A Sustainable Approach for the Valorization of Underutilized Date Fruits
Abstract
1. Introduction
2. Results and Discussion
2.1. Main Components of Date Pulp
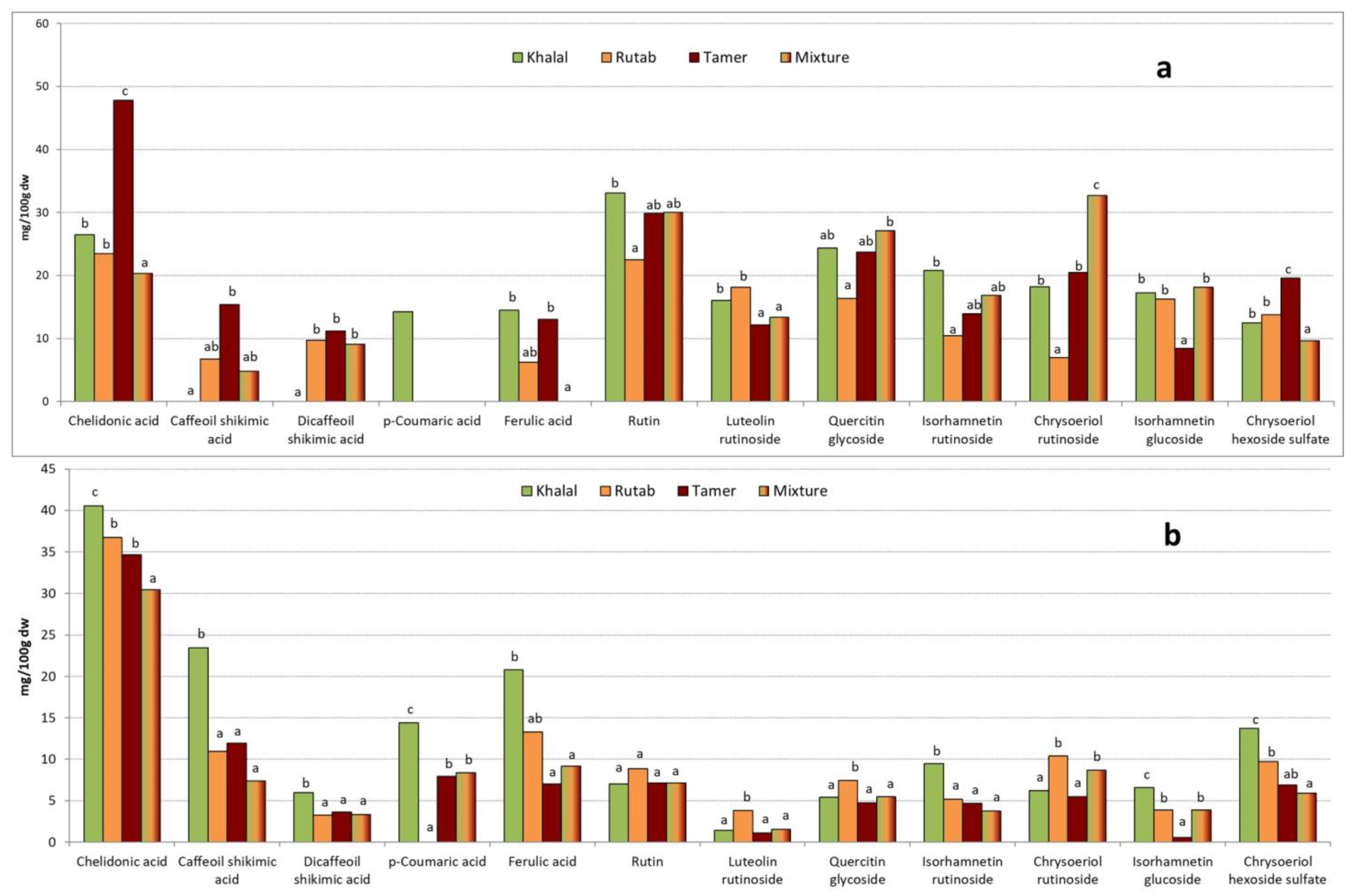
2.2. Composition and Antiradical Activity of Date Pulp Extracts
2.3. Purification of Extracts by Adsorption Chromatography
2.4. Antimicrobial Activity
2.4.1. Agar Diffusion Test
2.4.2. Minimum Bactericidal Concentration
2.5. Composition of Fibrous Residues
2.6. Phenolics and Antioxidant Activity of Fibrous Residues
3. Materials and Methods
3.1. Plant Material
3.2. Determination of Moisture and Total Sugars
3.3. Obtention and Fractionation of Date Pulp Extracts and Fibrous Residues
3.4. Analysis of the Phenolic Composition of Pulp Extracts by HPLC
3.5. Chemical Composition of Date Fibrous Residues
3.6. Phenolic Composition of Fibrous Residue
3.7. Antioxidant Activity
3.8. Antimicrobial Assay of Phenolic Extracts
3.8.1. Microorganisms and Growth Conditions
3.8.2. Preparation of Date-Based Extracts
3.8.3. Evaluation of Antimicrobial Activity by Diffusion Test Assay
3.8.4. Minimum Bactericidal Concentration
3.9. Statistical Analysis
4. Conclusions
Author Contributions
Funding
Institutional Review Board Statement
Informed Consent Statement
Data Availability Statement
Conflicts of Interest
References
- Fernández-López, J.; Viuda-Martos, M.; Sayas-Barberá, E.; Navarro-Rodríguez de Vera, C.; Pérez-Álvarez, J.Á. Biological, Nutritive, Functional and Healthy Potential of Date Palm Fruit (Phoenix dactylifera L.): Current Research and Future Prospects. Agronomy 2022, 12, 876. [Google Scholar] [CrossRef]
- Mrabet, A.; Hammadi, H.; Rodríguez-Gutiérrez, G.; Jiménez-Araujo, A.; Sindic, M. Date Palm Fruits as a Potential Source of Functional Dietary Fiber: A Review. Food Sci. Technol. Res. 2019, 25, 1–10. [Google Scholar] [CrossRef]
- Taleb, H.; Maddocks, S.E.; Morris, R.K.; Kanekanian, A.D. The Antibacterial Activity of Date Syrup Polyphenols against S. aureus and E. coli. Front. Microbiol. 2016, 7, 198. [Google Scholar] [CrossRef]
- Al-Shwyeh, H. Date Palm (Phoenix dactylifera L.) Fruit as Potential Antioxidant and Antimicrobial Agents. J. Pharm. Bioallied Sci. 2019, 11, 1. [Google Scholar] [CrossRef] [PubMed]
- Benmeziane-Derradji, F. Nutritional Value, Phytochemical Composition, and Biological Activities of Middle Eastern and North African Date Fruit: An Overview. Euro-Mediterr. J. Environ. Integr. 2019, 4, 39. [Google Scholar] [CrossRef]
- Ghnimi, S.; Al-Shibli, M.; Al-Yammahi, H.R.; Al-Dhaheri, A.; Al-Jaberi, F.; Jobe, B.; Kamal-Eldin, A. Reducing Sugars, Organic Acids, Size, Color, and Texture of 21 Emirati Date Fruit Varieties (Phoenix dactylifera, L.). NFS J. 2018, 12, 1–10. [Google Scholar] [CrossRef]
- Noutfia, Y.; Ropelewska, E. Comprehensive Characterization of Date Palm Fruit ‘Mejhoul’ (Phoenix dactylifera L.) Using Image Analysis and Quality Attribute Measurements. Agriculture 2022, 13, 74. [Google Scholar] [CrossRef]
