Unveiling the Structural Characteristics and Bioactivities of the Polysaccharides Extracted from Endophytic Penicillium sp.
Abstract
1. Introduction
2. Results and Discussion
2.1. Culture Medium Composition and IPS Production
2.2. Extraction, Yield, Fractionation, and Chemical Composition of IPS
2.3. Monosaccharide Composition Assessment
2.4. FT-IR Analysis
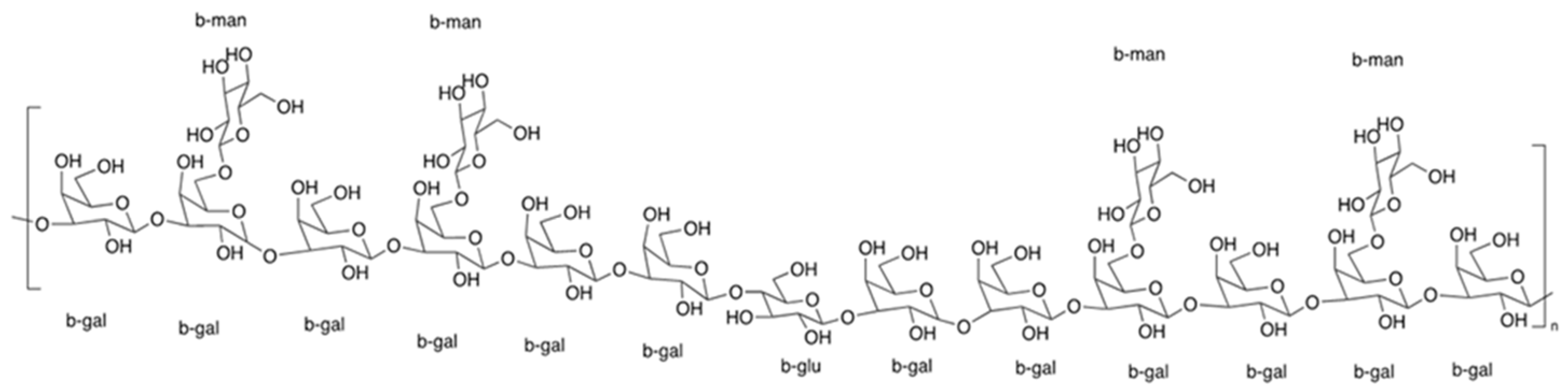
2.5. NMR Analysis
2.6. Antioxidant Activities
2.6.1. ABTS Radicals Scavenging Activity
2.6.2. DPPH Radicals Scavenging Activity
2.6.3. Ferric-Reducing Antioxidant Power
2.7. Cell Viability Analysis
2.7.1. Cell Viability Analysis in HEK-293 and NIH3T3 Cells
2.7.2. AO/EB Staining Analysis
2.7.3. Cytotoxicity Analysis in PC-3 Cells
2.7.4. Fluorescent Staining Analysis
2.7.5. Flow Cytometry Analysis
3. Materials and Methods
3.1. Chemicals and Consumables
3.2. Fungal Culture Condition and Extraction of Crude IPS
3.3. Purification and Separation of IPS
3.4. Chemical Composition Analysis
3.5. Monosaccharide Composition Analysis
3.6. FT-IR and NMR Spectroscopic Analysis
3.7. Antioxidant Activity Analysis
3.7.1. ABTS Radical Scavenging Assay
3.7.2. DPPH Radical Scavenging Assay
3.7.3. Ferric Reducing Power Assay
3.8. Cell Viability Analysis
3.8.1. Cellular Staining Assay
3.8.2. Flow Cytometry Analysis
3.9. Statistical Analysis
4. Conclusions
Supplementary Materials
Author Contributions
Funding
Institutional Review Board Statement
Informed Consent Statement
Data Availability Statement
Conflicts of Interest
References
- Sung, H.; Ferlay, J.; Siegel, R.L.; Laversanne, M.; Soerjomataram, I.; Jemal, A.; Bray, F. Global cancer statistics 2020: GLOBOCAN estimates of incidence and mortality worldwide for 36 cancers in 185 countries. CA Cancer J. Clin. 2021, 71, 209–249. [Google Scholar] [CrossRef]
- Shiota, M. Chapter 2—Oxidative stress and prostate cancer. In Cancer, 2nd ed.; Preedy, V.R., Patel, V.B., Eds.; Academic Press: San Diego, CA, USA, 2021; pp. 15–26. [Google Scholar]
- Boettcher, A.N.; Usman, A.; Morgans, A.; VanderWeele, D.J.; Sosman, J.; Wu, J.D. Past, current, and future of immunotherapies for prostate cancer. Front. Oncol. 2019, 9, 884. [Google Scholar] [CrossRef]
- Tan, B.L.; Norhaizan, M.E. Oxidative stress, diet and prostate cancer. World J. Men’s Health 2021, 39, 195. [Google Scholar] [CrossRef] [PubMed]
- Vance, T.M.; Su, J.; Fontham, E.T.H.; Koo, S.I.; Chun, O.K. Dietary antioxidants and prostate cancer: A review. Nutr. Cancer 2013, 65, 793–801. [Google Scholar] [CrossRef] [PubMed]
- Marino, P.; Pepe, G.; Basilicata, M.G.; Vestuto, V.; Marzocco, S.; Autore, G.; Procino, A.; Gomez-Monterrey, I.M.; Manfra, M.; Campiglia, P. Potential Role of Natural Antioxidant Products in Oncological Diseases. Antioxidants 2023, 12, 704. [Google Scholar] [CrossRef] [PubMed]
- Bai, L.; Xu, D.; Zhou, Y.-M.; Zhang, Y.-B.; Zhang, H.; Chen, Y.-B.; Cui, Y.-L. Antioxidant Activities of Natural Polysaccharides and Their Derivatives for Biomedical and Medicinal Applications. Antioxidants 2022, 11, 2491. [Google Scholar] [CrossRef] [PubMed]
