Field-Induced Single-Ion Magnet Behavior in Nickel(II) Complexes with Functionalized 2,2′:6′-2″-Terpyridine Derivatives: Preparation and Magneto-Structural Study
Abstract
1. Introduction
2. Results
2.1. Synthesis, IR Spectroscopy, Thermal Analysis and X-ray Powder Diffraction
2.2. Description of the Crystal Structures of 1 and 2
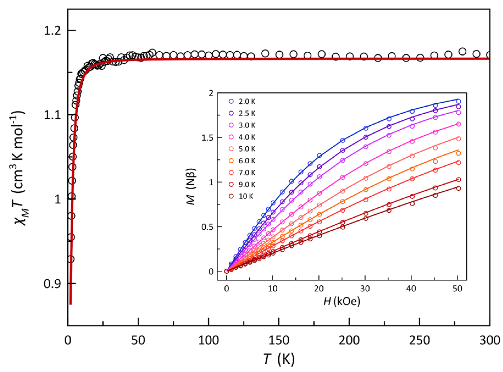
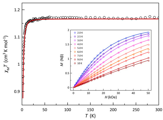
2.3. Static (dc) Magnetic Properties of 1 and 2
2.4. Theoretical Calculations on 1 and 2
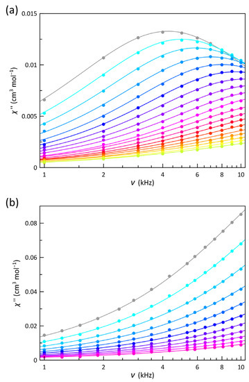
2.5. Dynamic (ac) Magnetic Properties of 1 and 2
3. Materials and Methods
3.1. Reagents
3.2. Preparation of the Complexes
3.2.1. [Ni(terpyCOOH)2](ClO4)2∙4H2O (1)
3.2.2. [Ni(terpyepy)2](ClO4)2∙MeOH (2)
3.3. Physical Techniques
3.4. Crystallographic Data Collection and Refinement
3.5. Computational Details
4. Conclusions
Supplementary Materials
Author Contributions
Funding
Institutional Review Board Statement
Informed Consent Statement
Data Availability Statement
Acknowledgments
Conflicts of Interest
Sample Availability
References
- Morgan, G.T.; Burstall, F.H. Dehydrogenation of Pyridine by Anhydrous Ferric Chloride. J. Chem. Soc. 1932, 20–30. [Google Scholar] [CrossRef]
- Burstall, F.H. Researchers on the Polypyridyls. J. Chem. Soc. 1938, 1662–1672. [Google Scholar] [CrossRef]
- Huynh, M.H.V.; El-Samanody, E.-S.; Demadis, K.; White, P.S.; Meyer, T.J. Mechanism and Molecular Electronic Structure Correlations in a Novel Series of Osmium(V) Hydrazido Complexes. Inorg. Chem. 2000, 39, 3075–3085. [Google Scholar] [CrossRef] [PubMed]
- Huynh, M.H.V.; White, P.S.; Meyer, T.J. Mechanistic Control of Product Selectivity. Reactions between cis-/trans-[OsVI(tpy)(Cl)2(N)]+ and Triphenylphosphine Sulfide. Inorg. Chem. 2000, 39, 2825–2830. [Google Scholar] [CrossRef]
- Priimov, G.L.; Moore, P.; Martiim, P.K.; Butalanyi, P.K.; Alcock, N.W. Synthesis of two covalently linked bis(2,2′:6′,2”-terpyridine) (terpy) chelating ligands with different length spacers, comparison of the crystal structures of their mononuclear nickel(II) complexes, and kinetic and mechanistic studies of the reaction of one ligand with [Fe(terpy)2]2+. J. Chem. Soc. Dalton Trans. 2000, 445–449. [Google Scholar]
- Mutai, T.; Satou, H.; Araki, K. Reproducible On-Off Switching of Solid State Luminescence by Controlling Molecular Packing through Heat-Mode Interconversion. Nature Mater. 2005, 4, 685–687. [Google Scholar] [CrossRef] [PubMed]
- Bessel, C.A.; See, R.F.; Jameson, D.I.; Churchill, M.; Takeuchi, K.J. Structural Considerations of Terdentate Ligands. Crystal Structures of 2,2′:6′,2”-terpyridine and 2,6-bis(pyrazol-1-yl)pyridine. J. Chem. Soc. Dalton Trans. 1992, 22, 3223–3228. [Google Scholar] [CrossRef]
- Bowes, K.F.; Clark, I.P.; Cole, J.M.; Goulay, M.; Griffin, A.M.E.; Mahon, M.F.; OOi, L.; Parker, A.W.; Raithby, P.R.; Sparkes, H.A.; et al. A New Polymorph of Terpyridine: Variable Temperature X-Ray Diffraction Studies and Solid State Photophysical Properties. CrtytEngComm 2005, 7, 269–275. [Google Scholar] [CrossRef]
- Yokota, M.; Ito, A.; Doki, N. Experimental Evidence of Reversible Crystalline State Transformation of 2,2′:6′,2”-Terpyridine: Visualization and Seed Effect. Adv. Chem. Eng. Sci. 2015, 5, 484–489. [Google Scholar] [CrossRef]
- Constable, E.C. The Coordination Chemistry of 2,2′:6′,2”-Terpyridine and Higher Oligopyridines. Adv. Inorg. Chem. 1986, 30, 69–121. [Google Scholar]
- Hanan, G.S.; Arana, C.R.; Lehn, J.-M.; Baum, G.; Fenske, D. Coordination Arrays: Synthesis and Characterisation of Rack-Type Dinuclear Complexes. Chem. Eur. J. 1996, 2, 1292–1302. [Google Scholar] [CrossRef]
- Constable, E.C. Comprehensive Supramolecular Chemistry; Chapter 6; Atwood, J.L., Davies, J.E.D., MacNicol, D.D., Vötgle, F., Eds.; Pergamon: Oxford, UK, 1996; p. 213. [Google Scholar]
