Can Extracts from the Leaves and Fruits of the Cotoneaster Species Be Considered Promising Anti-Acne Agents?
Abstract
1. Introduction
2. Results and Discussion
2.1. Phytochemical Analysis
2.2. Antioxidant Activity
2.3. Enzyme Inhibitory Activity
2.4. Antibacterial Activity
2.5. Cytotoxic Activity
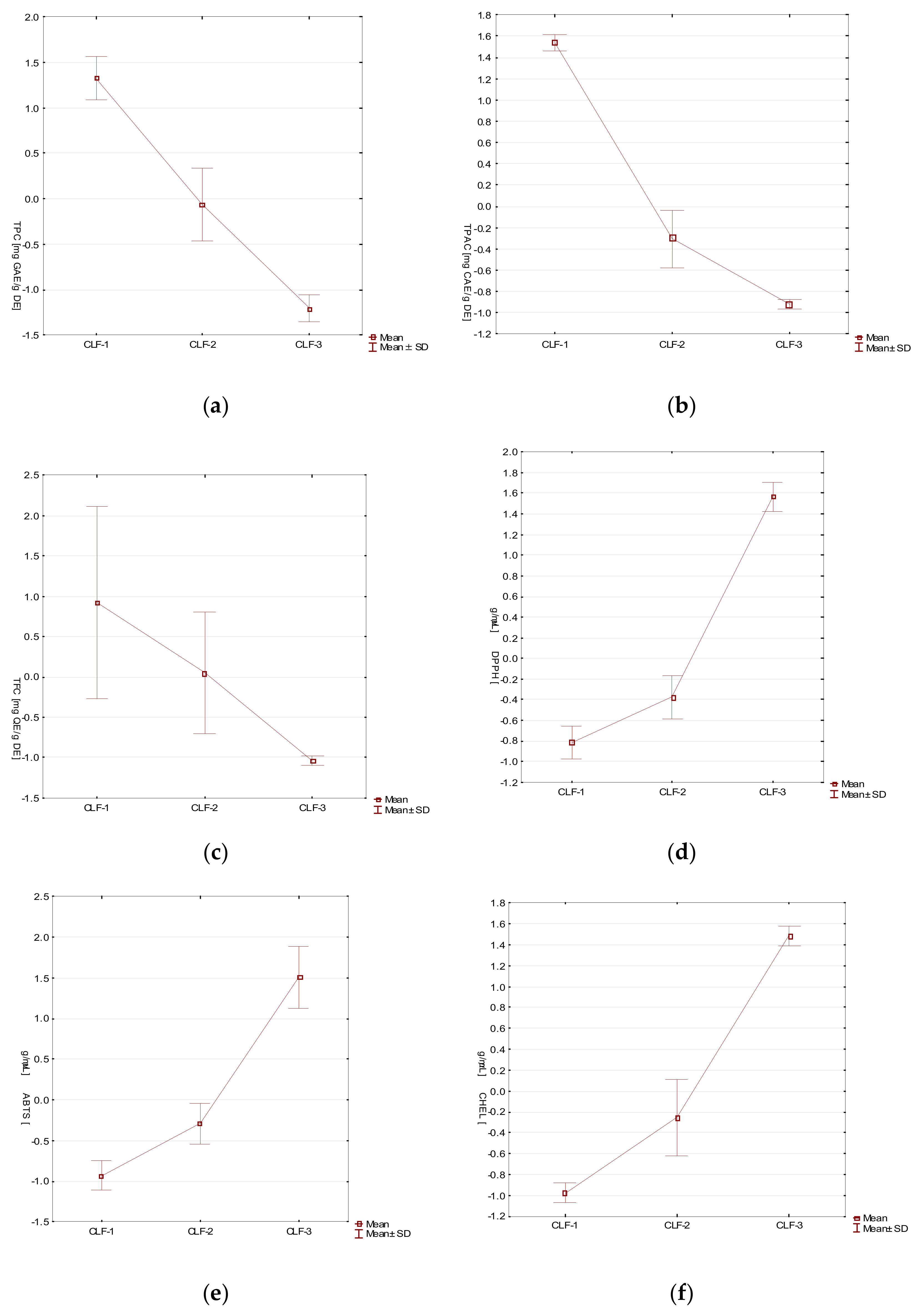
2.6. Hierarchical Cluster Analysis of the Phytochemical and Activity Data of C. nebrodensis and C. roseus
3. Materials and Methods
3.1. Chemicals and Reagents
3.2. Plant Material
3.3. Preparation of the Extracts
3.4. Total Flavonoid, Phenolic, and Phenolic Acids Content
3.5. LC-MS Analysis
3.6. Antioxidant Activity
3.6.1. DPPH• Assay
3.6.2. ABTS●+ Assay
3.6.3. Metal Chelating Activity (CHEL)
3.7. Enzyme Inhibitory Activity
3.7.1. Cyclooxygenase-1 (COX-1) and Cyclooxygenase-2 (COX-2) Inhibitory Activity
3.7.2. Lipoxygenase Inhibitory Activity
3.7.3. Hyaluronidase Inhibitory Activity
3.8. Antibacterial Activity
3.8.1. Disc Diffusion Assay in Solid Medium
3.8.2. MIC Determination
3.9. Cytotoxic Activity
3.10. Statistical Analysis
4. Conclusions
Supplementary Materials
Author Contributions
Funding
Institutional Review Board Statement
Data Availability Statement
Conflicts of Interest
References
- Perron, N.R.; Brumaghim, J.L. A review of the antioxidant mechanisms of polyphenol compounds related to iron binding. Cell Biochem. Biophys. 2009, 53, 75–100. [Google Scholar] [CrossRef] [PubMed]
- Xu, X.; Liu, A.; Hu, S.; Ares, I.; Martínez-Larrañaga, M.R.; Wang, X.; Martínez, M.; Anadón, A.; Martínez, M.A. Synthetic phenolic antioxidants: Metabolism, hazards and mechanism of action. Food Chem. 2021, 353, 129488. [Google Scholar] [CrossRef] [PubMed]
- Sarkar, C.; Chaudhary, P.; Jamaddar, S.; Janmeda, P.; Mondal, M.; Mubarak, M.S.; Islam, M.T. Redox activity of flavonoids: Impact on human health, therapeutics, and chemical safety. Chem. Res. Toxicol. 2022, 35, 140–162. [Google Scholar] [CrossRef] [PubMed]
- Haritwal, T.; Tiwari, M.; Agrawala, P. Herbal radioprotectors: A mini-review of the current status. Nat. Resour. Hum. Health 2022, 2, 274–286. [Google Scholar] [CrossRef]
- Paul, A.K.; Hossain, M.K.; Mahboob, T.; Nissapatorn, V.; Wilairatana, P.; Jahan, R.; Jannat, K.; Bondhon, T.A.; Hasan, A.; de Lourdes Pereira, M.; et al. Does oxidative stress management help alleviation of COVID-19 symptoms in patients experiencing diabetes? Nutrients 2022, 14, 321. [Google Scholar] [CrossRef]
- Kandhari, R. Acne mimickers. Egypt J. Dermatol. Venereol. 2021, 42, 1–10. [Google Scholar] [CrossRef]
- Branisteanu, D.; Toader, M.; Porumb, E.; Serban, I.; Pinzariu, A.; Branisteanu, C.; Vicovan, A.; Dimitriu, A.; Fartusnic, I.-A.; Boda, D.; et al. Adult female acne: Clinical and therapeutic particularities (review). Exp. Ther. Med. 2021, 23, 151. [Google Scholar] [CrossRef]
- Soleymani, S.; Farzaei, M.H.; Zargaran, A.; Niknam, S.; Rahimi, R. Promising plant-derived secondary metabolites for treatment of acne vulgaris: A mechanistic review. Arch. Dermatol. Res. 2020, 312, 5–23. [Google Scholar] [CrossRef]
- Kosasih, L.P. Maskne: Mask-induced acne flare during Coronavirus disease-19. What is it and how to manage it? Maced. J. Med. Sci. 2020, 8, 411–415. [Google Scholar] [CrossRef]
- Teo, W.L. Diagnostic and management considerations for “maskne” in the era of COVID-19. J. Am. Acad. Dermatol. 2021, 84, 520–521. [Google Scholar] [CrossRef]
- Alishir, A.; Kim, K.H. Antioxidant phenylpropanoid glycosides from Ginkgo biloba fruit and identification of a new phenylpropanoid glycoside, Ginkgopanoside. Plants 2021, 10, 2702. [Google Scholar] [CrossRef] [PubMed]
- Bonanni, P.; Zanobini, P. Universal and targeted varicella vaccination. Lancet 2021, 21, 11–12. [Google Scholar] [CrossRef]
- Abdelmaksoud, A.; Vestita, M.; El-Amawy, H.S.; Ayhan, E.; An, İ.; Oztürk, M.; Goldust, M. Systemic isotretinoin therapy in the era of COVID-19. Dermatol. Ther. 2020, 33, 19–20. [Google Scholar] [CrossRef] [PubMed]
- Han, C.; Shi, J.; Chen, Y.; Zhang, Z. Increased flare of acne caused by long-time mask wearing during COVID-19 pandemic among general population. Dermatol. Ther. 2020, 33, e13704. [Google Scholar] [CrossRef] [PubMed]
- Kicel, A.; Michel, P.; Owczarek, A.; Marchelak, A.; Zyzelewicz, D.; Budryn, G.; Oracz, J.; Olszewska, M.A. Phenolic profile and antioxidant potential of leaves from selected Cotoneaster Medik. species. Molecules 2016, 21, 688. [Google Scholar] [CrossRef]
- Kicel, A.; Kolodziejczyk-Czepas, J.; Owczarek, A.; Marchelak, A.; Sopinska, M.; Ciszewski, P.; Nowak, P.; Olszewska, M.A. Polyphenol-rich extracts from Cotoneaster leaves inhibit pro-inflammatory enzymes and protect human plasma components against oxidative stress in vitro. Molecules 2018, 23, 2472. [Google Scholar] [CrossRef]
