Abstract
Dihydrouracil presents a crucial intermediate in the catabolism of uracil. The vital importance of uracil and its nucleoside, uridine, encourages scientists to synthesize novel dihydrouracils. In this paper, we present an innovative, fast, and effective method for the synthesis of dihydrouracils. Hence, under mild conditions, 3-chloroperbenzoic acid was used to cleave the carbon–sulfur bond of the Biginelli hybrids 5,6-dihydropyrimidin-4(3H)-ones. This approach led to thirteen novel dihydrouracils synthesized in moderate-to-high yields (32–99%).
1. Introduction
Uracil is one of the nucleobases, and it can be found in RNA and as a significant constituent of the DNA of certain bacterial viruses [1]. The well-known intermediate scaffold dihydrouracil is a key precursor in the catabolism of uracil, a critical building block of life [2]. Several methods have been reported for the preparation of dihydrouracil [3,4,5,6,7,8,9]. However, most of these methods have certain drawbacks such as complicated multi-step procedures [10,11], high energy consumption [12], and air-sensitive organometallic compounds [4]. For instance, preparing a dihydrouracil scaffold is based on the hydrolytic removal of the SCH3 or OCH3 group from the dihydropyrimidinone core, which is carried out in strongly acidic and/or basic conditions and at high temperatures [4]. Methods for the synthesis of DHU scaffolds include quite difficult reaction conditions. For instance, formic acids and hydrochloric acid [6] were used under heating conditions to synthesize 6-aryl-dihydrouracils. Considering a literature review, the most successful method for synthesis of 6-aryl-DHU was published by Pair et al. [5] 6-Phenyl-5,6-dihydrouracil (37%) was synthesized by applying formic acid, MsOH, and heated to reflux for 24 h.
Some representative uracil-based compounds are depicted in Figure 1. N1-methylpseudouridine is the most important uracil analog and a natural archaeal tRNA component [13,14]. Synthetic pyrimidine nucleoside is used for in vitro transcription and is also found in the SARS-CoV-2 mRNA vaccines tozinameran (Pfizer–BioNTech) and elasomeran (Moderna) [15]. Further, it is also used in vaccines against Zika [16], HIV-1 [17], and Ebola [18]. Dasabuvir, a potent non-nucleoside anti-HCV compound approved by the FDA in 2014, contains a uracil scaffold [19]. Furthermore, alkyl uracil derivatives show significant anti-HIV activity [20,21]. By considering the literature, uracil-based biological active compounds, such as 5-iodouridine [22], (S)-willardiine [23], and zidovudine [24], can also be found. Since 1957 to the present, the most helpful uracil molecule has been the well-known chemotherapeutic 5-fluorouracil [25]. Udayakumar et al. reported novel dihydrouracil derivatives with significant activities against A431 cancer cell lines [26]. Embrey et al. published a series of highly active DHU derivatives that contain naphthyridine scaffolds as HIV-1 integrase inhibitors at nanomolar levels [27]. The DHU analogues coupled with neomycin conjugates showed good activity against E. coli ATCC 25,922 and K12, even more potent compared to the control probe ciprofloxacin. In addition, few samples were more potent against Klebsiella pneumoniae than the control tetracycline [28]. Promising antimicrobial activity of selected N3-alkylated DHUs against S. aureus and C. albicans was described [29].
Figure 1.
Structures of several important compounds containing the uracil motif.
Considering the importance of DHU scaffolds [19], there is a reasonable trend towards development of novel routes to synthesize uracil-based compounds. In this report, Biginelli’s hybrids were chosen as starting materials for dihydrouracil (DHU) synthesis. Over the years, Biginelli chemistry has produced many valuable compounds that possess significant biological activities [30,31]. Given these facts, as well as our continual interest in heterocyclic compounds [32,33,34,35] and Biginelli chemistry [36,37,38,39,40,41], we decided to explore it to develop a novel and easier synthetic strategy for the synthesis of 6-aryl-dihydrouraciles (DHUs).
2. Results and Discussion
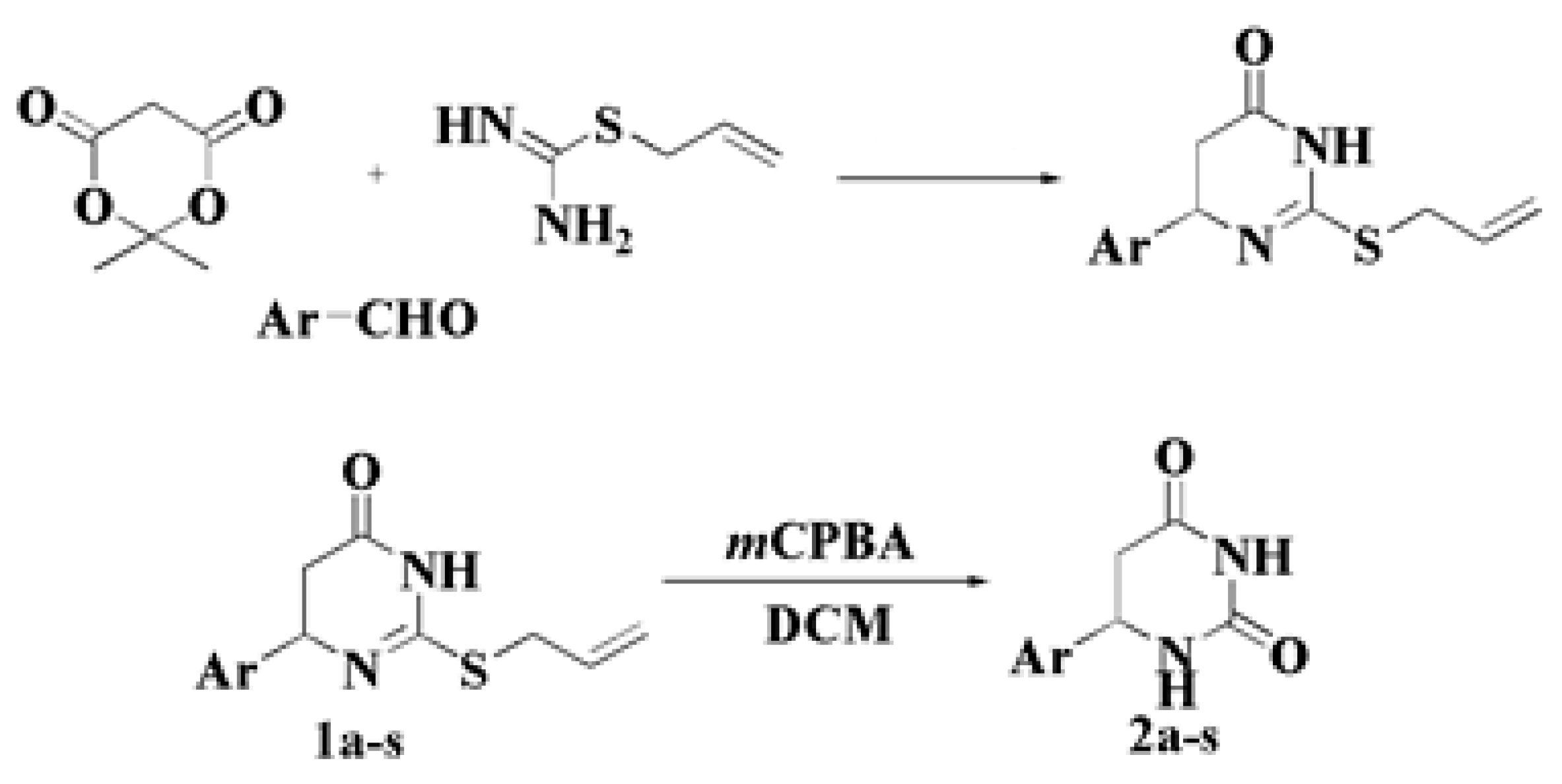
In this paper, a simple, fast, and efficient method for the synthesis of DHUs (2) from different 6-aryl-5,6-dihydropyrimidin-4(3H)-ones (1a-s) is presented (Scheme 1). The starting materials required for this methodology, 1a-s, were synthesized as a racemic mixture following published method [41].
