Study of Preparation and Properties of Stereoregular Poly(cyclohexenylene carbonate)
Abstract
1. Introduction
2. Results and Discussion
2.1. Catalytic Activity of Catalysts
2.2. Influence of Operation Conditions
2.3. Analysis of the Structure and Properties of PCHC
2.3.1. Stereo-Regularity
2.3.2. Thermal Properties
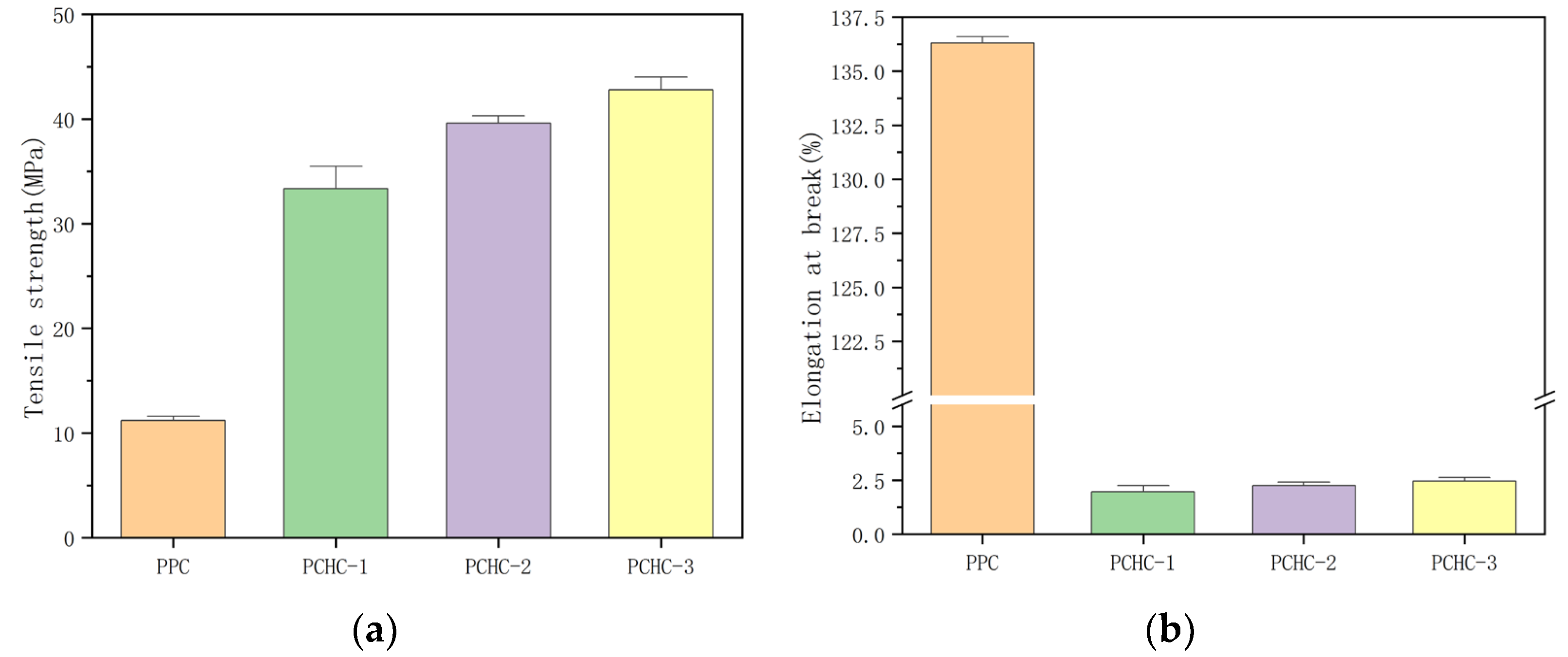
2.3.3. Mechanical Properties
3. Materials and Methods
3.1. Chemicals
3.2. Synthetic Route
3.2.1. Catalyst of Dinuclear Cobalt Complexes
3.2.2. Poly(cyclohexenylene carbonate)
3.3. Synthesis of Compounds
3.3.1. Salen Ligand
3.3.2. SalenCo(II) Complex
3.3.3. SalenCo(III) Complexes
3.3.4. Poly(cyclohexenylene carbonate)
3.4. Structure and Properties Analysis of PCHC
3.4.1. GPC Analysis
3.4.2. TG Analysis
3.4.3. DSC Analysis
3.4.4. Determination of ee Value
3.4.5. Mechanical Performance Test
4. Conclusions
Supplementary Materials
Author Contributions
Funding
Institutional Review Board Statement
Informed Consent Statement
Data Availability Statement
Conflicts of Interest
Sample Availability
References
- Haugan, P.M.; Drange, H. Effects of CO2 on the ocean environment. Energ. Convers. Manag. 1996, 37, 1019–1022. [Google Scholar] [CrossRef]
- Bjorkegren, A.B.; Grimmond, C.S.B.; Kotthaus, S.; Malamud, B.D. CO2 emission estimation in the urban environment: Measurement of the CO2 storage term. Atmos. Environ. 2015, 122, 775–790. [Google Scholar] [CrossRef]
- Barrera-Santana, J.; Marrero, G.A.; Puch, L.A.; Diaz, A. CO2 emissions and energy technology in Western Europe. Ser. J. Span. Econ. 2021, 12, 105–150. [Google Scholar] [CrossRef] [PubMed]
- Chai, S.Y.W.; Ngu, L.H.; How, B.S. Review of carbon capture absorbents for CO2 utilization. Greenh. Gases 2022, 12, 394–427. [Google Scholar] [CrossRef]
- Russo, M.E.; Capasso, C.; Marzocchella, A.; Salatino, P. Imobilization of carbonic anhydrase for CO2 capture and utilization. Appl. Microbiol. Biot. 2022, 106, 3419–3430. [Google Scholar] [CrossRef] [PubMed]
- Huang, C.H.; Tan, C.S. A review: CO2 utilization. Aerosol. Air Qual. Res. 2014, 14, 480–499. [Google Scholar] [CrossRef]
- Fu, L.P.; Ren, Z.K.; Si, W.Z.; Ma, Q.L.; Huang, W.Q.; Liao, K.L.; Huang, Z.L.; Wang, Y.; Li, J.H.; Xu, P. Research progress on CO2 capture and utilization technology. J. CO2 Util. 2022, 66, 102260. [Google Scholar] [CrossRef]
- Lozowski, D. Supercritical CO2: A green solvent. Air Qual. Res. 2010, 117, 15–18. [Google Scholar]