- Guo, R.; Chen, M.; Ding, Y.; Yang, P.; Wang, M.; Zhang, H.; He, Y.; Ma, H. Polysaccharides as potential anti-tumor biomacromolecules—A review. Front. Nutr. 2022, 9, 838179. [Google Scholar] [CrossRef] [PubMed]
- Technology, S. Global Polysaccharides Market Insights. Available online: https://www.skyquestt.com/report/polysaccharides-market (accessed on 30 May 2023).
- Shi, L. Bioactivities, isolation and purification methods of polysaccharides from natural products: A review. Int. J. Biol. Macromol. 2016, 92, 37–48. [Google Scholar] [CrossRef]
- Fu, J.; Zhang, S.; Wu, J.; Chen, Y.; Zhong, Y.; Zhou, Y.; Wang, J.; Chen, S. Structural characterization of a polysaccharide from dry mycelium of Penicillium chrysogenum that induces resistance to Tobacco mosaic virus in tobacco plants. Int. J. Biol. Macromol. 2020, 156, 67–79. [Google Scholar] [CrossRef]
- Wang, J.; Hu, S.; Nie, S.; Yu, Q.; Xie, M. Reviews on mechanisms of in vitro antioxidant activity of polysaccharides. Oxidative Med. Cell. Longev. 2016, 2016, 5692852. [Google Scholar] [CrossRef]
- Do, T.T.H.; Lai, T.N.B.; Stephenson, S.L.; Tran, H. Cytotoxicity activities and chemical characteristics of exopolysaccharides and intracellular polysaccharides of Physarum polycephalum microplasmodia. BMC Biotechnol. 2021, 21, 1–15. [Google Scholar] [CrossRef] [PubMed]
- Lu, Y.; Xu, L.; Cong, Y.; Song, G.; Han, J.; Wang, G.; Zhang, P.; Chen, K. Structural characteristics and anticancer/antioxidant activities of a novel polysaccharide from Trichoderma kanganensis. Carbohydr. Polym. 2019, 205, 63–71. [Google Scholar] [CrossRef] [PubMed]
- Kuang, H.; Jiao, Y.; Wang, W.; Wang, F.; Chen, Q. Characterization and antioxidant activities of intracellular polysaccharides from Agaricus bitorquis (QuéL.) Sacc. Chaidam ZJU-CDMA-12. Int. J. Biol. Macromol. 2020, 156, 1112–1125. [Google Scholar] [CrossRef] [PubMed]
- Saravanakumar, K.; Park, S.; Sathiyaseelan, A.; Mariadoss, A.V.A.; Park, S.; Kim, S.-J.; Wang, M.-H. Isolation of polysaccharides from Trichoderma harzianum with antioxidant, anticancer, and enzyme inhibition properties. Antioxidants 2021, 10, 1372. [Google Scholar] [CrossRef]
- Wang, W.; Tan, J.; Nima, L.; Sang, Y.; Cai, X.; Xue, H. Polysaccharides from fungi: A review on their extraction, purification, structural features, and biological activities. Food Chem. X 2022, 15, 100414. [Google Scholar] [CrossRef]
- Wang, N.; Shan, Z.; Jia, X.; Wang, Y.; Song, S.; Xiao, D.; Wang, C.; Guo, Q. Galf-containing polysaccharides from medicinal molds: Sources, structures and bioactive properties. Trends Food Sci. Technol. 2022, 131, 244–263. [Google Scholar] [CrossRef]
- Yang, W.-W.; Wang, L.-M.; Gong, L.-L.; Lu, Y.-M.; Pan, W.-J.; Wang, Y.; Zhang, W.-N.; Chen, Y. Structural characterization and antioxidant activities of a novel polysaccharide fraction from the fruiting bodies of Craterellus cornucopioides. Int. J. Biol. Macromol. 2018, 117, 473–482. [Google Scholar] [CrossRef]
