A Bio-Indicator Pilot Study Screening Selected Heavy Metals in Female Hair, Nails, and Serum from Lifestyle Cosmetic, Canned Food, and Manufactured Drink Choices
Abstract
1. Introduction
| Heavy Metal | Source [1,6,7,8,9,12] | Effect [1,6,7,8,9,12] | Serum Reference Range (µg/L) [1,6,7,8,9,12] |
|---|---|---|---|
| Chromium (Cr) | Manufactured food, drink, water, and cosmetic products; steel industries; tanneries; fly ash; soil | Acute renal failure, gastrointestinal hemorrhage, hemolysis, lung cancer, and pulmonary fibrosis | (0.1–2.1) |
| Aluminum (AL) | Manufactured food, drink, water, and cosmetic products; cooking tools; soil | Neurotoxicity, nephrotoxicity, bone disease, encephalopathy, myelotoxicity, and anemia | (0–9) |
| Cadmium (Cd) | Manufactured food, drinks, water, and cosmetic products; plastic stabilizers; electroplating; phosphate fertilizers; paints and pigments; soil; smoking | Pneumonitis, proteinuria, osteomalacia, and lung cancer | (0–4.9) |
| Lead (Pb) | Manufactured food, drinks, water, and cosmetic products; herbicides; batteries waste; leaded fuel; insecticides; soil | Vomiting, diarrhea, abdominal pain, osteoporosis, neurologic degeneration, copper deficiency, and anemia | (0–190) |
2. Results
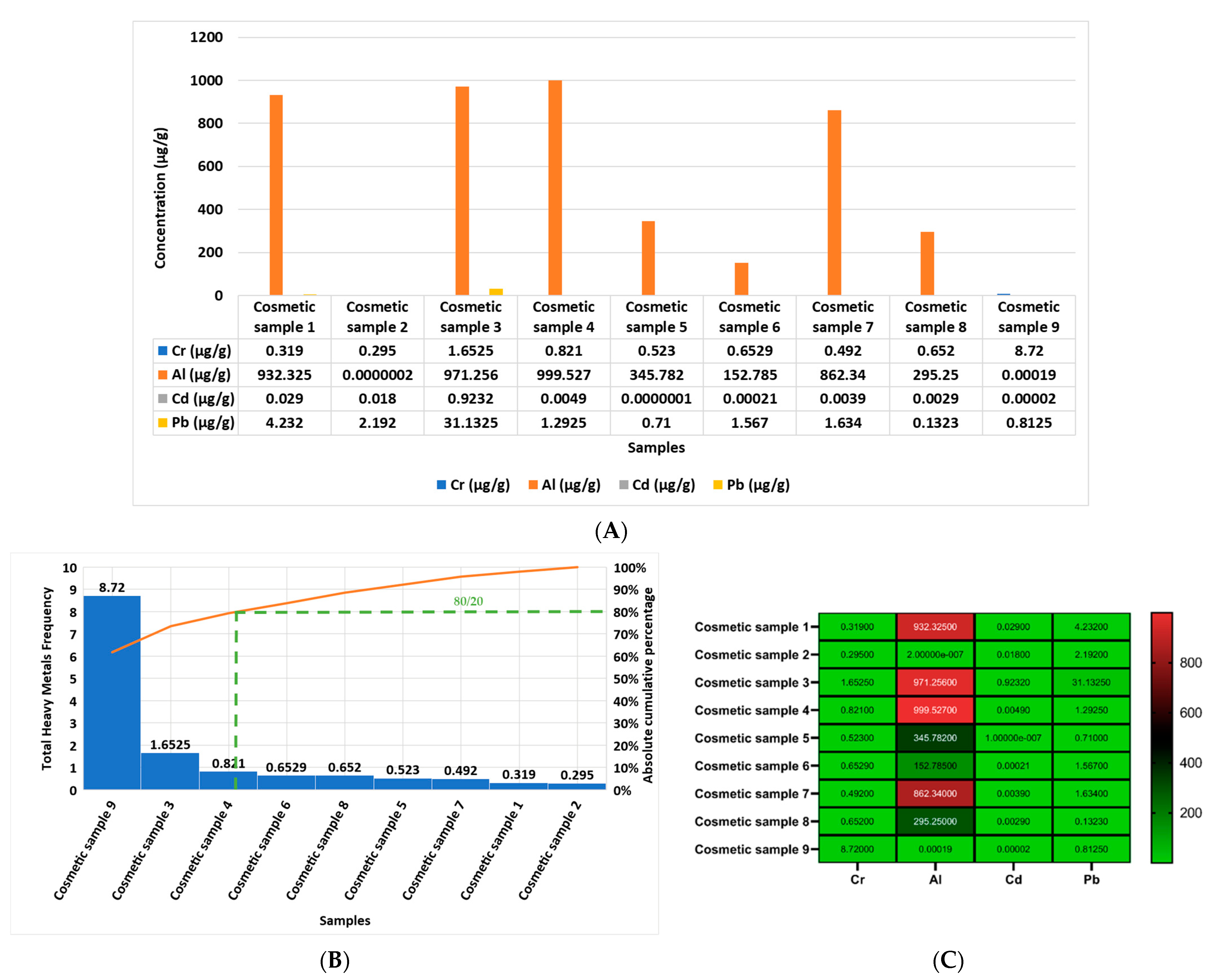
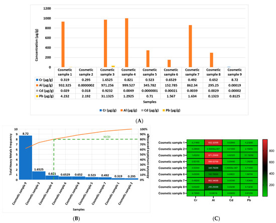
2.1. Screening Heavy Metals in Nonbiological Samples
2.2. Screening Heavy Metals in the Biological Samples (Serum, Hair, and Nails) and Cholinesterase, CBC, and the Relationship among Parameters
2.3. Potential AutoDock Interaction Scenarios for Heavy Metals with Selected Proteins, Receptors, and Hormones in the Human Body Examples of Heavy Metal Toxic Accumulation Effects
3. Discussion
4. Materials and Methods
4.1. Study Population
4.2. Biological Samples Collection
4.3. Non-Biological Samples Collection
4.4. The Sample Preparation for Inductively Coupled Plasma Mass Spectrometry ICP-MS and Heavy Metals Analyses
4.5. Biochemical Assays
4.6. AutoDock Analysis
4.6.1. Preparation of the Modeled Receptor from PDB: Heavy Metals as Ligand Components for Docking
4.6.2. AutoDock Analysis
4.7. Statistical Analyses
5. Conclusions
Supplementary Materials
Author Contributions
Funding
Institutional Review Board Statement
Informed Consent Statement
Data Availability Statement
Acknowledgments
Conflicts of Interest
References
- Hamouda, A.F.; Hassan, A.A.M.; Khardali, I.A.; Attafi, I.M.; Oraiby, M.E.; Attafi, M.A.; Mahmoud, M.H.; Salem, S.F.A.; Sahli, K.A.Y.; Hamdi, F.Y.; et al. A Screening Pilot Study on the Relation between Body Mass Index, and Heavy Metal and Mineral Levels in College Students. Electron. J. Biol. 2019, 15, 3. [Google Scholar] [CrossRef]
- Wyrzykowski, B.; Zdrojewski, T.; Bandosz, P. Zespół Metaboliczny w Polsce, Metabolic Syndrome in Poland. Kardiol. Pol. 2005, 62, II30–II35. Available online: https://pubmed.ncbi.nlm.nih.gov/19813333/ (accessed on 11 May 2023). [PubMed]
- Kim, D.S.; Lee, E.H.; Yu, S.D.; Cha, J.H.; Ahn, S.C. Heavy Metal as a Risk Factor of Cardiovascular Disease—An Analysis of Blood Lead and Urinary Mercury. J. Prev. Med. Public Health 2005, 38, 401–407. Available online: https://www.koreamed.org/SearchBasic.php?RID=1056JPMPH/2005.38.4.401&DT=1 (accessed on 11 May 2023). [PubMed]
- Rotter, I.; Kosik-Bogacka, D.; Dołęgowska, B.; Safranow, K.; Lubkowska, A.; Laszczyńska, M. Relationship between the Concentrations of Heavy Metals and Bioelements in Aging Men with Metabolic Syndrome. Int. J. Environ. Res. Public Health 2015, 12, 3944. [Google Scholar] [CrossRef]
- Jung, E.; Hyun, W.; Ro, Y.; Lee, H.; Song, K. A study on blood lipid profiles, aluminum and mercury levels in college students. Nutr. Res. Pract. 2016, 10, 442–447. [Google Scholar] [CrossRef]
- Witkowska, D.; Słowik, J.; Chilicka, K. Heavy Metals and Human Health: Possible Exposure Pathways and the Competition for Protein Binding Sites. Molecules 2021, 26, 6060. [Google Scholar] [CrossRef]
- Kuno, R.; Roquetti, M.H.; Becker, K.; Seiwert, M.; Gouveia, N. Reference values for lead, cadmium and mercury in the blood of adults from the metropolitan area of Sao Paulo, Brazil. Int. J. Hyg. Environ. Health 2013, 216, 243–249. [Google Scholar] [CrossRef]
- Zhang, L.-L.; Lu, L.; Pan, Y.-J.; Ding, C.-G.; Xu, D.-Y.; Huang, C.-F.; Pan, X.-F.; Zheng, W. Baseline blood levels of manganese, lead, cadmium, copper, and zinc in residents of Beijing suburb. Environ. Res. 2015, 140, 10–17. [Google Scholar] [CrossRef] [PubMed]
- Al Bakheet, S.A.; Attafi, I.M.; Maayah, Z.H.; Abd-Allah, A.R.; Asiri, Y.A.; Korashy, H.M. Effect of long-term human exposure to environmental heavy metals on the expression of detoxification and DNA repair genes. Environ. Pollut. 2013, 181, 226–232. [Google Scholar] [CrossRef] [PubMed]
- Mikulewicz, M.; Chojnacka, K.; Gedrange, T.; Górecki, H. Reference values of elements in human hair: A systematic review. Environ. Toxicol. Pharmacol. 2013, 36, 1077–1086. [Google Scholar] [CrossRef] [PubMed]
- Golasik, M.; Przybyłowicz, A.; Woźniak, A.; Herman, M.; Gawęcki, W.; Golusiński, W.; Walas, S.; Krejpcio, Z.; Szyfter, K.; Florek, E.; et al. Essential metals profile of the hair and nails of patients with laryngeal cancer. J. Trace Elem. Med. Biol. 2015, 31, 67–73. [Google Scholar] [CrossRef]
