Abstract
A technique to image α-synuclein (αSYN) fibrils in vivo is an unmet scientific and clinical need that would represent a transformative tool in the understanding, diagnosis, and treatment of various neurodegenerative diseases. Several classes of compounds have shown promising results as potential PET tracers, but no candidate has yet exhibited the affinity and selectivity required to reach clinical application. We hypothesized that the application of the rational drug design technique of molecular hybridization to two promising lead scaffolds could enhance the binding to αSYN up to the fulfillment of those requirements. By combining the structures of SIL and MODAG tracers, we developed a library of diarylpyrazoles (DAPs). In vitro evaluation through competition assays against [3H]SIL26 and [3H]MODAG−001 showed the novel hybrid scaffold to have preferential binding affinity for amyloid β (Aβ) over αSYN fibrils. A ring-opening modification on the phenothiazine building block to produce analogs with increased three-dimensional flexibility did not result in an improved αSYN binding but a complete loss of competition, as well as a significant reduction in Aβ affinity. The combination of the phenothiazine and the 3,5-diphenylpyrazole scaffolds into DAP hybrids did not generate an enhanced αSYN PET tracer lead compound. Instead, these efforts identified a scaffold for promising Aβ ligands that may be relevant to the treatment and monitoring of Alzheimer’s disease (AD).
Keywords:
α-synuclein; positron emission tomography; PET tracer; phenothiazine; 3,5-diphenylpyrazole; PD; MSA; DLB 1. Introduction
Neurodegenerative diseases such as Parkinson’s disease (PD), multiple system atrophy (MSA), and dementia with Lewy bodies (DLB) share the accumulation of α-synuclein (αSYN) fibrils as a hallmark of pathogenesis [1,2]. Although a cell-to-cell prion-like spreading of αSYN oligomers has been widely suggested [3,4], the protein’s role in disease progression is still not fully understood [5,6]. A technique to image αSYN fibrils in vivo would be invaluable to the advancement of the field, providing a tool for the early diagnosis and scientific study of synucleinopathies as well as the evaluation of new potential therapies.
Positron emission tomography (PET) is a non-invasive technique whose sensitivity allows the imaging of protein aggregates in vivo. This approach is already clinically established for the quantitative detection of amyloid β (Aβ) plaques in Alzheimer’s disease (AD) patients [7]. However, αSYN fibrils are much less abundant (at least 10-fold lower density) [8]; they are located intracellularly and are often accompanied by age-related structurally similar Aβ and tau fibrils. These factors demand molecular probes with exceptionally high affinities and selectivities for the target, making the implementation of an in vivo imaging approach to synucleinopathies significantly more challenging. Despite the development of multiple promising compound classes [9], no αSYN PET tracer is currently validated for clinical use.
Phenothiazines stand out as promising structures among the αSYN ligands evaluated so far. Yu et al. developed a library of phenothiazine-based analogs, and the in vitro assessment of their binding properties via fibril assays led to the identification of SIL5 and SIL26 (Figure 1), with encouraging affinities to αSYN for both (Ki-SIL5 = 66.2 nM, Ki-SIL26 = 15.5 nM) and moderate selectivity over Aβ (Ki-SIL26 = 103 nM) and tau (Ki-SIL26 = 125 nM) for the latter [10,11,12].
In addition to these efforts, Wagner et al. performed a systematic high-throughput screening combined with structure–activity relationship (SAR) studies to identify anle138b from a library of 3,5-diphenylpyrazoles as an inhibitor of αSYN fibril aggregation, highlighting the compound’s specific binding to pathological αSYN oligomers [13]. In parallel to its phase 1 clinical trial evaluation as a potential therapeutic agent [14,15,16], the lead compound was further developed into a series of novel carbon-11 labeled PET tracers, such as [11C]anle253b (IC50 = 1.6 nM) and [11C]MODAG−001 (Kd = 0.6 ± 0.1 nM) [17,18].
Recent in silico studies revealed the existence of multiple binding sites in αSYN fibrils, with different classes of compounds interacting with distinct portions of the fibrils: Y39-S42-T44 (site 2), G86-F94-K96 (site 9), and K43-K45-V48-H50 (site 3/13) were the clefts identified as putative binding sites. SIL26 showed preferential binding to the positively charged site 3/13, while anle138b was not included in the investigation [19]. As the two lead compounds exhibited reciprocal displacement in competition binding assays [18], we hypothesize that they interact with overlapping sections of the same site. A scaffold accommodating a larger portion of the site (Figure 1) would produce a greater release of free energy upon binding, resulting in higher affinity.
The combination of two promising scaffolds is a widespread approach in medicinal chemistry. Numerous ligands have been conjugated by a linker, fused, or merged to improve their properties (e.g., higher affinity and selectivity, enhanced pharmacokinetics and pharmacodynamics, reduced toxicity) [20,21] or integrate their activity towards different targets [22,23]. By applying molecular hybridization as the drug design technique, this study aims at merging two established αSYN scaffolds (phenothiazine and 3,5-diphenylpyrazole) in an attempt to produce a novel ligand with improved binding properties suitable for the development of an αSYN PET tracer.
Figure 1.
The development of DAP hybrid compounds by the combination of the promising αSYN ligands MODAG−001 and SIL5/SIL26 as an attempt to achieve interaction with a larger portion of the binding site. αSYN structure described by solid-state NMR [24] (PDB ID: 2N0A) was visualized by Chem3D 20.1 (PerkinElmer Informatics, Waltham, MA, USA) and the ligands’ interaction with the binding site 3/13 [19] was schematically illustrated.
Figure 1.
The development of DAP hybrid compounds by the combination of the promising αSYN ligands MODAG−001 and SIL5/SIL26 as an attempt to achieve interaction with a larger portion of the binding site. αSYN structure described by solid-state NMR [24] (PDB ID: 2N0A) was visualized by Chem3D 20.1 (PerkinElmer Informatics, Waltham, MA, USA) and the ligands’ interaction with the binding site 3/13 [19] was schematically illustrated.

2. Results and Discussion
2.1. Development of a DAP Library by the Combination of SIL and MODAG Scaffolds
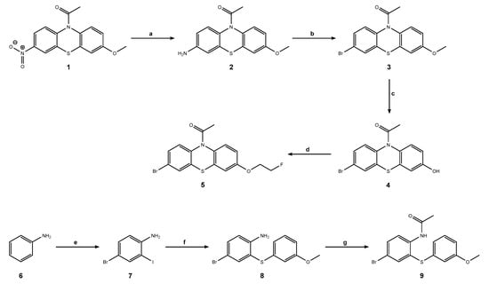
Two sets of diarylpyrazole (DAP) hybrid compounds were designed and developed based on the combination of the parent scaffolds (Figure 1) to produce a new class of compounds with promising αSYN binding. Bromo-substituted SIL5 (3) and SIL26 (5) analogs were synthesized by the NiCl2-catalyzed reduction of the nitro group into a primary amine followed by bromination, using t-BuONO and CuBr2 (Scheme 1) [25,26]. The 3-bromo phenothiazines were reacted in Pd(PPh3)4-catalyzed cross-couplings with diversely substituted THP-protected 3-aryl stannylpyrazoles followed by acidic deprotection to produce a small library of novel derivatives (Scheme 2 and Scheme 3). Their binding properties were evaluated through competition binding assays against [3H]SIL26 and [3H]MODAG−001 on human recombinant αSYN fibrils and synthetic Aβ1-42 fibrils. The in vitro results reported in Table 1 show that DAP hybrids have a significantly lower affinity towards αSYN than both parent scaffolds, with a minimum of 6-fold reduction compared to SIL26 and a 117- to 848-fold decrease compared to MODAG−001 [11,18]. These findings disprove our hypothesis of enhanced binding properties resulting from the combination of pharmacophores from SIL and MODAG structures.
Scheme 1.
Synthesis of phenothiazine-based building blocks: (a) NiCl2∙6H2O, NaBH4, MeCN/H2O, r.t., 15 min; (b) CuBr2, t-BuONO, MeCN, 0 °C to r.t., 3 h; (c) BBr3 1M in DCM, DCM, −78 °C to r.t., overnight; (d) NaH, 1-bromo-2-fluoroethane, DMF, 0 °C to r.t., overnight; (e) NH4OAc 0.1% in MeOH, NBS, NIS, MeCN, r.t., 45 min; (f) 3-methoxythiophenol, K2CO3, NMP, 100 °C, overnight; (g) pyridine, acetic anhydride, r.t., 3 h.
Scheme 2.
Synthesis of pyrazole-based building blocks: (a) DHP, TFA, reflux, 45 min; (b) n-BuLi, Br2, THF, −78 °C, 1 h; (c) (SnBu3)2, Pd(PPh3)4, toluene, 100 °C, overnight; (d) aryl bromide, Pd(PPh3)4, NMP, 100 °C, overnight; (e) n-BuLi, SnBuCl3, THF, −78 °C, 1 h.
Scheme 3.
Synthesis of DAP hybrid compounds: (a) 3 or 5, Pd(PPh3)4, NMP, 90 °C, overnight; (b) HCl 37%, MeOH/H2O, 80 °C, 6 h; (c) 9, Pd(PPh3)4, DMF, 110 °C, overnight; (d) HCl 37%, MeOH/H2O, 80 °C, 6 h.
Table 1.
The binding affinities of DAP hybrid compounds determined by competition assays against [3H]SIL26 and [3H]MODAG−001 (mean Ki ± SEM, three data points).
SAR studies carried out by Wagner et al. on the first set of 3,5-diphenylpyrazoles demonstrated a loss of activity when the bromine substitution is transferred from the meta to the ortho position, highlighting the importance of a planar ligand conformation [13]. We speculate that the constrained flat structure of phenothiazines hampers a successful interaction with the binding site by interrupting the linearity of the two phenyl rings bound to the pyrazole.
Interestingly, the binding affinity of DAP hybrids to Aβ fibrils was in the range of 1 to 10 nM for most analogs (Table 1), 1 to 2 orders of magnitude lower than the parent scaffold SIL26. Their low Ki values alone are not sufficient to make our hybrid compounds attractive as potential Aβ PET tracers as they are comparable to the FDA-approved compounds (Florbetaben: Ki = 6.70 ± 0.30 nM, Florbetapir: Kd = 3.72 ± 0.30 nM, Flutemetamol: Ki = 0.74 ± 0.38 nM) [27,28]. An Aβ-focused assay comparing DAPs with the abovementioned tracers would be required to validate the correlation. However, our hybrid compounds represent a novel scaffold whose theranostic profile is worth further investigation. In fact, a library of rhodanine-substituted phenothiazines developed by Dao et al. exhibited inhibition of Aβ1-42 aggregation with IC50 values as low as 0.67 ± 0.02 µM and also induced the disaggregation of preformed Aβ1-42 fibrils (IC50 = 0.82 ± 0.10 µM) [29]. As DAP’s overall structure and predicted conformation (Figure 2) partially overlap with these fluorescent probes, we speculated that they could also share some of their physiological properties. An additional study specifically investigating these traits will be necessary in order to confirm our hypothesis.
Figure 2.
Predicted 3D structure of DAP1a and DAP3a (MM2 energy minimization calculated by Chem3D 20.1, PerkinElmer Informatics, Waltham, MA, USA).
2.2. Enhancement of Structural Flexibility in Ring-Opened DAP Analogs
Based on the hypothesis that the constrained three-dimensional conformation of the phenothiazine ring prevents a successful interaction with the binding site, more flexible DAP hybrid compounds were synthesized to afford a set of analogs that would adjust more effectively to the binding site.
The NH4OAc-catalyzed bromination procedure proposed by Das et al. was modified into a one-pot, sequential substitution of aniline with N-bromosuccinimide and N-iodosuccinimide to generate 2-iodo-4-bromoaniline (7) [30]. The intermediate was further reacted with 3-methoxythiophenol, followed by N-acetylation, to produce 9, the ring-opened analog of the phenothiazine-based compound 3 (Scheme 1). As in the previously established synthetic pathway, Pd(PPh3)4-catalyzed cross-coupling and acidic deprotection afforded a selection of ring-opened DAP hybrid compounds (Scheme 3).