- Li, P.H.; Chen, J.J.J.; Norris, S. Review of flow condensation of CO2 as a refrigerant. Int. J. Refrig. 2016, 72, 53–73. [Google Scholar] [CrossRef]
- Parton, T.; Bertucco, A.; Elvassore, N.; Grimolizzi, L. A continuous plant for food preservation by high pressure CO2. J. Food Eng. 2007, 79, 1410–1417. [Google Scholar] [CrossRef]
- Wang, H.; Xin, Z.; Li, Y.H. Synthesis of ureas from CO2. Top. Curr. Chem. 2017, 375, 49. [Google Scholar] [CrossRef] [PubMed]
- Bowker, M. Methanol synthesis from CO2 hydrogenation. Chemcatchem 2019, 11, 4238–4246. [Google Scholar] [CrossRef] [PubMed]
- Broere, D.L.J.; Mercado, B.Q.; Holland, P.L. Selective Conversion of CO2 into isocyanate by low-coordinate iron complexes. Angew. Chem. Int. Edit. 2018, 57, 6507–6511. [Google Scholar] [CrossRef]
- Zhang, T.Y.; Li, W.T.; Huang, K.; Guo, H.Z.; Li, Z.Y.; Fang, Y.B.; Yadav, R.M.; Shanov, V.; Ajayan, P.M.; Wang, L.; et al. Regulation of functional groups on graphene quantum dots directs selective CO2 to CH4 conversion. Nat. Commun. 2021, 12, 5265. [Google Scholar] [CrossRef] [PubMed]
- Huang, B.J.; Fu, X.X.; Wang, K.; Wang, L.; Zhang, H.L.; Liu, Z.Y.; Liu, B.; Li, J. Chemically bonded BiVO4/Bi19Cl3S27 heterojunction with fast hole extraction dynamics for continuous CO2 photoreduction. Adv. Powder Mater. 2023; in press. [Google Scholar] [CrossRef]
- Taherimehr, M.; Pescarmona, P.P. Green polycarbonates prepared by the copolymerization of CO2 with epoxides. J. Appl. Polym. Sci. 2014, 131, 41141. [Google Scholar] [CrossRef]
- Poland, S.J.; Darensbourg, D.J. A quest for polycarbonates provided via sustainable epoxide/CO2 copolymerization processes. Green Chem. 2017, 19, 4990–5011. [Google Scholar] [CrossRef]
- Fukuoka, S.; Fukawa, I.; Adachi, T.; Fujita, H.; Sugiyama, N.; Sawa, T. Industrialization and expansion of green sustainable chemical process: A review of non-phosgene polycarbonate from CO2. Org. Process. Res. Dev. 2019, 23, 145–169. [Google Scholar] [CrossRef]
- Brannigan, R.P.; Dove, A.P. Synthesis, properties and biomedical applications of hydrolytically degradable materials based on aliphatic polyesters and polycarbonates. Biomater. Sci. 2017, 5, 9–21. [Google Scholar] [CrossRef]
- Qin, Y.S.; Sheng, X.F.; Liu, S.J.; Ren, G.J.; Wang, X.H.; Wang, F.S. Recent advances in carbon dioxide based copolymers. J. CO2 Util. 2015, 11, 3–9. [Google Scholar] [CrossRef]
- Ji, Y.; Kim, M. Preparation of 3d printing scaffold using aliphatic polycarbonate as a bioink and evaluation of biocompatibility. Tissue Eng. Part A 2022, 28, 322–323. [Google Scholar]