Scheme 1.
General outline of the synthesis of DHUs [41].
The first goal of this project was to optimize the reaction conditions. Compound 1a was chosen as a model substrate for the study, and it was subjected to a variety of reagents, such as 6M HCl, sodium periodate, formic acid, and sodium hydroxide, in polar solvents (i.e., water, methanol, and THF) to synthesize 2a. Under these reagent and solvent conditions, compound 1a was decomposed into an unidentifiable mixture of products. However, the use of phosphotungstic acid in absolute ethanol gave DHU 2a in lower yield (30%) after 24 h. Subsequent attempts to synthesize 2a from 1a were realized by applying m-chloroperbenzoic acid (mCPBA) as the reagent in different solvents (Table 1).
Table 1.
Screening and optimization reaction conditions.
The reaction was performed in six different solvents using an excess of mCPBA (2.2 eq.), and the desired product, 2a, was observed in five of those with DCM affording the maximum yield, 75% in 3 h (entry 5). To decipher the reasoning for the varying yields, we studied certain properties of these solvents such as the dielectric constants, polarity, and the index of the solvent dipolarity/polarizability. Water, DCM, THF, CHCl3, toluene, and dioxane have dielectric constants of 80, 9.1, 7.6, 4.8, 2.4, and 2.3, respectively [42,43]. It has been shown that the higher polarity of a solvent affects the yield, but this effect is not alone; the hydrogen bond acceptor (HBA) ability of the solvent and the index of solvent dipolarity/polarizability π* can also influence the reaction. The HBA parameter describes the ability of the solvent to accept a proton in a solvent-to-solute hydrogen bond. Namely, THF, dioxane, and water have HBA numbers in the following order 0.52, 0.38, and 0.14, respectively (Table 2) [44,45]. We suspect that the yield of 2a was negatively affected by the presence of the HBA properties of water, dioxane, or THF. Toluene, DCM, and chloroform do not have HBA properties. Considering this, we proposed that the solvent molecule with HBA properties (i.e., dioxane, THF, and water) interacts with NH protons and, thus, make access of the reagent (mCPBA) to the reaction center (thioureide fragment; HN-(C-S-allyl)-N=) more difficult. This fact could be crucial for the such different (lower) yields achieved in a solvent with HBA (i.e., dioxane (32%), THF (29%), and water (-)) compared to the yield of 2a that was noted in solvents without HBA properties (i.e., toluene (51%), DCM (75%), and chloroform (40%)). In addition, the π* scale is an index that measures the ability of the solvent to stabilize a charge or a dipole by virtue of its dielectric effect. As can be seen from Table 2, among non-HBA solvents (i.e., toluene, DCM, and CHCl3), chloroform has the highest π* index (Table 2). Reactions in chloroform and toluene gave 2a in similar yields (i.e., 40% and 51%, respectively). Both solvents do not have HBA properties (HBA = 0) and have a similar π* index (chloroform = 0.58 and toluene = 0.54; Table 2). The absence of HBA properties combined with a high π* index could be the reason for the highest yield for 2a achieved in a reaction carried out in DCM (HBA = 0 and π* index = 0.82) in comparison to toluene or chloroform.
Table 2.
Solvent parameters (ε—dielectric constant; HBA—hydrogen bond acceptor number; π*—index of solvent dipolarity/polarizability) [45].
To investigate the scope of the reaction (Scheme 1), the same reaction conditions were applied (2 mmol of 1, 2.2 eq. of mCPBA and r.t., 3 h) to a series of 6-aryl-5,6-dihydropyrimidin-4(3H)-ones (1b-s). In all these reactions, the targeted DHUs crashed out from the solution, which were isolated and characterized using NMR and IR spectroscopy after simple work up. In one case, a nearly quantitative yield was noted (2b, 99%). In general, the transformation afforded good-to-excellent yields of the product, except in the case of compound 1e with an o-chlorophenyl substitution (2e, 32%). A total of 19 DHUs were prepared among which 13 were prepared for the first time. The structures and isolated yields of these derivatives are presented in Figure 2.
Figure 2.
Structures and isolated yields of the DHUs.
The applied reaction conditions showed good tolerance to the substituents on the aromatic ring. As a result, substrates with both an electron donating and an electron withdrawing group at the para position on the aromatic ring provided similar yields. For example, 4’-fluoro, -chloro, -nitro, and -benzyloxy gave the corresponding DHUs at 55, 87, 64 and 67%, respectively. Considering yield outcomes, the presence of alkoxy function (methoxy(2j), ethoxy (2m), butoxy (2o), benzyloxy (2p), or 3’-methylbenzyloxy (2q)), even acetoxy group at para position (2s) also demonstrated good group tolerance. Interestingly, however, the aryl groups phenyl or antracen-10’-yl positioned at the C4 position, even though they possess similar electron-withdrawing behavior, realized different yields of DHU (75% of 2a and 99% of 2b).
Going forward, we followed the reaction between 1a and mCPBA using 1H NMR in CDCl3 as a solvent (Figure 3). For this purpose, we prepared solutions of 1a (300 μL, 120 mM) and mCPBA (300 μL, 260 mM). Immediately after mixing, the first spectra were recorded. Six NMR spectra were then recorded every twelve hours.
Figure 3.
Stacked NMR spectra of 1a and mCPBA in CDCl3. The blue and green shapes represent NH protons that originate from 1a and product 2a, respectively; the yellow shapes represent double bonds and benzylic protons.
