Formulation and Characterization of Mucoadhesive Polymeric Films Containing Extracts of Taraxaci Folium and Matricariae Flos
Abstract
1. Introduction
2. Results and Discussion
2.1. Identification and Quantification of Active Ingredients in Plant Extracts
2.1.1. Total Amount of Polyphenols and Flavonoids in Extracts
2.1.2. Identification and Quantification of Phytosterols
2.1.3. Identification and Quantification of Tocopherols
2.1.4. Identification and Quantification of Methoxylated Flavones
2.1.5. Identification and Quantification of Polyphenols
2.2. Antioxidant Activity of Plant Extracts
2.3. Polymeric Films Reference
2.3.1. Film Display and Sensory Analysis
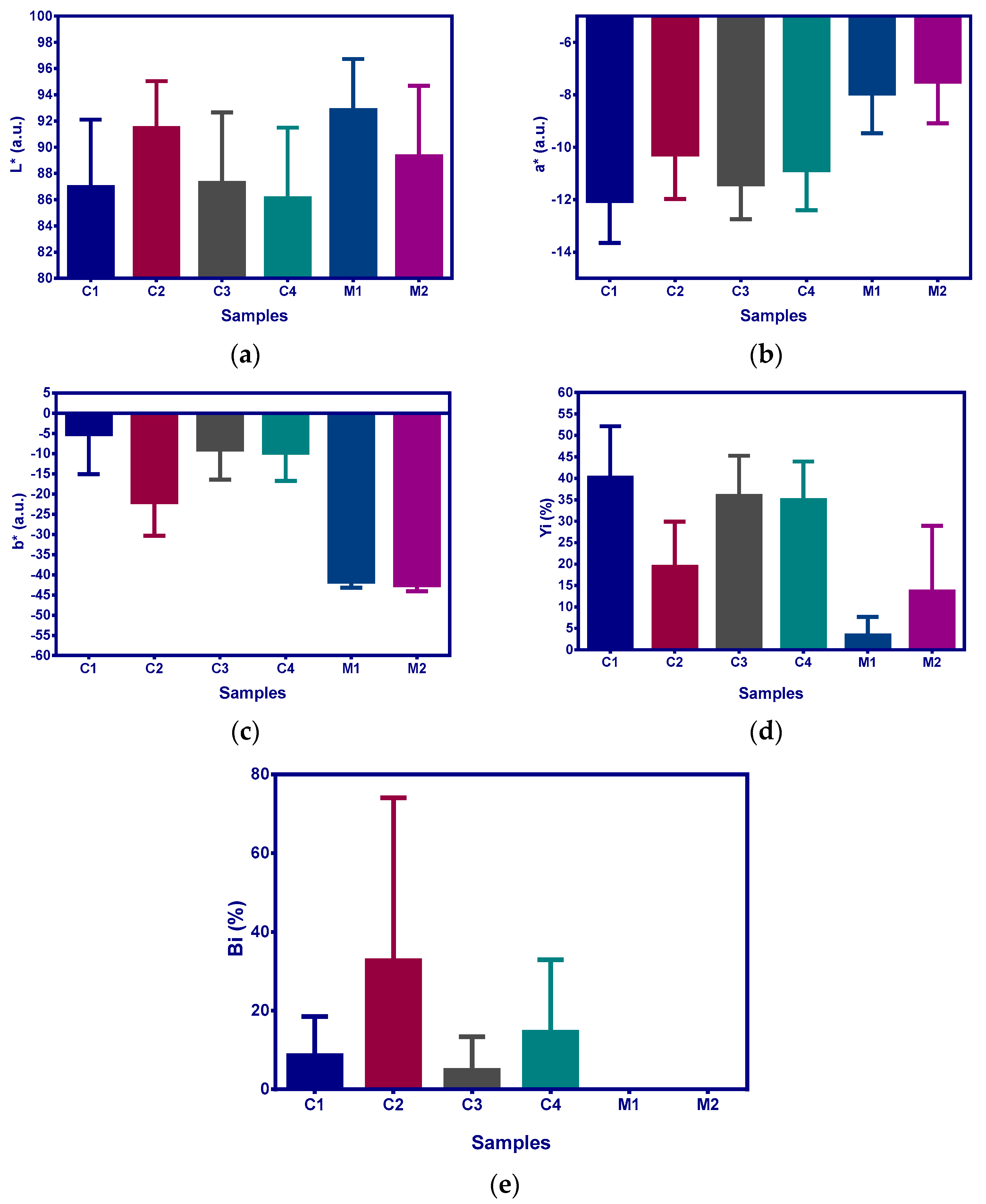
2.3.2. Film Samples Chromatic and Imagistic Analysis
2.3.3. Film Density
2.3.4. Mass Consistency
2.3.5. Folding Endurance
2.3.6. Tensile Strength
2.3.7. pH Determination
2.3.8. Disintegration Pace of In Vitro Polymeric Films
2.3.9. Antioxidant Activity of Polymeric Films
2.3.10. Active Substance Content of Polymeric Films
2.4. In Vitro Active Substance Release
2.5. Evaluation of Anti-Inflammatory Effect in Acute Gingivitis
3. Materials and Methods
3.1. Materials
3.2. Plant Extract
3.3. Identification and Quantification of Active Ingredients in Plant Extracts
3.3.1. Determination of Total Flavonoid Content
3.3.2. Determination of Total Polyphenol Content
3.3.3. Identification and Quantification of Sterolic Compounds
3.3.4. Identification and Quantification of Tocopherols
3.3.5. Identification and Quantification of Methoxylated Flavones
3.3.6. Identification and Quantification of Polyphenolic Compounds
3.4. Determination of the Antioxidant Capacity of Plant Extracts
3.4.1. Cuprac Assay—Reduction of Cu2+ Copper Ions
3.4.2. DPPH Assay—Determination of Antioxidant Capacity
3.4.3. Statistical Analysis
3.5. Formulation of Polymeric Films
3.6. Evaluation of Polymeric Films Characteristics
3.6.1. Appearance
3.6.2. Film Samples Chromatic and Imagistic Analysis
3.6.3. Density
3.6.4. Mass Consistency
3.6.5. Folding Endurance
3.6.6. Tensile Strength
3.6.7. pH Determination
3.6.8. In Vitro Disintegration Time of Polymeric Films
3.6.9. Antioxidant Activity of Polymeric Films
3.6.10. Active Ingredient Content of Polymeric Films
3.6.11. In Vitro Active Ingredient Release from Polymeric Films
3.7. Evaluation of the Anti-Inflammatory Activity of Polymeric Films in the Treatment of Acute Gingivitis
4. Conclusions
Supplementary Materials
Author Contributions
Funding
Institutional Review Board Statement
Informed Consent Statement
Data Availability Statement
Conflicts of Interest
References
- Munir, N.; Iqbal, A.S.; Altaf, I.; Bashir, R.; Sharif, N.; Saleem, F.; Naz, S. Evaluation of antioxidant and antimicrobial potential of two endangered plant species Atropa belladonna and Matricaria chamomilla. Afr. J. Tradit. Complement. Altern. Med. 2014, 11, 111–117. [Google Scholar] [CrossRef] [PubMed]
- Bedi, M.K.; Shenefelt, P.D. Herbal Therapy in Dermatology. Arch. Derm. 2002, 138, 232–242. [Google Scholar] [CrossRef]