- Baum, G.; Constable, E.C.; Housecroft, C.E.; Fenske, D.; Kulke, T. Solvent control in the formation of mononuclear and dinuclear double-helical silver(I)-2,2′:6′:2”- terpyridine complexes. Chem. Commun. 1998, 2659–2660. [Google Scholar]
- Albrecht, M. “Let’s Twist Again”—Double Stranded, Triple Stranded and Circular Helicates. Chem Rev. 2001, 101, 3457–3498. [Google Scholar] [CrossRef]
- Chambron, J.-C.; Sauvage, J.-P.; Mislow, K.; De Cian, A.; Fischer, J. A [2]Catenane and a [2]Rotaxane as Prototypes of Topological and Euclidean Molecular “Rubber Gloves”. Chem. Eur. J. 2001, 7, 4085–4096. [Google Scholar] [CrossRef] [PubMed]
- Raymo, F.M.; Stoddard, J.F. Interlocked Macromolrecules. Chem. Rev. 1999, 99, 1643–1663. [Google Scholar] [CrossRef]
- Dietrich-Buchecker, C.O.; Sauvage, J.-P. Interlocking of molecular threads: From the statistical approach to the templated synthesis of catenands. Chem. Rev. 1987, 87, 795–810. [Google Scholar] [CrossRef]
- Amabilino, D.B.; Raymo, F.M.; Stoddart, J.F. Comprehensive Supramolecular Chemistry; Chapter 3; Atwood, J.L., Davies, J.E.D., MacNicol, D.D., Vötgle, F., Eds.; Pergamon: Oxford, UK, 1996; Volume 9, p. 85. [Google Scholar]
- Constable, E.C. 2,2′:6′,2”-Terpyridines: From chemical obscurity to common supramolecular motifs. Chem. Soc. Rev. 2007, 36, 246–253. [Google Scholar] [CrossRef] [PubMed]
- Constable, E.C.; Housecroft, C.E.; Neuburger, M.; Schaffner, S.; Scherer, L.J. Preparation and structural characterization of terpy-cored dendrimers and dendriplexes. Dalton Trans. 2004, 2635–2642. [Google Scholar] [CrossRef] [PubMed]
- Newcome, G.R.; He, E.; Godinez, L.A.; Baker, G.R. Electroactive Metallomacromolecules via Tetrabis(2,2′:6′,2”-terpyridine)ruthenium(II) Complexes: Dendritic Nanonetworks toward Constitutional Isomers and Neutral Species without External Counterions. J. Am. Chem. Soc. 2000, 122, 9993–10006. [Google Scholar] [CrossRef]
- Newkome, G.R.; He, E.; Moorefield, C.N. Dendrimers Derived from 1→3 Branching Motifs. Chem. Rev. 1999, 99, 6338–6442. [Google Scholar] [CrossRef]
- Constable, E.C.; Harverson, P. A convergent approach to heteroheptanuclear star compexes. Polyhedron 1999, 18, 1891–1901. [Google Scholar] [CrossRef]
- Kelch, S.; Rebhahn, M.J. Rod-like ruthenium (II) coordination polymers: Synthesis and properties in solution. Chem. Soc. Chem. Commun. 1999, 1123–1124. [Google Scholar] [CrossRef]
- Newkome, G.R.; He, E. Nanometric dendritic macromolecules: Stepwise assembly by double (2,2′:6′,2”-terpyridone)ruthenium(I) connectivity. J. Mater. Chem. 1997, 7, 1237–1244. [Google Scholar] [CrossRef]
- Wei, C.; He, Y.; Shi, X.; Song, Z. Terpyridine-metal complexes: Applications in catalysis and supramolecular chemistry. Coord. Chem. Rev. 2019, 385, 1–19. [Google Scholar] [CrossRef]
- Kwong, H.-L.; Yeung, H.-L.; Yeung, C.-T.; Lee, W.-S.; Lee, C.-S.; Wong, W.-L. Chiral pyridine-containing ligands in asymmetric catalysis. Coord. Chem. Rev. 2007, 251, 2188–2222. [Google Scholar] [CrossRef]
- Chen, X.; Liu, Q.; Sun, H.-B.; Yu, X.-Q.; Pu, L. A BINOL-terpyridine-based multi-task catalu¡yst for a sequential oxidation and asymmetric alkylation of alcohols. Tetrahedron Lett. 2010, 51, 2345–2347. [Google Scholar] [CrossRef]
- Wada, T.; Tsuge, K.; Tanaka, K. Oxidation of Hydrocarbons by Mono- and Dinuclear Ruthenium Quinone Complexes via Hydrogen Atom Abstraction. Chem. Lett. 2000, 29, 910–911. [Google Scholar]
- Lebeau, E.; Meyer, T.J. Oxidation of Benzyl Alcohol by a Dioxo Complex of Ruthenium(VI). Inorg. Chem. 1999, 38, 2174–2181. [Google Scholar] [CrossRef]
- Trávníĉek, Z.; Pastorek, R.; Ŝindelár, Z.; Marek, J. Reaction of bis(isopropylxanthato)nickel(II) with nitrogen donor ligands IV. J. Coord. Chem. 1998, 44, 193–204. [Google Scholar] [CrossRef]
