Abstract
Thirty-three 1,3-dihydro-2H-indolin-2-one derivatives bearing α, β-unsaturated ketones were designed and synthesized via the Knoevenagel condensation reaction. The cytotoxicity, in vitro anti-inflammatory ability, and in vitro COX-2 inhibitory activity of all the compounds were evaluated. Compounds 4a, 4e, 4i-4j, and 9d exhibited weak cytotoxicity and different degrees of inhibition against NO production in LPS-stimulated RAW 264.7 cells. The IC50 values of compounds 4a, 4i, and 4j were 17.81 ± 1.86 μM, 20.41 ± 1.61 μM, and 16.31 ± 0.35 μM, respectively. Compounds 4e and 9d showed better anti-inflammatory activity with IC50 values of 13.51 ± 0.48 μM and 10.03 ± 0.27 μM, respectively, which were lower than those of the positive control ammonium pyrrolidinedithiocarbamate (PDTC). Compounds 4e, 9h, and 9i showed good COX-2 inhibitory activities with IC50 values of 2.35 ± 0.04 µM, 2.422 ± 0.10 µM and 3.34 ± 0.05 µM, respectively. Moreover, the possible mechanism by which COX-2 recognized 4e, 9h, and 9i was predicted by molecular docking. The results of this research suggested that compounds 4e, 9h, and 9i might be new anti-inflammatory lead compounds for further optimization and evaluation.
1. Introduction
Inflammation is a protective response of the immune system to resist exogenous infection, repair injured tissue, and remove invading pathogens. However, disordered inflammation might result in numerous health problems, including heart disease, arthritis, depression, Alzheimer’s disease, and even cancer. Therefore, the development of effective anti-inflammatory drugs is very important. Nonsteroidal anti-inflammatory drugs (NSAIDs) are used as the primary remedy for fever, pain, and inflammation by inhibiting cyclooxygenase enzymes [1,2,3]. Cyclooxygenase-2 (COX-2), which is closely related to the occurrence and development of inflammation and cancer, is an important target for the development of nonsteroidal agents to treat inflammation [4,5,6]. The activity of COX-2 in normal tissue cells is extremely low, and when the cells are stimulated by inflammation, COX-2 expression levels in inflammatory cells can be increased to 10–80 times the normal level, causing an increase in the content of prostaglandin at the site of inflammation, thus leading to an inflammatory response and tissue damage. To date, COX-2 selective inhibitors have been widely used clinically to treat rheumatoid arthritis, osteoarthritis [7], toothache [8,9,10], postoperative pain [11], cancer, and other diseases [12]. Several drugs targeting COX-2 have made it to market. For example, the first selective inhibitor of COX-2, celecoxib, was approved for clinical use by the FDA in the United States as an NSAID in January 1991, and the second selective inhibitor, rofecoxib, was released in Europe in May of the same year. The successful marketing of these COX-2 inhibitors opened up a broad avenue for the subsequent research and development of COX-2 selective inhibitors. Although valdecoxib, celecoxib, and rofecoxib relieved inflammation without any gastric side effects [13,14], they resulted in a few cardiovascular issues, such as myocardial infarction and high blood pressure [15,16], which led to the withdrawal of both rofecoxib and valdecoxib from the market [17]. Consequently, searching for undescribed COX-2 inhibitors with little or no side effects is necessary.
Natural compounds and their synthesized analogues continue to be valuable sources for the discovery of scaffolds with high structural diversity and various bioactivities that can be directly developed or used as starting points for optimization to form new drugs [18]. Although natural products are normally valuable lead compounds, they are seldom used directly in clinical applications. Structural modifications are necessary, and changing the biological properties of natural products via structural modification is an important method that is commonly used in pharmaceutical chemistry [19,20]. Molecular hybridization, which involves the combination of two or more pharmacophores of bioactive scaffolds to generate a single molecular architecture with improved affinity and activity, is an emerging strategy in drug discovery [21]. This approach has recently gained increasing attention in the medical community and pharmaceutical industry, as it may provide opportunities to circumvent the growing, serious problem of drug resistance and increase the activity or pharmacological efficacy of known drugs or the bioactive constituents of hybrid molecules.
Oxindoles (such as 1,3-dihydro-2H-indole-2-one) (Figure 1), which are endogenous heteroaromatic organic compounds in animals and natural products of various plants [22,23], are the core structure of many biologically important compounds [24,25] and have been used to treat infections, cancer, arthritis, and other types of mild physical inflammation [26,27,28]. The role of oxindole as a chemical scaffold for fabricating and designing biological drug agents can be attributed to its ability to be modified by numerous chemical groups to generate novel biological functions. Oxindole is used for the preparation of the well-known drug Sunitinib by using Knoevenagel condensation reactions; thus, oxindole is a good synthesis module and has garnered interest among medicinal chemists.
Figure 1.
Structure of oxindole (1,3-dihydro-2H-indolin-2-one).
The literature on oxindoles and their derivatives mainly focused on antitumor aspects, and the oxindoles had potential as the chemotherapeutic nucleus and had made significant recent progress in the synthetic development of oxindole as an antitumor agent. However, there was hardly related literature in which the oxindole derivatives were reported as COX-2 inhibitors or anti-inflammatory drugs. In order to find more biological properties of oxindoles and to discover lead compounds of anti-inflammatory drugs, the structures of oxindole derivatives were used as synthetic building blocks. A series of oxindoles incorporating α, β-unsaturated ketone derivatives (4a-4x and 9a-9i) were designed and synthesized by splicing the active fragments to obtain new compounds. We performed molecular hybridization of oxindoles and 3-(trifluoromethyl)benzaldehyde or sulfonylphenyl by using the Michael addition reaction, and all the obtained compounds were evaluated for potential anti-inflammatory activity in LPS-stimulated murine macrophage RAW 264.7 cells in vitro. Furthermore, the COX-2 inhibitory activities of these compounds were evaluated in vitro using a Cyclooxygenase 2 Inhibitor Screening Kit.
2. Results and Discussion
As the core structure of many biologically important natural compounds, oxindole is a promising heterocyclic ring system with various biological activities that has been well explored in humans [23]. To find more diverse active chemical entities, a molecular hybridization strategy was used for the synthesis of oxindole analogues containing α, β-unsaturated ketones. According to a previously reported procedure [29], twenty-four target compounds (4a-4x) were designed and synthesized by using oxindoles as the core skeleton via the Knoevenagel condensation reaction. The synthetic routes for the target compounds are shown in Scheme 1. First, commercially available oxindole derivatives (1a-1e) were reacted with the appropriate aromatic aldehyde (2a-2n) or pyridine-4-yl-carbaldehyde (2o-p) by using piperidine as a catalyst in EtOH to afford compounds 3a-3q, and the reaction of compounds 3a-3q with acetic anhydride occurred in the presence of Na2CO3 in THF. Then, the crude residues were purified by silica gel column chromatography to afford target compounds 4a-4w. 3q and di-tert-butyl decarbonate were added to DCM, and then the reaction was carried out at room temperature for 8 h with DMAP as the catalyst to afford the target compound 4x.
Scheme 1.
The synthesis of oxindole analogues containing α, β-unsaturated ketones. Reagents and conditions: (i) Piperidine, 80 °C, EtOH, 4 h; (ii) Ac2O, Na2CO3, THF, r.t., 24 h. (iii) DMAP, (Boc)2O, DCM, r.t. 8 h.
The yields were low because the products were isomers, and we also observed some byproducts and unreacted starting materials. We then varied the temperature and used different solvents, such as methanol and ethanol. The desired products were still generated at room temperature when we used ethanol or methanol as solvents, but it required 24 h, and the yields did not improve. When the temperature was increased to 80 °C and ethanol was used as the solvent, the product was generated as a precipitate in 4 h. Therefore, we chose the conditions that were shown in Scheme 1. Compounds 4a and 4b, and compounds 4d and 4f, were differentiated by 2D-NOE NMR. The structures of the target compounds were characterized using high-resolution mass spectrometry (HRMS). The 1H NMR, 13C NMR, and HRMS data were consistent with the proposed structures. (The 1H- and 13C-NMR and HRMS spectra of all compounds 4a-4x and 9a-9i are shown in the Supplementary Materials).
In addition, through a literature investigation [30,31,32], we found that the introduction of appropriate groups (sulfonyl, sulfonyl phenyl, trifluoromethyl, or chlorine) at the appropriate position could increase the activity. Therefore, we introduced these groups by using different sulfonyl groups to protect the amine, and nine target compounds were designed and synthesized by using the Michael addition reaction. The general synthetic routes of the oxindole analogues containing α, β-unsaturated ketones in sulfonamide derivatives were illustrated in Scheme 2. Commercial material 5a was treated with iron powder and ammonium chloride in EtOH/H2O to afford 6a, which was reacted with the appropriate sulfonyl chloride to obtain compounds 8a-8f. Subsequently, target compounds 9a-9g were prepared by Knoevenagel condensation of compounds 8a-8f with 3-(trifluoromethyl)-benzaldehyde in the presence of piperidine.
Scheme 2.
The synthesis of oxindole analogues 9a-9h. Reagents and conditions: (i) Fe, NH4Cl, EtOH/H2O 4:1, reflux, 1.2 h; (ii) Pyridine, r.t., 12 h. (iii) Piperidine, 3-(trifluoromethyl)benzaldehyde, CH3OH, r.t., 24 h. (iv) C2H5OH, N2, reflux, 6 h.
Compounds with imine or azomethine linkages are considered to have privileged pharmacophores due to their potential bioactivities, such as anti-inflammatory, anticancer, and antioxidant activities [33,34,35,36]. They constitute a vital class of organic compounds and intermediates used for the synthesis of biologically active compounds. Accounting for the widespread significance of imine pharmacophores, imine-linked substituted aromatic Schiff base derivatives 9h-9i were synthesized as shown in Scheme 2.