- Tripathi, L.; Tripathi, J.N. Role of biotechnology in medicinal plants. Trop. J. Pharm. Res. 2003, 2, 243–253. [Google Scholar] [CrossRef]
- Srivastava, J.K.; Gupta, S. Extraction, Characterization, Stability and Biological Activity of Flavonoids Isolated from Chamomile Flowers. Mol. Cell. Pharm. 2009, 13, 138. [Google Scholar] [CrossRef] [PubMed]
- Jeon, H.J.; Kang, H.J.; Jung, H.J.; Kang, Y.S.; Lim, C.J.; Kim, Y.M.; Park, E.H. Anti-inflammatory activity of Taraxacum officinale. J. Ethnopharmacol. 2008, 115, 82–88. [Google Scholar] [CrossRef]
- Yrasema, H. Effectiveness Matricaria recutita mouthwash in gingival inflammation in patients with orthodontic treatment. Odous Cient. 2016, 17, 30–40. [Google Scholar]
- Al_Duliamy, M.J.A. The Effect of Gargling with Aqueous Extract of Dandelion (Taraxacum officinale) on the Oral Hygiene Status of Patients Wearing Fixed Orthodontic Appliance: A Clinical Study. Iraqi Dent. J. 2018, 40, 1–4. [Google Scholar] [CrossRef]
- Council of Europe. Pharmacopée Européenne EDQM; Council of Europe: Strasbourg, France, 2019. [Google Scholar]
- Khurana, S.; Satheesh Madhav, N.V. Mucoadhesive Drug Delivery: Mechanism and Methods of Evaluation. Int. J. Pharma Bio. Sci. 2011, 2, 458–467. [Google Scholar]
- Laffleur, F. Mucoadhesive polymers for buccal drug delivery. Drug Dev. Ind. Pharm. 2014, 40, 591–598. [Google Scholar] [CrossRef] [PubMed]
- Safiaghdam, H.; Oveissi, V.; Bahramsoltani, R.; Farzaei, M.H.; Rahimi, R. Medicinal plants for gingivitis: A review of clinical trials. Iran. J. Basic. Med. Sci. 2018, 21, 978–991. [Google Scholar]
- Mazokopakis, E.E.; Vrentzos, G.E.; Papadakis, J.A.; Babalis, D.E.; Ganotakis, E.S. Wild chamomile (Matricaria recutita L.) mouthwashes in methotrexate-induced oral mucositis. Phytomedicine 2005, 12, 25–27. [Google Scholar] [CrossRef] [PubMed]
- Liu, J.; Huang, Y.; Lou, X.; Liu, B.; Liu, W.; An, N.; Wu, R.; Ouyang, X. Effect of Pudilan Keyanning antibacterial mouthwash on dental plaque and gingival inflammation in patients during periodontal maintenance phase: Study protocol for double-blind, randomized clinical trial. BMJ Open 2021, 11, e048992. [Google Scholar] [CrossRef] [PubMed]
- DeMerlis, C.C.; Schoneker, D.R. Review of the oral toxicity of polyvinyl alcohol (PVA). Food Chem. Toxicol. 2003, 41, 319–326. [Google Scholar] [CrossRef] [PubMed]
- Berim, A.; Gang, D.R. Methoxylated flavones: Occurrence, importance, biosynthesis. Phytochem. Rev. 2016, 15, 363–390. [Google Scholar] [CrossRef]
- Al-Dabbagh, B.; Elhaty, I.; Elhaw, M.; Murali, C.; Al Mansoori, A.; Awad, B.; Amin, A. Antioxidant and anticancer activities of chamomile (Matricaria recutita L.). BMC Res. Notes 2019, 12, 3. [Google Scholar] [CrossRef]
- Formisano, C.; Delfine, S.; Oliviero, F.; Tenore, G.C.; Rigano, D.; Senatore, F. Correlation among environmental factors, chemical composition and antioxidative properties of essential oil and extracts of chamomile (Matricaria chamomilla L.) collected in Molise (South-central Italy). Ind. Crops Prod. 2015, 63, 256–263. [Google Scholar] [CrossRef]