- Navarro, M.; De Giovani, W.F.; Romero, J.R. Electrocatalytic Oxidation of alcohols and diols using polypyridyl complexes of ruthenium. Effect of the redox potential on selectivity. J. Mol. Catal. A Chem. 1998, 135, 249–256. [Google Scholar] [CrossRef]
- Yeung, C.-T.; Lee, W.-S.; Tsang, C.-S.; Yu, S.-M.; Wong, W.-T.; Wong, W.-Y.; Kwong, H.-L. Chiral C1-symmetric 2,2′:6′,2”-terpyridine ligands: Synthesis, characterization, complexation with copper(II), rhodium(III) and ruthenium(II) ions and use of the complexes in catalytic cyclopropanation of styrene. Polyhedron 2019, 29, 1497–1507. [Google Scholar] [CrossRef]
- Liu, P.; Wong, E.L.-M.; Yuen, A.W.-H.; Che, C.-M. Highly Efficient Alkene Epoxidation and Aziridination Catalyzed by Iron(II) Salt + 4,4′,4”-Trichloro-2,2′:6′,2”-terpyridine/4,4”-Dichloro-4′-O-PEG-OCH3-2,2′:6′,2”-terpyridine. Org. Lett. 2008, 10, 3275–3278. [Google Scholar] [CrossRef]
- Seckin, T.; Özdemir, I.; Köytepe, S.; Gürbüz, N. Preparation and Catalytic Properties of a Ru(II) Coordinated Polylimide Supported by a Ligand Containing Terpyridine Units. J. Inorg. Organomet. Polym. Mater. 2009, 19, 143–151. [Google Scholar] [CrossRef]
- Limburg, J.; Crabtree, R.H.; Brudig, G.W. Kinetic analysis of the O2-forming reaction between [Mn(III)(dpa)2]− (dpa = dipicolinate) and potassium peroxomonosulfate. Inorg. Chim. Acta 2000, 297, 301–306. [Google Scholar] [CrossRef]
- Saccone, D.; Magistris, C.; Barbero, N.; Quagliotto, P.; Barolo, C.; Viscardi, G. Terpyridine and Quaterpyridine Complexes as Sensitizers for Photovoltaic Applications. Materials 2016, 9, 137. [Google Scholar] [CrossRef] [PubMed]
- Cheng, K.-W.; Mak, C.S.-C.; Chan, W.-K.; Ng, A.M.-C.; Djurišic, A.B. Synthesis of Conjugated Polymers with Pendant Ruthenium Terpyridine Thiocyanato Complexes and Their Application in Heterojunction Photovoltaic Cells. J. Polym. Sci. A Polym Chem. 2008, 46, 1305–1315. [Google Scholar] [CrossRef]
- Duprez, V.; Biancardo, M.; Krebs, F.C. Characterisation and Application of new carboxylic acid-functionalised ruthenium complxes as dye-sensitisers for solar cells. Sol. Energy Mater. Sol. Cells 2007, 91, 230–237. [Google Scholar] [CrossRef]
- Ghosh, S.; Chaitanya, G.K.; Bhanuprakash, K.; Nazeeruddin, M.N.; Grätzel, M.; Reddy, P.Y. Electronic Structures and Absorption Spectra of Linkage Isomers of Trithiocyanato (4,4′,4”-tricarboxy-2,2′:6′,2”-terpyridine) Ruthenium(II) Complexes: A DFT Study. Inorg. Chem. 2006, 45, 7600–7611. [Google Scholar] [CrossRef]
- Zubavichus, Y.V.; Slovokhotov, Y.L.; Nazeeruddin, M.K.; Zakeeruddin, S.M.; Grätzel, M.; Shklover, V. Structural Characterization of Solar Cell Prototypes Based on Nanocrystalline TiO2 Anatase Sensitized with Ru Complexes. X-ray Diffraction, XPS, and XAFS Spectroscopic Study. Chem. Mater. 2002, 14, 3556–3563. [Google Scholar] [CrossRef]
- Nazeeruddin, M.K.; Péchy, P.; Grätzel, M. Efficient panchromatic sensitization of nanocrystalline TiO2 films by a black dye based on a trithiocyanato-ruthenium complex. Chem. Commun. 1997, 1705–1706. [Google Scholar] [CrossRef]
- Choroba, K.; Kotowicz, S.; Maron, A.; Switlicka, A.; Szlapa-Kula, A.; Siwy, M.; Grzelak, J.; Sulowska, K.; Mackowski, S.; Schab-Balcerzak, E.; et al. Ground-and excited-state properties of Re(I) carbonyl complexes—Effect of triimine ligand core and appended heteroatomic groups. Dyes Pigments 2021, 192, 109472. [Google Scholar] [CrossRef]
- Klemens, T.; Switlicka, A.; Machura, B.; Kula, S.; Krompiec, S.; Laba, K.; Korcec, M.; Siwy, M.; Janeczek, H.; Schab-Balcernak, E.; et al. A family of solution processable ligands and their Re(I) complexes towards light emitting applications. Dyes Pigments 2019, 163, 86–101. [Google Scholar] [CrossRef]