- Krzemińska, B.; Dybowski, M.P.; Klimek, K.; Typek, R.; Miazga-Karska, M.; Dos Santos Szewczyk, K. The anti-acne potential and chemical composition of two cultivated Cotoneaster species. Cells 2022, 11, 367. [Google Scholar] [CrossRef]
- Khan, S.; Wang, Z.; Wang, R.; Zhang, L. Horizontoates A–C: New cholinesterase inhibitors from Cotoneaster horizontalis. Phytochem. Lett. 2014, 10, 204–208. [Google Scholar] [CrossRef]
- Holzer, V.M.D.; Lower-Nedza, A.D.; Nandintsetseg, M.; Batkhuu, J.; Brantner, A.H. Antioxidant constituents of Cotoneaster melanocarpus Lodd. Antioxidants 2013, 2, 265–272. [Google Scholar] [CrossRef]
- Les, F.; López, V.; Caprioli, G.; Iannarelli, R.; Fiorini, D.; Innocenti, M.; Bellumori, M.; Maggi, F. Chemical constituents, radical scavenging activity and enzyme inhibitory capacity of fruits from Cotoneaster pannosus Franch. Food Funct. 2017, 8, 1775–1784. [Google Scholar] [CrossRef]
- Zengin, G.; Uysal, A.; Gunes, E.; Aktumsek, A. Survey of phytochemical composition and biological effects of three extracts from a wild plant (Cotoneaster nummularia Fisch. et Mey.): A potential source for functional food ingredients and drug formulations. PLoS ONE 2014, 9, e113527. [Google Scholar] [CrossRef] [PubMed]
- Zengin, G.; Ferrante, C.; Menghini, L.; Orlando, G.; Brunetti, L.; Recinella, L.; Chiavaroli, A.; Leone, S.; Ronci, M.; Aumeeruddy, M.Z.; et al. Protective effects of Cotoneaster integerrimus on in vitro and ex-vivo models of H2O2-induced lactate dehydrogenase activity in HCT116 cell and on lipopolysaccharide-induced inflammation in rat colon. J. Food Biochem. 2019, 43, e12766. [Google Scholar] [CrossRef]
- Esmaeili, S.; Ghiaee, A.; Naghibi, F.; Mosaddegh, M. Antiplasmodial activity and cytotoxicity of plants used in traditional medicine of Iran for the treatment of fever. Iran J. Pharm. Res. 2015, 14, 103–107. [Google Scholar] [PubMed]
- Swati, S.; Manjula, R.R.; Sowjanya, K.; Vennela, Y.; Tanuja, K. A phyto pharmacological review on Cotoneaster microphyllus species. J. Pharm. Sci. Res. 2018, 10, 2166–2168. [Google Scholar]
- Szewczyk, K.; Bogucka-Kocka, A.; Vorobets, N.; Grzywa-Celińska, A.; Granica, S. Phenolic composition of the leaves of Pyrola rotundifolia L. and their antioxidant and cytotoxic activity. Molecules 2020, 25, 1749. [Google Scholar] [CrossRef]
- Mahmutović-Dizdarević, I.; Dizdar, M.; Čulum, D.; Vidic, D.; Dahija, S.; Jerković-Mujkić, A.; Bešta-Gajević, R. Phenolic composition, antioxidant and antimicrobial activity of Cotoneaster Medik. species from Bosnia and Herzegovina. Bull. Chem. Technol. Bosnia Herzeg. 2020, 54, 1–6. [Google Scholar] [CrossRef]
- Yoo, N.H.; Kim, H.K.; Lee, C.O.; Park, J.H.; Kim, M.J. Comparison of antioxidant and anti-inflammatory activities of methanolic extracts obtained from different parts of Cotoneaster wilsonii Nakai. Korean J. Med. Crop Sci. 2019, 27, 194–201. [Google Scholar] [CrossRef]
- Kicel, A.; Owczarek, A.; Gralak, P.; Ciszewski, P.; Olszewska, M.A. Polyphenolic profile, antioxidant activity, and pro-inflammatory enzymes inhibition of leaves, flowers, bark and fruits of Cotoneaster integerrimus: A comparative study. Phytochem. Lett. 2019, 30, 349–355. [Google Scholar] [CrossRef]
- Palme, E.; Bilia, A.R.; de Feo, V.; Morelli, I. Flavonoid glycosides from Cotoneaster thymaefolia. Phytochem 1994, 35, 1381–1382. [Google Scholar] [CrossRef]
- Ekin, H.N.; Gokbulut, A.; Aydin, Z.U.; Donmez, A.A. Insight into anticholinesterase and antioxidant potential of thirty-four Rosaceae samples and phenolic characterization of the active extracts by HPLC. Ind. Crops Prod. 2016, 91, 104–113. [Google Scholar] [CrossRef]
- Kicel, A.; Owczarek, A.; Kapusta, P.; Kolodziejczyk-Czepas, J.; Olszewska, M.A. Contribution of individual polyphenols to antioxidant activity of Cotoneaster bullatus and Cotoneaster zabelii leaves—Structural relationships, synergy effects and application for quality control. Antioxidants 2020, 9, 69. [Google Scholar] [CrossRef] [PubMed]
- Odontuya, G. Phytochemicals in leaves of Cotoneaster mongolica, their antioxidative, and acetylcholinesterase inhibitory activity. Mong. J. Chem. 2019, 20, 1–6. [Google Scholar]
- Cooke, R.G.; Fletcher, R.A.H. Isoflavonoids. III. Constituents of Cotoneaster species. Aust. J. Chem. 1974, 27, 1377–1379. [Google Scholar] [CrossRef][Green Version]
- Sato, Y.; Itagaki, S.; Kurokawa, T.; Ogura, J.; Kobayashi, M.; Hirano, T.; Sugawara, M.; Iseki, K. In vitro and in vivo antioxidant properties of chlorogenic acid and caffeic acid. Int. J. Pharm. 2011, 403, 136–138. [Google Scholar] [CrossRef] [PubMed]
- Olthof, M.R.; Hollman, P.C.H.; Katan, M.B. Chlorogenic acid and caffeic acid are absorbed in humans. J. Nutr. 2001, 131, 66–71. [Google Scholar] [CrossRef]