- Ismail, H.B.; Hassine, D.B. Tunisian Date Cultivars: Economical Aspect, Physicochemical Properties, Sensory Characterization and Potential Valorization. In Agriculture Productivity in Tunisia Under Stressed Environment; Khebour Allouche, F., Abu-hashim, M., Negm, A.M., Eds.; Springer Water; Springer International Publishing: Cham, Switzerland, 2021; pp. 57–71. ISBN 978-3-030-74659-9. [Google Scholar]
- Souli, I.; Chaira, N.; Jemni, M.; Tlahig, S.; Ferchichi, A.; Lanoisellé, J.-L. Optimization and Intensification of Bioactive Components and Antioxidant Activity of Extracts from Date Fruit (Phoenix dactylifera L.) Using Pulsed Electric Fields (PEF) Technology and Thermal Processing. Processes 2023, 11, 884. [Google Scholar] [CrossRef]
- Echegaray, N.; Pateiro, M.; Gullón, B.; Amarowicz, R.; Misihairabgwi, J.M.; Lorenzo, J.M. Phoenix dactylifera Products in Human Health—A Review. Trends Food Sci. Technol. 2020, 105, 238–250. [Google Scholar] [CrossRef]
- Amira, E.A.; Behija, S.E.; Beligh, M.; Lamia, L.; Manel, I.; Mohamed, H.; Lotfi, A. Effects of the Ripening Stage on Phenolic Profile, Phytochemical Composition and Antioxidant Activity of Date Palm Fruit. J. Agric. Food Chem. 2012, 60, 10896–10902. [Google Scholar] [CrossRef]
- Amira, E.A.; Guido, F.; Behija, S.E.; Manel, I.; Nesrine, Z.; Ali, F.; Mohamed, H.; Noureddine, H.A.; Lotfi, A. Chemical and Aroma Volatile Compositions of Date Palm (Phoenix dactylifera L.) Fruits at Three Maturation Stages. Food Chem. 2011, 127, 1744–1754. [Google Scholar] [CrossRef]
- Lobo, M.G.; Yahia, E.M.; Kader, A.A. Biology and Postharvest Physiology of Date Fruit. In Dates; Siddiq, M., Aleid, S.M., Kader, A.A., Eds.; John Wiley & Sons Ltd: Chichester, UK, 2013; pp. 57–80. ISBN 978-1-118-29241-9. [Google Scholar]
- Al-Mssallem, M.Q.; Alqurashi, R.M.; Al-Khayri, J.M. Bioactive Compounds of Date Palm (Phoenix dactylifera L.). In Bioactive Compounds in Underutilized Fruits and Nuts; Murthy, H.N., Bapat, V.A., Eds.; Reference Series in Phytochemistry; Springer International Publishing: Cham, Switzerland, 2019; pp. 1–15. ISBN 978-3-030-06120-3. [Google Scholar]
- Eid, N.M.S.; Al-Awadi, B.; Vauzour, D.; Oruna-Concha, M.J.; Spencer, J.P.E. Effect of Cultivar Type and Ripening on the Polyphenol Content of Date Palm Fruit. J. Agric. Food Chem. 2013, 61, 2453–2460. [Google Scholar] [CrossRef] [PubMed]
- Al-Farsi, M.; Alasalvar, C.; Morris, A.; Baron, M.; Shahidi, F. Comparison of Antioxidant Activity, Anthocyanins, Carotenoids, and Phenolics of Three Native Fresh and Sun-Dried Date (Phoenix dactylifera L.) Varieties Grown in Oman. J. Agric. Food Chem. 2005, 53, 7592–7599. [Google Scholar] [CrossRef] [PubMed]
- Hadrami, A.E.; Daayf, F.; Hadrami, I.E. Secondary Metabolites of Date Palm. In Date Palm Biotechnology; Jain, S.M., Al-Khayri, J.M., Johnson, D.V., Eds.; Springer: Dordrecht, The Netherlands, 2011; pp. 653–674. ISBN 978-94-007-1317-8. [Google Scholar]
- Palmeral de Elche. Available online: https://elchesemueve.com/servicios/agenda-elche/patrimonios-humanidad/palmeral-de-elche (accessed on 18 April 2023).
- Centro Del Patrimonio Mundial. Available online: https://whc.unesco.org/es/list/930 (accessed on 18 April 2023).
