New Phenolic Lipids from the Leaves of Clausena harmandiana Inhibit SARS-CoV-2 Entry into Host Cells
Abstract
1. Introduction
2. Results and Discussion
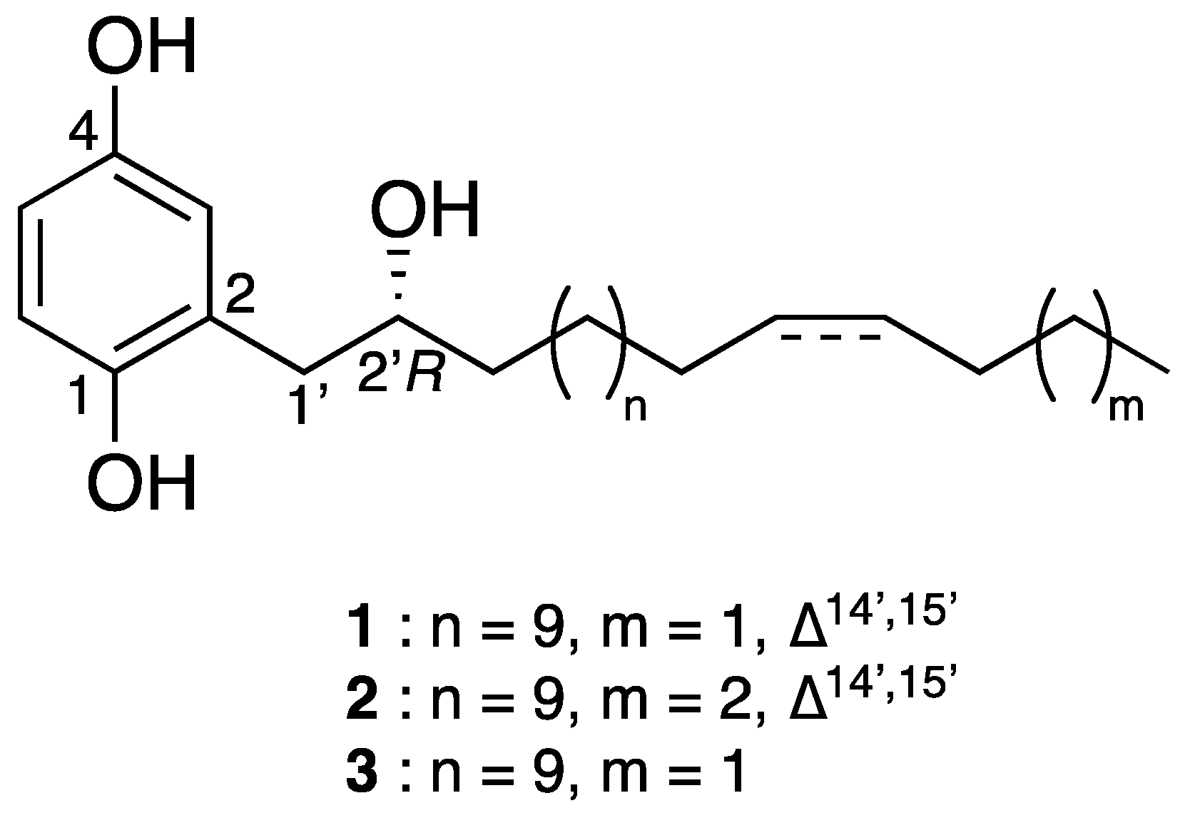
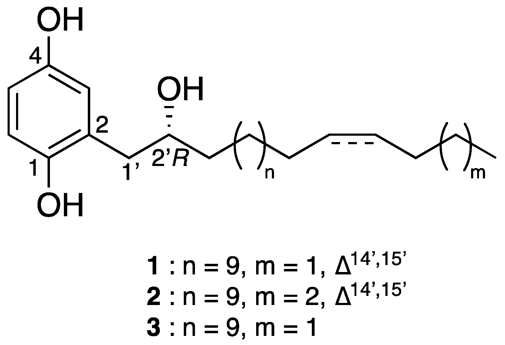
2.1. Structural Elucidation
2.2. Cytotoxicity and H-CoV-229E Inhibition Assays
2.3. Cytotoxicity and SARS-CoV-2 Inhibition Assays
2.4. Characterization of the Antiviral Mechanism of Action of Compounds 2 and 3
3. Materials and Methods
3.1. Plant Material
3.2. Phytochemical Analysis—General Experimental Procedures
3.3. Extraction and Isolation
3.3.1. (2′. R)-2-[(14′Z)-2′-Hydroxyoctadec-14′-en-1′-yl]benzene-1,4-diol (1)
3.3.2. (2′. R)-2-[(14′Z)-2′-Hydroxynonadec-14′-en-1′-yl]benzene-1,4-diol (2)
3.3.3. (2′. R)-(2-(2-Hydroxyoctadecyl)benzene-1,4-diol) (3)
3.4. Preparation of (S)-MTPA and (R)-MTPA Esters of 1 and 2
3.5. Data-Dependent LC-ESI-HRMS2 Analysis
3.6. MZmine 2 Pre-Processing
3.7. Molecular Network Analysis
3.8. Cells and Culture Conditions
3.9. Viruses
3.10. Chemicals and Antibody
3.11. Cytotoxic Assays
3.12. HCoV-229E-Luc Infection Inhibition Assays (Screening of 824 Plant Extracts)
3.13. HCoV-229E-Luc Infection Inhibition Assays (Evaluation of Fractions and Pure Compounds)
3.14. SARS-CoV-2 Infection Inhibition Assays
3.15. Virucidal Assay against SARS-CoV-2
3.16. Statistical Analysis and IC50 and CC50 Determination
Author Contributions
Funding
Institutional Review Board Statement
Informed Consent Statement
Data Availability Statement
Acknowledgments
Conflicts of Interest
Sample Availability
References
- Hu, B.; Guo, H.; Zhou, P.; Shi, Z.L. Characteristics of SARS-CoV-2 and COVID-19. Nat. Rev. Microbiol. 2021, 19, 141–154. [Google Scholar] [CrossRef] [PubMed]
- Olivon, F.; Allard, P.M.; Koval, A.; Righi, D.; Genta-Jouve, G.; Neyts, J.; Apel, C.; Pannecouque, C.; Nothias, L.F.; Cachet, X.; et al. Bioactive Natural Products Prioritization Using Massive Multi-Informational Molecular Networks. ACS Chem. Biol. 2017, 12, 2644–2651. [Google Scholar] [CrossRef] [PubMed]
- Olivon, F.; Apel, C.; Retailleau, P.; Allard, P.M.; Wolfender, J.L.; Touboul, D.; Roussi, F.; Litaudon, M.; Desrat, S. Searching for Original Products by Molecular Networking: Detection, Isolation and Total Synthesis of Chloroaustralasines. Org. Chem. Front. 2018, 5, 2171–2178. [Google Scholar] [CrossRef]
