Experimental and Theoretical Biological Probing of Schiff Bases as Esterase Inhibitors: Structural, Spectral and Molecular Insights
Abstract
1. Introduction
2. Results and Discussion
2.1. Spectroscopic Studies of the Synthesized Compounds (1–2)
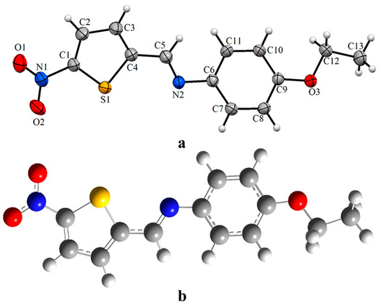
2.2. XRD Analysis of the Synthesized Compounds (1–2)
2.3. Computational Studies
2.3.1. Frontier Molecular Orbitals
2.3.2. Natural Bond Orbitals
2.3.3. Density of State
2.3.4. Global Reactivity Parameters
2.4. Hirshfeld Surface Analysis
2.5. In Vitro and In Silico Enzyme Inhibition
3. Materials and Methods
3.1. Chemicals and Instruments
3.2. Synthesis of (Z)-4-Ethoxy-N-((5-nitrothiophen-2-yl)methylene)benzenamine (1) and (Z)-2,4-Diiodo-6-((2-methyl-3-nitrophenylimino)methyl)phenol (2)
3.3. Crystal Structure Determination
3.4. Computational Studies
3.5. Hirshfeld Surfaces Analysis
3.6. In Vitro and In Silico Assessments Involving Esterases
4. Conclusions
Supplementary Materials
Author Contributions
Funding
Institutional Review Board Statement
Informed Consent Statement
Data Availability Statement
Conflicts of Interest
Sample Availability
References
- Raza, M.A.; Necmi, D.; DOĞAN, O.E.; Tuğgan, A.; Sumrra, S.H. Synthesis of two new Schiff bases; crystal structure, Hirshfeld surface analysis, density functional theory and molecular docking. J. Mol. Struct. 2021, 1226, 129330. [Google Scholar] [CrossRef]
- Kataria, R.; Vashisht, D.; Rani, P.; Sindhu, J.; Kumar, S.; Sharma, S.; Sahoo, S.C.; Kumar, V.; Kumar Mehta, S. Experimental and Computational Validation of Structural Features and BSA Binding Tendency of 5-Hydroxy-5-trifluoromethyl-3-arylpyrazolines. ChemistrySelect 2021, 6, 10324–10335. [Google Scholar] [CrossRef]
- Tatlidil, D.; Raza, M.A.; Dege, N.; Agar, A.A.; Farwa, U.; Rehman, S.U. Therapeutical Potential of Imines; Synthesis, Single Crystal Structure, Computational, Molecular Modeling, and ADMET Evaluation. ACS Omega 2022, 7, 10568–10579. [Google Scholar] [CrossRef]
- Shakir, M.; Shahid, N.; Sami, N.; Azam, M.; Khan, A.U. Synthesis, spectroscopic characterization and comparative DNA binding studies of Schiff base complexes derived from l-leucine and glyoxal. Spectrochim. Acta A Mol. Biomol. Spectrosc. 2011, 82, 31–36. [Google Scholar] [CrossRef]
- Zolezzi, S.; Spodine, E.; Decinti, A. Electrochemical studies of copper (II) complexes with Schiff-base ligands. Polyhedron 2002, 21, 55–59. [Google Scholar] [CrossRef]
- Cozzi, P.G. Metal–Salen Schiff base complexes in catalysis: Practical aspects. Chem. Soc. Rev. 2004, 33, 410–421. [Google Scholar] [CrossRef] [PubMed]
- Zafar, H.; Ahmad, A.; Khan, A.U.; Khan, T.A. Synthesis, characterization and antimicrobial studies of Schiff base complexes. J. Mol. Struct. 2015, 1097, 129–135. [Google Scholar] [CrossRef]
- Arora, P.; Arora, V.; Lamba, H.; Wadhwa, D. Importance of heterocyclic chemistry: A review. Int. J. Pharm. Sci. Res. 2012, 3, 2947. [Google Scholar]
- Jaiswal, S. Five and Six Membered Heterocyclic Compound with Antimicrobial Activity. J. Mod. Trends Sci. Technol. 2019, 5, 36–39. [Google Scholar]
- Saini, M.S.; Kumar, A.; Dwivedi, J.; Singh, R. A review: Biological significances of heterocyclic compounds. Int. J. Pharm. Sci. Res. 2013, 4, 66–77. [Google Scholar]