- Neelam, V.; Rajni, S. Bioremediation of Toxic Heavy Metals: A Patent Review. Recent Pat. Biotechnol. 2017, 11, 171–187. [Google Scholar] [CrossRef]
- Alshammari, E.M. Biological Monitoring Heavy Metals in Fingernails and Scalp Hair of Autoworkers in Saudi Arabia. J. Biochem. Technol. 2022, 13, 57–64. [Google Scholar] [CrossRef]
- Salama, A.K. Assessment of metals in cosmetics commonly used in Saudi Arabia. Environ. Monit. Assess. 2015, 188, 553. [Google Scholar] [CrossRef]
- Alturiqi, A.; Albedair, L. Evaluation of some heavy metals in certain fish, meat and meat products in Saudi Arabian markets. Egypt. J. Aquat. Res. 2012, 38, 45–49. [Google Scholar] [CrossRef]
- Alrobaian, M.; Arida, H. Assessment of Heavy and Toxic Metals in the Blood and Hair of Saudi Arabia Smokers Using Modern Analytical Techniques. Int. J. Anal. Chem. 2019, 2019, 7125210. [Google Scholar] [CrossRef] [PubMed]
- Balali-Mood, M.; Naseri, K.; Tahergorabi, Z.; Khazdair, M.R.; Sadeghi, M. Toxic Mechanisms of Five Heavy Metals: Mercury, Lead, Chromium, Cadmium, and Arsenic. Front. Pharmacol. 2021, 12, 643972. [Google Scholar] [CrossRef] [PubMed]
- Hamouda, A.F. The Association between Lifestyle, Anthropometric Measurements, and Obesity in University Students. J. Pharm. Pharmacol. 2016, 4, 119–127. [Google Scholar]
- Hamouda, A.F.; El, S.; Abou, D.A.; Noeman, E. Effects of 6-Month Weight Loss New Program on Anthropometric Measurements and Biological Profile. J. Pharm. Pharmacol. 2016, 4, 23–38. [Google Scholar] [CrossRef]
- Hamouda, A.F.; El Noeman, S.E.-D.A.F.A.; Khardalic, I.A.; Oraiby, M.E. Study the Association Between Diet Program on Human Semen, Biological Profile, and Anthropometric Measurements in Obese Men. Int. J. Nutr. Food Sci. 2018, 7, 24. [Google Scholar] [CrossRef]
- Hamouda, A.F.; Felemban, S. Biochemical Pilot Study on Effects of Pomegranate Seed Oil Extract and Cosmetic Cream on Neurologically Mediated Skin Inflammation in Animals and Humans: A Comparative Observational Study. Molecules 2023, 28, 903. [Google Scholar] [CrossRef]
- Ogueche, P.; Nwachi, U.; Obidoa, O. Dose and duration dependent of aluminium in the serum liver and the brain of male Wistar albino rat. Bio-Research 2009, 7, 415–417. [Google Scholar] [CrossRef]
- Othman, Z.A.A. Lead Contamination in Selected Foods from Riyadh City Market and Estimation of the Daily Intake. Molecules 2010, 15, 7482–7497. [Google Scholar] [CrossRef]
- AL-Rajhi, M.A. Determination the concentration of some metals in imported canned food and chicken stock. Am. J. Environ. Sci. 2014, 10, 283–288. [Google Scholar] [CrossRef]
- Nasser, L.A. Molecular identification of isolated fungi, microbial and heavy metal contamination of canned meat products sold in Riyadh, Saudi Arabia. Saudi J. Biol. Sci. 2015, 22, 513–520. [Google Scholar] [CrossRef]
- Ali, M.H.H.; Al-Qahtani, K.M. Assessment of some heavy metals in vegetables, cereals and fruits in Saudi Arabian markets. Egypt. J. Aquat. Res. 2012, 38, 31–37. [Google Scholar] [CrossRef]
- Rȩbacz, E.; Baranowska-Bosiacka, I.; Chlubek, D. The content of selected chemical elements in the hair of young men of the Bantu language group from Tanzania versus environmental and social conditioning. Biol. Trace Elem. Res. 2010, 137, 262–279. [Google Scholar] [CrossRef] [PubMed]
- Khalifa, M.H.; Aly, G.F.; Abdelhameed, K.M.A. Heavy Metal Accumulation and The Possible Correlation with Acetylcholinesterase Levels in Honey Bees from Polluted Areas of Alexandria, Egypt. Afr. Entomol. 2020, 28, 385–393. [Google Scholar] [CrossRef]
- Frasco, M.F.; Fournier, D.; Carvalho, F.; Guilhermino, L. Do metals inhibit acetylcholinesterase (AChE)? Implementation of assay conditions for the use of AChE activity as a biomarker of metal toxicity. Biomarkers 2005, 10, 360–375. [Google Scholar] [CrossRef] [PubMed]
- Capitão, C.; Martins, R.; Santos, O.; Bicho, M.; Szigeti, T.; Katsonouri, A.; Bocca, B.; Ruggieri, F.; Wasowicz, W.; Tolonen, H.; et al. Exposure to heavy metals and red blood cell parameters in children: A systematic review of observational studies. Front. Pediatr. 2022, 10, 921239. [Google Scholar]
- Hegazy, A.A.; Zaher, M.M.; El-Hafez, M.A.A.; Morsy, A.A.; Saleh, R.A. Relation between anemia and blood levels of lead, copper, zinc and iron among children. BMC Res. Notes 2010, 3, 133. [Google Scholar] [CrossRef]
- Hamouda, A.F. The Lifestyle Outline: A Study of the Vitamin the Natural and Artificial Sample Which Used by University Students. J. Adv. Res. Pharm. Biol. Sci. 2016, 2, 49–60. Available online: https://scholar.google.com/citations?view_op=view_citation&hl=en&user=kPj2ewEAAAAJ&cstart=20&pagesize=80&citation_for_view=kPj2ewEAAAAJ:IjCSPb-OGe4C (accessed on 14 May 2023).
- Albratty, M.; Alhazmi, H.A.; Al-Rajab, A.J. Icp-Ms Determination of Trace Metals in Drinking Water Sources in Jazan Area, Saudi Arabia. Curr. World Environ. 2018, 12, 6. [Google Scholar] [CrossRef]
- Ahmed, A.S.; Elgharabawy, R.M.; Ahmed, H.A.; Barghash, S.S. Human Hair and Nails as Bio-Indicator of Heavy Metals Contamination by Hair Dye Exposure among Population in Saudi Arabia. 2016. Available online: https://www.semanticscholar.org/paper/HUMAN-HAIR-AND-NAILS-AS-BIO-INDICATOR-OF-HEAVY-BY-Ahmed-Elgharabawy/105ef86b0f3959b22b0e0fcfea7678b91a6e1cf9 (accessed on 14 May 2023).
