr. Opin. Colloid Interface Sci. 2023, 63, 101662. [Google Scholar] [CrossRef]
- Gradzielski, M. Polyelectrolyte-Surfactant Complexes As a Formulation Tool for Drug Delivery. Langmuir 2022, 38, 13330–13343. [Google Scholar] [CrossRef] [PubMed]
- Li, P.; Penfold, J.; Thomas, R.K.; Xu, H. Multilayers formed by polyelectrolyte-surfactant and related mixtures at the air-water interface. Adv. Colloid Interface Sci. 2019, 269, 43–86. [Google Scholar] [CrossRef] [PubMed]
- Lengyel, M.; Kállai-Szabó, N.; Antal, V.; Laki, A.J.; Antal, I. Microparticles, microspheres, and microcapsules for advanced drug delivery. Sci. Pharm. 2019, 87, 20. [Google Scholar] [CrossRef]
- Meka, V.S.; Sing, M.K.G.; Pichika, M.R.; Nali, S.R.; Kolapalli, V.R.M.; Kesharwani, P. A comprehensive review on polyelectrolyte complexes. Drug Discov. Today 2017, 22, 1697–1706. [Google Scholar] [CrossRef]
- Sonu; Halder, S.; Kumari, S.; Aggrawal, R.; Aswal, V.K.; Saha, S.K. Study on interactions of cationic gemini surfactants with folded and unfolded bovine serum albumin: Effect of spacer group of surfactants. J. Mol. Liq. 2017, 243, 369–379. [Google Scholar] [CrossRef]
- Yoshimura, T.; Nagata, Y.; Esumi, K. Interactions of quaternary ammonium salt-type gemini surfactants with sodium poly(styrene sulfonate). J. Colloid Interface Sci. 2004, 275, 618–622. [Google Scholar] [CrossRef]
- Deng, M.; Cao, M.; Wang, Y. Coacervation of cationic gemini surfactant with weakly charged anionic polyacrylamide. J. Phys. Chem. B 2009, 113, 9436–9440. [Google Scholar] [CrossRef]
- Pi, Y.; Shang, Y.; Liu, H.; Hu, Y.; Jiang, J. Salt effect on the interactions between gemini surfactant and oppositely charged polyelectrolyte in aqueous solution. J. Colloid Interface Sci. 2007, 306, 405–410. [Google Scholar] [CrossRef]
- Yaseen, Z.; Rehman, S.U.; Tabish, M. Interaction between DNA and cationic diester-bonded Gemini surfactants. J. Mol. Liq. 2014, 197, 322–327. [Google Scholar] [CrossRef]
- Zana, R.; Benrraou, M. Interactions between polyanions and cationic surfactants with two unequal alkyl chains or of the dimeric type. J. Colloid Interface Sci. 2000, 226, 286–289. [Google Scholar] [CrossRef]
- Acosta-Martínez, D.R.; Rodríguez-Velázquez, E.; Araiza-Verduzco, F.; Taboada, P.; Prieto, G.; Rivero, I.A.; Pina-Luis, G.; Alatorre-Meda, M. Bis-quaternary ammonium gemini surfactants for gene therapy: Effects of the spacer hydrophobicity on the DNA complexation and biological activity. Colloids Surf. B Biointerfaces 2020, 189, 110817. [Google Scholar] [CrossRef]
- Andrzejewska, W.; Wilkowska, M.; Chrabąszczewska, M.; Kozak, M. The study of complexation between dicationic surfactants and the DNA duplex using structural and spectroscopic methods. RSC Adv. 2017, 7, 26006–26018. [Google Scholar] [CrossRef]
- Andrzejewska, W.; Wilkowska, M.; Skrzypczak, A.; Kozak, M. Ammonium gemini surfactants form complexes with model oligomers of siRNA and dsDNA. Int. J. Mol. Sci. 2019, 20, 5546. [Google Scholar] [CrossRef]