- Martín-Sánchez, A.M.; Cherif, S.; Vilella-Esplá, J.; Ben-Abda, J.; Kuri, V.; Pérez-Álvarez, J.Á.; Sayas-Barberá, E. Characterization of Novel Intermediate Food Products from Spanish Date Palm (Phoenix dactylifera L., Cv. Confitera) Co-Products for Industrial Use. Food Chem. 2014, 154, 269–275. [Google Scholar] [CrossRef]
- Baliga, M.S.; Baliga, B.R.V.; Kandathil, S.M.; Bhat, H.P.; Vayalil, P.K. A Review of the Chemistry and Pharmacology of the Date Fruits (Phoenix dactylifera L.). Food Res. Int. 2011, 44, 1812–1822. [Google Scholar] [CrossRef]
- dine Tariq Bouhlali, E.; Ramchoun, M.; Alem, C.; Ghafoor, K.; Ennassir, J.; Zegzouti, Y.F. Functional Composition and Antioxidant Activities of Eight Moroccan Date Fruit Varieties (Phoenix dactylifera L.). J. Saudi Soc. Agric. Sci. 2017, 16, 257–264. [Google Scholar] [CrossRef]
- Hachani, S.; Hamia, C.; Boukhalkhal, S.; Silva, A.M.S.; Djeridane, A.; Yousfi, M. Morphological, Physico-Chemical Characteristics and Efects of Extraction Solvents on UHPLC-DAD-ESI-MSn Profiling of Phenolic Contents and Antioxidant Activities of Five Cultivars (Phoenix dactilifera L.) Growing in Algeria. NFS J. 2018, 13, 10–22. [Google Scholar] [CrossRef]
- Rastegar, S.; Rahemi, M.; Baghizadeh, A.; Gholami, M. Enzyme Activity and Biochemical Changes of Three Date Palm Cultivars with Different Softening Pattern during Ripening. Food Chem. 2012, 134, 1279–1286. [Google Scholar] [CrossRef]
- Borchani, C.; Besbes, S.; Blecker, C.; Masmoudi, M.; Baati, R.; Attia, H. Chemical Properties of 11 Date Cultivars and Their Corresponding Fiber Extracts. Afr. J. Biotechnol. 2010, 9, 4096–4105. [Google Scholar]
- Ghnimi, S.; Umer, S.; Karim, A.; Kamal-Eldin, A. Date Fruit (Phoenix dactylifera L.): An Underutilized Food Seeking Industrial Valorization. NFS J. 2017, 6, 1–10. [Google Scholar] [CrossRef]
- Kchaou, W.; Abbès, F.; Blecker, C.; Attia, H.; Besbes, S. Effects of Extraction Solvents on Phenolic Contents and Antioxidant Activities of Tunisian Date Varieties (Phoenix dactylifera L.). Ind. Crops Prod. 2013, 45, 262–269. [Google Scholar] [CrossRef]
- Biglari, F.; AlKarkhi, A.F.M.; Easa, A.M. Antioxidant Activity and Phenolic Content of Various Date Palm (Phoenix dactylifera) Fruits from Iran. Food Chem. 2008, 107, 1636–1641. [Google Scholar] [CrossRef]
- Khallouki, F.; Ricarte, I.; Breuer, A.; Owen, R.W. Characterization of Phenolic Compounds in Mature Moroccan Medjool Date Palm Fruits (Phoenix dactylifera) by HPLC-DAD-ESI-MS. J. Food Compos. Anal. 2018, 70, 63–71. [Google Scholar] [CrossRef]
- Alahyane, A.; Harrak, H.; Ayour, J.; Elateri, I.; Ait-Oubahou, A.; Benichou, M. Bioactive Compounds and Antioxidant Activity of Seventeen Moroccan Date Varieties and Clones (Phoenix dactylifera L.). S. Afr. J. Bot. 2019, 121, 402–409. [Google Scholar] [CrossRef]
- Mansouri, A.; Embarek, G.; Kokkalou, E.; Kefalas, P. Phenolic Profile and Antioxidant Activity of the Algerian Ripe Date Palm Fruit (Phoenix dactylifera). Food Chem. 2005, 89, 411–420. [Google Scholar] [CrossRef]
- Benmeddour, Z.; Mehinagic, E.; Meurlay, D.L.; Louaileche, H. Phenolic Composition and Antioxidant Capacities of Ten Algerian Date (Phoenix dactylifera L.) Cultivars: A Comparative Study. J. Funct. Foods 2013, 5, 346–354. [Google Scholar] [CrossRef]
- Vayalil, P.K. Date Fruits (Phoenix dactylifera Linn): An Emerging Medicinal Food. Crit. Rev. Food Sci. Nutr. 2012, 52, 249–271. [Google Scholar] [CrossRef]
- Kim, D.-S.; Kim, S.-J.; Kim, M.-C.; Jeon, Y.-D.; Um, J.; Hong, S.-H. The Therapeutic Effect of Chelidonic Acid on Ulcerative Colitis. Biol. Pharm. Bull. 2012, 35, 666–671. [Google Scholar] [CrossRef] [PubMed]
- Kim, S.-J.; Kim, D.-S.; Lee, S.-H.; Ahn, E.-M.; Kee, J.-Y.; Hong, S.-H. Chelidonic Acid Ameliorates Atopic Dermatitis Symptoms through Suppression the Inflammatory Mediators in in Vivo and in Vitro. Appl. Biol. Chem. 2023, 66, 12. [Google Scholar] [CrossRef]
- Singh, D.K.; Gulati, K.; Ray, A. Effects of Chelidonic Acid, a Secondary Plant Metabolite, on Mast Cell Degranulation and Adaptive Immunity in Rats. Int. Immunopharmacol. 2016, 40, 229–234. [Google Scholar] [CrossRef]
- Maddox, C.E.; Laur, L.M.; Tian, L. Antibacterial Activity of Phenolic Compounds Against the Phytopathogen Xylella fastidiosa. Curr. Microbiol. 2010, 60, 53–58. [Google Scholar] [CrossRef] [PubMed]
- Alves, M.J.; Ferreira, I.C.F.R.; Froufe, H.J.C.; Abreu, R.M.V.; Martins, A.; Pintado, M. Antimicrobial Activity of Phenolic Compounds Identified in Wild Mushrooms, SAR Analysis and Docking Studies. J. Appl. Microbiol. 2013, 115, 346–357. [Google Scholar] [CrossRef] [PubMed]
- Mainasara, M.; Sanusi, S.; Maishanu, H.; Ismail, T. Antibacterial Activity and Nutritional Content of Fresh and Dried Date Fruits (Phoenix dactylifera) L. Int. J. Sci. Healthc. Res. 2019, 2, 15. [Google Scholar]