- Aljabryn, D.H. Heavy metals in some commercially fishery products marketed in Saudi Arabia. Food Sci. Technol. 2022, 42, e34222. [Google Scholar] [CrossRef]
- Abdel-Rahman, G.N.; Ahmed, M.B.; Sabry, B.A.; Ali, S.S. Heavy metals content in some non-alcoholic beverages (carbonated drinks, flavored yogurt drinks, and juice drinks) of the Egyptian markets. Toxicol. Rep. 2019, 6, 210–214. [Google Scholar] [CrossRef] [PubMed]
- Aly, M.M.; Al-Seeni, M.N.; Qusti, S.Y.; El-Sawi, N.M. Mineral content and microbiological examination of some white cheese in Jeddah, Saudi Arabia during summer 2008. Food Chem. Toxicol. 2010, 48, 3031–3034. [Google Scholar] [CrossRef]
- Gundacker, C.; Forsthuber, M.; Szigeti, T.; Kakucs, R.; Mustieles, V.; Fernandez, M.F.; Bengtsen, E.; Vogel, U.; Hougaard, K.S.; Saber, A.T. Lead (Pb) and neurodevelopment: A review on exposure and biomarkers of effect (BDNF, HDL) and susceptibility. Int. J. Hyg. Environ. Health 2021, 238, 113855. [Google Scholar] [CrossRef]
- Lin, Y.F.; Cheng, C.W.; Shih, C.S.; Hwang, J.K.; Yu, C.S.; Lu, C.H. MIB: Metal Ion-Binding Site Prediction and Docking Server. J. Chem. Inf. Model. 2016, 56, 2287–2291. [Google Scholar] [CrossRef]
- Hamouda, A.F.; Farawilla, T.-L.M.; Attafi, I.M.; Khardali, I.A.; Attafi, M.A.; Oraiby, M.E.; Abualsail, F.M. Screening Pilot Study of Fruit Seed Compositions by GC-MS and Their Potential Scenario Anti ACE2 and 2rh1 Receptors as a Recycling Possibility in the Coronavirus Pandemic. J. Clin. Med. Res. 2021, 2, 1–65. [Google Scholar] [CrossRef]
- Hafeez, A.; Saify, Z.S.; Naz, A.; Yasmin, F.; Akhtar, N. Molecular Docking Study on the Interaction of Riboflavin (Vitamin B2) and Cyanocobalamin (Vitamin B12) Coenzymes. J. Comput. Med. 2013, 2013, 312183. [Google Scholar] [CrossRef]
- Abdi, F.; Movahedi, M.; Nikje, M.A.; Ghanei, L.; Mirzaie, S. Vitamin D as a modulating agent of metformin and insulin in patients with type 2 diabetes. J. Res. Pharm. 2019, 23, 360–378. [Google Scholar] [CrossRef]
- Aamir, M.; Singh, V.K.; Dubey, M.K.; Meena, M.; Kashyap, S.P.; Katari, S.K.; Upadhyay, R.S.; Umamaheswari, A.; Singh, S. In-silico prediction, characterization, molecular docking, and dynamic studies on fungal SDRs as novel targets for searching potential fungicides against fusarium wilt in tomato. Front. Pharmacol. 2018, 9, 1038. [Google Scholar] [CrossRef]
- Tao, X.; Huang, Y.; Wang, C.; Chen, F.; Yang, L.; Ling, L.; Che, Z.; Chen, X.; Li, L. Recent developments in molecular docking technology applied in food science: A review. Int. J. Food Sci. Technol. 2020, 55, 33–45. [Google Scholar] [CrossRef]
- Cattaneo, A.; Macchi, F.; Plazzotta, G.; Veronica, B.; Bocchio-Chiavetto, L.; Riva, M.A.; Pariante, C.M. Inflammation and neuronal plasticity: A link between childhood trauma and depression pathogenesis. Front. Cell. Neurosci. 2015, 9, 40. [Google Scholar] [CrossRef] [PubMed]
- Capuron, L.; Miller, A.H. Immune system to brain signaling: Neuropsychopharmacological implications. Pharmacol. Ther. 2011, 130, 226–238. [Google Scholar] [CrossRef] [PubMed]
- Koelsch, S.; Boehlig, A.; Hohenadel, M.; Nitsche, I.; Bauer, K.; Sack, U. The impact of acute stress on hormones and cytokines and how their recovery is affected by music-evoked positive mood. Sci. Rep. 2016, 6, 23008. [Google Scholar] [CrossRef] [PubMed]
- Chrousos, G.P. Stress and disorders of the stress system. Nat. Rev. Endocrinol. 2009, 5, 374–381. [Google Scholar] [CrossRef]
- Gold, P.W. The organization of the stress system and its dysregulation in depressive illness. Mol. Psychiatry 2015, 20, 32–47. [Google Scholar] [CrossRef]
- Chiliveri, P.; Baluka, V.; Priyadharshini, I.U.; Reddy, P. In-Silico Interactions of Lead (Pb), Cadmium (Cd), and Arsenic (As) with Gstm1: A Molecular Modelling and Docking Study. Res. J. Life Sci. Bioinform. Pharm. Chem. Sci. 2019, 5, 1–11. [Google Scholar] [CrossRef]
- Collin, M.S.; Venkatraman, S.K.; Vijayakumar, N.; Kanimozhi, V.; Arbaaz, S.M.; Stacey, R.G.S.; Anusha, J.; Choudhary, R.; Lvov, V.; Tovar, G.I.; et al. Bioaccumulation of lead (Pb) and its effects on human: A review. J. Hazard. Mater. Adv. 2022, 7, 100094. [Google Scholar] [CrossRef]
- Romaniuk, A.; Lyndin, M.; Sikora, V.; Lyndina, Y.; Romaniuk, S.; Sikora, K. Heavy metals effect on breast cancer progression. J. Occup. Med. Toxicol. 2017, 12, 32. [Google Scholar]
- Okorokov, A.L.; Sherman, M.B.; Plisson, C.; Grinkevich, V.; Sigmundsson, K.; Selivanova, G.; Milner, J.; Orlova, E.V. The structure of p53 tumour suppressor protein reveals the basis for its functional plasticity. EMBO J. 2006, 25, 5191. [Google Scholar] [CrossRef] [PubMed]
- Berger, C.; Qian, Y.; Chen, X. The p53-Estrogen Receptor Loop in Cancer. Curr. Mol. Med. 2013, 13, 1229. [Google Scholar] [CrossRef]
- Ostrakhovitch, E.A.; Olsson, E.; Jiang, S.; Cherian, M.G. Interaction of metallothionein with tumor suppressor p53 protein. FEBS Lett. 2006, 580, 1235–1238. [Google Scholar] [CrossRef]
- Flora, G.; Gupta, D.; Tiwari, A. Toxicity of lead: A review with recent updates. Interdiscip. Toxicol. 2012, 5, 47–58. [Google Scholar] [CrossRef]
- Raza-Naqvi, S.A.; Idrees, F.; Sherazi, T.A.; Anjum-Shahzad, S.; Ul-Hassan, S.; Ashraf, N. Toxicology of Heavy Metals Used in Cosmetics. J. Chil. Chem. Soc. 2022, 67, 5615–5622. [Google Scholar] [CrossRef]
- Sun, X.; Tian, X.; Tomsig, J.L.; Suszkiw, J.B. Analysis of differential effects of Pb2+ on protein kinase C isozymes. Toxicol. Appl. Pharmacol. 1999, 156, 40–45. [Google Scholar] [CrossRef] [PubMed]
- Kern, M.; Wisniewski, M.; Cabell, L.; Audesirk, G. Inorganic lead and calcium interact positively in activation of calmodulin. Neurotoxicology 2000, 21, 353–363. Available online: https://pubmed.ncbi.nlm.nih.gov/10894125/ (accessed on 18 May 2023).