- Roby, M.H.H.; Sarhan, M.A.; Selim, H.A.H.; Khalel, I.K. Antioxidant and antimicrobial activities of essential oil and extracts of fennel (Foeniculum vulgare L.) and chamomile (Matricaria chamomilla L.). Ind. Crops Prod. 2013, 44, 437–445. [Google Scholar] [CrossRef]
- Elmastaș, M.; Çinkiliç, S.; Aboul-Enein, H.Y. Antioxidant Capacity and Determination of Total Phenolic Compounds in Daisy (Matricaria chamomilla, Fam. Asteraceae). World J. Anal. Chem. 2015, 3, 9–14. [Google Scholar] [CrossRef]
- Ghaima, K.K.; Hashim, N.M.; Ali, S.A. Antibacterial and antioxidant activities of ethyl acetate extract of nettle (Urtica dioica) and dandelion (Taraxacum officinale). J. Appl. Pharm. Sci. 2013, 3, 96–99. [Google Scholar]
- Sengul, M.; Yildiz, H.; Gungor, N.; Cetin, B.; Eser, Z.; Ercisli, S. Total phenolic content, antioxidant and antimicrobial activities of some medicinal plants. Park. J. Pharm. Sci. 2009, 22, 102–106. [Google Scholar]
- Epure, A.; Pârvu, A.; Vlase, L.; Benedec, A.; Hanganu, D.; Vlase, A.M.; Oniga, I. Polyphenolic compounds, antioxidant activity and neuroprotective properties of Romanian Taraxacum officinale. Farmacia 2022, 70, 47–53. [Google Scholar] [CrossRef]
- Wang, T.; Hiks, K.B.; Moreau, R. Antioxidant Activity of Phytosterols, Oryzanol, and Other Phytosterol Conjugates. J. Am. Oil Chem. Soc. 2002, 79, 1201–1206. [Google Scholar] [CrossRef]
- Yoshida, Y.; Niki, E. Antioxidant Effects of Phytosterol and Its Components. J. Nutr. Sci. Vitam. 2003, 49, 277–280. [Google Scholar] [CrossRef]
- Abdalia, R.M.; Abdelgadir, A.E. Antibacterial Activity and Phytochemical Constituents of Cinnamomum verum and Matricaria chamomilla from Sudan. Bio Bull. 2016, 2, 8–12. [Google Scholar]
- Jung, Y.; Ahn, Y.G.; Kim, H.K.; Moon, B.C.; Lee, A.Y.; Ryu, D.H.; Hwang, G.S. Chracterization of dandelion species using 1H NMR- and GC-MS-based metabolic profiling. Analyst 2011, 136, 4222. [Google Scholar] [CrossRef]
- Farahmandfar, R.; Asnaashari, M.; Asadi, Y.; Beyranvand, B. Comparison of Bioactive Compounds of Matricaria recutita Extracted by Ultrasound and Maceration and their Effects on Preventing Sunflower Oil During Frying. Curr. Nutr. Food Sci. 2019, 15, 156–164. [Google Scholar] [CrossRef]
- de Almeida, L.C.; Salvador, M.R.; Pinheiro-Sant’Ana, H.M.; Della Lucia, C.M.; Treixeira, R.D.B.L.; Cardoso, L.M. Proximate composition and characterization of the vitamins and minerals of dandelion (Taraxacum officinale) from the Middle Doce River region–Minas Gerais, Brazil. Helliyon 2022, 8, 11949. [Google Scholar] [CrossRef]
- Sándor, Z.; Mottaghipisheh, J.; Veres, K.; Hohmann, J.; Bencsik, T.; Horváth, A.; Kelemen, D.; Papp, R.; Barthó, L.; Csupor, D. Evidence Supports Tradition: The in Vitro Effects of Roman Chamomile on Smooth Muscles. Front. Pharmacol. 2018, 9, 323. [Google Scholar] [CrossRef]
- Sentkowska, A.; Biesaga, M.; Pyrzynska, K. Effects of brewing process on phenolic compunds and antioxidant activity of herbs. Food Sci. Biotechnol. 2016, 25, 965–970. [Google Scholar] [CrossRef]
