Media Supplementation with Mannitol and Biotin Enhances Squalene Production of Thraustochytrium ATCC 26185 through Increased Glucose Uptake and Antioxidative Mechanisms
Abstract
1. Introduction
2. Results and Discussion
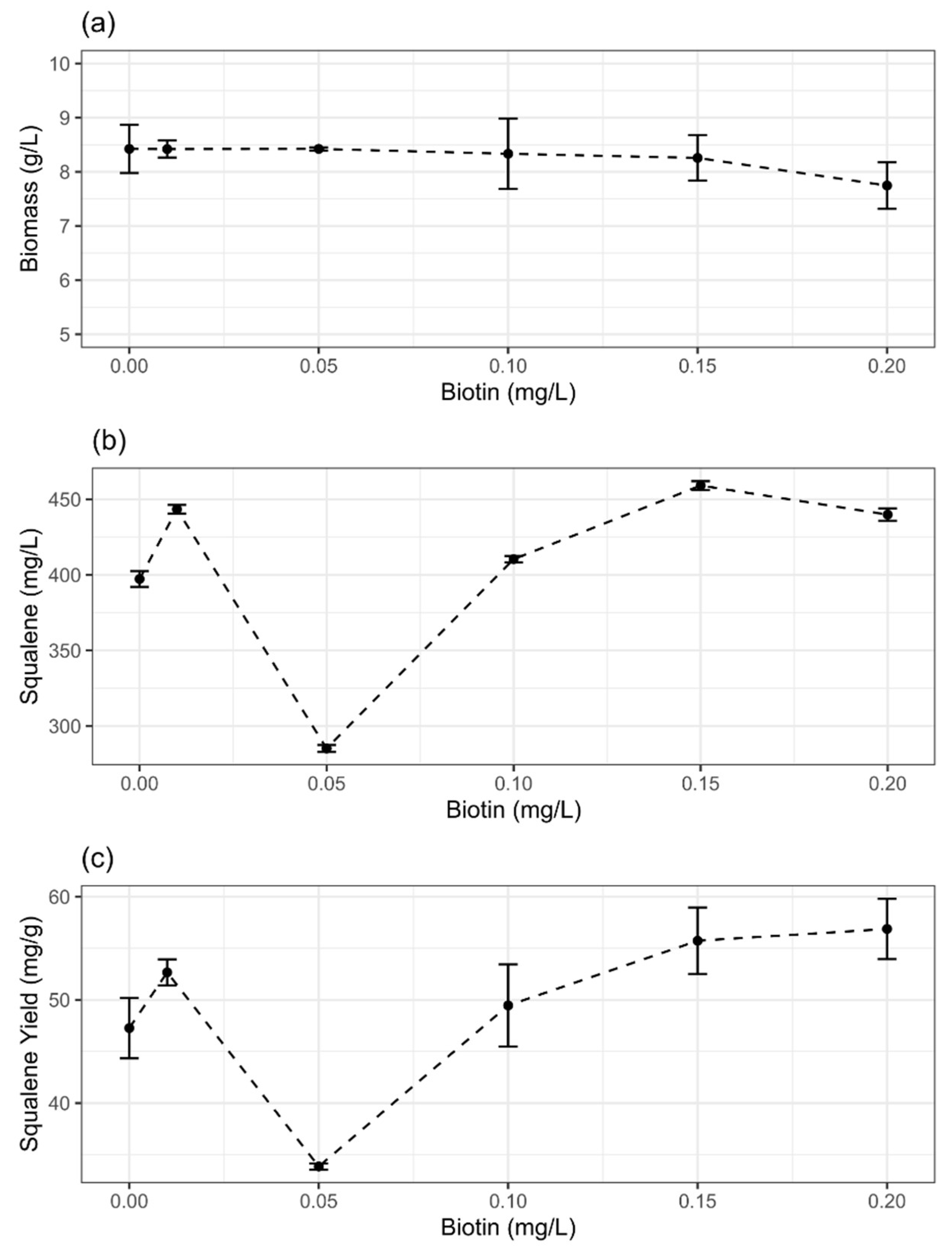
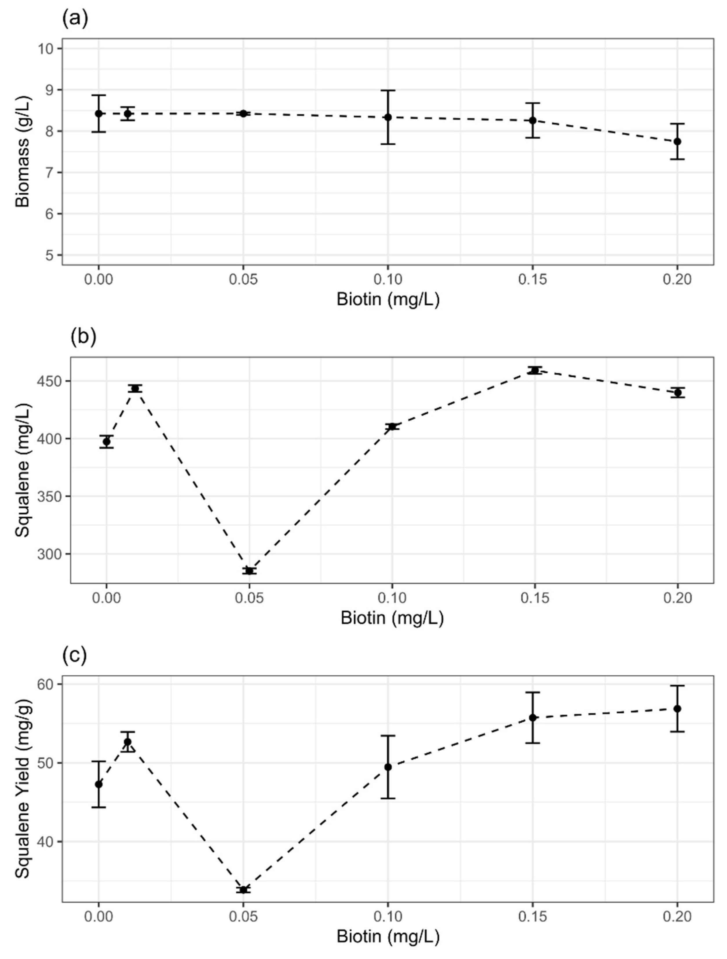
2.1. Effects of Mannitol and Biotin on Biomass and Squalene Production
2.2. Mannitol/Biotin Increases Glucose Uptake Rate
2.3. Antioxidative Properties of Mannitol and Biotin
3. Materials and Methods
3.1. Strain and Culture Conditions
3.2. Batch Experiments
3.3. Quantification of Biomass, Squalene, and Residual Glucose
3.4. Determination of Intracellular ROS and T-AOC Levels
3.5. Statistical Analysis
4. Conclusions
Author Contributions
Funding
Institutional Review Board Statement
Informed Consent Statement
Data Availability Statement
Conflicts of Interest
Sample Availability
References
- Smith, T.J. Squalene: Potential chemopreventive agent. Expert Opin. Investig. Drugs 2000, 9, 1841–1848. [Google Scholar] [CrossRef] [PubMed]