- Klemens, T.; Switlicka, A.; Machura, B.; Grucela, M.; Janeczek, H.; Schab-Balcernak, E.; Szlpa, A.; Kula, S.; Krompiec, S.; Smolarek, K.; et al. Synthesis, photophysical properties and application in organic light emitting devices of rhenium(I) carbonyls incorporating functionalized 2,2′:6′,2”-terpyridines. RSC Adv. 2016, 6, 56335–56352. [Google Scholar] [CrossRef]
- Wild, A.; Winter, A.; Schlüter, F.; Schubert, U.S. Advances in the field of π-conjugated 2,2′:6′:2”-terpyridines. Chem. Soc. Rev. 2011, 40, 1459–1511. [Google Scholar] [CrossRef]
- Bolink, H.J.; Cappeli, L.; Coronado, E.; Gaviña, P. Observation of Electroluminescence at Room Temperature from a Ruthenium(II) Bis-Terpyridine and its Use for Preparing Light-Emitting Electrochemical Cells. Inorg. Chem. 2005, 44, 5966–5968. [Google Scholar] [CrossRef]
- Holder, E.; Marin, V.; Tekin, E.; Kozodaev, D.; Meier, M.A.R.; Schubert, E.S. A novel light-emitting mixed-ligand iridium(III) complex with a polymeric Terpyridine-PEG macroligand; Synthesis and characterization. Mat. Res. Soc. Symp. Proc. 2005, 846, 295–300. [Google Scholar] [CrossRef]
- Fernandes, S.S.M.; Belsley, M.; Ciarrocchi, C.; Licchelli, M.; Raposo, M.M.M. Terpyridine derivatives functionalized with (hetero)atomic groups and the corresponding Ru complexes: Synthesis and characterization as SHG chromophores. Dyes Pigments 2018, 150, 49–58. [Google Scholar] [CrossRef]
- Colombo, A.; Locatelli, D.; Roberto, D.; Tessore, F.; Ugo, R.; Cavazzini, M.; Quici, S.; De Angelis, F.; Fantacci, S.; Ledoux-Rak, I.; et al. New [(D-terpyridine)-Ru-(D or A-terpyridine)][4-EtPhCO2]2 complexes (D = electron donor group; A = electron acceptor group) as active second-order non-linear optical chromophores. Dalton Trans. 2012, 41, 6707–6714. [Google Scholar] [CrossRef] [PubMed]
- Scarpaci, A.; Monnereau, C.; Hergué, N.; Blart, E.; Legoupy, S.; Odobel, F.; Gorfo, A.; Pérez-Moreno, J.; Clays, K.; Asselberghs, I. Preparation and characterization of second order non-linear optical properties of new “push-pull” platinum complexes. Dalton Trans. 2009, 4538–4556. [Google Scholar] [CrossRef] [PubMed]
- De Angelis, F.; Fantacci, S.; Sgamelotti, A.; Cariatti, F.; Roberto, D.; Tessore, F.; Ugo, R. A time-dependent density functional theory investigation on the nature of the electronic transitions involved in the nonlinear optical response of [Ru)(CF3CO2)3T] (T = 4′-(C6H4-p-NBu2)-2,2′:6′,2”-terpyridine). Dalton Trans. 2006, 852–859. [Google Scholar] [CrossRef]
- Cariati, E.; Pizzotti, M.; Roberto, D.; Tessore, F.; Ugo, R. Coordination and organometallic compounds and inorganic-organic hybrid crystalline materials for second-order non-linear optics. Coord. Chem. Rev. 2006, 250, 1210–1233. [Google Scholar] [CrossRef]
- Kanetomo, T.; Ni, Z.; Enomoto, M. Hydrogen-bonded cobalt(II)-organic framework: Normal and reverse spin-crossover behaviours. Dalton Trans. 2022, 51, 5034–5040. [Google Scholar] [CrossRef]
- Nakaya, M.; Kosaka, W.; Miyasaka, H.; Kumatsumaru, Y.; Kawaguchi, S.; Sugimoto, K.; Zhang, Y.; Nakamura, M.; Lindoy, L.F.; Hayami, S. CO2-Induced Spin-State Switching at Room Temperature in a Monomeric Cobalt(II) Complex with a Porous Nature. Angew. Chem. Int. Ed. 2020, 59, 10658–10665. [Google Scholar] [CrossRef]
- Kobyashi, F.; Komatsumaru, Y.; Akiyoshi, R.; Nakamura, M.; Zhang, Y.; Lindoy, L.F.; Hayami, S. Water Molecule-Induced Reversible Magnetic Switching in a bis-Terpyridine Cobalt(II) Complex Exhibiting Coexistence of Spin Crossover and Orbital Transition Behaviors. Inorg. Chem. 2020, 59, 16843–16852. [Google Scholar] [CrossRef]
- Raj, V.N.; Bhar, K.; Kahn, T.A.; Jain, S.; Perdih, F.; Mitra, P.; Sharma, A.K. Temperature induced spin crossover behavior in mononuclear cobalt(II) bis terpyridine complexes. MRS Adv. 2019, 4, 1597–1610. [Google Scholar] [CrossRef]