- Zhang, J.; Liu, W.; Xue, Q. The effect of molecular structure of heterocyclic compounds containing N, O and S on their tribological performance. Wear 1999, 231, 65–70. [Google Scholar] [CrossRef]
- Qadir, T.; Amin, A.; Sharma, P.K.; Jeelani, I.; Abe, H. A review on medicinally important heterocyclic compounds. Open Med. Chem. J. 2022, 16, 1–34. [Google Scholar] [CrossRef]
- McConkey, B.J.; Sobolev, V.; Edelman, M. The performance of current methods in ligand–protein docking. Curr. Sci. 2002, 83, 845–856. [Google Scholar]
- Sharma, N.K.; Jha, K. Molecular docking: An overview. J. Adv. Sci. Res. 2010, 1, 67–72. [Google Scholar]
- Vijesh, A.; Isloor, A.M.; Telkar, S.; Arulmoli, T.; Fun, H.-K. Molecular docking studies of some new imidazole derivatives for antimicrobial properties. Arab. J.Chem. 2013, 6, 197–204. [Google Scholar] [CrossRef]
- Dege, N.; Raza, M.A.; Doğan, O.E.; Ağar, T.; Mumtaz, M.W. Theoretical and experimental approaches of new Schiff bases: Efficient synthesis, X-ray structures, DFT, molecular modeling and ADMET studies. J. Iran. Chem. Soc. 2021, 18, 2345–2368. [Google Scholar] [CrossRef]
- Chohan, Z.H.; Hanif, M. Design, synthesis, and biological properties of triazole derived compounds and their transition metal complexes. J. Enzym. Inhib. Med. Chem. 2010, 25, 737–749. [Google Scholar] [CrossRef]
- Tozzo, E.; Romera, S.; dos Santos, M.P.; Muraro, M.; Regina, H.d.A.; Liao, L.; Vizotto, L.; Dockal, E.R. Synthesis, spectral studies and X-ray crystal structure of N, N′-(±)-trans-1, 2-cyclohexylenebis (3-ethoxysalicylideneamine) H2 (t-3-EtOsalchxn). J. Mol. Struct. 2008, 876, 110–120. [Google Scholar] [CrossRef]
- Bartyzel, A. Synthesis, thermal study and some properties of N2O4—Donor Schiff base and its Mn (III), Co (II), Ni (II), Cu (II) and Zn (II) complexes. J. Therm. Anal. Calorim. 2017, 127, 2133–2147. [Google Scholar] [CrossRef]
- Hassan, A.U.; Sumrra, S.H.; Raza, M.A.; Zubair, M.; Zafar, M.N.; Mughal, E.U.; Nazar, M.F.; Irfan, A.; Imran, M.; Assiri, M.A. Design, facile synthesis, spectroscopic characterization, and medicinal probing of metal-based new sulfonamide drugs: A theoretical and spectral study. Appl. Organomet. Chem. 2021, 35, e6054. [Google Scholar] [CrossRef]
- Arumugam, N.; Almansour, A.I.; Kumar, R.S.; Yeswanthkumar, S.; Padmanaban, R.; Arun, Y.; Kansız, S.; Dege, N.; Manohar, T.S.; Venketesh, S. Design, stereoselective synthesis, computational studies and cholinesterase inhibitory activity of novel spiropyrrolidinoquinoxaline tethered indole hybrid heterocycle. J. Mol. Struct. 2021, 1225, 129165. [Google Scholar] [CrossRef]
- Arumugam, N.; Almansour, A.I.; Kumar, R.S.; Al-Aizari, A.J.M.A.; Alaqeel, S.I.; Kansız, S.; Krishna, V.S.; Sriram, D.; Dege, N. Regio-and diastereoselective synthesis of spiropyrroloquinoxaline grafted indole heterocyclic hybrids and evaluation of their anti-Mycobacterium tuberculosis activity. RSC Adv. 2020, 10, 23522–23531. [Google Scholar] [CrossRef]
- Kansiz, S.; Dege, N.; Ozturk, S.; Akdemir, N.; Tarcan, E.; Arslanhan, A.; Saif, E. Crystal structure and Hirshfeld surface analysis of 2-methyl-3-nitro-N-[(E)-(5-nitrothiophen-2-yl) methylidene] aniline. Acta Crystallogr. Sect. E Crystallogr. Commun. 2021, 77, 138–141. [Google Scholar] [CrossRef] [PubMed]