- Degee, P.; Jerome, R.; Teyssie, P. Synthesis and characterization of halato-telechelic bisphenol A polycarbonates. Polymer 1994, 35, 371–376. [Google Scholar] [CrossRef]
- Sun, J.J.; Aly, K.I.; Kuckling, D. A novel one-pot process for the preparation of linear and hyperbranched polycarbonates of various diols and triols using dimethyl carbonate. RSC Adv. 2017, 7, 12550–12560. [Google Scholar] [CrossRef]
- Mei, L.L.; Yan, G.P.; Yu, X.H.; Cheng, S.X.; Wu, J.Y. Ring-opening copolymerization and properties of polycarbonate copolymers. J. Appl. Polym. Sci. 2008, 108, 93–98. [Google Scholar] [CrossRef]
- Wang, Y.Y.; Darensbourg, D.J. Carbon dioxide-based functional polycarbonates: Metal catalyzed copolymerization of CO2 and epoxides. Coordin. Chem. Rev. 2018, 372, 85–100. [Google Scholar] [CrossRef]
- Ree, M.; Hwang, Y.; Kim, J.S.; Kim, H.; Kim, G.; Kim, H. New findings in the catalytic activity of zinc glutarate and its application in the chemical fixation of CO2 into polycarbonates and their derivatives. Catal. Today 2006, 115, 134–145. [Google Scholar] [CrossRef]
- Mo, W.J.; Zhuo, C.W.; Cao, H.; Liu, S.J.; Wang, X.H.; Wang, F.S. Facile aluminum porphyrin complexes enable flexible terminal epoxides to boost properties of CO2-polycarbonate. Macromol. Chem. Phys. 2021, 13, 2100403. [Google Scholar]
- Moore, D.R.; Cheng, M.; Lobkovsky, E.B.; Caates, G.W. Mechanism of the alternating copolymerization of epoxides and CO2 using beta-diiminate zinc catalysts: Evidence for a bimetallic epoxide enchainment. J. Am. Chem. Soc. 2003, 125, 11911–11924. [Google Scholar] [CrossRef]
- Darensbourg, D.J.; Ulusoy, M.; Karroonnirum, O.; Poland, R.R.; Reibenspies, J.H.; Cetinkaya, B. Highly Selective and Reactive (salan)CrCl Catalyst for the Copolymerization and Block Copolymerization of Epoxides with Carbon Dioxide. Macromolecules 2009, 42, 6992–6998. [Google Scholar] [CrossRef]
- Wang, L.; Xu, L.L.; Wang, Z.M.; Wang, Z.; Liu, Y.J.; Sun, W.W.; Lai, J.W.; Vajtai, R.; Ajayan, P.M.; Tour, J.M.; et al. Revealing the effect of phosphorus doping on Co@carbon in boosting oxygen evolution catalytic activity. J. Alloys Compd. 2020, 843, 156001. [Google Scholar] [CrossRef]
- Wang, S.J.; Huang, Y.H.; Liao, B.; Lin, G.; Cong, G.M.; Chen, L.B. Structure and properties of poly(propylene carbonate). Adv. Polym. Sci. 1997, 3, 141–143. [Google Scholar] [CrossRef]
- Thorat, S.D.; Phillips, P.J.; Semenov, V.; Gakh, A. Physical properties of aliphatic polycarbonates made from CO2 and epoxides. J. Appl. Polym. Sci. 2003, 89, 1163–1176. [Google Scholar] [CrossRef]