- Shao, D.; Shi, L.; Yin, L.; Wang, B.-L.; Wang, Z.-X.; Zhang, Y.-Q.; Wang, X.-Y. Reversible on-off switching of both spin crossover and single-molecule magnet behaviours via a crystal-to-crystal transformation. Chem. Sci. 2018, 9, 7986–7991. [Google Scholar] [CrossRef]
- Ondo, A.; Ishida, T. Cobalt(II) Terpyridin-4′-yl Nitroxide Complex as an Exchange-Coupled Spin Crossover Material. Crystals 2018, 8, 155. [Google Scholar] [CrossRef]
- Aroua, S.; Todorova, T.K.; Hommes, P.; Chamoreau, L.-M.; Ressig, H.-U.; Mougel, V.; Fontecave, M. Synthesis, Characterization and DFT Analysis of Bis-Terpyridyl-Based Molecular Cobalt Complexes. Inorg. Chem. 2017, 56, 5930–5940. [Google Scholar] [CrossRef] [PubMed]
- Hayami, S.; Nakaya, M.; Ohmagari, H.; Alao, A.S.; Nakamura, M.; Ohtani, R.; Yamaguchi, R.; Kuroda-Sowa, T.; Clegg, J.K. Spin-crossover behaviors in solvated cobalt(II) compounds. Dalton Trans. 2015, 44, 9345–9348. [Google Scholar] [CrossRef]
- Hayami, S.; Karim, M.R.; Lee, Y.H. Magnetic Behavior and Liquid Crystal Properties in Spin-Crossover Cobalt(II) Compounds with Long Alkyl Chains. Eur. J. Inorg. Chem. 2013, 2013, 683–696. [Google Scholar] [CrossRef]
- Komatsu, Y.; Kato, K.; Yamamoto, Y.; Kamihata, H.; Lee, Y.H.; Fuyuhiro, A.; Kawata, S.; Hayami, S. Spin-Crossover behaviors Based on Intermolecular Interactions for Cobalt(II) Complexes with Long Alkyl Chains. Eur. J. Inorg. Chem. 2012, 2012, 2769–2775. [Google Scholar] [CrossRef]
- Hayami, S.; Komatsu, Y.; Shimizu, T.; Kamihata, H.; Lee, Y.H. Spin-crossover in cobalt(II) compounds containing terpyridine and its derivatives. Coord. Chem. Rev. 2011, 255, 1981–1990. [Google Scholar] [CrossRef]
- Malarz, K.; Zych, D.; Gawecki, R.; Kuczak, M.; Musiol, R.; Mrozek-Wilczkiewicz, A. New derivatives of 4′-phenyl-2,2′:6′,2”- terpyridine as promising anticancer agents. Eur. J. Med. Chem. 2021, 212, 113032. [Google Scholar] [CrossRef]
- Busto, N.; Carrión, M.C.; Montanaro, S.; Díaz de Greñu, B.; Biver, T.; Jalón, F.A.; Manzano, B.R.; García, B. Targeting G-quadruplet structures with Zn(II) terpyridine derivatives: A SAR study. Dalton Trans. 2020, 49, 13372–13385. [Google Scholar] [CrossRef] [PubMed]
- Prokop, A.; Czaplewska, J.A.; Clausen, M.; König, M.; Wild, A.; Thorwirth, R.; Schulze, B.; Babiuch, K.; Pretzel, D.; Schubert, E.S.; et al. Iridium(III) complexes of terpyridine and terpyridine-analogous ligands bearing sugar residues and their in vitro activity. Eur. J. Inorg. Chem. 2016, 2016, 3480–3488. [Google Scholar] [CrossRef]
- Winter, A.; Cottschaldt, M.; Newkome, G.R.; Schubert, U.S. Terpyridines and their complexes with first row transition metal ions: Cytotoxicity, nuclease activity and sel-assembly of biomolecules. Curr. Top. Med. Chem. 2012, 12, 158–175. [Google Scholar] [CrossRef] [PubMed]
- Peterson, J.R.; Smith, T.A.; Thordarson, P. Synthesis and room temperature-photoinduced electron transfer in biologically active bis(terpyridine)ruthenium(II)-cytochrome c bioconjugates and the effect of solvents on the bioconjugation of cytochrome c. Org. Biomol. Chem. 2010, 8, 151–162. [Google Scholar] [CrossRef]
- Gao, Y.; Wu, J.; Li, Y.; Sun, P.; Zhou, H.; Yang, J.; Zhang, S.; Jin, B.; Tian, Y. A Sulfur-Terminal Zn(II) Complex and Its Two-Proton Microscopy Biological Imaging Application. J. Am. Chem. Soc. 2009, 131, 5208–5213. [Google Scholar] [CrossRef]
- Eryazici, I.; Moorefield, C.N.; Newkome, G.R. Square-Planar Pd(II), Pt(II), and Au(III) Terpyridine Complexes: Their syntheses, Physical Properties, Supramolecular Constructs, and Biomedical Activities. Chem. Rev. 2008, 108, 1834–1895. [Google Scholar] [CrossRef] [PubMed]