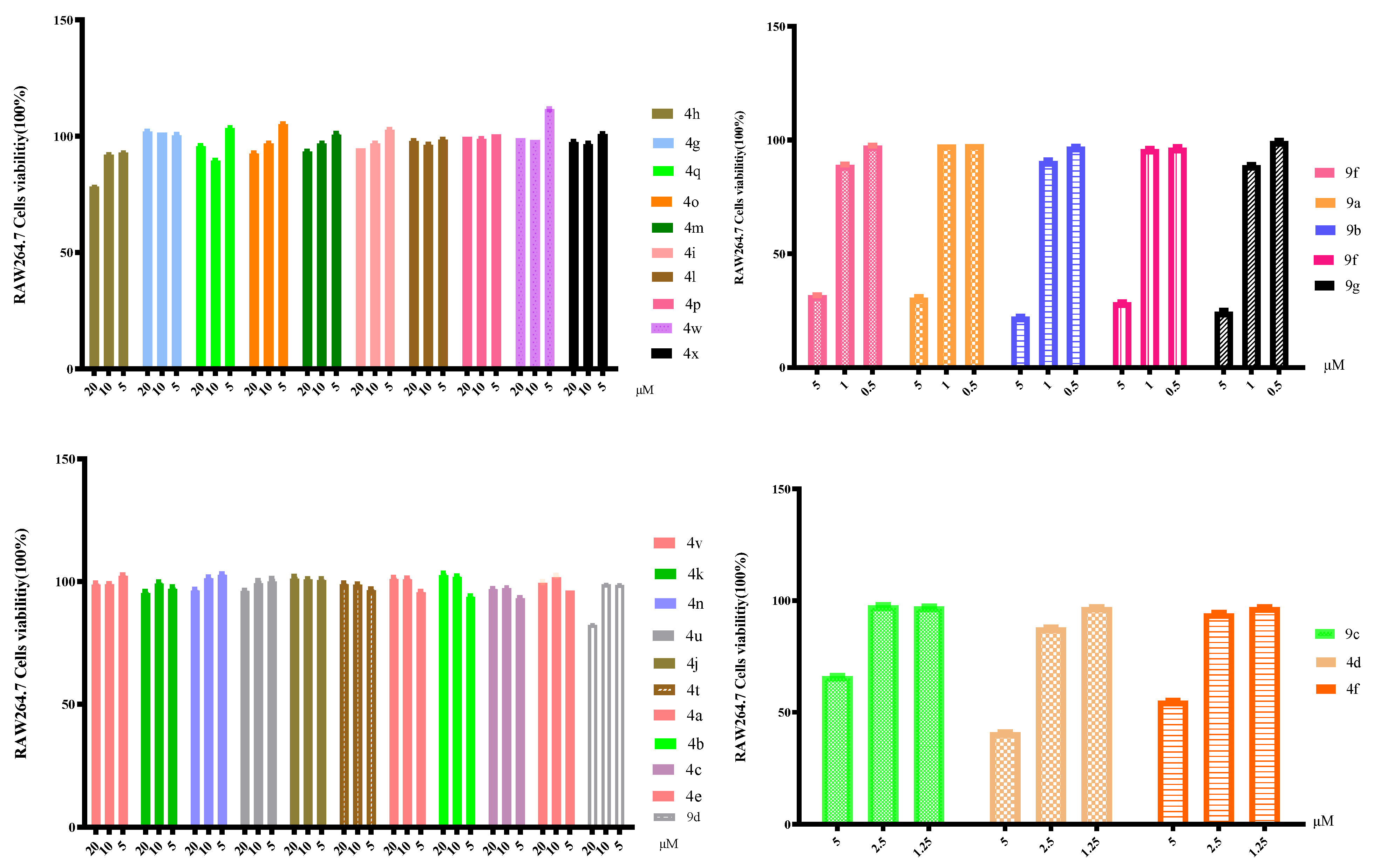
Since the excess production of nitric oxide (NO) in biological systems could lead to various diseases such as inflammation and atherosclerosis, the production of NO by immune cells has been used as a visual indicator for the presence and extent of inflammation [37,38,39]. The in vitro cytotoxicity activity of all the synthesized compounds (4a-4x and 9a-9g) against mouse monocyte macrophage leukemia cells (RAW 264.7) was evaluated using the CCK-8 assay. The results of the cytotoxicity assay indicated that 9h, 9i, 4e, and 4s showed almost no cytotoxicity at concentrations of 100 μM. Most compounds exhibited no significant cytotoxicity within the concentration range of 0–40 µM (Figure 2).
Figure 2.
Cytotoxicity assay of all derivatives in vitro.
Lipopolysaccharide (LPS) is involved in the production of proinflammatory cytokines and induces an inflammatory response. To evaluate the in vitro anti-inflammatory activity, we examined the anti-inflammatory ability of all the generated compounds, particularly focusing on their NO production in LPS-stimulated RAW 264.7 cells (Table 1). Ammonium pyrrolidinedithiocarbamate (PDTC) was used as the positive control. Furthermore, cell viability was determined to explore whether the inhibition was due to the cytotoxicity of the tested compounds. Five compounds (4a, 4e, 4i-4j, and 9d) exhibited weak cytotoxicity and obvious anti-inflammatory activity in a preliminary experiment. As shown in Figure 3, the results showed that the five compounds decreased NO production in LPS-activated RAW 264.7 cells in a concentration-dependent manner, and the inhibitory effect was significant only at high concentrations within the range of 0–40 µM.
Table 1.
Inhibition of NO production by seven compounds in LPS-activated RAW 264.7 cells (IC50 values) ( ± SD, n = 3).
Figure 3.
Inhibitory effects of compounds 4a, 4e, 4i, 4j, and 9d on NO production in LPS-stimulated RAW 264.7 cells.
As shown in Table 1, compounds 4a, 4e, 4i, 4j, and 9d showed different degrees of inhibition against NO production in LPS-stimulated RAW 264.7 cells. The IC50 values of compounds 4a, 4i, and 4j against RAW 264.7 cells were 17.81 ± 1.86 μM, 20.41 ± 1.61 μM, and 16.31 ± 0.35 μM, respectively. Furthermore, compounds 4e and 9d showed better anti-inflammatory activity with IC50 values of 13.51 ± 0.48 μM and 10.03 ± 0.27 μM, respectively, which were lower than those of the positive control PDTC. Compound 4e exhibited no significant cytotoxicity at 100 µM. These results suggested that compound 4e might be a new anti-inflammatory lead compound for further optimization and evaluation.
Cyclooxygenase-2 (COX-2) is closely related to the occurrence and development of inflammation and is a significant target for the development of nonsteroidal agents to treat inflammation. COX-2 is a bio-functional enzyme that catalyzes the biosynthesis of PGs during inflammation and has become a significant therapeutic target when searching for anti-inflammatory drugs. To explore whether the anti-inflammatory activities of these compounds were related to COX-2, the in vitro COX-2 inhibitory activity of all the synthesized compounds (4a-4x and 9a-9g) was evaluated using a cyclooxygenase 2 inhibitor screening kit. Celecoxib was used as a positive control. First, a preliminary study was conducted to determine the most potent compounds based on cell viability. Six of the compounds showed significant COX-2 inhibitory activities. Then, the in vitro anti-inflammatory properties of these six compounds were extensively studied. As shown in Table 2, compounds 4e, 9h, and 9i showed good COX-2 inhibitory activity with IC50 values ranging from 2.35 to 3.34 µM, while compound 4a showed weak activity with an IC50 value of 19.9 ± 4.76 µM. The other oxindole derivatives had low inhibitory activity against COX-2, and their results are not listed in Table 2.
Table 2.
IC50 values of six derivatives of COX-2 inhibitory activity in vitro ( ± SD, n = 3).
Although the activity of COX-2 in normal tissue cells is extremely low, some studies have confirmed that COX-2 also plays a role in the normal physiological functions of the human body and is not expressed only under pathological conditions such as inflammation, sepsis, and cell damage, as previously thought. Through cytotoxicity, in vitro anti-inflammatory ability, and COX-2 inhibitory activity tests, we found that compounds 9h and 9i had good inhibitory activity against COX-2 and no cytotoxicity, but they had no anti-inflammatory activity, which suggested that the COX-2 inhibitory activities of compounds 9h and 9i might not be related to anti-inflammatory activity.
According to the in vitro biological tests described above, compound 4e was found to have a certain anti-inflammatory activity and COX-2 inhibitory activity, and it was implied that the compound 4e with good activity had a relationship with the indole ring unit. The indole moiety belongs to an important pharmacophore core for the synthesis of anti-inflammatory activity, such as in the FDA-approved nonsteroidal anti-inflammatory drug indomethacin. Compared with existing drugs indomethacin with IC50 values of 0.026 μM (COX-2) [40] and celecoxib with IC50 values of 0.03 μM, compound 4e, with IC50 values of 3.34 μM had a certain gap to become a clinical drug. However, compound 4e was from the backbone of the natural product indolin-2-one, and it showed significant anti-inflammatory activity and COX-2 inhibitory activity, which have the potential to become a novel lead compound in anti-inflammatory drugs.
To investigate the interactions between the most potential compounds and the COX-2 active site, a molecular docking study with compounds 4e, 9h, and 9i and a human COX-2 protein model was performed using crystal structure data for the COX-2 (PDB: ID 3LN1) active site obtained from the Protein Data Bank. The ligand docked into the 3LN1 structure by utilizing AutoDock Vina 1.1.2 and gave docking results. The more negative the Vina docking score was, the higher the binding affinity, and the compound with the lower energy score was taken as the subsequent analysis object. The docking results of compounds 9k, 9i, and 4e with COX-2 are shown in Table 3. The pose with the most negative energy score was the subsequent object to analysis.
Table 3.
The docking results of compounds 9k, 9i, and 4k with COX-2.
As shown in Figure 4, the results demonstrated that these compounds could bind well in a cavity composed of amino acid residues. Figure 4 shows a three-dimensional schematic diagram of the protein interaction. The yellow part represents the protein and amino acid residues within the protein that interact with the compound. Specifically, it was observed that the amino group at position 5 on the oxindole of 4e formed two H bonds with the ketone carbonyl group of Gly−340 and the imidazole of His−342, and a hydrogen bond was formed between the ketone carbonyl group of the oxindole scaffold and His−337. In addition, the structure of the molecule could fit into pockets formed by amino acid residues. These interactions might contribute to the location of the compound within the hydrophobic COX-2 channel. Compound 9h was effectively bound to the pockets formed by amino acid residues Val−330, Leu−529, Val−336, Ser−516, Tyr−371, Phe−191, and Leu−517, and the benzene ring attached to the trifluoromethyl moiety formed a π-π interaction with Phe−191. Moreover, compound 9i bound to a cavity formed by amino acid residues Asn−72, Tyr−461, Lys−497, and Glu−560; the oxindole scaffold ketone carbonyl and Tyr−461 formed a hydrogen bond; and the hydrogen on the position 1 nitrogen formed a hydrogen bond with Lys−497. The docking poses of compounds 9h, 9i, and 4e into the binding domain of COX-2 showed hydrogen bond interactions. These interactions were reflected in the docking score of pose 1 (−9.8, −9.3, and −8.7 kcal/mol) and supported the obtained in vitro COX-2 inhibitory activity.
