Analogy of the Reactions of Aromatic and Aliphatic π-Electrophiles with Nucleophiles
Abstract
1. Introduction
2. Addition of Nucleophiles to π-Electrophiles Containing Leaving Groups at Electrophilic Center
2.1. Addition of Nucleophiles without Leaving Groups
2.2. Addition of Nucleophiles Containing Leaving Groups
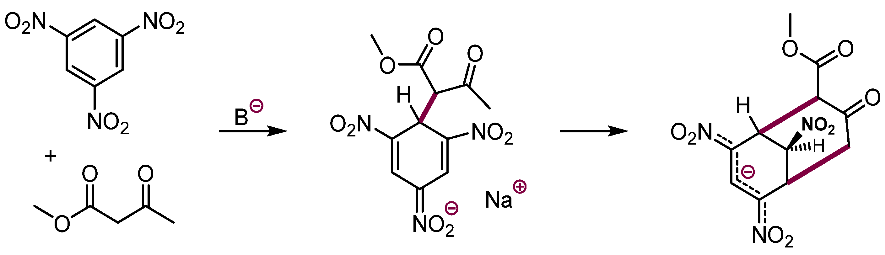
3. Addition of Nucleophiles to π-Electrophiles without Leaving Groups at the Electrophilic Center
3.1. Addition of Nucleophiles without Leaving Groups
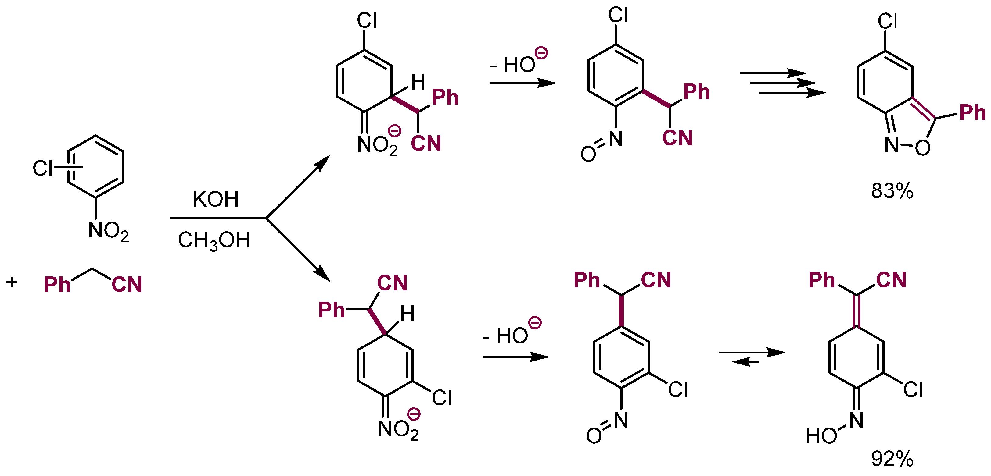
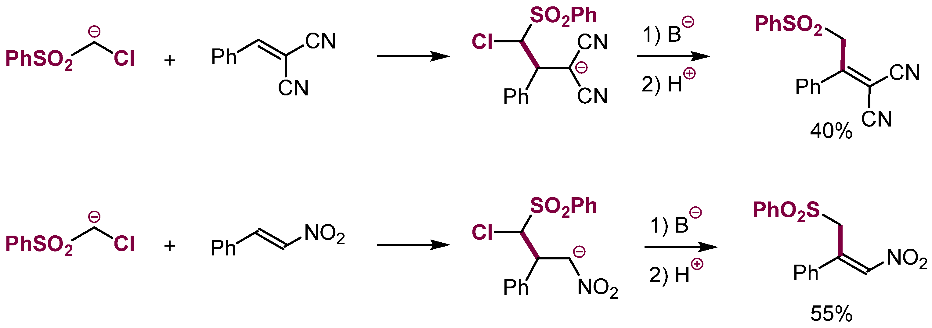
3.2. Addition of Nucleophiles Containing Leaving Groups
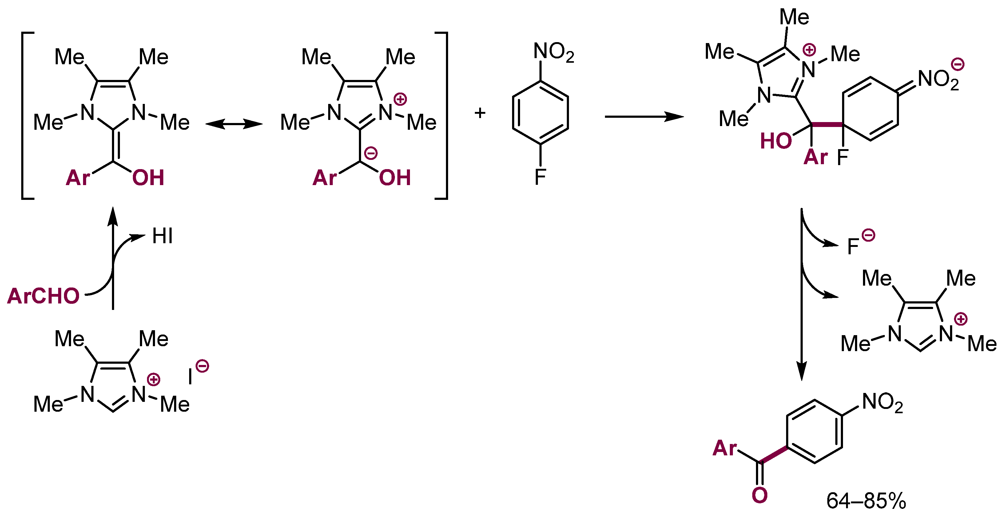
4. Reactions of Specific Nucleophiles
5. General Comments
6. Kinetic vs. Thermodynamic Control
7. Conclusions
Author Contributions
Funding
Institutional Review Board Statement
Data Availability Statement
Conflicts of Interest
Sample Availability
References
- Loska, R.; Mąkosza, M. Introduction of Carbon Substituents into Nitroarenes via Nucleophilic Substitution of Hydrogen: New Developments. Synthesis 2020, 52, 3095–3110. [Google Scholar] [CrossRef]
- Mąkosza, M. Reaction of Nucleophiles with Nitroarenes—Multifacial and Versatile Electrophile. Chem. Eur. J. 2014, 20, 5536–5545. [Google Scholar] [CrossRef] [PubMed]
- Mąkosza, M. Nucleophilic Substitution of Hydrogen in Electron-Deficient Arenes, a General Process of Great Practical Value. Chem. Soc. Rev. 2010, 39, 2855–2868. [Google Scholar] [CrossRef]
- Terrier, F. Modern Nucleophilic Aromatic Substitution; Wiley-VCH: Weinheim, Germany, 2013. [Google Scholar]
- Rohrbach, S.; Smith, A.J.; Pang, J.H.; Poole, D.L.; Tuttle, T.; Chiba, S.; Murphy, J.A. Concerted Nucleophilic Aromatic Substitution Reactions. Angew. Chem. Int. Ed. 2019, 58, 16368–16388. [Google Scholar] [CrossRef] [PubMed]
- Kwan, E.E.; Zeng, Y.; Besser, H.A.; Jacobsen, E.N. Concerted nucleophilic aromatic substitutions. Nature Chem. 2018, 10, 917–923. [Google Scholar] [CrossRef]
- Fier, P.S.; Hartwig, J.F. Synthesis and Late-Stage Functionalization of Complex Molecules through C–H Fluorination and Nucleophilic Aromatic Substitution. J. Am. Chem. Soc. 2014, 136, 10139–10147. [Google Scholar] [CrossRef]
- Mąkosza, M. How does Nucleophilic Aromatic Substitution Really Proceed: General Mechanism. Synthesis 2017, 49, 3247–3254. [Google Scholar] [CrossRef]
- Rappoport, Z. Nucleophilic vinylic substitution. A single- or a multi-step process? Acc. Chem. Res. 1981, 14, 7–15. [Google Scholar] [CrossRef]
- Rappoport, Z. The rapid steps in nucleophilic vinylic addition-elimination substitution. Recent developments. Acc. Chem. Res. 1992, 25, 474–479. [Google Scholar] [CrossRef]
- Gao, M.; Xu, B. Copper Nitrate Mediated Regio- and Stereoselective Difunctionalization of Alkynes: A Direct Approach to α-Chloro-β-nitroolefins. Org. Lett. 2016, 18, 4746–4749. [Google Scholar] [CrossRef]
- Johnson, J.E.; Dolliver, D.D.; Yu, L.; Canseco, D.C.; McAllister, M.A.; Rowe, J.E. Mechanism of Methoxide Ion Substitution in the Z and E Isomers of O-Methylbenzohydroximoyl Halides. J. Org. Chem. 2004, 69, 2741–2749. [Google Scholar] [CrossRef] [PubMed]