As seen from stacked spectra in Figure 3, the amide proton originating from 1a nearly disappeared. The intensity of the amide protons in the products increased (2a, green shapes; Figure 3) and was followed by a decrease in amide proton intensity from 1a (blue shape; Figure 3). Furthermore, mCPBA did not react with the double bond or even with the benzylic position. Double-bond protons showed the same multiplets in the range 5.1–5.4 ppm (=CH2) and 5.7–6.1 ppm (=CH) (Figure 3; orange shapes).
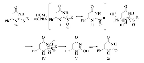
The NMR experiments provided us with valuable information: (a) the double bond did not react with peracid, even though mCPBA can easily transform the double bond into an epoxide ring; (b) benzylic protons originating from a dihydropyrimidine core is also sensitive to the presence of oxidants [39], but the applied peracid had no significant effect on the chemical shifts of the benzylic protons, implying its stability under the applied conditions. Taking into account the data obtained from the NMR investigation, we proposed a plausible mechanism for the transformation (Figure 4). In the initial step, the sulfide group is oxidized into sulfoxide (II), which upon protonation forms intermediate III. Sulfoxide oxygen in intermediate III attacks C2, forming a C–O bond followed by cleavage of the C–S bond, and elimination of thiol can then give rise to the observed product 2a. A similar ring contraction in dihydropyrimidine compounds has already been suggested [46].
Figure 4.
Proposed mechanism (R = allyl).
In summary, an elegant approach to novel dihydrouracils has been developed. In most syntheses, moderate-to-high yields of target compounds were realized. The advantage of our method over existing ones is that we do not use metals, strong bases, or acids and work at room temperature. In addition, a simple work up process, good yields, and broad substrate scope could also be additional benefits of the presented method. After applying uracil’s derivative (N1-methyl-pseudouridine) into COVID-19 vaccines, we firmly believe that uracil analogs have a bright future. Furthermore, the crucial importance of developing new approaches for the synthesis of dihydrouracil lies in the importance of these molecules, both in biological processes and in the development of new antiviral drugs.
3. Materials and Methods
The melting points (mp) were determined on a Mel-Temp apparatus and were uncorrected. The IR spectra were recorded using a Perkin–Elmer Spectrum One FT-IR spectrometer on a KBr pellet. The NMR spectra of compounds 2a-s were performed in DMSO-d6 with TMS as the internal standard on a Varian Gemini 200 MHz NMR spectrometer (1H at 200 and 13C at 50 MHz). The abbreviations for the NMR signals that were used are s = singlet, d = doublet, t = triplet, m = multiplet, and br. s. = broad singlet. 1H and 13C spectra are given in the Supplementary Materials (Figures S1–S38).
Synthesis of DHUs (2): in a 25 mL round-bottomed flask, appropriate dihydropyrimidine 1a-s (2 mmol) was dissolved in 5 mL of dichloromethane. Then, 2.2 eq of mCPBA was loaded at room temperature. The reactions were completed for 3 h. The precipitated product was filtered, washed with DCM, and dried in a vacuum. Dry powder was treated with saturated sodium bicarbonate solution, then filtrated, washed with water, and dried.
6-Phenyl-dihydropyrimidine-2,4(1H,3H)-dione2a: white powder; yield: 75%; Mp = 229 °C; IR (KBr) ν 3432, 3209, 1738, 1695, and 1452 cm−1; 1H NMR (200 MHz, DMSO-d6) δ 10.18 (s, 1H, NH), 8.01 (s, 1H, NH), 7.42–7.22 (m, 5H, Ar), 4.68 (td, J = 6.4, 2.5 Hz, 1H, CH), and 2.73 (ddd, J = 23.1, 16.3, 6.3 Hz, 2H, CH2) ppm; 13C NMR (50 MHz, DMSO-d6) δ 170.0, 154.0, 141.4, 128.8, 127.8, 126.2, 50.3, and 38.4 ppm; Calcd. for C10H10N2O2: 63.15; H, 5.30; N, 14.73; Found: C 62.95, H 5.20, and N 14.62 (%).
Dihydro-6-(3’-(hexahydro-2”,6”-dioxopyrimidin-4”-yl)phenyl)pyrimidine-2,4(1H,3H)-dione2b: white powder; yield: 64%; Mp = 191 °C; IR (KBr) ν 3415, 3201, 1741, 1695, 1458, and 1300 cm−1; 1H NMR (200 MHz, DMSO-d6) δ 10.19 (s, 1H, NH), 7.99 (s, 1H, NH), 7.43–7.23 (m, 2H, Ar), 4.72–4.66 (m, 1H, CH), and 2.87–2.55 (m, 2H, CH2) ppm; 13C NMR (50 MHz, DMSO-d6) δ 169.7, 153.8, 141.6, 128.9, 125.3, 124.4, 50.4, and 38.5 ppm; Calcd. for C14H14N4O4: 55.63; H, 4.67; N, 18.53; Found: C 55.47, H 4.60, N 18.45 (%).
6-(anthracen-10′-yl)-dihydropyrimidine-2,4(1H,3H)-dione2c Light yellow powder; Yield: 99%; Mp = 254 °C; IR (KBr) ν 3392, 3188, 1732, 1696, 1655, 1470, 1297 cm−1; 1H NMR (200 MHz, DMSO-d6) δ 10.39 (s, 1H, NH), 8.64 (m, 3H, NH + Ar), 8.13 (m, 1H, Ar), 7.90 (m, 2H, Ar), 7.69–7.48 (m, 4H, Ar), 6.41 (dd, J = 13.3, 4.6 Hz, 1H, CH), 3.45–3.30 (m, 1H, CH), 2.68–2.57 (m, 1H, CH) ppm; 13C NMR (50 MHz, DMSO-d6) δ 170.1, 166.3, 153.9, 133.3, 132.3, 131.4, 130.5, 129.7, 129.4, 128.9, 128.7, 127.9, 126.1, 125.1, 46.5, 36.4 ppm; Before elemental analysis, 2c was recrystallized from acetone/water mixture; calcd. for C18H14N2O2: C 74.47, H 4.86, N 9.65; found: C 74.21, H 4.75, N 9.49 (%)
6-(4′-fluorophenyl)-dihydropyrimidine-2,4(1H,3H)-dione2d White powder; Yield: 55%; Mp = 260 °C; IR (KBr) ν 3205, 3085, 1738, 1695, 1516, 1443 cm−1; 1H NMR (200 MHz, DMSO-d6) δ 10.20 (s, 1H, NH), 8.01 (s, 1H, NH), 7.43–7.15 (m, 4H, Ar), 4.73–4.66 (m, 1H, CH), 2.95–2.57 (m, 2H, CH2) ppm; 13C NMR (50 MHz, DMSO-d6) δ 169.7, 164.0, 159.2, 153.8, 137.3, 137.3, 128.3, 128.2, 115.6, 115.2, 49.7, and 38.4 ppm; calcd. for C10H9FN2O2: C 57.69, H 4.36, and N 13.46; found: C 57.45, H 4.25, N 13.25 (%).