- Perveen, K.; Bokahri, N.A. Comparative Analysis of Chemical, Mineral and in-Vitro Antibacterial Activity of Different Varieties of Date Fruits from Saudi Arabia. Saudi J. Biol. Sci. 2020, 27, 1886–1891. [Google Scholar] [CrossRef]
- Selim, S.; Abdel-Mawgoud, M.; Al-sharary, T.; Almuhayawi, M.S.; Alruhaili, M.H.; Al Jaouni, S.K.; Warrad, M.; Mohamed, H.S.; Akhtar, N.; AbdElgawad, H. Pits of Date Palm: Bioactive Composition, Antibacterial Activity and Antimutagenicity Potentials. Agronomy 2021, 12, 54. [Google Scholar] [CrossRef]
- Alshwyeh, H.A. Phenolic Profiling and Antibacterial Potential of Saudi Arabian Native Date Palm (Phoenix dactylifera) Cultivars. Int. J. Food Prop. 2020, 23, 627–638. [Google Scholar] [CrossRef]
- Breijyeh, Z.; Jubeh, B.; Karaman, R. Resistance of Gram-Negative Bacteria to Current Antibacterial Agents and Approaches to Resolve It. Molecules 2020, 25, 1340. [Google Scholar] [CrossRef]
- Negi, P.S.; Jayaprakasha, G.K. Antioxidant and Antibacterial Activities of Punica Granatum Peel Extracts. J. Food Sci. 2003, 68, 1473–1477. [Google Scholar] [CrossRef]
- Ahmad, I.; Beg, A.Z. Antimicrobial and Phytochemical Studies on 45 Indian Medicinal Plants against Multi-Drug Resistant Human Pathogens. J. Ethnopharmacol. 2001, 74, 113–123. [Google Scholar] [CrossRef]
- Farhana, M.I.N.; Nadia, M.Z.Z.; Natasha, A.; Shahida, W.S.W. Effect of Date Fruits (Phoenix dactylifera) on Human Pathogenic Bacteria: A Systematic Review. Adv. Sci. Lett. 2017, 23, 4676–4680. [Google Scholar] [CrossRef]
- ALrajhi, M.; AL-Rasheedi, M.; Eltom, S.E.M.; Alhazmi, Y.; Mustafa, M.M.; Ali, A.M. Antibacterial Activity of Date Palm Cake Extracts (Phoenix dactylifera). Cogent Food Agric. 2019, 5, 1625479. [Google Scholar] [CrossRef]
- Koohsari, H.; Ghaemi, E.A.; Sheshpoli, M.; Jahedi, M.; Zahiri, M. The Investigation of Antibacterial Activity of Selected Native Plants from North of Iran. J. Med. Life 2015, 8, 38–42. [Google Scholar]
- Sforcin, J.M. Biological Properties and Therapeutic Applications of Propolis: Properties and Applications of Propolis. Phytother. Res. 2016, 30, 894–905. [Google Scholar] [CrossRef] [PubMed]
- Veiga, R.S.; De Mendonça, S.; Mendes, P.B.; Paulino, N.; Mimica, M.J.; Lagareiro Netto, A.A.; Lira, I.S.; López, B.G.-C.; Negrão, V.; Marcucci, M.C. Artepillin C and Phenolic Compounds Responsible for Antimicrobial and Antioxidant Activity of Green Propolis and Baccharis dracunculifolia DC. J. Appl. Microbiol. 2017, 122, 911–920. [Google Scholar] [CrossRef]
- Parvekar, P.; Palaskar, J.; Metgud, S.; Maria, R.; Dutta, S. The minimum inhibitory concentration (MIC) and minimum bactericidal concentration (MBC) of silver nanoparticles against Staphylococcus aureus. Biomater. Investig. Dent. 2020, 7, 105–109. [Google Scholar] [CrossRef]
- Mrabet, A.; Rodríguez-Arcos, R.; Guillén-Bejarano, R.; Chaira, N.; Ferchichi, A.; Jiménez-Araujo, A. Dietary Fiber from Tunisian Common Date Cultivars (Phoenix dactylifera L.): Chemical Composition, Functional Properties, and Antioxidant Capacity. J. Agric. Food Chem. 2012, 60, 3658–3664. [Google Scholar] [CrossRef]
- Mrabet, A.; Rodríguez-Gutiérrez, G.; Guillén-Bejarano, R.; Rodríguez-Arcos, R.; Ferchichi, A.; Sindic, M.; Jiménez-Araujo, A. Valorization of Tunisian Secondary Date Varieties (Phoenix dactilyfera L.) by Hydrothermal Treatments: New Fiber Concentrates with Antioxidant Properties. LWT 2015, 60, 518–524. [Google Scholar] [CrossRef]
- Hamza, H.; Mrabet, A.; Jiménez-Araujo, A. Date Palm Parthenocarpic Fruits (Phoenix dactylifera L.) Cv. Deglet Nour: Chemical Characterization, Functional Properties and Antioxidant Capacity in Comparison with Seeded Fruits. Sci. Hortic. 2016, 211, 352–357. [Google Scholar] [CrossRef]
- Aljaloud, S.; Colleran, H.L.; Ibrahim, S.A. Nutritional Value of Date Fruits and Potential Use in Nutritional Bars for Athletes. Food Nutr. Sci. 2020, 11, 463–480. [Google Scholar] [CrossRef]
- Haris, S.; Alam, M.; Galiwango, E.; Mohamed, M.M.; Kamal-Eldin, A.; Al-Marzouqi, A.H. Characterization Analysis of Date Fruit Pomace: An Underutilized Waste Bioresource Rich in Dietary Fiber and Phenolic Antioxidants. Waste Manag. 2023, 163, 34–42. [Google Scholar] [CrossRef]
- Fuentes-Alventosa, J.M.; Rodríguez-Gutiérrez, G.; Jaramillo-Carmona, S.; Espejo-Calvo, J.A.; Rodríguez-Arcos, R.; Fernandez-Bolaños, J.; Guillén-Bejarano, R.; Jiménez-Araujo, A. Effect of Extraction Method on Chemical Composition and Functional Characteristics of High Dietary Fibre Powders Obtained from Asparagus By-Products. Food Chem. 2009, 113, 665–671. [Google Scholar] [CrossRef]