- Ghimire, G.P.; Thuan, N.H.; Koirala, N.; Sohng, J.K. Advances in biochemistry and microbial production of squalene and its derivatives. J. Microbiol. Biotechnol. 2016, 26, 441–451. [Google Scholar] [CrossRef] [PubMed]
- Reddy, L.H.; Couvreur, P. Squalene: A natural triterpene for use in disease management and therapy. Adv. Drug Del. Rev. 2009, 61, 1412–1426. [Google Scholar] [CrossRef] [PubMed]
- Gohil, N.; Bhattacharjee, G.; Khambhati, K.; Braddick, D.; Singh, V. Engineering Strategies in Microorganisms for the Enhanced Production of Squalene: Advances, Challenges and Opportunities. Front. Bioeng. Biotechnol. 2019, 7, 50. [Google Scholar] [CrossRef] [PubMed]
- MARKETSANDMARKETS. Squalene Market by Source Type (Animal Source (Shark Liver Oil), Vegetable Source (Olive Oil, Palm Oil, Amaranth Oil), Biosynthetic (GM Yeast]), End-use Industry (Cosmetics, Food, and Pharmaceuticals), and Region-Global Forecast to 2025. Available online: https://www.marketsandmarkets.com/Market-Reports/squalene-market-542345.html (accessed on 20 December 2021).