- El-Sokkary, G.H.; Abdel-Rahman, G.H.; Kamel, E.S. Melatonin protects against lead-induced hepatic and renal toxicity in male rats. Toxicology 2005, 213, 25–33. [Google Scholar] [CrossRef]
- Omobowale, T.O.; Oyagbemi, A.A.; Akinrinde, A.S.; Saba, A.B.; Daramola, O.T.; Ogunpolu, B.S.; Olopade, J.O. Failure of recovery from lead induced hepatoxicity and disruption of erythrocyte antioxidant defence system in Wistar rats. Environ. Toxicol. Pharmacol. 2014, 37, 1202–1211. [Google Scholar] [CrossRef]
- Dong, J.; Atwood, C.S.; Anderson, V.E.; Siedlak, S.L.; Smith, M.A.; Perry, G.; Carey, P.R. Metal binding and oxidation of amyloid-beta within isolated senile plaque cores: Raman microscopic evidence. Biochemistry 2003, 42, 2768–2773. [Google Scholar] [CrossRef]
- Maynard, C.J.; Bush, A.I.; Masters, C.L.; Cappai, R.; Li, Q.X. Metals and amyloid-beta in Alzheimer’s disease. Int. J. Exp. Pathol. 2005, 86, 147–159. [Google Scholar] [CrossRef]
- Notarachille, G.; Arnesano, F.; Calò, V.; Meleleo, D. Heavy metals toxicity: Effect of cadmium ions on amyloid beta protein 1–42. Possible implications for Alzheimer’s disease. Biometals 2014, 27, 371–388. [Google Scholar] [CrossRef] [PubMed]
- Tan, T.C.; Chia, C.K.; Teo, C.K. Uptake of metal ions by chemically treated human hair. Water Res. 1985, 19, 157–162. [Google Scholar] [CrossRef]
- Pace, N.J.; Weerapana, E. Diverse functional roles of reactive cysteines. ACS Chem. Biol. 2013, 8, 283–296. [Google Scholar] [CrossRef]
- Berger, M.; Gray, J.A.; Roth, B.L. The Expanded Biology of Serotonin. Annu. Rev. Med. 2009, 60, 355. [Google Scholar] [CrossRef] [PubMed]
- Slotkin, T.A.; MacKillop, E.A.; Ryde, I.T.; Tate, C.A.; Seidler, F.J. Screening for Developmental Neurotoxicity Using PC12 Cells: Comparisons of Organophosphates with a Carbamate, an Organochlorine, and Divalent Nickel. Environ. Health Perspect. 2007, 115, 93. [Google Scholar] [CrossRef]
- Karri, V.; Schuhmacher, M.; Kumar, V. Heavy metals (Pb, Cd, As and MeHg) as risk factors for cognitive dysfunction: A general review of metal mixture mechanism in brain. Environ. Toxicol. Pharmacol. 2016, 48, 203–213. [Google Scholar] [CrossRef] [PubMed]
- Abdelouahab, N.; Huel, G.; Suvorov, A.; Foliguet, B.; Goua, V.; Debotte, G.; Sahuquillo, J.; Charles, M.-A.; Takser, L. Monoamine oxidase activity in placenta in relation to manganese, cadmium, lead, and mercury at delivery. Neurotoxicol. Teratol. 2010, 32, 256–261. [Google Scholar] [CrossRef]
- Senatori, O.; Setini, A.; Scirocco, A.; Nicotra, A. Effect of short-time exposures to nickel and lead on brain monoamine oxidase from Danio rerio and Poecilia reticulata. Environ. Toxicol. 2009, 24, 309–313. [Google Scholar] [CrossRef]
- Shaban, N.Z.; Ali, A.E.; Masoud, M.S. Effect of cadmium and zinc ethanolamine complexes on rat brain monoamine oxidase-B activity in-vitro. J. Inorg. Biochem. 2003, 95, 141–148. [Google Scholar] [CrossRef]
- Bijoor, A.R.; Sudha, S.; Venkatesh, T. Neurochemical and Neurobehavioral Effects of Low Lead Exposure on the Developing Brain. Indian J. Clin. Biochem. 2012, 27, 147. [Google Scholar] [CrossRef]
- Wang, Z.-X.; Chen, J.-Q.; Chai, L.-Y.; Yang, Z.-H.; Huang, S.-H.; Zheng, Y. Environmental impact and site-specific human health risks of chromium in the vicinity of a ferro-alloy manufactory, China. J. Hazard. Mater. 2011, 190, 980–985. [Google Scholar] [CrossRef] [PubMed]
- Harasarn, K.; Phatrabuddha, N.; Kaewkaen, P.; Jaidee, W.; Thetkathuek, A. Comparison of monoamine oxidase and selected heavy metal levels in the blood and the workplace among e-waste sorting workers in Ubon Ratchathani Province, Thailand. Rocz. Panstw. Zakl. Hig. 2022, 73, 463–474. [Google Scholar] [CrossRef]
- Ng, T.B.; Liu, W.K. Toxic effect of heavy metals on cells isolated from the rat adrenal and testis. In-Vitro Cell Dev. Biol. 1990, 26, 24–28. [Google Scholar] [CrossRef]
- Choi, S.; Lee, A.; Choi, G.; Moon, H.-B.; Kim, S.; Choi, K.; Park, J. Free Cortisol Mediates Associations of Maternal Urinary Heavy Metals with Neonatal Anthropometric Measures: A Cross-Sectional Study. Toxics 2022, 10, 167. [Google Scholar] [CrossRef]
- Pérez-Cadahía, B.; Laffon, B.; Porta, M.; Lafuente, A.; Cabaleiro, T.; López, T.; Caride, A.; Pumarega, J.; Romero, A.; Pásaro, E.; et al. Relationship between blood concentrations of heavy metals and cytogenetic and endocrine parameters among subjects involved in cleaning coastal areas affected by the ‘Prestige’ tanker oil spill. Chemosphere 2008, 71, 447–455. [Google Scholar] [CrossRef]
- Hamouda, A.F. A biochemical study of chronic stress and chronic inflammation fibromyalgia. Pharm. Pharmacol. Int. J. 2018, 6, 234–243. [Google Scholar] [CrossRef]
- Hamouda, A.F.; Hassan, A.; Elbendary, E.Y.; Aziz WO, A.; Zeina EK, O.M.; Mahmoud, M.H.; Khardali, I.A.; Attafi, I.M.; Fageeh, M.M.; Attafi, M.A. A Short Communication Pilot Study on Stress and Its Chronic Consequences of College Students Bilharzia Associated Bladder Cancer View Project Bladder Cancer View Project. 2020. Available online: https://www.researchgate.net/publication/344674920 (accessed on 19 May 2023).
- Hamouda, A.F.; Mahamed, E.K.O.; Zeina, W.O.A.A.; Khazaei, S.A.; Basheery, A.A.; Mubarki, H.M.; Ogdi, S.J.; Sholan, M.A.; Edrees, R.M.; Khazaei, A.H.; et al. A short communication nutritional observation study. J. Pharm. Pharmacol. Res. 2013, 3, 1–4. [Google Scholar] [CrossRef] [PubMed]
- Hamouda, A.F. A Pilot Study of Antistress Effects of Vitamin B Complex and Agarwood Extract in an Animal Model with Parallel Observations on Depression in Human Subjects. J. Drug Alcohol. Res. 2021, 11, 236119. Available online: https://www.ashdin.com/articles/a-pilot-study-of-antistress-effects-of-vitamin-b-complex-and-agarwood-extract-in-an-animal-model-with-parallel-observations-on-dep−68282.html (accessed on 19 May 2023).