- Danciu, C.; Zupko, I.; Bor, A.; Schwiebs, A.; Radeke, H.; Hancianu, M.; Cioancă, O.; Alexa, E.; Oprean, C.; Bojin, F.; et al. Botanical Therapeutics: Phytochemical Screening and Biological Assessment of Chamomile, Parsley and Celery Extracts against A375 Human Melanoma and Dendritic Cells. Int. J. Mol. Sci. 2018, 19, 3624. [Google Scholar] [CrossRef]
- Hu, C.; Kitts, D.D. Luteolin and luteolin-7-O-glucoside from dandelion flower supress iNOS and COX-2 in RAW 264.7 cells. Moll Cell. Biochem. 2004, 265, 107. [Google Scholar] [CrossRef] [PubMed]
- Ivanov, I.G. Poluphenols Content and Antioxidant Activities of Taraxacum officinale F.H.Wigg (Dandelion) Leaves. Int. J. Pharmacogn. Phytochem. Res. 2015, 6, 889–893. [Google Scholar]
- Kim, Y.C.; Rho, J.; Kim, K.T.; Cho, C.W.; Rhee, Y.K.; Choi, U.K. Phenolic Acid Contents and ROS Scavenging Activity of Dandelion (Taraxacum officinale). Korean J. Food Preserv. 2008, 15, 325–331. [Google Scholar]
- Kumar, N.; Goel, N. Phenolic acids: Natural versatile molecules with promising therapeutic applications. Biotechnol. Rep. 2019, 24, e00370. [Google Scholar] [CrossRef] [PubMed]
- Lahoti, S.S.; Shep, S.G.; Mayee, R.V.; Toshniwal, S.S. Mucoadhesive Drug Delivery System: A Review. Indo-Glob. J. Pharm. Sci. 2011, 1, 243–251. [Google Scholar] [CrossRef]
- Mishra, S.K.; GArud, N.; Singh, R. Development and evaluation of mucoadhesive buccal patches of flurbiprofen. Acta Pol. Pharm. 2011, 68, 955–964. [Google Scholar] [PubMed]
- Perez Zamora, C.M.; Michaluk, A.G.; Chiappetta, D.A.; Nuñez, M.B. Herbal buccal films with in vitro antibacterial and anti-inflammatory effects. J. Herb. Med. 2022, 31, 100527. [Google Scholar] [CrossRef]
- Bhattacharjee, S.; Nagalakshmi, S.; Shanmuganathan, S. Formulation, characterization and in-vitro diffusion studies of herbal extract loaded muchoadhesive buccal patches. Int. J. Pharm. Sci. Res. 2014, 5, 4963–4968. [Google Scholar]
- Walicová, V.; Gajdziok, J.; Pavloková, S.; Vetchý, D. Design and evaluation of mucoadhesive oral films containing sodium hyaluronate using multivariate data analysis. Pharm. Dev. Technol. 2017, 22, 229–236. [Google Scholar] [CrossRef]
- Salehi, S.; Boddohi, S. New formulation and approach for mucoadhesive buccal film of rizatriptan benzoate. Prog. Biomater. 2017, 6, 175–187. [Google Scholar] [CrossRef]
- Baliga, S.; Muglikar, S.; Kale, R. Salivary pH: A diagnostic biomarker. J. Indian. Soc. Periodontol. 2013, 17, 461–465. [Google Scholar] [CrossRef] [PubMed]
- Vecchi, C.F.; Said dos Santos, R.; Bassi da Silvia, J.; Rosseto, H.C.; Sakita, K.M.; Svidzinski, T.I.E.; Bonfim-Mendonça, P.S.; Bruschi, M.L. Development and in vitro evaluation of buccal mucoadhesive films for photodynamic inactivation of Candida albicans. Photodiagnosis Photodyn. Ther. 2020, 32, 101957. [Google Scholar] [CrossRef]
