Anti-Inflammatory and Antioxidant Effects of Diosmetin-3-O-β-d-Glucuronide, the Main Metabolite of Diosmin: Evidence from Ex Vivo Human Skin Models
Abstract
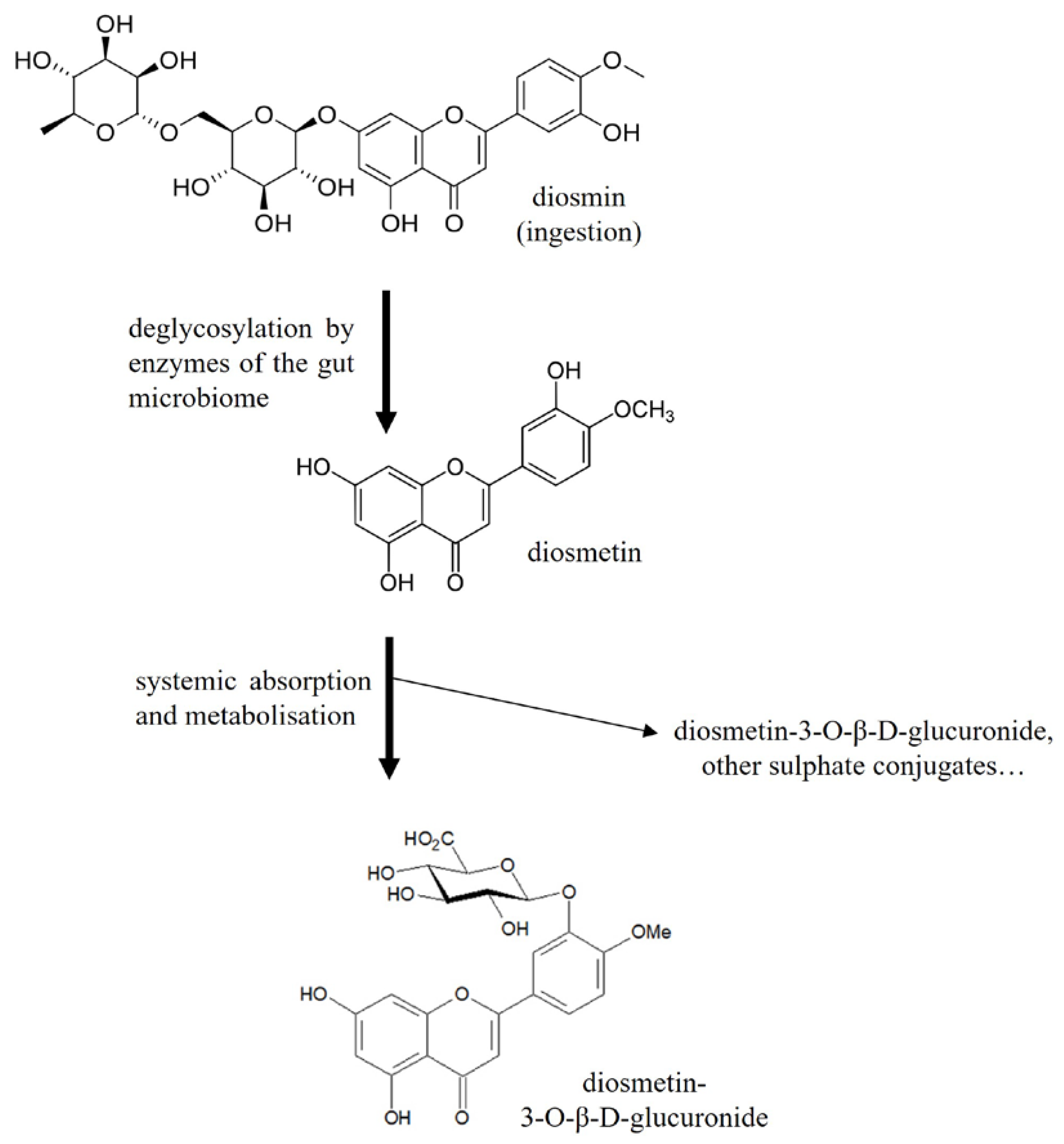
1. Introduction
2. Results
2.1. Anti-Inflammatory Effect of Diosmetin-3-O-β-d-Glucuronide after Exposure to Substance P (SP)
2.2. Protection against Free Radical Release after UVB-Induced Skin Damage
3. Discussion
4. Materials and Methods
4.1. Culture of Human Skin Explants
4.2. Diosmetin-3-O-β-d-Glucuronide
4.3. Substance-P-Induced Inflammation Model
4.3.1. Neurogenic Inflammation Induction by Substance P
4.3.2. Interleukin-8 Quantification
4.3.3. Capillary Dilation Analysis
4.4. UVB-Induced Oxidative Stress Model
4.4.1. Oxidative Damage Induction by UVB Irradiation
4.4.2. Immunofluorescent Detection of Cyclobutane Pyrimidine Dimers (CPDs)
4.4.3. Hydrogen Peroxide Assay
4.5. Statistical Analysis
5. Conclusions
Author Contributions
Funding
Institutional Review Board Statement
Informed Consent Statement
Data Availability Statement
Conflicts of Interest
Sample Availability
References
- Rabe, E.; Guex, J.J.; Puskas, A.; Scuderi, A.; Fernandez Quesada, F.; VCP Coordinators. Epidemiology of chronic venous disorders in geographically diverse populations: Results from the Vein Consult Program. Int. Angiol. 2012, 31, 105–115. [Google Scholar] [PubMed]
- Robertson, L.; Evans, C.; Fowkes, F.G.R. Epidemiology of chronic venous disease. Phlebology 2008, 23, 103–111. [Google Scholar] [CrossRef] [PubMed]
- Kirsten, N.; Mohr, N.; Gensel, F.; Alhumam, A.; Bruning, G.; Augustin, M. Population-Based Epidemiologic Study in Venous Diseases in Germany—Prevalence, Comorbidity, and Medical Needs in a Cohort of 19,104 Workers. Vasc. Health Risk Manag. 2021, 17, 679–687. [Google Scholar] [CrossRef] [PubMed]
- Raffetto, J.D. Pathophysiology of Chronic Venous Disease and Venous Ulcers. Surg. Clin. N. Am. 2018, 98, 337–347. [Google Scholar] [CrossRef]
- Nicolaides, A.; Kakkos, S.; Baekgaard, N.; Comerota, A.; de Maeseneer, M.; Eklof, B.; Giannoukas, A.D.; Lugli, M.; Maleti, O.; Myers, K.; et al. Management of chronic venous disorders of the lower limbs. Guidelines According to Scientific Evidence. Part I. Int. Angiol. 2018, 37, 181–254. [Google Scholar] [CrossRef]
- Ortega, M.A.; Fraile-Martínez, O.; García-Montero, C.; Álvarez-Mon, M.A.; Chaowen, C.; Ruiz-Grande, F.; Pekarek, L.; Monserrat, J.; Asúnsolo, A.; García-Honduvilla, N.; et al. Understanding Chronic Venous Disease: A Critical Overview of Its Pathophysiology and Medical Management. JCM 2021, 10, 3239. [Google Scholar] [CrossRef]