- Olivon, F.; Remy, S.; Grelier, G.; Apel, C.; Eydoux, C.; Guillemot, J.C.; Neyts, J.; Delang, L.; Touboul, D.; Roussi, F.; et al. Antiviral Compounds from Codiaeum peltatum Targeted by a Multi-informative Molecular Networks Approach. J. Nat. Prod. 2019, 82, 330–340. [Google Scholar] [CrossRef] [PubMed]
- Jantamat, P.; Weerapreeyakul, N.; Puthongking, P. Cytotoxicity and Apoptosis Induction of Coumarins and Carbazole Alkaloids from Clausena harmandiana. Molecules 2019, 24, 3385. [Google Scholar] [CrossRef]
- Caruso, A.; Ceramella, J.; Iacopetta, D.; Saturnino, C.; Mauro, M.V.; Bruno, R.; Aquaro, S.; Sinicropi, M.S. Carbazole Derivatives as Antiviral Agents: An Overview. Molecules 2019, 24, 1912. [Google Scholar] [CrossRef]
- Mishra, S.; Pandey, A.; Manvati, S. Coumarin: An emerging antiviral agent. Heliyon 2020, 6, e03217. [Google Scholar] [CrossRef]
- Songsiang, U.; Thongthoom, T.; Boonyarat, C.; Yenjai, C. Claurailas A–D, cytotoxic carbazole alkaloids from the roots of Clausena harmandiana. J. Nat. Prod. 2011, 74, 208–212. [Google Scholar] [CrossRef]
- Arbab, I.A.; Abdul, A.B.; Aspollah, M.; Abdelwahab, S.I.; Ibrahim, M.Y.; Ali, Z. A review of traditional uses, phytochemical and pharmacological aspects of selected members of Clausena genus (Rutaceae). J. Med. Plant. Res. 2012, 6, 5107–5118. [Google Scholar]
- Pluskal, T.; Castillo, S.; Villar-Briones, A.; Oresic, M. MZmine 2: Modular framework for processing, visualizing, and analyzing mass spectrometry-based molecular profile data. BMC Bioinform. 2010, 11, 395. [Google Scholar] [CrossRef]
- Wang, M.; Carver, J.J.; Phelan, V.V.; Sanchez, L.M.; Garg, N.; Peng, Y.; Nguyen, D.D.; Watrous, J.; Kapono, C.A.; Luzzatto-Knaan, T.; et al. Sharing and community curation of mass spectrometry data with Global Natural Products Social Molecular Networking. Nat. Biotechnol. 2016, 34, 828–837. [Google Scholar] [CrossRef] [PubMed]
- Olivon, F.; Elie, N.; Grelier, G.; Roussi, F.; Litaudon, M.; Touboul, D. MetGem Software for the Generation of Molecular Networks Based on the t-SNE Algorithm. Anal. Chem. 2018, 90, 13900–13908. [Google Scholar] [CrossRef] [PubMed]
- Groweiss, A.; Cardellina, J.H.; Pannell, L.K.; Uyakul, D.; Kashman, Y.; Boyd, M.R. Novel cytotoxic, alkylated hydroquinones from Lannea welwitschii. J. Nat. Prod. 1997, 60, 116–121. [Google Scholar] [CrossRef]
