A Visual Color Response Test Paper for the Detection of Hydrogen Sulfide Gas in the Air
Abstract
1. Introduction
2. Results and Discussion
2.1. Factors Influencing Response Performance of Test Paper
2.1.1. Indicator Concentration
2.1.2. Temperature and Other Gases
2.1.3. The Concentration of H2S Gas
2.2. XPS Analysis of Test Paper
2.3. SEM Images of Test Paper
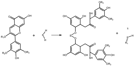
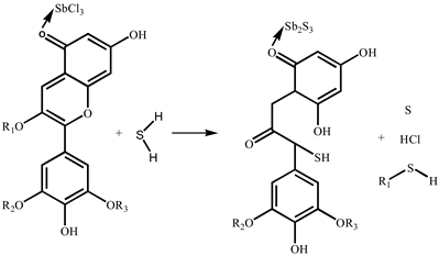
2.4. Mechanism Analysis
2.5. The Simulation of Pipeline Leakage
3. Materials and Methods
3.1. Experimental Material
3.2. Preparation of Response Test Paper
3.3. Visual Detection of H2S Gas
3.4. Characterization Methods
4. Conclusions
Supplementary Materials
Author Contributions
Funding
Institutional Review Board Statement
Informed Consent Statement
Data Availability Statement
Conflicts of Interest
Sample Availability
References
- Carpenter, T.S.; Rosolina, S.M.; Xue, Z.L. Quantitative, colorimetric paper probe for hydrogen sulfide gas. Sens. Actuators B Chem. 2017, 253, 846–851. [Google Scholar] [CrossRef]
- Jianwen, Z.; Da, L.; Wenxing, F. An approach for estimating toxic releases of H2S-containing natural gas. J. Hazard. Mater. 2014, 264, 350–362. [Google Scholar] [CrossRef] [PubMed]
- Nassar, I.M.; Noor El-Din, M.R.; Morsi, R.E.; El-Azeim, A.A.; Hashem, A.I. Eco Friendly nanocomposite materials to scavenge hazard gas H2S through fixed-bed reactor in petroleum application. Renew. Sustain. Energy Rev. 2016, 65, 101–112. [Google Scholar] [CrossRef]
- Ma, H.; Lv, S.; Zhou, L.; Chew, J.W.; Zhao, J. Detailed kinetic modeling of H2S formation during fuel-rich combustion of pulverized coal. Fuel Process. Technol. 2020, 199, 106276. [Google Scholar] [CrossRef]
- Chow, C.F.; Ho, P.Y.; Sun, D.; Lu, Y.J.; Wong, W.L.; Tang, Q.; Gong, C. Bin Development of sensitive and selective food sensors using new Re(I)-Pt(II) bimetallic complexes to detect volatile biogenic sulfides formed by meat spoilage. Food Chem. 2017, 216, 382–389. [Google Scholar] [CrossRef] [PubMed]
- Farghali, M.; Andriamanohiarisoamanana, F.J.; Ahmed, M.M.; Kotb, S.; Yamamoto, Y.; Iwasaki, M.; Yamashiro, T.; Umetsu, K. Prospects for biogas production and H2S control from the anaerobic digestion of cattle manure: The influence of microscale waste iron powder and iron oxide nanoparticles. Waste Manag. 2020, 101, 141–149. [Google Scholar] [CrossRef]
- Feng, Y.; Hu, S.; Wang, Y.; Song, X.; Cao, C.; Wang, K.; Jing, C.; Zhang, G.; Liu, W. A multifunctional fluorescent probe for visualizing H2S in wastewater with portable smartphone via fluorescent paper strip and sensing GSH in vivo. J. Hazard. Mater. 2021, 406, 124523. [Google Scholar] [CrossRef]
- Bhambhani, Y.; Burnham, R.; Snydmiller, G.; MacLean, I.; Martin, T. Effects of 5 ppm hydrogen sulfide inhalation on biochemical properties of skeletal muscle in exercising men and women. Am. Ind. Hyg. Assoc. J. 1996, 57, 464–468. [Google Scholar] [CrossRef] [PubMed]
- Wetchakun, K.; Samerjai, T.; Tamaekong, N.; Liewhiran, C.; Siriwong, C.; Kruefu, V.; Wisitsoraat, A.; Tuantranont, A.; Phanichphant, S. Semiconducting metal oxides as sensors for environmentally hazardous gases. Sens. Actuators B Chem. 2011, 160, 580–591. [Google Scholar] [CrossRef]
- Liang, X.; He, Y.; Liu, F.; Wang, B.; Zhong, T.; Quan, B.; Lu, G. Solid-state potentiometric H2S sensor combining NASICON with Pr6O11-doped SnO2 electrode. Sens. Actuators B Chem. 2007, 125, 544–549. [Google Scholar] [CrossRef]