6-(2’-Chlorophenyl)-dihydropyrimidine-2,4(1H,3H)-dione2e: white powder; yield: 32%; Mp = 212 °C; IR (KBr) ν 3241, 3078, 1706, 1490, and 1438 cm−1; 1H NMR (200 MHz, DMSO-d6) δ 10.35 (s, 1H, NH), 8.01 (s, 1H, NH), 7.51–7.27 (m, 4H, Ar), 4.97–4.93 (m, 1H, CH), 2.98 (dd, J = 16.4, 6.3 Hz, 1H), and 2.53 (dd, J = 16.3, 6.1 Hz, 1H) ppm; 13C NMR (50 MHz, DMSO-d6) δ 169.2, 153.9, 138.1, 131.3, 129.9, 129.6, 127.8, 127.1, 47.7, and 36.4 ppm; calcd. for C10H9ClN2O2: C 53.47, H 4.04, and N 15.78; found: C 53.35, H 3.95, and N 15.70 (%).
6-(4’-Chlorophenyl)-dihydropyrimidine-2,4(1H,3H)-dione2f: Light yellow powder; yield: 87%; Mp = 249 °C; IR (KBr) ν 3241, 3080, 1700, and 1476 cm−1; 1H NMR (200 MHz, DMSO-d6) δ 10.21 (s, 1H, NH), 8.02 (s, 1H, NH), 7.40 (dd, J = 20.0, 8.4 Hz, 4H, Ar), 4.71 (m, 1H, CH), 2.89–2.78 (dd, J = 16.4, 5.7 Hz, 1H, CH), and 2.67–2.56 (dd, J = 16.3, 7.1 Hz, 1H, CH) ppm; 13C NMR (50 MHz, DMSO-d6) δ 169.6, 153.8, 140.2, 132.3, 128.6, 128.11, 49.7, and 38.2 ppm; calcd. for C10H9ClN2O2: C 53.47, H 4.04, and N 15.78; found: C 53.26, H 3.97, and N 15.70 (%).
6-(4’-Nitrophenyl)-dihydropyrimidine-2,4(1H,3H)-dione2g: white powder; yield: 64%; Mp = 243 °C; IR (KBr) ν 3243, 3078, 1710, 1521, 1490, and 1346 cm−1; 1H NMR (200 MHz, DMSO-d6) δ 10.29 (s, 1H, NH), 8.25 (d, J = 8.7 Hz, 2H, Ar), 8.16 (s, 1H, NH), 7.62 (d, J = 8.6 Hz, 2H, Ar), 4.87 (s, 1H, CH), and 2.79 (ddd, J = 23.4, 16.4, 6.4 Hz, 2H, CH2) ppm; 13C NMR (50 MHz, DMSO-d6) δ 169.3, 153.7, 148.8, 147.1, 127.6, 123.8, 49.9, and 37.9 ppm; calcd. for C10H9N3O4: C 51.07, H 3.86, and N 17.87; found: C 49.90, H 3.80, and N 17.81 (%).
6-(4’-Benzyloxyphenyl)-dihydropyrimidine-2,4(1H,3H)-dione2h: white powder; yield: 67%; Mp = 209 °C; IR (KBr) ν 3432, 3209, 1737, 1696, 1514, and 1452 cm−1; 1H NMR (200 MHz, DMSO-d6) δ 10.16 (s, 1H, NH), 7.95 (s, 1H, NH), 7.46–7.22 (m, 7H, Ar), 7.01 (d, J = 8.6 Hz, 2H, Ar), 5.10 (s, 2H, OCH2), 4.61 (m, 1H, CH), and 2.83–2.54 (m, 2H, CH2) ppm; 13C NMR (50 MHz, DMSO-d6) δ 169.9, 157.9, 153.8, 137.1, 133.3, 128.5, 127.8, 127.6, 127.4, 114.9, 69.4, 49.8, and 38.5 ppm; calcd. for C17H16N2O3: C 68.91, H 5.44, and N 9.45; found: C 68.75, H 5.32, and N 9.40 (%).
6-(4’-(4”-Bromobenzyloxy)phenyl)-dihydropyrimidine-2,4(1H,3H)-dione2i: white powder; yield: 45%; Mp = 246 °C; IR (KBr) ν 3206, 3089, 1739, 1696, 1514, and 1456 cm−1; 1H NMR (200 MHz, DMSO-d6) δ 10.16 (s, 1H, NH), 7.95 (s, 1H, NH), 7.59 (d, J = 8.3 Hz, 2H, Ar), 7.40 (d, J = 8.3 Hz, 2H, Ar), 7.25 (d, J = 8.6 Hz, 2H, Ar), 7.00 (d, J = 8.6 Hz, 2H, Ar), 5.08 (s, 2H, OCH2), 4.61 (s, 1H, CH), and 2.83–2.54 (m, 2H, CH2) ppm; 13C NMR (50 MHz, DMSO-d6) δ 169.9, 157.63, 153.8, 136.6, 133.5, 131.4, 129.8, 127.4, 121.0, 115.0, 68.6, 49.7, and 38.5 ppm; calcd. for C17H15BrN2O3: C 54.42, H 4.03, and N 7.47; found: C 54.10, H 3.95, and N 7.35 (%).
Dihydro-6-(4’-methoxyphenyl)pyrimidine-2,4(1H,3H)-dione2j: white powder; yield: 53%; Mp = 220 °C; IR (KBr) ν 3256, 1731, 1692, and 1510, cm−1; 1H NMR (200 MHz, DMSO-d6) δ 10.14 (s, 1H, NH), 7.94 (s, 1H, NH), 7.24 (m, 2H, Ar), 6.93 (m, 2H, Ar), 4.65–4.57 (m, 1H, CH), 3.74 (s, 3H, OCH3), and 2.83–2.57 (m, 2H, CH2); 13C NMR (50 MHz, DMSO-d6) δ 169.9, 158.8, 153.8, 133.1, 127.33, 114.1, 55.3, 49.7, and 38.5 ppm; calcd. for C11H12N2O3: C 59.99, H 5.49, and N 12.72; found: C 59.81, H 5.39, and N 12.65 (%).
6-(3’,4’-dimethoxyphenyl)-dihydropyrimidine-2,4(1H,3H)-dione2k: white powder; yield: 56%; Mp = 233 °C; IR (KBr) ν 3292, 3230, 1725, 1700, 1521, and 1462 cm−1; 1H NMR (200 MHz, DMSO-d6) δ 10.15 (s, 1H, NH), 7.93 (s, 1H, NH), 6.95–6.79 (m, 3H, Ar), 4.63–4.57 (m, 1H, CH), 3.74 (m, 6H, 2 × OCH3), and 2.82–2.59 (m, 2H, CH2) ppm; 13C NMR (50 MHz, DMSO-d6) δ 170.0, 153.9, 148.9, 148.4, 133.4, 118.0, 111.8, 110.4, 55.7, 55.7, 50.1, and 38.5 ppm; calcd. for C12H14N2O4: C 57.59, H 5.64, and N 11.19; found: C 57.34, H 5.52, and N 11.05 (%).
