Molecular Engineering of E. coli Bacterioferritin: A Versatile Nanodimensional Protein Cage
Abstract
1. Introduction
2. Results and Discussion
2.1. Internal His-Tagged Bfr
2.1.1. Encapsulation of Dye Molecules within His-Tagged Bfr
2.1.2. Encapsulation of Proteins within His-Tagged Bfr
2.1.3. Encapsulation of a Gold Nanoparticle (AuNP) within His-Tagged Bfr
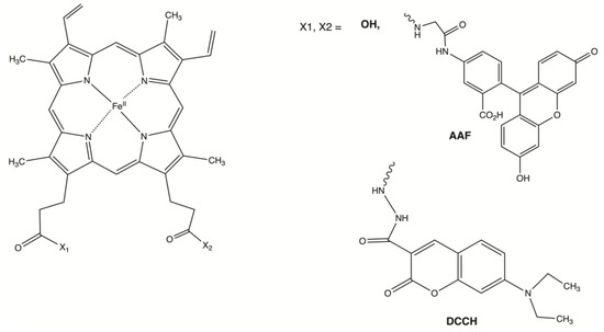
2.2. Heme-Dependent Cassette Strategy
2.2.1. Heme Modification and Reinsertion into Bfr
2.2.2. Bis-NTA-Heme Enables Encapsulation of His-Tagged Proteins into Bfr
2.3. Chemoenzymatic Surface Modification Strategies for Future Targeting Capabilities of Bfr
2.3.1. Outer Surface Peptide Sequence Design
2.3.2. Site of Transglutaminase Fluorophore Bioconjugation
2.3.3. Quaternary Structure Dependence on Surface Peptide Sequence
2.3.4. Transglutaminase Bioconjugation on an Intact HostG–Uest Supramolecular Complex
2.4. In Silico Screening for Heme Cofactor Replacements
2.4.1. In Silico Screening
2.4.2. Effect of Various Non-Heme Ligands on Bfr Quaternary Structure
3. Materials and Methods
3.1. DNA Cloning and Manipulation
3.2. Computational Modeling
3.3. Encapsulation of Pro-Q® Sapphire, SF, and AuNP
3.4. Fluorescence Analysis
3.5. TEM Preparation and Imaging
3.6. Heme Analogs
3.6.1. Reactions of Heme-NHS with Fluorescein, and Coumarin Derivatives
3.6.2. Insertion of Modified Heme into Bfr
3.6.3. Bis-NTA-Heme Synthesis
3.6.4. Bis-NTA-Heme Purification
3.7. His-Tag GFP Isolation and Purification
3.8. Incorporation of Bis-NTA-Heme within Bfr
3.9. Native PAGE
3.10. His-GFP Encapsulation
3.11. Transglutaminase Surface Modifications on His-Tag Bfr and Qtag-Surface Modified His-Tag Bfr
3.12. Dynamic Light Scattering (DLS) Experiments with His-Tag Bfr and Heme Replacements
4. Conclusions
Supplementary Materials
Author Contributions
Funding
Institutional Review Board Statement
Informed Consent Statement
Data Availability Statement
Acknowledgments
Conflicts of Interest
Sample Availability
References
- Stupka, I.; Azuma, Y.; Biela, A.P.; Imamura, M.; Scheuring, S.; Pyza, E.; Woznicka, O.; Maskell, D.P.; Heddle, J.G. Chemically induced protein cage assembly with programmable opening and cargo release. Sci. Adv. 2022, 8, eabj9424. [Google Scholar] [CrossRef] [PubMed]
- Miller, J.E.; Srinivasan, Y.; Dharmaraj, N.P.; Liu, A.; Nguyen, P.L.; Taylor, S.D.; Yeates, T.O. Designing Protease-Triggered Protein Cages. J. Am. Chem. Soc. 2022, 144, 12681–12689. [Google Scholar] [CrossRef] [PubMed]
- Valimaki, S.; Liu, Q.; Schoonen, L.; Vervoort, D.F.M.; Nonappa; Linko, V.; Nolte, R.J.M.; van Hest, J.C.M.; Kostiainen, M.A. Engineered protein cages for selective heparin encapsulation. J. Mater. Chem. B 2021, 9, 1272–1276. [Google Scholar] [CrossRef] [PubMed]
- Edwardson, T.G.W.; Levasseur, M.D.; Tetter, S.; Steinauer, A.; Hori, M.; Hilvert, D. Protein Cages: From Fundamentals to Advanced Applications. Chem. Rev. 2022, 122, 9145–9197. [Google Scholar] [CrossRef]
- Lv, C.; Zhang, X.; Liu, Y.; Zhang, T.; Chen, H.; Zang, J.; Zheng, B.; Zhao, G. Redesign of protein nanocages: The way from 0D, 1D, 2D to 3D assembly. Chem. Soc. Rev. 2021, 50, 3957–3989. [Google Scholar] [CrossRef]
- Mohanty, A.; Parida, A.; Raut, R.K.; Behera, R.K. Ferritin: A Promising Nanoreactor and Nanocarrier for Bionanotechnology. ACS Bio. Med. Chem. Au 2022, 2, 258–281. [Google Scholar] [CrossRef]
- Bradley, J.M.; Gray, E.; Richardson, J.; Moore, G.R.; Le Brun, N.E. Protein encapsulation within the internal cavity of a bacterioferritin. Nanoscale 2022, 14, 12322–12331. [Google Scholar] [CrossRef]
- Levasseur, M.D.; Mantri, S.; Hayashi, T.; Reichenbach, M.; Hehn, S.; Waeckerle-Men, Y.; Johansen, P.; Hilvert, D. Cell-Specific Delivery Using an Engineered Protein Nanocage. ACS Chem. Biol. 2021, 16, 838–843. [Google Scholar] [CrossRef]
- Hoersch, D.; Roh, S.H.; Chiu, W.; Kortemme, T. Reprogramming an ATP-driven protein machine into a light-gated nanocage. Nat. Nanotechnol. 2013, 8, 928–932. [Google Scholar] [CrossRef] [PubMed]
- Xie, A.; Tsvetkova, I.; Liu, Y.; Ye, X.; Hewavitharanage, P.; Dragnea, B.; Cadena-Nava, R.D. Hydrophobic Cargo Encapsulation into Virus Protein Cages by Self-Assembly in an Aprotic Organic Solvent. Bioconjug. Chem. 2021, 32, 2366–2376. [Google Scholar] [CrossRef]