- Wang, Y.; Li, Y.; Li, S.; Li, Q.; Fan, W.; Kiatoukosin, L.; Chen, J. Extracellular polysaccharides of endophytic fungus Alternaria tenuissima F1 from Angelica sinensis: Production conditions, purification, and antioxidant properties. Int. J. Biol. Macromol. 2019, 133, 172–183. [Google Scholar] [CrossRef]
- Gow, N.A.R.; Latge, J.-P.; Munro, C.A. The fungal cell wall: Structure, biosynthesis, and function. Microbiol. Spectr. 2017, 5, 10–128. [Google Scholar] [CrossRef]
- Naveen, K.V.; Saravanakumar, K.; Sathiyaseelan, A.; Wang, M.-H. Preparation, characterization, and synergistic antibacterial activity of mycosynthesized, PEGylated CuO nanoparticles combined tetracycline hydrochloride. J. Drug Deliv. Sci. Technol. 2022, 76, 103826. [Google Scholar] [CrossRef]
- Naveen, K.V.; Saravanakumar, K.; Sathiyaseelan, A.; Wang, M.-H. Comparative Analysis of the Antioxidant, Antidiabetic, Antibacterial, Cytoprotective Potential and Metabolite Profile of Two Endophytic Penicillium spp. Antioxidants 2023, 12, 248. [Google Scholar] [CrossRef] [PubMed]
- Zhang, S.; Qiao, Z.; Zhao, Z.; Guo, J.; Lu, K.; Mayo, K.H.; Zhou, Y. Comparative study on the structures of intra-and extra-cellular polysaccharides from Penicillium oxalicum and their inhibitory effects on galectins. Int. J. Biol. Macromol. 2021, 181, 793–800. [Google Scholar] [CrossRef] [PubMed]
- Zhang, S.; Lin, Z.; Wang, D.; Xu, X.; Song, C.; Sun, L.; Mayo, K.H.; Zhao, Z.; Zhou, Y. Galactofuranose side chains in galactomannans from Penicillium spp. modulate galectin-8-mediated bioactivity. Carbohydr. Polym. 2022, 292, 119677. [Google Scholar] [CrossRef] [PubMed]
- Toghueo, R.M.K.; Boyom, F.F. Endophytic Penicillium species and their agricultural, biotechnological, and pharmaceutical applications. 3 Biotech 2020, 10, 107. [Google Scholar] [CrossRef]
- Zeng, Y.-J.; Yang, H.-R.; Ou, X.-Y.; Su, H.-H.; Zong, M.-H.; Yang, J.-G.; Lou, W.-Y. Fungal polysaccharide similar with host Dendrobium officinale polysaccharide: Preparation, structure characteristics and biological activities. Int. J. Biol. Macromol. 2019, 141, 460–470. [Google Scholar] [CrossRef]
- Naveen, K.V.; Park, S.; Saravanakumar, K.; Sathiyaseelan, A.; Wang, M.-H. Ultraperformance liquid chromatography-based metabolite profiling and cytotoxic activity of the ethyl acetate extract of two endophytic Penicillium sp. Process Biochem. 2023, 130, 366–378. [Google Scholar] [CrossRef]
- Feng, J.; Feng, N.; Tang, Q.-J.; Liu, Y.-F.; Yang, Y.; Liu, F.; Zhang, J.-S.; Lin, C.-C. Optimization of Ganoderma lucidum polysaccharides fermentation process for large-scale production. Appl. Biochem. Biotechnol. 2019, 189, 972–986. [Google Scholar] [CrossRef]
- Beever, R.E.; Bollard, E.G. The nature of the stimulation of fungal growth by potato extract. Microbiology 1970, 60, 273–279. [Google Scholar] [CrossRef]
- Cao, H.; Ma, S.; Guo, H.; Cui, X.; Wang, S.; Zhong, X.; Wu, Y.; Zheng, W.; Wang, H.; Yu, J. Comparative study on the monosaccharide compositions, antioxidant and hypoglycemic activities in vitro of intracellular and extracellular polysaccharides of liquid fermented Coprinus comatus. Int. J. Biol. Macromol. 2019, 139, 543–549. [Google Scholar] [CrossRef]