- Ilmi, R.; Kansız, S.; Al-Rasbi, N.K.; Dege, N.; Raithby, P.R.; Khan, M.S. Towards white light emission from a hybrid thin film of a self-assembled ternary samarium (III) complex. New J. Chem. 2020, 44, 5673–5683. [Google Scholar] [CrossRef]
- Ding, L.P.; Zhang, F.H.; Zhu, Y.S.; Lu, C.; Kuang, X.Y.; Lv, J.; Shao, P. Understanding the structural transformation, stability of medium-sized neutral and charged silicon clusters. Sci. Rep. 2015, 5, 15951. [Google Scholar] [CrossRef]
- Hökelek, T.; Özkaya, S.; Necefoğlu, H. Crystal Structure and Hirshfeld Surface Analysis of AquaBis (Nicotinamide-Κn 1) Bis (2, 4, 6-TriMethylBenzoato-Κ2 O, O′) Cadmium (II). Acta Crystallogr. E 2018, 17, 246–251. [Google Scholar] [CrossRef]
- Thomsen, R.; Christensen, M.H. MolDock: A new technique for high-accuracy molecular docking. J. Med. Chem. 2006, 49, 3315–3321. [Google Scholar] [CrossRef]
- Goodsell, D.S.; Olson, A.J. Automated docking of substrates to proteins by simulated annealing. Proteins Struct. Funct. Bioinform. 1990, 8, 195–202. [Google Scholar] [CrossRef]
- Cie, S. X-Area (Version 1.18) and X-Red32 (Version 1.04); Stoe & Cie: Darmstadt, Germany, 2002. [Google Scholar]
- Sheldrick, G.M. SHELXT–Integrated space-group and crystal-structure determination. Acta Crystallogr. Sect. A Found. Adv. 2015, 71, 3–8. [Google Scholar] [CrossRef]
- Sheldrick, G.M. Crystal structure refinement with SHELXL. Acta Crystallogr. Sect. C Struct. Chem. 2015, 71, 3–8. [Google Scholar] [CrossRef]
- Farrugia, L.J. WinGX suite for small-molecule single-crystal crystallography. J. Appl. Crystallogr. 1999, 32, 837–838. [Google Scholar] [CrossRef]
- Becke, A.D. Density-functional thermochemistry. I. The effect of the exchange-only gradient correction. J. Chem. Phys. 1992, 96, 2155–2160. [Google Scholar] [CrossRef]
- Frisch, M.; Trucks, G.; Schlegel, H.; Scuseria, G.; Robb, M.; Cheeseman, J.; Scalmani, G.; Barone, V.; Mennucci, B.; Petersson, G.; et al. Gaussian 09; Gaussian, Inc.: Wallingford, CT, USA, 2009; Volume 32, pp. 5648–5652. [Google Scholar]
- Wolff, S.; Grimwood, D.; McKinnon, J.; Turner, M.; Jayatilaka, D.; Spackman, M. Crystal Explorer Package, Ver. 3.1; University of Western Australia: Perth, Australia, 2013. [Google Scholar]
- Azouzi, K.; Hamdi, B.; Zouari, R.; Salah, A.B. Synthesis, structure and Hirshfeld surface analysis, vibrational and DFT investigation of (4-pyridine carboxylic acid) tetrachlorocuprate (II) monohydrate. Bull. Mater. Sci. 2017, 40, 289–299. [Google Scholar] [CrossRef]
- Raza, M.A.; Fatima, K.; Saqib, Z.; Maurin, J.K.; Budzianowski, A. Designing of diamino based esterases inhibitors; synthesis, characterization, density functional theory and molecular modeling. J. Mol. Struct. 2019, 1195, 712–722. [Google Scholar] [CrossRef]







| Crystal Data | 1 | 2 |
|---|---|---|
| CCDC | 2,075,472 | 2,258,087 |
| Empirical formula | C13H12N2O3S | C14H10I2N2O3 |
| Formula weight | 276.318 | 508.04 |
| Temperature/K | 296 | 293 (2) |
| Crystal system | monoclinic | monoclinic |
| Space group | P21/c | P21/n |
| a/Å | 11.9183 (6) | 9.8544 (9) |
| b/Å | 13.8575 (9) | 12.5885 (7) |
| c/Å | 8.0694 (5) | 12.7810 (13) |
| α/° | 90 | 90 |
| β/° | 103.195 (4) | 101.501 (7) |
| γ/° | 90 | 90 |
| Volume/Å3 | 1297.54 (14) | 1553.7 (2) |
| Z | 4 | 4 |
| ρcalcg/cm3 | 1.414 | 2.172 |