Figure 4.
3D and 2D interaction diagrams between COX-2 (PDB: 3LN1) and compounds 4e, 9h, and 9i. The right image is a 2D diagram of the interaction between compounds 4e, 9h, and 9i with COX-2.
In summary, the compounds 9h, 9i, and 4e bound nicely into the pockets formed by amino acid residues and formed interactions; the binding interactions and energy binding scores were in agreement with the experimental and COX-2 inhibitory activities obtained for these compounds. The docking result for the compound 4e was consistent with the biological activity test results above, suggesting that the anti-inflammatory activity of the compound may be related to COX-2. Therefore, compound 4e had the potential to be a new anti-inflammatory lead compound for further optimization and evaluation.
3. Materials and Methods
3.1. General Chemistry
All reagents were commercially purchased, dried, and distilled following standard procedures. The solvents used for general chromatography and reactions were of analytical grade. Column chromatography separations were performed using silica gel (200–300 mesh). Thin-layer chromatography (TLC) was carried out on precoated silica gel GF254 plates (Qingdao Haiyang Chem. Ind. Ltd., P.R. Qingdao, China), and the spots were visualized with ultraviolet light (UV, Shanghai Jingke Ind. Co., Ltd., Shanghai, China) or by heating the plates dipped in 5% H2SO4 in ethanol or 5% phosphomolybdic acid hydrate in an ethanol solution. 1H NMR (600 MHz) and 13C NMR (150 MHz) spectra were recorded on a Bruker AVANCE NEO NMR spectrometer in CDCl3, CD3OD, CD3OCD3, and DMSO-d6 (Anhui Ze Sheng Tech. Co., Ltd., Anhui, China). Chemical shifts are expressed as δ values (ppm) using tetramethylsilane as the internal standard, and the following abbreviations were used: s = singlet, d = doublet, t = triplet, q = quartet, m = multiplet, and br = broad peak. Coupling constants, J, are reported in Hertz. High-resolution mass spectra were obtained with a Bruker micro TOF-Q mass spectrometer. The melting point (m.p.) values of the solid final compounds were determined using a WRX-4 micromelting point instrument.
3.2. General Procedure for the Synthesis of Oxindole Analogues Incorporating α, β-unsaturated Ketones (4a-4x)
First, compounds 1a-1e (3 mmol) and 2a-2p (3.3 mmol) were placed in a round-bottom flask, and piperidine (0.6 mmol) was added. After dissolution, anhydrous ethanol (8 mL) was added to the above mixture. The solution was vigorously stirred at 80 °C for 4 h on a magnetic stirrer. Then, after a precipitate was generated, the solid was filtered and washed with ethanol to obtain intermediates 3a-3u. Then, acetic anhydride (15 mmol) and NaCO3 (15 mmol) were added to a solution of 3a-3u (3 mmol) in tetrahydrofuran. After stirring at room temperature for 24 h, the mixture was diluted with H2O and extracted with ethyl acetate (3 × 50 mL). Then, the combined organic layers were washed with a saturated sodium chloride solution (3 × 50 mL) and dried over anhydrous Na2SO4. The filtrate was concentrated under reduced pressure, and the crude residue was purified by silica gel column chromatography (petroleum ether and ethyl acetate) or with a Sephadex LH-20 column (CH3OH) to afford target compounds 4a-4w. 3q (3 mmol) and di-tert-butyl decarbonate (3 mmol) were added to DCM, and then the reaction was carried out at room temperature for 8 h with DMAP (0.3 mmol) as the catalyst to afford the target compound 4x.
- Compound 4a: Yield: 35.2%, yellow solid, m.p. 131.2–132.1 °C; 1H NMR (600 MHz, CDCl3) δ 8.61 (s, 1H), 8.41 (s, 1H), 8.39 (d, J = 8.0 Hz, 1H), 7.76 (s, 1H), 7.74 (s, 1H), 7.71 (s, 1H), 7.65 (s, 1H), 7.55 (d, J = 0.8 Hz, 1H), 2.77 (s, 3H) ppm; 13C NMR (150 MHz, CDCl3) δ 170.92, 165.44, 139.10, 138.95, 134.91, 133.37, 131.70 (q, J = 32.5 Hz), 131.06 (q, J = 32.8 Hz), 130.95, 129.02, 128.80 (q, J = 3.9 Hz), 127.84 (q, J = 3.7 Hz), 127.32, 123.80 (q, J = 272.5 Hz), 121.88 (q, J = 4.1 Hz), 119.08, 119.08, 114.03 (q, J = 4.1 Hz), 26.88 ppm; ESI-HRMS m/z calculated for C19H11F6NO2Na [M + Na]+ 422.05927, found 422.05862.
- Compound 4b: Yield: 36.1%, yellow solid, m.p. 91.3–92.8 °C; 1H NMR (600 MHz, CDCl3) δ 8.65 (s, 1H), 8.01 (s, 1H), 7.90 (s, 1H), 7.84 (d, J = 7.6 Hz, 1H), 7.78 (d, J = 7.9 Hz, 1H), 7.69 (t, J = 7.8 Hz, 1H), 7.64 (d, J = 8.1 Hz, 1H), 7.36–7.30 (m, 1H), 2.80 (s, 3H) ppm; 13C NMR (150 MHz, CDCl3) δ 170.67, 167.44, 140.66, 139.06, 134.64, 132.30 (q, J = 32.6 Hz), 132.17, 131.68 (q, J = 32.9 Hz), 129.68, 127.03 (q, J = 3.7 Hz), 126.51, 125.91 (q, J = 3.7 Hz), 124.49 (d, J = 8.5 Hz), 124.30, 122.68 (d, J = 8.7 Hz), 122.14, 121.62 (q, J = 4.0 Hz), 114.09 (q, J = 3.9 Hz), 26.77 ppm; ESI-HRMS m/z calculated for C19H11F6NO2Na [M + Na]+ 422.05917, found 422.05862.
- Compound 4c: Yield: 34.2%, yellow amorphous solid, m.p. 139.1–142.8 °C; 1H NMR (600 MHz, CDCl3) δ 8.31 (d, J = 8.8 Hz, 1H), 7.92 (s, 1H), 7.90 (s, 1H), 7.83 (d, J = 7.8 Hz, 1H), 7.78 (d, J = 7.9 Hz, 1H), 7.69 (t, J = 7.8 Hz, 1H), 7.54 (d, J = 2.1 Hz, 1H), 7.34 (dd, J = 2.2, 8.8 Hz, 1H), 2.78 (s, 3H) ppm; 13C NMR (150 MHz, CDCl3) δ 170.58, 167.58, 138.99, 137.70, 134.66, 132.11, 131.66 (q, J = 32.3 Hz), 130.61, 130.24, 129.65, 126.91 (q, J = 3.7 Hz), 126.61, 125.97 (q, J = 3.8 Hz), 122.38 (d, J = 97.9 Hz), 122.06, 118.14, 118.13, 26.82 ppm; ESI-HRMS m/z calculated for C18H11ClF3NO2Na [M + Na]+ 388.03226, found 388.03226.
- Compound 4d: Yield: 40.2%, yellow amorphous solid, m.p. 119.4–121.7 °C; 1H NMR (600 MHz, CDCl3) δ 8.40 (d, J = 2.0 Hz, 1H), 8.07 (s, 2H), 7.99 (s, 1H), 7.84 (s, 1H), 7.33 (d, J = 8.3 Hz, 1H), 7.06 (dd, J = 2.0, 8.4 Hz, 1H), 2.77 (s, 3H) ppm; 13C NMR (150 MHz, CDCl3) δ 170.43, 167.37, 141.65, 137.35, 136.33, 133.88, 132.59 (q, J = 33.5, 34.0 Hz), 129.02, 129.00, 128.07, 125.46 (d, J = 45.0 Hz), 124.99, 123.80, 123.35 (p, J = 3.7 Hz), 122.55, 121.99, 118.44 (q, J = 197.3 Hz), 117.78, 26.74 ppm; ESI-HRMS m/z calculated for C19H10ClF6NO2Na [M + Na]+ 456.01996, found 456.01965.
- Compound 4e: Yield: 34.4%, red solid, m.p. 165.9–166.2 °C. 1H NMR (600 MHz, CDCl3) δ 8.15 (d, J = 8.7 Hz, 1H), 7.92 (dq, J = 1.0, 2.0 Hz, 1H), 7.81 (d, J = 9.5 Hz, 2H), 7.76–7.70 (m, 1H), 7.64 (t, J = 7.9 Hz, 1H), 6.87 (d, J = 2.4 Hz, 1H), 6.70 (dd, J = 2.5, 8.7 Hz, 1H), 3.57 (s, 2H), 2.75 (s, 3H) ppm; 13C NMR (150 MHz, DMSO) δ 165.56, 163.61, 138.53, 130.86, 130.60, 128.52, 127.53, 126.54 (q, J = 32.9 Hz), 124.66, 124.65, 123.30, 121.50 (q, J = 3.8 Hz), 121.14 (q, J = 3.7 Hz), 117.40, 113.21, 112.66, 103.70, 21.95 ppm; ESI-HRMS m/z calculated for C18H13F3N2O2Na [M + Na]+ 456.02078, found 456.01965.
- Compound 4f: Yield: 39.5%, yellow amorphous solid, m.p. 163.4–164.0 °C; 1H NMR (600 MHz, CDCl3) δ 8.55 (d, J = 1.7 Hz, 2H), 8.36 (d, J = 1.9 Hz, 1H), 7.96 (s, 1H), 7.59 (s, 1H), 7.55 (d, J = 8.2 Hz, 1H), 7.27 (dd, J = 1.9, 8.2 Hz, 1H), 2.74 (s, 2H) ppm; 13C NMR (150 MHz, CDCl3) δ 170.70, 165.54, 139.97, 136.61, 134.74, 134.26, 131.80 (q, J = 34.0, 34.5 Hz),131.24 (d, J = 3.7 Hz), 127.35, 125.34, 124.03, 123.75 (q, J = 4.0 Hz), 123.12(q, J = 273.31 Hz), 122.02, 120.11, 120.10, 117.48, 26.85, 1.03 ppm; ESI-HRMS m/z calculated for C19H10ClF6NO2Na [M + Na]+ 456.02078, found 456.01965.