- Naveed, M.; Hejazi, V.; Abbas, M.; Kamboh, A.A.; Khan, G.J.; Shumzaid, M.; Ahmad, F.; Babazadeh, D.; FangFang, X.; Modarresi-Ghazani, F.; et al. chlorogenic acid (CGA): A pharmacological review and call for further research. Biomed. Pharmacother. 2018, 97, 67–74. [Google Scholar] [CrossRef]
- Khan, S.; Yasmeen, S.; Afza, N.; Malik, A.; Iqbal, L.; Lateef, M. Cotonoates A and B, new aromatic esters from Cotoneaster racemiflora. Z. Naturforsch. B 2008, 63, 1219–1222. [Google Scholar] [CrossRef]
- Khan, S.; Rehman, A.U.; Riaz, N.; Afza, N.; Malik, A. Isolation studies on Cotoneaster racemiflora. J. Chem. Soc. Pak. 2007, 29, 620–623. [Google Scholar]
- Sokkar, N.; El-Gindi, O.; Sayed, S.; Mohamed, S.; Ali, Z.; Alfishawy, I. Antioxidant, anticancer and hepatoprotective activities of Cotoneaster horizontalis Decne extract as well as tocopherol and amygdalin production from in vitro culture. Acta Physiol. Plant. 2013, 35, 2421–2428. [Google Scholar] [CrossRef]
- Nahrstedt, A. Cyanogenesis in Cotoneaster-arten. Phytochem 1973, 12, 1539–1542. [Google Scholar] [CrossRef]
- Działo, M.; Mierziak, J.; Korzun, U.; Preisner, M.; Szopa, J.; Kulma, A. The potential of plant phenolics in prevention and therapy of skin disorders. Int. J. Mol. Sci. 2016, 17, 160. [Google Scholar] [CrossRef] [PubMed]
- Huang, X.X.; Lu, J.Y.; Lai, H.F.; Wei, L.Q. F33O4 magnetic nanoparticles for cinnamic acid extraction from Ramulus Cinnamomi. J. Chin. Chem. Soc. 2015, 62, 52–58. [Google Scholar] [CrossRef]
- Pluemsamran, T.; Onkoksoong, T.; Panich, U. Caffeic acid and ferulic acid inhibit UVA-induced matrix metalloproteinase-1 through regulation of antioxidant defense system in keratinocyte HaCaT cells. Photochem. Photobiol. 2012, 88, 961–968. [Google Scholar] [CrossRef] [PubMed]
- Al-Snafi, A.E. Pharmacological activities of Cotoneaster racemiflorus—A review. Pharm. Chem. J. 2016, 3, 98–104. [Google Scholar]
- Lee, C.; Chien, Y.; Chiu, T.; Huang, W.; Lu, C.; Chiang, J.; Yang, J. Apoptosis triggered by vitexin in U937 human leukemia cells via a mitochondrial signaling pathway. Oncol. Rep. 2012, 28, 1883–1888. [Google Scholar] [CrossRef]
- Wittenauer, J.; Mäckle, S.; Sußmann, D.; Schweiggert-Weisz, U.; Carle, R. Inhibitory effects of polyphenols from grape pomace extract on collagenase and elastase activity. Fitoterapia 2015, 101, 179–187. [Google Scholar] [CrossRef]
- Çelik, S.A.; Ayran, I. Chemical compositions of essential oil and crude oil of some fruits belonging to Umbelliferae family cultivated in Konya ecological conditions. J. Agric. Nat. 2020, 23, 1030–1038. [Google Scholar]
- Koss-Mikołajczyk, I.; Baranowska, M.; Namieśnik, J.; Bartoszek, A. Determination of antioxidant activity of phytochemicals in cellular models by fluorescence/luminescence methods. Postepy Hig. Med. Dosw. 2017, 71, 602–617. [Google Scholar] [CrossRef]
- Vora, J.; Srivastava, A.; Modi, H. Antibacterial and antioxidant strategies for acne treatment through plant extracts. Inform. Med. Unlocked 2017, 13, 128–132. [Google Scholar] [CrossRef]
- Sarici, G.; Cinar, S.; Armutcu, F.; Altınyazar, C.; Koca, R.; Tekin, N. Oxidative stress in acne vulgaris. J. Eur. Acad. Dermatol. Venereol. 2009, 23, 135–146. [Google Scholar] [CrossRef]
- Melnik, B.C.; Schmitz, G. Are therapeutic effects of antiacne agents mediated by activation of FoxO1 and inhibition of mTORC1? Exp. Dermatol. 2013, 22, 502–504. [Google Scholar] [CrossRef] [PubMed]
- Fang, Y.; Su, T.; Qiu, X.; Mao, P.; Xu, Y.; Hu, Z.; Zhang, Y.; Zheng, X.; Xie, P.; Liu, Q. Protective effect of alphamangostin against oxidative stress induced-retinal cell death. Sci. Rep. 2016, 6, 1018–1038. [Google Scholar]
- Jung, M.K.; Ha, S.; Son, J.A.; Song, J.H.; Houh, Y.; Cho, E.; Chun, J.H.; Yoon, S.R.; Yang, Y.; Bang, S.I.; et al. Polyphenon-60 displays a therapeutic effect on acne by suppression of TLR2 and IL-8 expression via down-regulating the ERK1/2 pathway. Arch. Dermatol. Res. 2012, 304, 655–663. [Google Scholar] [CrossRef]
- Bukhari, S.A.; Qasim, M.; Masoud, M.S.; Rahman, M.U.; Anwar, H.; Waqas, A.; Mustafa, G. Evaluation of medicinally important constituents of Cotoneaster afghanicus G.Klotz collected from baluchistan region of Pakistan. Indian J. Pharm. Sci. 2019, 81, 259–265. [Google Scholar] [CrossRef]
- Ali, M.; Ullah, H.; Bari, W.U.; Ul Islam, N.; Zahoor, M.; Ullah, R.; Bari, A. Phytochemical isolation and biological screening of Cotoneaster microphyllus. Int. J. Food Prop. 2021, 24, 1318–1334. [Google Scholar] [CrossRef]
- Uysal, A.; Zengin, G.; Mollica, A.; Gunes, E.; Locatelli, M.; Yilmaz, T.; Aktumsek, A. Chemical and biological insights on Cotoneaster integerrimus: A new (-)-epicatechin source for food and medicinal applications. Phytomedicine 2016, 15, 979–988. [Google Scholar] [CrossRef]