- Xu, W.; Ma, X.; Wang, Y. Production of squalene by microbes: An update. World J. Microbiol. Biotechnol. 2016, 32, 195. [Google Scholar] [CrossRef] [PubMed]
- Lozano-Grande, M.A.; Gorinstein, S.; Espitia-Rangel, E.; Dávila-Ortiz, G.; Martínez-Ayala, A.L. Plant Sources, Extraction Methods, and Uses of Squalene. Int. J. Agron. 2018, 2018, 1829160. [Google Scholar] [CrossRef]
- Fan, K.W.; Aki, T.; Chen, F.; Jiang, Y. Enhanced production of squalene in the thraustochytrid Aurantiochytrium mangrovei by medium optimization and treatment with terbinafine. World J. Microbiol. Biotechnol. 2010, 26, 1303–1309. [Google Scholar] [CrossRef]
- Chen, G.; Fan, K.W.; Lu, F.P.; Li, Q.; Aki, T.; Chen, F.; Jiang, Y. Optimization of nitrogen source for enhanced production of squalene from thraustochytrid Aurantiochytrium sp. New Biotechnol. 2010, 27, 382–389. [Google Scholar] [CrossRef]
- Nakazawa, A.; Matsuura, H.; Kose, R.; Kato, S.; Honda, D.; Inouye, I.; Kaya, K.; Watanabe, M.M. Optimization of culture conditions of the thraustochytrid Aurantiochytrium sp. strain 18W-13a for squalene production. Bioresour. Technol. 2012, 109, 287–291. [Google Scholar] [CrossRef]
- Otagiri, M.; Khalid, A.; Moriya, S.; Osada, H.; Takahashi, S. Novel squalene-producing thraustochytrids found in mangrove water. Biosci. Biotechnol. Biochem. 2017, 81, 2034–2037. [Google Scholar] [CrossRef][Green Version]
- Leyland, B.; Leu, S.; Boussiba, S. Are Thraustochytrids algae? Fungal Biol. 2017, 121, 835–840. [Google Scholar] [CrossRef] [PubMed]
- Zhang, A.; Xie, Y.; He, Y.; Wang, W.; Sen, B.; Wang, G. Bio-based squalene production by Aurantiochytrium sp. through optimization of culture conditions, and elucidation of the putative biosynthetic pathway genes. Bioresour. Technol. 2019, 287, 121415. [Google Scholar] [CrossRef] [PubMed]
- Singh, P.; Kumari, S.; Guldhe, A.; Misra, R.; Rawat, I.; Bux, F. Trends and novel strategies for enhancing lipid accumulation and quality in microalgae. Renew. Sustain. Energy Rev. 2016, 55, 1–16. [Google Scholar] [CrossRef]
- Zhang, S.; He, Y.; Sen, B.; Wang, G. Reactive oxygen species and their applications toward enhanced lipid accumulation in oleaginous microorganisms. Bioresour. Technol. 2020, 307, 123234. [Google Scholar] [CrossRef]
- Meng, Y.; Shao, X.; Wang, Y.; Li, Y.; Zheng, X.; Wei, G.; Kim, S.-W.; Wang, C. Extension of cell membrane boosting squalene production in the engineered Escherichia coli. Biotechnol. Bioeng. 2020, 117, 3499–3507. [Google Scholar] [CrossRef]
- Zhang, S.; He, Y.; Sen, B.; Chen, X.; Xie, Y.; Keasling, J.D.; Wang, G. Alleviation of reactive oxygen species enhances PUFA accumulation in Schizochytrium sp. through regulating genes involved in lipid metabolism. Metab. Eng. Commun. 2018, 6, 39–48. [Google Scholar] [CrossRef]
- Sui, X.; Niu, X.; Shi, M.; Pei, G.; Li, J.; Chen, L.; Wang, J.; Zhang, W. Metabolomic analysis reveals mechanism of antioxidant butylated hydroxyanisole on lipid accumulation in Crypthecodinium cohnii. J. Agric. Food. Chem. 2014, 62, 12477–12484. [Google Scholar] [CrossRef]