- Compound 4g: Yield, 54.4%, yellow solid, m.p. 145–146 °C; 1H NMR (600 MHz, CDCl3) δ 8.34 (d, J = 8.4 Hz, 1H), 7.91(s, 1H), 7.72 (d, J = 7. 2 Hz, 1H), 7.66 (d, J = 7.2 Hz, 2H), 7.50 (ddd, J = 8.4 Hz, 7.8 Hz, 6.0 Hz, 3H), 7.37–7.32 (m, 1H), 7.05 (td, J = 7.8Hz, 1.2 Hz, 1H), 2.79 (s, 3H) ppm; 13C NMR (150 MHz, CDCl3) δ 170.91, 168.62, 140.28, 138.71, 134.42, 130.28, 130.07, 129.21, 128.81, 124.49, 122.16, 121.88, 116.75, 27.00, 26.93 ppm; ESI-HRMS m/z calculated for C17H13NO2Na [M + Na]+ 286.0838, found 286.0831.
- Compound 4h: Yield: 31.5%, yellow solid, m.p. 142.1–143.4 °C; 1H NMR (600 MHz, CDCl3) δ 8.41 (d, J = 1.8 Hz, 1H), 7.87 (d, J = 1.8 Hz, 2H), 7.81 (d, J = 12.0 Hz, 1H), 7.75 (d, J = 12.0 Hz, 1H), 7.66 (t, J = 6.0 Hz, 1H), 7.46 (d, J = 6.0 Hz, 1H), 7.05 (dd, J = 12.0 Hz, 1.8 Hz, 1H), 2.74 (s, 3H) ppm; 13C NMR (150 MHz, CDCl3) δ 170.84, 165.69, 139.53, 136.87, 134.59, 134.59, 133.67, 130.94 (d, J = 32.8 Hz), 128.91, 128.48 (q, J = 3.9 Hz), 127.31 (q, J = 3.7 Hz), 125.61, 125.16, 123.85 (q, J = 14.2 Hz, 272.5 Hz), 122.65, 119.78, 117.32, 26.86. ESI-HRMS m/z calculated for C18H11NO2F3ClNa [M + Na]+ 388.0323, found 388.0311.
- Compound 4i: Yield: 25.7%, yellow solid, m.p. 142.9–144.1 °C; 1H NMR (600 MHz, CDCl3) δ 8.43 (d, J = 1.8 Hz, 1H), 7.84 (s, 1H), 7.59–7.51 (m, 3H), 7.49 (s, 1H), 7.35 (d, J = 6.6 Hz, 1H), 7.06 (dd, J = 8.4 Hz, 1.8 Hz, 1H), 2.78(s, 3H); 13C NMR (150 MHz, CDCl3) δ 170.91, 168.22, 140.28, 138.71, 134.48, 135.28, 130.07,129.21 (q, J = 59.7 Hz), 128.81(q, J = 59.7 Hz), 126.07, 124.49, 122.16, 121.88, 116.75, 77.27, 77.06, 76.83, 26.92 ppm. ESI-HRMS m/z calculated for C18H11NO2F3ClNa [M + Na]+ 388.0323, found 388.0311.
- Compound 4j: Yield: 30.2%, yellow solid, m.p.121.5–123.3 °C; 1H NMR (600 MHz, CDCl3) δ 8.36 (d, J = 8.4 Hz, 1H), 7.92 (s, 1H), 7.87 (s, 1H), 7.84 (d, J = 7.8 Hz, 1H), 7.74 (d, J = 7.8 Hz, 1H), 7.65 (dd, J = 18.0 Hz, 8.4 Hz, 1H), 7.56 (d, J = 7.8 Hz, 1H), 7.38(t, J = 7.8 Hz, 1H), 7.07 (t, J = 7. 8 Hz, 1H), 2.80 (s, 3H); 13C NMR (150 MHz, CDCl3) δ 170.78, 168.21, 140.66, 136.05, 135.27 (d, J = 119.0 Hz), 132.19, 130.93 (d, J = 32.7 Hz), 129.45, 127.61, 126.43 (q, J = 3.7 Hz), 125.89 (q, J = 3.8 Hz), 124.68, 122.08, 121.28, 117.00, 26.92 ppm; ESI-HRMS m/z calculated for C18H12NO2F3Na [M + Na]+ 354.0712, found 354.0705.
- Compound 4k: Yield: 25.3%, yellow solid, m.p. 131.0–133.6 °C; 1H NMR (600 MHz, CDCl3) δ 8.66 (d, J = 6.0 Hz, 1H), 7.96 (s, 1H), 7.56–7.60 (m, 3H), 7.40 (d, J = 8. 4 Hz, 1H), 7.04 (dd, J = 8.4 Hz, 1.8 Hz, 2H), 2.98 (s, 3H) ppm; 13C NMR (150 MHz, CDCl3) δ 170.65, 167.13, 156.79, 155.10, 140.73, 133.41, 132.44 (d, J = 16.4 Hz), 132.38, 130.26, 128.16, 127.67, 124.91 (d, J = 4.5 Hz), 124.28, 124.50 (d, J = 14.6 Hz), 122.64, 121.70 (q, J = 4.0 Hz), 119.60, 114.03 (q, J = 4.1 Hz), 26.79; ESI-HRMS m/z calculated for C18H11NO2FCl3Na [M + Na]+ 388.0323, found 388.0311.
- Compound 4l: Yield: 29.6%, yellow solid, m.p. 142.3–144.1 °C; 1H NMR (600 MHz, CDCl3) δ 8.41 (d, J = 1.8 Hz, 1H), 8.36 (d, J = 1.8 Hz, 1H), 8.33 (dd, J = 8.4 Hz, 1.8 Hz, 1H), 7.62 (d, J = 8.4 Hz, 1H), 7.55–7.51 (m, 2H), 7.26 (dd, J = 8.4 Hz, 1.8 Hz, 1H), 2.75 (s, 3H) ppm; 13C NMR (150 MHz, CDCl3) δ 170.76, 165.76, 139.61, 135.78 (d, J = 88.6 Hz), 135.48, 132.22, 131.86, 131.56, 130.89 (q, J = 5.4 Hz), 128.58 (q, J = 31.7 Hz), 125.95, 125.24, 124.93, 122.48, 121.68, 119.84, 117.38, 26.87 ppm; ESI-HRMS m/z calculated for C18H11NO2F3Cl2Na [M + H]+ 400.0113, found 400.0121.
- Compound 4m: Yield: 26.2%, yellow solid, m.p. 151.6–153.3 °C; 1H NMR (600 MHz, CDCl3) δ 8.35 (d, J = 1.8 Hz, 1H), 8.21 (dd, J = 10.8 Hz, 1.8 Hz, 1H), 7.81–7.71 (m, 1H), 7.49 (dd, J = 15.6 Hz, 7.2 Hz, 3H), 7.24 (dd, J = 8.4 Hz, 1.8 Hz, 1H), 2.75 (s, 3H) ppm; 13C NMR (150 MHz, CDCl3) δ 170.80, 165.77, 139.44, 136.24, 136.22, 135.82, 133.24 (d, J = 7.6 Hz), 130.48, 128.81 (d, J = 7.6 Hz), 128.78, 125.15, 122.68, 119.69, 119.36, 119.21, 117.31, 26.88, 26.79 ppm; ESI-HRMS m/z calculated for C18H12NO2FCl2 [M + H]+ 350.0547, found 350.0422.
- Compound 4n: Yield: 34.4%, yellow soild, m.p. 136.3–137.2 °C; 1H NMR (600 MHz, CDCl3) δ 8.41 (d, J = 1.8 Hz, 1H), 7.83 (s, 1H), 7.40 (d, J = 7.8 Hz, 2H), 7.35–7.29 (m, 1H), 7.26–7.18 (m, 1H), 7. 08 (dd, J = 8.4 Hz, 1.8 Hz, 1H), 2.79 (s, 3H); 13C NMR (150 MHz, CDCl3) δ 170.59, 167.51, 141.34, 136.73, 129.50 (t, J = 3.1 Hz), 127.91, 124.91, 124.71 (d, J = 3.7 Hz), 124.70 (q, J = 4.1 Hz), 124.47, 123.26, 120.31, 119.72, 119.16, 119.05, 117.47, 26.79 ppm; ESI-HRMS m/z calculated for C17H10NO2F2ClNa [M + Na]+ 356.0260, found 356.0250.
- Compound 4o: Yield: 24.3%, yellow solid, m.p. 141.3–142.4 °C; 1H NMR (600 MHz, CDCl3) δ 8.30 (d, J = 9.0 Hz, 1H), 7.87 (s, 1H), 7.59–7.55 (m, 2H), 7.43 (d, J = 1.8 Hz, 1H), 7.36–7.31 (m, 1H), 7.26 (t, J = 7.8 Hz, 1H), 2.78 (s, 3H); 13C NMR (150 MHz, CDCl3) δ 170.58, 167.48, 141.32, 136.71, 132.48, 129.87, 128.15, 127.80, 125.23, 124.92, 124.78, 123.21, 120.28, 119.71, 117.46, 26.78 ppm; ESI-HRMS m/z calculated for C18H13NO2FCl2 [M + H]+ 350.0547, found 350.0422.
- Compound 4p: Yield: 32.6%, yellow soild, m.p. 120.1–122.4 °C; 1H NMR (600 MHz, CDCl3) δ 2.81 (s, 3H), 7.25 (t, J = 7.8 Hz, 1H) 7.36 (dd, J = 0.6, 8.4 Hz, 1H), 7.56 (d, J = 7.8 Hz, 2H), 7.58 (d, J = 8.4 Hz, 1H), 7.95 (s, 1H), 8.66 (s, 1H) ppm; 13C NMR (150 MHz, CDCl3) δ 170.65, 167.13, 155.94 (d, J = 254.8 Hz), 140.73, 133.41, 132.88, 132.38 (d, J = 16.7 Hz), 130.26, 128.16, 127.67, 124.92 (d, J = 4.5 Hz), 124.28, 123.57, 122.64, 121.70 (q, J = 4.0 Hz), 119.60, 114.05, 26.79 ppm; ESI-HRMS m/z calculated for C16H13O2N2Cl [M + H]+ 406.0582, found: 406.0576.