- Skórzyńska-Polit, E.; Pawlikowska-Pawl, B.; Szczuka, E.; Dra, M.; Krupa, Z. The activity and localization of lipoxygenases in Arabidopsis thaliana under cadmium and copper stresses. Plant Growth Regul. 2006, 48, 29–39. [Google Scholar] [CrossRef]
- Liu, L.; Chen, J.; Liu, C.; Luo, Y.; Chen, J.; Fu, Y.; Xu, Y.; Wu, H.; Li, X.; Wang, H. Relationships Between Biological Heavy Metals and Breast Cancer: A Systematic Review and Meta-Analysis. Front. Nutr. 2022, 9, 838762. [Google Scholar] [CrossRef]
- Lim, C.W.; Han, S.W.; Hwang, I.S.; Kim, D.S.; Hwang, B.K.; Lee, S.C. The Pepper Lipoxygenase CaLOX1 Plays a Role in Osmotic, Drought and High Salinity Stress Response. Plant Cell Physiol. 2015, 56, 930–942. [Google Scholar] [CrossRef] [PubMed]
- Navabpour, S.; Yamchi, A.; Bagherikia, S.; Kafi, H. Lead-induced oxidative stress and role of antioxidant defense in wheat (Triticum aestivum L.). Physiol. Mol. Biol. Plants 2020, 26, 793–802. [Google Scholar] [CrossRef]
- Hamouda, A.F.; Khardali, I.A.; Attafi, I.M.; Oraiby, M.E.; Attafi, M.A.; Muyidi, A.M.S.; Dohali, H.A.A. Study the Relation Between Acetylcholinesterase and Obesity in University Students. Int. J. Nutr. Food Sci. 2019, 8, 46. [Google Scholar] [CrossRef]
- Lee, G.; Arcasoy, M.O. The clinical and laboratory evaluation of the patient with erythrocytosis. Eur. J. Intern. Med. 2015, 26, 297–302. [Google Scholar] [CrossRef] [PubMed]
- Van Tiel, E.D.; Peeters, P.H.; Smit, H.A.; Nagelkerke, N.J.; Van Loon, A.J.M.; Grobbee, D.E.; Bueno-De-Mesquita, H.B. Quitting Smoking May Restore Hematological Characteristics within Five Years. Ann. Epidemiol. 2002, 12, 378–388. [Google Scholar] [CrossRef] [PubMed]
- Swaminathan, V.; Subramaniam, D. Identifying A Potential Drug from Acorus Calamus and Determining the Specific Binding Region in the Human Coronavirus Protein via In-Silico Docking Method. J. Bio Innov. 2020, 9, 827–834. [Google Scholar] [CrossRef]
- Labbé, C.M.; Rey, J.; Lagorce, D.; Vavruša, M.; Becot, J.; Sperandio, O.; Villoutreix, B.; Tuffery, P.; Miteva, M. MTiOpenScreen: A web server for structure-based virtual screening. Nucleic Acids Res. 2015, 43, W448–W454. [Google Scholar] [CrossRef]
- Wang, Y.; Suzek, T.; Zhang, J.; Wang, J.; He, S.; Cheng, T.; Shoemaker, B.A.; Gindulyte, A.; Bryant, S.H. PubChem BioAssay: 2014 update. Nucleic Acids Res. 2014, 42, D1075. [Google Scholar] [CrossRef]
- Trott, O.; Olson, A.J. AutoDock Vina: Improving the speed and accuracy of docking with a new scoring function, efficient optimization and multithreading. J. Comput. Chem. 2010, 31, 455. [Google Scholar] [CrossRef] [PubMed]
- Morris, G.M.; Huey, R.; Lindstrom, W.; Sanner, M.F.; Belew, R.K.; Goodsell, D.S.; Olson, A.J. AutoDock4 and AutoDockTools4: Automated docking with selective receptor flexibility. J. Comput. Chem. 2009, 30, 2785–2791. [Google Scholar] [CrossRef] [PubMed]
- Sehnal, D.; Rose, A.S.; Koča, J.; Burley, S.K.; Velankar, S. Workshop on Molecular Graphics and Visual Analysis of Molecular Data; The Eurographics Association: Eindhoven, The Netherlands, 2018. [Google Scholar] [CrossRef]
- Tyagi, R.; Verma, S.; Mishra, S.; Srivastava, M.; Alam, S.; Khan, F.; Srivastava, S.K. In-Vitro and In-Silico Studies of Glycyrrhetinic Acid Derivatives as Anti- Filarial Agents. Curr. Top. Med. Chem. 2019, 19, 1191–1200. [Google Scholar] [CrossRef]
- Harish, B.M.; Devaraju, K.S. In-silico binding affinity study of calcineurin inhibitors to calcineurin and its close associates. Indian J. Biotechnol. 2013, 12, 213–217. [Google Scholar]







| Biological Samples | Group 1 (n = 71) | Group 2 (n = 29) | Test of Sig. | p | |
|---|---|---|---|---|---|
| Serum | Cr (μg/L) (0.1–2.1) | 0 (0%) | 0 (0%) | – | – |
| Mean ± SD | 455.6 ± 168.9 | 168.8 ± 46 | U = 26.0 * | <0.001 * | |
| Median (Min.–Max.) | 408.1 (128–962) | 172 (101–273) | |||
| Al (μg/L) (0–9) | 70 (98.6%) | 29 (100%) | χ2 = 0.413 | FEp = 1.000 | |
| Mean ± SD | 1.68 ± 2 | 0.64 ± 1.14 | U = 768.0 * | 0.042 * | |
| Median (Min.–Max.) | 1.29 (0–9.73) | 0.20 (0–5.16) | |||
| Cd (μg/L) (0–4.9) | 7 (9.9%) | 26 (89.7%) | χ2 = 59.97 * | <0.001 * | |
| Mean ± SD | 9.43 ± 3.43 | 3.08 ± 1.62 | U = 75.0 * | <0.001 * | |
| Median (Min.–Max.) | 8.90 (3.40–17.2) | 3.10 (0–7.20) | |||
| Pb (μg/L) (0–190) | 71 (100%) | 29 (100%) | – | – | |
| Mean ± SD | 0.33 ± 0.23 | 0.25 ± 0.17 | U = 791.0 | 0.069 | |
| Median (Min.–Max.) | 0.32 (0–0.96) | 0.20 (0–0.60) | |||
| Cholinesterase (U/L) (4389–10,928) | 66 (93%) | 23 (79.3%) | χ2 = 3.917 | FEp = 0.074 | |
| Mean ± SD | 7409.7 ± 1953.6 | 5883.4 ± 1457.4 | U = 523.50 * | <0.001 * | |
| Median (Min.–Max.) | 7786.6 (1628.7–10,289.5) | 6044 (3938.2–9452) | |||
| Nails | Cr (μg/g) (0.01–1.4) | 0 (0%) | 0 (0%) | – | – |
| Mean ± SD | 1725.6 ± 256.9 | 1282.7 ± 267.3 | t = 7.733 * | <0.001 * | |
| Median (Min.–Max.) | 1808 (1105–2015) | 1210 (1003–2318) | |||
| Al (μg/g) (0.5–69) | 71 (100%) | 29 (100%) | – | – | |
| Mean ± SD | 34.8 ± 2.84 | 27.7 ± 5.54 | t = 6.524 * | <0.001 * | |
| Median (Min.–Max.) | 33.5 (30.1–39.8) | 26.1 (17–39.1) | |||
| Cd (μg/g) (0.001–0.14) | 0 (0%) | 0 (0%) | – | – | |
| Mean ± SD | 89 ± 4.58 | 61.6 ± 4.75 | t = 26.945 * | <0.001 * | |
| Median (Min.–Max.) | 89.3 (80.9–99.3) | 62.2 (50.2–69.2) | |||
| Pb (μg/g) (0.02–2) | 0 (0%) | 0 (0%) | – | – | |
| Mean ± SD | 26.5 ± 4.54 | 18.5 ± 2.98 | t = 8.720 * | <0.001 * | |
| Median (Min.–Max.) | 26.4 (15.1–35.9) | 18.9 (10.9–24.1) | |||
| Hair | Cr (μg/g) (0.1–1.5) | 0 (0%) | 0 (0%) | – | – |
| Mean ± SD | 1511 ± 291 | 1107.5 ± 63.6 | t = 11.056 * | <0.001 * | |
| Median (Min.–Max.) | 1543 (1003–1983) | 1103 (1003–1301) | |||
| Al (μg/g) (0.2–14.6) | 0 (0%) | 11 (37.9%) | χ2 = 30.260 | FEp < 0.001 * | |
| Mean ± SD | 26.14 ± 3.17 | 15 ± 2.19 | t = 17.243 * | <0.001 * | |
| Median (Min.–Max.) | 25.8 (20.1–35.1) | 15.2 (10.7–18.1) | |||
| Cd (μg/g) (0.004–0.17) | 0 (0%) | 0 (0%) | – | – | |
| Mean ± SD | 56.8 ± 3.60 | 36.8 ± 3.63 | t = 25.151 * | <0.001 * | |
| Median (Min.–Max.) | 56.6 (50.2–66) | 36.1 (30.6–44.8) | |||