- Zhou, T.; Xu, G.; Ao, M.; Yang, Y.; Wang, C. DNA compaction to multi-molecular DNA condensation induced by cationic imidazolium gemini surfactants. Colloids Surf. A Physicochem. Eng. Asp. 2012, 414, 33–40. [Google Scholar] [CrossRef]
- Bhat, M.A.; Rather, R.A.; Yaseen, Z.; Shalla, A.H. Viscoelastic and smart swelling disposition of Carboxymethylcellulose based hydrogels substantiated by Gemini surfactant and in-vitro encapsulation and controlled release of Quercetin. Int. J. Biol. Macromol. 2022, 207, 374–386. [Google Scholar] [CrossRef]
- Shah, R.A.; Chat, O.A.; Maswal, M.; Rather, G.M.; Dar, A.A. Rheological response of methylcellulose toward alkanediyl-α,ω-bis(dimethylcetylammonium bromide) surfactants with varying spacer length. Carbohydr. Polym. 2016, 144, 159–167. [Google Scholar] [CrossRef]
- Bazylińska, U.; Skrzela, R.; Piotrowski, M.; Szczepanowicz, K.; Warszyński, P.; Wilk, K.A. Influence of dicephalic ionic surfactant interactions with oppositely charged polyelectrolyte upon the in vitro dye release from oil core nanocapsules. Bioelectrochemistry 2012, 87, 147–153. [Google Scholar] [CrossRef]
- Bazylińska, U.; Pietkiewicz, J.; Rossowska, J.; Chodaczek, G.; Gamian, A.; Wilk, K.A. Polyelectrolyte Oil-Core Nanocarriers for Localized and Sustained Delivery of Daunorubicin to Colon Carcinoma MC38 Cells: The Case of Polysaccharide Multilayer Film in Relation to PEG-ylated Shell. Macromol. Biosci. 2017, 17, 1600356. [Google Scholar] [CrossRef]
- Chen, F.; Wu, Y.; Wang, M.; Zha, R. Self-assembly networks of wormlike micelles and hydrophobically modified polyacrylamide with high performance in fracturing fluid application. Colloid Polym. Sci. 2015, 293, 687–697. [Google Scholar] [CrossRef]
- Calejo, M.T.; Kjoniksen, A.L.; Pinazo, A. Thermoresponsive hydrogels with low toxicity from mixtures of ethyl(hydroxyethyl) cellulose and arginine-based surfactants. Int. J. Pharm. 2012, 436, 454–462. [Google Scholar] [CrossRef] [PubMed]
- Martinelli, H.; Domínguez, C.; Leyes, M.F.; Moya, S.; Ritacco, H. A pH-responsive foam formulated with PAA/gemini hernán martinelli 12-2-12 complexes. Colloids Interfaces 2021, 5, 37. [Google Scholar] [CrossRef]
- Wang, L.; Dong, S.; Hao, J. Recent progress of magnetic surfactants: Self-assembly, properties and functions. Curr. Opin. Colloid Interface Sci. 2018, 35, 81–90. [Google Scholar] [CrossRef]
- Yi, M.; Huang, Z.; Hao, J. Magnetic Gemini Surfactants. Langmuir 2019, 35, 9538–9545. [Google Scholar] [CrossRef] [PubMed]
- Brown, P.; Bushmelev, A.; Butts, C.P.; Eloi, J.C.; Grillo, I.; Baker, P.J.; Schmidt, A.M.; Eastoe, J. Properties of new magnetic surfactants. Langmuir 2013, 29, 3246–3251. [Google Scholar] [CrossRef]
- Brown, P.; Bushmelev, A.; Butts, C.P.; Cheng, J.; Eastoe, J.; Grillo, I.; Heenan, R.K.; Schmidt, A.M. Magnetic control over liquid surface properties with responsive surfactants. Angew. Chem. Int. Ed. 2012, 51, 2414–2416. [Google Scholar] [CrossRef]
- Tamaddon, F.; Tadayonfar, S.E. A novel bi-functional surfactant-based paramagnetic deep-eutectic catalyst for improved benzoin condensation and multi-component synthesis of pyrrole derivatives. J. Mol. Liq. 2019, 280, 71–78. [Google Scholar] [CrossRef]
