Crystallization Behavior of Isotactic Polybutene Blended with Polyethylene
Abstract
:1. Introduction
2. Experimental Section
2.1. Materials
2.2. Methods
3. Results and Discussion
3.1. Cooling Crystallization
3.2. Polymorphism of Isothermal Crystallization
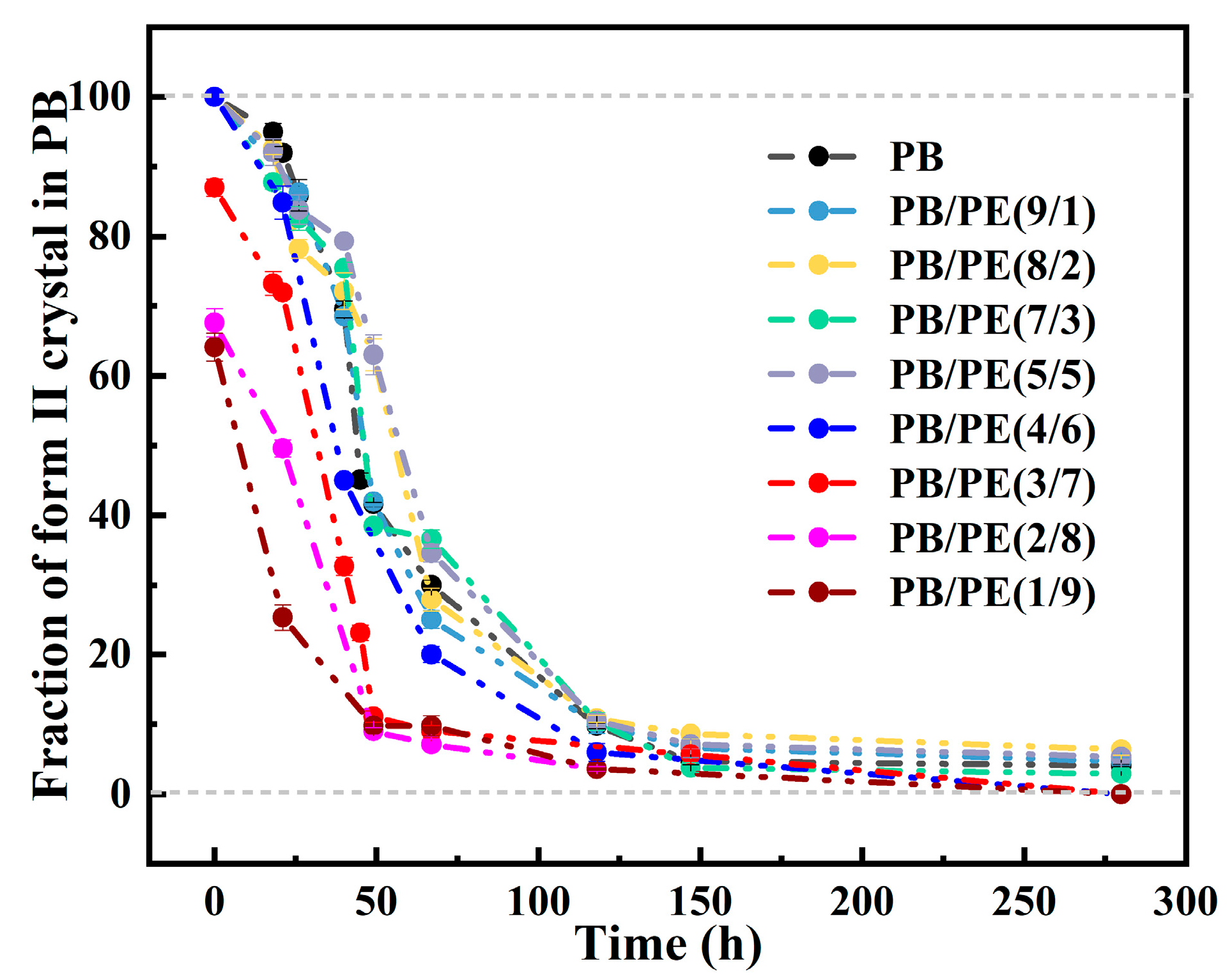
3.3. Phase Transition from Tetragonal Phase into Trigonal Phase
4. Conclusions
Supplementary Materials
Author Contributions
Funding
Data Availability Statement
Acknowledgments
Conflicts of Interest
Sample Availability
References
- Utracki, L.A. Economics of polymer blends. Polym. Eng. Sci. 1982, 22, 1166–1175. [Google Scholar] [CrossRef]
- Mofokeng, T.G.; Ojijo, V.; Ray, S.S. The Influence of Blend Ratio on the Morphology, Mechanical, Thermal, and Rheological Properties of PP/LDPE Blends. Macromol. Mater. Eng. 2016, 301, 1191–1201. [Google Scholar] [CrossRef]
- Qiu, Z.; Yan, C.; Lu, J.; Yang, W.; Ikehara, T.; Nishi, T. Various Crystalline Morphology of Poly(butylene Succinate-co-butylene Adipate) in Its Miscible Blends with Poly(vinylidene Fluoride). J. Phys. Chem. B 2007, 111, 2783–2789. [Google Scholar] [CrossRef] [PubMed]
- Liu, J.; Jungnickel, B.J. Crystallization kinetical and morphological peculiarities in binary crystalline/crystalline polymer blends. J. Polym. Sci. Part B Polym. Phys. 2007, 45, 1917–1931. [Google Scholar] [CrossRef]
- Wang, T.; Li, H.; Wang, F.; Yan, S.; Schultz, J.M. Confined Growth of Poly(butylene succinate) in Its Miscible Blends with Poly(vinylidene fluoride): Morphology and Growth Kinetics. J. Phys. Chem. B. 2011, 115, 7814–7822. [Google Scholar] [CrossRef] [PubMed]
- Avella, M.; Martuscelli, E.; Raimo, M. The fractionated crystallization phenomenon in poly(3-hydroxybutyrate)/poly(ethylene oxide) blends. Polymer 1993, 34, 3234–3240. [Google Scholar] [CrossRef]
- Liu, A.S.; Liau, W.B.; Chiu, W.Y. Studies on Blends of Binary Crystalline Polymers. 1. Miscibility and Crystallization Behavior in Poly(butylene terephthalate)/Polyarylates Based on Bisphenol A Isophthalate. Macromolecules 1998, 31, 6593–6599. [Google Scholar] [CrossRef]
- Chiu, H.J.; Chen, H.L.; Lin, J.S. Crystallization induced microstructure of crystalline/crystalline poly(vinylidenefluoride)/poly(3-hydroxybutyrate) blends probed by small angle X-ray scattering. Polymer 2001, 42, 5749–5754. [Google Scholar] [CrossRef]
- Yousefi, A. Influence of Polymer Blending on Crystalline Structure of Polyvinylidene Fluoride. Iran. Polym. J. 2011, 20, 109–121. [Google Scholar]