- Rossi, R.; Carpita, A.; Quirici, M.G.; Veracini, C.A. Insect pheromone components: Use of 13C NMR spectroscopy for assigning the configuration of C=C double bonds of monoenic or dienic pheromone components and for quantitative determination of Z/E mixtures. Tetrahedron 1982, 38, 639–644. [Google Scholar] [CrossRef]
- Fürstner, A.; Seidel, G. Shortcut Syntheses of Naturally Occurring 5-Alkylresorcinols with DNA-Cleaving Properties. J. Org. Chem. 1997, 62, 2332–2336. [Google Scholar] [CrossRef] [PubMed]
- Kil, Y.S.; Risinger, A.L.; Petersen, C.L.; Liang, H.; Grkovic, T.; O’Keefe, B.R.; Mooberry, S.L.; Cichewicz, R.H. Using the Cancer Dependency Map to Identify the Mechanism of Action of a Cytotoxic Alkenyl Derivative from the Fruit of Choerospondias axillaris. J. Nat. Prod. 2020, 83, 584–592. [Google Scholar] [CrossRef]
- Ohtani, I.; Kusumi, T.; Kashman, Y.; Kakisawa, H. High-field FT NMR application of Mosher’s method. The absolute configurations of marine terpenoids. J. Am. Chem. Soc. 1991, 113, 4092–4096. [Google Scholar] [CrossRef]
- Brel, O.; Touré, S.; Levasseur, M.; Lechat, C.; Pellissier, L.; Wolfender, J.L.; Van-Elslande, E.; Litaudon, M.; Dusfour, I.; Stien, D.; et al. Paecilosetin Derivatives as Potent Antimicrobial Agents from Isaria farinosa. J. Nat. Prod. 2020, 83, 2915–2922. [Google Scholar] [CrossRef]
- Meunier, T.; Desmarets, L.; Bordage, S.; Bamba, M.; Hervouet, K.; Rouillé, Y.; François, N.; Decossas, M.; Sencio, V.; Trottein, F.; et al. A Photoactivable Natural Product with Broad Antiviral Activity against Enveloped Viruses, Including Highly Pathogenic Coronaviruses. Antimicrob. Agents Chemother. 2022, 66, e0158121. [Google Scholar] [CrossRef]
- Gaudry, A.; Bos, S.; Viranaicken, W.; Roche, M.; Krejbich-Trotot, P.; Gadea, G.; Desprès, P.; El-Kalamouni, C. The Flavonoid Isoquercitrin Precludes Initiation of Zika Virus Infection in Human Cells. Int. J. Mol. Sci. 2018, 19, 1093. [Google Scholar] [CrossRef]
- Parang, K.; El-Sayed, N.S.; Kazeminy, A.J.; Tiwari, R.K. Comparative Antiviral Activity of Remdesivir and Anti-HIV Nucleoside Analogs against Human Coronavirus 229E (HCoV-229E). Molecules 2020, 25, 2343. [Google Scholar] [CrossRef] [PubMed]
- Chen, M.; Aoki-Utsubo, C.; Kameoka, M.; Deng, L.; Terada, Y.; Kamitani, W.; Sato, K.; Koyanagi, Y.; Hijikata, M.; Shindo, K.; et al. Broad-spectrum antiviral agents: Secreted phospholipase A(2) targets viral envelope lipid bilayers derived from the endoplasmic reticulum membrane. Sci. Rep. 2017, 7, 15931. [Google Scholar] [CrossRef] [PubMed]