- Hermann, S.; Wessig, M.; Kollofrath, D. Magneto-Adaptive Surfactants Showing Anti-Curie Behavior and Tunable Surface Tension as Porogens for Mesoporous Particles with 12-Fold Symmetry. Angew. Chem. Int. Ed. 2017, 129, 5567–5571. [Google Scholar] [CrossRef]
- Binnemans, K.; Görller-Walrand, C. Lanthanide-containing liquid crystals and surfactants. Chem. Rev. 2002, 102, 2303–2345. [Google Scholar] [CrossRef]
- Brown, P.; Alan Hatton, T.; Eastoe, J. Magnetic surfactants. Curr. Opin. Colloid Interface Sci. 2015, 20, 140–150. [Google Scholar] [CrossRef]
- Javed, R.; Zia, M.; Naz, S.; Aisida, S.O.; Ain, N.; Ao, Q. Role of capping agents in the application of nanoparticles in biomedicine and environmental remediation: Recent trends and future prospects. J. Nanobiotechnol. 2020, 18, 172. [Google Scholar] [CrossRef]
- Sidhu, A.K.; Verma, N.; Kaushal, P. Role of Biogenic Capping Agents in the Synthesis of Metallic Nanoparticles and Evaluation of Their Therapeutic Potential. Front. Nanotechnol. 2022, 3, 801620. [Google Scholar] [CrossRef]
- Rather, R.A.; Sarwara, R.K.; Das, N.; Pal, B. Impact of reducing and capping agents on carbohydrates for the growth of Ag and Cu nanostructures and their antibacterial activities. Particuology 2019, 43, 219–226. [Google Scholar] [CrossRef]
- Sharma, P.; Kumari, S.; Ghosh, D.; Yadav, V.; Vij, A.; Rawat, P.; Kumar, S.; Sinha, C.; Saini, S.; Sharma, V.; et al. Capping agent-induced variation of physicochemical and biological properties of α-Fe2O3 nanoparticles. Mater. Chem. Phys. 2021, 258, 123899. [Google Scholar] [CrossRef]
- Wang, S.; Zhou, L.; Zheng, Y.; Li, L.; Wu, C.; Yang, H.; Huang, M.; An, X. Synthesis and biocompatibility of two-dimensional biomaterials. Colloids Surf. A Physicochem. Eng. Asp. 2019, 583, 124004. [Google Scholar] [CrossRef]
- Gulati, S.; Sachdeva, M.; Bhasin, K.K. Capping agents in nanoparticle synthesis: Surfactant and solvent system. In Proceedings of the 2nd International Conference on Condensed Matter and Applied Physics (ICC 2017), Bikaner, India, 24–25 November 2017; AIP Conference Proceedings. Volume 1953, p. 030214. [Google Scholar] [CrossRef]
- Aisida, S.O.; Ugwoke, E.; Uwais, A.; Iroegbu, C.; Botha, S.; Ahmad, I.; Maaza, M.; Ezema, F.I. Incubation period induced biogenic synthesis of PEG enhanced Moringa oleifera silver nanocapsules and its antibacterial activity. J. Polym. Res. 2019, 26, 225. [Google Scholar] [CrossRef]
- Campisi, S.; Schiavoni, M.; Chan-Thaw, C.E.; Villa, A. Untangling the role of the capping agent in nanocatalysis: Recent advances and perspectives. Catalysts 2016, 6, 185. [Google Scholar] [CrossRef]
- Heinz, H.; Pramanik, C.; Heinz, O.; Ding, Y.; Mishra, R.K.; Marchon, D.; Flatt, R.J.; Estrela-Lopis, I.; Llop, J.; Moya, S.; et al. Nanoparticle decoration with surfactants: Molecular interactions, assembly, and applications. Surf. Sci. Rep. 2017, 72, 1–58. [Google Scholar] [CrossRef]
- Javed, R.; Sajjad, A.; Naz, S.; Sajjad, H.; Ao, Q. Significance of Capping Agents of Colloidal Nanoparticles from the Perspective of Drug and Gene Delivery, Bioimaging, and Biosensing: An Insight. Int. J. Mol. Sci. 2022, 23, 10521. [Google Scholar] [CrossRef]