| μ/mm−1 | 0.255 | 4.058 |
| F (000) | 576.8 | 952.0 |
| Crystal size/mm3 | 0.76 × 0.353 × 0.08 | 0.545 × 0.424 × 0.354 |
| Radiation | Mo Kα (λ = 0.71073) | MoKα (λ = 0.71073) |
| 2Θ range for data collection/° | 4.58 to 52 | 4.588 to 64.03 |
| Index ranges | −18 ≤ h ≤ 18, −21 ≤ k ≤ 21, −10 ≤ l ≤ 12 | −14 ≤ h ≤ 14, −18 ≤ k ≤ 18, −19 ≤ l ≤ 11 |
| Reflections collected | 17,422 | 13,542 |
| Independent reflections | 17,422 [Rint = 0.1318, Rsigma = 0.1114] | 5312 [Rint = 0.0359, Rsigma = 0.0306] |
| Data/restraints/parameters | 17,422/0/174 | 5312/1/192 |
| Goodness-of-fit on F2 | 0.706 | 1.044 |
| Final R indexes [I >= 2σ (I)] | R1 = 0.0529, wR2 = 0.1608 | R1 = 0.0462, wR2 = 0.0944 |
| Final R indexes [all data] | R1 = 0.0816, wR2 = 0.1988 | R1 = 0.0841, wR2 = 0.1141 |
| Largest diff. peak/hole/e Å−3 | 0.35/−0.42 | 0.80/−0.96 |
| Compounds | Docking Score (Kcal/mol) | Enzyme Inhibition | ||||
|---|---|---|---|---|---|---|
| AChE | BChE | AChE | BChE | |||
| Inhibition (%) | IC50 (µg/mL) | Inhibition (%) | IC50 (µg/mL) | |||
| 1 | −11.0053 | −10.3133 | 72.27 ± 0.9 | 193.6 ± 2.4 | 69.11 ± 1.3 | 209.4 ± 2.7 |
| 2 | −12.8735 | −11.1704 | 76.15 ± 1.2 | 184.1 ± 1.9 | 72.32 ± 0.9 | 214.6 ± 2.1 |
| Std | - | - | 81.52 ± 0.8 | 117.6 ± 1.4 | 74.01 ± 1.0 | 143.2 ± 1.9 |
Disclaimer/Publisher’s Note: The statements, opinions and data contained in all publications are solely those of the individual author(s) and contributor(s) and not of MDPI and/or the editor(s). MDPI and/or the editor(s) disclaim responsibility for any injury to people or property resulting from any ideas, methods, instructions or products referred to in the content. |
© 2023 by the authors. Licensee MDPI, Basel, Switzerland. This article is an open access article distributed under the terms and conditions of the Creative Commons Attribution (CC BY) license (https://creativecommons.org/licenses/by/4.0/).
Share and Cite
Raza, M.A.; Mumtaz, M.W.; Öztürk, S.; Latif, M.; Aisha; Ashraf, A.; Dege, N.; Dogan, O.E.; Agar, E.; Rehman, S.U.; et al. Experimental and Theoretical Biological Probing of Schiff Bases as Esterase Inhibitors: Structural, Spectral and Molecular Insights. Molecules 2023, 28, 5703. https://doi.org/10.3390/molecules28155703
Raza MA, Mumtaz MW, Öztürk S, Latif M, Aisha, Ashraf A, Dege N, Dogan OE, Agar E, Rehman SU, et al. Experimental and Theoretical Biological Probing of Schiff Bases as Esterase Inhibitors: Structural, Spectral and Molecular Insights. Molecules. 2023; 28(15):5703. https://doi.org/10.3390/molecules28155703
Chicago/Turabian StyleRaza, Muhammad Asam, Muhammad Waseem Mumtaz, Seyhan Öztürk, Muhammad Latif, Aisha, Adnan Ashraf, Necmi Dege, Onur Erman Dogan, Erbil Agar, Shafiq Ur Rehman, and et al. 2023. "Experimental and Theoretical Biological Probing of Schiff Bases as Esterase Inhibitors: Structural, Spectral and Molecular Insights" Molecules 28, no. 15: 5703. https://doi.org/10.3390/molecules28155703
APA StyleRaza, M. A., Mumtaz, M. W., Öztürk, S., Latif, M., Aisha, Ashraf, A., Dege, N., Dogan, O. E., Agar, E., Rehman, S. U., & Noor, A. (2023). Experimental and Theoretical Biological Probing of Schiff Bases as Esterase Inhibitors: Structural, Spectral and Molecular Insights. Molecules, 28(15), 5703. https://doi.org/10.3390/molecules28155703