- Kolesanova, E.F.; Melnikova, M.V.; Bolshakova, T.N.; Rybalkina, E.Y.; Sivov, I.G. Bacteriophage MS2 As a Tool for Targeted Delivery in Solid Tumor Chemotherapy. Acta Nat. 2019, 11, 98–101. [Google Scholar] [CrossRef] [PubMed]
- Selivanovitch, E.; LaFrance, B.; Douglas, T. Molecular exclusion limits for diffusion across a porous capsid. Nat. Commun. 2021, 12, 2903. [Google Scholar] [CrossRef] [PubMed]
- Munoz-Juan, A.; Carreno, A.; Mendoza, R.; Corchero, J.L. Latest Advances in the Development of Eukaryotic Vaults as Targeted Drug Delivery Systems. Pharmaceutics 2019, 11, 300. [Google Scholar] [CrossRef] [PubMed]
- Benner, N.L.; Zang, X.; Buehler, D.C.; Kickhoefer, V.A.; Rome, M.E.; Rome, L.H.; Wender, P.A. Vault Nanoparticles: Chemical Modifications for Imaging and Enhanced Delivery. ACS Nano 2017, 11, 872–881. [Google Scholar] [CrossRef]
- Kerfeld, C.A.; Heinhorst, S.; Cannon, G.C. Bacterial microcompartments. Annu. Rev. Microbiol. 2010, 64, 391–408. [Google Scholar] [CrossRef]
- Chesser, A.; Breitling, R.; Takano, E. Bacterial Microcompartments: Biomaterials for Synthetic Biology-Based Compartmentalization Strategies. ACS Biomater. Sci. Eng. 2015, 1, 345–351. [Google Scholar] [CrossRef]
- Tsai, S.J.; Yeates, T.O. Bacterial microcompartments insights into the structure, mechanism, and engineering applications. Prog. Mol. Biol. Transl. Sci. 2011, 103, 1–20. [Google Scholar] [CrossRef] [PubMed]
- Giessen, T.W. Encapsulins. Annu. Rev. Biochem. 2022, 91, 353–380. [Google Scholar] [CrossRef]
- Zhang, J.; Cheng, D.; He, J.; Hong, J.; Yuan, C.; Liang, M. Cargo loading within ferritin nanocages in preparation for tumor-targeted delivery. Nat. Protoc. 2021, 16, 4878–4896. [Google Scholar] [CrossRef]
- Lu, C.; Maity, B.; Peng, X.; Ito, N.; Abe, S.; Sheng, X.; Ueno, T.; Lu, D. Design of a gold clustering site in an engineered apo-ferritin cage. Commun. Chem. 2022, 5, 39. [Google Scholar] [CrossRef]
- Zang, J.; Zheng, B.; Zhang, X.; Arosio, P.; Zhao, G. Design and site-directed compartmentalization of gold nanoclusters within the intrasubunit interfaces of ferritin nanocage. J. Nanobiotechnol. 2019, 17, 79. [Google Scholar] [CrossRef] [PubMed]
- Loncar, N.; Rozeboom, H.J.; Franken, L.E.; Stuart, M.C.A.; Fraaije, M.W. Structure of a robust bacterial protein cage and its application as a versatile biocatalytic platform through enzyme encapsulation. Biochem. Biophys. Res. Commun. 2020, 529, 548–553. [Google Scholar] [CrossRef] [PubMed]
- Chakraborti, S.; Lin, T.Y.; Glatt, S.; Heddle, J.G. Enzyme encapsulation by protein cages. RSC Adv. 2020, 10, 13293–13301. [Google Scholar] [CrossRef] [PubMed]
- Cornelissen, J.J. Chemical virology: Packing polymers in protein cages. Nat. Chem. 2012, 4, 775–777. [Google Scholar] [CrossRef] [PubMed]
- Lucon, J.; Qazi, S.; Uchida, M.; Bedwell, G.J.; LaFrance, B.; Prevelige, P.E., Jr.; Douglas, T. Use of the interior cavity of the P22 capsid for site-specific initiation of atom-transfer radical polymerization with high-density cargo loading. Nat. Chem. 2012, 4, 781–788. [Google Scholar] [CrossRef]
- Lau, J.L.; Baksh, M.M.; Fiedler, J.D.; Brown, S.D.; Kussrow, A.; Bornhop, D.J.; Ordoukhanian, P.; Finn, M.G. Evolution and protein packaging of small-molecule RNA aptamers. ACS Nano 2011, 5, 7722–7729. [Google Scholar] [CrossRef]
- Kashanian, S.; Abasi Tarighat, F.; Rafipour, R.; Abbasi-Tarighat, M. Biomimetic synthesis and characterization of cobalt nanoparticles using apoferritin, and investigation of direct electron transfer of Co(NPs)-ferritin at modified glassy carbon electrode to design a novel nanobiosensor. Mol. Biol. Rep. 2012, 39, 8793–8802. [Google Scholar] [CrossRef]
- Moghaddam, A.B.; Esmaieli, M.; Khodadadi, A.A.; Ganjkhanlou, Y.; Asheghali, D. Direct Electron Transfer and Biocatalytic Activity of Iron Storage Protein Molecules Immobilized on Electrodeposited Cobalt Oxide Nanoparticles. Microchim. Acta 2011, 173, 317–322. [Google Scholar] [CrossRef]
- Mohammadi, A.; Moghaddam, A.B.; Badraghi, J. Direct Electron Transfer of Ferritin on Electrodeposited Nickel Oxide Cubic Nanoparticles. Anal. Methods 2012, 4, 1024–1028. [Google Scholar] [CrossRef]