Dihydro-6-(3’,4’,5’-trimethoxyphenyl)pyrimidine-2,4(1H,3H)-dione2l: white powder; yield: 64%; Mp = 210 °C; IR (KBr) ν 3292, 3230, 1725, 1700, 1521, and 1462 cm−1; 1H NMR (200 MHz, DMSO-d6) δ 10.17 (s, 1H, NH), 7.93 (s, 1H, NH), 6.66 (s, 2H, Ar), 4.64–4.58 (m, 1H, CH), 3.77 (s, 6H, 2 × OCH3), 3.64 (s, 3H, OCH3), and 2.82–2.61 (m, 2H, CH2) ppm; 13C NMR (50 MHz, DMSO-d6) δ 169.9, 153.9, 152.9, 136.6, 103.8, 60.1, 56.1, 50.7, and 38.5 ppm; calcd. for C13H16N2O5: C 55.71, H 5.75, and N 9.99; found: C 55.59, H 5.65, and N 9.82 (%).
6-(4’-Ethoxy-3’-methoxyphenyl)-dihydropyrimidine-2,4(1H,3H)-dione2m: white powder; yield: 68%; Mp = 221 °C; IR (KBr) ν 3233, 3078, 1699, 1523, 1478, and 1236 cm−1; 1H NMR (200 MHz, DMSO-d6) δ 10.15 (s, 1H, NH), 7.93 (s, 1H, NH), 6.95–6.77 (m, 3H, Ar), 4.59 (s, 1H, CH), 3.98 (q, J = 6.8 Hz, 2H, OCH2), 3.75 (s, 3H, OCH3), 2.82–2.59 (m, 2H, CH2), and 1.31 (t, J = 6.9 Hz, 3H, CH3) ppm; 13C NMR (50 MHz, DMSO-d6) δ 170.0, 153.8, 149.1, 147.6, 133.4, 118.0, 113.0, 110.5, 63.9, 55.6, 50.1, 38.5, and 14.9 ppm; calcd. for C13H16N2O4: C 59.08, H 6.10, and N 10.60; found: C 58.84, H 5.95, N 10.52 (%).
6-(4’-Propoxy-3’-methoxyphenyl)-dihydropyrimidine-2,4(1H,3H)-dione2n: yellow powder; yield: 63%; Mp = 205 °C; IR (KBr) ν 3220, 3095, 1717, 1685, and 1520 cm−1; 1H NMR (200 MHz, DMSO-d6) δ 10.15 (s, 1H, NH), 7.93 (s, 1H, NH), 6.92 (m, 2H, Ar), 6.79 (m, 1H, Ar), 4.59 (t, J = 6.4 Hz, 1H, CH), 3.88 (t, J = 6.6 Hz, 2H, OCH2), 3.76 (s, 3H, OCH3), 2.82–2.62 (m, 2H, CH2), 1.79–1.62 (m, 2H, CH2), and 0.96 (t, J = 7.4 Hz, 3H, CH3) ppm; 13C NMR (50 MHz, DMSO-d6) δ 169.9, 153.8, 149.2, 147.8, 133.5, 118.1, 113.2, 110.7, 70.0, 55.8, 50.1, 38.5, 22.3, and 10.6 ppm; calcd. for C14H18N2O4: C 60.42, H 6.52, and N 10.07; found: C 60.25, H 6.45, and N 10.01 (%).
6-(4’-Butoxy-3’-methoxyphenyl)-dihydropyrimidine-2,4(1H,3H)-dione2o: white powder; yield: 74%; Mp = 195 °C; IR (KBr) ν 3231, 3077, 1718, 1688, 1522, and 1476 cm−1; 1H NMR (200 MHz, DMSO-d6) δ 10.14 (s, 1H, NH), 7.92 (s, 1H, NH), 6.95–6.76 (m, 3H, Ar), 4.59 (t, J = 5.3 Hz, 1H), 3.92 (t, J = 6.4 Hz, 2H, OCH2), 3.75 (s, 3H, OCH3), 2.82–2.58 (m, 2H, CH2), 1.75–1.61 (m, 2H, CH2), 1.51–1.32 (m, 2H, CH2), and 0.92 (t, J = 7.3 Hz, 3H, CH3) ppm; 13C NMR (50 MHz, DMSO-d6) δ 169.9, 153.8, 149.2, 147.8, 133.4, 118.1, 113.1, 110.6, 68.1, 55.7, 50.1, 38.5, 31.0, 18.9, and 13.8 ppm; calcd. for C15H20N2O4: C 61.63, H 6.90, and N 9.58; found: C 61.45, H 6.80, and N 9.51 (%).
6-(4’-Benzyloxy-3’-methoxyphenyl)-dihydropyrimidine-2,4(1H,3H)-dione2p: white powder; yield: 70%; Mp = 207 °C; IR (KBr) ν 3434, 3210, 1919, 1693, 1517, and 1451 cm−1; 1H NMR (200 MHz, DMSO-d6) δ 10.14 (s, 1H, NH), 7.92 (s, 1H, NH), 7.42–7.22 (m, 5H, Ar), 7.01 (d, J = 8.5 Hz, 2H, Ar), 6.82 (d, J = 9.6 Hz, 1H, Ar), 5.07 (s, 2H, OCH2), 4.64–4.57 (m, 1H, CH), 3.77 (s, 3H, OCH3), and 2.82–2.59 (m, 2H, CH2) ppm; 13C NMR (50 MHz, DMSO-d6) δ 170.0, 153.9, 149.2, 147.3, 137.2, 133.8, 128.5, 127.9, 127.8, 118.0, 113.5, 110.6, 70.1, 55.7, 50.1, and 38.4 ppm; calcd. for C18H18N2O4: C 66.25, H 5.56, and N 8.58; found: C 66.15, H 5.47, and N 8.44 (%).
6-(4’-(3”-Methylbenzyloxy)-3’-methoxyphenyl)-dihydropyrimidine-2,4(1H,3H)-dione2q: white powder; yield: 65%; Mp = 205 °C; IR (KBr) ν 3408, 3213, 1730, 1698, 1517, and 1460 cm−1; 1H NMR (200 MHz, DMSO-d6) δ 10.15 (s, 1H, NH), 7.93 (s, 1H, NH), 7.31–7.15 (m, 4H, Ar), 7.12–6.98 (m, 2H, Ar), 6.82–6.77 (m, 1H, Ar), 5.02 (s, 2H, OCH2), 4.60 (t, J = 5.5 Hz, 1H, CH), 3.77 (s, 3H, OCH3), 2.82–2.59 (m, 2H, CH2), and 2.31 (s, 3H, CH3) ppm; 13C NMR (50 MHz, DMSO-d6) δ 169.9, 153.8, 149.3, 147.4, 137.5, 137.1, 133.8, 128.5, 128.3, 124.9, 118.0, 113.6, 110.6, 70.2, 55.7, 50.1, 38.5, and 21.1 ppm; calcd. for C19H20N2O4: C 67.05, H 5.92, and N 8.23; found: C 66.90, H 5.85, and N 8.14 (%).