The minor structural alteration significantly changed the molecule’s three-dimensional architecture, conferring more conformational freedom and potentially favoring the binding affinity. Energy minimization of DAP1a and DAP3a structures revealed a discontinuance of the planarity in the diphenyl thioether moiety of the DAP3a most stable conformation (Figure 2). Together with an electronic change arising from the replacement of a heteroaromatic amine with an aniline, this transformation led to the formation of molecules with very different properties. However, in in vitro assays, all compounds showed a complete loss of competition for αSYN fibrils when tested against both [3H]SIL26 and [3H]MODAG−001 (Table 2), invalidating our hypothesis on flexibility. Additionally, a significant decrease in affinity to Aβ was also observed, highlighting the criticality of three-dimensional conformation in designing new ligands to differentiate between misfolded proteins.
Table 2.
The binding affinities of ring-open DAP compounds determined by competition assays against [3H]SIL26 and [3H]MODAG−001 (mean Ki ± SEM, three data points).
2.3. Interaction with αSYN Binding Sites
Our findings demonstrated that the parent scaffolds compete with each other for the binding to αSYN as SIL26 displaces [3H]MODAG−001 with a Ki of 51.6 nM and MODAG−001 displaces [3H]SIL26 with a Ki of 10.8 nM (Figure 3). These results agreed with the previous literature [18] and aligned with the higher affinity expected for the 3,5-diphenylpyrazole, leading to the hypothesis that the two classes share the same interaction site.
Figure 3.
Competition between SIL26 and MODAG−001 for the binding to αSYN fibrils (three separate experiments per curve).
The biological evaluation of the DAP hybrid compounds did not support our hypothesis. We speculate that the competition between the parent scaffolds results from the existence of two distinct binding sites partially overlapping with each other. Therefore, to successfully fit the interaction site, a different molecular hybridization approach may be necessary, e.g., the introduction of a linker connecting the two moieties or a greater overlap of the parent scaffolds to generate a smaller compound.
A recent solid-state nuclear magnetic resonance spectroscopy (ssNMR) study describes the most stable binding mode of anle138b to αSYN as the end-to-end filling of a tubular cavity [31]. This model raises concerns regarding the overall size of the DAP hybrids, which might partially obstruct their interaction with the fibrils, producing an additional cause for low binding affinity.
3. Materials and Methods
3.1. Chemistry
All chemicals were purchased from Sigma Aldrich (St. Louis, Missouri, USA), abcr GmbH (Karlsruhe, Germany), or Carl Roth (Karlsruhe, Germany) and used without any further purification.
Reaction progress was monitored by thin-layer chromatography (TLC) on 0.20 mm Polygram SIL G/UV254 (silica gel 60) TLC plates (Macherey-Nagel, Düren, Germany) with the chosen eluent mixture and/or analytical HPLC-MS (ESI detector, Agilent, Santa Clara, CA, USA) equipped with a Luna 5 µm C18 (2) 100 Å 50 × 2 mm column (Phenomenex, Torrance, California, USA) under the following gradient: 0–7.60 min (0% to 100% B), 7.60–8.80 (100% B), 8.80–9.30 min (100% to 0% B), 9.30–13.0 min (0% B); solvent A: 0.1% formic acid in H2O; solvent B: MeCN; 0.4 mL/min.
Purification was performed through automated flash chromatography on an Isolera 4 system (Biotage, Uppsala, Sweden).
1H and 13C NMR spectra were acquired on an Avance III AV 600 (1H: 600.13 MHz; 13C: 150.61 MHz) spectrometer (Bruker, Billerica, MA, USA). All chemical shifts (δ) are reported as parts per million (ppm) and referenced to residual solvent peaks (DMSO-d6: δH = 2.50, δC = 39.52).
HPLC-MS chromatograms and 1H NMR spectra of compounds DAP1a-3c are reported in the Supplementary Information.
3.1.1. General Procedure A (Compounds 14a–14c)
To a solution of 13 (1.13 mmol) and the selected aryl bromide (2.27 mmol) in NMP (3.50 mL) under argon atmosphere was added Pd(PPh3)4 (5% mol). The mixture was stirred overnight at 100 °C. The crude product mixture was diluted in water and extracted with EtOAc. The organic phase was dried over MgSO4, evaporated under reduced pressure, and purified by flash chromatography (PE/EtOAc).
3.1.2. General Procedure B (Compounds 15a–15c)
A solution of the selected 3-aryl-1-(tetrahydro-2H-pyran-2-yl)-pyrazole (0.63 mmol) in THF (2.50 mL) was cooled to −78 °C under a positive pressure of argon. A solution of n-BuLi 2.5M in hexane (0.76 mmol) was added dropwise, after which the mixture was stirred for 15 min. SnBu3Cl (0.76 mmol) was added dropwise, and the resulting mixture was stirred for 1 h, allowing it to reach room temperature. The reaction mixture was poured into water and extracted with EtOAc. The organic phase was dried over MgSO4, evaporated under reduced pressure, and purified by flash chromatography (PE/EtOAc).
3.1.3. General Procedure C (Compounds 16a–17c)
To a solution of the selected 3-aryl-1-(tetrahydro-2H-pyran-2-yl)-5-(tributylstannyl)-pyrazole (0.56 mmol) and the selected 3-bromo-7-OR2-N-acetylphenothiazine (0.73 mmol) in NMP (8.50 mL) was added Pd(PPh3)4 (5% mol) under an argon atmosphere. The mixture was stirred overnight at 90 °C. The reaction mixture was diluted with water and extracted with EtOAc. The organic phase was dried over MgSO4, evaporated under reduced pressure, and purified by flash chromatography (PE/EtOAc).
3.1.4. General Procedure D (Compounds 18a–18c)
To a solution of the selected 3-aryl-1-(tetrahydro-2H-pyran-2-yl)-5-(tributylstannyl)-pyrazole (0.31 mmol) and 9 (0.40 mmol) in DMF (5.00 mL) was added Pd(PPh3)4 (10% mol), under an argon atmosphere. The mixture was stirred overnight at 110 °C. The crude was diluted with water and extracted with EtOAc. The organic phase was dried over MgSO4, evaporated under reduced pressure, and purified by flash chromatography (PE/EtOAc).
3.1.5. General Procedure E (DAP1a-DAP3c)
To a suspension of the selected protected DAP compound (0.26 mmol) in MeOH/H2O 1:1 v/v (13.0 mL, 13.0 mL), HCl 37% (1.30 mL) was added, and the reaction was stirred at 80 °C for 6 h. The mixture was poured into water, neutralized with NaOH aq. 18 M, and extracted with EtOAc. The organic phase was dried over MgSO4, evaporated under reduced pressure, and purified by flash chromatography (PE/EtOAc or DCM/MeOH).
3.1.6. 1-(3-Methoxy-7-nitro-10H-phenothiazin-10-yl)ethan-1-one (1)
The three-step synthesis was carried out according to the literature procedure [10], starting from 2-amino-6-methoxybenzo[d]thiazole and 1-chloro-2,4-dinitrobenzene. The product was afforded as an orange solid (13.1 g, 58%), with all analytical data corresponding to the published data. Rf: 0.43 (PE/EtOAc 1:1). 1H NMR (600 MHz, DMSO-d6) δ 8.39 (d, J = 2.6 Hz, 1H), 8.21 (dd, J = 8.8, 2.6 Hz, 1H), 7.82 (d, J = 8.8 Hz, 1H), 7.58 (d, J = 8.8 Hz, 1H), 7.17 (d, J = 2.8 Hz, 1H), 6.99 (dd, J = 8.8, 2.8 Hz, 1H), 3.79 (s, 3H), 2.16 (s, 3H). 13C NMR (151 MHz, DMSO-d6) δ 168.6, 158.0, 145.3, 144.5, 133.7, 132.2, 130.4, 128.2, 128.0, 122.8, 122.3, 114.1, 112.5, 55.7, 22.7. HPLC-MS (ESI): m/z calcd for C15H12N2O4S 316.05; [M + H]+ found 317.10.
3.1.7. 1-(3-Amino-7-methoxy-10H-phenothiazin-10-yl)ethan-1-one (2)
To a solution of 1 (13.1 g, 41.4 mmol) in MeCN/H2O 10:1 v/v (260 mL, 26.0 mL) was added NiCl2∙6H2O (1.97 g, 8.28 mmol), and the mixture was stirred at room temperature for 5 min. NaBH4 (6.26 g, 165 mmol) was then added in portions, and the reaction was stirred at room temperature for a further 15 min. The reaction mixture was diluted with water and extracted with DCM. The organic phase was washed with water, dried over MgSO4, and evaporated to afford the product as a brown solid (11.0 g, 93%). Rf: 0.20 (PE/EtOAc 1:1). 1H NMR (600 MHz, DMSO-d6) δ 7.42 (d, J = 8.8 Hz, 1H), 7.19 (d, J = 8.5 Hz, 1H), 7.05 (d, J = 2.8 Hz, 1H), 6.89 (dd, J = 8.8, 2.8 Hz, 1H), 6.66 (d, J = 2.4 Hz, 1H), 6.53 (dd, J = 8.5, 2.4 Hz, 1H), 5.30 (s, 2H), 3.76 (s, 3H), 2.04 (s, 3H). 13C NMR (151 MHz, DMSO-d6) δ 168.9, 157.2, 147.4, 132.4, 127.8, 127.8, 127.4, 127.3, 127.3, 112.8, 112.5, 112.0, 111.4, 55.5, 22.4. HPLC-MS (ESI): m/z calcd for C15H14N2O2S 286.08; [M + H]+ found 287.10.
3.1.8. 1-(3-Bromo-7-methoxy-10H-phenothiazin-10-yl)ethan-1-one (3)
A solution of 2 (3.00 g, 10.5 mmol) in MeCN (1.00 L) was cooled to 0 °C under an argon atmosphere, and CuBr2 (3.51 g, 15.7 mmol) was added. t-BuONO (2.08 mL, 15.7 mmol) was added dropwise at 0 °C, and the mixture was stirred at room temperature for 3 h. The reaction was quenched with H3NSO3 aq. 48.5M (1.00 L) and extracted four times with EtOAc. The organic phase was dried over MgSO4, evaporated under reduced pressure, and purified by flash chromatography (PE/EtOAc 5% to 45% B) to afford the product as a pink solid (1.07 g, 29%). Rf: 0.51 (PE/EtOAc 1:1). 1H NMR (600 MHz, DMSO-d6) δ 7.79 (d, J = 2.2 Hz, 1H), 7.56 (dd, J = 8.5, 2.2 Hz, 1H), 7.52 (d, J = 8.5 Hz, 2H), 7.13 (d, J = 2.8 Hz, 1H), 6.96 (dd, J = 8.8, 2.8 Hz, 1H), 3.78 (s, 3H), 2.10 (s, 3H). 13C NMR (151 MHz, DMSO-d6) δ 168.6, 157.7, 138.3, 138.3, 134.4, 131.2, 129.9, 129.9, 129.0, 128.0, 119.0, 113.7, 112.4, 55.7, 22.6. HPLC-MS (ESI): m/z calcd for C15H12BrNO2S 348.98; [M + H]+ found 349.95, 351.90.
3.1.9. 1-(3-Bromo-7-hydroxy-10H-phenothiazin-10-yl)ethan-1-one (4)
A solution of 3 (1.05 g, 3.01 mmol) in DCM (45.0 mL) was cooled to −78 °C under an argon atmosphere, and BBr3 1M in DCM (10.5 mL) was added. The reaction was stirred overnight at room temperature. The crude was poured into water and extracted with DCM. The organic phase was dried over MgSO4, evaporated, and further purified by flash chromatography (PE/EtOAc 8% to 66% B) to afford the product as a pink solid (632 mg, 63%). Rf: 0.37 (PE/EtOAc 1:1). 1H NMR (600 MHz, DMSO-d6) δ 9.90 (s, 1H), 7.77 (dd, J = 2.1, 1.1 Hz, 1H), 7.54 (dd, J = 8.3, 2.1 Hz, 1H), 7.50 (t, J = 8.3 Hz, 1H), 7.40 (d, J = 8.7 Hz, 1H), 6.89 (d, J = 2.7 Hz, 1H), 6.78 (dd, J = 8.7, 2.7 Hz, 1H), 2.09 (s, 3H). 13C NMR (151 MHz, DMSO-d6) δ 168.7, 156.1, 138.5, 138.4, 134.5, 132.4, 129.8, 129.8, 129.1, 128.0, 118.9, 114.6, 113.8, 22.6. HPLC-MS (ESI): m/z calcd for C14H10BrNO2S 334.96; [M + H]+ found 336.15, 337.95.