- McLaughlin, J.; Watterson, S.; Layton, A.M.; Bjourson, A.J.; Barnard, E.; McDowell, A. Propionibacterium acnes and acne vulgaris: New insights from the integration of population genetic, multi-omic, biochemical and host-microbe studies. Microorganisms 2019, 7, 128. [Google Scholar] [CrossRef]
- Arct, J.; Pytkowska, K. Flavonoids as components of biologically active cosmeceuticals. Clin. Dermatol. 2008, 26, 347–357. [Google Scholar] [CrossRef]
- Kuppusamy, U.R.; Khoo, H.E.; Das, N.P. Structure-activity studies of flavonoids as inhibitors of hyaluronidase. Biochem Pharmacol. 1990, 40, 397–401. [Google Scholar] [CrossRef]
- Havsteen, B.H. The biochemistry and medical significance of flavonoids. Pharmacol. Ther. 2002, 96, 67. [Google Scholar] [CrossRef]
- Facino, R.M.; Carini, M.; Stefani, R.; Aldini, G.; Saibene, L. Anti-elastase and anti-hyaluronidase activities of saponins and sapogenins from Hedera helix, Aesculus hippocastanum, and Ruscus aculeatus: Factors contributing to their efficacy in the treatment of venous insufficiency. Arch. Pharm. 1995, 328, 720–724. [Google Scholar] [CrossRef]
- Hertel, W.; Peschel, G.; Ozegowski, J.H.; Mueller, P.J. Inhibitory effects of triterpenes and flavonoids on the enzymatic activity of hyaluronic acid splitting enzymes. Arch. Pharm. 2006, 339, 313–318. [Google Scholar] [CrossRef] [PubMed]
- Toama, M.A.E.Q.; Samir, M.A.; Omar, H.H. Modalities in acne vulgaris treatment: Review article. Egypt. J. Hosp. Med. 2021, 85, 4167–4172. [Google Scholar] [CrossRef]
- Boroja, T.; Mihailović, V.; Katanić, J.; Pan, S.-P.; Nikles, S.; Imbimbo, P.; Monti, D.M.; Stanković, N.; Stanković, M.S.; Bauer, R. The biological activities of roots and aerial parts of Alchemilla vulgaris L. S. Afr. J. Bot. 2018, 116, 175–184. [Google Scholar] [CrossRef]
- Dos Santos Szewczyk, K.S.; Pietrzak, W.; Klimek, K.; Gogacz, M. LC-ESI-MS/MS dentification of biologically active phenolics in different extracts of Alchemilla acutiloba Opiz. Molecules 2022, 27, 621. [Google Scholar] [CrossRef]
- Bojar, R.A.; Holland, K.T. Acne and Propionibacterium acnes. Clin. Dermatol. 2004, 22, 375–379. [Google Scholar] [CrossRef]
- Dreno, B. What is new in the pathophysiology of acne, an overview. J. Eur. Acad. Dermatol. Venereol. 2017, 31, 8–12. [Google Scholar] [CrossRef]
- Dreno, B.; Pecastaings, S.; Corvec, S.; Veraldi, S.; Khammari, A.; Roques, C. Cutibacterium acnes (Propionibacterium acnes) and acne vulgaris: A brief look at the latest updates. J. Eur. Acad. Dermatol. Venereol. 2018, 32, 5–14. [Google Scholar] [CrossRef]
- Walsh, T.R.; Efthimiou, J.; Dréno, B. Systematic review of antibiotic resistance in acne: An increasing topical and oral threat. Lancet Infect. Dis. 2016, 16, 23–33. [Google Scholar] [CrossRef]
- Nayak, M.; Nagarajan, A.; Majeed, M.; Nagabhushanam, K.; Choudhury, A.K. In vitro anti-acne activity of phytoactives from the stem bark of Artocarpus hirsutus Lam. and characterisation of pyranocycloartobiloxanthone A as a mixture of two anomers. Nat. Prod. Res. 2018, 32, 2116–2120. [Google Scholar] [CrossRef]
- Sivasankar, C.; Maruthupandiyan, S.; Balamurugan, K.; James, P.B.; Krishnan, V.; Pandian, S.K. A combination of ellagic acid and tetracycline inhibits biofilm formation and the associated virulence of Propionibacterium acnes in vitro and in vivo. Biofouling 2016, 32, 397–410. [Google Scholar] [CrossRef] [PubMed]
- Batubara, I.; Kuspradini, H.; Muddathir, A.M.; Mitsunaga, T. Intsia palembanica wood extracts and its isolated compounds as Propionibacterium acnes lipase inhibitor. J. Wood Sci. 2014, 60, 169–174. [Google Scholar] [CrossRef]
- Sati, S.C.; Sati, M.; Sharma, A.; Joshi, M. Isolation and characterisation of phenolics from the roots of Cotoneaster acuminatus and determination of their antimicrobial activity. Int. J. Pharm. Pharm. Sci. 2010, 2, 58–60. [Google Scholar]
- Yaghooti, F.; Sani, A.M. Antibacterial activity of methanolic extracts from Cotoneaster nummularioides, Cynodon dactylon and Cardaria draba on typical food-borne pathogens. Int. J. Biosci. 2015, 6, 349–356. [Google Scholar]
- Chrząszcz, M.; Miazga-Karska, M.; Klimek, K.; Granica, S.; Tchórzewska, D.; Ginalska, G.; Szewczyk, K. Extracts from Cephalaria uralensis (Murray) Roem. & Schult. and Cephalaria gigantea (Ledeb.) Bobrov as potential agents for treatment of acne vulgaris: Chemical characterization and in vitro biological evaluation. Antioxidants 2020, 9, 796. [Google Scholar]
- Ferchichi, L.; Chohra, D.; Mellouk, K.; Alsheikh, S.M. Chemical composition and antioxidant activity of essential oil from the aerial parts of Clematis cirrhosa L. (Ranunculaceae) growing in Algeria. Ann. Rom. Soc. Cell Biol. 2021, 25, 1314–1324. [Google Scholar]
- Polish Pharmacopoeia IX, PTFarm; Polish Pharmaceutical Society: Warsaw, Poland, 2011; p. 150.