- Pedroso-Santana, S.; Fleitas-Salazar, N. The Use of Capping Agents in the Stabilization and Functionalization of Metallic Nanoparticles for Biomedical Applications. Part. Part. Syst. Charact. 2023, 40, 202200146. [Google Scholar] [CrossRef]
- Nair, A.B.; Morsy, M.A.; Shinu, P.; Kotta, S.; Chandrasekaran, M.; Tahir, M.A. Advances of Non-Iron Metal Nanoparticles in Biomedicine. J. Pharm. Pharm. Sci. 2021, 24, 41–61. [Google Scholar] [CrossRef] [PubMed]
- Lam, N.M.; Thi, T.M.; Thanh, P.T.; Yen, N.H.; Dan, N.H. Structure and magnetic properties of Fe-Co nanoparticles prepared by polyol method. Phys. B Condens. Matter. 2018, 532, 71–75. [Google Scholar] [CrossRef]
- Meng, Y.; Zhang, D.; Chen, X.; Dai, Z.; Yao, X.; Cui, P.; Yu, D.; Zhang, G.; Zheng, X. FePt Nanoparticles Embedded in Metal-Organic Framework Nanoparticles for Tumor Imaging and Eradication. ACS Appl. Nano. Mater. 2020, 3, 4494–4503. [Google Scholar] [CrossRef]
- Restrepo, C.V.; Villa, C.C. Synthesis of silver nanoparticles, influence of capping agents, and dependence on size and shape: A review. Environ. Nanotechnol. Monit. Manag. 2021, 15, 100428. [Google Scholar] [CrossRef]
- Brycki, B.; Szulc, A.; Babkova, M. Synthesis of silver nanoparticles with gemini surfactants as efficient capping and stabilizing agents. Appl. Sci. 2021, 11, 154. [Google Scholar] [CrossRef]
- He, S.; Chen, H.; Guo, Z.; Wang, B.; Tang, C.; Feng, Y. High-concentration silver colloid stabilized by a cationic gemini surfactant. Colloids Surf. A Physicochem. Eng. Asp. 2013, 429, 98–105. [Google Scholar] [CrossRef]
- Pisárčik, M.; Lukáč, M.; Jampílek, J.; Pašková, L.; Bilka, F.; Bilková, A.; Devínsky, F.; Vaľko, J.; Horáková, R.; Hošek, J.; et al. Controlled synthesis of gemini surfactant-capped gold nanoparticles. Gemini structure-nanoparticle properties relationship study. J. Mol. Liq. 2022, 365, 120210. [Google Scholar] [CrossRef]
- Giráldez-Pérez, R.M.; Grueso, E.; Lhamyani, S.; Perez-Tejeda, P.; Gentile, A.M.; Kuliszewska, E.; Roman-Perez, J.; Bekay, R.E. miR-21/Gemini surfactant-capped gold nanoparticles as potential therapeutic complexes: Synthesis, characterization and in vivo nanotoxicity probes. J. Mol. Liq. 2020, 313, 113577. [Google Scholar] [CrossRef]
- Zhou, Z.; Zhou, S.; Zhang, X.; Zeng, S.; Xu, Y.; Nie, W.; Zhou, Y.; Xu, T.; Chen, P. Quaternary Ammonium Salts: Insights into Synthesis and New Directions in Antibacterial Applications. Bioconjug. Chem. 2023, 34, 302–325. [Google Scholar] [CrossRef]
- Michaud, M.E.; Allen, R.A.; Morrison-Lewis, K.R. Quaternary Phosphonium Compound Unveiled as a Potent Disinfectant against Highly Resistant Acinetobacter baumannii Clinical Isolates. ACS Infect. Dis. 2022, 8, 2307–2314. [Google Scholar] [CrossRef]
- Paluch, E.; Piecuch, A.; Obłąk, E.; Lamch, L.; Wilk, K.A. Antifungal activity of newly synthesized chemodegradable dicephalic-type cationic surfactants. Colloids Surf. B Biointerfaces 2018, 164, 34–41. [Google Scholar] [CrossRef]