- Wlaschek, M.; Scharffetter-Kochanek, K. Oxidative stress in chronic venous leg ulcers. Wound Repair Regen. 2005, 13, 452–461. [Google Scholar] [CrossRef]
- Mansilha, A.; Sousa, J. Pathophysiological Mechanisms of Chronic Venous Disease and Implications for Venoactive Drug Therapy. Int. J. Mol. Sci. 2018, 19, 1669. [Google Scholar] [CrossRef]
- Lichota, A.; Gwozdzinski, L.; Gwozdzinski, K. Therapeutic potential of natural compounds in inflammation and chronic venous insufficiency. Eur. J. Med. Chem. 2019, 176, 68–91. [Google Scholar] [CrossRef]
- Cazaubon, M.; Benigni, J.-P.; Steinbruch, M.; Jabbour, V.; Gouhier-Kodas, C. Is There a Difference in the Clinical Efficacy of Diosmin and Micronized Purified Flavonoid Fraction for the Treatment of Chronic Venous Disorders? Review of Available Evidence. VHRM 2021, 17, 591–600. [Google Scholar] [CrossRef]
- Martinez-Zapata, M.J.; Vernooij, R.W.; Simancas-Racines, D.; Tuma, S.M.U.; Stein, A.T.; Carriles, R.M.M.M.; Vargas, E.; Cosp, X.B. Phlebotonics for venous insufficiency. Cochrane Database Syst. Rev. 2020, 11, CD003229. [Google Scholar]
- Feldo, M.; Woźniak, M.; Wójciak-Kosior, M.; Sowa, I.; Kot-Wasik, A.; Aszyk, J.; Bogucki, J.; Zubilewicz, T.; Bogucka-Kocka, A. Influence of Diosmin Treatment on the Level of Oxidative Stress Markers in Patients with Chronic Venous Insufficiency. Oxid. Med. Cell. Longev. 2018, 2018, 2561705. [Google Scholar] [CrossRef]
- Silvestro, L.; Tarcomnicu, I.; Dulea, C.; Attili, N.R.B.N.; Ciuca, V.; Peru, D.; Rizea Savu, S. Confirmation of diosmetin 3-O-glucuronide as major metabolite of diosmin in humans, using micro-liquid-chromatography–mass spectrometry and ion mobility mass spectrometry. Anal. Bioanal. Chem. 2013, 405, 8295–8310. [Google Scholar] [CrossRef]
- Boisnic, S.; Branchet-Gumila, M.-C.; Benslama, L.; Charpentier, Y.L.; Arnaud-Battandier, J. Long term culture of normal skin to test the efficacy of a hydroxy acid-containing cream. Eur. J. Dermatol. 1997, 7, 271–273. [Google Scholar]
- Boisnic, S.; Branchet, M.-C.; Gouhier-Kodas, C.; Verriere, F.; Jabbour, V. Anti-inflammatory and antiradical effects of a 2% diosmin cream in a human skin organ culture as model. J. Cosmet. Dermatol. 2018, 17, 848–854. [Google Scholar] [CrossRef]
- Mashaghi, A.; Marmalidou, A.; Tehrani, M.; Grace, P.M.; Pothoulakis, C.; Dana, R. Neuropeptide Substance P and the Immune Response. Cell Mol. Life Sci. 2016, 73, 4249–4264. [Google Scholar] [CrossRef]
- Branchet-Gumila, M.C.; Boisnic, S.; Charpentier, Y.L.; Nonotte, I.; Montastier, C.; Breton, L. Neurogenic Modifications Induced by Substance P in an Organ Culture of Human Skin. SPP 1999, 12, 211–220. [Google Scholar] [CrossRef]