- Li, Z.; Huang, Y.; Zhang, S.; Chen, W.; Kuang, Z.; Ao, D.; Liu, W.; Fu, Y. A fast response & recovery H2S gas sensor based on α-Fe2O3 nanoparticles with ppb level detection limit. J. Hazard. Mater. 2015, 300, 167–174. [Google Scholar]
- Shang, H.; Xu, H.; Liu, Q.; Du, Y. PdCu alloy nanosheets-constructed 3D flowers: New highly sensitive materials for H2S detection. Sens. Actuators B Chem. 2019, 289, 260–268. [Google Scholar] [CrossRef]
- Lawrence, N.S.; Davis, J.; Compton, R.G. Analytical strategies for the detection of sulfide: A review. Talanta 2000, 52, 771–784. [Google Scholar] [CrossRef]
- Dhahi, T.H.S.; Bin Hashim, U.D.A.; Ahmed, N.M.; Mat Taib, A. A review on the electrochemical sensors and biosensors composed of nanogaps as sensing material. J. Optoelectron. Adv. Mater. 2010, 12, 1857–1862. [Google Scholar]
- Kanan, S.M.; El-Kadri, O.M.; Abu-Yousef, I.A.; Kanan, M.C. Semiconducting metal oxide based sensors for selective gas pollutant detection. Sensors 2009, 9, 8158–8196. [Google Scholar] [CrossRef]
- Liu, J.; Wang, H.; Guo, M.; Li, L.; Chen, M.; Jiang, S.; Li, X.; Jiang, S. Extract from Lycium ruthenicum Murr. Incorporating κ-carrageenan colorimetric film with a wide pH–sensing range for food freshness monitoring. Food Hydrocoll. 2019, 94, 1–10. [Google Scholar] [CrossRef]
- Moradi, M.; Tajik, H.; Almasi, H.; Forough, M.; Ezati, P. A novel pH-sensing indicator based on bacterial cellulose nanofibers and black carrot anthocyanins for monitoring fish freshness. Carbohydr. Polym. 2019, 222, 115030. [Google Scholar] [CrossRef] [PubMed]
- AFP, Toxic Leak Kills Two in Czech Water Treatment Plant. The News International, 19 June 2021. Available online: https://www.thenews.com.pk/print/851581-toxic-leak-kills-two-in-czech-water-treatment-plant (accessed on 19 June 2021).
- Pang, S. 3 Dead and 3 Injured, Chemical Gas Leakage Accident. China Emergency Management News, 18 April 2022. [Google Scholar]
- Tang, J.; Li, S.; Wang, Y.; Zhang, H.; Lin, B.; Sun, M. Ethyl cellulose based peelable coatings with visual sensing of hydrogen sulfide. Prog. Org. Coatings 2022, 163, 106617. [Google Scholar] [CrossRef]
- Zhang, Y.; Tian, J.; Jiang, K.; Huang, J.; Wang, H.; Song, Y. Gas-solid reaction for: In situ deposition of Cu3SbS4 on a mesoporous TiO2 film. RSC Adv. 2017, 7, 41540–41545. [Google Scholar] [CrossRef]
- Kim, D.H.; Cha, J.H.; Lim, J.Y.; Bae, J.; Lee, W.; Yoon, K.R.; Kim, C.; Jang, J.S.; Hwang, W.; Kim, I.D. Colorimetric Dye-Loaded Nanofiber Yarn: Eye-Readable and Weavable Gas Sensing Platform. ACS Nano 2020, 14, 16907–16918. [Google Scholar] [CrossRef]
- Lin, Y.; Zhan, Y.; Luo, F.; Lin, C.; Wang, J.; Qiu, B.; Lin, Z. Multicolor hydrogen sulfide sensor for meat freshness assessment based on Cu2+-modified boron nitride nanosheets-supported subnanometer gold nanoparticles. Food Chem. 2022, 381, 132278. [Google Scholar] [CrossRef] [PubMed]
- Yang, X.; Lu, X.; Wang, J.; Zhang, Z.; Du, X.; Zhang, J.; Wang, J. Near-Infrared Fluorescent Probe with a Large Stokes Shift for Detection of Hydrogen Sulfide in Food Spoilage, Living Cells, and Zebrafish. J. Agric. Food Chem. 2022, 70, 3047–3055. [Google Scholar] [CrossRef]
- Han, X.; Liu, J.; Yu, K.; Lu, Y.; Xiang, W.; Zhao, D.; He, Y. Water-Stable Eu6-Cluster-Based fcu-MOF with Exposed Vinyl Groups for Ratiometric and Fluorescent Visual Sensing of Hydrogen Sulfide. Inorg. Chem. 2022, 61, 5067–5075. [Google Scholar] [CrossRef] [PubMed]