3.1.10. 1-(3-Bromo-7-(2-fluoroethoxy)-10H-phenothiazin-10-yl)ethan-1-one (5)
A solution of 4 (365 mg, 0.98 mmol) in dry DMF (24.0 mL) was cooled to 0 °C under an argon atmosphere, and a NaH 60% dispersion in mineral oil (58.6 mg, 1.47 mmol) was added. The mixture was stirred at 0 °C for 15 min. 1-Bromo-2-fluoroethane (0.11 mL, 1.47 mmol) was added dropwise, and the reaction was stirred overnight at room temperature. The reaction mixture was poured into water (220 mL) and extracted with EtOAc. The organic phase was dried over MgSO4, evaporated under reduced pressure, and purified by flash chromatography (PE/EtOAc 8% to 66% B) to afford the product as a pink solid (301 mg, 91%). Rf: 0.18 (PE/EtOAc 2:1). 1H NMR (600 MHz, DMSO-d6) δ 7.79 (d, J = 2.1 Hz, 1H), 7.56 (dd, J = 8.4, 2.1 Hz, 1H), 7.55–7.47 (m, 2H), 7.18 (d, J = 2.8 Hz, 1H), 7.00 (dd, J = 8.8, 2.8 Hz, 1H), 4.73 (dt, J = 47.9, 3.9 Hz, 2H), 4.27 (dq, J = 30.4, 4.4 Hz, 2H), 2.10 (s, 3H). 13C NMR (151 MHz, DMSO-d6) δ 168.6, 156.6, 138.3, 138.3, 131.5, 130.0, 130.0, 129.9, 129.0, 128.1, 119.0, 114.2, 113.0, 82.0 (d, J = 166.6 Hz), 67.6 (d, J = 18.9 Hz), 22.6. HPLC-MS (ESI): m/z calcd for C16H13BrFNO2S 380.98; [M + H]+ found 382.05, 384.00.
3.1.11. 4-Bromo-2-iodoaniline (7)
NH4OAc 0.1% in MeOH (1.50 mL) was added to a solution of aniline (1.50 mL, 16.4 mmol) in MeCN (75.0 mL). N-Bromosuccinimide (2.92 g, 16.4 mmol) was added in portions, and the mixture was stirred at room temperature for 15 min. HPLC-MS confirmed that the mono-substitution of the aniline was achieved. N-Iodosuccinimide (4.07 g, 18.1 mmol) was added in portions, and the mixture was stirred at room temperature for 30 min. The solvent was concentrated under a vacuum and the crude was poured into water and extracted with EtOAc. The organic phase was dried over MgSO4, evaporated under reduced pressure, and purified by flash chromatography (PE/EtOAc 10% to 20% B) to afford the product (1.98 g, 40%). Rf: 0.64 (PE/EtOAc 1:1). 1H NMR (600 MHz, DMSO-d6) δ 7.65 (d, J = 2.3 Hz, 1H), 7.21 (dd, J = 8.6, 2.3 Hz, 1H), 6.70 (d, J = 8.6 Hz, 1H), 5.37 (s, 2H). 13C NMR (151 MHz, DMSO-d6) δ 148.1, 139.3, 131.5, 115.5, 106.6, 83.4. HPLC-MS (ESI): m/z calcd for C6H5BrIN 296.87; found [M + H]+ 297.90, 299.85.
3.1.12. 4-Bromo-2-((3-methoxyphenyl)thio)aniline (8)
3-Methoxythiophenol (0.81 mL, 6.54 mmol) and potassium carbonate (1.09 g, 7.85 mmol) were added to a solution of 7 (1.95 g, 6.54 mmol) in NMP (20.0 mL) under argon atmosphere. CuI (62.3 mg, 5% mol) was added, and the mixture was stirred overnight at 100 °C. The reaction mixture was poured into water and extracted with EtOAc. The organic phase was dried over MgSO4, evaporated under reduced pressure, and purified by flash chromatography (PE/EtOAc 1% to 15% B) to afford the product (748 mg, 37%). Rf: 0.44 (PE/EtOAc 5:1). 1H NMR (600 MHz, DMSO-d6) δ 7.42 (d, J = 2.4 Hz, 1H), 7.30 (dd, J = 8.6, 2.4 Hz, 1H), 7.20 (t, J = 8.3 Hz, 1H), 6.78 (d, J = 8.6 Hz, 1H), 6.75 (ddd, J = 8.3, 2.4, 1.0 Hz, 1H), 6.66–6.62 (m, 2H), 5.59 (s, 2H), 3.69 (s, 3H). 13C NMR (151 MHz, DMSO-d6) δ 159.7, 149.6, 137.9, 137.1, 133.5, 130.1, 119.0, 116.7, 114.1, 112.6, 111.2, 105.9, 55.1. HPLC-MS (ESI): m/z calcd for C13H12BrNOS 308.98; [M + H]+ found 309.90, 312.00.
3.1.13. N-(4-Bromo-2-((3-methoxyphenyl)thio)phenyl)acetamide (9)
Pyridine (3.5 mL) was added to a solution of 8 (735 mg, 2.37 mmol) in acetic anhydride (20.0 mL), and the mixture was stirred at room temperature for 3 h. The reaction mixture was poured into water and extracted with EtOAc. The organic phase was dried over MgSO4, evaporated under reduced pressure, and purified by flash chromatography (PE/EtOAc 1% to 20% B) to afford the product (708 mg, 85%). Rf: 0.28 (PE/EtOAc 5:1). 1H NMR (600 MHz, DMSO-d6) δ 9.43 (d, J = 22.9 Hz, 1H), 7.56 (d, J = 8.6 Hz, 1H), 7.49 (dd, J = 8.6, 2.4 Hz, 1H), 7.35 (d, J = 2.4 Hz, 1H), 7.31 (t, J = 8.2 Hz, 1H), 6.94–6.89 (m, 1H), 6.85 (d, J = 8.6 Hz, 1H), 6.85 (s, 1H), 3.73 (s, 3H), 2.00 (s, 3H). 13C NMR (151 MHz, DMSO-d6) δ 168.6, 159.8, 137.0, 134.8, 133.9, 130.9, 130.9, 130.5, 127.3, 122.8, 117.3, 116.1, 113.5, 55.2, 23.1. HPLC-MS (ESI): m/z calcd for C15H14BrNO2S 350.99; [M + H]+ found 352.05, 354.00.
3.1.14. 1-(Tetrahydro-2H-pyran-2-yl)-pyrazole (11)
To a solution of 1H-pyrazole (1.40 g, 21.0 mmol) in 3,4-dihydro-2H-pyran (2.57 mL, 27.3 mmol), TFA (0.50 mL, 6.21 mmol) was added. The mixture was refluxed for 45 min. The reaction mixture was diluted in water and extracted with EtOAc. The organic phase was dried over MgSO4, evaporated under reduced pressure, and purified by flash chromatography (PE/EtOAc 8% to 65% B) to afford the product as a colorless oil (2.97 g, 93%). Rf: 0.48 (PE/EtOAc 2:1). 1H NMR (600 MHz, DMSO-d6) δ 7.84 (dd, J = 2.4, 0.7 Hz, 1H), 7.47 (dd, J = 1.7, 0.7 Hz, 1H), 6.29 (dd, J = 2.4, 1.7 Hz, 1H), 5.40 (dd, J = 10.0, 2.5 Hz, 1H), 3.91 (dtd, J = 11.5, 3.8, 1.9 Hz, 1H), 3.67–3.57 (m, 1H), 2.15–2.02 (m, 1H), 1.97–1.86 (m, 2H), 1.71–1.62 (m, 1H), 1.57–1.50 (m, 2H). 13C NMR (151 MHz, DMSO-d6) δ 138.7, 128.6, 105.7, 86.7, 66.8, 30.0, 24.7, 22.1. HPLC-MS (ESI): m/z calcd for C8H12N2O 152.09; [M + H]+ found 153.15.
3.1.15. 3-Bromo-1-(tetrahydro-2H-pyran-2-yl)-pyrazole (12)
A solution of 11 (2.97 g, 152 mmol) in THF (22.0 mL) was cooled to −78 °C under argon atmosphere. A solution of n-BuLi 2.5M in hexane (10.1 mL, 25.3 mmol) was added dropwise. Bromine (1.30 mL, 25.3 mmol) was added dropwise, and the mixture was stirred for 1 h. The reaction mixture was poured into water and extracted with EtOAc. The organic phase was dried over MgSO4, evaporated under reduced pressure, and heated at 150 °C for a few seconds to allow conversion into the thermodynamically more stable 3-bromo regioisomer. It was purified by flash chromatography (PE/EtOAc 6% to 20% B) to afford the product as a light yellow oil (1.84 g, 41%). Rf: 0.33 (PE/EtOAc 2:1). 1H NMR (600 MHz, DMSO-d6) δ 7.89 (d, J = 2.5 Hz, 1H), 6.43 (d, J = 2.4 Hz, 1H), 5.37 (dd, J = 9.9, 2.4 Hz, 1H), 3.91 (dtd, J = 11.5, 4.0, 1.8 Hz, 1H), 3.66–3.56 (m, 1H), 2.10–2.00 (m, 1H), 1.96–1.85 (m, 2H), 1.70–1.59 (m, 1H), 1.56–1.49 (m, 2H). 13C NMR (151 MHz, DMSO-d6) δ 131.8, 125.0, 108.5, 86.8, 66.8, 29.4, 24.5, 21.8. HPLC-MS (ESI): m/z calcd for C3H3BrN2 (THP cleaved by acidic conditions) 145.95; [M + H]+ found 147.00, 148.95.
3.1.16. 1-(Tetrahydro-2H-pyran-2-yl)-3-(tributylstannyl)-pyrazole (13)
To a solution of 12 (500 mg, 2.16 mmol) in toluene (6.00 mL), bis(tributyltin) (1.31 mL, 2.60 mmol) and Pd(PPh3)4 (250 mg, 0.22 mmol) were added under an argon atmosphere. The mixture was stirred overnight at 100 °C. The reaction mixture was diluted in water and extracted with EtOAc. The organic phase was dried over MgSO4, evaporated under reduced pressure, and purified by flash chromatography (PE/EtOAc 6% to 12% B) to afford the product as a colorless oil (359 mg, 38%). Rf: 0.46 (PE/EtOAc 9:1). 1H NMR (600 MHz, DMSO-d6) δ 7.86 (d, J = 2.3 Hz, 1H), 6.32 (d, J = 2.2 Hz, 1H), 5.45 (dd, J = 9.9, 2.6 Hz, 1H), 3.90 (dtd, J = 11.5, 3.8, 1.8 Hz, 1H), 3.67–3.56 (m, 1H), 2.07 (dddd, J = 12.9, 12.1, 9.8, 4.0 Hz, 1H), 1.95 (dtd, J = 13.3, 4.0, 1.8 Hz, 1H), 1.89 (dq, J = 12.9, 3.6 Hz, 1H), 1.72–1.64 (m, 1H), 1.65–1.55 (m, 2H), 1.55–1.51 (m, 6H), 1.29 (h, J = 7.8, 7.2 Hz, 6H), 1.01 (t, J = 7.9 Hz, 6H), 0.85 (t, J = 7.3 Hz, 9H). 13C NMR (151 MHz, DMSO-d6) δ 150.2, 128.1, 113.7, 86.4, 66.7, 30.1, 28.5, 26.6, 24.7, 22.1, 13.5, 9.4. HPLC-MS (ESI): m/z calcd for C20H38N2OSn 442.20; [M + H]+ found 443.25.
3.1.17. 3-Phenyl-1-(tetrahydro-2H-pyran-2-yl)-pyrazole (14a)
The synthesis was carried out according to general procedure A (149 mg, 58%). Rf: 0.51 (PE/EtOAc 3:1). 1H NMR (600 MHz, DMSO-d6) δ 7.92 (d, J = 2.5 Hz, 1H), 7.81 (dd, J = 8.2, 1.3 Hz, 2H), 7.40 (t, J = 7.7 Hz, 2H), 7.30 (tt, J = 7.4, 1.2 Hz, 1H), 6.77 (d, J = 2.4 Hz, 1H), 5.43 (dd, J = 10.1, 2.3 Hz, 1H), 3.95 (dtd, J = 13.1, 4.1, 1.8 Hz, 1H), 3.69–3.60 (m, 1H), 2.19–2.09 (m, 1H), 1.98–1.90 (m, 2H), 1.74–1.65 (m, 1H), 1.64–1.57 (m, 2H). 13C NMR (151 MHz, DMSO-d6) δ 150.0, 133.2, 130.3, 128.6, 127.6, 125.2, 103.1, 86.9, 66.9, 29.9, 24.6, 22.1. HPLC-MS (ESI): m/z calcd for C9H8N2 144.07 and C14H16N2O 228.13; [M + H]+ found 145.20, 229.20.