- Hussain, S.; Jõudu, I.; Bhat, R. Dietary Fiber from Underutilized Plant Resources—A Positive Approach for Valorization of Fruit and Vegetable Wastes. Sustainability 2020, 12, 5401. [Google Scholar] [CrossRef]
- Herrera-Rodríguez, S.E.; Pacheco, N.; Ayora-Talavera, T.; Pech-Cohuo, S.; Cuevas-Bernardino, J.C. Advances in the Green Extraction Methods and Pharmaceutical Applications of Bioactive Pectins from Unconventional Sources: A Review. In Studies in Natural Products Chemistry; Elsevier: Amsterdam, The Netherlands, 2022; Volume 73, pp. 221–264. ISBN 978-0-323-91097-2. [Google Scholar]
- Maxwell, E.G.; Belshaw, N.J.; Waldron, K.W.; Morris, V.J. Pectin—An Emerging New Bioactive Food Polysaccharide. Trends Food Sci. Technol. 2012, 24, 64–73. [Google Scholar] [CrossRef]
- Bermúdez-Oria, A.; Rodríguez-Gutiérrez, G.; Alaiz, M.; Vioque, J.; Girón-Calle, J.; Fernández-Bolaños, J. Pectin-Rich Extracts from Olives Inhibit Proliferation of Caco-2 and THP-1 Cells. Food Funct. 2019, 10, 4844–4853. [Google Scholar] [CrossRef]
- Bermúdez-Oria, A.; Rodríguez-Gutiérrez, G.; Rubio-Senent, F.; Sánchez-Carbayo, M.; Fernández-Bolaños, J. Antiproliferative Activity of Olive Extract Rich in Polyphenols and Modified Pectin on Bladder Cancer Cells. J. Med. Food 2020, 23, 719–727. [Google Scholar] [CrossRef]
- Rico, X.; Gullón, B.; Yáñez, R. Environmentally Friendly Hydrothermal Processing of Melon By-Products for the Recovery of Bioactive Pectic-Oligosaccharides. Foods 2020, 9, 1702. [Google Scholar] [CrossRef] [PubMed]
- Djaoud, K.; Muñoz-Almagro, N.; Benítez, V.; Martín-Cabrejas, M.Á.; Madani, K.; Boulekbache-Makhlouf, L.; Villamiel, M. New Valorization Approach of Algerian Dates (Phoenix dactylifera L.) by Ultrasound Pectin Extraction: Physicochemical, Techno-Functional, Antioxidant and Antidiabetic Properties. Int. J. Biol. Macromol. 2022, 212, 337–347. [Google Scholar] [CrossRef]
- Jana, U.K.; Kango, N.; Pletschke, B. Hemicellulose-Derived Oligosaccharides: Emerging Prebiotics in Disease Alleviation. Front. Nutr. 2021, 8, 670817. [Google Scholar] [CrossRef]
- Jagtap, S.; Deshmukh, R.A.; Menon, S.; Das, S. Xylooligosaccharides Production by Crude Microbial Enzymes from Agricultural Waste without Prior Treatment and Their Potential Applications as Nutraceuticals. Bioresour. Technol. 2017, 245, 283–288. [Google Scholar] [CrossRef]
- Pinales-Márquez, C.D.; Rodríguez-Jasso, R.M.; Araújo, R.G.; Loredo-Treviño, A.; Nabarlatz, D.; Gullón, B.; Ruiz, H.A. Circular Bioeconomy and Integrated Biorefinery in the Production of Xylooligosaccharides from Lignocellulosic Biomass: A Review. Ind. Crops Prod. 2021, 162, 113274. [Google Scholar] [CrossRef]
- Ataei, D.; Hamidi-Esfahani, Z.; Ahmadi-Gavlighi, H. Enzymatic Production of Xylooligosaccharide from Date (Phoenix dactylifera L.) Seed. Food Sci. Nutr. 2020, 8, 6699–6707. [Google Scholar] [CrossRef] [PubMed]
- Hilary, S.; Tomás-Barberán, F.A.; Martinez-Blazquez, J.A.; Kizhakkayil, J.; Souka, U.; Al-Hammadi, S.; Habib, H.; Ibrahim, W.; Platat, C. Polyphenol Characterisation of Phoenix dactylifera L. (Date) Seeds Using HPLC-Mass Spectrometry and Its Bioaccessibility Using Simulated in-Vitro Digestion/Caco-2 Culture Model. Food Chem. 2020, 311, 125969. [Google Scholar] [CrossRef] [PubMed]
- Habib, H.M.; Platat, C.; Meudec, E.; Cheynier, V.; Ibrahim, W.H. Polyphenolic Compounds in Date Fruit Seed (Phoenix dactylifera): Characterisation and Quantification by Using UPLC-DAD-ESI-MS: Polyphenolic Compounds in Dates. J. Sci. Food Agric. 2014, 94, 1084–1089. [Google Scholar] [CrossRef]
- Hong, Y.J.; Tomás-Barberán, F.A.; Kader, A.A.; Mitchell, A.E. The Flavonoid Glycosides and Procyanidin Composition of Deglet Noor Dates (Phoenix dactylifera). J. Agric. Food Chem. 2006, 54, 2405–2411. [Google Scholar] [CrossRef]
- Valli, V.; Gómez-Caravaca, A.M.; Di Nunzio, M.; Danesi, F.; Caboni, M.F.; Bordoni, A. Sugar Cane and Sugar Beet Molasses, Antioxidant-Rich Alternatives to Refined Sugar. J. Agric. Food Chem. 2012, 60, 12508–12515. [Google Scholar] [CrossRef] [PubMed]
- Stanojevic, S.P.; Barac, M.B.; Pesic, M.B.; Zilic, S.M.; Kresovic, M.M.; Vucelic-Radovic, B.V. Mineral Elements, Lipoxygenase Activity, and Antioxidant Capacity of Okara as a by-Product in Hydrothermal Processing of Soy Milk. J. Agric. Food Chem. 2014, 62, 9017–9023. [Google Scholar] [CrossRef]
- Marín, F.R.; Soler-Rivas, C.; Benavente-García, O.; Castillo, J.; Pérez-Álvarez, J.A. By-Products from Different Citrus Processes as a Source of Customized Functional Fibres. Food Chem. 2007, 100, 736–741. [Google Scholar] [CrossRef]
- Todo Palmera—Tu Tienda Online de Herramientas, Productos y Servicios Para Palmeras. Available online: https://www.todopalmera.com/# (accessed on 18 April 2023).