- Prasuhn, D.E., Jr.; Yeh, R.M.; Obenaus, A.; Manchester, M.; Finn, M.G. Viral MRI contrast agents: Coordination of Gd by native virions and attachment of Gd complexes by azide-alkyne cycloaddition. Chem. Commun. 2007, 43, 1269–1271. [Google Scholar] [CrossRef]
- Qazi, S.; Liepold, L.O.; Abedin, M.J.; Johnson, B.; Prevelige, P.; Frank, J.A.; Douglas, T. P22 viral capsids as nanocomposite high-relaxivity MRI contrast agents. Mol. Pharm. 2013, 10, 11–17. [Google Scholar] [CrossRef] [PubMed]
- Zhen, Z.; Tang, W.; Chen, H.; Lin, X.; Todd, T.; Wang, G.; Cowger, T.; Chen, X.; Xie, J. RGD-modified apoferritin nanoparticles for efficient drug delivery to tumors. ACS Nano 2013, 7, 4830–4837. [Google Scholar] [CrossRef] [PubMed]
- Kang, Y.J.; Park, D.C.; Shin, H.H.; Park, J.; Kang, S. Incorporation of thrombin cleavage peptide into a protein cage for constructing a protease-responsive multifunctional delivery nanoplatform. Biomacromolecules 2012, 13, 4057–4064. [Google Scholar] [CrossRef] [PubMed]
- Maity, B.; Abe, S.; Ueno, T. Observation of gold sub-nanocluster nucleation within a crystalline protein cage. Nat. Commun. 2017, 8, 14820. [Google Scholar] [CrossRef]
- Sontz, P.A.; Bailey, J.B.; Ahn, S.; Tezcan, F.A. A Metal Organic Framework with Spherical Protein Nodes: Rational Chemical Design of 3D Protein Crystals. J. Am. Chem. Soc. 2015, 137, 11598–11601. [Google Scholar] [CrossRef] [PubMed]
- Gu, C.; Chen, H.; Wang, Y.; Zhang, T.; Wang, H.; Zhao, G. Structural Insight into Binary Protein Metal-Organic Frameworks with Ferritin Nanocages as Linkers and Nickel Clusters as Nodes. Chemistry 2020, 26, 3016–3021. [Google Scholar] [CrossRef]
- Chakraborti, S.; Korpi, A.; Heddle, J.G.; Kostiainen, M.A. Electrostatic Self-Assembly of Protein Cage Arrays. Methods Mol. Biol. 2021, 2208, 123–133. [Google Scholar] [CrossRef]
- Carrondo, M.A. Ferritins, iron uptake and storage from the bacterioferritin viewpoint. EMBO J. 2003, 22, 1959–1968. [Google Scholar] [CrossRef]
- Bradley, J.M.; Le Brun, N.E.; Moore, G.R. Ferritins: Furnishing proteins with iron. J. Biol. Inorg. Chem. 2016, 21, 13–28. [Google Scholar] [CrossRef]
- Honarmand Ebrahimi, K.; Hagedoorn, P.L.; Hagen, W.R. Unity in the biochemistry of the iron-storage proteins ferritin and bacterioferritin. Chem. Rev. 2015, 115, 295–326. [Google Scholar] [CrossRef]
- Zhang, B.; Tang, G.; He, J.; Yan, X.; Fan, K. Ferritin nanocage: A promising and designable multi-module platform for constructing dynamic nanoassembly-based drug nanocarrier. Adv. Drug Deliv. Rev. 2021, 176, 113892. [Google Scholar] [CrossRef] [PubMed]
- Song, N.; Zhang, J.; Zhai, J.; Hong, J.; Yuan, C.; Liang, M. Ferritin: A Multifunctional Nanoplatform for Biological Detection, Imaging Diagnosis, and Drug Delivery. Acc. Chem. Res. 2021, 54, 3313–3325. [Google Scholar] [CrossRef] [PubMed]
- Naito, M.; Iwahori, K.; Miura, A.; Yamane, M.; Yamashita, I. Circularly polarized luminescent CdS quantum dots prepared in a protein nanocage. Angew. Chem. Int. Ed. Engl. 2010, 49, 7006–7009. [Google Scholar] [CrossRef]
- Kim, D.; Chung, N.K.; Allen, S.; Tendler, S.J.; Park, J.W. Ferritin-based new magnetic force microscopic probe detecting 10 nm sized magnetic nanoparticles. ACS Nano 2012, 6, 241–248. [Google Scholar] [CrossRef]
- Ko, Y.; Kim, Y.; Baek, H.; Cho, J. Electrically bistable properties of layer-by-layer assembled multilayers based on protein nanoparticles. ACS Nano 2011, 5, 9918–9926. [Google Scholar] [CrossRef] [PubMed]
- Meng, F.; Sana, B.; Li, Y.; Liu, Y.; Lim, S.; Chen, X. Bioengineered tunable memristor based on protein nanocage. Small 2014, 10, 277–283. [Google Scholar] [CrossRef]
- Dautant, A.; Meyer, J.B.; Yariv, J.; Precigoux, G.; Sweet, R.M.; Kalb, A.J.; Frolow, F. Structure of a monoclinic crystal from of cyctochrome b1 (Bacterioferritin) from E. coli. Acta Crystallogr. D Biol. Crystallogr. 1998, 54 Pt 1, 16–24. [Google Scholar] [CrossRef]
- Hochuli, E.; Dobeli, H.; Schacher, A. New metal chelate adsorbent selective for proteins and peptides containing neighbouring histidine residues. J. Chromatogr. 1987, 411, 177–184. [Google Scholar] [CrossRef]
- Terpe, K. Overview of tag protein fusions: From molecular and biochemical fundamentals to commercial systems. Appl. Microbiol.Biotechnol. 2003, 60, 523–533. [Google Scholar] [CrossRef]