- Compound 4q: Yield: 35.2%, yellow solid, m.p. 135.3–136.2 °C; 1H NMR (600 MHz, CDCl3) δ 8.40 (d, J = 1.8 Hz, 1H), 7.81(s, 1H), 7.58–7.53 (m, 2H), 7.37 (d, J = 8.4 Hz, 1H), 7.27–7.19 (m, 1H), 7.06 (dd, J = 8.4 Hz, 1.8 Hz, 1H), 2.78 (s, 3H) ppm; 13C NMR (150 MHz, CDCl3) δ 170.69, 167.48, 139.09, 137.61,132.80, 131.39 (q, J = 150 Hz), 131.16 (d, J = 2.8 Hz), 130.69, 130.13 (d, J = 5.6 Hz), 128.04, 127.68, 124.88, 124.85 (q, J = 104 Hz), 122.70, 122.40, 119.55, 118.07, 26.79 ppm; ESI-HRMS m/z calculated for C18H10NO2FCl2Na [M + Na]+ 350.0547, found 350.0422.
- Compound 4r: Yield: 27.5%, yellow solid, m.p. 140.5–142.4 °C; 1H NMR (600 MHz, CDCl3) δ 8.40 (d, J = 1.8 Hz, 1H), 7.83 (s, 1H), 7.52–7.49 (m, 1H), 7.23 (s, 2H), 7.06 (dd, J = 8.4 Hz, 1.8 Hz, 1H), 3.91 (s, 3H), 2.77(s, 3H) ppm; 13C NMR (150 MHz, CDCl3) δ 170.74, 167.82, 160.29, 159.66, 141.19, 136.58, 135.37 (d, J = 133.0 Hz), 132.73 (q, J = 32.8 Hz), 126.83, 124.84, 122.99, 119.70 (t, J = 4.0 Hz), 117.91 (q, J = 4.0 Hz), 117.52, 117.27, 113.49, 112.23 (q, J = 3.7 Hz), 55.80, 26.79; ESI-HRMS m/z calculated for C19H15NO3F3Cl [M + H]+ 396.0609, found 396.0616.
- Compound 4s: Yield: 32.6%, yellow solid; m.p. 141.3–143.2 °C; 1H NMR (600 MHz, CDCl3) δ 8.39 (d, J = 1.8 Hz, 1H), 7.88 (s, 1H), 7.67 (d, J = 8.4 Hz, 1H), 7.42 (t, J = 7.8 Hz, 1H), 7.21 (d, J = 7.2 Hz, 1H), 7.13(s, 1H), 7.06–6.99(m, 2H), 3.86(s, 3H), 2.77(s, 3H) ppm; 13C NMR (150 MHz, CDCl3) δ 170.73, 168.22, 159.84, 140.92, 139.07, 135.88, 135.38, 135.09, 130.05, 125.32, 124.64, 123.10, 121.49, 117.28, 116.10, 114.23, 55.42, 26.82 ppm; ESI-HRMS m/z calculated for C18H14NO3ClNa [M + Na]+ 350.0554, found 350.0546.
- Compound 4t: Yield: 31.8%, yellow solid, m.p. 138.4–139.5 °C; 1H NMR (600 MHz, CDCl3) δ 8.39 (d, J = 1.8 Hz, 1H), 8.11 (d, J = 8.4 Hz, 2H), 7.89 (s, 1H), 7.66 (d, J = 8.4 Hz, 2H), 7.53 (d, J = 8.4 Hz, 1H), 7.03 (dd, J = 8.4 Hz, 1.8 Hz, 1H), 2.77 (s, 3H), 1.65 (s, 9H); 13C NMR (150 MHz, CDCl3) δ 170.63, 167.94, 164.91, 141.15,138.12, 137.60, 136.37, 133.32, 129.93, 128.87, 126.40, 124.78, 123.04, 119.95, 117.41, 81.72, 28.19, 26.80 ppm; ESI-HRMS m/z calculated for C22H20NO4ClNa [M + Na]+ 420.0946, found 420.0963.
- Compound 4u: Yield: 26.8%, yellow solid, m.p. 135.4–136.6 °C; 1H NMR (600 MHz, CDCl3) δ 8.41 (d, J = 1.8 Hz, 1H), 7.84 (s, 1H), 7.59–7.51 (m, 3H), 7.49 (s, 1H), 7.35 (d, J = 6.6 Hz, 1H), 7.06 (dd, J = 8.4 Hz, 1.8 Hz, 1H), 2.78 (s, 3H); 13C NMR (150 MHz, CDCl3) δ 170.61, 167.89, 141.22, 136.58, 136.53, 136.12, 130.60, 127.48, 126.50, 124.81, 122.94, 122.53, 121.28, 119.74, 117. 49, 26.87, 26.80; ESI-HRMS m/z calculated for C18H12NO3F3Cl [M + H]+ 382.0452, found 382.0441.
- Compound 4v: Yield: 34.2%, yellow soild, m.p. 137.1–139.5 °C; 1H NMR (600 MHz, CDCl3) δ 2.77 (s, 3H), 7.04 (dd, J = 1.8, 8.4 Hz, 1H), 7.40 (d, J = 8.4 Hz, 1H), 7.46 (d, J = 5.4 Hz, 2H), 7.76 (s, 1H), 8.39 (s, 1H), 8.78 (d, J = 6.0 Hz, 2H) ppm; 13C NMR (150 MHz, CDCl3) δ 26.7, 117.5, 119.3, 122.6, 123.3, 124.9, 128.1, 134.6, 137.1, 141.5, 142.2, 150.6, 167.5, 170.5 ppm. ESI-HRMS m/z calculated for C16H13O2N2Cl [M + H]+ 299.0582, found: 299.0576.
- Compound 4w: Yield: 32.3%, yellow solid, m.p. 143.1–144.5 °C; 1H NMR (600 MHz, CDCl3) δ 8.79 (d, J = 6.0 Hz, 2H), 8.39 (s, 1H), 7.46 (d, J = 5.4 Hz, 1H), 7.40 (d, J = 8. 4 Hz, 1H), 7.04 (dd, J = 8.4 Hz, 1.8 Hz, 2H), 2.77 (s, 3H); 13C NMR (150 MHz, CDCl3) δ 170.80, 165.77, 158.52 (q, J = 248.8 Hz), 156.87, 139.45, 136.24, 135.82, 133.38, 130.48, 128.81 (d, J = 3.4 Hz), 125.15, 122.68 (q, J = 18.0 Hz, 130.3 Hz), 119.69, 119.36, 117.31, 26.88, 26.80 ppm; ESI-HRMS m/z calculated for C17H12N2O2F3Cl [M + H]+ 367.0456, found 367.0447.
- Compound 4x: Yield: 36.9%, yellow solid; m.p. 151.4–152.2 °C; 1H NMR (600 MHz, CDCl3) δ 8.03 (d, J = 1.8 Hz, 1H), 7.86 (d, J = 4.2 Hz, 2H), 7.78 (d, J = 7.8 Hz, 1H), 7.73 (d, J = 7.8 Hz, 1H), 7.64 (t, J = 7.8 Hz, 1H), 7.43 (d, J = 8.4 Hz, 1H), 7.01 (dd, J = 8.4 Hz, 1.8 Hz, 1H), 1.70 (s, 9H); 13C NMR (150 MHz, CDCl3) δ 165.79, 150.21, 141.23, 136.46, 136.09, 135.23, 132.16, 129.51, 126.44 (q, J = 3.9 Hz), 125.78 (q, J = 3.7 Hz), 125.26, 125.13, 124.05, 122.95, 119.35, 116.18, 85.02, 28.10; ESI-HRMS m/z calculated for C21H17NO3F3ClNa [M + Na]+ 446.0741, found 446.0733.
3.3. General Procedure for the Synthesis of 9a-9g
First, 5-nitroindolin-2-one (5a, 2.81 nmol) and ammonium chloride (1.67 mmol) were placed in a 25-mL round-bottom flask, and then a mixed solution of ethanol and H2O (v/v 4:1) was added. After dissolution, iron powder (14 mmol) was added to the mixture and refluxed at 100 °C for 1.2 h. After the reaction was complete, the solution was filtered while hot and concentrated under reduced pressure to afford the product 5-aminoindolin-2-one (6a). Then, compounds 7a-7g were added to a solution of compound 6a in pyridine at room temperature for 12 h. After the reaction was complete, aqueous hydrochloric acid (pH 1–2) was added to the aqueous solution until no pyridine remained. Then, the aqueous solution was extracted with ethyl acetate (3 × 50 mL), and the combined organic layer was dried over anhydrous sodium sulfate and filtered. The solvent was evaporated in vacuo, and the residue was purified by silica gel column chromatography to obtain products 8a-8f. A mixture of 8a-8f and piperidine in methyl alcohol was stirred at room temperature under nitrogen protection, and an appropriate amount of 3-(trifluoromethyl)benzaldehyde was added. After the reaction was complete, the solvent was evaporated in vacuo, and the residue was purified by silica gel column chromatography and a Sephadex LH-20 column (CH3OH) to obtain target products 9a-9g.
- Compound 9a: Yield: 31.4%, orange powder, m.p. 205.7–206.1 °C; 1H NMR (600 MHz, Acetone-d6) δ 9.71 (s, 1H), 8.78 (s, 1H), 7.93 (td, J = 2.3, 5.2 Hz, 3H), 7.89–7.82 (m, 2H), 7.78 (dd, J = 1.5, 8.0 Hz, 1H), 7.75–7.70 (m, 3H), 7.41 (d, J = 2.1 Hz, 1H), 7.18 (dd, J = 2.1, 8.3 Hz, 1H), 6.92 (d, J = 8.3 Hz, 1H) ppm; 13C NMR (150 MHz, CD3OD) δ 169.70, 148.31, 141.14, 135.45, 133.90, 131.96, 131.71, 131.62, 131.15, 130.97, 130.29, 129.53, 128.98, 126.03 (d, J = 3.8 Hz), 125.69 (d, J = 3.7 Hz), 125.68, 124.87, 124.36, 123.07, 121.43, 119.22, 110.42 ppm. ESI-HRMS, m/z calculated for C22H14F3N3O5SNa [M + Na]+ 512.05011, found 512.04985.