| Pb (μg/g) (0.1–5.2) | 0 (0%) | 0 (0%) | – | – | |
| Mean ± SD | 16.5 ± 2.78 | 12 ± 1.44 | t = 10.675 * | <0.001 * | |
| Median (Min.–Max.) | 16.8 (10.8–26.3) | 12 (10–17.3) |
| CBC | Group 1 (n = 71) | Group 2 (n = 29) | Test of Sig. | p |
|---|---|---|---|---|
| Hemoglobin (g/dL) (12–15) | 8 (11.3%) | 29 (100.0%) | χ2 = 69.547 * | <0.001 * |
| Mean ± SD | 10.2 ± 1.15 | 12.8 ± 0.51 | t = 15.543 * | <0.001 * |
| Median (Min.–Max.) | 10.1 (8.20–13) | 12.7 (12.1–13.9) | ||
| Hematocrit (%) (37–47) | 60 (84.5%) | 29 (100.0%) | χ2 = 5.048 * | FEp = 0.031 * |
| Mean ± SD | 38.3 ± 1.28 | 42.35 ± 1.29 | t = 14.130 * | <0.001 * |
| Median (Min.–Max.) | 38.4 (35.2–40.5) | 42.3 (40–45.9) | ||
| RBCs (×1012/L) (3.8–4.8) | 22 (31.0%) | 29 (100.0%) | χ2 = 39.243 * | <0.001 * |
| Mean ± SD | 5.04 ± 0.46 | 4.11 ± 0.20 | t = 13.992 * | <0.001 * |
| Median (Min.–Max.) | 5.12 (4.12–5.85) | 4.12 (3.82–4.65) | ||
| MCV (fl) (80–100) | 30 (42.3%) | 29 (100.0%) | χ2 = 28.384 * | <0.001 * |
| Mean ± SD | 78.9 ± 3.93 | 83.2 ± 1.23 | t = 8.173 * | <0.001 * |
| Median (Min.–Max.) | 79.1 (70.9–86.5) | 82.9 (80.2–85.4) | ||
| MCH (pg) (27–32) | 7 (9.9%) | 29 (100.0%) | χ2 = 72.613 * | <0.001 * |
| Mean ± SD | 26 ± 0.60 | 27.98 ± 0.64 | t = 14.596 * | <0.001 * |
| Median (Min.–Max.) | 26 (25–27.5) | 27.9 (27.1–29.2) | ||
| MCHC (g/dL) (32–36) | 0 (0.0%) | 29 (100.0%) | χ2 = 100.00 * | <0.001 * |
| Mean ± SD | 29.5 ± 0.65 | 33.8 ± 0.63 | t = 30.260 * | <0.001 * |
| Median (Min.–Max.) | 29.2 (28.2–30.9) | 33.9 (32.5–34.9) | ||
| RDW (%) (13–15) | 4 (5.6%) | 29 (100.0%) | χ2 = 82.928 * | <0.001 * |
| Mean ± SD | 15.7 ± 0.63 | 13.77 ± 0.36 | t = 19.585 * | <0.001 * |
| Median (Min.–Max.) | 15.6 (14.2–17) | 13.8 (13.1–14.6) | ||
| Platelet (×109/L) (150–400) | 71 (100.0%) | 29 (100.0%) | – | – |
| Mean ± SD | 233.5 ± 23 | 215 ± 13.3 | t = 5.034 * | <0.001 * |
| Median (Min.–Max.) | 227 (200–292) | 215.(184–241) | ||
| MPV (fl) (7.5–12) | 24 (33.8%) | 29 (100.0%) | χ2 = 36.221 | <0.001 * |
| Mean ± SD | 7.35 ± 0.28 | 8.50 ± 0.38 | t = 16.746 * | <0.001 * |
| Median (Min.–Max.) | 7.25 (7.01–7.95) | 8.48 (7.56–9.12) | ||
| WBCs (×109/L) (4.5–11) | 71 (100.0%) | 29 (100.0%) | – | – |
| Mean ± SD | 6.40 ± 0.36 | 5.42 ± 0.27 | t = 13.258 * | <0.001 * |
| Median (Min.–Max.) | 6.35 (5.20–6.98) | 5.40 (5.10–5.90) | ||
| Basophils (×109/L) (0.02–0.1) | 71 (100.0%) | 29 (100.0%) | – | – |
| Mean ± SD | 0.05 ± 0.02 | 0.04 ± 0.01 | U = 576.0 * | <0.001 * |
| Median (Min.–Max.) | 0.05 (0.02–0.09) | 0.04 (0.02–0.06) | ||
| Eosinophil’s (×109/L) (0.2–0.5) | 71 (100.0%) | 29 (100.0%) | – | – |
| Mean ± SD | 0.32 ± 0.06 | 0.29 ± 0.05 | t = 2.719 * | 0.008 * |
| Median (Min.–Max.) | 0.32 (0.21–0.47) | 0.28 (0.24–0.41) | ||
| Neutrophils (×109/L) (2–7) | 71 (100.0%) | 29 (100.0%) | – | – |
| Mean ± SD | 4.09 ± 0.69 | 4.12 ± 0.19 | t = 0.370 | 0.712 |
| Median (Min.–Max.) | 3.98 (3.01–5.98) | 4.15 (3.65–4.53) | ||
| Lymphocytes (×109/L) (1–3) | 71 (100.0%) | 29 (100.0%) | – | – |
| Mean ± SD | 2.22 ± 0.49 | 2.03 ± 0.17 | t = 2.866 * | 0.005 * |
| Median (Min.–Max.) | 2.38 (1.12–2.96) | 2.03 (1.68–2.31) | ||
| Monocytes (×109/L) (0.2–1) | 70 (98.6%) | 29 (100.0%) | χ2 = 0.413 | FEp = 1.000 |
| Mean ± SD | 0.66 ± 0.10 | 0.51 ± 0.03 | t = 11.397 * | <0.001 * |
| Median (Min.–Max.) | 0.68 (0.45–1.01) | 0.51 (0.45–0.57) |
| Biological Samples | ||||||
|---|---|---|---|---|---|---|
| Serum (μg/L) vs. Nails (μg/g) | Serum (μg/L) vs. Hair (μg/g) | Nails (μg/g) vs. Hair (μg/g) | ||||
| rs | p | rs | p | r | p | |
| Group 1 (n = 71) | ||||||
| Cr | 0.014 | 0.908 | 0.075 | 0.532 | −0.185 | 0.122 |
| Al | −0.083 | 0.490 | −0.083 | 0.494 | −0.017 | 0.886 |
| Cd | 0.279 * | 0.018 * | −0.028 | 0.814 | −0.070 | 0.559 |
| Pb | −0.245 * | 0.039 * | 0.081 | 0.501 | −0.038 | 0.751 |
| Group 2 (n = 29) | ||||||
| Cr | 0.273 | 0.152 | −0.133 | 0.492 | 0.142 | 0.463 |
| Al | −0.070 | 0.717 | −0.297 | 0.117 | 0.103 | 0.594 |
| Cd | 0.125 | 0.518 | −0.075 | 0.700 | 0.226 | 0.239 |
| Pb | 0.161 | 0.404 | 0.023 | 0.906 | 0.252 | 0.186 |
| Cholinesterase (U/L) vs. | Group 1 (n = 71) | Group 2 (n = 29) | ||
|---|---|---|---|---|
| rs | p | rs | p | |
| Serum Biological Samples | ||||
| Cr (μg/L) | 0.299 | 0.011 * | 0.101 | 0.602 |
| Al (μg/L) | −0.275 | 0.020 * | −0.370 | 0.048 * |
| Cd (μg/L) | 0.118 | 0.328 | 0.250 | 0.191 |
| Pb (μg/L) | 0.021 | 0.860 | 0.201 | 0.295 |
| Serum | |||||||||||
|---|---|---|---|---|---|---|---|---|---|---|---|
| Cr (μg/L) | Al (μg/L) | Cd (μg/L) | Pb (μg/L) | Cholinesterase (U/L) | |||||||
| Group 1 (n = 71) | Group 2 (n = 29) | Group 1 (n = 71) | Group 2 (n = 29) | Group 1 (n = 71) | Group 2 (n = 29) | Group 1 (n = 71) | Group 2 (n = 29) | Group 1 (n = 71) | Group 2 (n = 29) | ||
| Hemoglobin (g/dL) | rs | −0.243 * | −0.096 | 0.154 | −0.218 | 0.024 | 0.148 | −0.034 | 0.234 | −0.092 | −0.028 |
| p | 0.041 * | 0.622 | 0.198 | 0.255 | 0.840 | 0.444 | 0.779 | 0.222 | 0.445 | 0.884 | |
| Hematocrit (%) | rs | 0.522 * | 0.107 | −0.161 | −0.019 | 0.041 | −0.116 | −0.246 * | 0.244 | 0.409 * | −0.297 |
| p | <0.001 * | 0.580 | 0.179 | 0.921 | 0.736 | 0.548 | 0.038 * | 0.203 | <0.001 * | 0.118 | |
| RBCs (×1012/L) | rs | −0.044 | 0.057 | −0.084 | 0.006 | −0.119 | −0.291 | 0.116 | 0.104 | −0.027 | 0.186 |
| p | 0.715 | 0.767 | 0.487 | 0.975 | 0.321 | 0.126 | 0.337 | 0.590 | 0.823 | 0.334 | |
| MCV (fl) | rs | 0.338 * | −0.083 | 0.026 | −0.166 | 0.208 | 0.153 | −0.163 | 0.108 | 0.206 | 0.171 |
| p | 0.004 * | 0.668 | 0.830 | 0.391 | 0.082 | 0.427 | 0.174 | 0.575 | 0.085 | 0.376 | |
| MCH (pg) | rs | 0.023 | −0.067 | 0.010 | 0.092 | −0.109 | −0.110 | 0.119 | 0.043 | −0.313 * | −0.228 |
| p | 0.852 | 0.729 | 0.932 | 0.635 | 0.365 | 0.571 | 0.322 | 0.825 | 0.008 * | 0.234 | |
| MCHC (g/dL) | rs | −0.201 | −0.137 | 0.248 * | 0.324 | 0.072 | −0.250 | 0.208 | −0.255 | −0.134 | −0.483 * |
| p | 0.093 | 0.479 | 0.037 * | 0.086 | 0.548 | 0.190 | 0.082 | 0.182 | 0.264 | 0.008 * | |