- Miksusanti; Fithri, A.N.; Herlina; Wijaya, D.P.; Taher, T. Optimization of chitosan-tapioca starch composite as polymer in the formulation of gingival mucoadhesive patch film for delivery of gambier (Uncaria gambir Roxb) leaf extract. Int. J. Biol. Macromol. 2020, 144, 289–295. [Google Scholar] [CrossRef] [PubMed]
- Wu, Y.; Xu, Y.; Yao, L. Anti-inflammatory and Anti-allergic Effects of German Chamomile (Matricaria chamomilla L.). J. Essent. Oil Bear. Plants 2012, 15, 75–83. [Google Scholar] [CrossRef]
- Vicaș, L.; Teușdea, A.; Vicaș, S.; Marian, E.; Jurca, T.; Mureșan, M.; Gligor, F. Assessment of Antioxidant Capacity of Some Extracts for Further Use in Therapy. Farmacia 2015, 63, 267–274. [Google Scholar]
- Jurca, T.; Marian, E.; Vicaș, L.; Neagu, O.; Pallag, A. Bioactive Compounds and Antioxidant Capacity of Primula veris L. Flower Extracts. An. Univ. Din. Oradea Fasc. Ecotoxicologie Zooteh. Și Tehnol. De. Ind. Aliment. 2015, XIVB, 235–242. [Google Scholar]
- Rusu, M.E.; Fizeșan, I.; Pop, A.; Gheldiu, A.M.; Mocan, A.; Crișan, G.; Vlase, L.; Loghin, F.; Popa, D.S.; Tomuța, I. Enhanced Recovery of Antioxidant Compounds from Hazelnut (Corylus avellana L.) Involucre Based on Extraction Optimization: Phytochemical Profile and Biological Activities. Antioxidants 2019, 8, 460. [Google Scholar] [CrossRef]
- Toiu, A.; Mocanu, A.; Vlase, L.; Pârvu, A.E.; Vodnar, D.C.; Gheldiu, A.M.; Moldovan, C.; Oniga, I. Phytochemical Composition, Antioxidant, Antimicrobial and in Vivo Anti-inflammatory Activity of Traditionally Used of Romanian Ajuga laxmannii (Murray) Benth. (”Nobleman’s Beard”–Barba Împăratului. Front. Pharmacol. 2018, 9, 7. [Google Scholar] [CrossRef]
- Rusu, M.E.; Fizeșan, I.; Pop, A.; Mocan, A.; Gheldiu, A.M.; Babotă, M.; Vodnar, D.C.; Jurj, A.; Berindan-Neagoe, I.; Vlase, L.; et al. Walnut (Juglans regia L.) Septum: Assessment of Bioactive Molecules and In Vitro Biological Effects. Molecules 2020, 25, 2187. [Google Scholar] [CrossRef]
- Mocan, A.; Crișan, G.; Vlase, L.; Ivănescu, B.; Bădărău, A.S.; Arsene, A.L. Phytochemical Investigation on Four Galium Species (Rubiaceae) from Romania. Farmacia 2016, 64, 95–99. [Google Scholar]
- Babotă, M.; Mocan, A.; Vlase, L.; Crișan, O.; Ielciu, I.; Gheldiu, A.M.; Vodnar, D.C.; Crișan, G.; Păltinean, R. Phytochemical Analysis, Antioxidant and Antimicrobial Activities of Helichrysum arenarium (L.) Moench. and Antennaria dioica (L.) Gaertn. Flowers. Molecules 2018, 23, 409. [Google Scholar] [CrossRef] [PubMed]
- Rusu, M.E.; Gheldiu, A.M.; Mocan, A.; Moldovan, C.; Popa, D.S.; Tomuța, I.; Vlase, L. Process Optimization for Improved Phenolic Compounds Recovery from Walnut (Juglans regia L.) Septum: Phytochemical Profile and Biological Activities. Molecules 2018, 23, 2814. [Google Scholar] [CrossRef] [PubMed]
- Karaman, S.; Tutem, E.; Baskan, K.S.; Apak, R. Comparison of total antioxidant capacity and phenolic composition of some apple juices with combined HPLC–CUPRAC assay. Food Chem. 2010, 120, 1201–1209. [Google Scholar] [CrossRef]
- Jurca, T.; Vicaș, L.; Tóth, I.; Braun, M.; Marian, E.; Teusdea, A.; Vicaș, S.; Mureșan, M. Mineral Elements Profile, Bioactive Compound and Antioxidant Capacity of Wild Blueberry and of Pharmaceutical Preparations from Blueberry (Vaccinium myrtillus). Farm. 2016, 64, 581–587. [Google Scholar]