- Yang, X.; Zhao, Y.; Wang, Q.; Wang, H.; Mei, Q. Analysis of the monosaccharide components in Angelica polysaccharides by high performance liquid chromatography. Anal. Sci. 2005, 21, 1177–1180. [Google Scholar] [CrossRef]
- Li, S.-C.; Yang, X.-M.; Ma, H.-L.; Yan, J.-K.; Guo, D.-Z. Purification, characterization and antitumor activity of polysaccharides extracted from Phellinus igniarius mycelia. Carbohydr. Polym. 2015, 133, 24–30. [Google Scholar] [CrossRef]
- Hao, L.; Sheng, Z.; Lu, J.; Tao, R.; Jia, S. Characterization and antioxidant activities of extracellular and intracellular polysaccharides from Fomitopsis Pinicola. Carbohydr. Polym. 2016, 141, 54–59. [Google Scholar] [CrossRef] [PubMed]
- Ma, Y.; He, H.; Wu, J.; Wang, C.; Chao, K.; Huang, Q. Assessment of polysaccharides from mycelia of genus Ganoderma by mid-infrared and near-infrared spectroscopy. Sci. Rep. 2018, 8, 1–10. [Google Scholar]
- Du, B.; Meenu, M.; Liu, H.; Xu, B. A concise review on the molecular structure and function relationship of β-glucan. Int. J. Mol. Sci. 2019, 20, 4032. [Google Scholar] [CrossRef]
- Lü, J.M.; Lin, P.H.; Yao, Q.; Chen, C. Chemical and molecular mechanisms of antioxidants: Experimental approaches and model systems. J. Cell. Mol. Med. 2010, 14, 840–860. [Google Scholar] [CrossRef]
- Re, R.; Pellegrini, N.; Proteggente, A.; Pannala, A.; Yang, M.; Rice-Evans, C. Antioxidant activity applying an improved ABTS radical cation decolorization assay. Free Radic. Biol. Med. 1999, 26, 1231–1237. [Google Scholar] [CrossRef]
- Sharma, O.P.; Bhat, T.K. DPPH antioxidant assay revisited. Food Chem. 2009, 113, 1202–1205. [Google Scholar] [CrossRef]
- Duan, G.-L.; Yu, X.-b. Isolation, purification, characterization, and antioxidant activity of low-molecular-weight polysaccharides from Sparassis Latifolia. Int. J. Biol. Macromol. 2019, 137, 1112–1120. [Google Scholar] [CrossRef] [PubMed]
- Sun, H.-H.; Mao, W.-J.; Chen, Y.; Guo, S.-D.; Li, H.-Y.; Qi, X.-H.; Chen, Y.-L.; Xu, J. Isolation, chemical characteristics and antioxidant properties of the polysaccharides from marine fungus Penicillium sp. F23-2. Carbohydr. Polym. 2009, 78, 117–124. [Google Scholar] [CrossRef]
- Huang, S.-q.; Ding, S.; Fan, L. Antioxidant activities of five polysaccharides from Inonotus Obliq. Int. J. Biol. Macromol. 2012, 50, 1183–1187. [Google Scholar] [CrossRef]
- Kruk, J.; Pancerz, M.; Ptaszek, A. Osmotic Properties of Polysaccharides Solutions. In Solubility of Polysaccharides; Zhenbo, X., Ed.; IntechOpen: Rijeka, Croatia, 2017; p. Ch. 3. [Google Scholar]
- Hu, X.; Saravanakumar, K.; Park, S.; Han, K.-s.; Wang, M.-H. Isolation, Characterization, Antioxidant, and Wound Healing Activities of Extracellular Polysaccharide from Endophytic Fungus Talaromyces Purpureogenus. Appl. Biochem. Biotechnol. 2022, 195, 3822–3839. [Google Scholar] [CrossRef] [PubMed]
- Wang, G.; Liu, C.; Liu, J.; Liu, B.; Li, P.; Qin, G.; Xu, Y.; Chen, K.; Liu, H.; Chen, K. Exopolysaccharide from Trichoderma pseudokoningii induces the apoptosis of MCF-7 cells through an intrinsic mitochondrial pathway. Carbohydr. Polym. 2016, 136, 1065–1073. [Google Scholar] [CrossRef] [PubMed]