- Compound 9b: Yield: 28.7%, yellow powder; m.p. 205.6–206.1 °C; 1H NMR (600 MHz, CD3OD) δ 7.91 (d, J = 7.7 Hz, 1H), 7.84 (d, J = 8.9 Hz, 2H), 7.79–7.73 (m, 2H), 7.66 (td, J = 6.1, 8.5 Hz, 1H), 7.31 (d, J = 2.1 Hz, 1H), 7.10 (ddd, J = 2.5, 8.8, 10.9 Hz, 1H), 7.02 (dd, J = 2.1, 8.3 Hz, 1H), 6.98 (td, J = 2.5, 8.4 Hz, 1H), 6.80 (d, J = 8.3 Hz, 1H) ppm; 13C NMR (150 MHz, CD3OD) δ 161.22, 158.60, 157.11, 153.09, 135.71, 131.22, 131.03, 128.45 (d, J = 9.6 Hz), 128.08, 127.36 (d, J = 28.4 Hz), 127.04, 125.98, 125.52, 122.85 (d, J = 4.1 Hz), 122.58 (d, J = 4.1 Hz), 122.35, 118.81, 115.64, 110.04 (dd, J = 3.3, 19.6 Hz), 109.96, 109.10, 104.41 (t, J = 23.1 Hz) ppm; ESI-HRMS, m/z calculated for C22H13F5N2O3SNa [M + Na]+ 503.04565, found 503.04593.
- Compound 9c: Yield: 21.5%, yellow powder, m.p. 128.1–128.7 °C; 1H NMR (600 MHz, CD3OD) δ 8.01 (d, J = 7.6 Hz, 1H), 7.92 (s, 1H), 7.80 (d, J = 3.2 Hz, 2H), 7.75 (t, J = 7.7 Hz, 1H), 7.48 (d, J = 2.1 Hz, 1H), 7.22–7.09 (m, 1H), 7.00–6.80 (m, 1H), 3.00 (q, J = 7.4 Hz, 2H), 1.29 (t, J = 7.4 Hz, 3H) ppm; 13C NMR (150 MHz, CD3OD) δ 169.80, 140.47, 140.17, 135.59, 135.35, 134.67, 132.18, 132.06, 129.62, 129.21, 126.00 (q, J = 3.8 Hz), 125.70 (q, J = 4.6 Hz, 125.62, 124.42, 121.64, 117.06, 110.55, 44.74, 7.00 ppm; ESI-HRMS, m/z calculated for C18H15F3N2O3SNa [M + Na]+ 419.06436, found 419.06477.
- Compound 9d: Yield: 38.4%, orange solid; m.p. 226.5–226.9 °C; 1H NMR (600 MHz, CD3OCD3) δ 9.68 (s, 1H), 9.06 (s, 1H), 8.36 (d, J = 2.0 Hz, 1H), 8.35 (d, J = 2.0 Hz, 1H), 7.95 (d, J = 2.0 Hz, 1H), 7.94 (d, J = 2.0 Hz, 1H), 7.93 (s, 2H), 7.83 (d, J = 7.8 Hz, 1H), 7.76–7.71 (m, 2H), 7.39 (d, J = 2.1 Hz, 1H), 7.10 (dd, J = 2.2, 8.3 Hz, 1H), 6.90 (d, J = 8.3 Hz, 1H) ppm; 13C NMR (150 MHz, CD3OCD3) δ 168.30, 168.19, 150.22, 145.13, 141.40, 135.76, 134.76, 132.36, 130.84, 130.63, 130.36, 129.79, 128.99, 128.71, 128.60, 126.00 (d, J = 3.8 Hz), 125.70 (d, J = 4.6 Hz), 125.99, 124.22, 121.67, 118.52, 110.67 ppm; ESI-HRMS, m/z calculated for C22H14F3N3O5SNa [M + Na]+ 512.05066, found 512.04985.
- Compound 9e: Yield: 31.6%, yellow amorphous powder; m.p. 151.1–151.5 °C; 1H NMR (600 MHz, CDCl3) δ 8.22 (s, 1H), 7.90 (d, J = 7.7 Hz, 1H), 7.85 (d, J = 3.5 Hz, 2H), 7.74 (d, J = 7.9 Hz, 1H), 7.66 (t, J = 7.7 Hz, 1H), 7.42 (d, J = 2.2 Hz, 1H), 7.39 (dt, J = 2.8, 7.0 Hz, 1H), 7.34–7.30 (m, 1H), 7.27 (d, J = 2.0 Hz, 1H), 7.26 (d, J = 2.3 Hz, 2H), 7.07 (dd, J = 2.1, 8.3 Hz, 1H), 6.87 (d, J = 8.3 Hz, 1H), 4.26 (s, 2H) ppm; 13C NMR (150 MHz, CDCl3) δ 169.33, 139.38, 136.55, 135.13, 132.13, 131.13, 130.97, 130.75, 130.75, 129.64, 128.94, 128.79, 128.79, 128.52, 128.36, 126.58 (d, J = 2.7 Hz), 126.17 (d, J = 4.3 Hz), 124.28, 122.08, 117.25, 110.83, 57.69, 50.89 ppm; ESI-HRMS m/z calculated for C23H17F3N2O3SNa [M + Na]+ 481.08014, found 481.08042.
- Compound 9f: Yield: 41.3%, yellow powder; m.p. 191.1–191.5 °C; 1H NMR (600 MHz, CD3OCD3) δ 9.68 (s, 1H), 8.71 (s, 1H), 7.94 (s, 1H), 7.90 (d, J = 7.7 Hz, 1H), 7.86 (d, J = 8.0 Hz, 1H), 7.74 (t, J = 7.8 Hz, 1H), 7.71 (s, 1H), 7.56 (d, J = 2.0 Hz, 1H), 7.55 (d, J = 1.8 Hz, 1H), 7.37 (d, J = 2.1 Hz, 1H), 7.31 (s, 1H), 7.30 (s, 1H), 7.10 (dd, J = 2.1, 8.3 Hz, 1H), 6.88 (d, J = 8.3 Hz, 1H), 2.36 (s, 3H) ppm; 13C NMR (150 MHz, CD3OCD3) δ 168.33, 143.41, 140.81, 136.81, 135.82, 134.39, 132.24, 131.50, 130.75 (q, J = 32.2 Hz), 129.82, 129.43, 129.11, 127.17, 126.16 (q, J = 4.0 Hz), 126.05 (q, J = 3.9 Hz), 125.54, 125.09, 124.19 (q, J = 271.7 Hz), 123.29, 121.39, 117.97, 110.46, 20.51 ppm; ESI-HRMS, m/z calculated for C23H17F3N2O3SNa [M + Na]+ 481.08042, found 481.08042.
- Compound 9g: Yield: 41.2%, yellow powder; m.p. 258.4–259.3 °C; 1H NMR (600 MHz, DMSO-d6) δ 10.62 (d, J = 24.1 Hz, 1H), 10.02–9.79 (m, 1H), 8.89 (s, 1H), 8.55 (d, J = 7.9 Hz, 1H), 7.90–7.76 (m, 2H), 7.70 (dt, J = 7.9, 15.6 Hz, 1H), 7.66–7.58 (m, 2H), 7.55–7.42 (m, 1H), 7.31 (dd, J = 7.9, 34.4 Hz, 2H), 6.95–6.77 (m, 1H), 6.72 (dd, J = 8.3, 40.3 Hz, 1H), 2.32 (d, J = 13.5 Hz, 3H) ppm; 13C NMR (150 MHz, DMSO-d6) δ 167.42, 143.48, 139.02, 137.14, 136.13, 135.78, 135.04, 130.86 (q, J = 276.33 Hz), 130.07, 130.07, 129.96, 129.65, 128.72, 128.66 (d, J = 3.7 Hz), 127.29, 127.29, 127.15, 126.99, 125.37, 124.69, 115.88, 110.33, 21.42 ppm; ESI-HRMS m/z calculated for C23H17F3N2O3SNa [M + Na]+ 481.08020, found 481.08042.
3.4. General Procedure for the Synthesis of 9h-9i
5-Aminoindolin-2-one (6a) (1.0 mmol) and piperidine were added to a solution of the suitably substituted aromatic aldehyde (1.0 mmol) in methyl alcohol under nitrogen protection. The reaction mixture was refluxed for 24 h while tracking the reaction progress by TLC. Then, the reaction mixture was concentrated, and the resultant crude solid product was purified by silica gel column chromatography and a Sephadex LH-20 column (CH3OH) to afford target compounds 9i-9h.
- Compound 9h: Yield: 40.3%, grayish-white powder, m.p. 166.3–166.8 °C; 1H NMR (600 MHz, CD3OD) δ 8.69 (s, 1H), 8.25 (s, 1H), 8.16 (d, J = 7.8 Hz, 1H), 7.80 (d, J = 7.5 Hz, 1H), 7.71 (t, J = 7.8 Hz, 1H), 7.33 (d, J = 2.2 Hz, 1H), 7.26 (dd, J = 8.2, 2.2 Hz, 1H), 6.95 (d, J = 8.2 Hz, 1H), 6.79–6.61 (m, 1H). 3.34 (p, J = 1.7 Hz, 2H) ppm; 13C NMR (150 MHz, CD3OD) δ 178.52, 157.13, 145.60, 142.40, 137.31, 131.85, 129.39, 128.30, 127.09 (d, J = 3.9 Hz), 126.85, 124.51, 123.81, 121.26, 117.40, 117.38, 113.73 (d, J = 235.8 Hz), 109.74 ppm; ESI-HRMS m/z calculated for C16H11F3N2ONa [M + Na]+ 327.07193, found 327.07157.