- Wang, Y.; Liu, L.; Qin, C.; Wang, Y.; Liu, C.; Shen, C. Effect of a small amount of poly(ethylene oxide) on crystal polymorphism of poly(l-lactic acid). Polym. Bull. 2021, 78, 6837–6846. [Google Scholar] [CrossRef]
- Luciani, L.; Seppälä, J.; Löfgren, B. Poly-1-butene: Its preparation, properties and challenges. Prog. Polym. Sci. 1988, 13, 37–62. [Google Scholar] [CrossRef]
- Danusso, F.; Gianotti, G. The three polymorphs of isotactic polybutene-1: Dilatometric and thermodynamic fusion properties. Makromol. Chem. 1963, 61, 139–156. [Google Scholar] [CrossRef]
- Holland, V.F.; Miller, R.L. Isotactic Polybutene-1 Single Crystals: Morphology. J. Appl. Phys. 1964, 35, 3241–3248. [Google Scholar] [CrossRef]
- Zhang, B.; Yang, D.; Yan, S. Direct formation of form I poly(1-butene) single crystals from melt crystallization in ultrathin films. J. Polym. Sci. Part B Polym. Phys. 2002, 40, 2641–2645. [Google Scholar] [CrossRef]
- Lotz, B.; Thierry, A. Spherulite Morphology of Form III Isotactic Poly(1-butene). Macromolecules 2003, 36, 286–290. [Google Scholar] [CrossRef]
- Miyoshi, T.; Hayashi, S.; Imashiro, F.; Kaito, A. Side-Chain Conformation and Dynamics for the Form II Polymorph of Isotactic Poly(1-butene) Investigated by High-Resolution Solid-State 13C NMR Spectroscopy. Macromolecules 2002, 35, 6060–6063. [Google Scholar] [CrossRef]
- Stolte, I.; Cavallo, D.; Alfonso, G.C.; Portale, G.; Drongelen, M.V.; Androsch, R. Form I′ crystal formation in random butene-1/propylene copolymers as revealed by real-time X-ray scattering using synchrotron radiation and fast scanning chip calorimetry. Eur. Polym. J. 2014, 60, 22–32. [Google Scholar] [CrossRef]
- Petraccone, V.; Pirozzi, B.; Frasci, A.; Corradini, P. Polymorphism of isotactic poly-α-butene: Conformational analysis of the chain and crystalline structure of form 2. Eur. Polym. J. 1976, 12, 323–327. [Google Scholar] [CrossRef]
- Kaszonyiova, M.; Rybnikar, F.; Geil, P.H. Polymorphism of Isotactic Poly(Butene-1). J. Macromol. Sci. Part B 2005, 44, 377–396. [Google Scholar] [CrossRef]
- Li, L.; Liu, T.; Zhao, L.; Yuan, W. CO2-Induced Phase Transition of Isotactic Poly-1-butene with Form III upon Heating. Macromolecules 2011, 44, 4836–4844. [Google Scholar] [CrossRef]
- Ji, Y.; Su, F.; Cui, K.; Huang, N.; Qi, Z.; Li, L. Mixing Assisted Direct Formation of Isotactic Poly(1-butene) Form I′ Crystals from Blend Melt of Isotactic Poly(1-butene)/Polypropylene. Macromolecules 2016, 49, 1761–1769. [Google Scholar] [CrossRef]