- Breen, A.F.; Scurr, D.; Cassioli, M.L.; Wells, G.; Thomas, N.R.; Zhang, J.; Turyanska, L.; Bradshaw, T.D. Protein Encapsulation of Experimental Anticancer Agents 5F 203 and Phortress: Towards Precision Drug Delivery. Int. J. Nanomed. 2019, 14, 9525–9534. [Google Scholar] [CrossRef]
- Zhang, C.; Zhang, X.; Zhao, G. Ferritin Nanocage: A Versatile Nanocarrier Utilized in the Field of Food, Nutrition, and Medicine. Nanomaterials 2020, 10, 1894. [Google Scholar] [CrossRef] [PubMed]
- Diwu, Z.; Gee, K.; Hart, C.; Haugland, R.; Leung, W.; Patton, W.; Rukavishnikov, A. Site-Specific Labeling of Affinity Tags in Fusion Proteins. WO2004025259 A2 PCT/US2003/028738. 25 March 2004. [Google Scholar]
- Hart, C.; Schulenberg, B.; Diwu, Z.; Leung, W.Y.; Patton, W.F. Fluorescence detection and quantitation of recombinant proteins containing oligohistidine tag sequences directly in sodium dodecyl sulfate-polyacrylamide gels. Electrophoresis 2003, 24, 599–610. [Google Scholar] [CrossRef] [PubMed]
- Stayton, P.S.; Freitag, S.; Klumb, L.A.; Chilkoti, A.; Chu, V.; Penzotti, J.E.; To, R.; Hyre, D.; Le Trong, I.; Lybrand, T.P.; et al. Streptavidin-biotin binding energetics. Biomol. Eng. 1999, 16, 39–44. [Google Scholar] [CrossRef] [PubMed]
- Dundas, C.M.; Demonte, D.; Park, S. Streptavidin-biotin technology: Improvements and innovations in chemical and biological applications. Appl. Microbiol. Biotechnol. 2013, 97, 9343–9353. [Google Scholar] [CrossRef]
- Louis, C.; Pluchery, O. Gold Nanoparticles for Physics, Chemistry and Biology; Imperial College Press: London, UK, 2012; p. 308. [Google Scholar]
- Nienhaus, K.; Nienhaus, G.U. Genetically encodable fluorescent protein markers in advanced optical imaging. Methods Appl. Fluoresc. 2022, 10, 042002. [Google Scholar] [CrossRef]
- Cioloboc, D.; Kennedy, C.; Boice, E.N.; Clark, E.R.; Kurtz, D.M., Jr. Trojan Horse for Light-Triggered Bifurcated Production of Singlet Oxygen and Fenton-Reactive Iron within Cancer Cells. Biomacromolecules 2018, 19, 178–187. [Google Scholar] [CrossRef]
- Benavides, B.S.; Acharya, R.; Clark, E.R.; Basak, P.; Maroney, M.J.; Nocek, J.M.; Schanze, K.S.; Kurtz, D.M., Jr. Structural, Photophysical, and Photochemical Characterization of Zinc Protoporphyrin IX in a Dimeric Variant of an Iron Storage Protein: Insights into the Mechanism of Photosensitized H2 Generation. J. Phys. Chem. B 2019, 123, 6740–6749. [Google Scholar] [CrossRef]
- Benavides, B.S.; Valandro, S.; Cioloboc, D.; Taylor, A.B.; Schanze, K.S.; Kurtz, D.M., Jr. Structure of a Zinc Porphyrin-Substituted Bacterioferritin and Photophysical Properties of Iron Reduction. Biochemistry 2020, 59, 1618–1629. [Google Scholar] [CrossRef]
- Andrews, S.C.; Smith, J.M.; Guest, J.R.; Harrison, P.M. Amino acid sequence of the bacterioferritin (cytochrome b1) of Escherichia coli-K12. Biochem. Biophys. Res. Commun. 1989, 158, 489–496. [Google Scholar] [CrossRef]
- Li, X.; Qiu, L.; Zhu, P.; Tao, X.; Imanaka, T.; Zhao, J.; Huang, Y.; Tu, Y.; Cao, X. Epidermal growth factor-ferritin H-chain protein nanoparticles for tumor active targeting. Small 2012, 8, 2505–2514. [Google Scholar] [CrossRef]
- Vannucci, L.; Falvo, E.; Fornara, M.; Di Micco, P.; Benada, O.; Krizan, J.; Svoboda, J.; Hulikova-Capkova, K.; Morea, V.; Boffi, A.; et al. Selective targeting of melanoma by PEG-masked protein-based multifunctional nanoparticles. Int. J. Nanomed. 2012, 7, 1489–1509. [Google Scholar] [CrossRef]
- Choi, S.H.; Kwon, I.C.; Hwang, K.Y.; Kim, I.S.; Ahn, H.J. Small heat shock protein as a multifunctional scaffold: Integrated tumor targeting and caspase imaging within a single cage. Biomacromolecules 2011, 12, 3099–3106. [Google Scholar] [CrossRef]
- Uchida, M.; Kosuge, H.; Terashima, M.; Willits, D.A.; Liepold, L.O.; Young, M.J.; McConnell, M.V.; Douglas, T. Protein cage nanoparticles bearing the LyP-1 peptide for enhanced imaging of macrophage-rich vascular lesions. ACS Nano 2011, 5, 2493–2502. [Google Scholar] [CrossRef] [PubMed]
- Worsdorfer, B.; Pianowski, Z.; Hilvert, D. Efficient in vitro encapsulation of protein cargo by an engineered protein container. J. Am. Chem. Soc. 2012, 134, 909–911. [Google Scholar] [CrossRef] [PubMed]
- Chmyrov, A.; Sanden, T.; Widengren, J. Iodide as a fluorescence quencher and promoter--mechanisms and possible implications. J. Phys. Chem. B 2010, 114, 11282–11291. [Google Scholar] [CrossRef] [PubMed]