- Compound 9i: Yield: 41.3%, yellow amorphous powder; m.p. 191.1–191.5 °C; 1H NMR (600 MHz, DMSO-d6) δ 10.49 (s, 1H), 8.76 (s, 1H), 8.42 (s, 2H), 8.09 (s, 1H), 7.23 (d, J = 3.23 Hz, 2H), 6.84 (s, 1H) ppm; 13C NMR (150 MHz, DMSO-d6) δ 176.87, 154.87, 144.05, 143.71, 139.10, 131.20 (q, J = 33.5 Hz), 128.59, 128.59, 127.33, 124.48, 124.01, 123.46 (q, J = 272.8 Hz), 122.47, 117.95, 109.88, 36.28 ppm. ESI-HRMS m/z calculated for C17H10F6N2ONa [M + Na]+ 395.05930, found 395.05895.
3.5. Cytotoxicity Assay
The RAW 264.7 murine macrophage cells were obtained from the Cell Bank of the Chinese Academy of Sciences (Shanghai, China). RAW 264.7 cells were cultured in DMEM (Dulbecco’s Modified Eagle Medium) medium supplemented with 10% fetal bovine serum and 1% penicillin/streptomycin at 37 °C and 5% CO2 in a saturated humidified incubator. The Cell Counting Kit-8 (CCK-8) method was used to evaluate the cytotoxicity of all the compounds on RAW 264.7 cells in vitro. The cells (5 × 104 cells/well) were seeded in 96-well culture plates and treated with test compounds (6.25, 12.5, 25, 50, and 100 μg/mL). After 24 h of cultivation, the cells were incubated with a CCK-8 solution (10 µL). After incubation at 37 °C and 5% CO2 for 2–4 h, the optical density (OD) was recorded at 450 nm by a microplate reader. The half-maximal inhibitory concentration (IC50) was calculated by SPSS 22.0 software. PDTC was used as a positive control.
3.6. Determination of Anti-Inflammatory Activity
RAW 264.7 cells were cultured in DMEM medium supplemented with 10% fetal bovine serum and 1% penicillin/streptomycin at 37 °C and 5% CO2 in a saturated humidified incubator. Then cells were seeded in 24-well plates (4 × 105 cells/well) after 24 h of incubation and treated with different concentrations of compounds (80, 40, 20, and 5 μM) for 2 h. The cells were stimulated with LPS (5 μg/mL) for 24 h, the supernatant was transferred to a new 24-well microtiter plate, and the NO concentration in the cell supernatant was calculated using an NO detection kit (Beyotime Company, Shanghai, China).
3.7. In Vitro COX-2 Inhibitory Assay
The in vitro COX-2 inhibitory activity of compounds 4a-4w and 9a-9g was evaluated using a Cyclooxygenase-2 Inhibitor Screening Kit (Beyotime Company, Shanghai, China) [41]. Briefly, human recombinant COX-2 enzyme, COX-2 cofactor, and COX-2 assay buffer, were preincubated with test compounds for 10 min at 37 °C, and then the COX-2 probe was added. The reaction was started by the addition of COX-2 substrate and allowed to proceed for 5 min. The intensity of fluorescence at an emission wavelength of 590 nm upon 560 nm excitation was measured using a microplate reader (Thermo Varioskan LUX, Waltham, MA, USA). All tests were repeated three times independently.
3.8. Molecular Docking
A docking study was performed as described previously [42,43]. For receptor preparation, the crystal structure of COX-2 (PDB code: 3LN1) was downloaded from the Protein Data Bank (https://www.rcsb.org (accessed on 16 April 2023)). The ligand docked into the 3LN1 structure by utilizing AutoDock Vina 1.1.2. The binding affinity, the value of the dissociation constant in units of molarity, was used to evaluate the interaction between the ligands and the protein. For the initial screening of the compounds, ten poses were generated for docking, and then an estimated range of binding affinities was calculated and used for secondary screening. The more negative the Vina docking score is, the higher the binding affinity, and the compound with the lower energy score is taken as the subsequent analysis object. Hydrogen atoms were added with their standard geometry, and the crystallographic water molecules in 3LN1 were removed. At neutral pH, all the dissociable residues in the system were set to their protonated states. Celecoxib, an inhibitor of COX-2, was used as a reference compound to define the active site of 3LN1. For further docking, the edited COX-2 and ligand files were transcribed into PDBQT format. All of the default parameters were used.
4. Conclusions
In our study, thirty-three oxindole analogues bearing α, β-unsaturated ketones were designed and synthesized via the Knoevenagel condensation reaction. Fifteen compounds were new. The anti-inflammatory properties and COX-2 inhibitory activities of all the compounds were evaluated for the first time in vitro. Compounds 4a, 4e, 4i, 4j, and 9d showed different degrees of inhibition against NO production in LPS-stimulated RAW 264. Seven cells and three new compounds (4e, 9h, and 9i) exhibited significant COX-2 inhibitory activities. The results of the three compounds suggested that they had the potential to be COX-2 inhibitors, and compound 4e had the potential to be an anti-inflammatory lead compound for further optimization and evaluation. The possible mechanisms by which COX-2 recognized 4e, 9h, and 9i were predicted by molecular docking. These findings are promising for the discovery of new drugs that inhibit COX-2 and inflammation, and this study provides more diverse chemical entities for the research and development of innovative anti-inflammatory drugs.
Supplementary Materials
The following supporting information can be downloaded at: https://www.mdpi.com/article/10.3390/molecules28124668/s1, Figures S1-1–S33-3: 1H-NMR, 13C-NMR, ESI- HRMS spectra for compounds 4a-4x and 9a-9i.
Author Contributions
S.M. conceptualized, designed, and offered guidance to the experiments, and revised the manuscript; T.P. and M.H. performed the experiments, analyzed the spectrum–effect relationship, and T.P. wrote the manuscript; L.D. performed biology experiments; J.L. offered some data; Y.F. and X.H. contributed as the supervisor. All authors have read and agreed to the published version of the manuscript.
Funding
This present research was supported by the Science and Technology Program of Guizhou Province (QKH-JC [2019] 1430) and the National Natural Science Foundation of China [22067003].
Institutional Review Board Statement
Not applicable.
Informed Consent Statement
Not applicable.
Data Availability Statement
The data presented in this study are available in the Supplementary Materials.
Acknowledgments
The authors are grateful to the Key Laboratory of Chemistry for Natural Products of Guizhou Province and Chinese Academy of Sciences for their help with ESI-HRMS and NMR measurements; to Yang-Ming Jiang for NMR measurements; and to En-Ming Hu for ESI-HRMS measurements.
Conflicts of Interest
The authors declare no conflict of interest.
Sample Availability
Not applicable.
References
- Gao, Y.; Duan, Y.Z. Increased COX-2 in the trigeminal nucleus caudalis is involved in orofacial pain induced by experimental tooth movement. Anat. Rec. 2010, 293, 485–491. [Google Scholar] [CrossRef] [PubMed]
- Kumar, A.; Kour, G.; Chibber, P.; Saroch, D.; Kumar, C.; Ahmed, Z. Novel alantolactone derivative AL-04 exhibits potential anti-inflammatory activity via modulation of iNOS, COX-2 and NF-kappa B. Cytokine 2022, 158, 155978. [Google Scholar] [CrossRef] [PubMed]
- Abdelall, E.K.A.; Lamie, P.F.; Ali, W.A.M. Cyclooxygenase-2 and 15-lipoxygenase inhibition, synthesis, anti-inflammatory activity and ulcer liability of new celecoxib analogues: Determination of region-specific pyrazole ring formation by NOESY. Bioorg. Med. Chem. Lett. 2016, 26, 2893–2899. [Google Scholar] [CrossRef] [PubMed]
- Mishra, C.B.; Kumari, S.; Prakash, A.; Yadav, R.; Tiwari, A.K.; Pandey, P.; Tiwari, M. Discovery of novel methylsulfonyl phenyl derivatives as potent human Cyclooxygenase-2 inhibitors with effective anticonvulsant action: Design, synthesis, in-silico, in vitro and in vivo evaluation. Eur. J. Med. Chem. 2018, 151, 520–532. [Google Scholar] [CrossRef]
- Zarghi, A.; Najafnia, L.; Daraee, B.; Dadrass, O.G.; Hedayati, M. Synthesis of 2, 3-diaryl-1,3-thiazolidine-4-one derivatives as selective cyclooxygenase (COX-2) inhibitors. Bioorg. Med. Chem. Lett. 2007, 17, 5634–5637. [Google Scholar] [CrossRef]
- Zebardast, T.; Zarghi, A.; Daraie, B.; Hedayati, M.; Dadrass, O.G. Design and synthesis of 3-alkyl-2-aryl-1,3-thiazinan-4-one derivatives as selective cyclooxygenase (COX-2) inhibitors. Bioorg. Med. Chem. Lett. 2009, 19, 3162–3165. [Google Scholar] [CrossRef]
- Laine, L.; White, W.B.; Rostom, A.; Hochberg, M. COX-2 selective inhibitors in the treatment of osteoarthritis. Semin. Arthritis Rheum. 2008, 38, 165–187. [Google Scholar] [CrossRef]
- Dionne, R.A.; Berthold, C.W. Therapeutic uses of non-steroidal anti-inflammatory drugs in dentistry. Crit. Rev. Oral Biol. Med. 2001, 12, 315–330. [Google Scholar] [CrossRef]
- Huber, M.A.; Terezhalmy, G.T. The use of COX-2 inhibitors for acute dental pain: A second look. J. Am. Dent. Assoc. 2006, 137, 480–487. [Google Scholar] [CrossRef]