- Saverina, E.A.; Frolov, N.A.; Kamanina, O.A.; Arlyapov, V.A.; Vereshchagin, A.N.; Ananikov, V.P. From Antibacterial to Antibiofilm Targeting: An Emerging Paradigm Shift in the Development of Quaternary Ammonium Compounds (QACs). ACS Infect. Dis. 2023, 9, 394–422. [Google Scholar] [CrossRef]
- Padnya, P.L.; Terenteva, O.S.; Akhmedov, A.A.; Iksanova, A.G.; Shtyrlin, N.V.; Nikitina, E.V.; Krylova, E.S.; Shtyrlin, Y.G.; Stoikov, I.I. Thiacalixarene based quaternary ammonium salts as promising antibacterial agents. Bioorg. Med. Chem. 2021, 29, 115905. [Google Scholar] [CrossRef]
- Obłąk, E.; Futoma-Kołoch, B.; Wieczyńska, A. Biological activity of quaternary ammonium salts and resistance of microorganisms to these compounds. World J. Microbiol. Biotechnol. 2021, 37, 22. [Google Scholar] [CrossRef]
- Toles, Z.E.A.; Wu, A.; Sanchez, C.A. Double BAC and Triple BAC: A Systematic Analysis of the Disinfectant Properties of Multicationic Derivatives of Benzalkonium Chloride (BAC). Chem. Med. Chem. 2023, 18, e202300012023. [Google Scholar] [CrossRef]
- Spahr, A.C.; Michaud, M.E.; Amoo, L.E.; Sanchez, C.A.; Hogue, C.E.; Thierer, L.M.; Gau, M.R.; Wuest, W.M.; Minbiole, K.P.C. Rigidity-Activity Relationships of bisQPC Scaffolds against Pathogenic Bacteria. Chem. Med. Chem. 2022, 17, e202200224. [Google Scholar] [CrossRef]
- Seferyan, M.A.; Saverina, E.A.; Frolov, N.A.; Detusheva, E.V.; Kamanina, O.A.; Arlyapov, V.A.; Ostashevskaya, I.; Ananikov, V.P.; Vereshchagin, A.N. Multicationic Quaternary Ammonium Compounds: A Framework for Combating Bacterial Resistance. ACS Infect. Dis. 2022, 9, 1206–1220. [Google Scholar] [CrossRef]
- Brayton, S.R.; Toles, Z.E.A.; Sanchez, C.A.; Michaud, M.E.; Thierer, L.M.; Keller, T.M.; Risener, C.J.; Quave, C.L.; Wuest, W.M.; Minbiole, K.P.C. Soft QPCs: Biscationic Quaternary Phosphonium Compounds as Soft Antimicrobial Agents. ACS Infect. Dis. 2023, 9, 943–951. [Google Scholar] [CrossRef]
- Teper, P.; Chojniak-Gronek, J.; Hercog, A.; Oleszko-Torbus, N.; Płaza, G.; Kubacki, J.; Balin, K.; Kowalczuk, A.; Mendrek, B. Nanolayers of poly(N,N’-dimethylaminoethyl methacrylate) with a star topology and their antibacterial activity. Polymers 2020, 12, 230. [Google Scholar] [CrossRef]
- Mukherjee, S.; Ghosh, S.; Haldar, J. Amphiphilic cationic macromolecule potentiates tetracycline against multi-drug resistant Gram-negative bacteria. Bull. Mater. Sci. 2020, 43, 311. [Google Scholar] [CrossRef]
- Yuan, H.; Liu, Z.; Liu, L.; Lv, F.; Wang, Y.; Wang, S. Cationic conjugated polymers for discrimination of microbial pathogens. Adv. Mater. 2014, 26, 4333–4338. [Google Scholar] [CrossRef] [PubMed]
- Thierer, L.M.; Petersen, A.A.; Michaud, M.E.; Sanchez, C.A.; Brayton, S.R.; Wuest, W.M.; Minbiole, K.P.C. Atom Economical QPCs: Phenyl-Free Biscationic Quaternary Phosphonium Compounds as Potent Disinfectants. ACS Infect. Dis. 2023, 9, 609–616. [Google Scholar] [CrossRef] [PubMed]
- Asensi, G.F.; Dos Reis, E.M.F.; Del Aguila, E.M.; Dos, P.; Silva, J.T.; Paschoalin, V.M.F. Detection of Escherichia coli and Salmonella in chicken rinse carcasses. Br. Food J. 2009, 111, 517–527. [Google Scholar] [CrossRef]