- Fischer, R.; Georges, J. Limitations arising in the study of the fluorescence quenching of rhodamine 6G by iodides using cw-laser thermal lens spectrometry. Spectroc. Acta Pt. A-Molec. Biomolec. Spectr. 1998, 54, 101–110. [Google Scholar] [CrossRef]
- Chang, J.Y.; Knecht, R.; Braun, D.G. Amino acid analysis at the picomole level. Application to the C-terminal sequence analysis of polypeptides. Biochem. J. 1981, 199, 547–555. [Google Scholar] [CrossRef]
- Crisalli, P.; Hernandez, A.R.; Kool, E.T. Fluorescence quenchers for hydrazone and oxime orthogonal bioconjugation. Bioconjug. Chem. 2012, 23, 1969–1980. [Google Scholar] [CrossRef]
- Sando, S.; Abe, H.; Kool, E.T. Quenched auto-ligating DNAs: Multicolor identification of nucleic acids at single nucleotide resolution. J. Am. Chem. Soc. 2004, 126, 1081–1087. [Google Scholar] [CrossRef]
- Makino, A.; Harada, H.; Okada, T.; Kimura, H.; Amano, H.; Saji, H.; Hiraoka, M.; Kimura, S. Effective encapsulation of a new cationic gadolinium chelate into apoferritin and its evaluation as an MRI contrast agent. Nanomedicine 2011, 7, 638–646. [Google Scholar] [CrossRef]
- Lakowicz, J.R. Principles of Fluorescence Spectroscopy, 3rd ed.; Springer: Singapore, 2006. [Google Scholar]
- De Carlo, S.; Harris, J.R. Negative staining and cryo-negative staining of macromolecules and viruses for TEM. Micron 2011, 42, 117–131. [Google Scholar] [CrossRef] [PubMed]
- Minten, I.J.; Hendriks, L.J.; Nolte, R.J.; Cornelissen, J.J. Controlled encapsulation of multiple proteins in virus capsids. J. Am. Chem. Socs 2009, 131, 17771–17773. [Google Scholar] [CrossRef] [PubMed]
- Kourkoutis, L.F.; Plitzko, J.M.; Baumeister, W. Electron Microscopy of Biological Materials at the Nanometer Scale. Ann. Rev. Mater. Res. 2012, 42, 33–58. [Google Scholar] [CrossRef]
- Patterson, D.P.; Schwarz, B.; Waters, R.S.; Gedeon, T.; Douglas, T. Encapsulation of an enzyme cascade within the bacteriophage P22 virus-like particle. ACS Chem. Biol. 2014, 9, 359–365. [Google Scholar] [CrossRef]
- Patterson, D.P.; Prevelige, P.E.; Douglas, T. Nanoreactors by programmed enzyme encapsulation inside the capsid of the bacteriophage P22. ACS Nano 2012, 6, 5000–5009. [Google Scholar] [CrossRef]
- Tang, G.; Peng, L.; Baldwin, P.R.; Mann, D.S.; Jiang, W.; Rees, I.; Ludtke, S.J. EMAN2: An extensible image processing suite for electron microscopy. J. Struct. Biol. 2007, 157, 38–46. [Google Scholar] [CrossRef]
- Lu, Y.; Wang, L.; Chen, D.; Wang, G. Determination of the concentration and the average number of gold atoms in a gold nanoparticle by osmotic pressure. Langmuir 2012, 28, 9282–9287. [Google Scholar] [CrossRef]
- Leff, D.V.; Ohara, P.C.; Heath, J.R.; Gelbart, W.M. Thermodynamic Control of Gold Nanocrystal Size-Experiment and Theory. J. Phys. Chem. B 1995, 99, 7036–7041. [Google Scholar] [CrossRef]
- Labande, A.; Ruiz, J.; Astruc, D. Supramolecular gold nanoparticles for the redox recognition of oxoanions: Syntheses, titrations, stereoelectronic effects, and selectivity. J. Am. Chem. Soc. 2002, 124, 1782–1789. [Google Scholar] [CrossRef]
- Daniel, M.C.; Astruc, D. Gold nanoparticles: Assembly, supramolecular chemistry, quantum-size-related properties, and applications toward biology, catalysis, and nanotechnology. Chem. Rev. 2004, 104, 293–346. [Google Scholar] [CrossRef]
- Andrews, S.C.; Le Brun, N.E.; Barynin, V.; Thomson, A.J.; Moore, G.R.; Guest, J.R.; Harrison, P.M. Site-directed replacement of the coaxial heme ligands of bacterioferritin generates heme-free variants. J. Biol. Chem. 1995, 270, 23268–23274. [Google Scholar] [CrossRef] [PubMed]
- Barker, P.D.; Nerou, E.P.; Cheesman, M.R.; Thomson, A.J.; de Oliveira, P.; Hill, H.A. Bis-methionine ligation to heme iron in mutants of cytochrome b562. 1. Spectroscopic and electrochemical characterization of the electronic properties. Biochemistry 1996, 35, 13618–13626. [Google Scholar] [CrossRef] [PubMed]
- Wong, S.G.; Abdulqadir, R.; Le Brun, N.E.; Moore, G.R.; Mauk, A.G. Fe-haem bound to Escherichia coli bacterioferritin accelerates iron core formation by an electron transfer mechanism. Biochem. J. 2012, 444, 553–560. [Google Scholar] [CrossRef] [PubMed]