- Boisnic, S.; Branchet-Gumila, M.-C.; Le Charpentier, Y.; Segard, C. Repair of UVA-Induced Elastic Fiber and Collagen Damage by 0.05% Retinaldehyde Cream in an ex vivo Human Skin Model. Dermatology 1999, 199, 43–48. [Google Scholar] [CrossRef]
- Zaragozá, C.; Villaescusa, L.; Monserrat, J.; Zaragozá, F.; Álvarez-Mon, M. Potential Therapeutic Anti-Inflammatory and Immunomodulatory Effects of Dihydroflavones, Flavones, and Flavonols. Molecules 2020, 25, 1017. [Google Scholar] [CrossRef]
- Tisato, V.; Zauli, G.; Voltan, R.; Gianesini, S.; di Iasio, M.G.; Volpi, I.; Fiorentini, G.; Zamboni, P.; Secchiero, P. Endothelial cells obtained from patients affected by chronic venous disease exhibit a pro-inflammatory phenotype. PLoS ONE 2012, 7, e39543. [Google Scholar] [CrossRef]
- Imam, F.; Al-Harbi, N.O.; Al-Harbi, M.M.; Ansari, M.A.; Zoheir, K.M.A.; Iqbal, M.; Anwer, M.K.; Al Hoshani, A.R.; Attia, S.M.; Ahmad, S.F. Diosmin downregulates the expression of T cell receptors, pro-inflammatory cytokines and NF-κB activation against LPS-induced acute lung injury in mice. Pharmacol. Res. 2015, 102, 1–11. [Google Scholar] [CrossRef] [PubMed]
- Ahmed, S.; Mundhe, N.; Borgohain, M.; Chowdhury, L.; Kwatra, M.; Bolshette, N.; Ahmed, A.; Lahkar, M. Diosmin Modulates the NF-kB Signal Transduction Pathways and Downregulation of Various Oxidative Stress Markers in Alloxan-Induced Diabetic Nephropathy. Inflammation 2016, 39, 1783–1797. [Google Scholar] [CrossRef] [PubMed]
- Feldo, M.; Wójciak-Kosior, M.; Sowa, I.; Kocki, J.; Bogucki, J.; Zubilewicz, T.; Kęsik, J.; Bogucka-Kocka, A. Effect of Diosmin Administration in Patients with Chronic Venous Disorders on Selected Factors Affecting Angiogenesis. Molecules 2019, 24, 3316. [Google Scholar] [CrossRef] [PubMed]
- Leu, A.J.; Leu, H.J.; Franzeck, U.K.; Bollinger, A. Microvascular changes in chronic venous insufficiency—A review. Cardiovasc. Surg. 1995, 3, 237–245. [Google Scholar] [CrossRef]
- Savineau, J.P.; Marthan, R. Diosmin-induced increase in sensitivity to Ca2+ of the smooth muscle contractile apparatus in the rat isolated femoral vein. Br. J. Pharmacol. 1994, 111, 978–980. [Google Scholar] [CrossRef]
- Casili, G.; Lanza, M.; Campolo, M.; Messina, S.; Scuderi, S.; Ardizzone, A.; Filippone, A.; Paterniti, I.; Cuzzocrea, S.; Esposito, E. Therapeutic potential of flavonoids in the treatment of chronic venous insufficiency. Vasc. Pharmacol. 2021, 137, 106825. [Google Scholar] [CrossRef]
- Senra Barros, B.; Kakkos, S.K.; De Maeseneer, M.; Nicolaides, A.N. Chronic venous disease: From symptoms to microcirculation. Int. Angiol. 2019, 38, 211–218. [Google Scholar] [CrossRef]