- Dolliver, D.D.; Delatte, D.B.; Linder, D.B.; Johnson, J.E.; Canesco, D.C.; Rowe, J.E. Nucleophilic substitution reactions of N-alkoxyimidoyl fluorides by carbon nucleophiles. Can. J. Chem. 2007, 85, 913–922. [Google Scholar] [CrossRef]
- Petko, K.I.; Filatov, A.A. Addition reaction of various azoles to perfluoromethyl vinyl ether. Chem. Het. Comp. 2021, 57, 666–671. [Google Scholar] [CrossRef]
- Ishida, N.; Adachi, T.; Iwamoto, H.; Ohashi, M.; Ogoshi, S. Copper(I)-mediated C–N/C–C Bond-forming Reaction with Tetrafluoroethylene for the Synthesis of N-Fluoroalkyl Heteroarenes via an Azacupration/Coupling Mechanism. Chem. Lett. 2021, 50, 442–444. [Google Scholar] [CrossRef]
- Cox, D.G.; Sprague, L.G.; Burton, D.J. The facile preparation of HF free polyfluorinated acyl fluorides. J. Fluorine Chem. 1983, 23, 383–388. [Google Scholar] [CrossRef]
- Yang, E.; Reese, M.R.; Humphrey, J.M. Synthesis of α,α-Difluoroethyl Aryl and Heteroaryl Ethers. Org. Lett. 2012, 14, 3944–3947. [Google Scholar] [CrossRef] [PubMed]
- Fuss, A.; Koch, V. Chemistry of 3-Hydroxypyridine Part 3: Synthesis of Substituted 3-[Fluoro(chloro)alkoxy]pyridines from Halo- or Amino-3-hydroxypyridines. Synthesis 1990, 1990, 604–608. [Google Scholar] [CrossRef]
- Krespan, C.G. Derivatives of functionalized fluoro esters and fluoro ketones. New fluoromonomer syntheses. J. Org. Chem. 1986, 51, 326–332. [Google Scholar] [CrossRef]
- Saito, A.; Okada, M.; Nakamura, Y.; Kitagawa, O.; Horikawa, H.; Taguchia, T. Carbocyclization reactions of terminally difluorinated alkenyl active methine compounds mediated by SnCl4 and amine. J. Fluorine Chem. 2003, 123, 75–80. [Google Scholar] [CrossRef]
- Loska, R.; Mąkosza, M. Synthesis of Perfluoroalkyl-Substituted Azines via Nucleophilic Substitution of Hydrogen with Perfluoroisopropyl Carbanions. J. Org. Chem. 2007, 72, 1354–1365. [Google Scholar] [CrossRef]
- Xu, B.; Hammond, G.B. Difluoroallenyl Bromide as a Wide-Ranging Difluoromethylene Cation Equivalent: SN2 Substitution of Difluoropropargyl Bromide through Sequential SE2′ and SN2′ Reactions. Angew. Chem. Int. Ed. 2005, 44, 7404–7407. [Google Scholar] [CrossRef] [PubMed]
- Mąkosza, M.; Winiarski, J. Vicarious nucleophilic substitution of hydrogen. Acc. Chem. Res. 1987, 20, 282–289. [Google Scholar] [CrossRef]
- Mąkosza, M.; Lemek, T.; Kwast, A.; Terrier, F. Elucidation of the Vicarious Nucleophilic Substitution of Hydrogen Mechanisms via Studies of Competition between Substitution of Hydrogen, Deuterium, and Fluorine. J. Org. Chem. 2002, 67, 394–400. [Google Scholar] [CrossRef] [PubMed]
- Glinka, T.; Mąkosza, M. On the Mechanism of the Vicarious Nucleophilic Substitution of Hydrogen. J. Org. Chem. 1983, 48, 3860–3861. [Google Scholar]
- Mąkosza, M.; Sienkiewicz, K. Hydroxylation of Nitroarenes with Alkylhydroperoxide Anions via Vicarious Nucleophilic Substitution of Hydrogen. J. Org. Chem. 1998, 63, 4199–4208. [Google Scholar] [CrossRef]