| RDW (%) | rs | 0.041 | −0.201 | 0.019 | −0.065 | −0.087 | −0.031 | 0.074 | 0.077 | −0.160 | −0.078 |
| p | 0.734 | 0.295 | 0.872 | 0.736 | 0.472 | 0.875 | 0.539 | 0.692 | 0.182 | 0.687 | |
| Platelet (×109/L) | rs | −0.156 | −0.380 * | −0.333 * | −0.028 | 0.191 | 0.302 | 0.056 | −0.384 * | 0.033 | −0.215 |
| p | 0.193 | 0.042 * | 0.005 * | 0.887 | 0.110 | 0.111 | 0.644 | 0.040 * | 0.782 | 0.264 | |
| MPV (fl) | rs | −0.048 | −0.052 | −0.183 | −0.004 | −0.095 | 0.079 | 0.131 | −0.074 | −0.053 | 0.116 |
| p | 0.691 | 0.791 | 0.127 | 0.983 | 0.430 | 0.683 | 0.278 | 0.702 | 0.662 | 0.549 | |
| WBCs (×109/L) | rs | 0.092 | 0.100 | −0.159 | 0.198 | 0.150 | −0.180 | 0.026 | −0.033 | 0.240 * | −0.016 |
| p | 0.444 | 0.605 | 0.186 | 0.304 | 0.212 | 0.349 | 0.833 | 0.866 | 0.044 * | 0.936 | |
| Basophils (×109/L) | rs | −0.008 | 0.039 | −0.040 | 0.041 | 0.129 | 0.046 | 0.139 | 0.175 | 0.129 | 0.015 |
| p | 0.948 | 0.841 | 0.738 | 0.833 | 0.285 | 0.812 | 0.246 | 0.365 | 0.282 | 0.938 | |
| Eosinophil’s (×109/L) | rs | −0.001 | 0.139 | 0.170 | 0.165 | 0.036 | −0.371 * | −0.268 * | −0.237 | 0.018 | −0.367 |
| p | 0.990 | 0.472 | 0.156 | 0.393 | 0.763 | 0.047 * | 0.024 * | 0.216 | 0.878 | 0.051 | |
| Neutrophils (×109/L) | rs | −0.139 | 0.000 | −0.022 | 0.045 | 0.209 | −0.257 | −0.072 | −0.086 | 0.011 | 0.161 |
| p | 0.246 | 0.999 | 0.854 | 0.817 | 0.080 | 0.179 | 0.550 | 0.656 | 0.930 | 0.405 | |
| Lymphocytes (×109/L) | rs | 0.057 | 0.024 | −0.080 | −0.290 | 0.131 | 0.034 | −0.166 | −0.174 | 0.168 | 0.079 |
| p | 0.638 | 0.902 | 0.508 | 0.127 | 0.275 | 0.860 | 0.168 | 0.366 | 0.163 | 0.683 | |
| Monocytes (×109/L) | rs | −0.176 | −0.316 | 0.096 | 0.355 | −0.247 * | 0.298 | 0.209 | −0.127 | −0.147 | −0.486 * |
| p | 0.142 | 0.095 | 0.425 | 0.059 | 0.038 * | 0.117 | 0.081 | 0.511 | 0.222 | 0.008 * | |
| Target (Protein, Hormone, Gene, and Their Receptors) | Global Binding Energy of the Highest Binding Affinity (kcal/mole) of Heavy Metals with the Target (Protein, Hormone, Gene, and Their Receptors) with the Best Enlarged Angle for the Ligand with the Protein | |||||
|---|---|---|---|---|---|---|
| Cr Compound CID: 23976 | Al Compound CID: 5359268 | Cd Compound CID: 23973 | Pb Compound CID: 5352425 | |||
| Cholinesterase | Target Protein | 1P0P | −8.49 (Lig. Pos. 3/100)![]() | −8.69 (Lig. Pos. 3/100)![]() | −8.46 (Lig. Pos. 3/100)![]() | −8.72 (Lig. Pos. 3/60)![]() |
| Target Receptor | 6EP4 | −8.66 (Lig. Pos. 3/100)![]() | −8.72 (Lig. Pos. 3/70)![]() | −6.9 (Lig. Pos. 2/20)![]() | −7.62 (Lig. Pos. 9/40)![]() | |
| P53 | Target Protein | 7VOU | −8.72 (Lig. Pos. 3/30)![]() | −8.6 (Lig. Pos. 3/30)![]() | −8.69 (Lig. Pos. 3/100)![]() | −8.67 (Lig. Pos. 3/40)![]() |
| 2LY4 | −6.9 (Lig. Pos. 2/20)![]() | −8.71 (Lig. Pos. 3/100)![]() | −8.65 (Lig. Pos. 3/50)![]() | −8.7 (Lig. Pos. 3/30)![]() | ||
| 2JTX | −8.63 (Lig. Pos. 3/100)![]() | −7.62 (Lig. Pos. 9/70)![]() | −7.63 (Lig. Pos. 9/70)![]() | −8.69 (Lig. Pos. 3/100)![]() | ||
| Target Receptor | 6VTH | −8.74 (Lig. Pos. 3/30)![]() | −8.65 (Lig. Pos. 3/90)![]() | −8.7 (Lig. Pos. 3/100)![]() | −8.65 (Lig. Pos. 3/100)![]() | |
| Dopamine | Target Protein | 5PAH | −8.71 (Lig. Pos. 3/100)![]() | −7.6 (Lig. Pos. 9/40)![]() | −7.63 (Lig. Pos. 9/30)![]() | −8.73 (Lig. Pos. 3/100)![]() |
| Target Receptor | 3PBL | −7.65 (Lig. Pos. 9/30)![]() | −8.71 (Lig. Pos. 3/100)![]() | −8.74 (Lig. Pos. 3/100)![]() | −8.65 (Lig. Pos. 3/100)![]() | |
| Estrogen | Target Protein | 1FDW | −8.73 (Lig. Pos. 3/100)![]() | −8.68 (Lig. Pos. 3/100)![]() | −8.65 (Lig. Pos. 3/90)![]() | −8.57 (Lig. Pos. 3/100)![]() |
| Target Receptor | 1L2J | −8.74 (Lig. Pos. 3/100)![]() | −8.72 (Lig. Pos. 3/100)![]() | −8.62 (Lig. Pos. 3/100)![]() | −8.67 (Lig. Pos. 3/100)![]() | |
| 4J26 | −8.45 (Lig. Pos. 3/100)![]() | −8.69 (Lig. Pos. 3/100)![]() | −8.71 (Lig. Pos. 3/100)![]() | −8.7 (Lig. Pos. 3/100)![]() | ||
| 4J24 | −8.71 (Lig. Pos. 3/100)![]() | −8.71 (Lig. Pos. 3/100)![]() | −8.48 (Lig. Pos. 3/100)![]() | −8.48 (Lig. Pos. 3/100)![]() | ||
| Metallothionein | Target Protein | 1MHU | −8.7 (Lig. Pos. 3/100)![]() | −8.69 (Lig. Pos. 3/100)![]() | −8.65 (Lig. Pos. 3/100)![]() | −8.72 (Lig. Pos. 3/60)![]() |
| Target Receptor | 2MHU | −8.69 (Lig. Pos. 3/100)![]() | −8.6 (Lig. Pos. 3/100)![]() | −8.72 (Lig. Pos. 3/100)![]() | −8.63 (Lig. Pos. 3/100)![]() | |
| 2F5H | −8.48 (Lig. Pos. 3/100)![]() | −8.63 (Lig. Pos. 3/100)![]() | −8.63 (Lig. Pos. 3/100)![]() | −8.73 (Lig. Pos. 3/100)![]() | ||
| Keratin | Target Protein | 6EC0 | −8.7 (Lig. Pos. 3/100)![]() | −8.73 (Lig. Pos. 3/90)![]() | −8.49 (Lig. Pos. 3/100)![]() | −8.49 (Lig. Pos. 3/100)![]() |
| Target Receptor | 4ZRY | −8.7 (Lig. Pos. 3/100)![]() | −8.47 (Lig. Pos. 3/100)![]() | −8.73 (Lig. Pos. 3/100)![]() | −8.68 (Lig. Pos. 3/100)![]() | |
| Protein kinase enzyme | Target Protein | 1P4F | −8.7 (Lig. Pos. 3/100)![]() | −8.66 (Lig. Pos. 3/100)![]() | −8.69 (Lig. Pos. 3/100)![]() | −8.26 (Lig. Pos. 4/100)![]() |
| 5IKP | −8.67 (Lig. Pos. 3/100)![]() | −8.66 (Lig. Pos. 3/100)![]() | −8.67 (Lig. Pos. 3/100)![]() | −8.67 (Lig. Pos. 3/100)![]() | ||
| Target Receptor | 1LHR | −8.45 (Lig. Pos. 4/100)![]() | −8.7 (Lig. Pos. 3/100)![]() | −8.71 (Lig. Pos. 3/100)![]() | −8.68 (Lig. Pos. 3/100)![]() | |
| 6E0R | −8.46 (Lig. Pos. 3/100)![]() | −8.67 (Lig. Pos. 3/100)![]() | −8.71 (Lig. Pos. 3/90)![]() | −8.48 (Lig. Pos. 3/80)![]() | ||
| Beta Amyloid | Target Protein | 5TXJ | −8.68 (Lig. Pos. 3/100)![]() | −8.71 (Lig. Pos. 3/100)![]() | −8.64 (Lig. Pos. 3/100)![]() | −8.71 (Lig. Pos. 3/100)![]() |
| 3T4G | −8.69 (Lig. Pos. 3/90)![]() | −8.72 (Lig. Pos. 3/70)![]() | −8.7 (Lig. Pos. 3/90)![]() | −8.72 (Lig. Pos. 3/100)![]() | ||
| Target Receptor | 3Q7G | −8.46 (Lig. Pos. 3/100)![]() | −8.64 (Lig. Pos. 3/100)![]() | −8.71 (Lig. Pos. 3/100)![]() | −8.48 (Lig. Pos. 3/100)![]() | |
| ATPase | Target Receptor | 6WLW | −8.46 (Lig. Pos. 3/100)![]() | −8.71 (Lig. Pos. 3/100)![]() | −7.15 (Lig. Pos. 10/30)![]() | −8.68 (Lig. Pos. 3/90)![]() |