- Cui, H.; Wu, S.; Sun, Y.; Wang, T.; Li, Z.; Chen, M.; Wang, C. Polysaccharide from Pleurotus nebrodensis induces apoptosis via a mitochondrial pathway in HepG2 cells. Food Funct. 2016, 7, 455–463. [Google Scholar] [CrossRef]
- Sathiyaseelan, A.; Saravanakumar, K.; Mariadoss, A.V.A.; Wang, M.-H. pH-controlled nucleolin targeted release of dual drug from chitosan-gold based aptamer functionalized nano drug delivery system for improved glioblastoma treatment. Carbohydr. Polym. 2021, 262, 117907. [Google Scholar] [CrossRef]
- Li, H.; Xie, W.; Sun, H.; Cao, K.; Yang, X. Effect of the structural characterization of the fungal polysaccharides on their immunomodulatory activity. Int. J. Biol. Macromol. 2020, 164, 3603–3610. [Google Scholar] [CrossRef] [PubMed]
- Park, S.; Saravanakumar, K.; Sathiyaseelan, A.; Park, S.; Hu, X.; Wang, M.-H. Cellular antioxidant properties of nontoxic exopolysaccharide extracted from Lactobacillales (Weissella cibaria) isolated from Korean kimchi. LWT 2022, 154, 112727. [Google Scholar] [CrossRef]
- DuBois, M.; Gilles, K.A.; Hamilton, J.K.; Rebers, P.A.; Smith, F. Colorimetric Method for Determination of Sugars and Related Substances. Anal. Chem. 1956, 28, 350–356. [Google Scholar] [CrossRef]
- Sathiyaseelan, A.; Park, S.; Saravanakumar, K.; Mariadoss, A.V.A.; Wang, M.-H. Evaluation of phytochemicals, antioxidants, and antidiabetic efficacy of various solvent fractions of Gynura procumbens (Lour.) Merr. Process Biochem. 2021, 111, 51–62. [Google Scholar] [CrossRef]
- Bradford, M.M. A rapid and sensitive method for the quantitation of microgram quantities of protein utilizing the principle of protein-dye binding. Anal. Biochem. 1976, 72, 248–254. [Google Scholar] [CrossRef]
- Sathiyaseelan, A.; Saravanakumar, K.; Mariadoss, A.V.A.; Wang, M.-H. Biocompatible fungal chitosan encapsulated phytogenic silver nanoparticles enhanced antidiabetic, antioxidant and antibacterial activity. Int. J. Biol. Macromol. 2020, 153, 63–71. [Google Scholar] [CrossRef]
- Saravanakumar, K.; Mariadoss, A.V.A.; Sathiyaseelan, A.; Wang, M.-H. Synthesis and characterization of nano-chitosan capped gold nanoparticles with multifunctional bioactive properties. Int. J. Biol. Macromol. 2020, 165, 747–757. [Google Scholar] [CrossRef] [PubMed]









| Source | IPS-1 | IPS-2 |
|---|---|---|
| Crude weight of IPS (g) | 6.37 | |
| Yield (%) | 28.42 b | 19.38 a |
| Total phenol (mg of GAE/g) | 0.25 ± 0.05 b | 0.11 ± 0.02 a |
| Total flavonoid (mg of QE/g) | - | - |
| Protein (%) | - | - |
| Nucleic acid (%) | - | - |
| Monosaccharide composition (%) | ||
| Mannose | 2.99 | 24.84 |
| Xylose | 3.61 | - |
| Glucose | 55.28 | 4.44 |
| Galactose | 38.10 | 70.71 |
| Ribose | - | - |
| Arabinose | - | - |
| Type of Polysaccharide (Main Fraction) | Source | Monosaccharide Composition | Tested Bioactivities (IC50) | Ref. |
|---|---|---|---|---|
| EPS (FP) | Endophytic Fusarium solani | Glc, Gal, and Man/MR; 2.1:3.4:3.9 | ABTS radical scavenging (>4000 μg/mL); ORAC capacity (ND); cell viability [HEK-293 cells (>500 μg/mL), RAW-264.7 cells (>500 μg/mL)] | [27] |