- Guo, J.T.; Lee, H.L.; Chiang, S.H.; Lin, H.I.; Chang, C.Y. Antioxidant properties of the extracts from different parts of broccoli in Taiwan. J. Food Drug Anal. 2001, 9, 96–101. [Google Scholar] [CrossRef]
- Liyanaarachchi, G.D.; Samarasekera, J.K.R.R.; Mahanama, K.R.R.; Hemalal, K.D.P. Tyrosinase, elastase, hyaluronidase, inhibitory and antioxidant activity of Sri Lankan medicinal plants for novel cosmeceuticals. Ind. Crop. Prod. 2018, 111, 597–605. [Google Scholar] [CrossRef]
- Bauer, A.W.; Kirby, M.M.; Sherris, J.C.; Jurek, M. Antibiotic susceptibility testing by a standardized single method. Am. J. Clin. Pathol. 1966, 45, 493–496. [Google Scholar] [CrossRef]
- Marson, J.W.; Baldwin, H.E. An overview of acne therapy, part 1: Topical therapy, oral antibiotics, laser and light therapy, and dietary interventions. Dermatol. Clin. 2019, 37, 183–193. [Google Scholar] [CrossRef]
- Azimi, H.; Fallah-Tafti, M.; Khakshur, A.A.; Abdollahi, M. A review of phytotherapy of acne vulgaris: Perspective of new pharmacological treatments. Fitoterapia 2012, 83, 1306–1317. [Google Scholar] [CrossRef] [PubMed]











| Sample | Extraction Yield (% DE) | Total Phenolic Content [mg GAE/g DE] | Total Phenolic Acids [mg CAE/g DE] | Total Flavonoid Content [mg QE/g DE] |
|---|---|---|---|---|
| CNML | 54.0 | 49.55 ± 0.11 a | 10.39 ± 0.34 a | 17.21 ± 0.29 a |
| CNEL | 4.75 | 19.50 ± 0.20 b | 2.28 ± 0.12 b | 3.53 ± 0.09 b |
| CRML | 44.7 | 118.43 ± 0.41 c | 57.41 ± 0.39 c | 51.60 ± 0.71 c |
| CREL | 1.4 | 88.59 ± 0.70 d | 14.07 ± 0.09 d | 37.58 ± 0.70 d |
| CNMF | 19.5 | 53.60 ± 0.16 e | 18.43 ± 0.60 e | 25.40 ± 0.32 e |
| CNEF | 1.5 | 10.45 ± 0.55 f | 3.67 ± 0.17 f | 1.90 ± 0.32 f |
| CRMF | 19.7 | 132.45 ± 0.21 g | 59.79 ± 0.42 g | 22.03 ± 0.14 g |
| CREF | 2.9 | 68.20 ± 0.26 h | 24.76 ± 0.10 h | 6.50 ± 0.40 h |
| No | Compound | Calibration Standard | Amounts [μg/g DE] | |||
|---|---|---|---|---|---|---|
| CNML | CRML | |||||
| 22,388.6 | CNEL | 87,006.2 | CREL | |||
| 2.5x | 9057.4 | 1.8x | 48,141.6 | |||
| 1 | mannitol | glucose | <LOQ | <LOQ | 1189.3 ± 41.0 | <LOQ |
| 2 | quercetin 3-O-rutinoside (rutin) | rutin | 559.2 ± 34.6 | 85.6 ± 1.1 | 3443.0 ± 143.3 | 1095.1 ± 64.2 |
| 3 | quercetin 3-O-(2″-O-xylosyl)galactoside | rutin | 436.2 ± 19.0 | 379.5 ± 9.8 | 580.2 ± 23.1 | 421.9 ± 18.6 |
| 4 | quercetin 3-O-gentiobioside | rutin | 90.0 ± 5.1 | <LOQ | 369.3 ± 19.1 | 92.8 ± 2.4 |
| 5 | vitexin 2″-O-arabinoside | rutin | 118.2 ± 4.9 | <LOQ | 2867.4 ± 117.0 | 1869.5 ± 75.3 |
| 6 | apigenin 6,8-C-dicelobioside | rutin | 633.5 ± 19.2 | 173.0 ± 5.3 | 1316.2 ± 49.0 | 518.4 ± 16.6 |
| 7 | vitexin 2″-O-rhamnoside | rutin | 343.9 ± 16.3 | 84.2 ± 2.7 | 675.8 ± 29.1 | 196.0 ± 4.1 |
| 8 | quercetin 3-O-glucoside (isoquercitrin) | rutin | 1064.5 ± 43.1 | 852.5 ± 42.5 | 6520.1 ± 234.0 | 4991.3 ± 174.8 |
| 9 | quercetin 3-O-galactoside (hyperoside) | rutin | 709.1 ± 29.8 | 487.9 ± 20.3 | 4141.0 ± 152.1 | 3086.5 ± 126.0 |
| 10 | kaempferol 3-O-glucoside (astragalin) | rutin | 1468.7 ± 49.1 | 1170.0 ± 42.1 | 991.0 ± 45.4 | 894.7 ± 38.5 |
| 11 | quercetin 3-O-rhamnoside (quercitrin) | rutin | 1734.0 ± 76.2 | 1274.5 ± 21.5 | 2073.9 ± 77.1 | 1810.2 ± 46.9 |
| 12 | 7-methylkaempferol 4′-O-glucoside | rutin | 529.4 ± 29.0 | 346.2 ± 17.5 | 1337.5 ± 42.0 | 963.2 ± 49.7 |
| 13 | 3′,4′-dihydroxy-6-methoxyflavone 7-O-rhamnoside | rutin | 680.9 ± 27.3 | 294.6 ± 13.7 | 1925.3 ± 63.2 | 1049.0 ± 54.8 |
| 14 | apigenin 8-C-glucoside (vitexin) | rutin | 85.2 ± 4.0 | <LOQ | 941.4 ± 39.0 | 261.7 ± 5.4 |
| 15 | apigenin 7-O-glucoside | rutin | 959.1 ± 34.2 | 490.8 ± 23.6 | 2457.0 ± 84.5 | 1864.2 ± 43.7 |
| 16 | biochanin A 7-O-glucoside (sissotrin) | rutin | 307.0 ± 9.9 | 83.3 ± 1.8 | 935.1 ± 34.0 | 612.4 ± 24.0 |
| 17 | 5,7,2′,5′-tetrahydroxyflavanone 7-O-glucoside | rutin | 690.2 ± 25.1 | 472.9 ± 19.8 | 1849.7 ± 61.2 | 129.0 ± 14.7 |
| 18 | 5-methylgenistein 4′-O-glucoside | rutin | 469.6 ± 17.0 | 117.1 ± 2.9 | 1580.5 ± 52.1 | 974.2. ± 5.8 |
| 19 | orbicularin | quercetin | 456.9 ± 13.2 | 94.5 ± 4.6 | 1537.9 ± 43.5 | 799.3 ± 32.4 |