- Ni, C.; Zhang, L.; Hu, J. Synthesis of Fluorinated β-Ketosulfones and gem-Disulfones by Nucleophilic Fluoroalkylation of Esters and Sulfinates with Di- and Monofluoromethyl Sulfones. J. Org. Chem. 2009, 74, 3767–3771. [Google Scholar] [CrossRef]
- Milas, N.A.; Surgenor, D.M. Studies in Organic Peroxides. IX. t-Butyl Peresters. J. Am. Chem. Soc. 1946, 68, 642–643. [Google Scholar] [CrossRef]
- Cox, J.P.L.; Crampton, M.R.; Wight, P. Comparison of the intrinsic reactivities of carbon and oxygen nucleophiles at the 1,3,5-trinitro-substituted aromatic ring. J. Chem. Soc. Perkin Trans. II 1988, 2, 25–29. [Google Scholar] [CrossRef]
- Strauss, M.J.; Jensen, T.C.; Schran, H.; O’Conner, K. Condensation-cyclization of diketones and keto esters with electron-deficient aromatics. I. Formation and structure of some stable delocalized anions containing the bicyclo[3.3.1]nonane skeleton. J. Org. Chem. 1970, 35, 383–388. [Google Scholar] [CrossRef]
- Rad, N.I.; Teslenko, Y.O.; Obushak, M.D.; Matiychuk, V.S.; Lytvyn, R.Z.J. Oximes as products in the reactions of 5-substituted 2-nitrothiophenes with arylacetonitriles. Heterocycl. Chem. 2011, 48, 1371–1374. [Google Scholar] [CrossRef]
- Davis, R.B.; Pizzini, L.C.; Benigni, J.D. The Condensation of Aromatic Nitro Compounds with Arylacetonitriles. I. Nitrobenzene. J. Am. Chem. Soc. 1960, 82, 2913–2915. [Google Scholar] [CrossRef]
- Mąkosza, M.; Staliński, K. Oxidative Nucleophilic Substitution of Hydrogen in Nitroarenes. Chem. Eur. J. 1997, 3, 2025–2031. [Google Scholar] [CrossRef]
- Więcław, M.; Bobin, M.; Kwast, A.; Bujok, R.; Wróbel, Z.; Wojciechowski, K. General synthesis of 2, 1-benzisoxazoles (anthranils) from nitroarenes and benzylic C–H acids in aprotic media promoted by combination of strong bases and silylating agents. Mol. Divers. 2015, 19, 807–816. [Google Scholar] [PubMed]
- Wróbel, Z.; Kwast, A. Simple Synthesis of N-aryl-2-nitrosoanilines in the Reaction of Nitroarenes with Aniline Anion Derivatives. Synthesis 2010, 22, 3865–3872. [Google Scholar] [CrossRef]
- Szpakiewicz, B.; Grzegozek, M. Amination of Some 1,3-Dinitrobenzenes with Liquid Ammonia–Potassium Permanganate. Russ. J. Org. Chem. 2004, 40, 829–833. [Google Scholar] [CrossRef]
- Lovato, K.; Guo, L.; Xu, Q.-L.; Liu, F.; Yousufuddin, M.; Ess, D.H.; Kürti, L.; Gao, H. Transition metal-free direct dehydrogenative arylation of activated C(sp3)–H bonds: Synthetic ambit and DFT reactivity predictions. Chem. Sci. 2018, 9, 7992–7999. [Google Scholar] [CrossRef]
- Yoneda, R.; Santo, K.; Harusawa, S.; Kurihara, T. A Simple One-Pot Synthesis of Silylated and Acylated Cyanohydrins. Synthesis 1986, 12, 1054–1055. [Google Scholar] [CrossRef]
- Kazuaki, S. A Convenient One-Pot Cyanosilylation of Aldehydes and Ketones Using Potassium or Sodium Cyanide Impregnated on Amberlite XAD Resin and Trimethylsilyl Chloride. Bull. Chem. Soc. Jpn. 1987, 60, 3820–3822. [Google Scholar]
- Jones, G. The Knoevenagel Condensation. Org. React. 1967, 15, 204–599. [Google Scholar]