- Wu, C.; Hou, Y.; Deng, M.; Huang, X.; Yu, S.; Xiang, J.; Liu, Y.; Li, Z.; Wang, Y. Molecular conformation-controlled vesicle/micelle transition of cationic trimeric surfactants in aqueous solution. Langmuir 2010, 26, 7922–7927. [Google Scholar] [CrossRef]
- Hou, Y.; Han, Y.; Deng, M.; Xiang, J.; Wang, Y. Aggregation behavior of a tetrameric cationic surfactant in aqueous solution. Langmuir 2010, 26, 28–33. [Google Scholar] [CrossRef]
- Fan, Y.; Hou, Y.; Xiang, J.; Yu, D.; Wu, C.; Tian, M.; Han, Y.; Wang, Y. Synthesis and aggregation behavior of a hexameric quaternary ammonium surfactant. Langmuir 2011, 27, 10570–10579. [Google Scholar] [CrossRef]
- He, S.; Hou, M.; Shan, S.; Li, R.; Yu, N.; Lin, Y.; Zhang, A. Synthesis and anti-bacterial/fungal activities of amphiphilic polysiloxanes primary ammonium salts. React. Funct. Polym. 2023, 183, 105495. [Google Scholar] [CrossRef]
- Schaefer, S.; Pham, T.T.P.; Brunke, S.; Brunke, S.; Hube, B.; Jung, K.; Lenardon, M.K.; Boyer, C. Rational Design of an Antifungal Polyacrylamide Library with Reduced Host-Cell Toxicity. ACS Appl. Mater. Interfaces 2021, 13, 27430–27444. [Google Scholar] [CrossRef]
- Konai, M.M.; Bhattacharjee, B.; Ghosh, S.; Haldar, J. Recent Progress in Polymer Research to Tackle Infections and Antimicrobial Resistance. Biomacromolecules 2018, 19, 1888–1917. [Google Scholar] [CrossRef]
- Shaban, S.M.; Aiad, I.; Moustafa, A.H.; Aljoboury, O.H. Some alginates polymeric cationic surfactants; surface study and their evaluation as biocide and corrosion inhibitors. J. Mol. Liq. 2019, 273, 164–176. [Google Scholar] [CrossRef]
- Labena, A.; Hegazy, M.A.; Sami, R.M.; Hozzein, W.N. Multiple applications of a novel cationic gemini surfactant: Anti-microbial.; anti-biofilm, biocide, salinity corrosion inhibitor, and biofilm dispersion (Part II). Molecules 2020, 25, 1348. [Google Scholar] [CrossRef]
- Piecuch, A.; Lamch, L.; Paluch, E.; Obłąk, E.; Wilk, K.A. Biofilm prevention by dicephalic cationic surfactants and their interactions with DNA. J. Appl. Microbiol. 2016, 121, 682–692. [Google Scholar] [CrossRef]




| No. | Starting Block | Building Block (ii Stage) | Conditions (ii Stage) | Modification (iii Stage) | Conditions (iii Stage) | Final Treatment | Ref. |
|---|---|---|---|---|---|---|---|
| 1 | Octadecanol | 2,2,5-trimethyl-1,3-dioxane-5-carboxylic anhydride | Solvent: water:DCM mixture; catalyst: DMAP; 24 h; room temperature | Hydrolysis of cyclic acetale | Solvent: methanol; Dowex H+ resin; 24 h; room temperature | Reaction with succinic anhydride; basification with NaOH | [22] |
| 2 | Hexadecylamine | methyl acrylate (three moles per one mole of amine groups) | Solvent: methanol; 40 °C; 90 h; solvent and excess of methyl acrylate removal by distillation under reduced pressure | Formation of an amide bond via reaction of ester with ethylenedimine (20 equiv per one ester group) | Solvent: methanol; 40 °C; 80 h; solvent and excess of reagent removal by sequential azeotropic distillation | Final reaction with ethylenedimine (20 equiv per one ester group) to provide multiple amine terminal groups | [34] |