- Wu, P.; Nicholls, S.B.; Hardy, J.A. A tunable, modular approach to fluorescent protease-activated reporters. Biophys. J. 2013, 104, 1605–1614. [Google Scholar] [CrossRef]
- De, M.; Rana, S.; Akpinar, H.; Miranda, O.R.; Arvizo, R.R.; Bunz, U.H.; Rotello, V.M. Sensing of proteins in human serum using conjugates of nanoparticles and green fluorescent protein. Nat. Chem. 2009, 1, 461–465. [Google Scholar] [CrossRef]
- Adumeau, P.; Sharma, S.K.; Brent, C.; Zeglis, B.M. Site-Specifically Labeled Immunoconjugates for Molecular Imaging--Part 2: Peptide Tags and Unnatural Amino Acids. Mol. Imaging Biol. 2016, 18, 153–165. [Google Scholar] [CrossRef]
- Ghisaidoobe, A.B.; Chung, S.J. Functionalized protein nanocages as a platform of targeted therapy and immunodetection. Nanomedicine 2015, 10, 3579–3595. [Google Scholar] [CrossRef]
- Darguzyte, M.; Drude, N.; Lammers, T.; Kiessling, F. Riboflavin-Targeted Drug Delivery. Cancers 2020, 12, 295. [Google Scholar] [CrossRef]
- Destito, G.; Yeh, R.; Rae, C.S.; Finn, M.G.; Manchester, M. Folic acid-mediated targeting of cowpea mosaic virus particles to tumor cells. Chem. Biol. 2007, 14, 1152–1162. [Google Scholar] [CrossRef]
- Oteng-Pabi, S.K.; Pardin, C.; Stoica, M.; Keillor, J.W. Site-specific protein labelling and immobilization mediated by microbial transglutaminase. Chem. Commun. 2014, 50, 6604–6606. [Google Scholar] [CrossRef]
- Gnaccarini, C.; Ben-Tahar, W.; Mulani, A.; Roy, I.; Lubell, W.D.; Pelletier, J.N.; Keillor, J.W. Site-specific protein propargylation using tissue transglutaminase. Org. Biomol. Chem. 2012, 10, 5258–5265. [Google Scholar] [CrossRef] [PubMed]
- Strop, P. Versatility of microbial transglutaminase. Bioconjug. Chem. 2014, 25, 855–862. [Google Scholar] [CrossRef] [PubMed]
- Deweid, L.; Hadjabdelhafid-Parisien, A.; Lafontaine, K.; Rochet, L.N.C.; Kolmar, H.; Pelletier, J.N. Glutamine-walking: Creating reactive substrates for transglutaminase-mediated protein labeling. Methods Enzymol. 2020, 644, 121–148. [Google Scholar] [CrossRef] [PubMed]
- Tokai, S.; Uraji, M.; Hatanaka, T. Molecular insights into the mechanism of substrate recognition of Streptomyces transglutaminases. Biosci. Biotechnol. Biochem. 2020, 84, 575–582. [Google Scholar] [CrossRef] [PubMed]
- Iwanij, V. The use of liver transglutaminase for protein labeling. Eur. J. Biochem. 1977, 80, 359–368. [Google Scholar] [CrossRef]
- Chen, Q.; Sun, Q.; Molino, N.M.; Wang, S.W.; Boder, E.T.; Chen, W. Sortase A-mediated multi-functionalization of protein nanoparticles. Chem. Commun. 2015, 51, 12107–12110. [Google Scholar] [CrossRef]
- Kamiya, N.; Tanaka, T.; Suzuki, T.; Takazawa, T.; Takeda, S.; Watanabe, K.; Nagamune, T. S-peptide as a potent peptidyl linker for protein cross-linking by microbial transglutaminase from Streptomyces mobaraensis. Bioconjug. Chem. 2003, 14, 351–357. [Google Scholar] [CrossRef]
- Liu, M.; Zhu, Y.; Wu, T.; Cheng, J.; Liu, Y. Nanobody-Ferritin Conjugate for Targeted Photodynamic Therapy. Chemistry 2020, 26, 7442–7450. [Google Scholar] [CrossRef]
- Dixon, S.L.; Smondyrev, A.M.; Knoll, E.H.; Rao, S.N.; Shaw, D.E.; Friesner, R.A. PHASE: A new engine for pharmacophore perception, 3D QSAR model development, and 3D database screening: 1. Methodology and preliminary results. J. Comput.-Aided Mol. Des. 2006, 20, 647–671. [Google Scholar] [CrossRef]
- Dixon, S.L.; Smondyrev, A.M.; Rao, S.N. PHASE: A novel approach to pharmacophore modeling and 3D database searching. Chem. Biol. Drug Des. 2006, 67, 370–372. [Google Scholar] [CrossRef]
- Friesner, R.A.; Banks, J.L.; Murphy, R.B.; Halgren, T.A.; Klicic, J.J.; Mainz, D.T.; Repasky, M.P.; Knoll, E.H.; Shelley, M.; Perry, J.K.; et al. Glide: A new approach for rapid, accurate docking and scoring. 1. Method and assessment of docking accuracy. J. Med. Chem. 2004, 47, 1739–1749. [Google Scholar] [CrossRef] [PubMed]
- Friesner, R.A.; Murphy, R.B.; Repasky, M.P.; Frye, L.L.; Greenwood, J.R.; Halgren, T.A.; Sanschagrin, P.C.; Mainz, D.T. Extra precision glide: Docking and scoring incorporating a model of hydrophobic enclosure for protein-ligand complexes. J. Med. Chem. 2006, 49, 6177–6196. [Google Scholar] [CrossRef] [PubMed]