- Chambers, M.C.; Maclean, B.; Burke, R.; Amodei, D.; Ruderman, D.L.; Neumann, S.; Gatto, L.; Fischer, B.; Pratt, B.; Egertson, J.; et al. A cross-platform toolkit for mass spectrometry and proteomics. Nat. Biotechnol. 2012, 30, 918–920. [Google Scholar] [CrossRef]
- Myers, O.D.; Sumner, S.J.; Li, S.; Barnes, S.; Du, X. One Step Forward for Reducing False Positive and False Negative Compound Identifications from Mass Spectrometry Metabolomics Data: New Algorithms for Constructing Extracted Ion Chromatograms and Detecting Chromatographic Peaks. Anal. Chem. 2017, 89, 8696–8703. [Google Scholar] [CrossRef]
- Nothias, L.F.; Petras, D.; Schmid, R.; Dührkop, K.; Rainer, J.; Sarvepalli, A.; Protsyuk, I.; Ernst, M.; Tsugawa, H.; Fleischauer, M.; et al. Feature-based molecular networking in the GNPS analysis environment. Nat. Methods 2020, 17, 905–908. [Google Scholar] [CrossRef]
- Van den Worm, S.H.; Eriksson, K.K.; Zevenhoven, J.C.; Weber, F.; Züst, R.; Kuri, T.; Dijkman, R.; Chang, G.; Siddell, S.G.; Snijder, E.J.; et al. Reverse genetics of SARS-related coronavirus using vaccinia virus-based recombination. PLoS ONE 2012, 7, e32857. [Google Scholar] [CrossRef]
- Wilkinson, D.A.; Mercier, A.; Turpin, M.; Simbi, M.A.; Turpin, J.; Lebarbenchon, C.; Cesari, M.; Jaffar-Bandjee, M.C.; Josset, L.; Yemadje-Menudier, L.; et al. Genomic evolution of SARS-CoV-2 in Reunion Island. Infect. Genet. Evol. 2022, 106, 105381. [Google Scholar] [CrossRef] [PubMed]







| 1 | 2 | 3 | ||||
|---|---|---|---|---|---|---|
| No. | δ C | δH | δ C | δH | δ C | δH |
| 1-OH | 149.6 | - | 149.6 | - | 149.6 | - |
| 2 | 126.9 | - | 127.0 | - | 127.5 | - |
| 3 | 118.4 | 6.54 (d, J = 2.7) | 118.4 | 6.54 (d, J = 2.9) | 118.6 | 6.63 (d, J = 2.7) |
| 4-OH | 149.4 | - | 149.3 | - | 150.8 | - |
| 5 | 115.1 | 6.60 (dd, J = 2.7, 8.5) | 115.1 | 6.61 (dd, J = 2.9, 8.5) | 114.5 | 6.58 (dd, J = 2.7, 8.5) |
| 6 | 118.2 | 6.77 (d, J = 8.5) | 118.2 | 6.78 (d, J = 8.5) | 117.3 | 6.67 (d, J = 8.5) |
| 1′ | 39.2 | 2.75 (m) | 39.2 | 2.75 (m) | 39.8 | 2.75 (m) |
| 2′ | 74.9 | 3.96 (m) | 74.9 | 3.96 (m) | 73.3 | 3.95 (m) |
| 3′ | 37.3 | 1.50 (m) | 37.3 | 1.50 (m) | 37.6 | 1.52 (m) |
| 4′ | 26.0 | 1.37 (m) | 26.0 | 1.35 (m) | 26.2 | 1.40 (m) |
| 5′–12′ | 29.6–30.1 | 1.25–1.28 | 29.7–30.1 | 1.27–1.29 | 29.1–30.1 | 1.33 |
| 13′ | 27.6 | 2.01 (m) | 27.3 | 2.02 (m) | 30.1 | 1.33 |
| 14′ | 130.5 | 5.36 (t, J = 5.4) | 130.2 | 5.35 (t, J = 4.6) | 30.2 | 1.33 |