- Cavallo, D.; Gardella, L.; Portale, G.; Müller, A.J.; Alfonso, G.C. Self-nucleation of isotactic poly(1-butene) in the trigonal modification. Polymer 2014, 55, 137–142. [Google Scholar] [CrossRef]
- Zhong, Z.; Ge, H.; Su, Z. Direct formation of form I′ crystals in polybutene-1/polypropylene blend enhanced by cold crystallization. Polymer 2018, 156, 30–38. [Google Scholar] [CrossRef]
- Chen, W.; Li, X.; Li, H.; Su, F.; Zhou, W.; Li, L. Deformation-induced crystal–crystal transition of polybutene-1: An in situ FTIR imaging study. J. Mater. Sci. 2013, 48, 4925–4933. [Google Scholar] [CrossRef]
- Danusso, F.; Gianotti, G. Isotactic polybutene-1: Formation and transformation of modification 2. Makromol. Chem. 1965, 88, 149–158. [Google Scholar] [CrossRef]
- Corradini, P.; Napolitano, R.; Petraccone, V.; Pirozzi, B. Conformational and packing energy for the three crystalline forms of isotactic poly-α-butene. Eur. Polym. J. 1984, 20, 931–935. [Google Scholar] [CrossRef]
- Jones, A.T. Polybutene-1 type II crystalline form. J. Polym. Sci. Part B Polym. Lett. 1963, 1, 455–456. [Google Scholar] [CrossRef]
- Li, J.; Wang, D.; Cai, X.; Zhou, C.; De Claville Christiansen, J.; Sørensen, T.; Yu, D.; Xue, M.; Jiang, S. Conformation Selected Direct Formation of Form I in Isotactic Poly(butene-1). Cryst. Growth Des. 2018, 18, 2525–2537. [Google Scholar] [CrossRef]
- Su, F.; Li, X.; Zhou, W.; Chen, W.; Li, H.; Cong, Y.; Hong, Z.; Qi, Z.; Li, L. Accelerating crystal–crystal transition in poly(1-butene) with two-step crystallization: An in-situ microscopic infrared imaging and microbeam X-ray diffraction study. Polymer 2013, 54, 3408–3416. [Google Scholar] [CrossRef]
- Qiao, Y.; Wang, Q.; Men, Y. Kinetics of Nucleation and Growth of Form II to I Polymorphic Transition in Polybutene-1 as Revealed by Stepwise Annealing. Macromolecules 2016, 49, 5126–5136. [Google Scholar] [CrossRef]
- Chen, J.; Wang, B.; Sun, T.; Xu, J.; Chen, J.; Zhang, B. Transformation from form II to form I accelerated by oriented lamellae in Polybutene-1. Polymer 2019, 185, 121966. [Google Scholar] [CrossRef]
- Qiu, X.; Azhar, U.; Li, J.; Huang, D.; Jiang, S. Ultrafast Form II to I Transition of Isotactic Polybutene-1. Chin. J. Polym. Sci. 2019, 37, 633–636. [Google Scholar] [CrossRef]
- Natta, G.; Corradini, P.; Bassi, I. Crystal structure of isotactic poly-alpha-butene. Il Nuovo Cim. 1960, 15, 52–67. [Google Scholar] [CrossRef]
- Azzurri, F.; Flores, A.; Alfonso, G.; Baltá Calleja, F. Polymorphism of Isotactic Poly(1-butene) as Revealed by Microindentation Hardness. 1. Kinetics of the Transformation. Macromolecules 2002, 35, 9069–9073. [Google Scholar] [CrossRef]