- Dische, Z. Color Reactions of Carbohydrates. In Methods in Carbohydrate Chemistry; Whistler, R.L., Wolfram, M.L., Eds.; Academic Press: New York, NY, USA, 1962; Volume 1, pp. 477–512. [Google Scholar]
- Hamdi, A.; Jaramillo-Carmona, S.; Beji, R.; Tej, R.; Zaoui, S.; Rodríguez-Arcos, R.; Jiménez-Araujo, A.; Kasri, M.; Lachaal, M.; Bouraoui, N.K.; et al. The Phytochemical and Bioactivity Profiles of Wild Asparagus albus L. Plant. Food Res. Int. 2017, 99, 720–729. [Google Scholar] [CrossRef]
- Blumenkrantz, N.; Asboe-Hansen, G. New Method for Quantitative Determination of Uronic Acids. Anal. Biochem. 1973, 54, 484–489. [Google Scholar] [CrossRef]
- Ahmed, A.R.; Labavitch, J.M. A Simplified Method for Accurate Determination of Cell Wall Uronide Content. J. Food Biochem. 1977, 1, 361–365. [Google Scholar] [CrossRef]
- de Ruiter, J.M.; Burns, C. Characterization of Trifluoroacetic Acid Hydrolyzed Subtropical Forage Grass Cell Walls. J. Agric. Food Chem. 1987, 35, 308–316. [Google Scholar] [CrossRef]
- Englyst, H.N.; Cumming, J.H. Simplified Method for the Measurement of Total Non-Starch Polysaccharides by Gas-Chromatography of Constituent Sugars as Alditol Acetates. Analyst 1984, 109, 937–942. [Google Scholar] [CrossRef]
- Jiménez, A.; Rodríguez, R.; Fernández-Caro, I.; Guillén, R.; Fernández-Bolaños, J.; Heredia, A. Olive Fruit Cell Wall: Degradation of Cellulosic and Hemicellulosic Polysaccharides during Ripening. J. Agric. Food Chem. 2001, 49, 2008–2013. [Google Scholar] [CrossRef]
- Lee, S.C.; Prosky, L.; De Vries, J.W. Determination of Total, Soluble and Insoluble Dietary Fiber in Food. Enzymatic, Gravimetric Method, MES-TRIS Buffer: Collaborative Study. J. Assoc. Anal. Chem. 1992, 75, 395–416. [Google Scholar]
- Jaramillo, S.; Rodríguez, R.; Jiménez, A.; Guillén, R.; Fernández-Bolaños, J.; Heredia, A. Effects of Storage Conditions on the Accumulation of Ferulic Acid Derivatives in White Asparagus Cell Walls. J. Sci. Food Agric. 2007, 87, 286–296. [Google Scholar] [CrossRef]
- Rodríguez, R.; Jaramillo, S.; Rodríguez, G.; Espejo, J.A.; Guillén, R.; Fernández-Bolaños, J.; Heredia, A.; Jiménez, A. Antioxidant Activity of Ethanolic Extracts from Several Asparagus Cultivars. J. Agric. Food Chem. 2005, 53, 5212–5217. [Google Scholar] [CrossRef] [PubMed]
- Serpen, A.; Capuano, E.; Fogliano, V.; Gökmen, V. A New Procedure to Measure the Antioxidant Activity of Insoluble Food Components. J. Agric. Food Chem. 2007, 55, 7676–7681. [Google Scholar] [CrossRef]
- Fuentes-Alventosa, J.M.; Jaramillo-Carmona, S.; Rodríguez-Gutiérrez, G.; Rodríguez-Arcos, R.; Fernández-Bolaños, J.; Guillén-Bejarano, R.; Espejo-Calvo, J.A.; Jiménez-Araujo, A. Effect of Extraction Method on Phytochemical Composition and Antioxidant Activity of High Dietary Fibre Powders Obtained from Asparagus By-Products. Food Chem. 2009, 116, 484–490. [Google Scholar] [CrossRef]
- Eucast: Disk Diffusion Methodology. Available online: https://www.eucast.org/ast_of_bacteria/disk_diffusion_methodology (accessed on 16 March 2023).
- Methods for Dilution Antimicrobial Susceptibility Tests for Bacteria That Grow Aerobically. Available online: www.clsi.org (accessed on 6 February 2023).




| Khalal | Rutab | Tamer | Mixture | |
|---|---|---|---|---|
| Ethanolic extract | ||||
| Total phenolics | 205.12 ± 1.39 c B | 154.42 ± 3.01 a B | 222.42 ± 3.36 d B | 182.41 ± 8.71 b B |
| % acids | 26.97 ± 1.65 b | 29.96 ± 2.05 b | 39.34 ± 1.13 c | 18.66 ± 5.01 a |
| % flavonoids | 73.03 ± 1.65 b | 70.04 ± 2.05 b | 60.66 ± 1.13 a | 81.34 ± 5.01 c |
| Antiradical activity | 6.24 ± 0.06 b A | 16.02 ± 0.42 c B | 1.29 ± 0.04 a B | 59.28 ± 3.41 d B |
| Aqueous extract | ||||
| Total phenolics | 162.80 ± 10.10 c A | 114.67 ± 3.88 b A | 96.23 ± 7.57 ab A | 85.90 ± 5.00 a A |
| % acids | 64.63 ± 0.75 bc | 55.95 ± 3.34 a | 67.69 ± 1.08 c | 58.86 ± 3.18 ab |
| % flavonoids | 35.37 ± 0.75 ab | 44.05 ± 3.34 c | 32.31 ± 1.08 a | 41.14 ± 3.18 bc |
| Antiradical activity | 6.21 ± 0.13 c A | 4.13 ± 0.14 b A | 0 a A | 10.53 ± 0.49 d A |
| Ethanolic Extracts | Khalal | Rutab | Tamer | Mixture | ||||||||
|---|---|---|---|---|---|---|---|---|---|---|---|---|
| Water | 40%EtOH | 80%EtOH | Water | 40%EtOH | 80%EtOH | Water | 40%EtOH | 80%EtOH | Water | 40%EtOH | 80%EtOH | |
| Chelidonic acid | 95.74 | 101.09 | 98.48 | 78.30 | 11.28 | |||||||
| Caffeoil shikimic acid | 74.52 | 44.18 | 99.91 | 24.01 | ||||||||
| Dicaffeoil shik. acid | 78.02 | 40.82 | 63.54 | 32.99 | 75.92 | |||||||