- Cui, N.; Xiao, J.; Feng, Y.; Zhao, Y.; Yu, X.; Xu, J.-W.; Li, T.; Zhao, P. Antioxidants enhance lipid productivity in Heveochlorella sp. Yu. Algal Res. 2021, 55, 102235. [Google Scholar] [CrossRef]
- Liu, B.; Liu, J.; Sun, P.; Ma, X.; Jiang, Y.; Chen, F. Sesamol enhances cell growth and the biosynthesis and accumulation of docosahexaenoic acid in the microalga Crypthecodinium cohnii. J. Agric. Food. Chem. 2015, 63, 5640–5645. [Google Scholar] [CrossRef]
- Zhang, S.; Chen, X.; Sen, B.; Bai, M.; He, Y.; Wang, G. Exogenous Antioxidants Improve the Accumulation of Saturated and Polyunsaturated Fatty Acids in Schizochytrium sp. PKU#Mn4. Mar. Drugs 2021, 19, 559. [Google Scholar] [CrossRef]
- Ren, L.; Sun, X.; Ji, X.; Chen, S.; Guo, D.; Huang, H. Enhancement of Docosahexaenoic Acid Synthesis by Manipulation of Antioxidant Capacity and Prevention of Oxidative Damage in Schizochytrium sp. Bioresour. Technol. 2017, 223, 141–148. [Google Scholar] [CrossRef] [PubMed]
- Gaffney, M.; O’Rourke, R.; Murphy, R. Manipulation of fatty acid and antioxidant profiles of the microalgae Schizochytrium sp. through flaxseed oil supplementation. Algal Res. 2014, 6, 195–200. [Google Scholar] [CrossRef]
- Yue, C.-J.; Jiang, Y. Impact of methyl jasmonate on squalene biosynthesis in microalga Schizochytrium mangrovei. Process Biochem. 2009, 44, 923–927. [Google Scholar] [CrossRef]
- Lan Anh, H.; Ha, N.C.; Thom, L.T.; Hong, D. Optimization of culture conditions and squalene enrichment from heterotrophic marine microalga Schizochytrium mangrovei PQ6 for squalene production. Res. J. Biotechnol. 2016, 11, 81–91. [Google Scholar]
- Zhang, K.; Chen, L.; Liu, J.; Gao, F.; He, R.; Chen, W.; Guo, W.; Chen, S.; Li, D. Effects of butanol on high value product production in Schizochytrium limacinum B4D1. Enzym. Microb. Technol. 2017, 102, 9–15. [Google Scholar] [CrossRef]
- Lal, D.N.; Srivastava, A.S. Effect of vitamins on microbial production of citric acid by Aspergillus niger. Zentralbl. Mikrobiol. 1982, 137, 381–385. [Google Scholar] [CrossRef]
- Ren, L.J.; Wei, P.; Feng, Y.; Ji, X.J.; Huang, H. Effect of biotin and cerulenin addition on DHA production by Schizochytrium sp. Chin. J. Bioproc. Eng. 2012, 10, 42–45. [Google Scholar]
- André, P.; Villain, F. Free radical scavenging properties of mannitol and its role as a constituent of hyaluronic acid fillers: A literature review. Int. J. Cosmet. Sci. 2017, 39, 355–360. [Google Scholar] [CrossRef]
- Zhang, M.; Gu, L.; Cheng, C.; Ma, J.; Xin, F.; Liu, J.; Wu, H.; Jiang, M. Recent advances in microbial production of mannitol: Utilization of low-cost substrates, strain development and regulation strategies. World J. Microbiol. Biotechnol. 2018, 34, 41. [Google Scholar] [CrossRef]