- Antoniak, D.; Sakowicz, A.; Loska, R.; Mąkosza, M. Direct Conversion of Aromatic Aldehydes into Benzamides via Oxidation with Potassium Permanganate in Liquid Ammonia. Synlett 2015, 26, 84–86. [Google Scholar] [CrossRef]
- Mąkosza, M.; Nizamov, S. Vicarious nucleophilic substitution of hydrogen (VNS) in 1,4-naphthoquinone derivatives—Competition between VNS and vinylic nucleophilic substitution (SNV). Tetrahedron 2001, 57, 9615–9621. [Google Scholar] [CrossRef]
- Pirrung, M.C.; Park, K.; Li, Z. Synthesis of 3-Indolyl-2,5-dihydroxybenzoquinones. Org. Lett. 2001, 3, 365–367. [Google Scholar] [CrossRef] [PubMed]
- Chen, Y.-H.; Li, H.-H.; Zhang, X.; Xiang, S.-H.; Li, S.; Tan, B. Organocatalytic Enantioselective Synthesis of Atropisomeric Aryl-p-Quinones: Platform Molecules for Diversity-Oriented Synthesis of Biaryldiols. Angew. Chem. Int. Ed. 2020, 59, 11374–11378. [Google Scholar] [CrossRef] [PubMed]
- Dong, Y.; Ye, J.-X.; Luo, Q.-Q.; Mei, T.; Shen, A.; Huang, P.; Chen, J.; Zhang, X.; Xie, C.; Shi, Z.-C. (NH4)2S2O8-Promoted Direct C–C Coupling of Indoles with Quinones/Hydroquinones without Catalyst. Synlett 2021, 32, 1772–1776. [Google Scholar] [CrossRef]
- Yang, Z.-H.; An, Y.-L.; Chen, Y.; Shao, Z.-Y.; Zhao, S.-Y. Copper(I) Iodide-Catalyzed Sulfenylation of Maleimides and Related 3-Indolylmaleimides with Thiols. Adv. Synth. Catal. 2016, 358, 3869–3875. [Google Scholar] [CrossRef]
- McInnis, E.L.; Grant, B.; Arcelo, E. A Reexamination of the Acid Catalyzed Addition of Ethanethiol to Naphthoquinone. Tetrahedron Lett. 1981, 22, 3807–3810. [Google Scholar] [CrossRef]
- Awen, B.Z.; Miyashita, M.; Shiratani, T.; Yoshikoshi, A.; Irie, H. An Expedient Synthesis of α,β-Unsaturated Ketones Using Nitroalkenes and Sulfones. Chem. Lett. 1992, 21, 767–768. [Google Scholar] [CrossRef]
- Hamana, M.; Iwasaki, G.; Saeki, S. Nucleophilic Substitution of 4-Chloroquinoline 1-Oxide and Related Compounds by Means of Hydride Elimination. Heterocycles 1982, 17, 177–181. [Google Scholar] [CrossRef]
- Tagawa, Y.; Nomura, M.; Yamashita, H.; Goto, Y.; Hamana, M. Reaction of Quinoline N-Oxides with Alkyl- and Aryllithiums in the Presence of Oxidant. Heterocycles 1999, 51, 2385–2397. [Google Scholar]
- Zhang, F.; Duan, X.-F. Facile One-Pot Direct Arylation and Alkylation of Nitropyridine N-Oxides with Grignard Reagents. Org. Lett. 2011, 13, 6102–6105. [Google Scholar] [CrossRef]
- Murarka, S.; Studer, A. Transition Metal-Free TEMPO-Catalyzed Oxidative Cross-Coupling of Nitrones with Alkynyl-Grignard Reagents. Adv. Synth. Catal. 2011, 353, 2708–2714. [Google Scholar] [CrossRef]
- Yang, Y.; Wang, X.; Li, Y.; Zhou, B. A [4+1] Cyclative Capture Approach to 3H-Indole-N-oxides at Room Temperature by Rhodium(III)-Catalyzed C–H Activation. Angew. Chem. Int. Ed. 2015, 54, 15400–15404. [Google Scholar] [CrossRef]
- Mąkosza, M.; Owczarczyk, Z. Dihalomethylation of Nitroarenes via Vicarious Nucleophilic Substitution of Hydrogen with Trihalomethyl Carbanions. J. Org. Chem. 1989, 54, 5094–5100. [Google Scholar] [CrossRef]