| IPS (PCPS) | Penicillium chrysogenum | Man (59.9%), Gal (34.3%), Glc (3.4%), and rhamnolipid (2.4%) | ND | [11] |
| EPS (PS2-1) | Penicillium sp. | Glc, Gal, and Man/MR; 11.8:7.1:22.2 | Radical scavenging [DPPH (>2500 μg/mL), hydroxyl (360 μg/mL), and superoxide (180 μg/mL)]; lipid peroxidation inhibition (>1300 μg/mL) | [41] |
| EPS (EPS) and IPS (IPS) | Penicillium oxalicum | EPS; Man, Gal, Glc/MR; 73.9:24.3:1.8, IPS; Man, Gal, Glc/MR; 59.1:38.9:2.0 | ND | [24] |
| EPS (EPS) | Endophytic Alternaria tenuissima | Man, Gal, Glc, rhamnose, and galacturonic acid/MR; 3.25:0.95:1.0:3.02:0.45 | Radical scavenging [hydroxyl (ND) and superoxide anion (ND)]; reducing power (ND) | [20] |
| IPS (TPS) | Trichoderma kanganensis | Man (45.5%), Gal (39%), Glc (10%), and glucuronic acid (5.5%) | H2O2 scavenging activity (ND); Cell viability [LO2 cells (>800 μg/mL), CT26 cells (ND)] | [14] |
| EPS (TP1A) | Trichoderma sp. | Man (18.5%), Gal (31.5%), and Glc (50.0%). | ND | [48] |
| IPS (IPS-2) | Endophytic Penicillium radiatolobatum | Man (24.84%), Glc (4.44%), and Gal (70.71%) | Radical scavenging [DPPH (272 ± 4.0 μg/mL) and ABTS (108 ± 2.5 μg/mL)]; ferric reducing power (760 ± 5.0 μg/mL); Cell viability [HEK-293 cells (>1000 μg/mL), NIH3T3 cells (>1000 μg/mL), PC-3 cells (435 ± 3.0 μg/mL)] | Present study |
Disclaimer/Publisher’s Note: The statements, opinions and data contained in all publications are solely those of the individual author(s) and contributor(s) and not of MDPI and/or the editor(s). MDPI and/or the editor(s) disclaim responsibility for any injury to people or property resulting from any ideas, methods, instructions or products referred to in the content. |
© 2023 by the authors. Licensee MDPI, Basel, Switzerland. This article is an open access article distributed under the terms and conditions of the Creative Commons Attribution (CC BY) license (https://creativecommons.org/licenses/by/4.0/).
Share and Cite
Naveen, K.V.; Sathiyaseelan, A.; Mandal, S.; Han, K.; Wang, M.-H. Unveiling the Structural Characteristics and Bioactivities of the Polysaccharides Extracted from Endophytic Penicillium sp. Molecules 2023, 28, 5788. https://doi.org/10.3390/molecules28155788
Naveen KV, Sathiyaseelan A, Mandal S, Han K, Wang M-H. Unveiling the Structural Characteristics and Bioactivities of the Polysaccharides Extracted from Endophytic Penicillium sp. Molecules. 2023; 28(15):5788. https://doi.org/10.3390/molecules28155788
Chicago/Turabian StyleNaveen, Kumar Vishven, Anbazhagan Sathiyaseelan, Sumana Mandal, Kiseok Han, and Myeong-Hyeon Wang. 2023. "Unveiling the Structural Characteristics and Bioactivities of the Polysaccharides Extracted from Endophytic Penicillium sp." Molecules 28, no. 15: 5788. https://doi.org/10.3390/molecules28155788
APA StyleNaveen, K. V., Sathiyaseelan, A., Mandal, S., Han, K., & Wang, M.-H. (2023). Unveiling the Structural Characteristics and Bioactivities of the Polysaccharides Extracted from Endophytic Penicillium sp. Molecules, 28(15), 5788. https://doi.org/10.3390/molecules28155788