6-(4’-(4”-Methylbenzyloxy)-3’-methoxyphenyl)-dihydropyrimidine-2,4(1H,3H)-dione2r: white powder; yield: 61%; Mp = 209 °C; IR (KBr) ν 3395, 3201, 1729, 1695, and 1515 cm−1; 1H NMR (200 MHz, DMSO-d6) δ 10.15 (s, 1H, NH), 7.94 (s, 1H, NH), 7.31 (d, 2H, Ar), 7.18 (d, 2H, Ar), 7.01–6.97 (m, 2H, Ar), 6.81–6.76 (d, 1H, Ar), 5.01 (s, 2H, OCH2), 4.62–4.56 (m, 1H, CH), 3.76 (s, 3H, OCH3), 2.81–2.59 (m, 2H, CH2), and 2.30 (s, 3H, CH3) ppm; 13C NMR (50 MHz, DMSO-d6) δ 169.9, 153.8, 149.3, 147.4, 137.5, 134.2, 133.8, 132.5, 128.7, 127.8, 118.0, 113.6, 110.7, 70.0, 55.8, 50.1, 38.5, and 20.9 ppm; calcd. for C19H20N2O4: C 67.05, H 5.92, and N 8.23; found: C 66.91, H 5.85, and N 8.19 (%).
6-(4’-Acetoxy-3’-methoxyphenyl)-dihydropyrimidine-2,4(1H,3H)-dione2s: white powder; yield: 60%; Mp = 239 °C; IR (KBr) ν 3429, 3288, 1767, 1716, 1696, 1679, and 1453 cm−1; 1H NMR (200 MHz, DMSO-d6) δ 10.20 (s, 1H, NH), 8.00 (s, 1H, NH), 7.12–7.06 (m, 2H, Ar), 6.89 (d, J = 8.1 Hz, 1H, Ar), 4.68 (t, J = 5.6 Hz, 1H, CH), 3.77 (s, 3H, OCH3), 2.87–2.63 (m, 2H, CH2), and 2.25 (s, 3H, CH3CO) ppm; 13C NMR (50 MHz, DMSO-d6) δ 169.8, 168.5, 153.8, 150.9, 139.9, 138.8, 122.8, 118.0, 111.1, 55.9, 50.3, 38.4, and 20.5 ppm; calcd. for C13H14N2O5: C 56.11, H 5.07, and N 10.07; found: C 55.91, H 4.89, and N 10.12 (%).
Supplementary Materials
The following supporting information can be downloaded at: https://www.mdpi.com/article/10.3390/molecules27092939/s1, Figures S1–S38: NMR spectra.
Author Contributions
Conceptualization, writing—original draft preparation, and supervision, S.N.A.B. and N.J.; methodology and visualization, H.E. and M.A.E. All authors have read and agreed to the published version of the manuscript.
Funding
The authors work was supported through grant number “375213500” from the Deputyship for Research and Innovation, Ministry of Education in Saudi Arabia.
Institutional Review Board Statement
Not applicable.
Informed Consent Statement
Not applicable.
Data Availability Statement
Not applicable.
Acknowledgments
The authors extend their appreciation to the Deputyship for Research and Innovation, Ministry of Education in Saudi Arabia, and the central laboratory at Jouf University for supporting this study.
Conflicts of Interest
The authors declare no conflict of interest.
References
- Krokan, H.E.; Drabløs, F.; Slupphaug, G. Uracil in DNA–occurrence, consequences and repair. Oncogene 2002, 21, 8935–8948. [Google Scholar] [CrossRef] [Green Version]
- Inada, M.; Hirao, Y.; Koga, T.; Itose, M.; Kunizaki, J.-i.; Shimizu, T.; Sato, H. Relationships among plasma [2-13C] uracil concentrations, breath 13CO2 expiration, and dihydropyrimidine dehydrogenase (DPD) activity in the liver in normal and DPD-deficient dogs. Drug Metab. Disp. 2005, 33, 381–387. [Google Scholar] [CrossRef] [Green Version]
- Hollywood, F.; Suschitzky, H.; Hull, R. Chlorosulphonyl isocyanate addition to o-dialkylaminostyrenes: Preparation of 6-(O-dialkylaminophenyl)-uracils. Synthesis 1982, 8, 662–665. [Google Scholar] [CrossRef]
- Strekowski, L.; Watson, R.A.; Michelle, F.A. A new route to 5, 6-dihydropyrimidin-4 (3H)-ones. Synthesis 1987, 6, 579–581. [Google Scholar] [CrossRef]
- Pair, E.; Levacher, V.; Briere, J.-F. Modified multicomponent Biginelli–Atwal reaction towards a straightforward construction of 5,6-dihydropyrimidin-4-ones. RSC Adv. 2015, 57, 46267–46271. [Google Scholar] [CrossRef]
- Schneider, N.; Hauer, B.; Ditrich, K.; O’Neil, M.; Turner, N. Preparation of Beta-Amino Acids. Patent WO 2011032990 A1, 24 March 2011. [Google Scholar]
- O’Neill, M.; Hauer, B.; Schneider, N.; Turner, N.J. Enzyme-catalyzed enantioselective hydrolysis of dihydrouracils as a route to enantiomerically pure β-Amino Acids. ACS Catal. 2011, 9, 1014–1016. [Google Scholar] [CrossRef]
- Jones, K.A.; Weaver, D.F.; Tiedje, K.E. Dihydrouracil Compounds as Anti-Ictogenic or Anti-Epileptogenic Agents. Patent WO 2004009559 A2, 29 January 2004. [Google Scholar]
- Sun, G.; Fecko, C.J.; Nicewonger, R.B.; Webb, W.W.; Begley, T.P. DNA-protein cross-linking: Model systems for pyrimidine-aromatic amino acid cross-linking. Org. Lett. 2006, 8, 681–683. [Google Scholar] [CrossRef]
- Wu, S.; Janusz, J.M. Solid-phase synthesis of 3-aminohydantoin, dihydrouracil, thiohydantoin and dihydrothiouracil derivatives. Tetrahedron Lett. 2000, 41, 1165–1169. [Google Scholar]
- Blanco-Ania, D.; Valderas-Cortina, C.; Hermkens, P.H.H.; Sliedregt, L.A.J.M.; Scheeren, H.W.; Rutjes, F.P.J.T. Synthesis of dihydrouracils spiro-fused to pyrrolidines: Druglike molecules based on the 2-arylethyl amine scaffold. Molecules 2010, 15, 2269–2301. [Google Scholar] [CrossRef] [Green Version]
- Chang, K.L.; Jeung, Y.S. A Synthesis of 5,6-Dihydrouracils in a Sealed-tube and Their Conformational Analysis. Bull. Korean Chem. Soc. 1991, 12, 343–347. [Google Scholar]