| 20 | p-hydroxybenzoic acid | p-hydroxybenzoic acid | 119.1 ± 5.1 | 92.0 ± 2.1 | <LOQ | <LOQ |
| 21 | benzoic acid | benzoic acid | 410.8 ± 12.9 | 216.4 ± 5.7 | <LOQ | <LOQ |
| 22 | gentisic acid | gentisic acid | <LOQ | < LOQ | <LOQ | <LOQ |
| 23 | protocatechuic acid | protocatechuic acid | <LOQ | < LOQ | <LOQ | <LOQ |
| 24 | syringic acid | syringic acid | 308.7 ± 13.1 | 274.0 ± 5.2 | 834.7 ± 38.2 | 649.2 ± 8.7 |
| 25 | vanillic acid | vanillic acid | 189.0 ± 7.0 | <LOQ | 113.2 ± 4.0 | <LOQ |
| 26 | caffeoylmalic acid | caffeic acid | 402.2 ± 14.5 | <LOQ | 719.4 ± 29.0 | <LOQ |
| 27 | chlorogenic acid | chlorogenic acid | 1455.7 ± 51.8 | 1265.0 ± 42.8 | 26,836.5 ± 987.0 | 21,822.0 ± 584.0 |
| 28 | prunasin | glucose | 93.0 ± 4.1 | 24.4 ± 0.9 | 1145.7 ± 41.2 | 238.0 ± 10.7 |
| 29 | p-coumaric acid | p-coumaric acid | <LOQ | <LOQ | 264.0 ± 9.3 | 129.5 ± 1.8 |
| 30 | amygdalin | glucose | <LOQ | <LOQ | 538.6 ± 23.0 | <LOQ |
| 31 | caffeic acid | caffeic acid | 67.2 ± 3.0 | 28.1 ± 2.5 | 543.9 ± 19.2 | 318.6 ± 17.1 |
| 32 | cinnamic acid | cinnamic acid | 98.0 ± 4.1 | 12.4 ± 0.3 | 175.6 ± 6.0 | 74.0 ± 0.9 |
| 33 | ferulic acid | ferulic acid | 431.9 ± 16.2 | 193.0 ± 6.6 | 1907.8 ± 61.1 | 586.4 ± 12.1 |
| 34 | salicylic acid | salicylic acid | 107.5 ± 4.0 | <LOQ | <LOQ | <LOQ |
| 35 | 7,8-dimethoxy-6-hydroxycoumarin | umbelliferone | 97.3 ± 4.1 | <LOQ | 453.5 ± 18.3 | <LOQ |
| 36 | cotonoate A | benzoic acid | 167.8 ± 7.4 | 29.3 ± 0.8 | 1034.0 ± 42.1 | 286.7 ± 19.5 |
| 37 | horizontoate A | benzoic acid | 80.0 ± 3.9 | <LOQ | 1175.2 ± 49.3 | 795.8 ± 28.4 |
| 38 | 3,3′,4′-tri-O-methylellagic acid | quercetin | 123.1 ± 5.0 | 18.5 ± 1.2 | 1937.1 ± 72.0 | 853.5 ± 32.1 |
| 39 | scopoletin | umbelliferone | 4143.5 ± 152.2 | <LOQ | 8880.0 ± 331.2 | <LOQ |
| 40 | arbutin | glucose | 883.0 ± 30.8 | <LOQ | 237.5 ± 12.0 | <LOQ |
| 41 | 5-methylgenistein | quercetin | 184.3 ± 5.0 | <LOQ | 464.9 ± 16.1 | <LOQ |
| 42 | quercetin | quercetin | 137.7 ± 4.7 | 106.0 ± 2.6 | 290.0 ± 8.5 | 231.2 ± 4.3 |
| 43 | horizontoate C | oleic acid | 679.5 ± 25.1 | 57.9 ± 3.2 | 1743.0 ± 63.6 | 265.0 ± 4.7 |
| 44 | eriodictyol | quercetin | 268.0 ± 13.0 | 186.5 ± 4.8 | 359.9 ± 14.1 | 174.4 ± 6.5 |
| 45 | 5,7,2′,5′-tetrahydroxyflavanone | quercetin | 210.2 ± 8.5 | <LOQ | 382.1 ± 13.0 | <LOQ |
| 46 | naringenin | quercetin | 395.7 ± 15.0 | 147.3 ± 3.8 | 238.0 ± 11.5 | 87.8 ± 1.8 |
| No | Compounds | Calibration Standard | Amounts [μg/g DE] | |||
|---|---|---|---|---|---|---|
| CNMF | CNEF | CRMF | CREF | |||
| 1 | Gallic acid | Gallic acid | 13.4 ± 0.6 | 7.5 ± 0.4 | 107.9 ± 5.1 | 19.4 ± 0.8 |
| 2 | 3-O-Caffeoylquinic acid | 3-O-Caffeoylquinic acid | 233.2 ± 9.5 | 210.8 ± 8.6 | 2801.1 ± 112.6 | 1189.0 ± 58.1 |
| 3 | Vanillic acid hexoside | Vanillic acid | 235.5 ± 10.6 | 137.6 ± 5.7 | 411.6 ± 16.8 | 285.4 ± 13.9 |
| 4 | Syringic acid hexoside | Syringic acid | 165.4 ± 6.7 | 40.8 ± 1.9 | 271.3 ± 11.4 | 222.6 ± 8.9 |
| 5 | (+)-Catechin | (+)-Catechin | 8940.7 ± 377.2 | 1006.1 ± 42.1 | 6936.0 ± 302.4 | 1063.3 ± 44.8 |
| 6 | Procyanidin C-1 | (-)-Epicatechin | 3.4 ± 0.2 | 2.8 ± 0.1 | 314.8 ± 13.9 | 14.3 ± 0.6 |
| 7 | Protocatechuic acid | Protocatechuic acid | 491.6 ± 20.1 | 352.9 ± 14.5 | 827.0 ± 35.1 | 689.8 ± 31.6 |
| 8 | Procyanidin B-2 | (-)-Epicatechin | 1372.0 ± 58.2 | 18.5 ± 0.8 | 1974.1 ± 90.2 | 93.0 ± 4.3 |
| 9 | 5-O-caffeoylquinic acid (chlorogenic acid) | 5-O-caffeoylquinic acid (chlorogenic acid) | 5907.0 ± 294.2 | 1703.5 ± 80.9 | 24,124.0 ± 1153.1 | 14,519.8 ± 661.5 |
| 10 | p-Hydroxybenzoic acid | p-Hydroxybenzoic acid | 567.8 ± 25.2 | 407.8 ± 19.0 | 663.9 ± 27.7 | 583.1 ± 26.0 |
| 11 | (-)-Epicatechin | (-)-Epicatechin | 438.3 ± 20.0 | 384.9 ± 19.0 | 1109.0 ± 50.7 | 205.4 ± 9.6 |
| 12 | 4-O-Caffeoylquinic acid | 4-O-Caffeoylquinic acid | 968.0 ± 46.4 | 59.8 ± 2.7 | 3849.1 ± 160.1 | 1593.0 ± 76.3 |
| 13 | Caffeic acid hexoside | Caffeic acid | 289.3 ± 13.7 | 33.4 ± 1.5 | 1139.5 ± 51.0 | 560.2 ± 22.7 |
| 14 | Caffeic acid | Caffeic acid | 3.3 ± 0.1 | 2.4 ± 0.1 | 716.5 ± 30.5 | 453.5 ± 18.8 |