- Mąkosza, M.; Danikiewicz, W.; Wojciechowski, K. Simple and General Synthesis of Hydroxy- and Methoxyindoles via Vicarious Nucleophilic Substitution of Hydrogen. Liebigs Ann. Chem. 1988, 1988, 203–208. [Google Scholar] [CrossRef]
- Metzger, H.; König, H.; Seelert, K. Methylierung mit dimethyl-oxo-sulfoniummethylid. Tetrahedron Lett. 1964, 5, 867–868. [Google Scholar] [CrossRef]
- Traynelis, V.J.; McSweeney, J.V. Ylide Methylation of Aromatic Nitro Compounds. J. Org. Chem. 1966, 31, 243–247. [Google Scholar] [CrossRef]
- An, W.; Choi, S.B.; Kim, N.; Kwon, N.Y.; Ghosh, P.; Han, S.H.; Mishra, N.K.; Han, S.; Hong, S.; Kim, I.S. C2-Selective C–H Methylation of Heterocyclic N-Oxides with Sulfonium Ylides. Org. Lett. 2020, 22, 9004–9009. [Google Scholar] [CrossRef]
- Ghosh, P.; Kwon, N.Y.; Han, S.; Kim, S.; Han, S.H.; Mishra, N.K.; Jung, Y.H.; Chung, S.J.; Kim, I.S. Site-Selective C–H Alkylation of Diazine N-Oxides Enabled by Phosphonium Ylides. Org. Lett. 2019, 21, 6488–6493. [Google Scholar] [CrossRef]
- Han, S.; Chakrasali, P.; Park, J.; Oh, H.; Kim, S.; Kim, K.; Pandey, A.K.; Han, S.H.; Han, S.B.; Kim, I.S. Reductive C2-Alkylation of Pyridine and Quinoline N-Oxides Using Wittig Reagents. Angew. Chem. Int. Ed. 2018, 57, 12737–12740. [Google Scholar] [CrossRef]
- Mąkosza, M.; Białecki, M. Nitroarylamines via Vicarious Nucleophilic Substitution of Hydrogen: Amination, Alkylamination and Arylamination of Nitroarenes with Sulfenamides. J. Org. Chem. 1998, 63, 4878–4888. [Google Scholar] [CrossRef]
- Katritzky, A.R.; Laurenzo, K.S. Direct amination of nitrobenzenes by vicarious nucleophilic substitution. J. Org. Chem. 1986, 51, 5039–5040. [Google Scholar] [CrossRef]
- Pagoria, P.F.; Mitchell, A.R.; Schmidt, R.D. 1,1,1-Trimethylhydrazinium Iodide: A Novel, Highly Reactive Reagent for Aromatic Amination via Vicarious Nucleophilic Substitution of Hydrogen. J. Org. Chem. 1996, 61, 2934–2935. [Google Scholar] [CrossRef] [PubMed]
- Goliński, J.; Mąkosza, M.; Rykowski, A. Formation of aziridine and cyclopropane rings in reaction of quinozalines and naphthyridines with α-halocarbanions. Tetrahedron Lett. 1983, 24, 3279–3280. [Google Scholar] [CrossRef]
- Mąkosza, M.; Glinka, T.; Ostrowski, S.; Rykowski, A. Vicarious Nucleophilic Substitution of Hydrogen versus Bis-Annulation in the Reaction of Chloromethyl Aryl Sulfone Carbanion with Electrophilic Arenes. Chem. Lett. 1987, 16, 61–64. [Google Scholar] [CrossRef]
- Mąkosza, M.; Goliński, J.; Ostrowski, S.; Sahasrabudhe, A.B.; Rykowski, A. Vicarious Nucleophilic Substitution of Hydrogen, Bisannulation and Competitive Reactions of α-Haloalkyl Carbanions with Bicyclic Azaaromatic Compounds. Chem. Ber. 1991, 124, 577–585. [Google Scholar] [CrossRef]
- Antoniak, D.; Barbasiewicz, M. Corey–Chaykovsky Cyclopropanation of Nitronaphthalenes: Access to Benzonorcaradienes and Related Systems. Org. Lett. 2019, 21, 9320–9325. [Google Scholar] [CrossRef]
- Ballester, M. Mechanisms of The Darzens and Related Condensations. Chem. Rev. 1955, 55, 283–300. [Google Scholar] [CrossRef]
- Sweeney, J. Aziridine Synthesis via Nucleophilic Attack of Carbene Equivalents on Imines: The Aza-Darzens Reaction. Eur. J. Org. Chem. 2009, 29, 4911–4919. [Google Scholar] [CrossRef]