- Liu, Y.F.; Huang, K.L.; Peng, D.M.; Liu, S.Q.; Wu, H. Synthesis and properties of novel aliphatic polycarbonate from carbon dioxide with 1,2-butylene oxide and epsilon-caprolactone. Chin. Chem. Lett. 2007, 18, 209–212. [Google Scholar] [CrossRef]
- Van Meerendonk, W.J.; Duchateau, R.; Koning, C.E.; Gruter, G.J.M. High-throughput automated parallel evaluation of zinc-based catalysts for the copolymerization of CHO and CO2 to polycarbonates. Macromol. Rapid Comm. Sci. 2004, 25, 382–386. [Google Scholar] [CrossRef]
- Plommer, H.; Stein, L.; Murphy, J.N.; Ikpo, N.; Mora-Diez, N.; Kerton, F.M. Copolymerization of CHO/CO2 catalyzed by a series of aluminum amino-phenolate complexes and insights into structure-activity relationships. Dalton Trans. 2020, 49, 6884–6895. [Google Scholar] [CrossRef]
- Darensbourg, D.J.; Mackiewica, R.M.; Phelps, A.L.; Billodeaux, D.R. Copolymerization of CO2 and epoxides catalyzed by metal salen complexes. Acc. Chem. Res. 2004, 37, 836–844. [Google Scholar] [CrossRef]
- Ren, W.M.; Liu, Z.W.; Wen, Y.Q.; Zhang, R.; Lu, X.B. Mechanistic aspects of the copolymerization of CO2 with epoxides using a thermally stable single-site cobalt(III). J. Am. Chem. Soc. 2009, 131, 11509–11518. [Google Scholar] [CrossRef]
- Decortes, A.; Haak, R.M.; Martin, C.; Belmonte, M.M.; Martin, E.; Benet-Buchholz, J.; Kleij, A.W. Copolymerization of CO2 and cyclohexene oxide mediated by Yb(salen)-based complexes. Macromolecules 2015, 48, 8197–8207. [Google Scholar] [CrossRef]
- Liu, J.; Bao, Y.Y.; Liu, Y.; Ren, W.M.; Lu, X.B. Binuclear chromium-salan complex catalyzed alternating copolymerization of epoxides and cyclic anhydrides. Polym. Chem. 2013, 4, 1439–1444. [Google Scholar] [CrossRef]
- Cohen, C.T.; Chu, T.; Coates, G.W. Cobalt catalysts for the alternating copolymerization of propylene oxide and carbon dioxide: Combining high activity and selectivity. J. Am. Chem. Soc. 2005, 127, 10869–10878. [Google Scholar] [CrossRef]
- Qin, Y.S.; Chen, L.J.; Wang, X.H.; Zhao, X.J.; Wang, F.S. Alternating copolymerization of cyclohexene oxide and carbon dioxide under cobalt porphyrin catalyst. Chin. J. Polym. Sci. 2011, 29, 602–608. [Google Scholar] [CrossRef]
- Guerin, W.; Diallo, A.K.; Kirilov, E.; Helou, M.; Slawinski, M.; Brusson, J.M.; Carpentier, J.F.; Guillaume, S.M. Enantiopure isotactic PCHC synthesized by ring-opening polymerization of cyclohexene carbonate. Macromolecules 2014, 47, 4230–4235. [Google Scholar] [CrossRef]