| 3 | Cyanuric chloride; tert-Octylamine | 1,4-butanediamine; diisopropyl ethylamine | Solvent: THF; 100 °C; 24 h | Cyanuric chloride; diisopropylethylamine | Solvent: THF; 0–25 °C; 24 h | Reaction with Jeffamine EDR-192 and diisopropyl ethylamine in CHCl3; purification by gel chromatography | [36] |
| 4 | Cyanuric chloride; tert-Octylamine; 1,4-butanediamine; diisopropyl ethylamine | 1,4-butanediamine; diisopropylethylamine | Solvent: THF; reflux; 24 h | Cyanuric chloride; diisopropylethylamine | Solvent: THF; 0–25 °C; overnight; reflux; overnight | Reaction with Jeffamine EDR-192 and diisopropyl ethylamine in CHCl3; purification by gel chromatography | [36] |
| 5 | N,N′-didodecyl ethylenediamine | Methyl acrylate (5 equiv per one amine group) | Solvent: methanol; 40 °C; 50 h; solvent and excess of reagent removal under reduced pressure | Formation of an amide bond via reaction of ester with ethylenedimine (15 equiv per one ester group) | Solvent: methanol; 40 °C; 140 h; solvent and excess of reagent removal by sequential azeotropic distillation | Final reaction with ethylenedimine (20 equiv per one ester group) to provide multiple amine terminal groups | [34] |
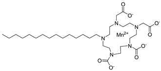
| No. | Surfactant Type | Structure | Synthetic Method | Mw [g/mol] | Cmc Value [mM] | Comments | Ref. |
|---|---|---|---|---|---|---|---|
| 1 | Gemini-type structure![]() | ![]() | Reaction of cationic bromide (N,N,N,N′,N′,N′-Tetra-methylditetradecylethylene ammonium dibromide) with FeCl3 (two equiv.) in methanol; overnight, room temperature | 995.181 | 0.106 | Product obtained via solvent evaporation and drying (overnight) under reduced pressure at 80 °C Product is paramagnetic at room temperature | [118] |
| 2 | ![]() | Reaction of cationic bromide (N,N,N,N′,N′,N′-Tetra-methylditetradecylethylene ammonium dibromide) with GdCl3 (two equiv.) in methanol; overnight, room temperature | 1197.99 | 0.146 | Product obtained via solvent evaporation and drying (overnight) under reduced pressure at 80 °C Product is paramagnetic at room temperature, weaker magnetic properties in comparison to Fe salt | [116] | |
| 3 | ![]() | Reaction of cationic bromide (N,N,N,N′,N′,N′-Tetra-methylditetradecylethylene ammonium dibromide) with CeCl3 (two equiv.) in methanol; overnight, room temperature | 1163.72 | 0.109 | Product obtained via solvent evaporation and drying (overnight) under reduced pressure at 80 °C Product is diamagnetic | [116] | |
| 4 | ![]() | Two step reaction: coupling of N,N-dimethyldodecylamine (two moles per one mole of epichlorohydrine) with epichlorohydrone (70 °C, 8 h); followed by reaction with iron (III) chloride hexahydrate (12 h) | 880.198 | - | Product exhibits tunable value of surface tension (magnetic field controlled) as well as phase-inversion ability (magnetic field susceptible) | [5,121] | |