- Preis, M.; Woertz, C.; Kleinebudde, P.; Breitkreutz, J. Oromucosal film preparations: Classification and characterization methods. Expert. Opin. Drug. Deliv. 2013, 10, 1303–1317. [Google Scholar] [CrossRef]
- Gámbaro, A.; McSweeney, M. Sensory methods applied to the development of probiotic and prebiotic foods. Adv. Food Nutr. Res. 2020, 94, 295–337. [Google Scholar]
- Anil, A.; Gujjari, S.K.; Venkatesh, M.P. Evaluation of a curcumin-containing mucoadhesive film for periodontal postsurgical pain control. J. Indian. Soc. Periodontol. 2019, 23, 461–468. [Google Scholar]
- Abo-shady, A.Z.; Elkammar, H.; Elwazzan, V.S.; Nasr, M. Formulation and clinical evaluation of mucoadhesive buccal films containing hyaluronic acid for treatment of aphthous ulcer. J. Drug. Deliv. Sci. Technol. 2019, 55, 101442. [Google Scholar] [CrossRef]
- Zhang, C.; Liu, Y.; Li, W.; Gao, P.; Xiang, D.; Ren, X.; Liu, D. Mucoadhesive buccal film containing ornidazole and dexamethasone for oral ulcers: In vitro and in vivo studies. Pharm. Dev. Technol. 2019, 24, 118–126. [Google Scholar] [CrossRef]
- Stefanović, V.; Taso, E.; Petković-Ćurčin, A.; Đukić, M.; Gardašević, M.; Rakić, M.; Xavier, S.; Jović, M.; Miller, K.; Stanojević, I.; et al. Influence of dental filling material type on the concentration of interleukin 9 in the samples of gingival crevicular fluid. Vojn. Pregl. 2016, 73, 728–734. [Google Scholar] [CrossRef]


















| Method | TFC mg QE/100 g DW * | TPC mg GAE/100 g DW * |
|---|---|---|
| Sample | ||
| M | 1.08 ± 0.054 | 96.28 ± 4.814 |
| T | 1.27 ± 0.063 | 99.50 ± 4.975 |
| T/M 1:1 | 1.29 ± 0.064 | 98.58 ± 4.929 |
| T/M 1:2 | 1.25 ± 0.062 | 97.72 ± 4.886 |
| T/M 2:1 | 1.26 ± 0.063 | 98.44 ± 4.922 |
| M | T | |
|---|---|---|
| Phytosterols (µg/mL Extract) * | ||
| Ergosterol | 0.187 ± 0.019 | 2.638 ± 0.027 |
| Stigmasterol | 29.260 ± 1.463 | 40.613 ± 2.031 |
| β-Sitosterol | 375.173 ± 18.758 | 422.233 ± 21.111 |
| Campesterol | 9.102 ± 0.455 | 2.358 ± 0.118 |
| Tocopherols (ng/mL extract) * | ||
| α-tocopherol | 134.50 ± 0.02 | 91.20 ± 0.02 |
| γ-tocopherol | 152.60 ± 0.01 | 18.10 ± 0.01 |
| δ-tocopherol | 27.00 ± 0.01 | - |
| Methoxylated flavones (ng/mL) * | ||
| Eupatorin | 394.97 ± 0.11 | - |
| Casticin | 30766.19 ± 9.52 | |
| Hispidulin | 1844.71 ± 2.25 | 108.10 ± 1.08 |
| Polyphenols (µg/mL) * | ||
| Chlorogenic acid | 70.686 ± 8.850 | 54.153 ± 7.005 |
| Luteolin | 2.680 ± 0.033 | 2.818 ± 0.301 |
| Ferulic acid | 0.557 ± 0.048 | - |
| Quercitrin | 87.301 ± 6.105 | - |
| Quercetol | 3.642 ± 0.021 | - |
| Apigenin | 33.613 ± 2.057 | - |
| Caftaric acid | - | 16.849 ± 2.162 |
| p-Coumaric acid | - | 0.441 ± 0.020 |
| Rutozid | - | 0.857 ± 0.015 |
| Phenolic acids (µg/mL) * | ||
| Syringic acid | 0.23 ± 0.05 | 0.12 ± 0.01 |
| Protocatechuic acid | 1.54 ± 0.11 | 0.40 ± 0.02 |
| Vanillic acid | 2.34 ± 0.13 | - |
| Method | DPPH Inhibition % (TE mg/mL) * | Cuprac µmol Trolox/100 µL * |