| 6WM3 | −7.21 (Lig. Pos. 10/20)![]() | −8.64 (Lig. Pos. 3/100)![]() | −8.69 (Lig. Pos. 3/90)![]() | −8.47 (Lig. Pos. 3/100)![]() | ||
| Albumin | Target Protein | 5UJB | −7.62 (Lig. Pos. 9/30)![]() | −8.68 (Lig. Pos. 3/100)![]() | −8.69 (Lig. Pos. 3/100)![]() | −8.68 (Lig. Pos. 3/80)![]() |
| 6M5D | −8.72 (Lig. Pos. 3/100)![]() | −8.68 (Lig. Pos. 3/100)![]() | −8.68 (Lig. Pos. 3/100)![]() | −8.62 (Lig. Pos. 3/90)![]() | ||
| Target Receptor | 6HSC | −8.67 (Lig. Pos. 3/100)![]() | −8.71 (Lig. Pos. 3/100)![]() | −8.68 (Lig. Pos. 3/100)![]() | −8.71 (Lig. Pos. 3/80)![]() | |
| 2ESG | −8.67 (Lig. Pos. 3/100)![]() | −8.46 (Lig. Pos. 3/90)![]() | −8.71 (Lig. Pos. 3/100)![]() | −8.47 (Lig. Pos. 3/100)![]() | ||
| 6YG9 | −8.72 (Lig. Pos. 3/100)![]() | −8.7 (Lig. Pos. 3/80)![]() | −8.64 (Lig. Pos. 3/100)![]() | −8.71 (Lig. Pos. 3/80)![]() | ||
| Mono amino oxidase (MAO) | Target Protein | 2BK3 | −8.42 (Lig. Pos. 3/100)![]() | −8.7 (Lig. Pos. 3/100)![]() | −8.72 (Lig. Pos. 3/100)![]() | −8.71 (Lig. Pos. 3/100)![]() |
| 2BXS | −8.72 (Lig. Pos. 3/100)![]() | −8.63 (Lig. Pos. 3/100)![]() | −8.7 (Lig. Pos. 3/100)![]() | −8.41 (Lig. Pos. 3/100)![]() | ||
| 7DJU | −8.71 (Lig. Pos. 3/100)![]() | −8.47 (Lig. Pos. 3/100)![]() | −8.41 (Lig. Pos. 3/80)![]() | −8.45 (Lig. Pos. 3/100)![]() | ||
| Target Receptor | 7EL7 | −8.65 (Lig. Pos. 3/70)![]() | −8.68 (Lig. Pos. 3/100)![]() | −8.68 (Lig. Pos. 3/90)![]() | −7.23 (Lig. Pos. 10/20)![]() | |
| 2VRM | −7.6 (Lig. Pos. 9/50)![]() | −8.71 (Lig. Pos. 3/30)![]() | −8.7 (Lig. Pos. 3/30)![]() | −8.63 (Lig. Pos. 3/70)![]() | ||
| Adrenaline | Target Protein | 2HKK | −8.68 (Lig. Pos. 3/100)![]() | −8.42 (Lig. Pos. 3/100)![]() | −8.64 (Lig. Pos. 3/50)![]() | −8.67 (Lig. Pos. 3/100)![]() |
| 7BTS | −8.68 (Lig. Pos. 3/100)![]() | −8.56 (Lig. Pos. 3/100)![]() | −8.61 (Lig. Pos. 3/100)![]() | −8.66 (Lig. Pos. 3/100)![]() | ||
| Target Receptor | 2RH1 | −8.68 (Lig. Pos. 3/100)![]() | −8.67 (Lig. Pos. 3/100)![]() | −8.69 (Lig. Pos. 3/100)![]() | −8.7 (Lig. Pos. 3/100)![]() | |
| Cortisol | Target Protein | 2VDX | −8.66 (Lig. Pos. 3/100)![]() | −8.61 (Lig. Pos. 3/70)![]() | −8.64 (Lig. Pos. 3/100)![]() | −8.46 (Lig. Pos. 3/100)![]() |
| Target Receptor | 2VDY | −8.7 (Lig. Pos. 3/100)![]() | −8.73 (Lig. Pos. 3/100)![]() | −8.74 (Lig. Pos. 3/100)![]() | −8.65 (Lig. Pos. 3/100)![]() | |
| 4P6X | −8.71 (Lig. Pos. 3/90)![]() | −8.72 (Lig. Pos. 3/100)![]() | −8.67 (Lig. Pos. 3/100)![]() | −8.72 (Lig. Pos. 3/100)![]() | ||
| TNF-α | Target Cytokine | 6RMJ | −8.47 (Lig. Pos. 3/100)![]() | −8.64 (Lig. Pos. 3/100)![]() | −8.65 (Lig. Pos. 3/100)![]() | −8.7 (Lig. Pos. 3/100)![]() |
| Target Receptor | 5TLJ | −8.73 (Lig. Pos. 3/100)![]() | −8.67 (Lig. Pos. 3/100)![]() | −8.72 (Lig. Pos. 3/100)![]() | −8.7 (Lig. Pos. 3/80)![]() | |
| 6PE7 | −8.71 (Lig. Pos. 3/100)![]() | −8.66 (Lig. Pos. 3/100)![]() | −8.71 (Lig. Pos. 3/100)![]() | −8.71 (Lig. Pos. 3/60)![]() | ||
| IL-1𝛽 | Target Receptor | 4GAF | −8.69 (Lig. Pos. 3/80)![]() | −8.7 (Lig. Pos. 3/100)![]() | −8.72 (Lig. Pos. 3/90)![]() | −8.67 (Lig. Pos. 3/90)![]() |
| 4GAI | −8.67 (Lig. Pos. 3/100)![]() | −8.51 (Lig. Pos. 3/100)![]() | −8.63 (Lig. Pos. 3/100)![]() | −8.74 (Lig. Pos. 3/70)![]() | ||
| COX-2 | Target Protein | 5JW1 | −8.66 (Lig. Pos. 3/100)![]() | −8.66 (Lig. Pos. 3/80)![]() | −8.69 (Lig. Pos. 3/100)![]() | −8.6 (Lig. Pos. 3/100)![]() |
| Target Receptor | 4E1G | −8.68 (Lig. Pos. 3/90)![]() | −8.71 (Lig. Pos. 3/100)![]() | −8.62 (Lig. Pos. 3/100)![]() | −8.72 (Lig. Pos. 3/100)![]() | |
| 3TZI | −8.68 (Lig. Pos. 3/100)![]() | −8.68 (Lig. Pos. 3/100)![]() | −8.66 (Lig. Pos. 3/100)![]() | −8.62 (Lig. Pos. 3/100)![]() | ||
| LOX-1 | Target Receptor | 1YPO | −8.73 (Lig. Pos. 3/100)![]() | −8.71 (Lig. Pos. 3/100)![]() | −8.72 (Lig. Pos. 3/100)![]() | −8.71 (Lig. Pos. 3/100)![]() |
| 1YPU | −8.74 (Lig. Pos. 3/100)![]() | −8.7 (Lig. Pos. 3/100)![]() | −8.64 (Lig. Pos. 3/60)![]() | −8.73 (Lig. Pos. 3/100)![]() | ||
Disclaimer/Publisher’s Note: The statements, opinions and data contained in all publications are solely those of the individual author(s) and contributor(s) and not of MDPI and/or the editor(s). MDPI and/or the editor(s) disclaim responsibility for any injury to people or property resulting from any ideas, methods, instructions or products referred to in the content. |
© 2023 by the authors. Licensee MDPI, Basel, Switzerland. This article is an open access article distributed under the terms and conditions of the Creative Commons Attribution (CC BY) license (https://creativecommons.org/licenses/by/4.0/).
Share and Cite
Hamouda, A.F.; Felemban, S. A Bio-Indicator Pilot Study Screening Selected Heavy Metals in Female Hair, Nails, and Serum from Lifestyle Cosmetic, Canned Food, and Manufactured Drink Choices. Molecules 2023, 28, 5582. https://doi.org/10.3390/molecules28145582
Hamouda AF, Felemban S. A Bio-Indicator Pilot Study Screening Selected Heavy Metals in Female Hair, Nails, and Serum from Lifestyle Cosmetic, Canned Food, and Manufactured Drink Choices. Molecules. 2023; 28(14):5582. https://doi.org/10.3390/molecules28145582
Chicago/Turabian StyleHamouda, Asmaa Fathi, and Shifa Felemban. 2023. "A Bio-Indicator Pilot Study Screening Selected Heavy Metals in Female Hair, Nails, and Serum from Lifestyle Cosmetic, Canned Food, and Manufactured Drink Choices" Molecules 28, no. 14: 5582. https://doi.org/10.3390/molecules28145582
APA StyleHamouda, A. F., & Felemban, S. (2023). A Bio-Indicator Pilot Study Screening Selected Heavy Metals in Female Hair, Nails, and Serum from Lifestyle Cosmetic, Canned Food, and Manufactured Drink Choices. Molecules, 28(14), 5582. https://doi.org/10.3390/molecules28145582

















































































































































































