- Wu, G.P.; Ren, W.M.; Luo, Y.; Li, B.; Zhang, W.Z.; Lu, X.B. Enhanced asymmetric induction for the copolymerization of CO2 and cyclohexene oxide with unsymmetric enantiopure salenCo(III) complexes: Synthesis of crystalline CO2-based polycarbonate. J. Am. Chem. Soc. 2012, 134, 5682–5688. [Google Scholar] [CrossRef]
- Lu, X.B.; Shi, L.; Wang, Y.M.; Zhang, R.; Zhang, Y.J.; Peng, X.J.; Zhang, Z.C.; Li, B. Design of highly active binary catalyst systems for CO2/epoxide copolymerization: Polymer selectivity, enantioselectivity, and stereochemistry control. J. Am. Chem. Soc. 2006, 128, 1664–1674. [Google Scholar] [CrossRef] [PubMed]
- Rouabah, F.; Fois, M.; Ibos, L.; Boudenne, A.; Picard, C.; Dadache, D.; Haddaoui, N. Mechanical and thermal properties of polycarbonate, part 1: Influence of free quenching. J. Appl. Polym. Sci. 2008, 109, 1505–1514. [Google Scholar] [CrossRef]
- Bahar, A.; Belhabib, S.; Guessasma, S.; Benmahiddine, F.; Hamami, A.E.; Belarbi, R. Mechanical and thermal properties of 3D printed polycarbonate. Energies 2022, 15, 3686. [Google Scholar] [CrossRef]
- Campbell, E.J.; Nguyen, S.T. Unsymmetrical salen-type ligands: High yield synthesis of salen-type Schiff bases containing two different benzaldehyde moieties. Tetrahedron Lett. 2001, 42, 1221–1225. [Google Scholar] [CrossRef]
- Paul, S.; Gupta, M.; Gupta, R. Vilsmeier reagent for formylation in solvent-free conditions using microwaves. Synlett 2000, 8, 1115–1118. [Google Scholar]
- Wang, Z.; Mu, Y. Chiral salenCo(iii) complexes with bulky substituents as catalysts for stereoselective alternating copolymerization of racemic propylene oxide with carbon dioxide and succinic anhydride. Polym. Chem. 2021, 12, 1776–1786. [Google Scholar] [CrossRef]
- Xu, K.; Chen, J.G.; Wang, K.; Liu, W.Z.; Jiang, J.Q.; Liu, Z.T. perfectly alternating copolymerization of propylene oxide and CO2 over salenco/salencr complexes. J. Macromol. Sci. A 2014, 51, 589–597. [Google Scholar] [CrossRef]
- Liang, Z.; Li, X.; Li, M.; Hong, Y.L. Study on the preparation and properties of jute microcrystalline cellulose membrane. Molecules 2023, 28, 1783. [Google Scholar] [CrossRef] [PubMed]








| Entry | Catalyst | CHO/Cat/PPNCl (Molar Ratio) | Time (h) | TOF (h−1) | Mn (kg/mol) | PDI (Mw/Mn) | ee (%) |
|---|---|---|---|---|---|---|---|
| 1 | IIa | 1000/1/1 | 3 | 137 | 19.2 | 1.24 | 74.2 |
| 2 | IIa | 1000/1/0 | 3 | 133 | 18.3 | 1.19 | 72.5 |