3.1.18. 2-(1-(Tetrahydro-2H-pyran-2-yl)-1H-pyrazol-3-yl)pyridine (14b)
The synthesis was carried out according to general procedure A (171 mg, 66%). Rf: 0.23 (PE/EtOAc 1:1). 1H NMR (600 MHz, DMSO-d6) δ 8.57 (ddd, J = 4.8, 1.8, 1.0 Hz, 1H), 7.96 (t, J = 2.4 Hz, 1H), 7.94 (dq, J = 7.9, 1.2 Hz, 1H), 7.82 (td, J = 7.7, 1.8 Hz, 1H), 7.34–7.28 (m, 1H), 6.86 (t, J = 2.2 Hz, 1H), 5.46 (dt, J = 10.1, 2.1 Hz, 1H), 3.95 (dtd, J = 13.4, 4.2, 1.8 Hz, 1H), 3.69–3.62 (m, 1H), 2.19–2.10 (m, 1H), 1.98–1.92 (m, 2H), 1.74–1.63 (m, 1H), 1.58–1.51 (m, 2H). 13C NMR (151 MHz, DMSO-d6) δ 151.7, 150.9, 149.3, 136.8, 130.5, 122.7, 119.3, 104.4, 87.0, 66.9, 29.8, 24.6, 22.0. HPLC-MS (ESI): m/z calcd for C8H7N3 145.06 and C13H15N3O 229.12; [M + H]+ found 146.10, 230.10.
3.1.19. 3-(3-Fluorophenyl)-1-(tetrahydro-2H-pyran-2-yl)-pyrazole (14c)
The synthesis was carried out according to general procedure A (386 mg, 69%). Rf: 0.61 (PE/EtOAc 2:1). 1H NMR (600 MHz, DMSO-d6) δ 7.94 (d, J = 2.5 Hz, 1H), 7.66 (dt, J = 7.7, 1.2 Hz, 1H), 7.59 (ddd, J = 10.6, 2.7, 1.6 Hz, 1H), 7.44 (td, J = 8.0, 6.2 Hz, 1H), 7.12 (tdd, J = 9.2, 2.7, 0.9 Hz, 1H), 6.83 (d, J = 2.5 Hz, 1H), 5.45 (dd, J = 10.1, 2.4 Hz, 1H), 3.95 (dtd, J = 11.5, 3.8, 1.8 Hz, 1H), 3.69–3.62 (m, 1H), 2.19–2.08 (m, 1H), 2.00–1.92 (m, 2H), 1.75–1.64 (m, 1H), 1.56 (tt, J = 7.8, 3.8 Hz, 2H). 13C NMR (151 MHz, DMSO-d6) δ 162.5 (d, J = 242.7 Hz), 148.8 (d, J = 3.0 Hz), 135.6 (d, J = 8.3 Hz), 130.5 (d, J = 8.6 Hz), 130.4, 121.1 (d, J = 2.8 Hz), 114.1 (d, J = 21.2 Hz), 111.6 (d, J = 22.4 Hz), 103.5, 86.8, 66.7, 29.7, 24.5, 21.9. HPLC-MS (ESI): m/z calcd for C9H7FN2 162.06 and C14H15FN2O 246.12; [M + H]+ found 163.05, 247.20.
3.1.20. 3-Phenyl-1-(tetrahydro-2H-pyran-2-yl)-5-(tributylstannyl)-pyrazole (15a)
The synthesis was carried out according to general procedure B (298 mg, 91%). Rf: 0.74 (PE/EtOAc 5:1). 1H NMR (600 MHz, DMSO-d6) δ 7.80 (dd, J = 8.3, 1.2 Hz, 2H), 7.38 (t, J = 7.7 Hz, 2H), 7.27 (tt, J = 7.4, 1.3 Hz, 1H), 6.74 (t, J = 3.9 Hz, 1H), 5.31–5.22 (m, 1H), 3.95 (dtd, J = 10.8, 3.6, 1.8 Hz, 1H), 3.68–3.58 (m, 1H), 2.12–2.04 (m, 2H), 2.03–1.95 (m, 1H), 1.72–1.64 (m, 1H), 1.64–1.56 (m, 2H), 1.56–1.47 (m, 6H), 1.31 (h, J = 7.3 Hz, 6H), 1.14–1.08 (m, 6H), 0.89–0.85 (m, 9H). 13C NMR (151 MHz, DMSO-d6) δ 149.8, 142.5, 133.5, 128.5, 127.3, 125.2, 112.1, 88.1, 66.9, 28.5, 27.7, 26.6, 26.2, 24.6, 13.5, 10.3. HPLC-MS (ESI): m/z calcd for C26H42N2OSn 518.23; [M + H]+ found 519.00.
3.1.21. 2-(1-(Tetrahydro-2H-pyran-2-yl)-5-(tributylstannyl)-1H-pyrazol-3-yl)pyridine (15b)
The synthesis was carried out according to general procedure B (245 mg, 68%). Rf: 0.25 (PE/EtOAc 5:1). 1H NMR (600 MHz, DMSO-d6) δ 8.56 (ddd, J = 4.8, 1.8, 0.9 Hz, 1H), 7.90 (dt, J = 8.0, 1.1 Hz, 1H), 7.80 (td, J = 7.7, 1.8 Hz, 1H), 7.28 (ddd, J = 7.5, 4.8, 1.2 Hz, 1H), 6.88 (t, J = 4.0 Hz, 1H), 5.34–5.27 (m, 1H), 3.96 (dtd, J = 10.8, 4.2, 1.8 Hz, 1H), 3.69–3.60 (m, 1H), 2.09 (ddd, J = 11.0, 8.6, 4.2 Hz, 2H), 2.02–1.97 (m, 1H), 1.75–1.65 (m, 1H), 1.60–1.56 (m, 2H), 1.56–1.48 (m, 6H), 1.31 (h, J = 7.3 Hz, 6H), 1.14–1.08 (m, 6H), 0.86 (t, J = 7.3 Hz, 9H). 13C NMR (151 MHz, DMSO-d6) δ 152.0, 150.6, 149.2, 142.7, 136.7, 122.4, 119.4, 113.4, 88.2, 66.9, 30.7, 28.5, 26.6, 24.6, 21.7, 13.5, 10.4. HPLC-MS (ESI): m/z calcd for C25H41N3OSn 519.23; [M + H]+ found 520.35.
3.1.22. 3-(3-Fluorophenyl)-1-(tetrahydro-2H-pyran-2-yl)-5-(tributylstannyl)-pyrazole (15c)
The synthesis was carried out according to general procedure B (516 mg, 63%). Rf: 0.74 (PE/EtOAc 5:1). 1H NMR (600 MHz, DMSO-d6) δ 7.65 (dt, J = 7.7, 1.2 Hz, 1H), 7.59 (ddd, J = 10.5, 2.7, 1.5 Hz, 1H), 7.42 (td, J = 8.0, 6.2 Hz, 1H), 7.09 (tdd, J = 9.1, 2.6, 0.9 Hz, 1H), 6.82 (t, J = 4.1 Hz, 1H), 5.30–5.23 (m, 1H), 3.94 (dtd, J = 11.2, 3.9, 1.8 Hz, 1H), 3.67–3.58 (m, 1H), 2.10–2.04 (m, 2H), 1.97 (dtd, J = 13.2, 4.0, 1.6 Hz, 1H), 1.72–1.64 (m, 1H), 1.59–1.55 (m, 2H), 1.56–1.47 (m, 6H), 1.30 (h, J = 7.3 Hz, 6H), 1.13–1.07 (m, 6H), 0.86 (t, J = 7.3 Hz, 9H). 13C NMR (151 MHz, DMSO-d6) δ 162.6 (d, J = 242.3 Hz), 148.8 (d, J = 2.7 Hz), 142.9, 136.0 (d, J = 8.3 Hz), 130.6 (d, J = 8.5 Hz), 121.3 (d, J = 2.7 Hz), 113.9 (d, J = 20.9 Hz), 112.6, 111.7 (d, J = 22.5 Hz), 88.2, 66.9, 30.7, 28.5, 26.6, 24.6, 21.7, 13.5, 10.3. HPLC-MS (ESI): m/z calcd for C21H33FN2Sn (THP cleaved by acidic conditions) 452.16; [M+NH4]+ found 470.40.
3.1.23. 1-(3-Methoxy-7-(3-phenyl-1-(tetrahydro-2H-pyran-2-yl)-1H-pyrazol-5-yl)-10H-phenothiazin-10-yl)ethan-1-one (16a)
The synthesis was carried out according to general procedure C (149 mg, 53%). Rf: 0.35 (PE/EtOAc 1:1). 1H NMR (600 MHz, DMSO-d6) δ 7.87 (d, J = 7.3 Hz, 2H), 7.75 (d, J = 7.6 Hz, 2H), 7.60 (d, J = 8.1 Hz, 1H), 7.57 (d, J = 8.8 Hz, 1H), 7.43 (t, J = 7.7 Hz, 2H), 7.33 (t, J = 7.4 Hz, 1H), 7.17 (d, J = 2.8 Hz, 1H), 7.02 (s, 1H), 6.97 (dd, J = 8.8, 2.8 Hz, 1H), 5.29 (d, J = 9.6 Hz, 1H), 4.03 (d, J = 7.3 Hz, 1H), 3.79 (s, 3H), 3.59 (t, J = 11.3 Hz, 1H), 2.50–2.43 (m, 1H), 2.17 (s, 3H), 1.97 (s, 1H), 1.85 (d, J = 13.0 Hz, 1H), 1.66–1.57 (m, 2H), 1.55–1.50 (m, 1H). 13C NMR (151 MHz, DMSO-d6) δ 168.6, 157.7, 149.6, 143.7, 139.3, 133.0, 132.8, 132.5, 131.2, 128.7, 128.1, 128.0, 127.9, 127.7, 127.4, 127.1, 125.3, 113.6, 112.4, 104.4, 83.8, 66.5, 55.7, 29.0, 24.5, 22.7, 22.0. HPLC-MS (ESI): m/z calcd for C24H19N3O2S (THP cleaved by acidic conditions) 413.12; [M + H]+ found 414.15.
3.1.24. 1-(3-Methoxy-7-(3-(pyridin-2-yl)-1-(tetrahydro-2H-pyran-2-yl)-1H-pyrazol-5-yl)-10H-phenothiazin-10-yl)ethan-1-one (16b)
The synthesis was carried out according to general procedure C (43.0 mg, 30%). Rf: 0.18 (PE/EtOAc 1:3). 1H NMR (600 MHz, DMSO-d6) δ 8.60 (dt, J = 4.8, 1.4 Hz, 1H), 8.00 (dd, J = 7.7, 1.2 Hz, 1H), 7.86 (td, J = 7.7, 1.9 Hz, 1H), 7.77 (s, 1H), 7.75 (d, J = 8.3 Hz, 1H), 7.63–7.60 (m, 1H), 7.57 (d, J = 8.9 Hz, 1H), 7.34 (ddd, J = 7.5, 4.8, 1.2 Hz, 1H), 7.18 (d, J = 2.9 Hz, 1H), 7.08 (s, 1H), 6.97 (dd, J = 8.9, 2.9 Hz, 1H), 5.32 (dd, J = 11.6, 2.3 Hz, 1H), 4.08–4.01 (m, 1H), 3.79 (s, 3H), 3.65–3.56 (m, 1H), 2.49–2.40 (m, 1H), 2.17 (s, 3H), 2.05–1.95 (m, 1H), 1.87 (d, J = 12.8 Hz, 1H), 1.66–1.58 (m, 2H), 1.56–1.51 (m, 1H). 13C NMR (151 MHz, DMSO-d6) δ 168.6, 157.7, 151.4, 150.4, 149.3, 143.8, 139.4, 137.0, 136.9, 131.2, 128.8, 128.7, 128.0, 127.7, 127.5, 127.2, 123.0, 119.4, 113.6, 112.4, 105.3, 83.9, 66.5, 55.7, 29.0, 24.5, 22.7, 22.0. HPLC-MS (ESI): m/z calcd for C23H18N4O2S (THP cleaved by acidic conditions) 414.12; [M + H]+ found 415.05.