- Wurm, J.P.; Griese, M.; Bahr, U.; Held, M.; Heckel, A.; Karas, M.; Soppa, J.; Wöhnert, J. Identification of the enzyme responsible for N1-methylation of pseudouridine 54 in archaeal tRNAs. RNA 2012, 18, 412–420. [Google Scholar] [CrossRef] [PubMed] [Green Version]
- Svitkin, Y.V.; Cheng, Y.M.; Chakraborty, T.; Presnyak, V.; John, M.; Sonenberg, N. N1-methyl-pseudouridine in mRNA enhances translation through eIF2α-dependent and independent mechanisms by increasing ribosome density. Nucleic Acids Res. 2017, 45, 6023–6036. [Google Scholar] [CrossRef] [PubMed] [Green Version]
- Morais, P.; Adachi, H.; Yu, Y.-T. The Critical Contribution of Pseudouridine to mRNA COVID-19 Vaccines. Front. Cell Dev. Biol. 2021, 9, 789427. [Google Scholar] [CrossRef]
- Richner, J.M.; Himansu, S.; Dowd, K.A.; Butler, S.L.; Salazar, V.; Fox, J.M.; Julander, J.G.; Tang, W.W.; Shresta, S.; Pierson, T.C.; et al. Modified mRNA vaccines protect against Zika virus infection. Cell 2017, 168, 1114–1125. [Google Scholar] [CrossRef] [Green Version]
- Pardi, N.; Hogan, M.J.; Naradikian, M.S.; Parkhouse, K.; Cain, D.W.; Jones, L.; Moody, M.A.; Verkerke, H.P.; Myles, A.; Willis, E.; et al. Nucleoside-modified mRNA vaccines induce potent T follicular helper and germinal center B cell responses. J. Exp. Med. 2018, 215, 1571–1588. [Google Scholar] [CrossRef]
- Meyer, M.; Huang, E.; Yuzhakov, O.; Ramanathan, P.; Ciaramella, G.; Bukreyev, A. Modified mRNA-based vaccines elicit robust immune responses and protect guinea pigs from Ebola virus disease. J. Infect. Dis. 2018, 217, 451–455. [Google Scholar] [CrossRef]
- Das, D. Chapter 8—Design and Development of HCV NS5B Polymerase Inhibitors. In Viral Proteases and Their Inhibitors; Academic Press: Cambridge, MA, USA, 2017; pp. 189–219. [Google Scholar]
- Malik, V.; Singh, P.; Kumar, S. Unique chlorine effect in regioselective one-pot synthesis of 1-alkyl-/allyl-3-(o-chlorobenzyl) uracils: Anti-HIV activity of selected uracil derivatives. Tetrahedron 2006, 62, 5944–5951. [Google Scholar] [CrossRef]
- Maruyama, T.; Kozai, S.; Demizu, Y.; Witvrouw, M.; Pannecouque, C.; Balzarini, J.; Snoecks, R.; Andrei, G.; De Clercq, E. Synthesis and anti-HIV-1 and anti-HCMV activity of 1-substituted 3-(3,5-dimethylbenzyl) uracil derivatives. Chem. Pharm. Bull. 2006, 54, 325–333. [Google Scholar] [CrossRef] [Green Version]
- Barral, K.; Courcambeck, J.; Pepe, G.; Balzarini, J.; Neyts, J.; Clercq, E.D.; Camplo, M. Synthesis and Antiviral Evaluation of Cis-Substituted Cyclohexenyl and Cyclohexanyl Nucleosides. J. Med. Chem. 2005, 48, 450–456. [Google Scholar] [CrossRef]
- Dolman, N.P.; Troop, H.M.; More, J.C.A.; Alt, A.; Knauss, J.L.; Nistico, R.; Jack, S.; Morley, R.M.; Bortolotto, Z.A.; Roberts, P.J.; et al. Synthesis and pharmacology of willardiine derivatives acting as antagonists of kainate receptors. Med. Chem. 2005, 48, 7867–7881. [Google Scholar] [CrossRef]
- Mai, A.; Sbardella, G.; Artico, M.; Ragno, R.; Massa, S.; Novellino, E.; Greco, G.; Lavecchia, A.; Musiu, C.; Colla, M.L.; et al. Structure-Based Design, Synthesis, and Biological Evaluation of Conformationally Restricted Novel 2-Alkylthio-6-[1-(2,6-difluorophenyl)alkyl]- 3,4-dihydro-5-alkylpyrimidin-4(3H)-ones as Non-nucleoside Inhibitors of HIV-1 Reverse Transcriptase. J. Med. Chem. 2001, 44, 2544–2554. [Google Scholar] [CrossRef] [PubMed]
- Heidelberger, C.; Chaudhuri, N.K.; Danneberg, P.; Mooren, D.; Griesbach, L.; Duschinsky, R.; Schnitzer, R.J.; Pleven, E.; Scheiner, J. Fluorinated pyrimidines, a new class of tumour-inhibitory compounds. Nature 1957, 179, 663–666. [Google Scholar] [CrossRef] [PubMed]
- Udayakumar, V.; Gowiska, J.; Pandurangan, A.J. A novel synthesis and preliminary in vitro cytotoxic evaluation of dihydropyrimidine-2,4(1H,3H)-dione derivatives. J. Chem. Sci. 2017, 129, 249–258. [Google Scholar] [CrossRef] [Green Version]
- Embrey, M.W.; Wai, J.S.; Funk, T.W.; Homnick, C.F.; Perlow, D.S.; Young, S.D.; Vacca, J.P.; Hazuda, J.D.; Felock, P.J.; Stillmock, K.A.; et al. A series of 5-(5,6)-dihydrouracil substituted 8-hydroxy-[1,6] naphthyridine-7-carboxylic acid 4-fluorobenzylamide inhibitors of HIV-1 integrase and viral replication in cells. Bioorg. Med. Chem. Lett. 2005, 15, 4550–4554. [Google Scholar] [CrossRef]
- Sganappa, A.; Bellucci, M.C.; Nizet, V.; Tor, Y.; Volonterio, A. Multicomponent Domino Synthesis and Antibacterial Activity of Neomycin–Sugar Conjugates. Synthesis 2016, 48, 4443–4445. [Google Scholar]
- Aytemir, M.D.; Çalış, U.; Özalp, M. Synthesis of Some New 3-Ethyl-6-phenylhexahydropyrimidine-2,4-dione Derivatives and Evaluation of Their In vitro Antimicrobial Activities. Hacet. Univ. J. Fac. Pharm. 2002, 22, 9–18. [Google Scholar]
- Heravi, M.M.; Moradi, R.; Mohammadkhani, L.; Moradi, B. Current progress in asymmetric Biginelli reaction: An update. Mol. Divers. 2018, 22, 751–767. [Google Scholar] [CrossRef]