| 3 | IIb | 1000/1/0 | 3 | 126 | 8.4 | 1.20 | 67.3 |
| 4 | IIc | 1000/1/0 | 3 | 84 | 19.8 | 1.22 | 53.3 |
| 5 | IId | 1000/1/0 | 3 | 58 | 10.9 | 1.31 | 37.3 |
| 6 | IIe | 1000/1/0 | 3 | 92 | 11.7 | 1.23 | 63.9 |
| 7 | IIf | 1000/1/0 | 12 | 3 | — | — | — |
| 8 | Ia | 500/1/0 | 6 | — | — | — | — |
| 9 | Ia | 500/1/1 | 6 | 73 | 13.2 | 1.27 | 51.1 |
| 10 | Ib | 500/1/1 | 6 | 69 | 13.9 | 1.27 | 53.7 |
| 11 | Ic | 500/1/1 | 6 | 58 | 12.1 | 1.28 | 48.7 |
| 12 | Id | 500/1/1 | 6 | 34 | 6.6 | 1.41 | 41.1 |
| Entry | Temperature (°C) | Pressure (MPa) | TOF (h−1) | Mn (kg/mol) | PDI (Mw/Mn) | ee (%) |
|---|---|---|---|---|---|---|
| 1 | 25 | 2.0 | 133 | 19.2 | 1.19 | 72.5 |
| 2 | 25 | 3.0 | 142 | 19.5 | 1.17 | 83.6 |
| 3 | 25 | 4.0 | 166 | 20.1 | 1.16 | 93.5 |
| 4 | 35 | 2.0 | 187 | 19.5 | 1.22 | 65.1 |
| 5 | 35 | 3.0 | 251 | 21.1 | 1.19 | 80.8 |
| 6 | 35 | 4.0 | 318 | 21.8 | 1.17 | 88.1 |
| 7 | 45 | 2.0 | 287 | 20.3 | 1.22 | 65.2 |
| 8 | 45 | 3.0 | 354 | 22.7 | 1.19 | 76.3 |
| 9 | 45 | 4.0 | 462 | 24.6 | 1.18 | 84.6 |
Disclaimer/Publisher’s Note: The statements, opinions and data contained in all publications are solely those of the individual author(s) and contributor(s) and not of MDPI and/or the editor(s). MDPI and/or the editor(s) disclaim responsibility for any injury to people or property resulting from any ideas, methods, instructions or products referred to in the content. |
© 2023 by the authors. Licensee MDPI, Basel, Switzerland. This article is an open access article distributed under the terms and conditions of the Creative Commons Attribution (CC BY) license (https://creativecommons.org/licenses/by/4.0/).
Share and Cite
Zhang, M.; Zhang, C.; Zhang, P.; Liang, Z. Study of Preparation and Properties of Stereoregular Poly(cyclohexenylene carbonate). Molecules 2023, 28, 5235. https://doi.org/10.3390/molecules28135235
Zhang M, Zhang C, Zhang P, Liang Z. Study of Preparation and Properties of Stereoregular Poly(cyclohexenylene carbonate). Molecules. 2023; 28(13):5235. https://doi.org/10.3390/molecules28135235
Chicago/Turabian StyleZhang, Ming, Chengqian Zhang, Pengyuan Zhang, and Zhengyong Liang. 2023. "Study of Preparation and Properties of Stereoregular Poly(cyclohexenylene carbonate)" Molecules 28, no. 13: 5235. https://doi.org/10.3390/molecules28135235
APA StyleZhang, M., Zhang, C., Zhang, P., & Liang, Z. (2023). Study of Preparation and Properties of Stereoregular Poly(cyclohexenylene carbonate). Molecules, 28(13), 5235. https://doi.org/10.3390/molecules28135235