|---|---|---|
| Sample | ||
| M | 88.92 ± 4.446 | 5.20 ± 0.260 |
| T | 76.07 ± 3.803 | 4.20 ± 0.210 |
| T/M 1:1 | 80.00 ± 4.000 | 4.50 ± 0.220 |
| T/M 1:2 | 83.92 ± 4.196 | 4.70 ± 0.235 |
| T/M 2:1 | 79.10 ± 3.955 | 4.80 ± 0.240 |
| Polymeric Film | Composition | Aspect | Colour | Smell | Taste | Surface Texture |
|---|---|---|---|---|---|---|
| M1 | PVA 5% | Uniform Homogeneous | Translucent | Odourless | Very pleasant | Smooth Non sticky |
| M2 | PVA 8% | Uniform Homogeneous | Translucent | Odourless | Very pleasant | Smooth Non sticky |
| C1 | PVA 5% Extract 5% | Uniform Homogeneous | Translucent Yellow | Odourless | Pleasant | Smooth Non sticky |
| C2 | PVA 5% Extract 10% | Uniform Homogeneous | Translucent Yellow | Odourless | Pleasant | Smooth Non sticky |
| C3 | PVA 8% Extract 5% | Uniform Homogeneous | Translucent Yellow | Odourless | Pleasant | Smooth Non sticky |
| C4 | PVA 8% Extract 10% | Uniform Homogeneous | Translucent Yellow | Odourless | Pleasant | Smooth Non sticky |
| Chromatic Class | Chromatic Legend |
|---|---|
| ExtrCL1 | |
| ExtrCL2 | |
| ExtrCL3 | |
| ExtrCL4 | |
| M1_M2 | |
| Artefact |
| Chromatic Class Proportions | ExtrCL1 (%) | ExtrCL2 (%) | ExtrCL3 (%) | ExtrCL4 (%) | M1_M2 (%) | Artefact (%) | |
|---|---|---|---|---|---|---|---|
| Sample | |||||||
| C1 | 0.049 | 0.776 | 8.971 | 89.786 | 0.415 | 0.000 | |
| C2 | 0.023 | 0.118 | 0.920 | 74.894 | 23.997 | 0.019 | |
| C3 | 0.013 | 0.972 | 8.812 | 89.920 | 0.265 | 0.012 | |
| C4 | 0.059 | 1.305 | 11.756 | 86.555 | 0.321 | 0.004 | |
| M1 | 0.001 | 0.007 | 0.004 | 0.027 | 99.925 | 0.002 | |
| M2 | 0.005 | 0.002 | 0.004 | 0.005 | 99.939 | 0.010 | |
| Sample | L* (a.u.) | a* (a.u.) | b* (a.u.) | Yi (%) | Bi (%) | Observations (Pixels) |
|---|---|---|---|---|---|---|
| C1 | 86.954 c ±5.150 | −12.048 a ±1.598 | −5.174 b ±9.882 | 40.183 a ±11.965 | 8.544 c ±9.981 | 147,191 |
| C2 | 91.455 b ±3.589 | −10.279 d ±1.698 | −22.011 b ±8.281 | 19.330 d ±10.548 | 32.744 a ±41.273 | 187,827 |
| C3 | 87.273 c ±5.378 | −11.411 b ±1.332 | −8.934 b ±7.478 | 35.889 b ±9.364 | 4.838 d ±8.580 | 171,539 |
| C4 | 86.110 c ±5.385 | −10.877 c ±1.527 | −9.740 b ±7.032 | 34.932 c ±8.942 | 14.553 b ±18.438 | 196,587 |
| M1 | 92.828 a ±3.900 | −7.954 e ±1.509 | −41.663 a ±1.554 | 3.375 f ±4.291 | 0.000 e ±0.000 | 685 |
| M2 | 89.314 c ±5.380 | −7.498 e ±1.590 | −42.536 a ±1.510 | 13.594 e ±15.348 | 0.000 e ±0.000 | 31 |
| Polymeric Film | pH * | Polymeric Film | pH * |
|---|---|---|---|
| M1 | 7015 ± 0.005 | M2 | 7016 ± 0.010 |
| C1 | 6887 ± 0.004 | C3 | 6693 ± 0.006 |
| C2 | 6667 ± 0.004 | C4 | 6634 ± 0.003 |
| Polymeric Film | Time (s) * | Polymeric Film | Time (s) * |
|---|---|---|---|
| M1 | 225 ± 5 | M2 | 245 ± 10 |
| C1 | 235 ± 10 | C3 | 255 ± 10 |
| C2 | 220 ± 5 | C4 | 260 ± 10 |
| Polymeric Film | Inhibition Percentage (%) * |
|---|---|
| C1 | 32.149 ± 1.71 |
| C2 | 39.932 ± 1.95 |
| C3 | 15.059 ± 0.75 |
| C4 | 16.751 ± 0.78 |
| Polymeric Film | QE (mmol/L) * | Active Ingredient Content (%) * |