- Anthonysamy, A.; Balasubramanian, S.; Shanmugaiah, V.; Mathivanan, N. Synthesis, characterisation and electrochemistry of 4′-functionalized 2,2′:6′:2”-terpyridine ruthenium(II) complexes and their biological activity. Dalton Trans. 2008, 2136–2143. [Google Scholar] [CrossRef] [PubMed]
- Thompson, A.M.W. The synthesis of 2,2′:6′,2”-terpyridine ligands- versatile building blocks for supramolecular chemistry. Coord. Chem. Rev. 1997, 160, 1–52. [Google Scholar] [CrossRef]
- Veliks, J.; Tseng, J.-C.; Arias, K.I.; Weisshar, F.; Linden, A.; Siegel, J.S. Linear bilateral extended 2,2′:6′,2”-terpyridine ligands, their coordination complexes and heterometallic supramolecular networks. Chem. Sci. 2014, 5, 4317–4327. [Google Scholar] [CrossRef]
- Zhang, N.; Yang, J.; Hu, R.-X.; Zhang, M.-B. Syntheses and Structures of Terpyridine-Metal Complexes. Z. Anorg. Allg. Chem. 2013, 639, 197–202. [Google Scholar] [CrossRef]
- Yang, J.; Hu, R.-X.; Zhang, M.-B. Construction of monomers and chains assembled by 3d/4f metals and 4′-(4-carboxyphenyl)-2,2′-:6′,2″-terpyridine. J. Solid State Chem. 2012, 196, 398–403. [Google Scholar] [CrossRef]
- Hayami, S.; Hashiguchi, K.; Juhász, G.; Ohba, M.; Okawa, H.; Maeda, Y.; Kato, K.; Osaka, K.; Takata, M.; Inoue, K. 1-D Cobalt(II) Spin Transition Compound with Strong Interchain Interaction: [Co(pyterpy)Cl2]. Inorg. Chem. 2004, 43, 4124–4126. [Google Scholar] [CrossRef]
- Andres, R.R.; Schubert, U.S. New Functional Polymers and Materials Based on 2,2′:6′,2”-Terpyridine Metal Complexes. Adv. Mater. 2004, 16, 1043–1068. [Google Scholar] [CrossRef]
- Jonaiti, A.; Jullien, V.; Hosseini, M.W.; Planeix, J.-M.; De Cian, A. Controlling the formation of discrete complexes or a 1-D directional coordination network by the binding ability of anions. Chem. Commun. 2001, 1114–1115. [Google Scholar]
- Nakamoto, K. Infrared and Raman Spectra of Inorganic and Coordination Compounds, 4th ed.; Wiley: New York, NY, USA, 1986; pp. 227–244. [Google Scholar]
- Rosenthal, M.R. The myth of the non-coordinating anion. J. Chem. Educ. 1973, 50, 331–335. [Google Scholar] [CrossRef]
- Chilton, N.F.; Anderson, R.P.; Turner, L.D.; Soncini, A.; Murray, K.S.J. PHI: A powerful new program for the analysis of anisotropic monomeric and exchange-coupled polynuclear d- and f-block complexes. Comput. Chem. 2013, 34, 1164–1175. [Google Scholar] [CrossRef]
- Sarkar, A.; Dey, S.; Rajaraman, G. Role of Coordination Number and Geometry in Controlling the Magnetic Anisotropyin FeII, CoII, and NiII Single-Ion Magnets. Chem. Eur. J. 2020, 26, 14036–14058. [Google Scholar] [CrossRef]
- Titiš, J.; Cherenková, V.; Rajnák, C.; Moncol, J.; Valigura, D.; Boča, R. Exceptionally slow magnetic relaxation in a mononuclear hexacoordinate Ni(II) complex. Dalton Trans. 2019, 48, 11647–11650. [Google Scholar] [CrossRef]
- Lomjanský, D.; Moncol, J.; Rajnák, C.; Titiš, J.; Boča, R. Field effects to slow magnetic relaxation in a mononuclear Ni(II) complex. Chem. Commun. 2017, 53, 6930–6932. [Google Scholar] [CrossRef] [PubMed]
- Miklovič, J.; Valigura, D.; Boča, R.; Titiš, J. A mononuclear Ni(II) complex: A field-induced single-molecule magnet showing two slow relaxation processes. Dalton Trans. 2015, 44, 12484–12487. [Google Scholar] [CrossRef]
- Boča, R. Zero-field splitting in metal complexes. Coord. Chem. Rev. 2004, 248, 757–815. [Google Scholar] [CrossRef]
- Titiš, J.; Boča, R. Magnetostructural D Correlation in Nickel(II) Complexes: Reinvestigation of the Zero-Field Splitting. Inorg. Chem. 2010, 49, 3971–3973. [Google Scholar] [CrossRef] [PubMed]
- Cole, K.S.; Cole, R.H. Dispersion and Absorption in Dielectrics I. Alternating Current Characteristics. J. Chem. Phys. 1941, 9, 341–351. [Google Scholar] [CrossRef]