- Halgren, T.A.; Murphy, R.B.; Friesner, R.A.; Beard, H.S.; Frye, L.L.; Pollard, W.T.; Banks, J.L. Glide: A new approach for rapid, accurate docking and scoring. 2. Enrichment factors in database screening. J. Med. Chem. 2004, 47, 1750–1759. [Google Scholar] [CrossRef] [PubMed]
- Nam, K.H.; Xu, Y.; Piao, S.; Priyadarshi, A.; Lee, E.H.; Kim, H.Y.; Jeon, Y.H.; Ha, N.C.; Hwang, K.Y. Crystal structure of bacterioferritin from Rhodobacter sphaeroides. Biochem. Biophys. Res. Commun. 2010, 391, 990–994. [Google Scholar] [CrossRef] [PubMed]
- Sherman, W.; Beard, H.S.; Farid, R. Use of an induced fit receptor structure in virtual screening. Chem. Biol. Drug Des. 2006, 67, 83–84. [Google Scholar] [CrossRef]
- Sherman, W.; Day, T.; Jacobson, M.P.; Friesner, R.A.; Farid, R. Novel procedure for modeling ligand/receptor induced fit effects. J. Med. Chem. 2006, 49, 534–553. [Google Scholar] [CrossRef]
- Harris, J.R.; Scheffler, D. Routine preparation of air-dried negatively stained and unstained specimens on holey carbon support films: A review of applications. Micron 2002, 33, 461–480. [Google Scholar] [CrossRef]
- Lee, Y.; Kim, M.; Kang, J.Y.; Jung, Y. Protein Cages Engineered for Interaction-Driven Selective Encapsulation of Biomolecules. ACS Appl. Mater. Interfaces 2022, 14, 35357–35365. [Google Scholar] [CrossRef]
- Giessen, T.W.; Silver, P.A. A Catalytic Nanoreactor Based on in Vivo Encapsulation of Multiple Enzymes in an Engineered Protein Nanocompartment. Chembiochem 2016, 17, 1931–1935. [Google Scholar] [CrossRef]
- Azuma, Y.; Hilvert, D. Enzyme Encapsulation in an Engineered Lumazine Synthase Protein Cage. Methods Mol. Biol. 2018, 1798, 39–55. [Google Scholar] [CrossRef]
- Pulsipher, K.W.; Bulos, J.A.; Villegas, J.A.; Saven, J.G.; Dmochowski, I.J. A protein-protein host-guest complex: Thermostable ferritin encapsulating positively supercharged green fluorescent protein. Protein Sci. 2018, 27, 1755–1766. [Google Scholar] [CrossRef] [PubMed]
- Chakraborti, S.; Korpi, A.; Kumar, M.; Stepien, P.; Kostiainen, M.A.; Heddle, J.G. Three-Dimensional Protein Cage Array Capable of Active Enzyme Capture and Artificial Chaperone Activity. Nano Lett. 2019, 19, 3918–3924. [Google Scholar] [CrossRef] [PubMed]
- Pulsipher, K.W.; Honig, S.; Deng, S.; Dmochowski, I.J. Controlling gold nanoparticle seeded growth in thermophilic ferritin protein templates. J. Inorg. Biochem. 2017, 174, 169–176. [Google Scholar] [CrossRef] [PubMed]
- Yariv, J.; Kalb, A.J.; Sperling, R.; Bauminger, E.R.; Cohen, S.G.; Ofer, S. The composition and the structure of bacterioferritin of Escherichia coli. Biochem. J. 1981, 197, 171–175. [Google Scholar] [CrossRef] [PubMed]
- Gu, Y.; Zhou, Y.; Wu, Y.; Ma, J.; Wang, Y.; Wang, Q.; Wang, Y. Apoferritin-Engineered Nanoprobe for Tumor-Targeted Triple-NIR Imaging and Phototherapy. Anal. Chem. 2021, 93, 8835–8845. [Google Scholar] [CrossRef]
- Du, Y.; Fan, K.L.; Zhang, H.J.; Li, L.; Wang, P.X.; He, J.Y.; Ding, S.G.; Yan, X.Y.; Tian, J. Endoscopic molecular imaging of early gastric cancer using fluorescently labeled human H-ferritin nanoparticle. Nanomed. Nanotechnol. Biol. Med. 2018, 14, 2259–2270. [Google Scholar] [CrossRef]
- Albertoni, C.; Leoni, B.; Rosi, A.; D’Alessio, V.; Carollo, V.; Spagnoli, L.G.; van Echteld, C.; De Santis, R. Radionuclide Therapy of Unresectable Tumors with AvidinOX and (90)Y-biotinDOTA: Tongue Cancer Paradigm. Cancer Biother. Radiopharm. 2015, 30, 291–298. [Google Scholar] [CrossRef]
- Ali, A.; Leibowitz, D.; Bhatt, N.; Doubrovin, M.; Spina, C.S.; Bates-Pappas, G.E.; Taub, R.N.; McKiernan, J.M.; Mintz, A.; Molotkov, A. Preliminary efficacy of [(90)Y]DOTA-biotin-avidin radiotherapy against non-muscle invasive bladder cancer. Eur. J. Nucl. Med. Mol. Imaging 2023, 50, 692–700. [Google Scholar] [CrossRef]
- Cheung-Lau, J.C.; Liu, D.; Pulsipher, K.W.; Liu, W.; Dmochowski, I.J. Engineering a well-ordered, functional protein-gold nanoparticle assembly. J. Inorg. Biochem. 2014, 130, 59–68. [Google Scholar] [CrossRef]
- Hsu, C.C.; Lien, J.C.; Chang, C.W.; Chang, C.H.; Kuo, S.C.; Huang, T.F. Yuwen02f1 suppresses LPS-induced endotoxemia and adjuvant-induced arthritis primarily through blockade of ROS formation, NFkB and MAPK activation. Biochem. Pharmacol. 2013, 85, 385–395. [Google Scholar] [CrossRef]