- Chopda, L.V.; Dave, P.N. Recent Advances in Homogeneous and Heterogeneous Catalyst in Biginelli Reaction from 2015-19: A Concise Review. Chem. Sel. 2020, 5, 5552–5572. [Google Scholar] [CrossRef]
- Qin, H.-L.; Shang, Z.-P.; Jantan, I.; Tan, Q.A.; Hussain, M.A.; Sherd, M.; Bukhari, S.N.A. Molecular docking studies and biological evaluation of chalcone based pyrazolines as tyrosinase inhibitors and potential anticancer agents. RSC Adv. 2015, 5, 46330–46338. [Google Scholar] [CrossRef]
- Bukhari, S.N.A.; Zhang, X.; Jantan, I.; Zhu, H.-L.; Amjad, M.W.; Masand, V.H. Synthesis, molecular modeling, and biological evaluation of novel 1,3-diphenyl-2-propen-1-one based pyrazolines as anti-inflammatory agents. Chem. Biol. Drug Des. 2015, 85, 729–742. [Google Scholar] [CrossRef]
- Abdelrahman, M.H.; Youssif, B.G.M.; Abdelgawad, M.A.; Abdelazeem, A.H.; Ibrahim, H.M.; Moustafa, A.G.A.; Treamblu, L.; Bukhari, S.N.A. Synthesis, biological evaluation, docking study and ulcerogenicity profiling of some novel quinoline-2-carboxamides as dual COXs/LOX inhibitors endowed with anti-inflammatory activity. Eur. J. Med. Chem. 2017, 127, 972–985. [Google Scholar] [CrossRef] [PubMed]
- Bukhari, S.N.A.; Butt, A.M.; Amjad, M.V.B.; Ahmad, W.; Shah, W.H.; Trivedi, A.R. Synthesis and evaluation of chalcone analogues based pyrimidines as angiotensin converting enzyme inhibitors. Pak. J. Biol. Sci. 2013, 16, 1368–1372. [Google Scholar] [CrossRef] [PubMed] [Green Version]
- Milović, E.; Petronijević, J.; Joksimović, N.; Beljkaš, M.; Ružić, D.; Nikolić, K.; Vraneš, M.; Tot, A.; Đorđić Crnogorac, M.; Stanojković, T.; et al. Anticancer evaluation of the selected tetrahydropyrimidines: 3D-QSAR, cytotoxic activities, mechanism of action, DNA, and BSA interactions. Mol. Struct. 2022, 1257, 132621. [Google Scholar] [CrossRef]
- Janković, N.; Trifunović, J.; Vraneš, M.; Tot, A.; Petronijević, J.; Joksimović, N.; Stanojković, T.; Đorđić Crnogorac, M.; Petrović, N.; Boljević, I.; et al. Discovery of the Biginelli hybrids as novel caspase-9 activators in apoptotic machines: Lipophilicity, molecular docking study, influence on angiogenesis gene and miR-21 expression levels. Bioorg. Chem. 2019, 86, 569–582. [Google Scholar] [CrossRef] [PubMed]
- Muškinja, J.; Janković, N.; Ratković, Z.; Bogdanović, G.; Bugarčić, Z. Vanillic aldehydes for the one-pot synthesis of novel 2-oxo-1,2,3,4-tetrahydropyrimidines. Mol. Divers. 2016, 20, 591–604. [Google Scholar] [CrossRef] [PubMed]
- Gavrilović, M.; Janković, N.; Joksović, L.J.; Petronijević, J.; Joksimović, N. Bugarčić, Z. Water ultrasound-assisted oxidation of 2-oxo-1,2,3,4-tetrahydropyrimidines and benzylic acid salts. Environ. Chem. Lett. 2018, 16, 1501–1506. [Google Scholar] [CrossRef]
- Milović, E.; Janković, N.; Bogdanović, G.; Petronijević, J.; Joksimović, N. On water synthesis of the novel 2-oxo-1,2,3,4-tetrahydropyrimidines. Tetrahedron 2021, 78, 131790. [Google Scholar] [CrossRef]
- Janković, N.; Stefanović, S.; Petronijević, J.; Joksimović, N.; Novaković, S.B.; Bogdanović, G.A.; Muškinja, J.; Vraneš, M.; Ratković, Z.; Bugarčić, Z. Water-Tuned Tautomer-Selective Tandem Synthesis of the 5,6-Dihydropyrimidin-4(3H)-ones, Driven under the Umbrella of Sustainable Chemistry. ACS Sustain. Chem. Eng. 2018, 6, 13358–13366. [Google Scholar] [CrossRef]
- Mayer, U.; Gutmann, V.; Gerger, W. The acceptor number—A quantitative empirical parameter for the electrophilic properties of solvents. Mon. Chem. 1975, 106, 1235–1257. [Google Scholar] [CrossRef]
- Hayamizu, K.; Aihara, Y.; Arai, S.; Martinez, C.G. Pulse-Gradient Spin-Echo 1H, 7Li, and 19F NMR Diffusion and Ionic Conductivity Measurements of 14 Organic Electrolytes Containing LiN(SO2CF3)2. J. Phys. Chem. B 1999, 103, 519–524. [Google Scholar] [CrossRef]
- Kamlet, M.J.; Taft, R.W. The solvatochromic comparison method. I. The .beta.-scale of solvent hydrogen-bond acceptor (HBA) basicities. J. Am. Chem. Soc. 1976, 98, 377–383. [Google Scholar] [CrossRef]
- Kamlet, M.J.; Abboud, J.-L.M.; Abraham, M.H.; Taft, R.W. Linear solvation energy relationships. 23. A comprehensive collection of the solvatochromic parameters,. pi.*,. alpha., and. beta., and some methods for simplifying the generalized solvatochromic equation. J. Org. Chem. 1983, 48, 2877–2887. [Google Scholar] [CrossRef]
- Singh, S.; Schober, A.; Gebinog, M.; Groß, A. Facile conversion of Biginelli 3, 4-dihydropyrimidin-2(1H)-thiones to 2-(2-hydroxy-2-arylvinyl) dihydropyrimidines via Eschenmoser coupling. Tetrahedron Lett. 2009, 50, 1838–1843. [Google Scholar] [CrossRef]
Publisher’s Note: MDPI stays neutral with regard to jurisdictional claims in published maps and institutional affiliations. |
© 2022 by the authors. Licensee MDPI, Basel, Switzerland. This article is an open access article distributed under the terms and conditions of the Creative Commons Attribution (CC BY) license (https://creativecommons.org/licenses/by/4.0/).