- Trost, B.M.; Melvin, L.S., Jr. Sulfur Ylides. Emerging Synthetic Intermediates (Organic Chemistry; A Series of Monographs, Vol. 31); Academic Press: New York, NY, USA; San Francisco, CA, USA; London, UK, 1975. [Google Scholar]
- Sun, X.-L.; Tang, Y. Ylide-Initiated Michael Addition−Cyclization Reactions beyond Cyclopropanes. Acc. Chem. Res. 2008, 41, 937–948. [Google Scholar] [CrossRef]
- Gololobov, Y.G.; Nesmeyanov, A.N.; Lysenko, V.P.; Boldeskul, I.E. Twenty-five years of dimethylsulfoxonium ethylide (Corey’s reagent). Tetrahedron 1987, 43, 2609–2651. [Google Scholar] [CrossRef]
- Li, A.-H.; Dai, L.-X.; Aggarwal, V.K. Asymmetric Ylide Reactions: Epoxidation, Cyclopropanation, Aziridination, Olefination, and Rearrangement. Chem. Rev. 1997, 97, 2341–2372. [Google Scholar] [CrossRef] [PubMed]
- Robiette, R. Mechanism and Diastereoselectivity of Aziridine Formation from Sulfur Ylides and Imines: A Computational Study. J. Org. Chem. 2006, 71, 2726–2734. [Google Scholar] [CrossRef] [PubMed]
- Degennaro, L.; Trinchera, P.; Luisi, R. Recent Advances in the Stereoselective Synthesis of Aziridines. Chem. Rev. 2014, 114, 7881–7929. [Google Scholar] [CrossRef]
- Fang, F.; Li, Y.; Tian, S.-K. Stereoselective Olefination of N-Sulfonyl Imines with Stabilized Phosphonium Ylides for the Synthesis of Electron-Deficient Alkenes. Eur. J. Org. Chem. 2011, 2011, 1084–1091. [Google Scholar] [CrossRef]
- Dong, D.-J.; Li, Y.; Wang, J.-Q.; Tian, S.-K. Tunable stereoselective alkene synthesis by treatment of activated imines with nonstabilized phosphonium ylides. Chem. Commun. 2011, 47, 2158–2160. [Google Scholar] [CrossRef]
- Bestmann, H.J.; Seng, F. Reaction of Alkylenetriphenylphosphoranes with Schiff Bases. Angew. Chem Int. Ed. 1963, 2, 393. [Google Scholar] [CrossRef]
- Russell, G.A.; Mąkosza, M.; Hershberger, J. Synthesis of Nitrocyclopropanes by Cyclization of γ-Chloro-γ-Nitrocarboxylic Esters and Nitriles. J. Org. Chem. 1979, 44, 1195–1199. [Google Scholar] [CrossRef]
- Edwards, M.G.; Paxton, R.J.; Pugh, D.S.; Taylor, R.J.K. An Improved gem-Dimethylcyclopropanation Procedure Using Triisopropylsulfoxonium Tetrafluoroborate. Synlett 2008, 521–524. [Google Scholar] [CrossRef]
- Yang, N.C.; Finnegan, R.A. A New Method for the Epoxidation of α,β-Unsaturated Ketones. J. Am. Chem. Soc. 1958, 80, 5845–5848. [Google Scholar] [CrossRef]
- Reich, V.; Shah, S.K. Organoselenium chemistry. α-Lithio selenoxides and selenides. Preparation and further transformation to olefins, dienes, and allylic alcohols. J. Am. Chem. Soc. 1975, 97, 3250–3252. [Google Scholar] [CrossRef]
- Mąkosza, M.; Nizamov, S.; Kwast, A. Vicarious Nucleophilic Substitution of Hydrogen in Electrophilic Aldimines. Synthesis of Enamines Substituted with Electron Withdrawing Groups. Mend. Commun. 1996, 6, 43–44. [Google Scholar] [CrossRef]
- Mąkosza, M.; Kwast, A. Vicarious Nucleophilic Substitution of Hydrogen in Electrophilic Alkenes. Tetrahedron 1991, 47, 5001–5018. [Google Scholar] [CrossRef]