| 15 | Syringic acid | Syringic acid | 54.5 ± 2.7 | 38.5 ± 1.7 | 23.3 ± 1.1 | 18.0 ± 0.7 |
| 16 | p-Coumaric acid | p-Coumaric acid | 72.4 ± 3.5 | 49.5 ± 2.3 | 750.8 ± 33.1 | 349.5 ± 15.8 |
| 17 | o-Coumaric acid | p-Coumaric acid | 64.8 ± 2.8 | 41.9 ± 1.8 | 838.4 ± 37.8 | 529.7 ± 22.6 |
| 18 | Vanilin | Vanilin | 242.4 ± 10.3 | 122.3 ± 5.2 | 34.7 ± 1.5 | 28.5 ± 1.4 |
| 19 | Ferulic acid | Ferulic acid | 128.1 ± 5.2 | 107.9 ± 4.9 | 152.8 ± 7.1 | 151.3 ± 6.4 |
| 20 | 3,5-Di-O-caffeoylquinic acid | 3,5-Di-O-caffeoylquinic acid | 62.1 ± 2.9 | 53.7 ± 2.3 | 88.8 ± 3.8 | 51.1 ± 2.3 |
| 21 | Querectin-3-O-β-D-(6″-O-α-L-rhamnosyl)glucoside (rutin) | Rutin | 27.7 ± 1.1 | 7.6 ± 0.3 | 160.4 ± 7.0 | 93.4 ± 4.4 |
| 22 | 3-O-p-Coumaroylquinic acid | 3-O-Caffeoylquinic acid | 4268.3 ± 205.3 | 384.9 ± 17.4 | 27,744.0 ± 1315.1 | 18,178.4 ± 892.6 |
| 23 | Quercetin 3-O-β-D-(2″-O-β-D-xylosyl)galactoside | Rutin | 149.8 ± 6.8 | 38.5 ± 1.8 | 118.9 ± 5.9 | 71.7 ± 3.3 |
| 24 | Quercetin 3-O-β-D-galactoside (hyperoside) | Rutin | 262.2 ± 10.6 | 91.8 ± 4.3 | 2393.3 ± 96.9 | 1406.3 ± 56.4 |
| 25 | 5-O-p-Coumaroylquinic acid | 5-O-Caffeoylquinic acid | 133.0 ± 6.1 | 46.5 ± 2.0 | 3125.0 ± 135.9 | 2618.1 ± 114.4 |
| 26 | Quercetin 3-O-β-D glucoside (isoquercitrin) | Rutin | 108.2 ± 4.8 | 57.6 ± 2.3 | 377.7 ± 15.4 | 295.4 ± 13.3 |
| 27 | Quercetin 3-O-α-L rhamnoside (quercitrin) | Rutin | 769.8 ± 36.1 | 317.1 ± 15.2 | 644.1 ± 28.0 | 579.3 ± 28.0 |
| 28 | Hesperidin | Rutin | 25.3 ± 1.1 | 4.2 ± 0.2 | 670.7 ± 30.2 | 376.5 ± 16.2 |
| 29 | Naringin | Rutin | 8917.7 ± 409.3 | 455.6 ± 19.2 | 4497.0 ± 190.2 | 1673.0 ± 75.5 |
| 30 | Biochanin-7-O-glucoside | Rutin | 7.4 ± 0.3 | 4.5 ± 0.2 | 66.3 ± 2.8 | 53.7 ± 2.3 |
| 31 | Rosmarinic acid | Caffeic acid | 349.5 ± 14.9 | 252.7 ± 10.8 | 317.1 ± 14.3 | 190.2 ± 8.1 |
| 32 | Sinapic acid | Ferulic acid | 63.3 ± 2.7 | 56.0 ± 2.5 | 22.8 ± 1.0 | 16.4 ± 0.8 |
| 33 | Cinnamic acid | Cinnamic acid | 5411.6 ± 246.8 | 3532.8 ± 151.2 | 2846.8 ± 120.4 | 2324.7 ± 97.9 |
| 34 | Quercetin | Quercetin | 38.1 ± 1.6 | 14.7 ± 0.6 | 150.5 ± 6.6 | 120.8 ± 5.5 |
| 35 | Kaempferol | Kaempferol | 13.5 ± 0.6 | 7.1 ± 0.3 | 139.5 ± 6.9 | 65.9 ± 3.1 |
| 36 | Eriodictyol | Luteolin | 304.1 ± 13.0 | 157.8 ± 7.2 | 97.2 ± 7.0 | 65.6 ± 2.9 |
| 37 | Luteolin | Luteolin | 11.6 ± 0.5 | 5.8 ± 0.3 | 82.7 ± 3.5 | 68.2 ± 3.1 |
| 38 | Apigenin | Apigenin | 59.1 ± 2.9 | 3.5 ± 0.2 | 979.4 ± 43.2 | 392.5 ± 18.6 |
| 39 | Biochanin | Apigenin | 4.8 ± 0.2 | 2.9 ± 0.1 | 678.4 ± 28.6 | 575.5 ± 25.1 |
| Sample | IC50 | ||
|---|---|---|---|
| DPPH [μg/mL] | ABTS [μg/mL] | CHEL [μg/mL] | |
| CNML | 55.60 ± 0.04 a | 53.67 ± 0.73 a | 108.89 ± 0.02 a |
| CNEL | 117.79 ± 0.02 b | 100.12 ± 0.02 b | 196.01 ± 0.13 b |
| CRML | 32.12 ± 0.19 c | 21.04 ± 0.11 c | 38.33 ± 0.22 c |
| CREL | 44.12 ± 0.04 d | 31.98 ± 0.17 d | 57.99 ± 0.16 d |
| CNMF | 43.37 ± 0.09 e | 43.03 ± 0.13 e | 98.65 ± 0.29 e |
| CNEF | 125.63 ± 0.02 f | 121.06 ± 0.21 f | 205.04 ± 0.30 f |
| CRMF | 22.94 ± 0.20 g | 10.89 ± 0.11 g | 29.62 ± 0.23 g |
| CREF | 35.49 ± 0.50 h | 33.71 ± 0.15 h | 65.44 ± 0.42 h |
| quercetin | 2.38 ± 0.11 | 3.61 ± 0.10 | 6.85 ± 0.23 |
| AA | 4.29 ± 0.09 | 1.68 ± 0.05 | nt |
| Trolox | 3.74 ± 0.15 | 1.45 ± 0.02 | nt |
| Na2EDTA*2H2O | nt | nt | 4.69 ± 0.17 |
| Sample | IC50 [µg/mL] | |||
|---|---|---|---|---|
| Lipoxygenase Inhibition | Hyaluronidase Inhibition | COX-1 Inhibition | COX-2 Inhibition | |
| CNML | 213.98 ± 0.17 a | 38.55 ± 0.45 a | 63.26 ± 0.19 a | 51.01 ± 0.24 a |
| CNEL | 324.95 ± 0.15 b | 58.20 ± 0.04 b | 14.31 ± 0.38 b | 23.68 ± 0.27 b |
| CRML | 86.91 ± 0.03 c | 48.24 ± 0.09 c | 40.00 ± 0.11 c | 59.89 ± 0.08 c |
| CREL | 106.90 ± 0.06 d | 45.80 ± 0.07 d | 19.15 ± 0.45 d | 16.00 ± 0.09 d |
| CNMF | 196.56 ± 0.12 e | 23.69 ± 0.19 e | 57.99 ± 0.13 e | 10.44 ± 0.06 e |
| CNEF | 577.90 ± 0.10 f | 24.07 ± 0.09 f | 48.02 ± 0.20 f | 29.81 ± 0.01 f |
| CRMF | 74.62 ± 0.33 g | 13.96 ± 0.11 g | 31.86 ± 0.11 g | 53.49 ± 0.34 g |
| CREF | 171.78 ± 0.13 h | 41.23 ± 0.08 h | 102.88 ± 0.15 h | 84.81 ± 0.15 h |
| IND | 81.35 ± 0.23 | 7.23 ± 0.02 | 4.34 ± 0.05 | 3.82 ± 0.09 |