- Qiao, Y.; Wang, H.; Men, Y. Retardance of Form II to Form I Transition in Polybutene-1 at Late Stage: A Proposal of a New Mechanism. Macromolecules 2018, 51, 2232–2239. [Google Scholar] [CrossRef]
- Hu, J.; Tashiro, K. Relation between higher-order structure and crystalline phase transition of oriented isotactic polybutene-1 investigated by temperature-dependent time-resolved simultaneous WAXD/SAXS measurements. Polymer 2016, 90, 165–177. [Google Scholar] [CrossRef]
- Qiao, Y.; Men, Y. Intercrystalline Links Determined Kinetics of Form II to I Polymorphic Transition in Polybutene-1. Macromolecules 2017, 50, 5490–5497. [Google Scholar] [CrossRef]
- Li, L.; Liu, T.; Zhao, L.; Yuan, W.-k. CO2-Induced Crystal Phase Transition from Form II to I in Isotactic Poly-1-butene. Macromolecules 2009, 42, 2286–2290. [Google Scholar] [CrossRef]
- Xu, Y.; Liu, T.; Li, L.; Li, D.; Yuan, W.; Zhao, L. Controlling crystal phase transition from form II to I in isotactic poly-1-butene using CO2. Polymer 2012, 53, 6102–6111. [Google Scholar] [CrossRef]
- Shi, J.; Wu, P.; Li, L.; Liu, T.; Zhao, L. Crystalline transformation of isotactic polybutene-1 in supercritical CO2 studied by in-situ fourier transform infrared spectroscopy. Polymer 2009, 50, 5598–5604. [Google Scholar] [CrossRef]
- Liu, Y.; Cui, K.; Tian, N.; Zhou, W.; Meng, L.; Li, L.; Ma, Z.; Wang, X. Stretch-Induced Crystal–Crystal Transition of Polybutene-1: An in Situ Synchrotron Radiation Wide-Angle X-ray Scattering Study. Macromolecules 2012, 45, 2764–2772. [Google Scholar] [CrossRef]
- Cavallo, D.; Kanters, M.J.W.; Caelers, H.J.M.; Portale, G.; Govaert, L.E. Kinetics of the Polymorphic Transition in Isotactic Poly(1-butene) under Uniaxial Extension. New Insights From Designed Mechanical histories. Macromolecules 2014, 47, 3033–3040. [Google Scholar] [CrossRef] [Green Version]
- Wang, W.; Shao, C.; Zheng, L.; Wang, B.; Pan, L.; Ma, G.; Li, Y.; Wang, Y.; Liu, C.; Ma, Z. Stretching-induced phase transition of the butene-1/ethylene random copolymer: Orientation and kinetics. J. Polym. Sci. Part B Polym. Phys. 2019, 57, 116–126. [Google Scholar] [CrossRef]
- Li, W.; Liu, L.; Zheng, L.; Lou, Y.; Ma, Z.; Li, Y. Interplay between Macroscopic Stretching and Microscopic Phase Transition Revealed in Butene-1/1,5-Hexadiene Random Copolymers. Macromolecules 2020, 53, 2145–2156. [Google Scholar] [CrossRef]
- Liao, Y.; Liu, L.; Ma, Z.; Li, Y. Influence of Steric Norbornene Co-units on the Crystallization and Memory Effect of Polybutene-1 Copolymers. Macromolecules 2020, 53, 2088–2100. [Google Scholar] [CrossRef]