- Mąkosza, M.; Kwast, A. Nucleophilic Substitution of Hydrogen in Electrophilic Alkenes. J. Chem. Soc. Chem. Commun. 1984, 17, 1195–1196. [Google Scholar] [CrossRef]
- Ballini, R.; Bosica, G.; Fiorini, D.; Gil, M.V.; Palmieri, A. A New, One Pot Synthesis of Alkylated Methyl Tri- and Tetracarboxylate Derivatives by Nitroalkanes. Synthesis 2004, 2004, 605–609. [Google Scholar] [CrossRef]
- Hopf, H.; Jones, P.G.; Nicolescu, A.; Bicu, E.; Birsa, L.M.; Belei, D. A Facile Synthesis of Pechmann Dyes. Chem. Eur. J. 2014, 20, 5565–5568. [Google Scholar] [CrossRef]
- Tamura, Y.; Matsushima, H.; Ikeda, M.; Sumoto, K. Syntheses and nucleophilic reactions of N-alkyldiphenylsulfilimines. Tetrahedron 1976, 32, 431–435. [Google Scholar] [CrossRef]
- Furukawa, N.; Yoshimura, T.; Ohtsu, M.; Akasaka, T.; Oae, S. One Step Synthesis of Aziridines by the Michael Addition of Free Sulfimides. Tetrahedron 1980, 36, 73–80. [Google Scholar] [CrossRef]
- Seko, S.; Miyake, K. Amination of α,β-Unsaturated γ-Dicarbonyl Compounds with Methoxyamines. Synth. Commun. 1999, 29, 2487–2492. [Google Scholar] [CrossRef]
- Lee, S.; Chataigner, I.; Piettre, S.R. Facile Dearomatization of Nitrobenzene Derivatives and Other Nitroarenes with N-Benzyl Azomethine Ylide. Angew. Chem Int. Ed. 2011, 50, 472–476. [Google Scholar] [CrossRef]
- Wang, N.; Ren, J.; Li, K. Dearomatization of Nitro(hetero)arenes through Annulation. Eur. J. Org. Chem. 2022, 18, e202200039. [Google Scholar] [CrossRef]
- Chen, C.W.; Tran, J.A.; Fleck, B.A.; Tucci, F.C.; Jiang, W.; Chen, C. Synthesis and characterization of trans-4-(4-chlorophenyl)pyrrolidine-3-carboxamides of piperazinecyclohexanes as ligands for the melanocortin-4 receptor. Bioorg. Med. Chem. Lett. 2007, 17, 6825–6831. [Google Scholar] [CrossRef] [PubMed]
- Tang, S.; Zhang, X.; Sun, J.; Niu, D.; Chruma, J.J. 2-Azaallyl Anions, 2-Azaallyl Cations, 2-Azaallyl Radicals, and Azomethine Ylides. Chem. Rev. 2018, 118, 10393–10457. [Google Scholar] [CrossRef] [PubMed]
- Flanigan, D.M.; Romanov-Michailidis, F.; White, N.A.; Rovis, T. Organocatalytic Reactions Enabled by N-Heterocyclic Carbenes. Chem. Rev. 2015, 115, 9307–9387. [Google Scholar] [CrossRef] [PubMed]
- Suzuki, Y.; Ota, S.; Fukuta, Y.; Ueda, Y.; Sato, M. N-Heterocyclic Carbene-Catalyzed Nucleophilic Aroylation of Fluorobenzenes. J. Org. Chem. 2008, 73, 2420–2423. [Google Scholar] [CrossRef] [PubMed]
- Shi, X.-L.; Sun, B.; Hu, Q.; Liu, K.; Li, P.; Wang, J. Recyclable polyetheretherketone fiber-supported N-heterocyclic carbene catalysts for nucleophilic acylation of fluorobenzenes. Chem. Commun. 2020, 56, 11390–11393. [Google Scholar] [CrossRef]
- Seebach, D. Methods of Reactivity Umpolung. Ang. Chem. Int. Ed. 1979, 18, 239–258. [Google Scholar] [CrossRef]
- Mąkosza, M.; Goetzen, T. Synthesis of Pure Arylketone Cyanohydrines and Arylketones from Aromatic Aldehydes. Org. Prep. Proc. Int. 1973, 5, 203–207. [Google Scholar] [CrossRef]