3.1.25. 1-(3-(3-(3-Fluorophenyl)-1-(tetrahydro-2H-pyran-2-yl)-1H-pyrazol-5-yl)-7-methoxy-10H-phenothiazin-10-yl)ethan-1-one (16c)
The synthesis was carried out according to general procedure C (134 mg, 56%). Rf: 0.37 (PE/EtOAc 1:1). 1H NMR (600 MHz, DMSO-d6) δ 7.80–7.73 (m, 2H), 7.72 (dd, J = 7.8, 1.2 Hz, 1H), 7.65 (dt, J = 10.5, 2.0 Hz, 1H), 7.63–7.58 (m, 1H), 7.57 (d, J = 9.0 Hz, 1H), 7.48 (dq, J = 8.2, 1.8 Hz, 1H), 7.20–7.14 (m, 2H), 7.11 (s, 1H), 6.98 (dt, J = 8.9, 2.6 Hz, 1H), 5.30 (t, J = 6.4 Hz, 1H), 4.03 (dt, J = 9.9, 3.5 Hz, 1H), 3.79 (s, 3H), 3.60 (s, 1H), 2.46 (t, J = 11.3 Hz, 1H), 2.17 (s, 3H), 1.98–1.93 (m, 1H), 1.89–1.81 (m, 1H), 1.62 (h, J = 11.6 Hz, 2H), 1.53 (d, J = 12.2 Hz, 1H). 13C NMR (151 MHz, DMSO-d6) δ 168.7, 162.6 (d, J = 242.6 Hz), 157.7, 148.5 (d, J = 2.3 Hz), 144.0, 139.4, 135.3 (d, J = 8.4 Hz), 132.6, 131.2, 130.8 (d, J = 8.3 Hz), 128.1, 128.0, 128.0, 127.7, 127.4, 127.2, 121.3 (d, J = 1.8 Hz), 114.6 (d, J = 21.0 Hz), 113.7, 112.4, 111.8 (d, J = 22.7 Hz), 104.8, 83.9, 66.6, 55.7, 29.0, 24.5, 22.7, 22.0. HPLC-MS (ESI): m/z calcd for C24H18FN3O2S (THP cleaved by acidic conditions) 431.11; [M + H]+ found 432.15.
3.1.26. 1-(3-(2-Fluoroethoxy)-7-(3-phenyl-1H-pyrazol-5-yl)-10H-phenothiazin-10-yl)ethan-1-one (17a)
The synthesis was carried out according to general procedure C (51.0 mg, 20%). Rf: 0.28 (PE/EtOAc 1:2). 1H NMR (600 MHz, DMSO-d6) δ 7.86 (dt, J = 7.0, 1.2 Hz, 2H), 7.76 (br s, 2H), 7.61 (d, J = 9.0 Hz, 1H), 7.58 (d, J = 8.8 Hz, 1H), 7.43 (t, J = 7.7 Hz, 2H), 7.34 (tt, J = 7.4, 1.2 Hz, 1H), 7.23 (d, J = 2.8 Hz, 1H), 7.03 (s, 1H), 7.02 (dd, J = 8.8, 2.8 Hz, 1H), 5.29 (d, J = 9.6 Hz, 1H), 4.74 (dt, J = 47.8, 3.9 Hz, 2H), 4.29 (d, J = 31.7 Hz, 2H), 4.03 (dp, J = 11.3, 2.1 Hz, 1H), 3.60 (br s, 1H), 2.49–2.43 (m, 1H), 2.17 (s, 3H), 2.01–1.95 (m, 1H), 1.85 (d, J = 12.9 Hz, 1H), 1.67–1.57 (m, 2H), 1.56–1.50 (m, 1H). 13C NMR (151 MHz, DMSO-d6) δ 168.7, 156.6, 149.6, 143.7, 139.2, 133.0, 132.9, 132.5, 131.5, 128.7, 128.2, 128.1, 127.9, 127.7, 127.4, 127.2, 125.3, 114.2, 113.1, 104.4, 83.9, 82.0 (d, J = 166.6 Hz), 67.6 (d, J = 18.8 Hz), 66.5, 29.1, 24.5, 22.7, 22.1. HPLC-MS (ESI): m/z calcd for C25H20FN3O2S (THP cleaved by acidic conditions) 445.13; [M + H]+ found 446.10.
3.1.27. 1-(3-(2-Fluoroethoxy)-7-(3-(pyridin-2-yl)-1-(tetrahydro-2H-pyran-2-yl)-1H-pyrazol-5-yl)-10H-phenothiazin-10-yl)ethan-1-one (17b)
The synthesis was carried out according to general procedure C (66.0 mg, 29%). Rf: 0.23 (PE/EtOAc 1:5). 1H NMR (600 MHz, DMSO-d6) δ 8.61 (ddd, J = 4.9, 1.8, 1.0 Hz, 1H), 8.00 (dt, J = 7.9, 1.1 Hz, 1H), 7.86 (td, J = 7.7, 1.8 Hz, 1H), 7.78 (s, 1H), 7.75 (d, J = 8.1 Hz, 1H), 7.63 (d, J = 8.0 Hz, 1H), 7.58 (d, J = 8.8 Hz, 1H), 7.35 (ddd, J = 7.5, 4.8, 1.2 Hz, 1H), 7.23 (d, J = 2.8 Hz, 1H), 7.08 (s, 1H), 7.02 (dd, J = 8.8, 2.8 Hz, 1H), 5.32 (d, J = 9.6 Hz, 1H), 4.74 (dt, J = 47.8, 3.9 Hz, 2H), 4.29 (d, J = 29.9 Hz, 2H), 4.04 (d, J = 11.4 Hz, 1H), 3.61 (s, 1H), 2.49–2.43 (m, 1H), 2.17 (s, 3H), 1.98 (br s, 1H), 1.85 (br s, 1H), 1.68–1.57 (m, 2H), 1.56–1.52 (m, 1H). 13C NMR (151 MHz, DMSO-d6) δ 168.7, 156.6, 151.4, 150.4, 149.3, 143.8, 139.3, 139.3, 136.9, 131.5, 128.8, 128.7, 128.1, 128.0, 127.7, 127.3, 123.0, 119.5, 114.2, 113.1, 105.3, 83.9, 82.0 (d, J = 166.8 Hz), 67.6 (d, J = 18.8 Hz), 66.6, 29.0, 24.5, 22.7, 22.0. HPLC-MS (ESI): m/z calcd for C24H19FN4O2S (THP cleaved by acidic conditions) 446.12; [M + H]+ found 447.15.
3.1.28. 1-(3-(2-Fluoroethoxy)-7-(3-(3-fluorophenyl)-1H-pyrazol-5-yl)-10H-phenothiazin-10-yl)ethan-1-one (17c)
The synthesis was carried out according to general procedure C (109 mg, 43%). Rf: 0.31 (PE/EtOAc 1:2). 1H NMR (600 MHz, DMSO-d6) δ 13.55 (d, J = 10.2 Hz, 1H), 7.99 (d, J = 1.8 Hz, 1H), 7.84 (dd, J = 39.6, 6.3 Hz, 1H), 7.73–7.66 (m, 2H), 7.66–7.60 (m, 2H), 7.57–7.51 (m, 2H), 7.36 (s, 1H), 7.21 (s, 1H), 7.00 (dd, J = 9.3, 2.6 Hz, 1H), 4.74 (dt, J = 47.8, 3.9 Hz, 2H), 4.29 (dt, J = 29.8, 5.0 Hz, 2H), 2.15 (s, 3H). 13C NMR (151 MHz, DMSO-d6) δ 169.2, 163.7 (d, J = 243.3 Hz), 157.0, 150.8 (d, J = 13.8 Hz), 142.9, 133.5, 132.8, 132.5, 132.5, 132.0 (d, J = 9.9 Hz), 131.6, 129.2 (d, J = 11.7 Hz), 128.6, 128.6, 124.5, 124.4, 121.6, 115.3 (d, J = 13.6 Hz), 114.5, 113.5, 112.2 (d, J = 8.9 Hz), 101.3, 82.5 (d, J = 166.7 Hz), 68.1 (d, J = 18.9 Hz), 23.1. HPLC-MS (ESI): m/z calcd for C25H19F2N3O2S 463.12; [M + H]+ found 464.40.
3.1.29. N-(2-((3-Methoxyphenyl)thio)-4-(3-phenyl-1-(tetrahydro-2H-pyran-2-yl)-1H-pyrazol-5-yl)phenyl)acetamide (18a)
The synthesis was carried out according to general procedure D (45.0 mg, 29%). Rf: 0.56 (PE/EtOAc 1:1). 1H NMR (600 MHz, DMSO-d6) δ 9.55 (s, 1H), 7.88–7.82 (m, 3H), 7.61–7.55 (m, 2H), 7.42 (t, J = 7.7 Hz, 2H), 7.33 (tt, J = 7.4, 1.1 Hz, 1H), 7.29 (t, J = 8.0 Hz, 1H), 6.93 (s, 1H), 6.88–6.84 (m, 2H), 6.82 (t, J = 2.1 Hz, 1H), 5.11 (dd, J = 10.0, 2.5 Hz, 1H), 3.85–3.80 (m, 1H), 3.71 (s, 3H), 3.19 (td, J = 11.3, 2.6 Hz, 1H), 2.42 (tdd, J = 13.5, 9.9, 4.2 Hz, 1H), 2.06 (s, 3H), 1.97–1.92 (m, 1H), 1.82–1.76 (m, 1H), 1.55–1.48 (m, 2H), 1.45–1.40 (m, 1H). 13C NMR (151 MHz, DMSO-d6) δ 168.7, 159.8, 149.6, 143.8, 138.9, 137.4, 136.3, 133.0, 132.8, 130.4, 129.0, 128.5, 127.7, 126.9, 125.3, 125.2, 121.9, 115.3, 112.6, 103.8, 83.8, 66.3, 55.1, 29.0, 24.4, 23.3, 22.0. HPLC-MS (ESI): m/z calcd for C24H21N3O2S (THP cleaved by acidic conditions) 415.14; [M + H]+ found 416.25.
3.1.30. N-(2-((3-Methoxyphenyl)thio)-4-(3-(pyridin-2-yl)-1-(tetrahydro-2H-pyran-2-yl)-1H-pyrazol-5-yl)phenyl)acetamide (18b)
The synthesis was carried out according to general procedure D (65.0 mg, 21%). Rf: 0.17 (PE/EtOAc 1:1). 1H NMR (600 MHz, DMSO-d6) δ 9.63 (s, 1H), 8.59 (dt, J = 4.8, 1.9, 0.9 Hz, 1H), 7.97 (d, J = 7.9 Hz, 1H), 7.84 (td, J = 7.9, 1.9 Hz, 1H), 7.82 (d, J = 8.3 Hz, 1H), 7.58 (dd, J = 8.3, 2.2 Hz, 1H), 7.56 (d, J = 2.2 Hz, 1H), 7.33 (ddd, J = 7.5, 4.8, 1.2 Hz, 1H), 7.29 (t, J = 8.0 Hz, 1H), 6.98 (s, 1H), 6.88–6.84 (m, 3H), 5.12 (dd, J = 10.0, 2.4 Hz, 1H), 3.82 (dt, J = 12.1, 4.2 Hz, 1H), 3.71 (s, 3H), 3.16 (td, J = 11.4, 2.5 Hz, 1H), 2.46–2.40 (m, 1H), 2.06 (s, 3H), 1.93 (dd, J = 10.1, 3.7 Hz, 1H), 1.80 (dd, J = 13.7, 3.1 Hz, 1H), 1.60 (p, J = 7.7 Hz, 2H), 1.51 (dd, J = 10.1, 2.7 Hz, 1H). 13C NMR (151 MHz, DMSO-d6) δ 168.8, 159.9, 151.4, 150.4, 149.3, 144.0, 138.8, 136.9, 136.3, 131.4, 130.5, 129.0, 128.8, 128.7, 125.6, 123.0, 122.3, 119.4, 115.6, 112.7, 104.8, 84.0, 66.5, 55.2, 29.0, 24.4, 23.3, 22.1. HPLC-MS (ESI): m/z calcd for C23H20N4O2S (THP cleaved by acidic conditions) 416.13; [M + H]+ found 417.15.