|---|---|---|
| C1 | 0.422 ± 0.020 | 64.81 ± 3.25 |
| C2 | 0.565 ± 0.033 | 88.89 ± 4.16 |
| C3 | 0.252 ± 0.012 | 36.11 ± 1.82 |
| C4 | 0.521 ± 0.025 | 81.48 ± 4.05 |
| Release (%) | Allosteric Sigmoidal | |||
|---|---|---|---|---|
| Best-Fit Values | C1 | C2 | C3 | C4 |
| Vmax | 94.46 | 84.93 | 91.72 | 88.74 |
| h | 0.9036 | 1.423 | 0.9118 | 1.253 |
| Khalf | 15.36 | 8.468 | 10.41 | 10.92 |
| Kprime | 11.80 | 20.92 | 8.467 | 19.98 |
| Std. Error | ||||
| Vmax | 1.710 | 0.5197 | 0.8915 | 1.170 |
| h | 0.05305 | 0.05750 | 0.03651 | 0.08798 |
| Khalf | 0.9140 | 0.1951 | 0.3306 | 0.4989 |
| Kprime | 1.381 | 2.680 | 0.6551 | 4.091 |
| Goodness of Fit | ||||
| Degrees of Freedom | 30 | 30 | 30 | 30 |
| R square | 0.9938 | 0.9963 | 0.9973 | 0.9888 |
| Adjusted R square | 0.9934 | 0.9961 | 0.9971 | 0.9880 |
| PVA % | Extract % | PVA % | Extract % | ||
|---|---|---|---|---|---|
| M1 | 5.00 | 0.00 | M2 | 8.00 | 0.00 |
| C1 | 5.00 | 5.00 | C3 | 8.00 | 5.00 |
| C2 | 5.00 | 10.00 | C4 | 8.00 | 10.00 |
Disclaimer/Publisher’s Note: The statements, opinions and data contained in all publications are solely those of the individual author(s) and contributor(s) and not of MDPI and/or the editor(s). MDPI and/or the editor(s) disclaim responsibility for any injury to people or property resulting from any ideas, methods, instructions or products referred to in the content. |
© 2023 by the authors. Licensee MDPI, Basel, Switzerland. This article is an open access article distributed under the terms and conditions of the Creative Commons Attribution (CC BY) license (https://creativecommons.org/licenses/by/4.0/).
Share and Cite
Neagu, O.M.; Ghitea, T.; Marian, E.; Vlase, L.; Vlase, A.-M.; Ciavoi, G.; Fehér, P.; Pallag, A.; Bácskay, I.; Nemes, D.; et al. Formulation and Characterization of Mucoadhesive Polymeric Films Containing Extracts of Taraxaci Folium and Matricariae Flos. Molecules 2023, 28, 4002. https://doi.org/10.3390/molecules28104002
Neagu OM, Ghitea T, Marian E, Vlase L, Vlase A-M, Ciavoi G, Fehér P, Pallag A, Bácskay I, Nemes D, et al. Formulation and Characterization of Mucoadhesive Polymeric Films Containing Extracts of Taraxaci Folium and Matricariae Flos. Molecules. 2023; 28(10):4002. https://doi.org/10.3390/molecules28104002
Chicago/Turabian StyleNeagu, Oana Mihaela, Timea Ghitea, Eleonora Marian, Laurian Vlase, Ana-Maria Vlase, Gabriela Ciavoi, Pálma Fehér, Annamária Pallag, Ildikó Bácskay, Dániel Nemes, and et al. 2023. "Formulation and Characterization of Mucoadhesive Polymeric Films Containing Extracts of Taraxaci Folium and Matricariae Flos" Molecules 28, no. 10: 4002. https://doi.org/10.3390/molecules28104002
APA StyleNeagu, O. M., Ghitea, T., Marian, E., Vlase, L., Vlase, A.-M., Ciavoi, G., Fehér, P., Pallag, A., Bácskay, I., Nemes, D., Vicaș, L. G., Teușdea, A., & Jurca, T. (2023). Formulation and Characterization of Mucoadhesive Polymeric Films Containing Extracts of Taraxaci Folium and Matricariae Flos. Molecules, 28(10), 4002. https://doi.org/10.3390/molecules28104002