- Mąkosza, M.; Baran, J.; Dziewońska-Baran, D.; Goliński, J. Reactions of Nitrobenzophenones with Carbanions Containing Leaving Groups. Vicarious Nucleophilic Substitution of Hydrogen versus Darzens or Wittig Horner Reactions. Liebiegs Ann. Chem. 1989, 9, 825–832. [Google Scholar] [CrossRef]
- Rad, N.; Mąkosza, M. Simple Synthesis of Aryl p-Nitroarylacetonitriles by Vicarious Nucleophilic Substitution with Carbanions of Protected Cyanohydrins. Eur. J. Org. Chem. 2018, 2018, 376–380. [Google Scholar] [CrossRef]
- Guo, X.; Mayr, H. Quantification of the Ambident Electrophilicities of Halogen-Substituted Quinones. J. Am. Chem. Soc. 2014, 136, 11499–11512. [Google Scholar] [CrossRef]
- Mąkosza, M.; Nizamov, S.; Kwast, A. Vicarious Nucleophilic Substitution of Hydrogen versus Vinylic Substitution of Halogen in the Reactions of Carbanions of Halomethyl Aryl Sulfones with Dialkyl Halofumarates and Halomaleates. Tetrahedron 2004, 60, 5413–5421. [Google Scholar] [CrossRef]
- Chenevert, R.; Plante, R.; Voyer, N. Crown Ether Catalysis in the Synthesis of Cyanohydrin Derivatives. Synth. Commun. 1983, 13, 403–410. [Google Scholar] [CrossRef]
- Błaziak, K.; Danikiewicz, W.; Mąkosza, M. How Does Nucleophilic Substitution Really Proceed in Nitroarenes” Computational Prediction and Experimental Verification. J. Am. Chem. Soc. 2016, 138, 7276–7281. [Google Scholar] [CrossRef] [PubMed]
- Mąkosza, M.; Sulikowski, D. Multiple Reaction Pathways between the Carbanions of α-Alkoxy-α-phenylacetonitrile and o-Chloronitrobenzene. Eur. J. Org. Chem. 2011, 2011, 6887–6892. [Google Scholar] [CrossRef]





































Disclaimer/Publisher’s Note: The statements, opinions and data contained in all publications are solely those of the individual author(s) and contributor(s) and not of MDPI and/or the editor(s). MDPI and/or the editor(s) disclaim responsibility for any injury to people or property resulting from any ideas, methods, instructions or products referred to in the content. |
© 2023 by the authors. Licensee MDPI, Basel, Switzerland. This article is an open access article distributed under the terms and conditions of the Creative Commons Attribution (CC BY) license (https://creativecommons.org/licenses/by/4.0/).
Share and Cite
Barbasiewicz, M.; Fedoryński, M.; Loska, R.; Mąkosza, M. Analogy of the Reactions of Aromatic and Aliphatic π-Electrophiles with Nucleophiles. Molecules 2023, 28, 4015. https://doi.org/10.3390/molecules28104015
Barbasiewicz M, Fedoryński M, Loska R, Mąkosza M. Analogy of the Reactions of Aromatic and Aliphatic π-Electrophiles with Nucleophiles. Molecules. 2023; 28(10):4015. https://doi.org/10.3390/molecules28104015
Chicago/Turabian StyleBarbasiewicz, Michał, Michał Fedoryński, Rafał Loska, and Mieczysław Mąkosza. 2023. "Analogy of the Reactions of Aromatic and Aliphatic π-Electrophiles with Nucleophiles" Molecules 28, no. 10: 4015. https://doi.org/10.3390/molecules28104015
APA StyleBarbasiewicz, M., Fedoryński, M., Loska, R., & Mąkosza, M. (2023). Analogy of the Reactions of Aromatic and Aliphatic π-Electrophiles with Nucleophiles. Molecules, 28(10), 4015. https://doi.org/10.3390/molecules28104015