3.1.31. N-(4-(3-(3-Fluorophenyl)-1-(tetrahydro-2H-pyran-2-yl)-1H-pyrazol-5-yl)-2-((3-methoxyphenyl)thio)phenyl)acetamide (18c)
The synthesis was carried out according to general procedure D (29.0 mg, 15%). Rf: 0.55 (PE/EtOAc 1:1). 1H NMR (600 MHz, DMSO-d6) δ 9.55 (s, 1H), 7.87 (d, J = 8.3 Hz, 1H), 7.69 (dt, J = 7.8, 1.2 Hz, 1H), 7.62 (ddd, J = 10.4, 2.7, 1.5 Hz, 1H), 7.59 (d, J = 2.0 Hz, 1H), 7.57 (dd, J = 8.3, 2.1 Hz, 1H), 7.46 (td, J = 8.0, 6.1 Hz, 1H), 7.28 (t, J = 8.0 Hz, 1H), 7.15 (tdd, J = 9.0, 2.6, 0.9 Hz, 1H), 7.01 (s, 1H), 6.87–6.84 (m, 2H), 6.82 (t, J = 2.1 Hz, 1H), 5.12 (dd, J = 10.0, 2.4 Hz, 1H), 3.84–3.80 (m, 1H), 3.71 (s, 3H), 3.19 (td, J = 11.3, 2.5 Hz, 1H), 2.42 (qd, J = 9.9, 6.6 Hz, 1H), 2.06 (s, 3H), 1.96–1.93 (m, 1H), 1.79 (dd, J = 13.0, 3.5 Hz, 1H), 1.55–1.49 (m, 2H), 1.44–1.40 (m, 1H). 13C NMR (151 MHz, DMSO-d6) δ 168.7, 162.5 (d, J = 242.8 Hz), 159.8, 148.4 (d, J = 2.9 Hz), 144.0, 139.0, 136.3, 135.3 (d, J = 8.2 Hz), 133.0, 130.6 (d, J = 8.4 Hz), 130.4, 129.0, 126.7, 125.3, 124.5, 121.9, 121.2 (d, J = 2.3 Hz), 115.3, 114.4 (d, J = 21.4 Hz), 112.6, 111.7 (d, J = 22.5 Hz), 104.3, 83.9, 66.4, 55.1, 28.9, 24.3, 23.3, 22.0. HPLC-MS (ESI): m/z calcd for C24H20FN3O2S (THP cleaved by acidic conditions) 433.13; [M + H]+ found 434.10.
3.1.32. 3-Methoxy-7-(3-phenyl-1H-pyrazol-5-yl)-10H-phenothiazine (DAP1a)
The synthesis was carried out according to general procedure E (43.0 mg, 44%). Rf: 0.55 (PE/EtOAc 1:3). 1H NMR (600 MHz, DMSO-d6) δ 13.16 (d, J = 71.1 Hz, 1H), 8.52 (d, J = 59.0 Hz, 1H), 7.81 (dd, J = 38.5, 7.2 Hz, 2H), 7.51–7.37 (m, 4H), 7.32 (d, J = 27.8 Hz, 1H), 7.03 (d, J = 13.3 Hz, 1H), 6.72 (d, J = 8.2 Hz, 1H), 6.66 (d, J = 8.4 Hz, 1H), 6.62 (dd, J = 11.3, 2.3 Hz, 1H), 6.61 (d, J = 7.6 Hz, 1H), 3.67 (s, 3H). 13C NMR (151 MHz, DMSO-d6) δ 154.7, 151.1, 142.8, 142.3, 134.8, 133.7, 129.0, 128.6, 127.3, 125.0, 124.6, 122.7, 117.0, 116.3, 115.2, 114.2, 113.2, 111.6, 98.5, 55.4. HPLC-MS (ESI): m/z calcd for C22H17N3OS 371.11; [M + H]+ found 372.15.
3.1.33. 3-Methoxy-7-(3-(pyridin-2-yl)-1H-pyrazol-5-yl)-10H-phenothiazine (DAP1b)
The synthesis was carried out according to general procedure E (9.00 mg, 34%). Rf: 0.35 (PE/EtOAc 1:5). 1H NMR (600 MHz, DMSO-d6) δ 13.32 (d, J = 117.9 Hz, 1H), 8.60 (s, 1H), 8.52 (d, J = 53.3 Hz, 1H), 7.93 (d, J = 44.3 Hz, 1H), 7.84 (s, 1H), 7.53–7.28 (m, 3H), 7.16 (d, J = 69.4 Hz, 1H), 6.70 (d, J = 8.2 Hz, 1H), 6.68–6.45 (m, 3H), 3.67 (s, 3H). 13C NMR (151 MHz, DMSO-d6) δ 154.7, 149.8, 149.4, 149.3, 139.7, 137.2, 134.9, 134.0, 129.4, 124.7, 122.7, 122.6, 119.3, 117.2, 117.1, 115.1, 114.3, 113.2, 111.6, 99.9, 55.4. HPLC-MS (ESI): m/z calcd for C21H16N4OS 372.10; [M + H]+ found 373.05.
3.1.34. 3-(3-(3-Fluorophenyl)-1H-pyrazol-5-yl)-7-methoxy-10H-phenothiazine (DAP1c)
The synthesis was carried out according to general procedure E (26.0 mg, 29%). Rf: 0.34 (PE/EtOAc 1:1). 1H NMR (600 MHz, DMSO-d6) δ 13.24 (d, J = 50.7 Hz, 1H), 8.61 (d, J = 62.1 Hz, 1H), 7.66 (br s, 1H), 7.62 (d, J = 10.4 Hz, 1H), 7.44 (d, J = 31.7 Hz, 2H), 7.38 (s, 1H), 7.13 (br s, 1H), 7.11 (s, 1H), 6.72 (d, J = 8.2 Hz, 1H), 6.65 (d, J = 8.5 Hz, 1H), 6.62 (dd, J = 8.8, 2.3 Hz, 1H), 6.60 (d, J = 2.7 Hz, 1H), 3.67 (s, 3H). 13C NMR (151 MHz, DMSO-d6) δ 162.6 (d, J = 242.7 Hz), 154.7, 150.3, 142.9, 142.4, 134.8, 133.4, 131.0, 130.7 (d, J = 8.9 Hz), 124.6, 122.8, 121.1, 117.0, 116.3, 115.2, 114.3, 114.0 (d, J = 23.7 Hz), 113.2, 111.6, 111.5, 99.0, 55.4. HPLC-MS (ESI): m/z calcd for C22H16FN3OS 389.10; [M + H]+ found 390.15.
3.1.35. 3-(2-Fluoroethoxy)-7-(3-phenyl-1H-pyrazol-5-yl)-10H-phenothiazine (DAP2a)
The synthesis was carried out according to general procedure E (14.0 mg, 40%). Rf: 0.50 (PE/EtOAc 1:2). 1H NMR (600 MHz, DMSO-d6) δ 13.10 (s, 1H), 8.56 (s, 1H), 7.80 (d, J = 7.6 Hz, 2H), 7.49–7.36 (m, 4H), 7.32 (t, J = 7.6 Hz, 1H), 7.03 (s, 1H), 6.80–6.56 (m, 4H), 4.68 (dt, J = 47.7, 3.9 Hz, 2H), 4.13 (d, J = 30.2 Hz, 2H). 13C NMR (151 MHz, DMSO-d6) δ 153.5, 146.9, 143.1, 142.1, 135.4, 132.1, 128.8, 127.7, 127.6, 125.0, 124.6, 122.8, 117.2, 116.2, 115.2, 114.3, 114.1, 112.5, 98.7, 82.2 (d, J = 166.8 Hz), 67.6 (d, J = 18.8 Hz). HPLC-MS (ESI): m/z calcd for C23H18FN3OS 403.12; [M + Na]+ found 446.10.
3.1.36. 3-(2-Fluoroethoxy)-7-(3-(pyridin-2-yl)-1H-pyrazol-5-yl)-10H-phenothiazine (DAP2b)
The synthesis was carried out according to general procedure E (12.0 mg, 26%). Rf: 0.44 (PE/EtOAc 1:5). 1H NMR (600 MHz, DMSO-d6) δ 13.33 (d, J = 118.9 Hz, 1H), 8.61 (d, J = 18.9 Hz, 1H), 8.54 (d, J = 49.4 Hz, 1H), 7.93 (dt, J = 47.1, 7.7 Hz, 1H), 7.83 (t, J = 7.7 Hz, 1H), 7.65–7.27 (m, 3H), 7.16 (d, J = 76.3 Hz, 1H), 6.68 (d, J = 38.2 Hz, 4H), 4.68 (d, J = 47.9 Hz, 2H), 4.14 (d, J = 30.1 Hz, 2H). 13C NMR (151 MHz, DMSO-d6) δ 153.5 (d, J = 24.5 Hz), 152.1 (d, J = 28.5 Hz), 150.6, 149.3 (d, J = 38.2 Hz), 142.3, 137.0 (d, J = 97.0 Hz), 135.6, 135.2, 127.1, 124.7 (d, J = 45.7 Hz), 122.9, 122.7 (d, J = 12.8 Hz), 119.5 (d, J = 114.6 Hz), 117.2 (d, J = 34.0 Hz), 116.1 (d, J = 62.7 Hz), 115.2, 114.3, 114.1, 112.5, 99.9 (d, J = 65.7 Hz), 82.2 (d, J = 167.0 Hz), 67.5 (d, J = 19.2 Hz). HPLC-MS (ESI): m/z calcd for C22H17FN4OS 404.11; [M + H]+ found 405.15.
3.1.37. 3-(2-Fluoroethoxy)-7-(3-(3-fluorophenyl)-1H-pyrazol-5-yl)-10H-phenothiazine (DAP2c)
The synthesis was carried out according to general procedure E (11.0 mg, 13%). Rf: 0.57 (PE/EtOAc 1:2). 1H NMR (600 MHz, DMSO-d6) δ 13.25 (d, J = 59.9 Hz, 1H), 8.56 (d, J = 52.0 Hz, 1H), 7.67 (br s, 1H), 7.61 (d, J = 10.5 Hz, 1H), 7.56–7.39 (m, 2H), 7.38 (s, 1H), 7.22–7.05 (m, 2H), 6.71 (d, J = 8.2 Hz, 1H), 6.65 (s, 3H), 4.68 (dt, J = 48.0, 3.8 Hz, 2H), 4.13 (dt, J = 30.3, 3.8 Hz, 2H). 13C NMR (151 MHz, DMSO-d6) δ 162.6 (d, J = 242.5 Hz), 153.6, 150.1, 143.1, 140.4, 135.2, 134.6, 131.7, 130.7 (d, J = 18.8 Hz), 124.7, 122.8, 121.1, 117.3, 117.1, 115.2, 114.3, 114.2 (d, J = 7.0 Hz), 114.1, 112.5, 111.5 (d, J = 11.9 Hz), 99.0, 82.2 (d, J = 166.4 Hz), 67.5 (d, J = 19.1 Hz). HPLC-MS (ESI): m/z calcd for C23H17F2N3OS 421.11; [M + MeCN + 2H]+ found 464.10.
3.1.38. 2-((3-Methoxyphenyl)thio)-4-(3-phenyl-1H-pyrazol-5-yl)aniline (DAP3a)
The synthesis was carried out according to general procedure E (23.0 mg, 81%). Rf: 0.42 (PE/EtOAc 1:1). 1H NMR (600 MHz, DMSO-d6) δ 13.02 (s, 1H), 7.84 (d, J = 2.1 Hz, 1H), 7.81 (d, J = 7.7 Hz, 2H), 7.66 (d, J = 8.4 Hz, 1H), 7.42 (t, J = 7.6 Hz, 2H), 7.31 (t, J = 7.4 Hz, 1H), 7.20 (t, J = 8.0 Hz, 1H), 6.99 (s, 1H), 6.90 (d, J = 8.4 Hz, 1H), 6.73 (ddd, J = 8.0, 2.1, 0.9 Hz, 1H), 6.68 (dt, J = 8.0, 2.1, 0.9 Hz, 1H), 6.66 (t, J = 2.1 Hz, 1H), 5.57 (s, 2H), 3.69 (s, 3H). 13C NMR (151 MHz, DMSO-d6) δ 159.6, 150.1, 150.0, 143.2, 137.9, 137.8, 133.7, 129.9, 128.6, 128.5, 128.3, 127.4, 125.0, 118.5, 115.0, 112.1, 112.0, 110.8, 98.1, 55.0. HPLC-MS (ESI): m/z calcd for C22H19N3OS 373.12; [M + H]+ found 374.10.