- Almerico, A.M.; Tutone, M.; Pantano, L.; Lauria, A. A3 adenosine receptor: Homology modeling and 3D-QSAR studies. J. Mol. Graph. Model. 2013, 42, 60–72. [Google Scholar] [CrossRef] [PubMed]
- Alshaye, N.A. Synthesis and in vitro anticancer activity of some 2-oxindoline derivatives as potential CDK2 inhibitors. J. Biomol. Struct. Dyn. 2023, 41, 1–14. [Google Scholar] [CrossRef] [PubMed]
- Ashley, C.E.; Carnes, E.C.; Phillips, G.K.; Durfee, P.N.; Buley, M.D.; Lino, C.A.; Padilla, D.P.; Phillips, B.; Carter, M.B.; Willman, C.L.; et al. Cell-specific delivery of diverse cargos by bacteriophage MS2 virus-like particles. ACS Nano 2011, 5, 5729–5745. [Google Scholar] [CrossRef] [PubMed]
- Hink, M.; Visser, N.; Borst, J.; van Hoek, A.; Visser, A. Practical Use of Corrected Fluorescence Excitation and Emission Spectra of Fluorescent Proteins in Forster Resonance Energy Transfer (FRET) Studies. J. Fluoresc. 2003, 13, 185–188. [Google Scholar] [CrossRef]
- Schneider, C.A.; Rasband, W.S.; Eliceiri, K.W. NIH Image to ImageJ: 25 years of image analysis. Nat. Methods 2012, 9, 671–675. [Google Scholar] [CrossRef]
- Kuo, C.H.; Fruk, L.; Niemeyer, C.M. Addressable DNA-myoglobin photocatalysis. Chem. Asian J. 2009, 4, 1064–1069. [Google Scholar] [CrossRef]
- Onoda, A.; Himiyama, T.; Ohkubo, K.; Fukuzumi, S.; Hayashi, T. Photochemical properties of a myoglobin-CdTe quantum dot conjugate. Chem. Commun. 2012, 48, 8054–8056. [Google Scholar] [CrossRef]
- Weber, G.; Shinitzky, M. Failure of Energy Transfer between Identical Aromatic Molecules on Excitation at the Long Wave Edge of the Absorption Spectrum. Proc. Natl. Acad. Sci. USA 1970, 65, 823–830. [Google Scholar] [CrossRef]
- Ferguson, B.Q.; Yang, D.C. Methionyl-tRNA synthetase induced 3′-terminal and delocalized conformational transition in tRNAfMet: Steady-state fluorescence of tRNA with a single fluorophore. Biochemistry 1986, 25, 529–539. [Google Scholar] [CrossRef]
- Kawski, A. Excitation-Energy Transfer and Its Manifestation in Isotropic Media. Photochem. Photobiol. 1983, 38, 487–508. [Google Scholar] [CrossRef]
- Gross, E. [27] The cyanogen bromide reaction. Methods Enzmol. 1967, 11, 238–255. [Google Scholar]











| Name | Sequence |
|---|---|
| Qtag1-Bfr | MKETAAAKFERQHMDSPDLH- |
| Qtag2-Bfr | MKETAAAKFERQHMDSGGGG- |
| Qtag3-Bfr | MERLQQPTGGG- |
| Qtag4-Bfr | MERLQQPTGGGG- |
| SortTag1-Bfr | MLVPRGGGGG- |
Disclaimer/Publisher’s Note: The statements, opinions and data contained in all publications are solely those of the individual author(s) and contributor(s) and not of MDPI and/or the editor(s). MDPI and/or the editor(s) disclaim responsibility for any injury to people or property resulting from any ideas, methods, instructions or products referred to in the content. |
© 2023 by the authors. Licensee MDPI, Basel, Switzerland. This article is an open access article distributed under the terms and conditions of the Creative Commons Attribution (CC BY) license (https://creativecommons.org/licenses/by/4.0/).
Share and Cite
van der Ven, A.M.; Gyamfi, H.; Suttisansanee, U.; Ahmad, M.S.; Su, Z.; Taylor, R.M.; Poole, A.; Chiorean, S.; Daub, E.; Urquhart, T.; et al. Molecular Engineering of E. coli Bacterioferritin: A Versatile Nanodimensional Protein Cage. Molecules 2023, 28, 4663. https://doi.org/10.3390/molecules28124663
van der Ven AM, Gyamfi H, Suttisansanee U, Ahmad MS, Su Z, Taylor RM, Poole A, Chiorean S, Daub E, Urquhart T, et al. Molecular Engineering of E. coli Bacterioferritin: A Versatile Nanodimensional Protein Cage. Molecules. 2023; 28(12):4663. https://doi.org/10.3390/molecules28124663
Chicago/Turabian Stylevan der Ven, Anton M., Hawa Gyamfi, Uthaiwan Suttisansanee, Muhammad S. Ahmad, Zhengding Su, Robert M. Taylor, Amanda Poole, Sorina Chiorean, Elisabeth Daub, Taylor Urquhart, and et al. 2023. "Molecular Engineering of E. coli Bacterioferritin: A Versatile Nanodimensional Protein Cage" Molecules 28, no. 12: 4663. https://doi.org/10.3390/molecules28124663
APA Stylevan der Ven, A. M., Gyamfi, H., Suttisansanee, U., Ahmad, M. S., Su, Z., Taylor, R. M., Poole, A., Chiorean, S., Daub, E., Urquhart, T., & Honek, J. F. (2023). Molecular Engineering of E. coli Bacterioferritin: A Versatile Nanodimensional Protein Cage. Molecules, 28(12), 4663. https://doi.org/10.3390/molecules28124663