- He, L.; Wang, B.; Yang, F.; Li, Y.; Ma, Z. Featured Crystallization Polymorphism and Memory Effect in Novel Butene-1/1,5-Hexadiene Copolymers Synthesized by Post-Metallocene Hafnium Catalyst. Macromolecules 2016, 49, 6578–6589. [Google Scholar] [CrossRef]
- Jones, A.T. Cocrystallization in copolymers of α-olefins II—Butene-1 copolymers and polybutene type II/I crystal phase transition. Polymer 1966, 7, 23–59. [Google Scholar] [CrossRef]
- Tarallo, O.; Ruiz de Ballesteros, O.; Bellissimo, A.; Scoti, M.; Malafronte, A.; Auriemma, F.; De Rosa, C. Crystallization and mechanical properties of metallocene made 1-butene-pentene and 1-butene-hexene isotactic copolymers. Polymer 2018, 158, 231–242. [Google Scholar] [CrossRef]
- De Rosa, C.; Ruiz de Ballesteros, O.; Auriemma, F.; Di Girolamo, R.; Scarica, C.; Giusto, G.; Esposito, S.; Guidotti, S.; Camurati, I. Polymorphic Behavior and Mechanical Properties of Isotactic 1-Butene-Ethylene Copolymers from Metallocene Catalysts. Macromolecules 2014, 47, 4317–4329. [Google Scholar] [CrossRef]
- Wang, Y.; Lu, Y.; Zhao, J.; Jiang, Z.; Men, Y. Direct Formation of Different Crystalline Forms in Butene-1/Ethylene Copolymer via Manipulating Melt Temperature. Macromolecules 2014, 47, 8653–8662. [Google Scholar] [CrossRef]
- Shieh, Y.T.; Lee, M.S.; Chen, S.A. Crystallization behavior, crystal transformation, and morphology of polypropylene/polybutene-1 blends. Polymer 2001, 42, 4439–4448. [Google Scholar] [CrossRef]
- Cham, P.M.; Lee, T.H.; Marand, H. On the State of Miscibility of Isotactic Poly(propylene)/Isotactic Poly(1-butene) Blends: Competitive Liquid-Liquid Demixing and Crystallization Processes. Macromolecules 1994, 27, 4263–4273. [Google Scholar] [CrossRef]
- Ardakani, F.; Jahani, Y.; Morshedian, J. The impact of viscoelastic behavior and viscosity ratio on the phase behavior and morphology of polypropylene/polybutene-1 blends. J. Vinyl Addit. Technol. 2015, 21, 94–101. [Google Scholar] [CrossRef]
- Wang, Z.; Dong, X.; Liu, G.; Xing, Q.; Cavallo, D.; Jiang, Q.; Müller, A.J.; Wang, D. Interfacial nucleation in iPP/PB-1 blends promotes the formation of polybutene-1 trigonal crystals. Polymer 2018, 138, 396–406. [Google Scholar] [CrossRef]
- Zhong, Z.; Su, Z. Effects of molecular weight on polybutene-1 cold crystallization from polybutene-1/polypropylene blend. Polymer 2019, 174, 52–60. [Google Scholar] [CrossRef]