| Coumaric acid | 81.71 | |||||||||||
| Ferulic acid | 79.75 | 63.75 | 70.34 | 70.10 | ||||||||
| Rutin | 79.65 | 70.57 | 2.94 | 85.44 | 48.08 | 25.57 | ||||||
| Luteolin rutinoside | 86.50 | 70.18 | 0.86 | 86.42 | 7.58 | |||||||
| Quercitin glycoside | 86.53 | 74.30 | 5.59 | 62.53 | 12.68 | 35.82 | 53.88 | |||||
| Isorhamnetin rutinoside | 81.70 | 80.50 | 1.34 | 71.30 | 11.28 | 41.25 | 35.15 | |||||
| Chrysoeriol rutinoside | 70.62 | 83.79 | 6.47 | 88.39 | 5.52 | 43.76 | 20.27 | |||||
| Isorham. glucoside | 71.62 | 75.52 | 92.984 | 41.82 | 44.39 | |||||||
| Chrys. hexoside sulfate | 85.98 | 88.00 | 6.51 | 87.05 | 8.03 | 44.95 | 27.03 | |||||
| Total | 11.99 | 70.20 | - | 14.34 | 61.18 | 2.37 | 9.15 | 72.73 | 7.25 | 15.57 | 40.37 | 23.87 |
| Aqueous Extracts | Khalal | Rutab | Tamer | Mixture | ||||||||
| Water | 40%EtOH | 80%EtOH | Water | 40%EtOH | 80%EtOH | Water | 40%EtOH | 80%EtOH | Water | 40%EtOH | 80%EtOH | |
| Chelidonic acid | 101.87 | 5.58 | 95.39 | 1.41 | 107.88 | 87.97 | ||||||
| Caffeoil shikimic acid | 46.78 | 1.43 | 12.88 | 43.80 | ||||||||
| Dicaffeoil shik. acid | 35.18 | 4.88 | ||||||||||
| Coumaric acid | 63.65 | 33.93 | 51.27 | 33.86 | 45.12 | |||||||
| Ferulic acid | 63.45 | 35.48 | 41.22 | 5.35 | 42.22 | 41.43 | ||||||
| Rutin | 101.18 | 84.79 | 62.00 | 95.66 | 10.88 | |||||||
| Luteolin rutinoside | ||||||||||||
| Quercitin glycoside | 92.65 | 101.03 | 64.12 | 68.05 | 16.75 | |||||||
| Isorhamnetin rutinoside | 58.64 | 20.27 | 64.61 | 82.97 | 21.92 | |||||||
| Chrysoeriol rutinoside | 79.43 | 16.55 | 66.63 | 60.16 | 17.55 | |||||||
| Isorham. glucoside | 73.18 | 27.12 | 90.79 | 46.08 | 40.68 | |||||||
| Chrys. hexoside sulfate | 96.68 | 3.16 | 92.47 | 64.79 | 44.06 | |||||||
| Total | 40.76 | 43.6 | 3.75 | 35.39 | 39.10 | - | 50.24 | 30.15 | - | 28.63 | 34.34 | 8.80 |
| Concentration | B. licheniformis | B. subtilis | B. rugosus | S. aureus | S. epidermidis | |
|---|---|---|---|---|---|---|
| Khalal | 500 | 0.814 ± 0.167 | 0.568 ± 0.116 | 0.549 ± 0.082 | 1.008 ± 0.037 | 0.727 ± 0.064 |
| 250 | 0.572 ± 0.055 | 0.472 ± 0.152 | Nt | Na | Nt | |
| Rutab | 167 | 0.701 ± 0.076 | 0.534 ± 0.030 | Na | 0.792 ± 0.068 | Nt |
| 150 | Na | Na | Na | Na | Nt | |
| Tamer | 250 | 0.755 ± 0.080 | 0.702 ± 0.090 | Nt | 0.707 ± 0.090 | Nt |
| 100 | 0.515 ± 0.025 | 0.703 ± 0.090 | Nt | 0.531 ± 0.021 | Nt | |
| Mixture | 500 | 0.700 ± 0.102 | 0.684 ± 0.106 | 0.561 ± 0.041 | 0.985 ± 0.103 | 0.998 ± 0.185 |
| 250 | Na | Na | Na | Na | Na |
| Concentration | B. licheniformis | B. subtilis | B. rugosus | S. aureus | S. epidermidis | |
|---|---|---|---|---|---|---|
| Khalal | 500 | 0.727 ± 0.064 | 0.554 ± 0.195 | 0.336 ± 0.045 | Na | Nt |
| 250 | Na | Na | Na | Na | Nt | |
| Rutab | 500 | 1.104 ± 0.030 | 0.815 ± 0.144 | 0.597 ± 0.055 | Na | Nt |
| 250 | Na | Na | Na | Na | Nt | |
| Tamer | 250 | 0.724 ± 0.081 | 0.800 ± 0.153 | 0.706 ± 0.097 | Na | Na |
| 100 | 0.642 ± 0.020 | 0.417 ± 0.024 | 0.475 ± 0.065 | Na | Na | |
| Mixture | 250 | Na | Na | Na | Na | Nt |
| Solvent | B. licheniformis | S. aureus | |
|---|---|---|---|
| Khalal | Aqueous | 62.5 | 62.5 |
| Ethanolic | 62.5 | 125 | |
| Rutab | Aqueous | 31.3 | 62.5 |
| Ethanolic | 125 | 125 | |
| Tamer | Aqueous | 31.3 | 125 |
| Ethanolic | 62.5 | 62.5 | |
| Mixture | Aqueous | 125 | >250 |
| Ethanolic | >250 | >250 |
| Khalal | Rutab | Tamer | Mixture | |
|---|---|---|---|---|
| Fiber from ethanolic extraction | ||||
| Yield | 7.68 ± 0.24 a A | 7.70 ± 0.01 a A | 6.60 ± 8.01 a B | 8.01 ± 0.72 a A |
| Protein | 7.17 ± 0.04 a B | 7.37 ± 0.01 a B | 11.20 ± 0.14 c B | 7.80 ± 0.21 b B |
| Ash | 3.73 ± 0.29 a B | 3.62 ± 0.12 a B | 5.29 ± 0.21 b B | 3.92 ± 0.06 a B |
| Uronic acids | 13.12 ± 0.61 b A | 12.50 ± 1.23 b A | 9.59 ± 0.97 a B | 14.92 ± 1.65 c A |
| Cellulose | 23.33 ± 1.78 bc A | 24.91 ± 2.13 c B | 16.83 ± 1.30 a B | 20.87 ± 1.50 b B |
| Non-cellulosic sugars | 13.68 ± 0.60 ab A | 14.20 ± 1.20 ab A | 12.97 ± 0.62 a A | 16.17 ± 1.49 b A |
| Dietary fiber | 74.25 ± 1.03 b A | 74.94 ± 0.30 b A | 71.49 ± 1.72 a A | 75.81 ± 0.59 b A |
| Fiber from aqueous extraction | ||||
| Yield | 7.73 ± 0.19 b A | 7.65 ± 0.06 b A | 5.15 ± 0.29 a A | 8.30 ± 0.47 b A |
| Protein | 5.99 ± 0.00 b A | 5.77 ± 0.04 a A | 7.03 ± 0.01 d A | 6.26 ± 0.03 c A |
| Ash | 1.99 ± 0.04 b A | 0.93 ± 0.30 a A | 1.66 ± 0.02 b A | 1.64 ± 0.18 b A |
| Uronic acids | 15.94 ± 0.56 c B | 14.23 ± 1.18 b A | 5.56 ± 0.55 a A | 13.31 ± 0.93 b A |