- Panche, A.N.; Diwan, A.D.; Chandra, S.R. Flavonoids: An overview. J. Nutr. Sci. 2016, 5, e47. [Google Scholar] [CrossRef]
- Kicinska, A.; Jarmuszkiewicz, W. Flavonoids and Mitochondria: Activation of Cytoprotective Pathways? Molecules 2020, 25, 3060. [Google Scholar] [CrossRef]
- Liao, W.; Ning, Z.; Chen, L.; Wei, Q.; Yuan, E.; Yang, J.; Ren, J. Intracellular Antioxidant Detoxifying Effects of Diosmetin on 2,2-Azobis(2-amidinopropane) Dihydrochloride (AAPH)-Induced Oxidative Stress through Inhibition of Reactive Oxygen Species Generation. J. Agric. Food Chem. 2014, 62, 8648–8654. [Google Scholar] [CrossRef]
- Feldo, M.; Wójciak, M.; Ziemlewska, A.; Dresler, S.; Sowa, I. Modulatory Effect of Diosmin and Diosmetin on Metalloproteinase Activity and Inflammatory Mediators in Human Skin Fibroblasts Treated with Lipopolysaccharide. Molecules 2022, 27, 4264. [Google Scholar] [CrossRef]
- Wójciak, M.; Feldo, M.; Borowski, G.; Kubrak, T.; Płachno, B.J.; Sowa, I. Antioxidant Potential of Diosmin and Diosmetin against Oxidative Stress in Endothelial Cells. Molecules 2022, 27, 8232. [Google Scholar] [CrossRef]
- Zhang, Q.; Yang, W.; Liu, J.; Liu, H.; Lv, Z.; Zhang, C. Identification of Six Flavonoids as Novel Cellular Antioxidants and Their Structure-Activity Relationship. Oxid. Med. Cell. Longev. 2020, 2020, 4150897. [Google Scholar] [CrossRef]
- Boisnic, S.; Licu, D.; Ben Slama, L.; Branchet-Gumila, M.C.; Szpirglas, H.; Dupuy, P. Topical retinaldehyde treatment in oral lichen planus and leukoplakia. Int. J. Tissue React. 2002, 24, 123–130. [Google Scholar]
- Abdi-Dezfooli, Z.; Bolz, S.S.; Günther, A. Vein-on-a-chip: A Microfluidic Platform for Functional Assessments and Staining of Intact Veins. In Proceedings of the 18th International Conference on Miniaturized Systems for Chemistry and Life Sciences, San Antonio, TX, USA, 26–30 October 2014. [Google Scholar]
- Bottaro, E.; Paterson, J.; Zhang, X.; Hill, M.; Patel, V.A.; Jones, S.A.; Lewis, A.L.; Millar, T.M.; Carugo, D. Physical Vein Models to Quantify the Flow Performance of Sclerosing Foams. Front. Bioeng. Biotechnol. 2019, 7, 109. [Google Scholar] [CrossRef]
- Cochrane, A.; Albers, H.J.; Passier, R.; Mummery, C.L.; van den Berg, A.; Orlova, V.V.; van der Meer, A.D. Advanced in vitro models of vascular biology: Human induced pluripotent stem cells and organ-on-chip technology. Adv. Drug Deliv. Rev. 2019, 140, 68–77. [Google Scholar] [CrossRef]
- Steinbruch, M.; Nunes, C.; Gama, R.; Kaufman, R.; Gama, G.; Neto, M.S.; Nigri, R.; Cytrynbaum, N.; Oliveira, L.B.; Bertaina, I.; et al. Is Nonmicronized Diosmin 600 mg as Effective as Micronized Diosmin 900 mg plus Hesperidin 100 mg on Chronic Venous Disease Symptoms? Results of a Noninferiority Study. Int. J. Vasc. Med. 2020, 2020, 4237204. [Google Scholar] [CrossRef]