- Wu, H.; Cheng, Q.; Mao, H.; Zhang, W.; Lin, L. Functionalized organic–inorganic hybrid composites used as colorimetric chemosensors for hydrogen sulfide detection. J. Appl. Polym. Sci. 2022, 139, 52312. [Google Scholar] [CrossRef]
- Tudisco, C.; Pellegrino, A.L.; Malandrino, G.; Condorelli, G.G. Surface anchoring of bi-functional organic linkers on piezoelectric BiFeO3 films and particles: Comparison between carboxylic and phosphonic tethering groups. Surf. Coatings Technol. 2018, 343, 75–82. [Google Scholar] [CrossRef]
- Wang, D.; Qiu, Z.; He, S.; Yuan, Y.; Jin, X.; Yang, J. Synthesis of Ce-doped magnetic NaY zeolite for effective Sb removal: Study of its performance and mechanism. Colloids Surf. A Physicochem. Eng. Asp. 2022, 636, 128129. [Google Scholar] [CrossRef]
- Naik, R.; Adarsh, K.V.; Ganesan, R.; Sangunni, K.S.; Kokenyesi, S.; Deshpande, U.; Shripathi, T. X-ray photoelectron spectroscopic studies on Se/As2S3 and Sb/As2S3 nanomultilayered film. J. Non. Cryst. Solids 2009, 355, 1836–1839. [Google Scholar] [CrossRef]
- Wang, L.; Li, H.; Yu, D.; Wang, Y.; Wang, W.; Wu, M. Hyperbranched polyamide–functionalized sodium alginate microsphere as a novel adsorbent for the removal of antimony(III) in wastewater. Environ. Sci. Pollut. Res. 2019, 26, 27372–27384. [Google Scholar] [CrossRef] [PubMed]
- Cong, C.-B.; Cui, C.-C.; Meng, X.-Y.; Lu, S.-J.; Zhou, Q. Degradation of Hydrogenated Nitrile-butadiene Rubber in Aqueous Solutions of H2S or HCl. Chem. Res. Chin. Univ. 2013, 29, 806–810. [Google Scholar] [CrossRef]














Disclaimer/Publisher’s Note: The statements, opinions and data contained in all publications are solely those of the individual author(s) and contributor(s) and not of MDPI and/or the editor(s). MDPI and/or the editor(s) disclaim responsibility for any injury to people or property resulting from any ideas, methods, instructions or products referred to in the content. |
© 2023 by the authors. Licensee MDPI, Basel, Switzerland. This article is an open access article distributed under the terms and conditions of the Creative Commons Attribution (CC BY) license (https://creativecommons.org/licenses/by/4.0/).
Share and Cite
Zhang, H.; Li, S.; Zheng, H.; Han, Z.; Lin, B.; Wang, Y.; Guo, X.; Zhou, T.; Zhang, H.; Wu, J.; et al. A Visual Color Response Test Paper for the Detection of Hydrogen Sulfide Gas in the Air. Molecules 2023, 28, 5044. https://doi.org/10.3390/molecules28135044
Zhang H, Li S, Zheng H, Han Z, Lin B, Wang Y, Guo X, Zhou T, Zhang H, Wu J, et al. A Visual Color Response Test Paper for the Detection of Hydrogen Sulfide Gas in the Air. Molecules. 2023; 28(13):5044. https://doi.org/10.3390/molecules28135044
Chicago/Turabian StyleZhang, Hailong, Shiyu Li, Hongpeng Zheng, Zhongzhi Han, Bing Lin, Yingying Wang, Xiaojun Guo, Taigang Zhou, Haibing Zhang, Jianjun Wu, and et al. 2023. "A Visual Color Response Test Paper for the Detection of Hydrogen Sulfide Gas in the Air" Molecules 28, no. 13: 5044. https://doi.org/10.3390/molecules28135044
APA StyleZhang, H., Li, S., Zheng, H., Han, Z., Lin, B., Wang, Y., Guo, X., Zhou, T., Zhang, H., Wu, J., Zhang, H., & Tang, J. (2023). A Visual Color Response Test Paper for the Detection of Hydrogen Sulfide Gas in the Air. Molecules, 28(13), 5044. https://doi.org/10.3390/molecules28135044