- Nekoofar, M.H.; Sadeghipanah, M.; Dehpour, A.R. Evaluation of meloxicam (A cox-2 inhibitor) for management of postoperative endodontic pain: A double-blind placebo-controlled study. J. Endod. 2003, 29, 634–637. [Google Scholar] [CrossRef]
- Gupta, A.; Bah, M. NSAIDs in the treatment of postoperative pain. Curr. Pain Headache Rep. 2016, 20, 62. [Google Scholar] [CrossRef] [PubMed]
- Al-Hourani, B.J.; Sharma, S.K.; Mane, J.Y.; Tuszynski, J.; Baracos, V.; Kniess, T.; Suresh, M.; Pietzsch, J.; Wuest, F. Synthesis and evaluation of 1,5-diaryl-substituted tetrazoles as novel selective cyclooxygenase-2 (COX-2) inhibitors. Bioorg. Med. Chem. Lett. 2011, 21, 1823–1826. [Google Scholar] [CrossRef]
- Abdellatif, K.R.; Fadaly, W.A.; Ali, W.A.; Kamel, G.M. Synthesis, cyclooxygenase inhibition, anti-inflammatory evaluation and ulcerogenic liability of new 1,5-diarylpyrazole derivatives. J. Enzym. Inhib. Med. Chem. 2016, 31, 54–60. [Google Scholar] [CrossRef] [PubMed]
- Dhanjal, J.K.; Sreenidhi, A.K.; Bafna, K.; Katiyar, S.P.; Goyal, S.; Grover, A.; Sundar, D. Computational structure-based de novo design of hypothetical inhibitors against the anti-inflammatory target COX-2. PLoS ONE 2015, 10, e0134691. [Google Scholar] [CrossRef]
- Grosser, T.; Ricciotti, E.; FitzGerald, G.A. The Cardiovascular pharmacology of nonsteroidal anti-inflammatory drugs. Trends Pharmacol. Sci. 2017, 38, 733–748. [Google Scholar] [CrossRef]
- Elshemy, H.A.H.; Abdelall, E.K.A.; Azouz, A.A.; Moawad, A.; Ali, W.A.M.; Safwat, N.M. Synthesis, anti-inflammatory, cyclooxygenases inhibitions assays and histopathological study of poly-substituted 1,3,5-triazines: Confirmation of regiospecific pyrazole cyclization by HMBC. Eur. J. Med. Chem. 2017, 127, 10–21. [Google Scholar] [CrossRef] [PubMed]
- Patrono, C.; Baigent, C. Coxibs, Traditional NSAIDs, and cardiovascular safety post-precision: What we thought we knew then and what we think we know now. Clin. Pharmacol. Ther. 2017, 102, 238–245. [Google Scholar] [CrossRef]
- Motika, S.E.; Hergenrother, P.J. Re-engineering natural products to engage new biological targets. Nat. Prod. Rep. 2020, 37, 1395–1403. [Google Scholar] [CrossRef]
- Guthikonda, R.N.; Cama, L.D.; Quesada, M.; Woods, M.F.; Salzmann, T.N.; Christensen, B.G. Modification of natural products to improve their biological properties. Pure Appl. Chem. 1987, 59, 455–458. [Google Scholar] [CrossRef]
- Zongru, G. The modification of natural products for medical use. Acta Pharm. Sin. B 2017, 7, 119–126. [Google Scholar] [CrossRef]
- Viegas, J.C.; Danuello, A.; da Silva Bolzani, V.; Barreiro, E.J.; Fraga, C.A. Molecular hybridization: A useful tool in the design of new drug prototypes. Curr. Med. Chem. 2007, 14, 1829–1852. [Google Scholar] [CrossRef]
- Giselle, C.; Costa, F. Oxindoles and copper complexes with oxindole-derivatives as potential pharmacological agents. J. Braz. Chem. Soc. 2006, 17, 1473. [Google Scholar] [CrossRef]
- Khetmalis, Y.M.; Shivani, M.; Murugesan, S.; Chandra Sekhar, K.V.G. Oxindole and its derivatives: A review on recent progress in biological activities. Biomed. Pharmacother. 2021, 141, 111842. [Google Scholar] [CrossRef]
- Kaur, M.; Singh, M.; Chadha, N.; Silakari, O. Oxindole: A chemical prism carrying plethora of therapeutic benefits. Eur. J. Med. Chem. 2016, 123, 858–894. [Google Scholar] [CrossRef] [PubMed]
- Dey, P.; Kundu, A.; Han, S.H.; Kim, K.S.; Park, J.H.; Yoon, S.; Kim, I.S.; Kim, H.S. Biological evaluation of exindole derivative as a novel anticancer agent against human kidney carcinoma cells. Biomolecules 2020, 10, 1260. [Google Scholar] [CrossRef] [PubMed]
- Khan, M.; Yousaf, M.; Wadood, A.; Junaid, M.; Ashraf, M.; Alam, U.; Ali, M.; Arshad, M.; Hussain, Z.; Khan, K.M. Discovery of novel oxindole derivatives as potent alpha-glucosidase inhibitors. Bioorg. Med. Chem. 2014, 22, 3441–3448. [Google Scholar] [CrossRef]
- Dreifuss, A.A.; Bastos-Pereira, A.L.; Avila, T.V.; Soley, B.D.S.; Rivero, A.J.; Aguilar, J.L.; Acco, A. Antitumoral and antioxidant effects of a hydroalcoholic extract of cat’s claw (Uncaria tomentosa) (Willd. Ex Roem. & Schult) in an in vivo carcinosarcoma model. J. Ethnopharmacol. 2010, 130, 127–133. [Google Scholar] [CrossRef]
- Chaudhari, P.; Bari, S.; Surana, S.; Shirkhedkar, A.; Wakode, S.; Shelar, S.; Racharla, S.; Ugale, V.; Ghodke, M. Logical synthetic strategies and structure-activity relationship of indolin-2-one hybrids as small molecule anticancer agents: An overview. J. Mol. Struct. 2022, 1247, 131280. [Google Scholar] [CrossRef]
- Xu, Y.; Zhang, X.J.; Li, W.B.; Wang, X.R.; Wang, S.; Qiao, X.P.; Chen, S.W. Design, synthesis and biological evaluation of indole-2-one derivatives as potent BRD4 inhibitors. Eur. J. Med. Chem. 2020, 208, 112780. [Google Scholar] [CrossRef]
- Tseng, C.C.; Baillie, G.; Donvito, G.; Mustafa, M.A.; Juola, S.E.; Zanato, C.; Massarenti, C.; Dall’Angelo, S.; Harrison, W.T.A.; Lichtman, A.H.; et al. The trifluoromethyl group as a bioisosteric replacement of the aliphatic nitro group in CB (1) receptor positive allosteric modulators. J. Med. Chem. 2019, 62, 5049–5062. [Google Scholar] [CrossRef]
- Egami, H.; Sodeoka, M. Trifluoromethylation of alkenes with concomitant introduction of additional functional groups. Angew. Chem. Int. Ed. Engl. 2014, 53, 8294–8308. [Google Scholar] [CrossRef] [PubMed]
- Feng, S.; Li, C.; Chen, D.; Zheng, X.; Yun, H.; Gao, L.; Shen, H.C. Discovery of methylsulfonyl indazoles as potent and orally active respiratory syncytial Virus (RSV) fusion inhibitors. Eur. J. Med. Chem. 2017, 138, 1147–1157. [Google Scholar] [CrossRef]
- Khurshid, A.; Saeed, A.; Erben, M.F.; Hökelek, T.; Jabeen, E. DFT guided substitution effect on azomethine reactive center in newly synthesized Schiff base aromatic scaffolds; syntheses, characterization, single crystal XRD, Hirshfeld surface and crystal void analyses. J. Mol. Struct. 2023, 1273, 134215. [Google Scholar] [CrossRef]
- Sondhi, S.M.; Singh, N.; Kumar, A.; Lozach, O.; Meijer, L. Synthesis, anti-inflammatory, analgesic and kinase (CDK-1, CDK-5 and GSK-3) inhibition activity evaluation of benzimidazole/benzoxazole derivatives and some Schiff’s bases. Bioorg. Med. Chem. 2006, 14, 3758–3765. [Google Scholar] [CrossRef]
- Vijesh, A.M.; Isloor, A.M.; Shetty, P.; Sundershan, S.; Fun, H.K. New pyrazole derivatives containing 1,2,4-triazoles and benzoxazoles as potent antimicrobial and analgesic agents. Eur. J. Med. Chem. 2013, 62, 410–415. [Google Scholar] [CrossRef]
- Wei, D.; Ning, L.I.; Gui, L.U.; Yao, K. Synthesis, catalytic and biological activity of novel dinuclear copper complex with Schiff base. Sci. China Ser. B 2006, 49, 225–229. [Google Scholar] [CrossRef]
- John, W.C. Nitric oxide in immunity and inflammation. Int. Immunopharmacol. 2001, 1, 1397–1406. [Google Scholar] [CrossRef]
- Bogdan, C. Nitric oxide and the immune response. Nat. Immunol. 2001, 2, 907–916. [Google Scholar] [CrossRef]
- Sungeun, A.; Muhammad, H.S.; Noh, H.Y.; Kim, Y.J.; Jin, C.G.; Yang, C.D. Anti-inflammatory activity of ginsenosides in LPS-stimulated RAW 264.7 cells. Sci. Bull. 2015, 60, 773–784. [Google Scholar] [CrossRef]
- Futagami, A.; Ishizaki, M.; Fukuda, Y.; Seiji, K.; Nobuaki, Y. Wound healing involves induction of Cyclooxygenase-2 expression in rat skin. Lab. Investig. 2002, 82, 1503–1513. [Google Scholar] [CrossRef] [PubMed]
- Yan, Y.M.; Zhang, H.X.; Liu, H.; Wang, Y.; Wu, J.B.; Li, Y.P.; Cheng, Y.X. (+/−)-Lucidumone, a COX-2 inhibitory ccaged fungal meroterpenoid from Ganoderma lucidum. Org. Lett. 2019, 21, 8523–8527. [Google Scholar] [CrossRef] [PubMed]
- Orlando, B.J.; Malkowski, M.G. Substrate-selective inhibition of Cyclooxygeanse-2 by fenamic acid derivatives is dependent on peroxide tone. J. Biol. Chem. 2016, 291, 15069–15081. [Google Scholar] [CrossRef] [PubMed]
- Qin, F.Y.; Zhang, H.X.; Di, Q.Q.; Wang, Y.; Yan, Y.M.; Chen, W.L.; Cheng, Y.X. Ganoderma cochlear metabolites as probes to identify a COX-2 active site and as in vitro and in vivo anti-inflammatory agents. Org. Lett. 2020, 22, 2574–2578. [Google Scholar] [CrossRef] [PubMed]
Disclaimer/Publisher’s Note: The statements, opinions and data contained in all publications are solely those of the individual author(s) and contributor(s) and not of MDPI and/or the editor(s). MDPI and/or the editor(s) disclaim responsibility for any injury to people or property resulting from any ideas, methods, instructions or products referred to in the content. |
© 2023 by the authors. Licensee MDPI, Basel, Switzerland. This article is an open access article distributed under the terms and conditions of the Creative Commons Attribution (CC BY) license (https://creativecommons.org/licenses/by/4.0/).