- Jonaiti, J.; Hosseini, M.W. Design and Synthesis of New Differentiated Concurrent Mono- and Tridentate Ligands (Tectons) Based on Pyridine, Terpyridine, and Dihydrooxazole Units. Helvetica Chim. Acta 2009, 92, 2497–2505. [Google Scholar]
- Bruker. SAINT (Version 7.68A); Bruker AXS Inc.: Madison, WI, USA, 2009. [Google Scholar]
- Bruker. SADABS (Version 2004/4); Bruker AXS Inc.: Madison, WI, USA, 2004. [Google Scholar]
- Sheldrick, G.M. A short story of SHELX. Acta Cryst. 2008, A64, 112–122. [Google Scholar] [CrossRef]
- Sheldrick, G.M. Crystal structure refinement with SHELXL. Acta Cryst. 2015, C71, 3–8. [Google Scholar]
- Müller, P. Crystal Structure Refinement; Chapter 2; Oxford Academic: Oxford, UK, 2006; p. 7. [Google Scholar]
- CrystalMaker Software. CrystalMaker; CrystalMaker Software: Bicester, UK, 2015. [Google Scholar]
- Angeli, C.; Cimiraglia, R.; Malrieu, J.P. N-electron valence state perturbation theory: A fast implementation of the strongly contracted variant. Chem. Phys. Lett. 2001, 350, 297–305. [Google Scholar] [CrossRef]
- Angeli, C.; Cimiraglia, R.; Malrieu, J.P.J. N-electron valence state perturbation theory: A spinless formulation and an efficient implementation of the strongly contracted and of the partially contracted variants. Chem. Phys. 2002, 117, 9138–9153. [Google Scholar] [CrossRef]
- Angeli, C.; Cimiraglia, R.; Evangelisti, S.; Lennger, T.; Malrieu, J.P. Introduction of n-electron valence states for multireference perturbation theory. J. Chem. Phys. 2001, 114, 10252–10264. [Google Scholar] [CrossRef]
- Neese, F. The ORCA program system. Wires Comput. Mol. Sci. 2012, 2, 73–78. [Google Scholar] [CrossRef]
- Schäfer, A.; Huber, C.; Ahlrichs, R. Fully optimized contracted Gaussian basis sets of triple zeta valence quality for atoms Li to Kr. J. Chem. Phys. 1994, 100, 5829–5835. [Google Scholar] [CrossRef]
- Weigend, F.; Ahlrichs, R. Balanced basis sets of split valence, triple zeta valence and quadruple zeta valence quality for H to Rn: Design and assessment of accuracy. Phys. Chem. Chem. Phys. 2005, 7, 3297–3305. [Google Scholar] [CrossRef]
- Weigend, F. Accurate Coulomb-fitting basis sets for H to Rn. Phys. Chem. Chem. Phys. 2006, 8, 1057–1065. [Google Scholar] [CrossRef] [PubMed]
- Eichkorn, K.; Treutler, O.; Ohm, H.; Haser, M.; Ahlrichs, R. Auxiliary basis sets to approximate Coulomb potentials. Chem. Phys. Lett. 1995, 242, 652–660. [Google Scholar] [CrossRef]
- Eichkorn, K.; Weigend, F.; Treutler, O.; Ohm, H.; Ahlrichs, R. Auxiliary basis sets for main row atoms and transition metals and their use to approximate Coulomb potentials. Theor. Chem. Acc. 1997, 97, 119–124. [Google Scholar] [CrossRef]
- Neese, F.; Wennmohs, F.; Hansen, A.; Becker, U. Efficient, approximate and parallel Hartree–Fock and hybrid DFT calculations. A ‘chain-of-spheres’ algorithm for the Hartree–Fock exchange. Chem. Phys. 2009, 356, 98–109. [Google Scholar] [CrossRef]
- Izsák, R.; Neese, F. An overlap fitted chain of spheres exchange method. J. Chem. Phys. 2011, 135, 144105. [Google Scholar] [CrossRef]
- Izsák, R.; Hansen, A.; Neese, F. The resolution of identity and chain of spheres approximations for the LPNO-CCSD singles Fock term. Mol. Phys. 2012, 110, 2413–2417. [Google Scholar] [CrossRef]





| 1 | 2 | |
|---|---|---|
| Formula | C32H30Cl2N6NiO16 | C45H32Cl2N8NiO9 |
| Fw | 884.23 | 958.39 |
| Crystal | Monoclinic | Triclinic |
| Space | P21/c | P-1 |
| a/Ǻ | 9.422(2) | 8.9014(4) |
| b/Ǻ | 11.852(3) | 13.8843(7) |
| c/Ǻ α/° | 34.719(8) 90 | 18.1919(9) 91.026(2) |
| β/° γ/° | 91.926(13) 90 | 94.525(2) 108.521(2) |
| V/Ǻ3 | 3874.7(17) | 2123.04(18) |
| Z | 4 | 2 |
| Dc/g cm−3 | 1.516 | 1.499 |
| T/K | 296(2) | 150 |
| μ/mm−1 | 0.651 | 0.651 |
| F(000) | 1816 | 984 |
| ϴ range for data collection (°) | 2.426–24.997 | 2.248–27.000 |
| Index ranges | −11 ≤ h ≤ 11 −14 ≤ k ≤ 14 −41 ≤ l ≤ 41 | −11 ≤ h ≤ 11 −17 ≤ k ≤ 17 −23 ≤ l ≤ 23 |