| Sample | S. aureus | S. epidermidis | E. coli | P. granulosum PCM 2462 | C. acnes PCM 2334 | C. acnes PCM 2400 |
|---|---|---|---|---|---|---|
| CNML | nt * | nt | nt | nt | nt | nt |
| CNEL | nt | nt | nt | nt | nt | nt |
| CRML | >4000 | >4000 | - | 2000 | 2000 | 500 |
| CREL | 1000 | 2000 | - | 1000 | 2000 | 4000 |
| CNMF | 500 | 250 | - | 500 | 250 | 250 |
| CNEF | >4000 | 2000 | - | 4000 | 1000 | 4000 |
| CRMF | >4000 | >4000 | - | 2000 | 4000 | 1000 |
| CREF | >4000 | >4000 | - | 2000 | >4000 | >4000 |
| Gallic acid | 2000 | 4000 | 2000 | 1000 | 500 | 1000 |
| Extract | CC50 (μg/mL) a | S. aureus ATCC 25923 | E. epidermidis ATCC 12228 | E. coli ATCC 25992 | P. granulosum PCM 2462 | C. acnes PCM 2334 | C. acnes PCM 2400 |
|---|---|---|---|---|---|---|---|
| Therapeutic Indexes (TIs) b | |||||||
| CNML | ~125 | nd c | nd c | nd c | nd c | nd c | nd c |
| CNEL | ~1000 | nd c | nd c | nd c | nd c | nd c | nd c |
| CRML | >1000 | ~0.25 | ~0.25 | nd c | ~0.5 | ~0.5 | ~2 |
| CREL | ~1000 | ~1 | ~0.5 | nd c | ~1 | ~0.5 | ~0.25 |
| CNMF | 300.20 ± 1.93 | ~0.6 | ~1.2 | nd c | ~0.6 | ~1.2 | ~1.2 |
| CNEF | ~1000 | ~0.25 | ~1 | nd c | ~0.25 | ~1 | ~0.25 |
| CRMF | 347.90 ± 2.21 | ~0.09 | ~0.09 | nd c | ~0.17 | ~0.09 | ~0.34 |
| CREF | >1000 | ~0.25 | ~0.25 | nd c | ~0.5 | ~0.25 | ~0.25 |
| Clusters (CLF) | TPC Mean | TPC SD | TPAC Mean | TPAC SD | TFC Mean | TFC SD |
|---|---|---|---|---|---|---|
| CLF1 | 125.44 | 9.91 | 58.60 | 1.68 | 36.82 | 20.91 |
| CLF2 | 64.99 | 17.66 | 16.91 | 6.18 | 21.67 | 13.13 |
| CLF3 | 14.98 | 6.40 | 2.98 | 0.98 | 2.72 | 1.15 |
| Total | 67.60 | 43.64 | 23.85 | 22.67 | 20.72 | 17.43 |
| Clusters (CLF) | DPPH Mean | DPPH SD | ABTS Mean | ABTS SD | CHEL Mean | CHEL SD |
|---|---|---|---|---|---|---|
| CLF1 | 27.53 | 6.49 | 15.96 | 7.18 | 33.98 | 6.16 |
| CLF2 | 44.65 | 8.28 | 40.60 | 9.98 | 82.74 | 24.82 |
| CLF3 | 121.71 | 5.54 | 110.59 | 14.81 | 200.53 | 6.39 |
| Total | 59.63 | 39.54 | 51.94 | 38.83 | 99.99 | 67.66 |
| Clusters (CLF) | LPO Mean | LPO SD | HYAL Mean | HYAL SD | COX-1 Mean | COX-1 SD | COX-2 Mean | COX-2 SD |
|---|---|---|---|---|---|---|---|---|
| CLF1 | 80.77 | 8.69 | 31.10 | 24.24 | 35.93 | 5.76 | 56.69 | 4.53 |
| CLF2 | 172.31 | 46.92 | 37.32 | 9.57 | 60.82 | 34.25 | 40.57 | 34.53 |
| CLF3 | 451.43 | 178.86 | 41.14 | 24.13 | 31.17 | 23.84 | 26.75 | 4.33 |
| Total | 219.20 | 166.33 | 36.72 | 14.87 | 47.18 | 28.36 | 41.14 | 25.40 |
Publisher’s Note: MDPI stays neutral with regard to jurisdictional claims in published maps and institutional affiliations. |
© 2022 by the authors. Licensee MDPI, Basel, Switzerland. This article is an open access article distributed under the terms and conditions of the Creative Commons Attribution (CC BY) license (https://creativecommons.org/licenses/by/4.0/).
Share and Cite
Krzemińska, B.; Dybowski, M.P.; Klimek, K.; Typek, R.; Miazga-Karska, M.; Ginalska, G.; Dos Santos Szewczyk, K. Can Extracts from the Leaves and Fruits of the Cotoneaster Species Be Considered Promising Anti-Acne Agents? Molecules 2022, 27, 2907. https://doi.org/10.3390/molecules27092907
Krzemińska B, Dybowski MP, Klimek K, Typek R, Miazga-Karska M, Ginalska G, Dos Santos Szewczyk K. Can Extracts from the Leaves and Fruits of the Cotoneaster Species Be Considered Promising Anti-Acne Agents? Molecules. 2022; 27(9):2907. https://doi.org/10.3390/molecules27092907
Chicago/Turabian StyleKrzemińska, Barbara, Michał P. Dybowski, Katarzyna Klimek, Rafał Typek, Małgorzata Miazga-Karska, Grażyna Ginalska, and Katarzyna Dos Santos Szewczyk. 2022. "Can Extracts from the Leaves and Fruits of the Cotoneaster Species Be Considered Promising Anti-Acne Agents?" Molecules 27, no. 9: 2907. https://doi.org/10.3390/molecules27092907
APA StyleKrzemińska, B., Dybowski, M. P., Klimek, K., Typek, R., Miazga-Karska, M., Ginalska, G., & Dos Santos Szewczyk, K. (2022). Can Extracts from the Leaves and Fruits of the Cotoneaster Species Be Considered Promising Anti-Acne Agents? Molecules, 27(9), 2907. https://doi.org/10.3390/molecules27092907