- Zhong, Z.; Su, Z. Mechanism of form I′ formation in polybutene-1/polypropylene blends. Polymer 2022, 239, 124469. [Google Scholar] [CrossRef]
- Mohammadi, R.S.; Zolali, A.M.; Tabatabaei, S.H.; Ajji, A. Nanoconfinement Induced Direct Formation of Form I and III Crystals inside in Situ Formed Poly(butene-1) Nanofibrils. Macromolecules 2020, 53, 1346–1355. [Google Scholar] [CrossRef]
- Yang, F.; Pan, L.; Du, H.; Ma, Z.; Li, Y. Effect of Olefin-based Compatibilizers on the Formation of Cocontinuous Structure in Immiscible HDPE/iPP Blends. Chin. J. Polym. Sci. 2020, 38, 1248–1257. [Google Scholar] [CrossRef]
- Heck, B.; Siegenführ, S.; Strobl, G.; Thomann, R. A law controlling polymer recrystallization showing up in experiments on s-polypropylene. Polymer 2007, 48, 1352–1359. [Google Scholar] [CrossRef]
- Wang, Y.; Lu, Y.; Jiang, Z.; Men, Y. Molecular Weight Dependency of Crystallization Line, Recrystallization Line, and Melting Line of Polybutene-1. Macromolecules 2014, 47, 6401–6407. [Google Scholar] [CrossRef]
- An, C.; Li, Y.; Lou, Y.; Song, D.; Wang, B.; Pan, L.; Ma, Z.; Li, Y. Thermal Analysis of Crystallization and Phase Transition in Novel Polyethylene Glycol Grafted Butene-1 Copolymers. Polymers 2019, 11, 837. [Google Scholar] [CrossRef] [PubMed] [Green Version]
- Kishore, K.; Vasanthakumari, R. Crystallization behaviour of polyethylene and i-polybutene-1 blends. Polymer 1968, 27, 337–343. [Google Scholar] [CrossRef]









Publisher’s Note: MDPI stays neutral with regard to jurisdictional claims in published maps and institutional affiliations. |
© 2022 by the authors. Licensee MDPI, Basel, Switzerland. This article is an open access article distributed under the terms and conditions of the Creative Commons Attribution (CC BY) license (https://creativecommons.org/licenses/by/4.0/).
Share and Cite
Ping, J.; Ma, G.; Ma, Z. Crystallization Behavior of Isotactic Polybutene Blended with Polyethylene. Molecules 2022, 27, 2448. https://doi.org/10.3390/molecules27082448
Ping J, Ma G, Ma Z. Crystallization Behavior of Isotactic Polybutene Blended with Polyethylene. Molecules. 2022; 27(8):2448. https://doi.org/10.3390/molecules27082448
Chicago/Turabian StylePing, Jiajia, Guiqiu Ma, and Zhe Ma. 2022. "Crystallization Behavior of Isotactic Polybutene Blended with Polyethylene" Molecules 27, no. 8: 2448. https://doi.org/10.3390/molecules27082448
APA StylePing, J., Ma, G., & Ma, Z. (2022). Crystallization Behavior of Isotactic Polybutene Blended with Polyethylene. Molecules, 27(8), 2448. https://doi.org/10.3390/molecules27082448