- Kim, D.; Song, J.-Y.; Hahn, J.-S. Improvement of glucose uptake rate and production of target chemicals by overexpressing hexose transporters and transcriptional activator Gcr1 in Saccharomyces cerevisiae. Appl. Environ. Microbiol. 2015, 81, 8392–8401. [Google Scholar] [CrossRef]
- Dinkova-Kostova, A.T.; Talalay, P. Direct and indirect antioxidant properties of inducers of cytoprotective proteins. Mol. Nutr. Food Res. 2008, 52 (Suppl. 1), S128–S138. [Google Scholar] [CrossRef] [PubMed]
- Halliwell, B. Biochemistry of oxidative stress. Biochem. Soc. Trans. 2007, 35, 1147–1150. [Google Scholar] [CrossRef]
- Seckin, B.; Sekmen, A.H.; Türkan, İ. An Enhancing Effect of Exogenous Mannitol on the Antioxidant Enzyme Activities in Roots of Wheat Under Salt Stress. J. Plant Growth Regul. 2008, 28, 12. [Google Scholar] [CrossRef]
- Li, Q.; Chen, J.; Liu, G.H.; Xu, X.; Zhang, Q.; Wang, Y.; Yuan, J.; Li, Y.; Qi, L.; Wang, H. Effects of biotin on promoting anammox bacterial activity. Sci. Rep. 2021, 11, 2038. [Google Scholar] [CrossRef] [PubMed]
- Jameel, M.A.-K. Optimization of Biotin and Thiamine Requirements for Somatic Embryogenesis of Date Palm (Phoenix dactylifera L.). Vitr. Cell. Dev. Biol. Plant 2001, 37, 453–456. [Google Scholar]
- R Development Core Team. R: A Language and Environment for Statistical Computing; R Foundation for Statistical Computing: Vienna, Austria, 2020; Available online: https://www.R-project.org/ (accessed on 20 December 2021).





Publisher’s Note: MDPI stays neutral with regard to jurisdictional claims in published maps and institutional affiliations. |
© 2022 by the authors. Licensee MDPI, Basel, Switzerland. This article is an open access article distributed under the terms and conditions of the Creative Commons Attribution (CC BY) license (https://creativecommons.org/licenses/by/4.0/).
Share and Cite
Ali, M.K.; Sen, B.; He, Y.; Bai, M.; Wang, G. Media Supplementation with Mannitol and Biotin Enhances Squalene Production of Thraustochytrium ATCC 26185 through Increased Glucose Uptake and Antioxidative Mechanisms. Molecules 2022, 27, 2449. https://doi.org/10.3390/molecules27082449
Ali MK, Sen B, He Y, Bai M, Wang G. Media Supplementation with Mannitol and Biotin Enhances Squalene Production of Thraustochytrium ATCC 26185 through Increased Glucose Uptake and Antioxidative Mechanisms. Molecules. 2022; 27(8):2449. https://doi.org/10.3390/molecules27082449
Chicago/Turabian StyleAli, M. Kashif, Biswarup Sen, Yaodong He, Mohan Bai, and Guangyi Wang. 2022. "Media Supplementation with Mannitol and Biotin Enhances Squalene Production of Thraustochytrium ATCC 26185 through Increased Glucose Uptake and Antioxidative Mechanisms" Molecules 27, no. 8: 2449. https://doi.org/10.3390/molecules27082449
APA StyleAli, M. K., Sen, B., He, Y., Bai, M., & Wang, G. (2022). Media Supplementation with Mannitol and Biotin Enhances Squalene Production of Thraustochytrium ATCC 26185 through Increased Glucose Uptake and Antioxidative Mechanisms. Molecules, 27(8), 2449. https://doi.org/10.3390/molecules27082449