3.1.39. 2-((3-Methoxyphenyl)thio)-4-(3-(pyridin-2-yl)-1H-pyrazol-5-yl)aniline (DAP3b)
The synthesis was carried out according to general procedure E (21.0 mg, 47%). Rf: 0.42 (PE/EtOAc 1:4). 1H NMR (600 MHz, DMSO-d6) δ 13.27 (d, J = 84.4 Hz, 1H), 8.59 (d, J = 4.9 Hz, 1H), 7.92 (s, 1H), 7.85 (d, J = 2.0 Hz, 2H), 7.69 (d, J = 6.1 Hz, 1H), 7.31 (br s, 1H), 7.20 (t, J = 8.0 Hz, 1H), 7.10 (d, J = 8.1 Hz, 1H), 6.90 (d, J = 8.4 Hz, 1H), 6.73 (dd, J = 8.4, 2.3 Hz, 1H), 6.70–6.62 (m, 2H), 5.65 (br s, 2H), 3.68 (s, 3H). 13C NMR (151 MHz, DMSO-d6) δ 159.7, 152.1, 150.3, 149.2, 148.9, 141.9, 138.0, 136.8, 133.7, 130.0, 128.6, 128.5, 122.6, 119.2, 118.6, 115.1, 112.2, 111.9, 110.8, 99.2, 55.1. HPLC-MS (ESI): m/z calcd for C21H18N4OS 374.12; [M + H]+ found 375.15.
3.1.40. 4-(3-(3-Fluorophenyl)-1H-pyrazol-5-yl)-2-((3-methoxyphenyl)thio)aniline (DAP3c)
The synthesis was carried out according to general procedure E (16.0 mg, 68%). Rf: 0.45 (PE/EtOAc 1:1). 1H NMR (600 MHz, DMSO-d6) δ 13.10 (s, 1H), 7.84 (d, J = 2.0 Hz, 1H), 7.66 (t, J = 8.8 Hz, 2H), 7.62 (dt, J = 10.6, 2.0 Hz, 1H), 7.46 (q, J = 7.0, 6.6 Hz, 1H), 7.20 (t, J = 8.2 Hz, 1H), 7.12 (t, J = 9.7 Hz, 1H), 7.07 (s, 1H), 6.91 (d, J = 8.4 Hz, 1H), 6.73 (dd, J = 8.2, 2.4 Hz, 1H), 6.68 (dt, J = 8.2, 2.1, 1.0 Hz, 1H), 6.66 (t, J = 2.1 Hz, 1H), 5.61 (br s, 2H), 3.69 (s, 3H). 13C NMR (151 MHz, DMSO-d6) δ 162.5 (d, J = 242.7 Hz), 159.7, 152.6, 150.2 (d, J = 14.8 Hz), 143.7, 137.8, 135.1 (d, J = 2.1 Hz), 133.8, 130.6 (d, J = 5.3 Hz), 130.1, 129.9, 128.3, 121.0 (d, J = 1.8 Hz), 118.5, 115.1, 112.1, 112.0, 111.5 (d, J = 23.1 Hz), 111.4, 110.8, 97.2, 55.0. HPLC-MS (ESI): m/z calcd for C22H18FN3OS 391.12; [M + H]+ found 392.10.
3.2. Radiochemistry
3.2.1. Tritiation of [3H]MODAG−001
[3H]MODAG−001 was obtained from RC Tritec AG (Teufen, Switzerland). The tracer was produced via an iridium-catalyzed reaction where up to four tritium atoms were exchanged. A solution of [3H]MODAG−001 in EtOH with a molar activity (Am) of 2.9 GBq/μmol and a radiochemical purity of >99% was stored at −80 °C until use.
3.2.2. Tritiation of [3H]SIL26
A mixture of the N-acetylated phenolic precursor (Compound S1 in Supplementary File S1, 3.00 mg, 10.0 µmol) and Cs2CO3 (5.00 mg, 15.0 µmol) was dissolved in DMSO (100 µL) and stirred at room temperature for 20 min. A solution of [3H]2-fluoroethyl(p-tolyl)benzenesulfonate in EtOAc/Hex 1:4 v/v (1.69 GBq/µmol; RC Tritec AG, Teufen, Switzerland) was dried at 40 °C and dissolved in DMSO. Then, 200 µL (100 MBq) of the solution was added to the reaction mixture. It was heated at 90 °C for 1 h. The addition of DBU afforded the N-deprotected product. The mixture was cooled to room temperature, diluted with water to 1 mL, and purified by preparative HPLC using an Altima C18 3 µm, 4.6 × 100 mm column (Mz-Analysentechnik GmbH, Mainz, Germany; isocratic method: 50% B, 3 mL/min; solvent A: 0.1% TFA in H2O; solvent B: MeCN). The desired fractions (retention time: approximately 30 min, total volume: 10 mL, analyzed by liquid scintillation counting—LKB/Wallac 1219 Rackbeta, Mount Waverley, Australia) were diluted with water (10 mL) and passed through a Sep-Pak Light tC18 cartridge (Waters, Milford, MA, USA) preconditioned with EtOH (10 mL), water (20 mL), and air (10 mL). The cartridge containing the trapped product was rinsed with water (10 mL). The product was eluted with 1.1 mL EtOH to afford [3H]SIL26 (19 MBq/mL, Am: 1.7 GBq/µmol, RCY: 30%, 12 μM, RCP: >98%). Reaction progress monitoring, as well as quality control of the collected fractions, was performed by analytical HPLC using a Luna C18 (2) 100 Å 250 × 4.6 mm column (Phenomenex, Torrance, California, USA) under the following conditions: 70% B, 0–20 min, 1 mL/min; solvent A: 0.1% TFA in H2O; solvent B: MeCN. The relevant chromatograms are reported in the Supplementary Information.
3.3. Biological Evaluation
3.3.1. Expression, Purification, and Fibrillation of Human αSYN
Human αSYN from a prokaryotic host was expressed in E. coli. The DNA construct encoding full-length αSYN was cloned into the pET-22b vector and transformed into BL21 cells, and expression was induced overnight at 20 °C with 0.5 mM IPTG. Following cell harvest by centrifugation, the cells were resuspended in 20 mM Tris-HCl pH 7.6, 25 mM NaCl, and 1× complete protease inhibitor (Roche, Basel, Switzerland). The cells were lysed by sonication, boiled for 15 min, and then cleared by centrifugation at 12,000× g for 30 min. The αSYN was captured by anion exchange chromatography (HiTrap Q, GE Healthcare, Chicago, Illinois, USA) and eluted by a 0–1 M NaCl gradient over 20 column volumes. Fractions containing αSYN were pooled, concentrated, and applied to a Superdex 75 SEC column equilibrated in PBS. Fractions containing αSYN were collected and applied to a high-capacity endotoxin removal spin column (Pierce, Waltham, Massachusetts, USA). Following this treatment, the endotoxin level was verified to be below 1.0 EU/mg. Dynamic light scattering was used to verify the monomeric state and monodispersity of the pure αSYN. Fibrillation was based on the protocol from Makky et al. describing the formation of the P91 fibrillar assembly [32]. To prepare P91s, monomeric αSYN was thawed and diluted to 4 mg/mL in 20 mM K3PO4 pH 9.1. The solution was then transferred to round-bottom tubes sealed with parafilm and placed in an orbital shaker for five days at 37 °C and 1000 rpm. The assemblies were sonicated for 10 min with cycles of 20 s on and 10 s off at 50% amplitude (Q800R3, Qsonica, Newtown, CT, USA), and sonicated P91s were aliquoted in volumes of 10 μL and stored at −80 °C for further use.
3.3.2. Preparation of Aβ1-42 Fibrils
The generation of Aβ1-42 fibrils was adapted from Bagchi et al. and described by Kuebler et al. [11,18]. Synthetic lyophilized human Aβ1-42 peptide (5 mg) with >90% purity (EMC Microcollections, Tuebingen, Germany) was dissolved in DMSO (221.5 µL). A monomeric concentration of 150 µM was obtained by adding deionized water (4.1 mL) and 1 M Tris-HCl (111 µL, pH 7.6). The monomers were incubated in an Eppendorf Thermomixer at 37 °C with shaking at 800 rpm for 72 h to induce aggregation. Generated fibrils were sonicated for three minutes in a water bath (Elmasonic S 60 H, Elma Schmidbauer GmbH, Singen, Germany). The final products were aliquoted, frozen on dry ice, and stored at −80 °C until use.
3.3.3. Fibril Binding Assays
To determine the Kd values of [3H]SIL26 and [3H]MODAG−001, saturation binding assays were performed on human recombinant αSYN (35 nM for [3H]SIL26, 50 nM for [3H]MODAG−001) and synthetic human Aβ1-42 fibrils (1 µM for both tracers) diluted in phosphate-buffered saline (PBS; Gibco DPBS, no calcium, no magnesium, Thermo Fisher Scientific, Waltham, MA, USA). The fibrils were incubated in 96-well micro test low-binding plates (Ratiolab GmbH, Dreieich, Germany) with increasing concentrations of [3H]SIL26 (up to 64 nM) and [3H]MODAG−001 (up to 36 nM) in 30 mM Tris-HCl, 0.1% bovine serum albumin, and 0.05% Tween20 in a total volume of 200 µL/well. The tracer was co-incubated with 500 nM non-radioactive SIL26 or MODAG−001 dissolved in DMSO (DMSO concentration ≤0.05% in the final assay) to determine non-specific binding.
Competition binding assays of [3H]SIL26 and [3H]MODAG−001 were used to determine the binding affinity (Ki values) of DAP compounds. The test compounds were dissolved in DMSO to a stock concentration of 1 mM, which yielded ≤0.25% DMSO concentration in the final assay. Increasing concentrations of the test compounds (0.06–2500 nM) competed against [3H]SIL26 (7 nM for αSYN, 7 nM or 14 nM for Aβ1-42) and 1 nM [3H]MODAG−001 (for both αSYN and Aβ1-42). The concentrations of αSYN fibrils and Aβ1-42 fibrils as above were used.
Plates were incubated on a shaker (MaxQ 6000, Thermo Fisher Scientific Inc., Marietta, OH, USA) at 50 rpm for 2 h at 37 °C, covered by removable sealing tape (PerkinElmer, Waltham, MA, USA). Vacuum filtration and read-out were performed as previously reported [18]. Briefly, a glass fiber Filtermat B (PerkinElmer, Waltham, MA, USA) incubated with 0.5% polyethylenimine (PEI; Sigma Aldrich Chemie GmbH, Munich, Germany) for 30 min at 4 °C prior to filter harvesting was used with a FilterMate Harvester (PerkinElmer, Waltham, MA, USA). Melt-on scintillator sheets (MeltiLex B/HS, PerkinElmer, Waltham, MA, USA) were melted onto dried filters. Accumulation of tritium was counted in a liquid scintillation Wallac MicroBeta TriLux counter (PerkinElmer, Waltham, MA, USA) at two minutes/well.
Radioactivity was plotted against increasing concentrations of [3H]MODAG−001, [3H]SIL26, or the unlabeled test compounds. Data points were fitted using non-linear regression analysis in GraphPad Prism (GraphPad Software, Inc., Version 8.4.0, San Diego, CA, USA).
4. Conclusions
Urged by the unmet clinical need for an αSYN PET tracer, this study employed a molecular hybridization strategy to merge two promising scaffolds with the aim of enhancing the compounds’ overall binding properties.
This approach did not afford an improved αSYN ligand but instead significantly reduced the affinity compared to the parent compounds, shifting selectivity towards Aβ binding. Since the αSYN/Aβ selectivity is a critical factor in developing a PET tracer for the aforementioned target, any additional understanding of the structural features responsible for this shift will be pivotal in advancing the field, along with providing new insights on Aβ binding.
Due to their favorable affinity to Aβ, further studies will be needed to investigate the ability of DAP hybrid compounds to inhibit Aβ aggregation and disaggregate preformed fibrils to evaluate their putative theranostic potential.
Supplementary Materials
The following supporting information can be downloaded at https://www.mdpi.com/article/10.3390/molecules28104001/s1, Supplementary File S1: HPLC-MS chromatograms of compounds DAP1a-3c, tritium labeling of [3H]SIL26, and 1H NMR spectra of compounds DAP1a-3c.