| 15′ | 130.0 | 5.36 (t, J = 5.4) | 130.2 | 5.35 (t, J = 4.6) | 30.2 | 1.33 |
| 16′ | 29.6 | 2.01 (m) | 27.5 | 2.02 (m) | 32.4 | 1.33 |
| 17′ | 23.2 | 1.37 (m) | 32.3 | 1.32 (m) | 23.1 | 1.33 |
| 18′ | 14.2 | 0.90 (t) | 22.7 | 1.32 (m) | 14.1 | 0.92 (t) |
| 19′ | 14.3 | 0.90 (t) | ||||
| Compound | CC50 (µM) a | IC50 (µM) b | SI c |
|---|---|---|---|
| 1 | 1.30 ± 0.10 | na | - |
| 2 | 0.50 ± 0.05 | 0.10 ± 0.03 | 5 |
| 3 | 0.80 ± 0.10 | 0.05 ± 0.04 | 16 |
Disclaimer/Publisher’s Note: The statements, opinions and data contained in all publications are solely those of the individual author(s) and contributor(s) and not of MDPI and/or the editor(s). MDPI and/or the editor(s) disclaim responsibility for any injury to people or property resulting from any ideas, methods, instructions or products referred to in the content. |
© 2023 by the authors. Licensee MDPI, Basel, Switzerland. This article is an open access article distributed under the terms and conditions of the Creative Commons Attribution (CC BY) license (https://creativecommons.org/licenses/by/4.0/).
Share and Cite
Chambon, M.; Herrscher, C.; Al Halabi, D.; François, N.; Belouzard, S.; Boutet, S.; Pham, V.C.; Doan, T.M.H.; Séron, K.; Mavingui, P.; et al. New Phenolic Lipids from the Leaves of Clausena harmandiana Inhibit SARS-CoV-2 Entry into Host Cells. Molecules 2023, 28, 5414. https://doi.org/10.3390/molecules28145414
Chambon M, Herrscher C, Al Halabi D, François N, Belouzard S, Boutet S, Pham VC, Doan TMH, Séron K, Mavingui P, et al. New Phenolic Lipids from the Leaves of Clausena harmandiana Inhibit SARS-CoV-2 Entry into Host Cells. Molecules. 2023; 28(14):5414. https://doi.org/10.3390/molecules28145414
Chicago/Turabian StyleChambon, Marion, Charline Herrscher, Dana Al Halabi, Nathan François, Sandrine Belouzard, Stéphanie Boutet, Van Cuong Pham, Thi Mai Huong Doan, Karin Séron, Patrick Mavingui, and et al. 2023. "New Phenolic Lipids from the Leaves of Clausena harmandiana Inhibit SARS-CoV-2 Entry into Host Cells" Molecules 28, no. 14: 5414. https://doi.org/10.3390/molecules28145414
APA StyleChambon, M., Herrscher, C., Al Halabi, D., François, N., Belouzard, S., Boutet, S., Pham, V. C., Doan, T. M. H., Séron, K., Mavingui, P., Litaudon, M., El Kalamouni, C., & Apel, C. (2023). New Phenolic Lipids from the Leaves of Clausena harmandiana Inhibit SARS-CoV-2 Entry into Host Cells. Molecules, 28(14), 5414. https://doi.org/10.3390/molecules28145414