| 5 | Dendronium-type structure | ![]() | Reaction of appropriate ligand with equimolar amount of metal halide in methanol (48 h, reflux) | 623.74 | - | Product obtained via filtration of residues, followed by solvent evaporation under reduced pressure; product exhibit tunable surface tension and wettability due to anti-Curie behavior | [122] |
| 6 | ![]() | Reaction of appropriate ligand with equimolar amount of metal halide in methanol (48 h, reflux) | 869.073 | - | The obtained surfactants form liquid crystal phase due to differences in packing parameters when compared to typical surfactants. | [123,124] | |
| 7 | Single-head–single-chain structure![]() | ![]() | Reaction of cationic bromide (dodecyltrimethyl ammonium bromide) with FeCl3 in methanol; overnight, reflux | 470.545 | 13.6 | - | [5,120] |
| 8 | ![]() | Reaction of cationic bromide (tetradecyldimethyl ammonium bromide) with FeCl3 in methanol; overnight, room temperature | 498.598 | 2.46 | Product obtained via solvent evaporation and drying (overnight) under reduced pressure at 80 °C | [118] | |
| 9 | Single-head–double-chain structure![]() | ![]() | Reaction of cationic bromide (didodecyldimethyl ammonium bromide) with FeCl3 in methanol; overnight, reflux | 624.838 | 0.06 | Extremely low CMC value | [5,120] |
Disclaimer/Publisher’s Note: The statements, opinions and data contained in all publications are solely those of the individual author(s) and contributor(s) and not of MDPI and/or the editor(s). MDPI and/or the editor(s) disclaim responsibility for any injury to people or property resulting from any ideas, methods, instructions or products referred to in the content. |
© 2023 by the authors. Licensee MDPI, Basel, Switzerland. This article is an open access article distributed under the terms and conditions of the Creative Commons Attribution (CC BY) license (https://creativecommons.org/licenses/by/4.0/).
Share and Cite
Lamch, Ł.; Szczęsna, W.; Balicki, S.J.; Bartman, M.; Szyk-Warszyńska, L.; Warszyński, P.; Wilk, K.A. Multiheaded Cationic Surfactants with Dedicated Functionalities: Design, Synthetic Strategies, Self-Assembly and Performance. Molecules 2023, 28, 5806. https://doi.org/10.3390/molecules28155806
Lamch Ł, Szczęsna W, Balicki SJ, Bartman M, Szyk-Warszyńska L, Warszyński P, Wilk KA. Multiheaded Cationic Surfactants with Dedicated Functionalities: Design, Synthetic Strategies, Self-Assembly and Performance. Molecules. 2023; 28(15):5806. https://doi.org/10.3390/molecules28155806
Chicago/Turabian StyleLamch, Łukasz, Weronika Szczęsna, Sebastian J. Balicki, Marcin Bartman, Liliana Szyk-Warszyńska, Piotr Warszyński, and Kazimiera A. Wilk. 2023. "Multiheaded Cationic Surfactants with Dedicated Functionalities: Design, Synthetic Strategies, Self-Assembly and Performance" Molecules 28, no. 15: 5806. https://doi.org/10.3390/molecules28155806
APA StyleLamch, Ł., Szczęsna, W., Balicki, S. J., Bartman, M., Szyk-Warszyńska, L., Warszyński, P., & Wilk, K. A. (2023). Multiheaded Cationic Surfactants with Dedicated Functionalities: Design, Synthetic Strategies, Self-Assembly and Performance. Molecules, 28(15), 5806. https://doi.org/10.3390/molecules28155806
