Author Contributions
A.D.N., A.M. and G.D.B. contributed to the design of the library; A.D.N. synthesized, purified, and characterized all intermediated and final compounds. R.S.S. contributed to the Aβ fibril preparation and the fibril binding assays; N.S.R.B. and Š.K. to the tritium labeling of SIL26; K.B.-A. to the preparation of αSYN fibrils. A.D.N., R.S.S. and K.B.-A. contributed to the writing—original draft preparation; A.M. and G.D.B. contributed to the writing—review and editing. Supervision: A.M., G.D.B., K.H. and M.M.H.; funding acquisition: A.M., K.H., M.M.H. and B.J.P. All authors have read and agreed to the published version of the manuscript.
Funding
This project was funded by the European Union’s Horizon 2020 research and innovation program under the Marie Skłodowska-Curie grant agreement No. 813528.
Institutional Review Board Statement
Not applicable.
Informed Consent Statement
Not applicable.
Data Availability Statement
The data presented in this study are available on request from the corresponding author.
Acknowledgments
We thank Albert D. Windhorst and Daniëlle Vugts for their guidance and support in the radiolabeling of [3H]SIL26. This project was funded by the European Union’s Horizon 2020 research and innovation program under the Marie Skłodowska-Curie grant agreement No. 813528.
Conflicts of Interest
The authors declare no conflict of interest.
Sample Availability
Samples of the compounds are not available from the authors.
References
- Spillantini, M.G.; Schmidt, M.L.; Lee, V.M.-Y.; Trojanowski, J.Q.; Jakes, R.; Goedert, M. α-Synuclein in Lewy bodies. Nature 1997, 388, 839–840. [Google Scholar] [CrossRef] [PubMed]
- Spillantini, M.G.; Crowtherb, R.A.; Jakes, R.; Cairnsc, N.J.; Lantosc, P.L.; Goedert, M. Filamentous a-synuclein inclusions link multiple system atrophy with Parkinson’s disease and dementia with Lewy bodies. Neurosci. Lett. 1998, 251, 205–208. [Google Scholar] [CrossRef]
- Desplats, P.; Lee, H.-J.; Bae, E.-J.; Patrick, C.; Rockenstein, E.; Crews, L.; Spencer, B.; Masliah, E.; Lee, S.-J. Inclusion formation and neuronal cell death through neuron-to-neuron transmission of α-synuclein. Proc. Natl. Acad. Sci. USA 2009, 106, 13010–13015. [Google Scholar] [CrossRef] [PubMed]
- Olanow, C.W.; Prusiner, S.B. Is Parkinson’s disease a prion disorder? Proc. Natl. Acad. Sci. USA 2009, 106, 12571–12572. [Google Scholar] [CrossRef] [PubMed]
- Bendor, J.T.; Logan, T.P.; Edwards, R.H. The Function of α-Synuclein. Neuron 2013, 79, 1044–1066. [Google Scholar] [CrossRef]
- Brás, I.C.; Outeiro, T.F. Alpha-Synuclein: Mechanisms of Release and Pathology Progression in Synucleinopathies. Cells 2021, 10, 375. [Google Scholar] [CrossRef]
- Krishnadas, N.; Villemagne, V.L.; Doré, V.; Rowe, C.C. Advances in Brain Amyloid Imaging. Semin. Nucl. Med. 2021, 51, 241–252. [Google Scholar] [CrossRef]
- Mathis, C.A.; Lopresti, B.J.; Ikonomovic, M.D.; Klunk, W.E. Small-molecule PET Tracers for Imaging Proteinopathies. Semin. Nucl. Med. 2017, 47, 553–575. [Google Scholar] [CrossRef]
- Korat, S.; Bidesi, N.S.R.; Bonanno, F.; Di Nanni, A.; Hoàng, A.N.N.; Herfert, K.; Maurer, A.; Battisti, U.M.; Bowden, G.D.; Thonon, D.; et al. Alpha-Synuclein PET Tracer Development—An Overview about Current Efforts. Pharmaceuticals 2021, 14, 847. [Google Scholar] [CrossRef]
- Yu, L.; Cui, J.; Padakanti, P.K.; Engel, L.; Bagchi, D.P.; Kotzbauer, P.T.; Tu, Z. Synthesis and in vitro evaluation of alpha-synuclein ligands. Bioorg. Med. Chem. 2012, 20, 4625–4634. [Google Scholar] [CrossRef]
- Bagchi, D.P.; Yu, L.; Perlmutter, J.S.; Xu, J.; Mach, R.H.; Tu, Z.; Kotzbauer, P.T. Binding of the radioligand SIL23 to alpha-synuclein fibrils in Parkinson disease brain tissue establishes feasibility and screening approaches for developing a Parkinson disease imaging agent. PLoS ONE 2013, 8, e55031. [Google Scholar] [CrossRef]
- Zhang, X.; Jin, H.; Padakanti, P.K.; Li, J.; Yang, H.; Fan, J.; Mach, R.H.; Kotzbauer, P.; Tu, Z. Radiosynthesis and in Vivo Evaluation of Two PET Radioligands for Imaging alpha-Synuclein. Appl. Sci. 2014, 4, 66–78. [Google Scholar] [CrossRef]
- Wagner, J.; Ryazanov, S.; Leonov, A.; Levin, J.; Shi, S.; Schmidt, F.; Prix, C.; Pan-Montojo, F.; Bertsch, U.; Mitteregger-Kretzschmar, G.; et al. Anle138b: A novel oligomer modulator for disease modifying therapy of neurodegenerative diseases such as prion and Parkinson’s disease. Acta Neuropathol. 2013, 125, 795–813. [Google Scholar] [CrossRef]
- Singh, N. A First-In-Human Study of Single and Multiple Doses of anle138b in Healthy Subjects. Available online: https://ClinicalTrials.gov/show/NCT04208152 (accessed on 23 November 2022).
- Singh, N.; Evans, J. A Study to Assess the Safety, Tolerability, Pharmacokinetics and Pharmacodynamics of anle138b in Parkinson’s Disease. Available online: https://ClinicalTrials.gov/show/NCT04685265 (accessed on 23 November 2022).
- Singh, N. A Drug-Drug Interaction Study to Assess the CYP1A2 and CYP3A4 Interaction Potential of TEV-56286 (anle138b). Available online: https://ClinicalTrials.gov/show/NCT05532358 (accessed on 23 November 2022).
- Maurer, A.; Leonov, A.; Ryazanov, S.; Herfert, K.; Kuebler, L.; Buss, S.; Schmidt, F.; Weckbecker, D.; Linder, R.; Bender, D.; et al. 11C radiolabeling of anle253b: A putative PET tracer for Parkinson’s disease that binds to alpha-synuclein fibrils in vitro and crosses the blood-brain barrier. ChemMedChem 2019, 15, 411–415. [Google Scholar] [CrossRef]
- Kuebler, L.; Buss, S.; Leonov, A.; Ryazanov, S.; Schmidt, F.; Maurer, A.; Weckbecker, D.; Landau, A.M.; Lillethorup, T.P.; Bleher, D.; et al. [11C]MODAG-001—Towards a PET tracer targeting α-synuclein aggregates. Eur. J. Nucl. Med. Mol. Imaging 2020, 48, 1759–1772. [Google Scholar] [CrossRef]
- Hsieh, C.-J.; Ferrie, J.J.; Xu, K.; Lee, I.; Graham, T.J.A.; Tu, Z.; Yu, J.; Dhavale, D.; Kotzbauer, P.; Petersson, E.J.; et al. Alpha Synuclein Fibrils Contain Multiple Binding Sites for Small Molecules. ACS Chem. Neurosci. 2018, 9, 2521–2527. [Google Scholar] [CrossRef]
- Lazar, C.; Kluczyk, A.; Kiyota, T.; Konish, Y. Drug Evolution Concept in Drug Design: 1. Hybridization Method. J. Med. Chem. 2004, 47, 6973–6982. [Google Scholar] [CrossRef]
- Viegas-Junior, C.; Danuello, A.; da Silva Bolzani, V.; Barreiro, E.J.; Manssour Fraga, C.A. Molecular Hybridization: A Useful Tool in the Design of New Drug Prototypes. Curr. Med. Chem. 2007, 14, 1829–1852. [Google Scholar] [CrossRef]
- Morphy, R.; Kay, C.; Rankovic, Z. From magic bullets to designed multiple ligands. Drug Discov. Today 2004, 9, 641–651. [Google Scholar] [CrossRef]
- Morphy, R.; Rankovic, Z. Designed Multiple Ligands. An Emerging Drug Discovery Paradigm. J. Med. Chem. 2005, 48, 6523–6543. [Google Scholar] [CrossRef]
- Tuttle, M.D.; Comellas, G.; Nieuwkoop, A.J.; Covell, D.J.; Berthold, D.A.; Kloepper, K.D.; Courtney, J.M.; Kim, J.K.; Barclay, A.M.; Kendall, A.; et al. Solid-state NMR structure of a pathogenic fibril of full-length human alpha-synuclein. Nat. Struct. Mol. Biol. 2016, 23, 409–415. [Google Scholar] [CrossRef] [PubMed]
- Setamdideh, D.; Khezri, B. Rapid and Efficient Reduction of Nitroarenes to Their Corresponding Amines with Promotion of NaBH4/NiCl2·6H2O System in Aqueous CH3CN. Asian J. Chem. 2010, 22, 5575–5580. [Google Scholar]
- Schäfer, G.; Fleischer, T.; Ahmetovic, M.; Abele, S. Development of a Scalable Route for a Key Thiadiazole Building Block via Sequential Sandmeyer Bromination and Room-Temperature Suzuki–Miyaura Coupling. Org. Process Res. Dev. 2020, 24, 228–234. [Google Scholar] [CrossRef]
- Zhang, W.; Oya, S.; Kung, M.-P.; Hou, C.; Maier, D.L.; Kung, H.F. F-18 Polyethyleneglycol stilbenes as PET imaging agents targeting Aβ aggregates in the brain. Nucl. Med. Biol. 2005, 32, 799–809. [Google Scholar] [CrossRef] [PubMed]
- Choi, S.R.; Golding, G.; Zhuang, Z.; Zhang, W.; Lim, N.; Hefti, F.; Benedum, T.E.; Kilbourn, M.R.; Skovronsky, D.; Kung, H.F. Preclinical Properties of 18F-AV-45: A PET Agent for Aβ Plaques in the Brain. J. Nucl. Med. 2009, 50, 1887–1894. [Google Scholar] [CrossRef] [PubMed]
- Dao, P.; Ye, F.; Liu, Y.; Du, Z.Y.; Zhang, K.; Dong, C.Z.; Meunier, B.; Chen, H. Development of Phenothiazine-Based Theranostic Compounds That Act Both as Inhibitors of βAmyloid Aggregation and as Imaging Probes for Amyloid Plaques in Alzheimer’s Disease. ACS Chem. Neurosci. 2017, 2017, 798–806. [Google Scholar] [CrossRef]
- Das, B.; Venkateswarlu, K.; Majhi, A.; Siddaiah, V.; Reddy, K.R. A facile nuclear bromination of phenols and anilines using NBS in the presence of ammonium acetate as a catalyst. J. Mol. Catal. A Chem. 2007, 267, 30–33. [Google Scholar] [CrossRef]
- Antonschmidt, L.; Matthes, D.; Dervişoğlu, R.; Frieg, B.; Dienemann, C.; Leonov, A.; Nimerovsky, E.; Sant, V.; Ryazanov, S.; Giese, A.; et al. The clinical drug candidate anle138b binds in a cavity of lipidic α-synuclein fibrils. Nat. Commun. 2022, 13, 5385. [Google Scholar] [CrossRef]
- Makky, A.; Bousset, L.; Polesel-Maris, J.; Melki, R. Nanomechanical properties of distinct fibrillar polymorphs of the protein alpha-synuclein. Sci. Rep. 2016, 6, 37970. [Google Scholar] [CrossRef]
Disclaimer/Publisher’s Note: The statements, opinions and data contained in all publications are solely those of the individual author(s) and contributor(s) and not of MDPI and/or the editor(s). MDPI and/or the editor(s) disclaim responsibility for any injury to people or property resulting from any ideas, methods, instructions or products referred to in the content. |
© 2023 by the authors. Licensee MDPI, Basel, Switzerland. This article is an open access article distributed under the terms and conditions of the Creative Commons Attribution (CC BY) license (https://creativecommons.org/licenses/by/4.0/).