- Maruszynski, A. A double blind, randomized study evaluating the influence of semisynthetic diosmin, and purified, micronized flavonoid fraction (diosmin and hesperidin), on symptoms of chronic venous insufficiency of lower limb—A four week observation. Prz. Flebol. 2004, 13, 89–95. [Google Scholar]
- Henriet, J. Insuffisance veineuse fonctionnelle : Essai clinique comparatif d’une seule prise par jour de Diovenor 600 mg (600 mg de diosmine d’hémisynthèse) versus 2 prises par jour d’un mélange de 500 mg de flavonoïdes (900 mg de diosmine). Phlébologie (Ann. Vasc.) 1995, 48, 285–290. [Google Scholar]






Disclaimer/Publisher’s Note: The statements, opinions and data contained in all publications are solely those of the individual author(s) and contributor(s) and not of MDPI and/or the editor(s). MDPI and/or the editor(s) disclaim responsibility for any injury to people or property resulting from any ideas, methods, instructions or products referred to in the content. |
© 2023 by the authors. Licensee MDPI, Basel, Switzerland. This article is an open access article distributed under the terms and conditions of the Creative Commons Attribution (CC BY) license (https://creativecommons.org/licenses/by/4.0/).
Share and Cite
Boisnic, S.; Branchet, M.-C.; Quioc-Salomon, B.; Doan, J.; Delva, C.; Gendron, C. Anti-Inflammatory and Antioxidant Effects of Diosmetin-3-O-β-d-Glucuronide, the Main Metabolite of Diosmin: Evidence from Ex Vivo Human Skin Models. Molecules 2023, 28, 5591. https://doi.org/10.3390/molecules28145591
Boisnic S, Branchet M-C, Quioc-Salomon B, Doan J, Delva C, Gendron C. Anti-Inflammatory and Antioxidant Effects of Diosmetin-3-O-β-d-Glucuronide, the Main Metabolite of Diosmin: Evidence from Ex Vivo Human Skin Models. Molecules. 2023; 28(14):5591. https://doi.org/10.3390/molecules28145591
Chicago/Turabian StyleBoisnic, Sylvie, Marie-Christine Branchet, Barbara Quioc-Salomon, Julie Doan, Catherine Delva, and Célia Gendron. 2023. "Anti-Inflammatory and Antioxidant Effects of Diosmetin-3-O-β-d-Glucuronide, the Main Metabolite of Diosmin: Evidence from Ex Vivo Human Skin Models" Molecules 28, no. 14: 5591. https://doi.org/10.3390/molecules28145591
APA StyleBoisnic, S., Branchet, M.-C., Quioc-Salomon, B., Doan, J., Delva, C., & Gendron, C. (2023). Anti-Inflammatory and Antioxidant Effects of Diosmetin-3-O-β-d-Glucuronide, the Main Metabolite of Diosmin: Evidence from Ex Vivo Human Skin Models. Molecules, 28(14), 5591. https://doi.org/10.3390/molecules28145591