| Cellulose | 21.25 ± 2.92 c A | 15.43 ± 1.11 b A | 12.31 ± 0.95 a A | 10.67 ± 0.74 a A |
| Non-cellulosic sugars | 14.76 ± 0.12 b A | 13.39 ± 1.25 a A | 14.32 ± 0.70 a A | 14.59 ± 0.03 b A |
| Dietary fiber | 79.25 ± 1.23 a B | 77.43 ± 1.16 a A | 76.84 ± 0.71 a A | 79.17 ± 1.69 a A |
| Khalal | Rutab | Tamer | Mixture | |
|---|---|---|---|---|
| Fiber from ethanolic extraction | ||||
| Soluble phenolics | 87.79 ± 2.67 a A | 103.89 ± 3.72 b A | 85.52 ± 0.32 a A | 109.89 ± 8.89 b A |
| Phenolic acids (%) | 20.07 ± 2.21 a | 19.10 ± 0.54 a | 33.10 ± 0.77 b | 21.04 ± 0.89 a |
| Flavonoids (%) | 79.92 ± 2.21 b | 80.90 ± 0.54 b | 66.90 ± 0.77 a | 78.96 ± 0.89 b |
| Polymeric phenolics | 3040.74 ± 32.71 d A | 2476.11 ± 29.55 c A | 1019.36 ± 5.03 a A | 2124.32 ± 2.51 b A |
| Epicatechin adduct (%) | 73.45 ± 0.00 d | 66.53 ± 1.05 c | 31.13 ± 0.70 a | 63.96 ± 0.70 b |
| Catechin (%) | 20.18 ± 0.32 a | 24.47 ± 0.92 b | 51.54 ± 0.48 d | 27.96 ± 0.36 c |
| Epicatechin (%) | 6.37 ± 0.32 a | 9.00 ± 0.14 c | 17.33 ± 0.22 d | 8.08 ± 0.34 b |
| Esterified phenolics | 39.52 ± 0.67 a A | 65.51 ± 3.50 d A | 56.21 ± 2.09 c B | 49.85 ± 3.48 b A |
| p-Coumaric acid (%) | 17.52 ± 0.63 | |||
| t-Ferulic acid (%) | 100 | 82.48 ± 0.62 | 100 | 100 |
| Total phenolics | 3168.05 ± 36.05 d A | 2645.51 ± 36.77 c A | 1161.09 ± 7.44 a A | 2284.06 ± 14.88 b A |
| Antiradical activity (mmolTE/Kg DW) | 32.77 ± 4.03 b | 35.67 ± 3.70 b | 21.81 ± 0.68 a | 46.22 ± 5.54 c |
| Fiber from aqueous extraction | ||||
| Soluble phenolics | 477.26 ± 18.85 b B | 343.87 ± 15.60 a B | 699.78 ± 30.08 d B | 597.90 ± 23.97 c B |
| Phenolic acids (%) | 1.47 ± 0.05 a | 4.84 ± 0.62 c | 6.82 ± 0.07 d | 3.86 ± 0.19 b |
| Flavonoids (%) | 98.51 ± 0.05 d | 95.15 ± 0.62 b | 93.17 ± 0.07 a | 96.14 ± 0.19 b |
| Polymeric phenolics | 3451.59 ± 228.26 b A | 3475.28 ± 171. 44 b B | 3067.11 ± 27.05 ab B | 2717.87 ± 74.54 a B |
| Epicatechin adduct (%) | 83.64 ± 0.46 b | 82.21 ± 0.14 b | 79.74 ± 1.41 a | 82.05 ± 0.59 b |
| Catechin (%) | 10.25 ± 0.29 a | 10.83 ± 0.39 a | 12.20 ± 0.69 b | 9.82 ± 0.44 a |
| Epicatechin (%) | 6.16 ± 0.75 a | 6.96 ± 0.54 ab | 8.06 ± 0.72 b | 8.13 ± 0.15 b |
| Esterified phenolics | 42.64 ± 0.05 a B | 46.53 ± 1.31 b A | 50.23 ± 1.77 c A | 46.52 ± 1.79 b A |
| t-Ferulic acid (%) | 100 | 100 | 100 | 100 |
| Total phenolics | 3971.59 ± 247.16 a B | 3865.68 ± 188.35 a B | 3817.12 ± 58.9 a B | 3362.29 ± 100.30 a B |
| Antiradical activity (mmolTE/Kg DW) | 142.57 ± 7.94 c | 113.90 ± 14.09 b | 62.15 ± 2.25 a | 75.52 ± 7.71 a |
| Model | r2 | p-Value | |
|---|---|---|---|
| Free phenolics | 76.34% | 0.0046 | |
| Polymerics | 71.30% | 0.0084 | |
| Esterified | 23.58% | 0.2225 | |
| Total | 78.77% | 0.0033 |
Disclaimer/Publisher’s Note: The statements, opinions and data contained in all publications are solely those of the individual author(s) and contributor(s) and not of MDPI and/or the editor(s). MDPI and/or the editor(s) disclaim responsibility for any injury to people or property resulting from any ideas, methods, instructions or products referred to in the content. |
© 2023 by the authors. Licensee MDPI, Basel, Switzerland. This article is an open access article distributed under the terms and conditions of the Creative Commons Attribution (CC BY) license (https://creativecommons.org/licenses/by/4.0/).
Share and Cite
Hamdi, A.; Viera-Alcaide, I.; Costa, S.; Lino-Neto, T.; Guillén-Bejarano, R.; Rodríguez-Arcos, R.; Jiménez-Araujo, A. A Sustainable Approach for the Valorization of Underutilized Date Fruits. Molecules 2023, 28, 5807. https://doi.org/10.3390/molecules28155807
Hamdi A, Viera-Alcaide I, Costa S, Lino-Neto T, Guillén-Bejarano R, Rodríguez-Arcos R, Jiménez-Araujo A. A Sustainable Approach for the Valorization of Underutilized Date Fruits. Molecules. 2023; 28(15):5807. https://doi.org/10.3390/molecules28155807
Chicago/Turabian StyleHamdi, Amel, Isabel Viera-Alcaide, Susana Costa, Teresa Lino-Neto, Rafael Guillén-Bejarano, Rocío Rodríguez-Arcos, and Ana Jiménez-Araujo. 2023. "A Sustainable Approach for the Valorization of Underutilized Date Fruits" Molecules 28, no. 15: 5807. https://doi.org/10.3390/molecules28155807
APA StyleHamdi, A., Viera-Alcaide, I., Costa, S., Lino-Neto, T., Guillén-Bejarano, R., Rodríguez-Arcos, R., & Jiménez-Araujo, A. (2023). A Sustainable Approach for the Valorization of Underutilized Date Fruits. Molecules, 28(15), 5807. https://doi.org/10.3390/molecules28155807