| Refl. collected | 58,849 | 96,423 |
| Refinement method | Full-matrix least-squares on F2 | Full-matrix least-squares on F2 |
| Refl. independent | 6791 [R(int) = 0.0979] | 9260 [R(int) = 0.0337] |
| Data/restraints/param. | 6791/7/517 | 9260/9/631 |
| Goodness-of-fit on F2 | 1.054 | 1.012 |
| Final R indices 1,2 [I > 2σ(I)] | R1 = 0.0966 wR2 = 0.2543 | R1 = 0.0359 wR2 = 0.0988 |
| R indices (all data) | R1 = 0.1428 wR2 = 0.2818 | R1 = 0.0379 wR2 = 0.1009 |
| ∆ρmax,min/e Å−3) | 0.835/−0.407 | 0.626/−0.692 |
| Ni(1)-N(1) | 2.111(6) | Ni(1)-N(4) | 2.112(7) |
| Ni(1)-N(2) | 2.008(6) | Ni(1)-N(5) | 2.003(6) |
| Ni(1)-N(3) | 2.107(7) | Ni(1)-N(6) | 2.116(7) |
| N(5)-Ni(1)-N(2) | 178.7(3) | N(2)-Ni(1)-N(4) | 103.3(3) |
| N(5)-Ni(1)-N(3) | 101.6(3) | N(3)-Ni(1)-N(4) | 95.5(3) |
| N(2)-Ni(1)-N(3) | 77.6(3) | N(1)-Ni(1)-N(4) | 89.6(3) |
| N(5)-Ni(1)-N(1) | 102.8(3) | N(5)-Ni(1)-N(6) | 78.2(3) |
| N(2)-Ni(1)-N(1) | 78.1(3) | N(2)-Ni(1)-N(6) | 100.8(3) |
| N(3)-Ni(1)-N(1) | 155.6(3) | N(3)-Ni(1)-N(6) | 89.8(3) |
| N(5)-Ni(1)-N(4) | 77.7(3) | N(1)-Ni(1)-N(6) | 95.2(3) |
| N(4)-Ni(1)-N(6) | 155.9(2) |
| Ni(1)-N(1) | 2.1294(14) | Ni(1)-N(5) | 2.1268(14) |
| Ni(1)-N(2) | 2.0002(14) | Ni(1)-N(6) | 1.9988(14) |
| Ni(2)-N(3) | 2.1182(14) | Ni(2)-N(7) | 2.1202(14) |
| N(6)-Ni(1)-N(2) | 179.16(6) | N(3)-Ni(1)-N(5) | 92.15(5) |
| N(6)-Ni(1)-N(3) | 102.70(5) | N(7)-Ni(1)-N(5) | 155.58(5) |
| N(2)-Ni(1)-N(3) | 77.74(5) | N(6)-Ni(1)-N(1) | 101.51(5) |
| N(6)-Ni(1)-N(7) | 77.95(5) | N(2)-Ni(1)-N(1) | 78.04(5) |
| N(2)-Ni(1)-N(7) | 101.32(5) | N(3)-Ni(1)-N(1) | 155.78(6) |
| N(3)-Ni(1)-N(7) | 94.18(5) | N(7)-Ni(1)-N(1) | 90.30(5) |
| N(6)-Ni(1)-N(5) | 77.66(5) | N(5)-Ni(1)-N(1) | 93.53(5) |
| N(2)-Ni(1)-N(5) | 103.06(5) |
Disclaimer/Publisher’s Note: The statements, opinions and data contained in all publications are solely those of the individual author(s) and contributor(s) and not of MDPI and/or the editor(s). MDPI and/or the editor(s) disclaim responsibility for any injury to people or property resulting from any ideas, methods, instructions or products referred to in the content. |
© 2023 by the authors. Licensee MDPI, Basel, Switzerland. This article is an open access article distributed under the terms and conditions of the Creative Commons Attribution (CC BY) license (https://creativecommons.org/licenses/by/4.0/).
Share and Cite
Fortea-Pérez, F.R.; Vallejo, J.; Mastropietro, T.F.; De Munno, G.; Rabelo, R.; Cano, J.; Julve, M. Field-Induced Single-Ion Magnet Behavior in Nickel(II) Complexes with Functionalized 2,2′:6′-2″-Terpyridine Derivatives: Preparation and Magneto-Structural Study. Molecules 2023, 28, 4423. https://doi.org/10.3390/molecules28114423
Fortea-Pérez FR, Vallejo J, Mastropietro TF, De Munno G, Rabelo R, Cano J, Julve M. Field-Induced Single-Ion Magnet Behavior in Nickel(II) Complexes with Functionalized 2,2′:6′-2″-Terpyridine Derivatives: Preparation and Magneto-Structural Study. Molecules. 2023; 28(11):4423. https://doi.org/10.3390/molecules28114423
Chicago/Turabian StyleFortea-Pérez, Francisco Ramón, Julia Vallejo, Teresa F. Mastropietro, Giovanni De Munno, Renato Rabelo, Joan Cano, and Miguel Julve. 2023. "Field-Induced Single-Ion Magnet Behavior in Nickel(II) Complexes with Functionalized 2,2′:6′-2″-Terpyridine Derivatives: Preparation and Magneto-Structural Study" Molecules 28, no. 11: 4423. https://doi.org/10.3390/molecules28114423
APA StyleFortea-Pérez, F. R., Vallejo, J., Mastropietro, T. F., De Munno, G., Rabelo, R., Cano, J., & Julve, M. (2023). Field-Induced Single-Ion Magnet Behavior in Nickel(II) Complexes with Functionalized 2,2′:6′-2″-Terpyridine Derivatives: Preparation and Magneto-Structural Study. Molecules, 28(11), 4423. https://doi.org/10.3390/molecules28114423

